Патент на изобретение №2168499
|
||||||||||||||||||||||||||
(54) 3-(ЦИКЛОГЕКС-3-ЕНИЛ)ПИРИДИНИЙБЕНЗИЛХЛОРИД В КАЧЕСТВЕ ИНГИБИТОРА КОРРОЗИИ СТАЛИ В МИНЕРАЛИЗОВАННЫХ СРЕДАХ
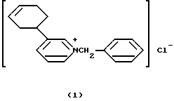
(57) Реферат: Изобретение относится к новому химическому соединению 3-(циклогекс-3-енил)пиридинийбензилхлориду, который может быть использован в качестве ингибитора коррозии стали в минерализованных средах в нефтяной промышленности или в системах оборотного водоснабжения. 1 табл. Изобретение относится к новый химическим соединениям, конкретно 3-(циклогекс-3-енил)пиридинийбензилхлориду общей формулы (1), который может быть использован в качестве ингибитора коррозии стали в минерализованных агрессивных средах, например, в нефтяной промышленности или в системах оборотного водоснабжения ![]() В литературе отсутствуют сведения о синтезе и свойствах 3-(циклогекс-3-енил)пиридинийбензилхлорида, указанное соединение получено впервые. Известно большое количество ингибиторов коррозии стали, полученных на базе полиалкилпиридинов, например, реагент И-1-В (ТУ 103238-74), являющийся смесью модифицированных полиалкилпиридинов или реагент ИКИХП-2, являющийся продуктом конденсации хлорметилированных продуктов с пиридином [Г.З.Ибрагимов и др. Применение химических реагентов для интенсификации добычи нефти. М.: Недра, 1991 г., с. 25]. Известные ингибиторы предназначены, главным образом, для предотвращения коррозии стали в соляной кислоте. Кроме того, они обладают чрезвычайно неприятным запахом, что требует специальных мероприятий по охране труда и экологии. Наиболее близким по структуре и свойствам к заявляемому объекту является реагент Катапин-А [там же], полученный из алкилбензила хлористого и пиридина. Он является одним из лучших ингибиторов соляно-кислотной коррозии, но недостаточно эффективен в минерализованных средах с высоким содержанием кислорода. Целью изобретения является выявление новых производных пиридина, эффективно снижающих коррозию стали в минерализованных агрессивных средах с высоким содержанием кислорода. Поставленная цель достигается синтезом 3-(циклогекс-3-енил)пиридинийбензилхлорида формулы (1). Предлагаемое соединение получают смешиванием эквимольных количеств 3-(циклогекс-3-енил)пиридина с хлористым бензилом при 120-130oC в течение 4-6 ч. Получают индивидуальный 3-(циклогекс-3-енил)пиридинийбензилхлорид (1) с выходом 95-99% по схеме: ![]() Синтез 3-(циклогекс-3-енил)пиридинийбензилхлорида (1) иллюстрируется примером 1. ПРИМЕР 1. В стеклянный реактор, снабженный механической мешалкой, термопарой, обогревательной рубашкой и воронкой с противодавлением, загружают 0.1 моль хлористого бензила и 0.1 моль 3-(циклогекс-3-енил)пиридина, при 125oC перемешивают 5 ч. Получают 3-(циклогекс-3-енил)пиридинийбензилхлорид (1) с выходом 96%. Данные элементного анализа (1). Найдено, %: C 75.31; H 7.12; N 4.83; Cl 12.47. C18H20NCl. Вычислено, %: C 75.66; H 7.01; N 4.90; Cl 12.43. Полученная смесь при температуре выше 140oC разлагается, плохо растворима в спиртах, кетонах, нерастворима в углеводородах, хорошо растворима в воде. Испытания защитного действия 3-(циклогекс-3-енил)пиридинийбензилхлорида (1) в качестве ингибитора коррозии проводили в лабораторных условиях по ОСТ 39-099-79 “Ингибиторы коррозии. Метод оценки эффективности защитного действия ингибиторов коррозии в нефтепромысловых сточных водах”, ВНИИСПТнефть, 1980. В качестве коррозионных сред использовали модель сточной воды (МСВ) следующего состава (d = 1.1 г/см3): CaSO4 2H2O – 1.4 г/л; CaCl2 2H2O – 2.3 г/л; NaCl – 144 г/л; MgCl2 6H2O – 2.2 г/л.
Содержание O2 в МСВ составляло 4.5-5 мг/л и определялось по методу Винклера. Навеска ингибитора дозировалась в пределах 25-100 мг/л. В качестве металлических образцов использовали предварительно защищенные образцы стали 08 кл (ГОСТ 1050-74). Время испытаний составляло 6 ч, затем определялась скорость коррозии ( ) и степень зашиты по формулам (2) и (3);![]() где m – изменение массы, г;S – площадь образца, м2; – время испытания, ч;![]() где 1 – скорость коррозии в среде, г/м2 час; 2 – скорость коррозии с ингибитором, г/м2 часИспытания защитного действия 3-(циклогекс-3-енил)пиридинийбензилхлорида (1) иллюстрируется примером 2. ПРИМЕР 2. 3-(циклогекс-3-енил)пиридинийбензилхлорид получают согласно примеру 1 (загрузка 3-(циклогекс-3-енил)пиридина – 15.9 г, бензилхлорида – 12.65 г). Полученные 27.47 г твердой соли (1) растворяют в 27.47 г воды и дозируют в концентрации 25 мг/л в минерализованную сточную воду вышеописанного состава с содержанием кислорода 4.5-5 мг/л. В агрессивную среду помещают образец стали 08 кл (ГОСТ 1050-74) и выдерживают его в течение 6 ч при комнатной температуре. Скорость коррозии образца составляет 0.028 г(м2 ч), а степень защиты – 95.1%.
Другие примеры, иллюстрирующие защитные свойства 3-(циклогекс-3-енил)пиридинийбензилхлорида, приведены в таблице.
Как показывают результаты испытаний, предлагаемый ингибитор проявляет высокий ингибирующий эффект 95.1-98.9% при концентрации ингибитора 25-100 мг/л, тогда как Катапин-А при концентрации 100 мг/л защищает сталь от коррозии на 96.3%.
Таким образом, 3-(циклогекс-3-енил)пиридинийбензилхлорид проявляет ингибирующие свойства (95.1-98.97.) в средах с высоким содержанием кислорода при низком расходе реагента (25-100 мг/л).
Формула изобретения
![]() в качестве ингибитора кислотной коррозии стали в минерализованных средах. РИСУНКИ
MM4A Досрочное прекращение действия патента Российской Федерации на изобретение из-за неуплаты в установленный срок пошлины за поддержание патента в силе
Дата прекращения действия патента: 21.10.2001
Номер и год публикации бюллетеня: 11-2003
Извещение опубликовано: 20.04.2003
|
||||||||||||||||||||||||||



2H2O – 1.4 г/л; CaCl2
) и степень зашиты по формулам (2) и (3);
m – изменение массы, г;
– время испытания, ч;
