Патент на изобретение №2168497
|
||||||||||||||||||||||||||
(54) НОВЫЕ ПРОИЗВОДНЫЕ ГИДРОКСАМОВОЙ КИСЛОТЫ, ПОЛЕЗНЫЕ ДЛЯ ЛЕЧЕНИЯ ЗАБОЛЕВАНИЙ, СВЯЗАННЫХ С ДЕГЕНЕРАЦИЕЙ СОЕДИНИТЕЛЬНОЙ ТКАНИ
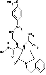
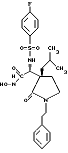
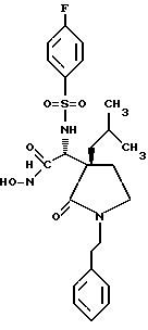
(57) Реферат: Изобретение относится к производным гидроксамовой кислоты формулы I, где X означает -CH2-, -NR5-, -C(O); Y означает -CH2-, -NR5, при условии, что если X является -NR5-, то Y означает -CH2-; R1 означает H, C1-C20 алкил, -(CH2)j арил, -(CH2)j циклоалкил и др.; R2 означает H, C1-C20-алкил, -(CH2)j -R8, -(CH2)j -NR6R7, -(CH2)j -NR5-; -C(O)R5 и др.; R3 означает H, C1-C6алкил, -(CH2)j-арил, -(CH2)j – C3-6-циклоалкил и др., R5 означает H, C1-C6алкил, возможно замещенный 1 – 3 галогенами и др.; R6 и R7, одинаковые или различные, и означают H, C1-C6алкил и др., R8 означает -S-R8 и др., R9-галоген, C1-C6 алкил и др., R10 – H; арил – фенил, возможно замещенный, Het – пиридинил, тиенил и др., i – 1 – 6, j – 0 – 4. Соединения I ингибируют избыток матрицы металлопротеиназы, что позволяет использовать их в фармацевтической композиции. 2 с. и 12 з.п.ф-лы, 1 табл.
Изобретение относится к новым производным гидроксамовой кислоты или их фармацевтически приемлемым солям, к их получению и к содержащим их фармацевтическим композициям. В частности, настоящее изобретение относится к производным гидроксамовой кислоты, замещенным рядом 2-пирролидинонов, гидантионов и пиразолидинонов, которые полезны для лечения заболеваний, связанных с дегенерацией соединительной ткани. Потеря целостности соединительной ткани имеет место при многочисленных патологических процессах, включая остеоартрит, ревматоидный артрит, септический артрит, нарушения остеогенеза, такие как остеопороз, метастазы опухоли (инвазия и рост), периодонтит, гингивит, язва роговицы, язва кожи, язва желудка, и другие заболевания, относящиеся к дегенерации соединительной ткани. Несмотря на то, что распространенность данных заболеваний в развитых странах высока, не существует метода лечения, который предотвращал бы имеющее место повреждение ткани. Значительное количество научных данных свидетельствует о том, что повреждения имеют место из-за неконтролируемой активности металлопротеиназы соединительной матрицы (ММР), и, следовательно, ингибирование данных ферментов стало целью терапевтического воздействия (смотри Matrisian, L.M., Bases, vol. 14, pp. 445-453, (1992); Emonard, H. et al., Cellular and Molecular Biology, vol. 36, pp. 131-153, (1990); Docherty, A.J.P. et al., Annals of Rheumatic, vol. 49, pp. 469-479, (1990)). Соединения по настоящему изобретению ингибируют различные ферменты семейства металлопротеиназ матрицы, включая коллагеназу, стромелизин (stromelysin) и желатиназу, и, следовательно, полезны для лечения заболеваний, связанных с металлоэндопротеиназами матрицы, таких как остеоартрит, ревматоидный артрит, септический артрит, нарушения остеогенеза, такие как остеопороз, метастазы опухоли (инвазия и рост), периодонтит, гингивит, язва роговицы, язва кожи, язва желудка, и другие заболевания, относящиеся к дегенерации соединительной ткани. Данные соединения также способны ингибировать секрецию цитокинов, включая фактор некроза опухоли (TNF ), и, следовательно, могут быть также полезны для лечения воспалительных состояний, лихорадки, острых инфекционных заболеваний и шока.
В Международной публикации N WO95/09841 описаны новые производные гидроксамовой кислоты, производные амидов аминокислот, полезные в качестве ингибиторов секреции TNF и металлопротеаз матрицы, например, для лечения воспалительных состояний, лихорадки или артрита.
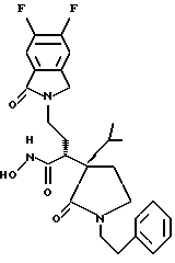
В Международной публикации N WO 95/04033-A1 описаны новые производные сукцинимида, полезные в качестве ингибиторов желатиназы и коллагеназы.
В Международной публикации N WO93/21942 описаны ингибиторы металлопротеаз матрицы, полезные для ускорения регрессии опухоли посредством ингибирования пролиферации раковых клеток и ангиогенеза, атеросклероза, карциномы яичника, меланомы и саркомы.
В публикации Европейского патента 0574758A описаны новые производные гидроксамовой кислоты, полезные в качестве ингибиторов коллагеназы для лечения артрита, опухолей, атеросклероза и т.д.
В заявке на патент Великобритании GB2282598A описаны гидроксисукцинилгидроксиамины, полезные для профилактики или лечения заболеваний или состояний, опосредованных металлопротеиназами и/или фактором некроза опухоли.
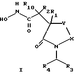
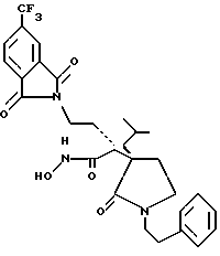
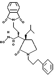
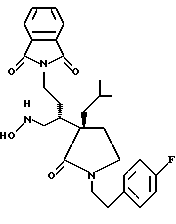
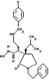
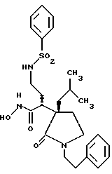
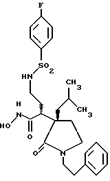
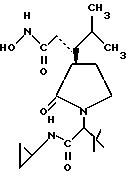
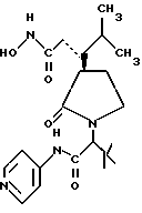
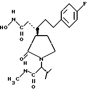
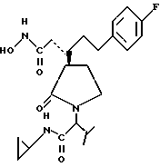
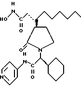
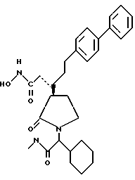
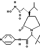
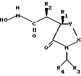
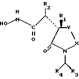
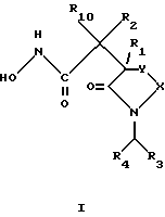
Данное изобретение относится к новым производным гидроксамовой кислоты, представленным формулой I:![]() или их фармацевтически приемлемым солям, где X представляет собой a) -(CH2)-, b) -NR5– или c) -С(=O)-; Y представляет собой a) -(CH2)- или b) -NR5-; при условии, что если X является -NR5-, то Y является -(CH2)-; R1 представляет собой a) H, b) C1-20 алкил, c) -(CH2)i-арил, d) -(CH2)i-O-R5, e) -(CH2)i-Het, f) -(CH2)i-CO2R5, g) -(CH2)i-C(=O)NHR5, h) -(CH2)i-NR6R7, i) -(CH2)i-SO2-арил, j) -(CH2)j-циклоалкил или k) -(CH2)j-арил-арил; R2 представляет собой a) H, b) C1-20 алкил, c) -(CH2)j-R8, d) -(CH2)j-OR5, e) -CHCR5=CR5R5, f) -NHR5, g) -(CH2)jNR6R7, h) -NHSO2R5, i) -(CH2)j-C(=O)NR6R7, j) -(CH2)j-NR5C(=O)R5, k) -(CH2)j-NR5SO2R5 или 1) -(CH2)j-N(COR5)2; R3 представляет собой a) H, b) С1-6 алкил, c) -(CH2)j-арил, d) -(CH2)j-Het, e) -(CH2)j-C3-6 циклоалкил или f) -C(=O)NHR5; R4 представляет собой a) H, b) -C(=O)NHR5, c) -C(=O)NR6R7, d) -C(=O)NH(CH2)kNR6R7, e) -C(=O)NH(CH2)j-арил, f) -C(=O)NH(CH2)k-O-(CH2)kNR6R7, g) -C(=O)NH(CH2)k-S-(CH2)jNR6R7, h) -C(=O)NH(CH2)k-NHSO2-арил, i) C(=O)NH(CH2)k-NHSO2-NR6R7 или j) ![]() R5 представляет собой a) H, b) C1-6 алкил, c) -(CH2)j-арил, d) -(CH2)j-арил-арил, e) -(CH2)j-арил-(CH2)j-арил, f) (CH2)j-Het или g) -(CH2)j-циклоалкил; R6 и R7 могут являться одинаковыми или различными a) H, b) C1-6 алкил, c) -(CH2)j-арил, d) Q или e) R6 и R7, взятые вместе со связующим атомом N, образуют азетидинил, пирролидинил, пиперазинил, пиперидинил или морфолинил, необязательно замещенные одним или несколькими C1-4 алкилами; R8 представляет собой a) -S-R5, b) -SO-R5, c) -SO2-R5, d) -S-(CH2)j-Het, e) -NHCO2R5, f) пиперидинил, ![]() ![]() ![]() ![]() ![]() ![]() ![]() ![]() R9 представляет собой a) галоген, b) C1-6 алкил, c) -OR5, d) -NR5R5, e) -CONHR5, f) -SO2NHR5, g) -NHSO2R5, h) -NO2, i) -CO2R5 или j) -CF3; R10 представляет собой a) H, b) OH, c) OR5, d) NHR5 или e) -(CH2)j-OR5; арил является фенилом, необязательно замещенным одним или несколькими следующими радикалами: a) галоген, b) C1-10 алкил, c) -OR5, d) -NR5R5, e) -CONHR5, f) -SO2NHR5, g) -NHSO2R5, h) -NO2, i) -CO2R5, или j) -CF3; Het представляет собой 5- или 6-членный гетероароматический радикал, содержащий один или несколько атомов, выбранных из группы, состоящей из N, O или S; Q представляет собой насыщенный 5- или 6-членный гетероциклический радикал, содержащий 1-2 атома, выбранных из группы, состоящей из N, O или S; i равно 1, 2, 3, 4, 5 или 6; j равно 0, 1, 2, 3 или 4; k равно 2, 3 или 4; n равно 0, 1, 2, 3 или 4; каждый C1-6 алкил, C1-10 алкил или C1-20 алкил в любом из указанных выше значений может быть независимо замещен в количестве от одного до трех галогеном, гидрокси или циано; и при условии, что когда R1 представляет собой метилбутил, R4 отличен от H. Изобретение относится к новым производным гидроксамовой кислоты, полезным в качестве средств для профилактики и лечения заболеваний, относящихся к дегенерации соединительной ткани. В настоящем изобретении содержание углерода в различных углеводородсодержащих радикалах обозначено индексом, указывающим минимальное и максимальное количество атомов углерода в радикале, т.е. индексы Ci-j определяют количество присутствующих атомов углерода от целого числа “i” до целого числа “j” включительно. Так, “С1-4“алкил относится к алкилу, содержащему 1-4 атома углерода включительно, или метил, этил, пропил, бутил и их изомерные формы. Термины “C1-6 алкил”, “C1-10 алкил” или “C1-20 алкил” относятся к метилу, этилу, н-пропилу, н-бутилу, н-пентилу, н-гексилу и т.д. и их изомерным формам и, предпочтительно, к алкильной группе, содержащей от 1 до 6 атомов углерода. C1-6 алкилная группа может быть необязательно замещена одним или несколькими заместителями, выбранными из группы, включающей атом галогена, гидроксигруппу или -CN-содержащую группу, такую как, например, фторметил, дифторметил, фторэтил, цианометил и тому подобные. Термин “С3-6 циклоалкил” относится к циклопропилу, циклобутилу, циклопентилу, циклогексилу и их изомерным формам и, предпочтительно, к циклоалкильной группе, содержащей от 4 до 6 атомов углерода. Термин “галоген” относится к фтору, хлору, брому или йоду, предпочтительно к фтору и хлору. Термин “Q” относится к насыщенному 5- или 6-членному гетероциклическому радикалу, содержащему 1-2 атома, выбранных из группы, состоящей из азота, кислорода и серы, образующему такие группы, как, например, диоксолан, имидазолидин, дитиолан, оксатиолан, оксазолидин, пиперидинил, пиперазинил, морфолино и тиоморфолино. Термин “Het” относится к 5-, 6-членному гетероароматическому радикалу, содержащему один или несколько атомов, выбранных из группы, состоящей из азота, кислорода и серы, образующему такие группы, как, например, 2-тиенил, 3-тиенил, 2-пиридил, 3-пиридил, 4-пиридил, 2-пиримидинил, 4-пиримидинил, 5-пиримидинил, 3-пиридазинил, 4-пиридазинил, 3-пиразинил, 2-фуранил, 3-фуранил, 1-пирролил, 2-пирролил, 3-пирролил, 1-пиразолил. Предпочтительным гетероароматическим кольцом является 2-тиенил и пиридил. В терминах “Het” и “Q” атом азота, образующий гетерокольца, может иметь защитную группу, такую как ацетильная или гидроксиацетильная группа. Соединения по настоящему изобретению могут быть превращены в их соли в соответствии с традиционными методиками. Термин “фармацевтически приемлемые соли” относится к солям, применимым для введения соединений по данному изобретению, и они включают гидрохлорид, гидробромид, гидроиодид, сульфат, фосфат, ацетат, пропионат, лактат, мезилат, малеат, малат, сукцинат, тартрат, цитрат, 2-гидроксиэтилсульфонат, фумарат и тому подобное. Данные соли могут находиться в гидратной форме. Некоторые соединения по данному изобретению способны образовывать соли с металлами, такие как соли натрия, калия, кальция, магния, и они включены в термин “фармацевтически приемлемые соли”. Некоторые производные гидроксамовой кислоты по настоящему изобретению являются предпочтительными. Предпочтительный заместитель R1 представляет собой метилпропил. Предпочтительный заместитель R2 представляет собой H, метил, 2-(1,3-дигидро-1,3-диоксо-2Н-изоиндол-2-ил)этил, 2-(1,3-дигидро-1,3-диоксо-2Н-нафтоизоиндол-2-ил)этил, 2-(4,5,6,7-тетрафтор-1,3-дигидро-1,3-диоксо-2Н-изоиндол-2-ил)этил, 2-(5,6-дихлор-1,3-дигидро-1,3-диоксо-2Н-изоиндол-2-ил)этил, 2-(5-амино-1,3-дигидро-1,3-диоксо-2Н-изоиндол-2-ил)этил, 2-(4-нитро-1,3-дигидро-1,3-диоксо-2Н-изоиндол-2-ил)этил, 2-(5-нитро-1,3-дигидро-1,3-диоксо-2Н-изоиндол-2-ил)этил, 2-(4-фтор-1,3-дигидро-1,3-диоксо-2Н-изоиндол-2-ил)этил, 2-(4,7-дифтор-1,3-дигидро-1,3-диоксо-2Н-изоиндол-2-ил)этил, 2-(5-фтор-1,3-дигидро-1,3-диоксо-2Н-изоиндол-2-ил)этил, 2-(1,3-дигидро-1,3-диоксо-2Н-изоиндол-2-ил)пропил, 2-(1,3-дигидро-1,3-диоксо-2Н-изоиндол-2-ил)метил, 2-(2-тиенилтио)пропил или 2-(2-тиенилтио)метил. Предпочтительный заместитель R3 представляет собой H, 2-метилпропил, циклогексилметил, бензил или фенил. Предпочтительный заместитель R4 представляет собой H или ацетамид. Предпочтительные абсолютные конфигурации соединений, заявленных в настоящем изобретении, представлены структурами II-VII. Абсолютные конфигурации определены в соответствии с номенклатурной системой Cahn-Ingold-Prelog. Соединения, описанные в примерах, представляют собой рацемические смеси, если не указано иначе с помощью R и S для обозначения их оптической активности. Чистые энантиомеры обладают более высокой ингибирующей активностью. Рацемические смеси применяют тем же образом и в тех же самых целях, что и чистый энантиомер; различие состоит в том, что для достижения того же самого ингибирующего эффекта может быть применено большее количество рацемического продукта. Оптически чистый продукт может быть получен с помощью методик хирального ЖХВР для получения соответствующих энантиомеров, как показано в примерах 2, 5 и 28. Оптически чистые продукты могут быть необязательно получены химическим путем для получения соответствующего энантиомера, как показано в примерах 29-34. В зависимости от заместителей соединения по данному изобретению могут находиться в геометрических, оптических и других изомерных формах, и данное изобретение включает все данные изомеры или энантиомеры. Особенно предпочтительными соединениями по данному изобретению являются следующие: 1a) N-Гидрокси-3-(2-метилпропил)-2-оксо-1-(2-фенилэтил)-3- пирролидинацетамид, 1b) (3S)-N-Гидрокси-3-(2-метилпропил)-2-оксо-1-(2- фенилэтил)-3-пирролидинацетамид, 1c) N-Гидрокси- ![]() 1d) -[2-(1,3-Дигидро-1,3-диоксо-2Н-изоиндол-2-ил)этил]-N- гидрокси-3-(2-метилпропил)-2-оксо-1-(2-фенилэтил)-3-пирролидинацетамид,1e) (3S)- -[2-(1,З-Дигидро-1,3-диоксо-2Н-изоиндол-2- ил)этил]-N-гидрокси-3-(2-метилпропил)-2-оксо-1-(2-фенилэтил)-3- пирролидинацетамид,1f) -[2-(1,3-Дигидро-1,3-диоксо-2Н-нафтоизоиндол-2- ил)этил]-N-гидрокси-3-(2-метилпропил)-2-оксо-1-(2-фенилэтил)-3- пирролидинацетамид,1g) N-Гидрокси-3-(2-метилпропил)-2-оксо-1-(2-фенилэтил)- -[2-(4,5,6,7-тетрафтор-1,3-дигидро-1,3-диоксо-2Н-изоиндол-2-ил)этил] -3- пирролидинацетамид,1h) -[2-(5,6-Дихлор-1,3-дигидро-1,3-диоксо-2Н-изоиндол-2- ил)этил]-N-гидрокси-3-(2-метилпропил)-2-оксо-1-(2-фенилэтил)-3- пирролидинацетамид,1i) -[2-(5-Амино-1,3-дигидро-1,3-диоксо-2Н-изоиндол-2- ил)этил]-N-гидрокси-3-(2-метилпропил)-2-оксо-1-(2-фенилэтил)-3- пирролидинацетамид,1j) N-Гидрокси-3-(2-метилпропил)- -[2-(4-нитро-1,3- дигидро-1,3-диоксо-2Н-изоиндол-2-ил)этил]-2-оксо-1-(2-фенилэтил)-3- пирролидинацетамид,1k) N-Гидрокси-3-(2-метилпропил)- -[2-(5-нитро-1,3- дигидро-1,3-диоксо-2Н-изоиндол-2-ил)этил]-2-оксо-1-(2-фенилэтил)-3- пирролидинацетамид,1l) -[2-(4-Фтор-1,3-дигидро-1,3-диоксо-2Н-изоиндол-2- ил)этил] -N-гидрокси-3-(2-метилпропил)-2-оксо-1-(2-фенилэтил)-3- пирролидинацетамид,1m) -[2-(4,7-Дифтор-1,3-дигидро-1,3-диоксо-2Н-изоиндол-2- ил)этил]-N-гидрокси-3-(2-метилпропил)-2-оксо-1-(2-фенилэтил)-3- пирролидинацетамид,1n) -[2-(5-Фтор-1,3-дигидро-1,3-диоксо-2Н-изоиндол-2- ил)этил] -N-гидрокси-3-(2-метилпропил)-2-оксо-1-(2-фенилэтил)-3- пирролидинацетамид,1o) -[2-(1,3-Дигидро-1,3-диоксо-2Н-изоиндол-2-ил)пропил] – N-гидрокси-3-(2-метилпропил)-2-оксо-1-(2-фенилэтил)-3- пирролидинацетамид,1p) -[2-(1,3-Дигидро-1,3-диоксо-2Н-изоиндол-2-ил)метил]- N-гидрокси-3-(2-метилпропил)-2-оксо-1-(2-фенилэтил)-3- пирролидинацетамид,1q) N-Гидрокси-3-(2-метилпропил)-2-оксо-1-(2-фенилэтил)- -[2-(2-тиенилтио)этил]-3-пирролидинацетамид,1r) N-Гидрокси-3-(2-метилпропил)-2-оксо-1-(2-фенилэтил)- -[2-(2-тиенилтио)пропил]-3-пирролидинацетамид,1s) N-Гидрокси-3-(2-метилпропил)-2-оксо-1-(2-фенилэтил)- -[2-(2-тиенилтио)метил]-3-пирролидинацетамид,1t) N3-Гидрокси-N1-метил-3-(2-метилпропил)-2- оксо-1,3-пирролидиндиацетамид, 1u) N3-Гидрокси-N1-метил-3-(2-метилпропил)-2-оксо- 1 (фенилметил)-1,3-пирролидиндиацетамид,1v) N-Гидрокси-3-(2-метилпропил)-2-оксо-1-(фенилметил)-3- пирролидинацетамид, 1w) -[2-(1,3-Дигидро-1,3-диоксо-2H-изоиндол-2-ил)этил]-N- гидрокси-3-(2-метилпропил)-2-оксо-1-(2-фенилметил)-3- пирролидинацетамид,1x) N-Гидрокси-3-(2-метилпропил)-2-оксо-1-(фенилметил)- -[2-(4,5,6,7-тетрафтор-1,3-дигидро-1,3-диоксо-2Н-изоиндол-2-ил)этил] -3- пирролидинацетамид,1y) 1-(3-Фторфенил)метил- -[2-(1,3-дигидро-1,3-диоксо-2H- изоиндол-2-ил)этил]-N-гидрокси-3-(2-метилпропил)-2-оксо-3- пирролидинацетамид,1z) 3– [2-(1,3-Дигидро-1,3-диоксо-2Н-изоиндол-2-ил)этил]- N3-гидрокси-N1-метил-3-(2-метилпропил)-2-оксо-1,3- пирролидиндиацетамид,2a) N3-Гидрокси-N1-метил-3-(2-метилпропил)-2- оксо- 3– [2-(4,5,6,7-тетрафтор-1,3-дигидро-1,3-диоксо-2Н-изоиндол-2- ил)этил] -1,3-пирролидиндиацетамид,2b) [S-(R*, R*)] -N3-Гидрокси-N1-метил-3-(2- метилпропил)-2-оксо- 1– (фенилметил)-1,3-пирролидиндиацетамид,2c) [S, R-(R*, R*)] – 3– [2-(1,3-Дигидро-1,3-диоксо-2Н-изоиндол-2- ил)этил] -N3-гидрокси-N1-метил-3-(2-метилпропил)-2-оксо- 1– (фенилметил)-1,3-пирролидиндиацетамид,2d) [S-(R*, R*)] -N3-Гидpoкcи-N1-мeтил-3-(2- метилпропил)-2-оксо- 1– (фенилметил)-1,3-пирролидиндиацетамид,2e) [S-(R*, R*)] -N3-Гидрокси-3-(2-метилпропил)-2-оксо- N1-(2-фенэтил)- 1– (фенилметил)-1,3-пирролидиндиацетамид,2f) [S-(R*, R*)]-N3-Гидpoкcи-N1-метил- 1– 3-бис- (2-метилпропил)-2-оксо-1,3-пирролидиндиацетамид,2g) [S-(R*, R*)]- 1– (Циклогексилметил)-N3-гидрокси- N1-метил-3-(2-метилпропил)-2-оксо-1,3-пирролидиндиацетамид,2h) [S-(R*, R*)] -N3-Гидрокси-N1-метил-3-(3- метилбутил)-2-оксо- 1– (фенилметил)-1,3-пирролидиндиацетамид,2i) N-Гидрокси-3-(2-метилпропил)-2,5-диоксо-1-(2-фенил- этил)-3-пирролидинацетамид, 2j) N-Гидрокси-3-метил-4-(2-метилпропил)-2,5-диоксо-1-(2- фенилэтил)-4-имидазолидинацетамид, 2k) N-Гидрокси-4-(2-метилпропил)-2,5-диоксо-1-(2-фенил- этил)-4-имидазолидинацетамид, 2l) N-Гидрокси-4-(2-метилпропил)-5-оксо-1-(2-фенилэтил)-4- пиразолидинацетамидмоногидрохлорид, 2m) [S-(R*, R*)] -N3-Гидрокси-3-(2-метилпропил)-2-оксо- N1-фенил- 1– (фенилметил)-1,3-пирролидиндиацетамид,2n) [S-(R*,R*)]-N3-Гидрокси-3-(2-метилпропил)-2-оксо- 1– (фенилметил)-N1-(2-пиридинилметил)-1,3-пирролидиндиацетамид,2o) [S-(R*,R*)]-N3-Гидрокси-3-(2-метилпропил)-2-оксо- 1– (фенилметил)-N1-(4-пиридинил)-1,3-пирролидиндиацетамид,2p) [S-(R*, R*)] -N1-(Фторфенил)-N3-гидрокси-3- (2-метилпропил)-2-оксо- 1– (фенилметил)-1,3-пирролидиндиацетамид,2q) [S-(R*,R*)]-N3-Гидрокси-3-(2-метилпропил)-2-оксо- 1– (фенилметил)-N1-[1-(фениметил)-4-пиперидинил]-1,3- пирролидиндиацетамид,2r) [S-(R*,R*)]-N3-Гидрокси-3-(2-метилпропил)-2-оксо- 1– (фенилметил)-N1-(4-пиперидинил)-1,3-пирролидиндиацетамид,2s) [S-(R*,R*)]-N3-Гидрокси-3-(2-метилпропил)-2-оксо- 1– (фенилметил)-N1-(4-пиридинилметил)-1,3-пирролидиндиацетамид,2t) [S-(R*, R*)]-N1-(4-фторфенилметил)-N3– гидрокси-3-(2-метилпропил)-2-оксо- 1– (фенилметил)-1,3-пирролидиндиацетамид,2u) [S-(R*, R*)] -N3-Гидрокси-N1-метил-3-(2- метилпропил)-2-оксо- 1– (2-фенилэтил)-1,3-пирролидиндиацетамид,2v) [S-(R*, R*)] -N3-Гидрокси-3-(2-метилпропил)-2-оксо- 1, (2-фенилэтил)-N1-(фенилметил)-1,3-пирролидиндиацетамид,2w) [S-(R*,R*)]-N3-Гидрокси- 1– 3-бис-(2-метилпропил)- 2-оксо-N1-2-пиридинил-1,3-пирролидиндиацетамид,2x) [S-(R*, R*)] – 1– Циклогексил-N3-гидрокси-N1– мeтил-3-(2-метилпропил)-2-оксо-1,3-пирролидиндиацетамид,2y) [S-(R*, R*)] – 1– Циклогексил-N3-гидрокси-3-(2- метилпропил)-2-оксо-N1-2-пиридинил-1,3-пирролидиндиацетамид,2z) [S-(R*, R*)]-3-(Циклопентилметил)-N3-гидрокси- N1-метил-2-оксо- 1– (фенилметил)-1,3-пирролидиндиацетамид,3a) [S-(R*, R*)]-3-(Циклопентилметил)-N3-гидрокси- N1-метил-2-оксо- 1– (фенилметил)-1,3-пирролидиндиацетамид,3b) [3S-[1(R*), 3R*(R*)] ]- 3– [2-(Бензоиламино)этил]- N3-гидрокси-N1-метил-3-(2-метилпропил)-2-оксо- 1– (фенилметил)-1,3-пирролидиндиацетамид,3c) [S-(R*,R*)]-N3-Гидрокси-3-(2-метилпропил)- N1-[2-(4-морфолинил)этил] -2-оксо- 1– (фенилметил)-1,3-пирролидиндиацетамид,3d) [S-(R*, R*)] -N-Гидрокси-3-(2-метилпропил)-1-[2-(4- морфолинил)-2-оксо-1-(фенилметил)этил]-2-оксо-3-пирролидинацетамид, 3e) [1(1S)-[1[R*(R*)] , 3 ,5 ]]-1-[2-(3,5-Диметил-1- пиперазинил)-2-оксо-1-(фенилметил)этил] -N-гидрокси-3-(2-метилпропил)- 2-оксо-3-пирролидинацетамид,3f) [S-(R*,R*)]-N3-Гидpoкcи-3-(2-метилпропил)-2-оксо- 1– (фенилметил)-N1-2-пиридинил-1,3-пирролидиндиацетамид,3g) [3S-[1(R*),3R*(R*)]]- 3– [2-(1,3-Дигидро-1,3-диоксо-2Н- изоиндол-2-ил)этил]-N3-гидрокси-N1-метил-3-(2- метилпропил)-2-оксо- 1– (фенилметил)-1,3-пирролидиндиацетамид,3h) [S-(R*, R*)] – 1– Циклогексил-N1-циклопропилметил- N3-гидрокси-3-(2-метилпропил)-2-оксо-1,3-пирролидиндиацетамид,3i) [S-(R*,R*)]- 1– Циклогексил-N1-(4-фторфенил)- N3-гидpокси-3-(2-метилпропил)-2-оксо-1,3-пирролидиндиацетамид,3j) [S-(R*, R*)] – 1– трет-Бутил-N3-гидрокси-N1– мeтил-3-(2-метилпропил)-2-оксо-1,3-пирролидиндиацетамид,3k) N-Гидрокси-3-(2-метилпропил)-2-оксо-1-(2-фенилэтил)- -[2-(5-пропилокси-1,3-дигидро-1,3-диоксо-2Н-изоиндол-2-ил)этил]-3- пирролидинацетамид,3l) [R-(R*, S*)]-5-Фтор-1,3-дигидро-N-гидрокси- -[3-(2-метилпропил)-2-оксо-1-(2-фенилэтил)-3-пирролидинил]-1,3- диоксо-2Н-изоиндол-2-бутанамид,3m) -[2-(5,6-Дифтор-1,3-дигидро-1,3-диоксо-2H-изоиндол-2- ил)этил]-N-гидрокси-3-(2-метилпропил)-2-оксо-1-(2-фенилэтил)-3- пирролидинацетамид,3n) N-Гидрокси-3-(2-метилпропил)-2-оксо-1-(2-фенилэтил)- -[2-(5-трифторметил-1,3-дигидро-1,3-диоксо-2Н-изоиндол-2-ил)этил]-3- пирролидинацетамид,3o) -[2-(1,3,4,5,6,7-Гексагидро-1,3-диоксо-2Н-изоиндол-2- ил)этил]-N-гидрокси-3-(2-метилпропил)-2-оксо-1-(2-фенилэтил)-3- пирролидинацетамид,3p) -[2-(1,3-Дигидро-1,3-диоксо-2Н-изоиндол-2-ил)этил]-N- гидрокси-3-(2-метилпропил)-2-оксо-1-(3-фенилпропил)-3- пирролидинацетамид,3q) 1-[2-(4-Фторфенил)этил]- -[2-(1,3-дигидро-1,3-диоксо- 2Н-изоиндол-2-ил)этил]-N-гидрокси-3-(2-метилпропил)-2-оксо-3- пирролидинацетамид,3r) -[2-(o-Бензойный сульфимид)этил]-N-гидрокси-3-(2- метилпропил)-2-оксо-1-(2-фенилэтил)-3-пирролидинацетамид,3s) Этилфенилметил-[4-(гидроксиамино)-3-[3-(2-метилпропил)- 2-оксо-1-(2-фенилэтил)-3-пирролидинил]-4-оксобутил]имидодикарбонат, 3t) [S-(R*, R*)]-1,3-Дигидро-N-гидрокси- -[3-(2-метилпропил)-2-оксо-1-(2-фенилэтил)-3-пирролидинил]-1,3- диоксо-2Н-изоиндол-2-бутанамид,3u) 1,3-Дигидро-N-гидрокси- -[3-(2-метилпропил)-2-оксо-1- [2-(4-фторфенил)этил]-3-пирролидинил]-1,3-диоксо-2Н-изоиндол-2- бутанамид,3v) -[2-[(3,4-Дифторбензоил)амино] этил-N-гидрокси-3-(2- метилпропил)-2-оксо-1-(2-фенилэтил)-3-пирролидинацетамид,3w) [R-(R*, S*)] – -[2-[(3-Фторбензоил)амино]этил]-N- гидрокси-3-(2-метилпропил)-2-оксо-1-(2-фенилэтил)-3-пирролидинацетамид,3x) -[2-[(4-Фторбензоил)амино]этил]-N-гидрокси-3-(2- метилпропил)-2-оксо-1-(2-фенилэтил)-3-пирролидинацетамид,3y) N-Гидрокси-3-(2-метилпропил)- -[2-[(3-нитробензоил)амино]этил]-2-оксо-1-(2-фенилэтил)-3- пирролидинацетамид,3z) -[2-[(3-Фторбензоил)амино]этил]-N-гидрокси-3-(2- метилпропил)-2-оксо-1-(2-фенилэтил)-3-пирролидинацетамид,4a) -[2-[(3-Фторбензоил)амино]этил]-1-[2(4-фторфенил)этил]- N-гидрокси-3-(2-метилпропил)-2-оксо-3-пирролидинацетамид,4b) -[2-[(4-Бифенилкарбонил)амино] этил] -N-гидрокси-3-(2- метилпропил)-2-оксо-1-(2-фенилэтил)-3-пирролидинацетамид,4c) N-Гидрокси- -[2-[[(4-метилфенил)сульфонил]амино]этил]- 3-(2-метилпропил)-2-оксо-1-(2-фенилэтил)-3-пирролидинацетамид,4d) -[2-[[(4-Фторфенил)сульфонил] амино] этил] -N-гидрокси- 3-(2-метилпропил)-2-оксо-1-(2-фенилэтил)-3-пирролидинацетамид,4e) N-Гидрокси- -[2-[[(4-метоксифенил)сульфонил]амино]этил]- 3-(2-метилпропил)-2-оксо-1-(2-фенилэтил)-3-пирролидинацетамид,4f) N-Гидрокси-3-(2-метилпропил)-2-оксо-1-(2-фенилэтил)- -[2-[(фенилсульфонил)амино]этил]-3-пирролидинацетамид,4g) [R-(R*, S*)]- -[2-[[(4-Фторфенил)сульфонил]амино]этил]- N-гидрокси-3-(2-метилпропил)-2-оксо-1-(2-фенилэтил)-3-пирролидинацетамид,4h) 5,6-Дифтор-1,3-дигидро-N-гидрокси- -[3-(2-метилпропил)-2-оксо-1-(2-фенилэтил)-3-пирролидинил]-1-оксо-2Н- изоиндол-2-бутанамид,4i) 1,3-Дигидро-N-гидрокси- -[3-(2-метилпропил)-2-оксо-1- (2-фенилэтил)-3-пирролидинил]-1-оксо-2Н-изоиндол-2-бутанамид4j) [R-(R*, S*)]-6-Фтор-1,3-дигидро-N-гидрокси- -[3-(2-метилпропил)-2-оксо-1-(2-фенилэтил)-3-пирролидинил]-1-оксо-2Н- изоиндол-2-бутанамид,4k) [R-(R*, S*)]-5-Фтор-1,3-дигидро-N-гидрокси- -[3-(2-метилпропил)-2-оксо-1-(2-фенилэтил)-3-пирролидинил]-1-оксо-2Н- изоиндол-2-бутанамид,4l) [R-(R*, S*)] -5,6-Дифтор-1,3-дигидро-N-гидрокси- -[3-(2-метилпропил)-2-оксо-1-(2-фенилэтил)-3-пирролидинил]-1-оксо-2Н- изоиндол-2-бутанамид,4m) N-Гидрокси- -[[[(4-метоксифенил)сульфонил]амино]метил]- 3-(2-метилпропил)-2-оксо-1-(2-фенилэтил)-3-пирролидинацетамид ( R-диастереомер),4n) N-Гидрокси- -[[[(4-метоксифенил)сульфонил]амино]метил]- 3-(2-метилпропил)-2-оксо-1-(2-фенилэтил)-3- пирролидинацетамид ( S-диастереомер),4o) -[[(4-Фторфенил)сульфонил]амино]-N-гидрокси-3-(2- метилпропил)-2-оксо-1-(2-фенилэтил)-3-пирролидинацетамид(R-диастереомер),4p) -[[(4-Фторфенил)сульфонил]амино]-N-гидрокси-3-(2- метилпропил)-2-оксо-1-(2-фенилэтил)-3-пирролидинацетамид ( S-диастереомер),4q) -[2-[(3,4-Дифторбензоил)амино] этил]-N-гидрокси-3-(3- гидроксипропил)-2-оксо-1-(2-фенилэтил)-3-пирролидинацетамид,4r) -[2-[(3,4-Дифторбензоил)амино] этил]-N-гидрокси-3-(2- гидроксиэтил)-2-оксо-1-(2-фенилэтил)-3-пирролидинацетамид,4s) [R-(R*, S*)] – -[2-[(3-Фторбензоил)амино]этил]-N- гидрокси-3-(3-гидроксипропил)-2-оксо-1-(2-фенилэтил)-3-пирролидинацетамид,4t) [S-(R*, R*)]-N3-Гидрокси-N1-метил- 1– (1-метилэтил)-3-(2-метилпропил)-2-оксо-1,3-пирролидиндиацетамид,4u) [S-(R*, R*)]-N1-Циклопропил-N3-гидрокси- 1– (1-метилэтил)-3-(2-метилпропил)-2-оксо-1,3-пирролидиндиацетамид,4v) [S-(R*, R*)] -N3-Гидрокси- 1– (1-метилэтил)-3-(2- метилпропил)-2-оксо-N1-фенил-1,3-пирролидиндиацетамид,4w) [S-(R*, R*)]-N1-(4-Фторфенил)-N3-гидрокси- 1– (1-метилэтил)-3-(2-метилпропил)-2-оксо-1,3-пирролидиндиацетамид,4x) [S-(R*, R*)] -N3-Гидрокси- 1– (1-метилэтил)-3-(2- метилпропил)-2-оксо-N1-(4-пиридинил)-1,3-пирролидиндиацетамид,4y) [S-(R*, R*)]- 1– трет-Бутил-N1-циклопропил- N3-гидрокси-3-(2-метилпропил)-2-оксо-1,3-пирролидиндиацетамид,4z) [S-(R*,R*)]- 1– трет-Бутил-N3-гидрокси-3-(2- метилпропил)-2-оксо-N1-фенил-1,3-пирролидиндиацетамид,5a) [S-(R*,R*)]- 1– трет-Бутил-N1-(4-фторфенил)- N3-гидрокси-3-(2-метилпропил)-2-оксо-1,3-пирролидиндиацетамид,5b) [S-(R*,R*)]- 1– трет-Бутил-N3-гидрокси-3-(2- метилпропил)-2-оксо-N1-(4-пиридинил)-1,3-пирролидиндиацетамид,5c) [S-(R*, R*)] – 1– Циклогексил-N3-гидрокси-3-(2- метилпропил)-2-оксо-N1-фенил-1,3-пирролидиндиацетамид,5d) [S-(R*, R*)] – 1– Циклогексил-N3-гидрокси-3-(2- метилпропил)-2-оксо-N1-(4-пиридинил)-1,3-пирролидиндиацетамид,5e) [S-(R*, R*)]-3-(Циклопентилметил)-N3-гидрокси- N1-метил- 1– (1-метилэтил)-2-оксо-1,3-пирролидиндиацетамид,5f) [S-(R*, R*)] -3-(Циклопентилметил)-N1-циклопропил- N3-гидрокси- 1– (1-метилэтил)-2-оксо-1,3-пирролидиндиацетамид,5g) [S-(R*,R*)]-3-(Циклопентилметил)-N3-гидрокси- 1– (1-метилэтил)-2-оксо-N1-фенил-1,3-пирролидиндиацетамид,5h) [S-(R*,R*)]-3-(Циклопентилметил)-N1-(4- фторфенил)-N3-гидрокси- 1– (1-метилэтил)-2-оксо-1,3- пирролидиндиацетамид,5i) [S-(R*,R*)]-3-(Циклопентилметил)-N3-гидрокси- 1– (1-метилэтил)-2-оксо-N1-(4-пиридинил)-1,3-пирролидиндиацетамид,5j) [S-(R*, R*)] – 1– трет-Бутил-3-(циклопентилметил)- N3-гидрокси-N1-метил-2-оксо-1,3-пирролидиндиацетамид,5k) [S-(R*, R*)]- 1– трет-Бутил-3-(циклопентилметил)-N1– циклопропил-N3-гидрокси-2-оксо-1,3-пирролидиндиацетамид,5l) [S-(R*, R*)] – 1– трет-Бутил-3-(циклопентилметил)-N3– гидрокси-2-оксо-N1-фенил-1,3-пирролидиндиацетамид,5m) [S-(R*, R*)] – 1– трет-Бутил-3-(циклопентилметил)-N1– (4-фторфенил)-N3-гидрокси-2-оксо-1,3-пирролидиндиацетамид,5n) [S-(R*, R*)] – 1– трет-Бутил-3-(циклопентилметил)-N3– гидрокси-2-оксо-N1-(4-пиридинил)-1,3-пирролидиндиацетамид,5o) [S-(R*, R*)] – 1– Циклогексил-3-(циклопентилметил)-N3– гидрокси-N1-метил-2-оксо-1,3-пирролидиндиацетамид,5p) [S-(R*,R*)]- 1– Циклогексил-3-(циклопентилметил)-N1– циклопропил-N3-гидрокси-2-оксо-1,3-пирролидиндиацетамид,5q) [S-(R*, R*)]- 1– Циклогексил-3-(циклопентилметил)- N3-гидрокси-2-оксо-N1-фенил-1,3-пирролидиндиацетамид,5r) [S-(R*, R*)] – 1– Циклогексил-3-(циклопентилметил)-N1– (4-фторфенил)-N3-гидрокси-2-оксо-1,3-пирролидиндиацетамид,5s) [S-(R*, R*)]- 1– Циклогексил-3-(циклопентилметил)-N3– гидрокси-2-оксо-N1-(4-пиридинил)-1,3-пирролидиндиацетамид,5t) [S-(R*, R*)] -N3-Гидрокси-N1-метил- 1– (1-мeтилэтил)-2-оксо-3-(3-фенилпропил)-1,3-пирролидиндиацетамид,5u) [S-(R*, R*)]-N1-Циклопропил-N3-гидрокси- 1– (1-метилэтил)-2-оксо-3-(3-фенилпропил)-1,3-пирролидиндиацетамид,5v) [S-(R*, R*)]-N3-Гидпркси- 1– (1-метилэтил)-2-оксо- N1-фенил-3-(3-фенилпропил)-1,3-пирролидиндиацетамид,5w) [S-(R*, R*)] -N1-(4-Фторфенил)-N3-гидрокси- 1– (1-мeтилэтил)-2-оксо-3-(3-фенилпропил)-1,3-пирролидиндиацетамид,5x) [S-(R*,R*)]-N3-Гидрокси- 1– (1-метилэтил)-2-оксо- 3-(3-фенилпропил)-N1-(4-пиридинил)-1,3-пирролидиндиацетамид,5y) [S-(R*, R*)] – 1– трет-Бутил-N3-гидрокси-N1– метил-2-оксо-3-(3-фенилпропил)-1,3-пирролидиндиацетамид,5z) [S-(R*, R*)] – 1– трет-Бутил-N1-циклопропил- N3-гидрокси-2-оксо-3-(3-фенилпропил)-1,3-пирролидиндиацетамид,6a) [S-(R*,R*)]- 1– трет-Бутил-N3-гидрокси-2-оксо- N1-фенил-3-(3-фенилпропил)-1,3-пирролидиндиацетамид,6b) [S-(R*, R*)] – 1– трет-Бутил-N1-(4-фторфенил)- N3-гидрокси-2-оксо-3-(3-фенилпропил)-1,3-пирролидиндиацетамид,6c) [S-(R*,R*)]- 1– трет-Бутил-N3-гидрокси-2-оксо-3- (3-фенилпропил)-N1-(4-пиридинил)-1,3-пирролидиндиацетамид,6d) [S-(R*, R*)]- 1– Циклогексил-N3-гидрокси-N1– метил-2-оксо-3-(3-фенилпропил)-1,3-пирролидиндиацетамид,6e) [S-(R*, R*)] – 1– Циклогексил-N1-циклопропил- N3-гидрокси-2-оксо-3-(3-фенилпропил)-1,3-пирролидиндиацетамид,6f) [S-(R*,R*)]- 1– Циклогексил-N3-гидрокси-2-оксо- N1-фенил-3-(3-фенилпропил)-1,3-пирролидиндиацетамид,6g) [S-(R*, R*)] – 1– Циклогексил-N1-(4-фторфенил)- N3-гидрокси-2-оксо-3-(3-фенилпропил)-1,3-пирролидиндиацетамид,6h) [S-(R*, R*)] – 1– Циклогексил-N3-гидрокси-2-oкco- 3-(3-фенилпропил)-N1-(4-пиридинил)-1,3-пирролидиндиацетамид,6i) [S-(R*, R*)] -3-[3-(4-Фторфенил)пропил] -N3-гидрокси- N1-метил- 1– (1-метилэтил)-2-оксо-1,3-пирролидиндиацетамид,6j) [S-(R*, R*)]-N1-циклoпpoпил-3-[3-(4- фторфенил)пропил]-N3-гидрокси- 1– (1-метилэтил)-2-оксо-1,3- пирролидиндиацетамид,6k) [S-(R*,R*)]-3-[3-(4-фторфенил)пропил]-N3-гидрокси- 1– (1-метилэтил)-2-оксо-N1-фенил-1,3-пирролидиндиацетамид,6l) [S-(R*,R*)]-N1-(4-фторфенил)-3-[3-(4-фторфенил)- пропил]-N3-гидрокси- 1– (1-метилэтил)-2-оксо-1,3- пирролидиндиацетамид,6m) [S-(R*,R*)]-3-[3-(4-фторфенил)пропил]-N3-гидрокси- 1– (1-метилэтил)-2-оксо-N1-(4-пиридинил)-1,3- пирролидиндиацетамид,6n) [S-(R*, R*)] – 1– трет-Бутил-3-[3-(4-фторфенил)пропил] – N3-гидрокси-N1-метил-2-оксо-1,3-пирролидиндиацетамид,6o) [S-(R*, R*)] – 1– трет-Бутил-N1-циклопропил-3-[3-(4- фторфенил)пропил]-N3-гидрокси-2-оксо-1,3-пирролидиндиацетамид,6p) [S-(R*,R*)]- 1– трет-Бутил-3-[3-(4-фторфенил)пропил]- N3-гидрокси-2-оксо-N1-фенил-1,3-пирролидиндиацетамид,6q) [S-(R*, R*)] – 1– трет-Бутил-N1-(4-фторфенил)-3-[3-(4- фторфенил)пропил]-N3-гидрокси-2-оксо-1,3-пирролидиндиацетамид,6r) [S-(R*,R*)]- 1– трет-Бутил-3-[3-(4-фторфенил)пропил]- N3-гидрокси-2-оксо-N1-(4-пиридинил)-1,3-пирролидиндиацетамид,6s) [S-(R*, R*)] – 1– Циклогексил-3-[3-(4-фторфенил)пропил] – N3-гидрокси-N1-метил-2-оксо-1,3-пирролидиндиацетамид,6t) [S-(R*, R*)] – 1– Циклогексил-N1-циклопропил-3-[3-(4- фторфенил)пропил]-N3-гидрокси-2-оксо-1,3-пирролидиндиацетамид,6u) [S-(R*, R*)] – 1– Циклогексил-3-[3-(4-фторфенил)пропил] – N3-гидрокси-2-оксо-N1-фенил-1,3-пирролидиндиацетамид,6v) [S-(R*, R*)] – 1– Циклогексил-N1-(4-фторфенил)-3-[3-(4- фторфенил)пропил]-N3-гидрокси-2-оксо-1,3-пирролидиндиацетамид,6w) [S-(R*, R*)] – 1– Циклогексил-3-[3-(4-фторфенил)пропил] – N3-гидрокси-2-оксо-N1-(4-пиридинил)-1,3-пирролидиндиацетамид,6x) [S-(R*, R*)] -3-[3-(Бифен-4-ил)пропил] -N3-гидрокси- N1-метил- 1– (1-метилэтил)-2-оксо-1,3-пирролидиндиацетамид,6y) [S-(R*, R*)] -3-[3-(Бифен-4-ил)пропил]-N1-циклопропил- N3-гидрокси- 1– (1-метилэтил)-2-оксо-1,3-пирролидиндиацетамид,6z) [S-(R*, R*)] -3-[3-(Бифен-4-ил)пропил] -N3-гидрокси- 1– (1-метилэтил)-2-оксо-N1-фeнил-1,3-пирролидиндиацетамид,7a) [S-(R*,R*)]-3-[3-(Бифен-4-ил)пропил]-N1-(4-фторфенил)- N3-гидрокси- 1– (1-метилэтил)-2-оксо-1,3-пирролидиндиацетамид,7b) [S-(R*, R*)] -3-[3-(Бифен-4-ил)пропил] -N3-гидрокси- 1– (1-метилэтил)-2-оксо-N1-(4-пиридинил)-1,3-пирролидиндиацетамид,7c) [S-(R*, R*)] -3-[3-(Бифен-4-ил)пропил] – 1– трет-бутил- N3-гидрокси-N1-метил-2-оксо-1,3-пирролидиндиацетамид,7d) [S-(R*, R*)] -3-[3-(Бифен-4-ил)пропил] – 1– трет-бутил-N1-циклопропил-N3-гидрокси-2-оксо-1,3- пирролидиндиацетамид,7e) [S-(R*, R*)] -3-[3-(Бифен-4-ил)пропил] – 1– трет-бутил- N3-гидрокси-2-оксо-N1-фенил-1,3-пирролидиндиацетамид,7f) [S-(R*, R*)] -3-[3-(Бифен-4-ил)пропил]- 1– трет-бутил- N1-(4-фторфенил)-N3-гидрокси-2-оксо-1,3-пирролидиндиацетамид,7g) [S-(R*, R*)] -3-[3-(Бифен-4-ил)пропил] – 1– трет-бутил- N3-гидрокси-2-оксо-N1-(4-пиридинил)-1,3-пирролидиндиацетамид,7h) [S-(R*, R*)] -3-[3-(Бифен-4-ил)пропил] – 1– циклогексил- N3-гидрокси-N1-метил-2-оксо-1,3-пирролидиндиацетамид,7i) [S-(R*,R*)]-3-[3-(Бифен-4-ил)пропил]- 1– циклогексил- N1-циклопропил-N3-гидрокси-2-оксо-1,3-пирролидиндиацетамид,7j) [S-(R*,R*)]-3-[3-(Бифен-4-ил)пропил]- 1– циклогексил- N3-гидрокси-2-оксо-N1-фенил-1,3-пирролидиндиацетамид,7k) [S-(R*, R*)]-3-[3-(Бифен-4-ил)пропил]- 1– циклогексил- N1-(4-фторфенил)-N3-гидрокси-2-оксо-1,3-пирролидиндиацетамид,7l) [S-(R*,R*)]-3-[3-(Бифен-4-ил)пропил]- 1– циклогексил- N3-гидрокси-2-оксо-N1-(4-пиридинил)-1,3- пирролидиндиацетамид,7m) [S-(R*, R*)]-3-[3-(4′-Фторбифен-4-ил)пропил]-N3– гидрокси-N1-метил- 1– (1-метилэтил)-2-оксо-1,3- пирролидиндиацетамид,7n) [S-(R*, R*)] -3-[3-(4′-Фторбифен-4-ил)пропил] -N1– циклопропил-N3-гидрокси- 1– (1-метилэтил)-2-оксо-1,3- пирролидиндиацетамид,7o) [S-(R*, R*)]-3-[3-(4′-Фторбифен-4-ил)пропил]-N3– гидрокси- 1– (1-метилэтил)-2-оксо-N1-фенил-1,3- пирролидиндиацетамид,7p) [S-(R*, R*)] -3-[3-(4′-Фторбифен-4-ил)пропил] -N1– (4-фторфенил)-N3-гидрокси- 1– (1-метилэтил)-2-оксо-1,3- пирролидиндиацетамид,7q) [S-(R*,R*)]-3-[3-(4′-Фторбифен-4-ил)пропил]-N3– гидрокси- 1– (1-метилэтил)-2-окco-N1-(4-пиридинил)-1,3- пирролидиндиацетамид,7r) [S-(R*, R*)] – 1– трет-бyтил-3-[3-(4′-фторбифен-4-ил)пропил] – N3-гидрокси-N1-метил-2-оксо-1,3-пирролидиндиацетамид,7s) [S-(R*, R*)]- 1– трет-бутил-N1-циклопропил-3-[3-(4′- фторбифен-4-ил)пропил]-N3-гидрокси-2-оксо-1,3-пирролидиндиацетамид,7t) [S-(R*, R*)] – 1– трет-бутил-3-[3-(4′-фторбифен-4-ил)пропил] – N3-гидрокси-2-оксо-N1-фенил-1,3-пирролидиндиацетамид,7u) [S-(R*,R*)]- 1– трет-бyтил-3-[3-(4′-фторбифен-4-ил)пропил]- N1-(4-фторфенил)-N3-гидрокси-2-оксо-1,3-пирролидиндиацетамид,7v) [S-(R*, R*)] – 1– трет-бутил-3-[3-(4′-фторбифен-4-ил)пропил] – N3-гидрокси-2-оксо-N1-(4-пиридинил)-1,3-пирролидиндиацетамид,7w) [S-(R*, R*)] – 1– Циклогексил-3-[3-(4′-фторбифен-4-ил)пропил] – N3-гидрокси-N1-метил-2-оксо-1,3-пирролидиндиацетамид,7x) [S-(R*,R*)]- 1– циклогексил-N1-циклопропил-3-[3-(4′- фторбифен-4-ил)пропил]-N3-гидрокси-2-оксо-1,3-пирролидиндиацетамид,7y) [S-(R*, R*)] – 1– циклогексил-3-[3-(4′-фторбифен-4-ил)пропил] – N3-гидрокси-2-оксо-N1-фенил-1,3-пирролидиндиацетамид,7z) [S-(R*, R*)] – 1– циклогексил-3-[3-(4′-фторбифен-4-ил)пропил] – N1-(4-фторфенил)-N3-гидрокси-2-оксо-1,3-пирролидиндиацетамид,8a) [S-(R*, R*)] – 1– -циклогексил-3-[3-(4′-фторбифен-4-ил)пропил] – N3-гидрокси-2-оксо-N1-(4-пиридинил)-1,3-пирролидиндиацетамид,8b) Получение [S-(R*,R*)]-3-гептил-N3-гидрокси-N1– метил- 1– (1-метилэтил)-2-оксо-1,3-пирролидиндиацетамида,8c) Получение [S-(R*, R*)] -N1-циклопропил-3-гептил- N3-гидрокси- 1– (1-метилэтил)-2-оксо-1,3-пирролидиндиацетамида,8d) Получение [S-(R*, R*)]-3-гeптил-N3-гидрокси- 1– (1-метилэтил)-2-оксо-N1-фенил-1,3-пирролидиндиацетамида,8e) Получение [S-(R*, R*)]-3-гептил-N1-(4-фторфенил)- N3-гидрокси- 1– (1-метилэтил)-2-оксо-1,3-пирролидиндиацетамида,8f) Получение [S-(R*, R*)]-3-гептил-N3-гидрокси- 1– (1-метилэтил)-2-оксо-N1-(4-пиридинил)-1,3-пирролидиндиацетамида,8g) Получение [S-(R*, R*)] – 1– трет-бутил-3-гептил-N3– гидрокси-N1-метил-2-оксо-1,3-пирролидиндиацетамида,8h) Получение [S-(R*, R*)] – 1– трет-бутил-N1– циклопропил-3-гептил-N3-гидрокси-2-оксо-1,3- пирролидиндиацетамида,8i) Получение [S-(R*, R*)]- 1– трет-бутил-3-гептил-N3– гидрокси-2-оксо-N1-фeнил-1,3-пирролидиндиацетамида,8j) Получение [S-(R*,R*)]- 1– трет-бутил-N1-(4- фторфенил)-3-гептил-N3-гидрокси-2-оксо-1,3- пирролидиндиацетамида,8k) Получение [S-(R*, R*)]- 1– трет-бутил-3-гептил-N3– гидрокси-2-оксо-N1-(4-пиридинил)-1,3-пирролидиндиацетамида,8l) Получение [S-(R*, R*)] – 1– циклогексил-3-гептил-N3– гидрокси-N1-метил-2-оксо-1,3-пирролидиндиацетамида,8m) Получение [S-(R*, R*)]- 1– циклогексил-N1– циклопропил-3-гептил-N3-гидрокси-2-оксо-1,3- пирролидиндиацетамида,8n) Получение [S-(R*,R*)]- 1– циклогексил-3-гептил-N3– гидрокси-2-оксо-N1-фенил-1,3-пирролидиндиацетамида,8o) Получение [S-(R*,R*)]- 1– циклогексил-3-гептил-N1– (4-фторфенил)-N3-гидрокси-2-оксо-1,3-пирролидиндиацетамида,8p) Получение [S-(R*,R*)]- 1– циклогексил-3-гептил-N3– гидрокси-2-оксо-N1-(4-пиридинил)-1,3-пирролидиндиацетамида.
Соединения, представленные общей формулой I, могут быть получены в соответствии с методиками, показанными на Схемах A-D (см. вконце описания).
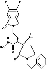
Как показано на Схеме A-1, структуру 2 легко получают из структуры 1 (коммерчески доступной) в соответствии с методиками, описанными в J. Am. Chem. Soc. Vol. 75, 3679 (1953). Для проведения алкилирования структуры 2 требуется алкильная группа (R1), присоединенная к подходящей уходящей группе. Алкилирование проводят в присутствии подходящего основания, такого как диизопропиламид лития (ДАЛ), при подходящей температуре в интервале от -78oC до 5oC с образованием структуры 3. Сложноэфирную боковую цепь структуры 4 вводят алкилированием соединения 3 алкил(R’ = C1-6 алкил)бромацетатом в присутствии подходящего основания, такого как ДАЛ, в подходящем растворителе, таком как тетрагидрофуран (ТГФ), при подходящей температуре в интервале от -78oC до 0oC. Гидролиз структуры 4, проводимый в соответствии с методиками, хорошо известными специалистам в данной области, позволяет получить структуру 5, которую затем превращают в гидроксамат 6 реакцией структуры 5 с гидроксиламингидрохлоридом и 1-(3-диметиламинопропил)-3-этилкарбодиимидгидрохлоридом (ЭДК) в качестве кислотного активирующего агента при подходящей температуре в интервале от -20oC до 20oC. Реакция протекает в присутствии катализатора, такого как 1-гидроксибензотриазолгидрат (ГОБТ), и подходящего акцептора кислоты, такого как N-метилморфолин, в подходящем растворителе, таком как ДМФ, CH2Cl2 или их смесь. Альтернативно алкилирование структуры 4 галогенидом I-R2 (I представляет собой галоген, R2 определен выше), проводимое в соответствии с методиками, хорошо известными специалистам в данной области, позволяет получить структуру 7. Например, алкилирование 4 аллилбромидом позволяет ввести алкильную группу в -положение боковой цепи, применяя подходящее основание, такое как ДАЛ, в подходящем растворителе, таком как ТГФ, при подходящей температуре в интервале от -78oC до 25oC. Полученный аллильный промежуточный продукт затем превращают в соответствующий спирт озонолизом и восстановлением NaBH4 или гидроборированием 9-BBN. Во многих случаях спирты превращают во фталимид в соответствии с методикой Mitsunobu. Альтернативно спирт может быть превращен в уходящую группу (такую как Ms, Ts), которую впоследствии замещают желаемым нуклеофилом, таким как SR, NR2, OR и т.д. Остальные стадии синтеза структуры 9 из структуры 7 сходны с описанными выше.
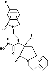
Несколько отличную методику применяют для получения соединения 16, как показано на Схеме A-2, которое включает концевой амид R4 (R4 определен выше за исключением того, что R4 не является водородом). Алкилирование коммерчески доступного 10 позволяет получить лактам 11 в соответствии с методиками, описанными в Fisher, M. J. и Overman, L.E., J. Org. Chem., vol. 55, pp. 1447-1459 (1990). Лактам 11 взаимодействует с аллилбромидом с образованием 12. Выход данной реакции обычно довольно высок. Алкилирование 12 этилбромацетатом позволяет получить сложный эфир 13. Структуру 13 затем превращают в соответствующий амид 14 с последующим окислением тетроксидом рутения в смеси растворителей, таким как четыреххлористый углерод, вода и ацетонитрил, при комнатной температуре, что позволяет получить пирролидинуксусную кислоту 15. Стадия получения структуры 16 из структуры 15 сходна с описанной выше в Схеме A-1.
На Схеме A-3 проиллюстрирована другая методика получения соединений формулы I. Как показано на Схеме А-3, взаимодействие структуры 10 с ди-трет-бутилдикарбонатом в присутствии ДМАП позволяет получить защищенный лактам 17. Алкилирование соединения 17 алкил- или алкилгалогенидами в присутствии НМРА позволяет получить лактам 18. Сложноэфирную боковую цепь структуры 19 вводят алкилированием 18 алкилбромацетатом, как показано на Схеме A-1. В структуре 19 может быть снята защита с применением метоксида магния в подходящем растворителе в соответствии с методикой, описанной в Tetrahedron Lett. Vol. 35, p. 847 (1994) с получением структуры 20. Альтернативно алкилирование 19 галогенидом I-R2, проводимое в соответствии с методиками, хорошо известными специалистам в данной области, позволяет получить структуру 21. Снятие защиты у структуры 21 позволяет получить структуру 22. Заместитель R может быть введен непосредственно путем N-алкилирования соединения 20 или 22 желаемым галогенидом с применением подходящего основания, такого как гидрид натрия, в подходящем растворителе, таком как ТГФ или ДФМ, с получением структур 4 или 7 соответственно.
При желании, лактамы 20 и 22 могут быть разделены с помощью хиральной ЖХВР или химических методик с получением соответствующих энантиомеров, как показано в примерах 2 и 28. Каждый энантиомер может быть преобразован в подходящие хиральные аналоги 20a и 22a, как показано на Схеме A-4. Лактам 20 и 22 или в виде рацемической смеси или в виде отдельных энантиомеров применяют на стадиях алкилирования, как описано на Схемах A-3 и A-4. Как показано на Схеме A-4, алкилирование лактама 20a или 22a трифлатом 23 позволяет получить 24 и 28 соответственно. Для простоты изложения представлены только единственный энантиомер 20a или 22a и трифлат 23. Данная реакция может быть проведена как с рацемической смесью, так и с отдельным энантиомером. Трифлат 23 может быть получен в соответствии с методикой, описанной в J. Org. Chem., vol. 58, pp. 2725-2737 (1993). Предпочтительный способ получения 24 включает депротонирование 20a подходящим основанием, таким как гидрид натрия, в подходящем растворителе, таком как ТГФ, при температуре в интервале от -20oC до 15oC с последующим добавлением трифлата 25. Нагревание до температуры окружающей среды позволяет получить желаемую структуру 24. В случае применения рацемата 20 диастереомеры могут быть разделены на данной стадии с помощью хроматографии на силикагеле или ЖХВР. Гидролиз метилового сложного эфира 24 водным NaOH ведет к образованию 25, что после образования амида в соответствии с методикой, изложенной на Схеме A-3, позволяет получить 26. Остальные стадии синтеза, позволяющие получить структуру 27 из структуры 26, сходны с описанными на Схеме A-1. Соединения, представленные структурой 31, получают подобным образом.
Альтернативно для получения отдельного энантиомера может быть применена энантиоспецифичная методика, как показано на Схеме A-5. Для проведения алкилирования коммерчески доступного соединения 32 требуется алкил или аллил (R1), присоединенные к уходящей группе, и в присутствии подходящего основания, такого как диизопропиламид лития (ДАЛ), (алкилирование) позволяет получить структуру 33 в виде смеси диастереомеров по C-3-положению кольца. Смесь алкилируют аллилбромидом с получением 34 в оптически чистой форме, как показано на A-5. Тритильную группу удаляют ТФУ с получением соединения 35, которое превращают в лактол 36 в соответствии с методикой, описанной в J. Chem. Soc. C. C. Pp. 1119-1122 (1989). Ключевую стадию циклизации проводят довольно просто реакцией лактола 36 с амином 37 в присутствии цианоборгидрида натрия с последующим кипячением сырого нециклизованного промежуточного продукта с обратным холодильником в толуоле с получением 38 в виде отдельного изомера. Амин 37 может быть получен превращением коммерчески доступной L- или D-аминокислоты в соответствующий амин в соответствии с методиками, хорошо известными специалистам в данной области. После проведения реакций, изложенных на Схеме A-2, олефин окисляют тетроксидом рутения с получением соединения 39, которое конденсируют с O-бензилгидроксиламингидрохлоридом (CDI, ТГФ) и затем снимают защиту гидрированием с помощью палладия на угле с получением 41.
Как показано на Схемах B-E, синтезирован ряд других кольцевых систем. На Схеме В проиллюстрирована методика получения 2,5-диоксопирролидинов. Окисление соединения 4 с помощью тетроксида рутения в присутствии перйодата натрия в подходящем растворителе, таком как вода/ацетонитрил/четыреххлористый углерод, при температуре окружающей среды позволяет получить 42. Гидроксамат 43 получают способом, сходным с описанным на Схеме A-1.
Для синтеза аналогов гидантоина разработано два различных синтетических пути, как показано на Схемах C-1 и C-2. По Схеме C-1 N-алкилирование 1-метилгидантоина 44 2-бромэтил-бензолом проводят в присутствии подходящего основания, такого как гидрид натрия, в подходящем растворителе, таком как ДМФ, при температуре в интервале от -20oC до 15oC. Последующее C-алкилирование галогенидом в присутствии подходящего основания, такого как ДАЛ, при температуре в интервале от -78oC до 15oC позволяет получить 46. Образование четвертичного центра посредством C-алкилирования алкилбромацетатом в присутствии подходящего основания, такого как ДАЛ, при температуре в интервале от -78oC до 15oC позволяет получить 47. После проведения изложенных ранее методик проводят превращение 47 в гидроксамат 48. Альтернативный подход разработан для синтеза незамещенного (1-H) аналога гидантоина 48. Аминокислота 49 может быть получена в соответствии с методиками, описанными в Dellaria, J.F. , J. Org. Chem., vol. 53, p. 5607 (1988). После проведения общей методики по Van der Veen J.M. et al. J.C.S. Perkin II, pp. 653-658 (1979) аминокислота 49 взаимодействует с подходящим замещенным изоцианатом с последующей циклизацией в кислых условиях с образованием гидантоина 50. Остальные стадии синтеза, которые дают структуру 52, сходны с описанными ранее.
На Схеме D проиллюстрирован способ получения пиразолидиноновой кольцевой системы. Защиту пиразолидинона 53 проводят в соответствии с методиками, описанными в Perri, S.T., J. Org. Chem., vol. 55, pp. 6037-6047 (1990). Последующие N-алкилирование и C-алкилирование, описанные ранее, приводят к образованию структуры 57. Над смесью 57 и катализатора Pearlman в подходящем растворителе, таком как MeOH, при температуре окружающей среды пропускают водород с получением желаемого соединения 58.
Фармацевтические композиции по данному изобретению могут быть приготовлены смешиванием соединений формулы I по данному изобретению с твердым или жидким фармацевтически приемлемым носителем и, необязательно, с фармацевтически приемлемыми адъювантами и наполнителями с применением стандартных и традиционных технологий. Твердые композиции включают порошки, таблетки, диспергируемые гранулы, капсулы и суппозитории. Твердый носитель может представлять собой, по крайней мере, одно вещество, которое также может функционировать в качестве разбавителя, корригента, солюбилизатора, смазывающего вещества, суспендирующего средства, связывающего средства, разрыхляющего таблетки средства и инкапсулирующего средства. Инертные твердые носители включают карбонат магния, стеарат магния, тальк, сахар, лактозу, пектин, декстрин, крахмал, желатин, целлюлозные вещества, воск с низкой точкой плавления, масло какао и тому подобное. Жидкие композиции включают растворы, суспензии и эмульсии. Например, они могут представлять собой растворы соединений по данному изобретению в воде, водопропиленгликолевой и водополиэтиленгликолевой системах, необязательно содержащих традиционные красители, корригенты, стабилизаторы и загустители.
Фармацевтическую композицию получают в соответствии с традиционными методиками. Предпочтительно, композиция находится в разовой дозированной форме, содержащей эффективное количество активного компонента, то есть соединений формулы I по данному изобретению.
Количество активного компонента, то есть соединений формулы I по данному изобретению, в фармацевтической композиции и ее разовой дозированной форме может изменяться или устанавливаться в широких пределах в зависимости от конкретного способа применения, эффективности конкретного соединения и желаемой концентрации. Как правило, количество активного компонента изменяется в интервале от 0,5% до 90% по массе композиции.
При применении в терапевтических целях для лечения пациента, страдающего или подверженного заболеваниям, при которых имеет место деградация соединительной ткани, или для ингибирования различных ферментов из семейства металлопротеиназ матрицы, включая коллагеназу, стромелизин и желатиназу, соединения или содержащие их фармацевтические композиции будут вводиться перорально, парентерально и/или местно в дозах, необходимых для достижения и поддержания концентрации, то есть количества или уровня содержания в крови активного компонента у пациента, проходящего курс лечения, которое будет эффективно для ингибирования таких ферментов. Как правило, эффективное количество активного соединения будет находиться в интервале от приблизительно 0,1 до приблизительно 100 мг/кг. Следует понимать, что дозы могут изменяться в зависимости от показаний пациента, тяжести подлежащего лечению состояния деградации соединительной ткани и конкретных применяемых соединений. Также следует понимать, что вводимая начальная доза может быть увеличена сверх верхнего предела в целях быстрейшего достижения желаемого уровня содержания в крови, либо начальная доза может быть меньше, чем оптимальная, и суточная доза может быть прогрессивно увеличена в ходе лечения в зависимости от конкретной ситуации. При желании, суточная доза может быть также разделена на несколько доз для введения, например, от двух до четырех раз в сутки.
Соединения по настоящему изобретению ингибируют различные ферменты семейства металлопротеиназ матрицы, включая коллагеназу, стромелизин и желатиназу, и, следовательно, применимы для лечения заболеваний, связанных с металлоэндопротеиназами матрицы, таких как остеоартрит, ревматоидный артрит, септический артрит, нарушения остеогенеза, такие как остеопороз, метастазы опухоли (инвазия и рост), периодонтит, гингивит, язва роговицы, язва кожи, язва желудка и другие заболевания, связанные с деградацией соединительной ткани. Такие заболевания и состояния хорошо известны и хорошо поддаются диагностике квалифицированными терапевтами.
Данные соединения способны ингибировать секрецию цитокинов, включая фактор некроза опухоли (TNF ), и, следовательно, могут быть также применены для лечения воспалительных состояний, лихорадочных состояний, острых инфекционных заболеваний и шока. Вообще предпочтительной формой введения является пероральное введение.
Фармацевтические композиции для парентерального введения, как правило, будут содержать фармацевтически приемлемое количество соединений формулы I в виде растворимой соли (кислотно-аддитивной соли или основно-аддитивной соли), растворенной в фармацевтически приемлемом жидком носителе, таком как, например, вода для инъекций или подходящим образом забуференный изотонический раствор, имеющий значение pH приблизительно 3,5-6. Подходящие буферные агенты в том числе включают, например, трехзамещенный ортофосфат натрия, бикарбонат натрия, цитрат натрия, N-метилглюкамин, L-(+)-лизин и L-(+)-аргинин. Соединения формулы I обычно растворяют в носителе в количестве, достаточном для достижения фармацевтически приемлемой концентрации для инъекции в интервале от приблизительно 1 мг/мл до приблизительно 400 мг/мл. Полученную жидкую фармацевтическую композицию вводят таким образом, чтобы достичь указанного выше эффективного ингибирующего уровня дозы. Соединения формулы I по данному изобретению преимущественно вводят перорально в твердых и жидких дозированных формах.
Ингибирующую активность оценивают в отношении одного или более ферментов ММР (стромелизин, желатиназа и коллагеназа) in vitro, применяя флуоресцентные методы определения концентрации частиц. Связывающийся с ферментами ММР ингибитор предотвращает разрушение субстрата стромелизина, желатиназы или коллагеназы. Субстрат связывается с флюоресцеином и биотином. Интактный субстрат затем связывается с покрытой авидином частицей через биотиновую часть. Как только частицу промывают и высушивают, генерируется флюоресцентный сигнал, поскольку к частице присоединена флюоресцентная группа. В отсутствие ингибитора субстрат разрушается ферментами ММР и флюоресцентная группа удаляется, таким образом, какого-либо флюоресцентного сигнала зарегистрировано быть не может. Тестируемые соединения растворяют в ДМСО в желаемой концентрации, затем растворы разбавляют 1:5 буфером ММР (50 мМ Трис-HCl, pH 7,5; 150 мМ NaCl; 0,02% NaN3). Готовят серийные двухкратные разведения каждого соединения. Концентрированный раствор активированного фермента переносят в каждый планшет с тестируемыми соединениями и смесь инкубируют при комнатной температуре в течение 15 минут. Затем во все планшеты добавляют оттаявший субстрат ММР, и планшеты инкубируют в темноте в течение 1-3 часов при комнатной температуре. Затем смесь субстрата подвергают реакции с покрытыми 0,1% авидином полистироловыми частицами. Через 15 минут оценивают значения ингибирующей активности с помощью анализа Ki. Данные по ингибирующей способности соединений по данному изобретению показаны в таблице 1. Ожидается, что соединения с наиболее низкими значениями Ki окажутся наиболее эффективными в качестве ингибиторов ММР. Ожидается, что соединение, имеющее значение Ki менее чем 15 мкМ по любой из ММР, будет оказывать терапевтическое воздействие при заболеваниях соединительной ткани.
Следующие экспериментальные примеры представлены в целях более полной иллюстрации данного изобретения и способа его применения на практике, но их не следует понимать как ограничивающие его.
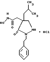
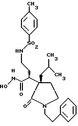
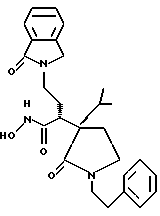
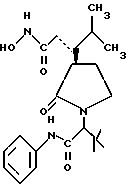
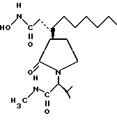
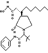
ПРИМЕР 1Получение N-гидрокси-3-(2-метилпропил)-2-оксо-1-(2- фенилэтил)-3-пирролидинацетамида ![]() Стадия 1 Получение 1-(2-фенилэтил)-2-пирролидинона В соответствии с методикой Boekelheide и Godfrey (J. Am. Chem. Soc. 1953, 75, 3679) -бутиролактон (50,0 мл, 650 ммоль) и фенетиламин (85,0 мл, 677 ммоль) нагревают в герметичном реакционном сосуде от комнатной температуры до 200oC в течение 2,5 часов, при 280-300oC в течение 2 часов и дают охладиться до комнатной температуры. Реакционную смесь перегоняют (1,5 мм, 130-144oC) с получением 107 г указанного в заголовке соединения, которое затвердевает при стоянии (т. пл. 50,5-52,5oC).
ИК (минеральное масло) 3334, 3079, 3022, 1671, 1634, 1498, 1493, 1433, 1425, 1328, 1280, 1248, 1156, 759, 707 cm-1;1H NMR (300 MHz, CDCl3) 7.10-7.35, 3.53, 3.25, 2.84, 2.35, 1.8-2.0;MS (EI) m/z 189, 104, 98, 70. Стадия 2 Получение 3-(2-метилпропил)-1-(2-фенилэтил)-2-пирролидинона Раствор 1-(2-фенилэтил)-2-пирролидинона (500 мг, 2,64 ммоль) и ТГФ (6 мл) охлаждают до -78oC. Имеет место некоторое выпадение осадка и добавляют 2 мл ТГФ. Добавляют раствор диизопропиламида лития (ДАЛ, 1,4 мл, 2,8 ммоль, 2,0 М в гептане/ТГФ/этилбензоле) и смесь перемешивают при -78oC в течение 40 минут, получая темно-коричневый раствор. К данному раствору добавляют 1-йод-2-метилпропан (0,37 мл, 3,2 ммоль). Раствору дают нагреться от -78oC до 5oC в течение 2,5 часов. После остановки реакции насыщенным водным хлоридом аммония, водной обработки (EtOAc, MgSO4) и очистки методом колоночной хроматографии (20% EtOAc/гексан) получают 642 мг (99%) указанного в заголовке соединения в виде белого твердого вещества (т. пл. 69-71oC). ИК (минеральное масло) 3032, 3002, 1665, 1632, 1499, 1441, 1425, 1303, 1271, 1168, 772, 745, 704, 619 cm-1; 1H NMR (300 MHz, CDCl3) ![]() MS (EI) m/z 245, 189, 154, 126, 98, 54. Стадия 3 Получение трет-бутил-3-(2-метилпропил)-2-оксо-1-(2- фенилэтил)-3-пирролидинацетата ДАЛ (2,0 М, 11,5 мл, 23,0 ммоль) добавляют к раствору 3-(2-метилпропил)-1-(2-фенилэтил)-2-пирролидинона (4,70 г, 19,2 ммоль) и ТГФ (80 мл) при -78oC. Раствор перемешивают при -78oC в течение 45 минут и добавляют трет-бутилбромацетат (3,4 мл, 23 ммоль). Раствору позволяют нагреться до 0oC в течение 2 часов и оставляют перемешиваться в течение ночи при комнатной температуре. После остановки реакции насыщенным водным хлоридом аммония, водной обработки (EtOAc, MgSO4) и очистки по методу колоночной хроматографии (10% EtOAc/5% CH2Cl2/гексан) получают 4,67 мг (68%) указанного в заголовке соединения в виде бесцветного масла. Аналитический образец кристаллизуют из гексана (т. пл. 50oC). ИК (жидк) 2957, 2930, 2870, 1728, 1688, 1497, 1455, 1444, 1429, 1367, 1347, 1278, 1258, 1156, 701 cm-1; 1H NMR (300 MHz, CDCl3) 7.15-7.35, 3.6-3.75, 3.35-3.5, 3.15-3.25, 2.85, 2.43, 2.05-2.2, 1.9-2.0, 1.55-1.7, 1.35-1.5, 1.42, 0.88, 0.86;MS (EI) m/z 359, 303, 286, 268, 247, 212, 184, 166, 156, 138, 105. Стадия 4 Получение 3-(2-метилпропил)-2-оксо-1-(2-фенилэтил)-3- пирролидинуксусной кислоты Раствор трет-бутил-3-(2-метилпропил)-2-оксо-1-(2-фенилэтил)- 3-пирролидинацетата (659 мг, 1,83 ммоль), трифторуксусной кислоты (6,5 мл) и CH2Cl2 (6,5 мл) перемешивают при комнатной температуре в течение 1 часа. Раствор концентрируют из CH2Cl2 (3 х 50 мл) растворяют в 1н NaOH (10 мл) и основный слой экстрагируют добавлением Et2O (2 х 25). Значение pH основного слоя доводят до pH 1 6н NCl. Кислый слой экстрагируют CH2Cl2 (2 х 25 мл), объединенные CH2Cl2 слои сушат (MgSO4), фильтруют и концентрируют с получением 511 мг (92%) указанного в заголовке соединения в виде бесцветного масла. ИК (минеральное масло) 3065, 3029, 1738, 1647, 1497, 1440, 1304, 1213, 1183, 1171, 1152, 1112, 756, 733, 701 cm-1; 1H NMR (300 MHz, CDCl3) 7.10-7.35, 3.50-3.70, 3.15-3.35, 2.89, 2.55, 2.05-2.15, 1.60-1.85, 1.57, 1.36, 0.91, 0.87;MS (EI) m/z 303, 247, 213, 212, 184, 166, 156, 138, 105, 104. Стадия 5 Получение N-гидрокси-3-(2-метилпропил)-2-оксо-1-(2- фенилэтил)-3-пирролидинацетамида Твердый 1-(3-диметиламинопропил)-3-этилкарбодиимидгидрохлорид (ЭДК, 451 мг, 2,35 ммоль) добавляют к раствору 3-(2-метилпропил)-2-оксо-1-(2-фенилэтил)-3-пирролидинуксусной кислоты (595 мг, 1,96 ммоль), 1-гидроксибензотриазолгидрата (ГОБТ, 281 мг, 2,08 ммоль) и 4-метилморфолина (0,26 мл, 2,4 ммоль) в CH2Cl2 (19 мл) и ДМФ (4 мл) при 0oC. Раствор перемешивают при 0oC в течение 1 часа, а затем добавляют чистый раствор гидроксиламингидрохлорида (204 мг, 2,94 ммоль) и 4-метилморфолина (0,32 мл, 2,9 ммоль) в ДМФ (2,7 мл). После перемешивания при комнатной температуре в течение ночи смесь концентрируют в глубоком вакууме и подвергают очистке методом колоночной хроматографии (3% MeOH/CH2Cl2). Кристаллизация из Et2O/гексана позволяет получить 193 мг (31%) указанного в заголовке соединения в виде белого твердого вещества (т. пл. 123-124oC). ИК (минеральное масло) 3205, 3071, 3026, 1664, 1638, 1496, 1353, 1316, 1296, 1283, 1271, 1078, 982, 751, 705 cm-1; 1H NMR (300 MHz, CDCl3) 7.15-7.35, 3.55, 3.10-3.30, 2.84, 2.39, 1.85-2.20, 1.55-1.75, 1.50, 1.32, 0.88, 0.85;MS (EI) m/z 318, 227, 211, 193, 182, 166, 154, 138, 110, 105. ПРИМЕР 2 Получение (3S)-N-Гидрокси-3-(2-метилпропил)-2-оксо-1-(2- фенилэтил)-3-пирролидинацетамида ![]() Разделение трет-бутил-3-(2-метилпропил)-2-оксо-1-(2- фенилэтил)-3-пирролидинацетата. Раствор 50 мг/мл рацемического трет-бутил-3-(2-метилпропил)-2-оксо-1-(2-фенилэтил)-3-пирролидинацетата (пример 1, стадия 3) готовят в подвижной фазе, которая состоит из 10% изопропанола в гексане (по объему). Аликвоты 3,5 мл (175 мг) вводят в колонку Chiralpak AD 2,1 х 25 см (Chiral Technologies, Inc. ). Элюцию через колонку осуществляют со скоростью 10 мл/мин, а регистрацию проводят при 220 нм. Два энантиомера собирают, используя программу узнавания пиков, и фракции собирают соответственно. Каждый энантиомер получают с >99% эи. Энантиомерный избыток определяли на колонке Chiralpak AD 0,46 х 25 см (Chiral Technologies, Inc.), элюированной тем же растворителем со скоростью 0,5 мл/мин и с регистрирующим устройством, установленным на 220 нм. Значения времени удерживания здесь составляют 12,2 и 23,0 минут ( = 2,61).
Следуя общей методике, изложенной в примере 1 (стадии 4-5), используя незначительные изменения, исходя из (S)-трет-бутил-3-(2- метилпропил)-2-оксо-1-(2-фенилэтил)-3- пирролидинацетата (более быстро вымываемый энантиомер, описанный выше), получают указанное в заголовке соединение.
1H NMR (300 MHz, CDCl3) 7.10-7.35, 3.40-3.70, 3.10-3.30, 2.75-2.95, 2.38, 1.15-2.20, 0.75-1.00.
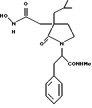
ПРИМЕР 3Получение N-гидрокси- -метил-3-(2-метилпропил)-2-оксо-1-(2- фенилэтил)-3-пирролидинацетамида![]() Стадия 1 Получение трет-бутил- -метил-3-(2-метилпропил)-2-оксо-1-(2- фенилэтил)-3-пирролидинацетатаДАЛ (1,5 мл, 3,0 ммоль, 2,0 М в гептане/ТГФ/этилбензоле) добавляют к раствору трет-бутил-3-(2-метилпропил)-2-оксо-1-(2- фенилэтил)-3-пирролидинацетата (967 мг, 2,69 ммоль) и ТГФ (11,0 мл) при -78oC. Раствор перемешивают при -78oC в течение 30 минут и затем добавляют йодметан (0,19 мл, 3,1 ммоль). Раствор перемешивают при -78oC в течение 2 часов и затем раствору позволяют медленно нагреться до комнатной температуры в течение ночи. Водная обработка (EtOAc, MgSO4) и очистка методом флэш-хроматографии (1:1 гексан: EtOAc) позволяют получить 791 мг (79%) указанного в заголовке соединения в виде масла. ИК (жидк. ) 2975, 2956, 2931, 2869, 1724, 1686, 1497, 1455, 1429, 1367, 1279, 1257, 1153, 1114, 700 cm-1; 1H NMR (300 MHz, CDCl3) 7.15-7.35, 3.60-3.75, 3.30-3.45, 3.25, 2.82, 2.65, 2.25-2.40, 1.50-1.80, 1.35-1.50, 1.40, 1.12, 0.86, 0.84;MS (EI) m/z 373, 317, 300, 282, 261, 227, 226, 152, 105, 104, 57. Стадия 2 Получение -метил-3-(2-метилпропил)-2-оксо-1-(2- фенилэтил)-3-пирролидинуксусной кислотыТФУ (10,0 мл) добавляют к раствору трет-бутил- -метил-3-(2-метилпропил)-2-оксо-1-(2-фенилэтил)-3-пирролидинацетата (780 мг, 2,09 ммоль) и CH2Cl2 (10 мл) при 0oC. Раствор перемешивают в течение 2,5 часов при 0oC и 1,5 часов при комнатной температуре. После концентрирования остаток разделяют между EtOAc и водой. Органический слой экстрагируют несколько раз 10% NaOH, объединенные основные слои подкисляют (4н HCl) и кислые слои экстрагируют несколько раз CH2Cl2. CH2Cl2 слои сушат (MgSO4), фильтруют и концентрируют с получением 79 мг (12%) указанного в заголовке соединения в виде белого твердого вещества (т. пл. 94-95o).
ИК (минеральное масло) 2400, 1731, 1616, 1505, 1497, 1488, 1443, 1354, 1326, 1289, 1266, 745, 736, 702, 607 cm-1;1H NMR (300 MHz, CDCl3) 7.15-7.35, 3.65-3.85, 3.45-3.60, 3.20-3.40, 2.90, 2.59, 1.50-2.10, 1.06, 0.89, 0.85;MS (EI) m/z 317, 261, 227, 226, 216, 180, 152, 105, 104, 55. Стадия 3 Получение N-бензилокси- -метил-3-(2-метилпропил)-2-оксо-1-(2- фенилэтил)-3-пирролидинацетамидаК раствору -метил-3-(2-метилпропил)-2-оксо-1-(2-фенилэтил)-3- пирролидинуксусной кислоты (74,0 мг, 0,233 ммоль) и CH2Cl2 (2,0 мл) добавляют CDI (39,7 мг, 0,245 ммоль). Раствор перемешивают в течение 1 часа при комнатной температуре. К нему добавляют O-бензилгидроксиламин HCl (63,2 мг, 0,396 ммоль) и N-метилморфолин (44 мкл, 0,40 ммоль). Полученный раствор перемешивают в течение 16 часов при комнатной температуре. Водная обработка (CH2Cl2, MgSO4) и очистка методом флэш-хроматографии (2:1 EtOAc:гексан) позволяют получить 88,1 мг (89%) указанного в заголовке соединения в виде масла.
ИК (жидк. ) 3230, 3063, 3029, 2956, 2936, 2869, 1664, 1497, 1454, 1367, 1310, 1282, 1029, 748, 699 cm-1;1H NMR (300 MHz, CDCl3) 10.16, 7.10-7.45, 4.87, 3.35-3.60, 3.10-3.30, 2.81, 2.42, 2.10-2.30, 1.75-1.90, 1.35- 1.70, 1.05, 0.85, 0.79;MS (EI) m/z 422, 300, 225, 196, 152, 105, 104, 91, 77, 69, 55. Стадия 4 Получение N-гидрокси- -метил-3-(2-метилпропил)-2- оксо-1-(2-фенилэтил)-3-пирролидинацетамидаСмесь N-бензилокси- -метил-3-(2-метилпропил)-2-оксо-1-(2- фенилэтил)-3-пирролидинацетамида (80,0 мг, 0,189 ммоль), MeOH (4,5 мл) и катализатора Pearlman (15 мг) помещают в атмосферу водорода. Смесь перемешивают при комнатной температуре в течение 4 часов. Смесь фильтруют, твердые вещества промывают MeOH (4 х 5 мл) и фильтрат концентрируют с получением 55,9 мг масла. Кристаллизация из гексана позволяет получить 46,9 мг (75%) указанного в заголовке соединения в виде белого твердого вещества (т. пл. 107-108oC).
ИК (минеральное масло) 3227, 3044, 3026, 1658, 1641, 1498, 1436, 1294, 1262, 1031, 774, 735, 713, 695, 611 cm-1;MS (FAB) m/z 333, 332, 301, 300, 272, 105, 69, 55, 41. ПРИМЕР 4 Получение -[2-(1,3-дигидро-1,3-диоксо-2Н-изоиндол-2- ил)этил]-N-гидрокси-3-(2-метилпропил)-2-оксо-1-(2-фенилэтил)-3- пирролидинацетамида![]() Стадия 1 Получение трет-бутил-3-(2-метилпропил)-2-оксо-1-(2-фенилэтил)- -(пропен-2-ил)-3-пирролидинацетатаДАЛ (2,0 М, 7,7 мл, 16 ммоль) добавляют к раствору трет-бутил-3-(2-метилпропил)-2-оксо-1-(2-фенилэтил)-3-пирролидинацетата (пример 1, стадия 3; 4,62 г, 12,9 ммоль) и ТГФ (45 мл) при -78oC. Раствор перемешивают при -78oC в течение 45 минут и добавляют аллилбромид (1,3 мл, 16 ммоль). Раствору позволяют нагреться до 0oC в течение 2 часов и оставляют перемешиваться в течение ночи при комнатной температуре. После остановки реакции насыщенным водным хлоридом аммония, водной обработки (EtOAc, MgSO4) и очистки методом колоночной хроматографии (2:1:17 (по объему) EtOAc:CH2Cl2:гексан) получают 4,43 мг (86%) указанного в заголовке соединения в виде желтого масла, которое затвердевает при стоянии (т. пл. 54,5-56oC). ИК (минеральное масло) 1712, 1686, 1641, 1497, 1432, 1298, 1281, 1270, 1250, 1237, 1205, 1155, 912, 752, 702, cm-1; 1H NMR (300 MHz, CDCl3) 7.15-7.35, 5.65-5.8, 4.95-5.1, 3.55-3.7, 3.3-3.45, 3.15-3.25, 2.82, 2.53, 2.2-2.5, 1.7-1.85, 1.5-1.65, 1.35-1.45, 1.40, 0.87, 0.83;MS (EI) m/z 399, 343, 326, 308, 253, 252, 234, 202, 105, 57. Стадия 2 Получение трет-бутил- -(2-гидроксиэтил)-3-(2-метилпропил)-2- оксо-1-(2-фенилэтил)-3-пирролидинацетатаЧерез раствор трет-бутил-3-(2-метилпропил)-2-оксо-1-(2-фенилэтил)- -(пропен-2-ил)-3-пирролидинацетата (555 мг, 1,39 ммоль) и EtOH (12 мл) пропускают озон при -78oC в течение 5 минут. Затем через раствор в течение 5 минут пропускают азот. Добавляют боргидрид натрия (79 мг, 2,1 ммоль) и смеси позволяют медленно нагреться и ее перемешивают при комнатной температуре в течение ночи. Смесь концентрируют почти досуха и подвергают водной обработке (EtOAc, MgSO4) с получением 511 мг (91%) указанного в заголовке соединения в виде бесцветного масла.
ИК (жидк. ) 2957, 2931, 2870, 1720, 1672, 1671, 1497, 1455, 1392, 1367, 1282, 1257, 1152, 1055, 701 cm-1;1H NMR (300 MHz, CDCl3) 7.15-7.35, 3.55-3.75, 3.35-3.45, 3.15-3.25, 2.82, 2.61, 2.3-2.45, 1.85-2.0, 1.65-1.8, 1.35-1.60, 1.43, 0.87, 0.83;MS (EI) m/z 403, 347, 330, 291, 270, 256, 238, 227, 202, 181, 105, 104. Стадия 3 Получение трет-бутил- -[2-(1,3-дигидро-1,3-диоксо-2Н- изоиндол-2-ил)этил]-3-(2-метилпропил)-2-оксо-1-(2-фенилэтил)-3- пирролидинацетатаК смеси трет-бутил- -(2-гидроксиэтил)-3-(2-метилпропил)-2- оксо-1-(2-фенилэтил)-3-пирролидинацетата (468 мг, 1,16 ммоль), трифенилфосфина (304 мг, 1,16 ммоль), фталимида (171 мг, 1,16 ммоль) и ТГФ (10 мл) добавляют диэтилазодикарбоксилат (182 мкл, 1,16 ммоль) при комнатной температуре. Смесь оставляют перемешиваться в течение ночи и концентрируют. Очистка методом колоночной хроматографии (2 колонки, 5% ацетон/CH2Cl2 и 10% EtOAc/гексан) позволяет получить 327 мг (51%) указанного в заголовке соединения в виде бесцветного масла.
ИК (жидк. ) 2956, 2932, 1773, 1716, 1685, 1467, 1454, 1438, 1397, 1368, 1299, 1255, 1152, 720, 701 cm-1;1H NMR (300 MHz, CDCl3) 7.8-7.9, 7.65-7.75, 7.15-7.35, 3.55-3.8, 3.3-3.4, 3.15-3.25, 2.80, 2.51, 2.3-2.4, 2.0- 2.15, 1.8-1.95, 1.6-1.8, 1.35-1.6, 1.46, 0.85, 0.82;MS (EI) m/z 532, 476, 459, 441, 420, 385, 339, 311, 245, 202, 160, 105. Стадия 4 Получение -[2-(1,3-дигидро-1,3-диоксо-2Н-изоиндол-2- ил)этил]-3-(2-метилпропил)-2-оксо-1-(2-фенилэтил)-3-пирролидинуксусной кислотыК раствору трет-бутил- -[2-(1,3-дигидро-1,3-диоксо-2Н- изоиндол-2-ил)этил] -3-(2-метилпропил)-2-оксо-1-(2-фенилэтил)-3- пирролидинацетата (282 мг, 0,507 ммоль) в CH2Cl2 (4,0 мл) при 0oC добавляют трифторуксусную кислоту (2,0 мл). Раствор перемешивают в течение 1 часа при 0oC. Добавляют вторую порцию трифторуксусной кислоты (2,0 мл) и раствор перемешивают в течение 30 минут при 0oC и в течение 30 минут при комнатной температуре. Концентрирование и водная обработка (CH2Cl2, MgSO4) позволяют получить 217 мг (90%) указанного в заголовке соединения в виде бесцветного масла.
ИК (минеральное масло) 1711, 1606, 1509, 1498, 1485, 1445, 1403, 1359, 1295, 1262, 1244, 1111, 704 cm-1;1H NMR (300 MHz, CDCl3) 7.85-7.9, 7.7-7.8, 7.15, 6.9-7.0, 3.7-3.9, 3.55-3.65, 3.35-3.5, 3.25-3.35, 2.75-2.95, 2.49, 2.0-2.1, 1.80-1.95, 1.65-1.75, 1.5-1.65, 1.2-1.45, 0.91, 0.84;MS (EI) m/z 476, 420, 385, 339, 311, 272, 258, 202, 160, 105. Стадия 5 Получение N-бензилокси- -[2-(1,3-дигидро-1,3-диоксо-2Н- изоиндол-2-ил)этил]-3-(2-метилпропил)-2-оксо-1-(2-фенилэтил)-3- пирролидинацетамидаК раствору -[2-(1,3-дигидро-1,3-диоксо-2Н-изоиндол-2- ил)этил]-3-(2-метилпропил)-2-оксо-1-(2-фенилэтил)-3-пирролидинуксусной кислоты (202 мг, 0,424 ммоль) и CH2Cl2 (3,2 мл) добавляют CDI (82 мг, 0,51 ммоль). Раствор перемешивают в течение 1 часа при комнатной температуре. К нему последовательно добавляют O-бензилгидроксиламингидрохлорид (98 мг, 0,614 ммоль) и 4-метилморфолин (84 мкл, 0,76 ммоль) и раствор оставляют перемешиваться в течение ночи при комнатной температуре. Водная обработка (CH2Cl2, MgSO4) и очистка по методу колоночной хроматографии (2% ацетона/CH2Cl2) позволяют получить 120 мг (49%) указанного в заголовке соединения в виде бесцветного масла.
ИК (минеральное масло) 1773, 1715, 1683, 1663, 1662, 1497, 1398, 1340, 1301, 1270, 1038, 1030, 748, 699 cm-1;1H NMR (300 MHz, CDCl3) 7.8-7.9, 7.7-7.8, 7.05-7.55, 4.93, 3.55-3.8, 3.48, 3.1-3.2, 2.77, 2.15-2.3, 1.7-1.9, 1.35-1.65, 0.80, 0.73;MS (FAB) m/z 582, 459, 431, 160, 105, 91. Стадия 6 Получение -[2-(1,3-дигидро-1,3-диоксо-2Н-изоиндол-2- ил)этил]-N-гидрокси-3-(2-метилпропил)-2-оксо-1-(2-фенилэтил)-3- пирролидинацетамидаСмесь N-бензилокси- -[2-(1,3-дигидро-1,3-диоксо-2Н- изоиндол-2-ил)этил]-3-(2-метилпропил)-2-оксо-1-(2-фенилэтил)-3- пирролидинацетамида (58 мг, 0,10 ммоль) и 5% Pd/C (20 мг) перемешивают в течение 1,5 часов при комнатной температуре в атмосфере водорода. Добавляют гидроксид палладия на угле (10 мг) и смесь перемешивают в атмосфере водорода при комнатной температуре в течение 6 часов. Смесь фильтруют и фильтрат концентрируют. Очистка методом колоночной хроматографии (5% MeOH/EtOAc) позволяет получить 39 мг (51%) масла, которое кристаллизуют из EtOAc/гексана с получением 29 мг (59%) указанного в заголовке соединения в виде белого твердого вещества (т. пл. 158-159oC).
ИК (минеральное масло) 3212, 3101, 3087, 3005, 1773, 1711, 1659, 1495, 1444, 1401, 1310, 1292, 1040, 706 cm-1;1H NMR (300 MHz, CDCl3) 10.19, 7.8-7.9, 7.7-7.8, 7.05-7.35, 6.9-7.0, 3.3-3.8, 3.19, 2.79, 2.39, 2.1-2.3, 1.75- 2.0, 1.35-1.7, 0.83, 0.76;MS (EI) m/z 491, 459, 435, 419, 400, 375, 355, 327, 262, 261, 245, 202, 160, 105. ПРИМЕР 5 Получение (3S)- -[2-(1,3-Дигидро-1,3-диоксо-2Н-изоиндол-2- ил)этил]-N-гидрокси-3-(2-метилпропил)-2-оксо-1-(2-фенилэтил)-3- пирролидинацетамида![]() Следуя общей методике, изложенной в примере 4, и используя незначительные вариации, исходя из (S)-трет-бутил-3-(2-метилпропил)-2- оксо-1-(2-фенилэтил)-3-пирролидинацетата (пример 2, более быстро вымывающийся энантиомер), получают указанное в заголовке соединение (т. пл. 102-105oC). ИК (минеральное масло) 3546, 3172, 3087, 3064, 3024, 1770, 1717, 1665, 1497, 1434, 1407, 1303, 746, 725, 703 cm-1; 1H NMR (300 MHz, CDCl3) 7.80-7.90, 7.65- 7.80, 7.05-7.35, 6.80, 3.25-3.80, 3.10-3.25, 2.79, 2.35-2.45, 2.10- 2.30, 1.75-2.00, 1.30-1.75, 0.83, 0.76;MS (EI) m/z 491, 459, 435, 431, 327, 262,261, 244, 160, 105. ПРИМЕР 6 Получение -[2-(1,3-дигидро-1,3-диоксо-2Н-нафтоизоиндол-2- ил)этил]-N-гидрокси-3-(2-метилпропил)-2-оксо-1-(2-фенилэтил)-3- пирролидинацетамида![]() Следуя общей методике, изложенной в примере 4, используя незначительные вариации, исходя из трет-бутил- -(2-гидрокси-этил)-3-(2-метилпропил)-2-оксо-1-(2-фенилэтил)-3- пирролидинацетата и 2,3-нафталиндикарбоксимида, получают указанное в заголовке соединение (т. пл. 203-205oC).
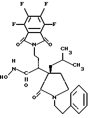
ИК (минеральное масло) 3216, 3061, 3028, 1767, 1703, 1662, 1515, 1497, 1437, 1394, 1343, 1131, 769, 765, 616 cm-1;1H NMR (300 MHz, CDCl3) 8.31, 7.95-8.10, 7.60-7.75, 6.90-7.35, 3.30-3.90, 3.18, 2.78, 2.35-2.50, 2.15-2.35, 1.75-2.10, 1.35-1.75, 0.82, 0.75;MS (EI) m/z 541, 485, 262, 261, 245, 210, 202, 180, 154, 105, 56. ПРИМЕР 7 Получение N-гидрокси-3-(2-метилпропил)-2-оксо-1-(2-фенилэтил)- -[2-(4,5,6,7-тетрафтор-1,3-дигидро-1,3-диоксо-2Н- изоиндол-2-ил)этил]-3-пирролидинацетамида![]() Следуя общей методике, изложенной в примере 4, используя незначительные вариации, исходя из трет-бутил- -(2-гидроксиэтил)-3-(2-метилпропил)-2-оксо-1-(2-фенилэтил)-3- пирролидинацетата и тетрафторфталимида, получают указанное в заголовке соединение (т. пл. 172,5-173,5oC).
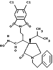
ИК (минеральное масло) 3216, 1724, 1712, 1664, 1639, 1514, 1503, 1418, 1341, 1301, 1156, 1038, 948, 940, 754 cm-1;1H NMR (300 MHz, CDCl3) 8.89, 7.47, 6.95-7.35, 3.35-3.80, 3.10-3.35, 2.79, 2.38, 1.30-2.30, 0.85, 0.80;MS (EI) m/z 563, 507, 454, 261, 245, 202, 154, 110, 105, 104, 55. ПРИМЕР 8 Получение -[2-(5,6-дихлор-1,3-дигидро-1,3-диоксо-2Н- изоиндол-2-ил)этил] -N-гидрокси-3-(2-метилпропил)-2-оксо-1-(2- фенилэтил)-3-пирролидинацетамида![]() Следуя общей методике, изложенной в примере 4, используя незначительные вариации, исходя из трет-бутил- -(2-гидроксиэтил)-3-(2-метилпропил)-2-оксо-1-(2-фенилэтил)-3- пирролидинацетата и 4,5-дихлорфталимида, получают указанное в заголовке соединение (т. пл. 207-208oC).
ИК (минеральное масло) 3173, 3070, 1775, 1709, 1667, 1630, 1441, 1434, 1401, 1330, 1278, 1033, 749, 706, 601 cm-1;1H NMR (300 MHz, CDCl3) 10.18, 8.91, 7.89, 7.42, 7.00-7.40, 3.35-3.80, 3.05-3.35, 2.78, 2.38, 2.05-2.30, 1.30-2.05, 0.83, 0.78;MS (EI) m/z 559, 505, 503, 262, 261, 245, 244, 230, 228, 202, 105. ПРИМЕР 9 Получение -[2-(5-амино-1,3-дигидро-1,3-диоксо-2Н- изоиндол-2-ил)этил] -N-гидрокси-3-(2-метилпропил)-2-оксо-1-(2- фенилэтил)-3-пирролидинацетамида![]() Следуя общей методике, изложенной в примере 4, используя незначительные вариации, исходя из трет-бутил- -(2-гидроксиэтил)-3-(2-метилпропил)-2-оксо-1-(2-фенилэтил)-3- пирролидинацетата и 4-аминофталимида, получают указанное в заголовке соединение (т. пл. 187-188oC).
1H NMR (300 MHz, CDCl3) 7.56, 7.10-7.35, 7.01, 6.83, 3.30-3.70, 3.15-3.30, 2.80, 2.35-2.50, 2.15-2.30, 1.70- 1.95, 1.20-1.60, 0.83, 0.75.
ПРИМЕР 10Получение N-гидрокси-3-(2-метилпропил)- -[2-(4-нитро-1,3- дигидро-1,3-диоксо-2Н-изоиндол-2-ил)этил] -2-оксо-1-(2-фенилэтил)-3- пирролидинацетамида![]() Следуя общей методике, изложенной в примере 4, используя незначительные вариации, исходя из трет-бутил- -(2-гидроксиэтил)-3-(2-метилпропил)-2-оксо-1-(2-фенилэтил)-3- пирролидинацетата и 3-нитрофталимида, получают указанное в заголовке соединение (т. пл. 136-138oC).
ИК (минеральное масло) 3189, 3096, 3069, 1720, 1695, 1655, 1545, 1496, 1429, 1400, 1347, 1306, 1043, 749, 707 cm-1;1H NMR (300 MHz, CDCl3) 8.05-8.15, 7.85-7.95, 7.05-7.35, 3.35-3.85, 3.10-3.25, 2.79, 2.35-2.50, 2.10-2.25, 1.75-2.05, 1.35-1.70, 0.85, 0.79;MS (FAB) m/z 537, 536, 523, 521, 505, 504, 476, 105, 104. ПРИМЕР 11 Получение N-гидрокси-3-(2-метилпропил)- -[2-(5-нитро-1,3- дигидро-1,3-диоксо-2Н-изоиндол-2-ил)этил] -2-оксо-1-(2-фенилэтил)-3- пирролидинацетамида![]() Следуя общей методике, изложенной в примере 4, используя незначительные вариации, исходя из трет-бутил- -(2-гидроксиэтил)-3-(2-метилпропил)-2-оксо-1-(2-фенилэтил)-3- пирролидинацетата и 4-нитрофталимида, получают указанное в заголовке соединение (т. пл. 161-162oC).
ИК (минеральное масло) 3158, 3106, 3060, 3027, 1707, 1664, 1543, 1496, 1434, 1411, 1344, 1132, 725, 719, 700 cm-1;1H NMR (300 MHz, CDCl3) 8.65, 8.59, 8.04, 7.05-7.35, 3.35-3.90, 3.10-3.25, 2.79, 2.35-2.50, 2.10-2.30, 1.75-2.05, 1.35-1.75, 0.84, 0.79;MS (FAB) m/z 537, 523, 522, 504, 476, 202, 105. ПРИМЕР 12 Получение -[2-(4-фтор-1,3-дигидро-1,3-диоксо-2Н-изоиндол- 2-ил)этил] -N-гидрокси-3-(2-метилпропил)-2-оксо-1-(2-фенилэтил)-3- пирролидинацетамида![]() Следуя общей методике, изложенной в примере 4, используя незначительные вариации, исходя из трет-бутил- -(2-гидроксиэтил)-3-(2-метилпропил)-2-оксо-1-(2-фенилэтил)-3- пирролидинацетата и 3-фторфталимида, получают указанное в заголовке соединение (т. пл. 145-146oC).
ИК (минеральное масло) 3205, 3065, 3028, 1776, 1717, 1657, 1611, 1497, 1483, 1399, 1349, 1303, 1255, 746, 701 cm-1;1H NMR (300 MHz, CDCl3) 7.55-7.80, 7.36, 6.80-7.35, 3.35-3.85, 3.05-3.30, 2.79, 2.30-2.55, 2.05-2.30, 1.70- 2.00, 1.35-1.70, 0.83, 0.78;MS (EI) m/z 509, 477, 453, 449, 345, 262, 261, 178, 105, 104. ПРИМЕР 13 Получение -[2-(4,7-дифтор-1,3-дигидро-1,3-диоксо-2Н- изоиндол-2-ил)этил] -N-гидрокси-3-(2-метилпропил)-2-оксо-1-(2- фенилэтил)-3-пирролидинацетамида![]() Следуя общей методике, изложенной в примере 4, используя незначительные вариации, исходя из трет-бутил- -(2-гидроксиэтил)-3-(2-метилпропил)-2-оксо-1-(2-фенилэтил)-3- пирролидинацетата и 3,6-дифторфталимида, получают указанное в заголовке соединение (т. пл. 131-132oC).
ИК (минеральное масло) 3196, 3029, 1779, 1721, 1657, 1495, 1421, 1395, 1359, 1263, 1256, 911, 908, 753, 697 cm-1;1H NMR (300 MHz, CDCl3) 7.10-7.45, 6.94, 3.35-3.80, 3.15-3.30, 2.79, 2.30-2.50, 2.00-2.30, 1.75-2.00, 1.35- 1.75, 0.85, 0.79;MS (EI) m/z 527, 495, 471, 467, 363, 262, 261, 202, 196, 105, 104. ПРИМЕР 14 Получение -[2-(5-фтор-1,3-дигидро-1,3-диоксо-2Н-изоиндол-2- ил)этил] -N-гидрокси-3-(2-метилпропил)-2-оксо-1-(2-фенилэтил)-3- пирролидинацетамида![]() Следуя общей методике, изложенной в примере 4, используя незначительные вариации, исходя из трет-бутил- -(2-гидроксиэтил)-3-(2-метилпропил)-2-оксо-1-(2-фенилэтил)-3- пирролидинацетата и 4-фторфталимида, получают указанное в заголовке соединение (т. пл. 143-144oC).
ИК (минеральное масло) 3218, 3072, 3006, 1775, 1713, 1660, 1612, 1495, 1483, 1400, 1293, 1264, 1040, 747, 707 cm-1;1H NMR (300 MHz, CDCl3) 7.83, 7.50, 6.85-7.45, 3.35-3.80, 3.05-3.25, 2.79, 2.30-2.50, 2.05-2.30, 1.75-2.00, 1.30-1.70, 0.83, 0.77;MS (EI) m/z 509, 477, 453, 449, 345, 262, 261, 178, 105, 104. ПРИМЕР 15 Получение -[2-(1,3-дигидро-1,3-диоксо-2Н-изоиндол-2- ил)пропил]-N-гидрокси-3-(2-метилпропил)-2-оксо-1-(2-фенилэтил)-3- пирролидинацетамида![]() Следуя общей методике, изложенной в примере 4, используя незначительные вариации, исходя из трет-бутил- -(3-гидроксипропил)-3-(2-метилпропил)-2-оксо-1-(2-фенилэтил)-3- пирролидинацетата (полученного по методике, сходной с описанной в примере 4, стадии 2) и фталимида, получают указанное в заголовке соединение (т. пл. 113-114oC).
ИК (минеральное масло) 3241, 3087, 3058, 3026, 1773, 1715, 1663, 1498, 1399, 1352, 1320, 1298, 1067, 718, 604 cm-1;1H NMR (300 MHz, CDCl3) 10.66, 7.75-7.85, 7.60-7.55, 6.95-7.45, 3.35-3.80, 3.10-3.25, 2.80, 2.44, 2.10-2.30, 1.85-2.00, 1.30-1.85, 0.85, 0.79;MS (EI) m/z 505, 473, 445, 261, 245, 244, 202, 160, 105, 104. ПРИМЕР 16 Получение -[2-(1,3-дигидро-1,3-диоксо-2Н-изоиндол-2- ил)метил]-N-гидрокси-3-(2-метилпропил)-2-оксо-1-(2-фенилэтил)-3- пирролидинацетамида![]() Стадия 1 Получение трет-бутил- -[2-(1,3-дигидро-1,3-диоксо-2Н- изоиндол-2-ил)метил]-3-(2-метилпропил)-2-оксо-1-(2-фенилэтил)-3- пирролидинацетатаДАЛ (1,50 мл, 3,0 ммоль, 2,0 М в гептане/ТГФ/этилбензоле) добавляют к раствору трет-бутил-3-(2-метилпропил)-2-оксо-1-(2- фенилэтил)-3-пирролидинацетата (пример 1, стадия 3; 1,02 г, 2,84 ммоль), НМРА (0,51 мл, 2,9 ммоль) и ТГФ (10 мл) при -78oC. Раствор перемешивают при -78oC в течение 30 минут и затем добавляют раствор N-(бромметил)фталимида (0,887 г, 3,69 ммоль) и ТГФ (4,0 мл). Раствор перемешивают при -78oC в течение 1 часа и затем раствору позволяют медленно нагреться до комнатной температуры в течение ночи. Водная обработка (EtOAc, MgSO4) и очистка методом флэш-хроматографии (3:1 гексан: EtOAc) позволяют получить 374 мг (25%) указанного в заголовке соединения в виде белого твердого вещества (т. пл. 96-98oC). ИК (минеральное масло) 1772, 1753, 1724, 1713, 1668, 1435, 1403, 1309, 1234, 1143, 1094, 737, 725, 714, 697 cm-1; 1H NMR (300 MHz, CDCl3) 7.70-7.90, 7.15-7.35, 4.07, 3.86, 3.55-3.70, 3.35-3.50, 3.25-3.35, 3.11, 2.84, 2.50-2.65, 1.75-1.90, 1.60-1.75, 1.20, 0.85-0.95;MS (FAB) m/z 519, 464, 463, 445, 159, 105, 57, 41, 29. Стадия 2 Получение -[2-(1,3-дигидро-1,3-диоксо-2Н-изоиндол-2- ил)метил]-3-(2-метилпропил)-2-оксо-1-(2-фенилэтил)-3- пирролидинуксусной кислотыК раствору трет-бутил- -[2-(1,3-дигидро-1,3-диоксо-2Н- изоиндол-2-ил)метил]-3-(2-метилпропил)-2-оксо-1-(2-фенилэтил)-3- пирролидинацетата (374 мг, 0,721 ммоль) и CH2Cl2 (5,0 мл) при 0oC добавляют трифторуксусную кислоту (5,0 мл). Раствор перемешивают в течение 2 часов при 0oC и в течение 2 часов при комнатной температуре. Раствор концентрируют и еще дважды повторно концентрируют из CH2Cl2 (2 х 30 мл). Водная обработка (CH2Cl2, MgSO4) позволяет получить 291 мг (87%) указанного в заголовке соединения в виде масла, которое использовали без дальнейшей очистки.
1H NMR (300 MHz, CDCl3) 7.65-7.95, 7.05-7.35, 3.90-4.05, 3.64, 3.35-3.55, 3.12, 2.80-3.05, 2.83, 2.10-2.40, 1.50-1.80, 0.90, 0.86.
Стадия 3Получение -[2-(1,3-дигидро-1,3-диоксо-2Н-изоиндол-2- ил)метил] -N-гидрокси-3-(2-метилпропил)-2-оксо-1-(2-фенилэтил)-3- пирролидинацетамидаЭДК (129 мг, 0,672 ммоль) добавляют к раствору -[2-(1,3-дигидро-1,3-диоксо-2Н-изоиндол-2-ил)метил] -3-(2- метилпропил)-2-оксо-1-(2-фенилэтил)-3-пирролидинуксусной кислоты (270 мг, 0,584 ммоль), CH2Cl2 (5,7 мл), ДМФ (1,4 мл), ГОБТ (78,9 мг, 0,584 ммоль) и N-метилморфолина (74 мкл, 0,67 ммоль) при 0oC. Раствор перемешивают в течение 5 минут при 0oC и в течение 1 часа при комнатной температуре. Добавляют гидроксиламингидрохлорид (80,9 мг, 1,16 ммоль) и N-метилморфолин (0,13 мл, 1,2 ммоль) и смесь перемешивают в течение ночи при комнатной температуре. Водная обработка (CH2Cl2, MgSO4) и очистка методом флэш-хроматографии (EtOAc) позволяют получить 160 мг гидроксамата в виде белой пены, которую кристаллизуют из эфира/гексана с получением 129 мг (46%) указанного в заголовке соединения в виде белого кристаллического вещества, которое представляло собой 4,25:1 смесь диастереомеров (т. пл. 170-171oC).
ИК (минеральное масло) 3194, 3105, 3050, 3028, 1773, 1709, 1665, 1644, 1496, 1434, 1409, 1393, 1309, 721, 701 cm-1;1H NMR (300 MHz, CDCl3) 10.97, 7.65-7.90, 7.10-7.35, 3.65-3.90, 3.20-3.55, 2.75-2.95, 2.35-2.50, 2.00-2.15, 1.50-1.85, 0.87;MS (FAB) m/z 478, 477, 445, 261, 202, 160, 105, 43. ПРИМЕР 17 Получение N-гидрокси-3-(2-метилпропил)-2-оксо-1-(2-фенилэтил)- -[2-(2-тиенилтио)этил]-3-пирролидинацетамида![]() Стадия 1 Получение трет-бутил- -[2-(метансульфонилокси)этил]-3-(2- метилпропил)-2-оксо-1-(2-фенилэтил)-3-пирролидинацетатаМетансульфонилхлорид (0,29 мл, 3,7 ммоль) добавляют к раствору трет-бутил- -(2-гидроксиэтил)-3-(2-метилпропил)-2-оксо- 1-(2-фенилэтил)-3-пирролидинацетата (пример 4, стадия 2; 1,36 г, 3,37 ммоль), триэтиламина (0,52 мл, 3,7 ммоль) и CH2Cl2 (8 мл) при 0oC. Смесь перемешивают в течение 2 часов, промывают насыщенным NaHCO3 (2 х 10 мл), водой (10 мл), сушат (MgSO4), фильтруют и концентрируют с получением 1,22 г (75%) указанного в заголовке соединения в виде светло-желтого масла.
1H NMR (300 MHz, CDCl3) 7.15-7.35, 4.10-4.30, 3.55-3.70, 3.35-3.50, 3.20-3.30, 3.01, 2.82, 2.55, 2.10-2.35, 1.85-2.05, 1.70-2.05, 1.40-1.65, 1.44, 0.87, 0.83.
Стадия 2Получение трет-бутил-3-(2-метилпропил)-2-оксо-1-(2-фенилэтил)- -[2-(2-тиенилтио)этил]-3-пирролидинацетатаК раствору тиофентиола (118 мг, 1,02 ммоль), ТГФ (25 мл) и ДМФ (25 мл) при 0oC добавляют гидрид натрия (60%, 41 мг, 1,0 ммоль). Смесь перемешивают в течение 30 минут при 0oC и добавляют раствор трет-бутил- -[2-(метансульфонилокси)этил] -3-(2-метилпропил)-2- оксо-1-(2-фенилэтил)-3-пирролидинацетата (490 мг, 1,02 ммоль) в ТГФ (15 мл). Раствору позволяют медленно нагреться и перемешивают при комнатной температуре в течение ночи. Концентрирование, водная обработка (EtOAc, MgSO4) и очистка методом флэш-хроматографии (25% EtOAc:гексан) позволяют получить 361 мг (71%) указанного в заголовке соединения в виде бесцветного масла.
ИК (жидк. ) 2956, 2930, 2868, 1720, 1685, 1497, 1454, 1428, 1367, 1276, 1258, 1217, 1147, 847, 700 cm-1;1H NMR (300 MHz, CDCl3) 7.15-7.40, 7.10-7.15, 6.90-7.00, 3.55-3.65, 3.30-3.45, 3.15-3.25, 2.75-2.90, 2.60-2.75, 2.58, 2.25-2.40, 1.80-2.00, 1.65-1.80, 1.35-1.65, 1.39, 0.84, 0.80;MS (EI) m/z 501, 428, 386, 331, 330, 303, 247, 246, 212, 105, 57. Стадия 3 Получение 3-(2-метилпропил)-2-оксо-1-(2-фенилэтил)- -[2-(2-тиенилтио)этил]-3-пирролидинуксусной кислотыРаствор трет-бутил-3-(2-метилпропил)-2-оксо-1-(2-фенилэтил)- -[2-(2-тиенилтио)этил] -3-пирролидинацетата (338 мг, 0,674 ммоль), трифторуксусной кислоты (3 мл) и CH2Cl2 (3 мл) перемешивают при 0oC в течение 15 минут и при комнатной температуре в течение 1,5 часов. Концентрирование и водная обработка (CH2Cl2, MgSO4) позволяют получить 287 мг (96%) указанного в заголовке соединения в виде бесцветного масла.
ИК (жидк. ) 2958, 2931, 2870, 1736, 1683, 1620, 1498, 1480, 1465, 1454, 1444, 1263, 1216, 746, 700 cm-1;1H NMR (300 MHz, CDCl3) 13.75, 7.35-7.40, 7.05-7.35, 6.95-7.05, 3.70-3.85, 3.35-3.50, 3.15-3.35, 2.80-2.95, 2.55-2.80, 2.00-2.15, 1.35-1.90, 0.91, 0.84;MS (EI) m/z 445, 331, 330, 258, 247, 246, 228, 212, 156, 105, 55. Стадия 4 Получение N-гидрокси-3-(2-метилпропил)-2-оксо-1-(2-фенилэтил)- -[2-(2-тиенилтио)этил]-3-пирролидинацетамидаРаствор ГОБТ (83 мг, 0,62 ммоль) в ДМФ (1,3 мл) добавляют к раствору 3-(2-метилпропил)-2-оксо-1-(2-фенилэтил)- -[2-(2- тиенилтио)этил]-3-пирролидинуксусной кислоты (259 мг, 0,581 ммоль) в CH2Cl2 (6 мл) при комнатной температуре. Раствор охлаждают до 0oC. К нему добавляют 4-метилморфолин (77 мкл, 0,70 ммоль) и ЭДК (134 мг, 0,697 ммоль). Раствор перемешивают при 0oC в течение 1 часа и затем добавляют смесь гидроксиламингидрохлорида (57 мг, 0,87 ммоль), 4-метилморфолина (96 мкл, 7,4 ммоль) и ДМФ (0,8 мл). Смесь перемешивают в течение ночи при комнатной температуре и концентрируют. Очистка остатка методом флэш-хроматографии (50% EtOAc/гексан) и кристаллизация (эфир/гексан) позволяют получить 95 мг (36%) указанного в заголовке соединения в виде белого твердого вещества (т. пл. 109-110oC).
ИК (минеральное масло) 3202, 3096, 3081, 3023, 1652, 1496, 1441, 1432, 1314, 1294, 1280, 1222, 751, 717, 702 cm-1;1H NMR (300 MHz, CDCl3) 10.55, 7.05-7.40, 6.90-7.00, 3.50-3.65, 3.05-3.25, 2.70-2.95, 2.50-2.70, 1.95-2.25, 1.35-1.95, 0.85, 0.80;MS (EI) m/z 460, 345, 284, 262, 261, 228, 105, 81, 79, 55. ПРИМЕР 18 Получение N-гидрокси-3-(2-метилпропил)-2-оксо-1-(2- фенилэтил)- -[2-(2-тиенилтио)пропил]-3-пирролидинацетамида![]() Следуя общей методике, изложенной в примере 17, используя незначительные вариации, исходя из трет-бутил- -(3-гидроксипропил)-3-(2-метилпропил)-2-оксо-1-(2-фенилэтил)-3- пирролидинацетата, получают указанное в заголовке соединение (т. пл. 104-105oC).
ИК (минеральное масло) 3211, 3101, 3069, 3028, 1667, 1653, 1497, 1428, 1399, 1310, 1298, 1293, 1249, 760, 710 cm-1;1H NMR (300 MHz, CDCl3) 6.70-7.75, 3.05-3.95, 2.50-3.05, 1.15-2.50, 0.87, 0.82;MS (EI) m/z 474, 442, 386, 359, 326, 298, 244, 202, 105, 55. ПРИМЕР 19 Получение N-гидрокси-3-(2-метилпропил)-2-оксо-1-(2-фенилэтил)- -[2-(2-тиенилтио)метил]-3-пирролидинацетамида![]() Следуя общей методике, изложенной в примере 17, используя незначительные вариации, исходя из трет-бутил- -(1-гидроксиметил)-3-(2-метилпропил)-2-оксо-1-(2-фенилэтил)-3- пирролидинацетата, получают указанное в заголовке соединение (т. пл. 145-146oC).
ИК (минеральное масло) 3177, 3085, 3027, 1664, 1641, 1496, 1408, 1297, 1274, 1218, 1029, 1000, 845, 746, 702 cm-1;1H NMR (300 MHz, CDCl3) 7.68, 7.15-7.40, 6.90-7.15, 3.35-3.70, 2.55-3.30, 2.05-2.25, 1.65-1.70, 1.25-1.60, Major diastereomer peaks. 0.80, 0.71, Minor diastereomer peaks. 0.75, 0.61;MS (EI) m/z 446, 246, 245, 203, 202, 154, 105. где major diastereomer peaks = пики основного диастереомера, a minor diastereomer peaks = пики диастереомера в незначительном количестве. ПРИМЕР 20 Получение N3-гидрокси-N1-метил-3-(2- метилпропил)-2-оксо-1,3-пирролидиндиацетамида ![]() Стадия 1 Получение 1-триметилсилил-2-пирролидона К раствору 2-пирролидона (30,4 мл, 400 ммоль), триэтиламина (70,0 мл, 502 ммоль) и толуола (400 мл) при комнатной температуре по каплям добавляют хлортриметилсилан (ХТМС, 56,0 мл, 441 ммоль). После перемешивания при комнатной температуре с помощью механической мешалки в течение 20 минут смесь нагревают до 50oC в течение 4 часов. После охлаждения смесь разбавляют гексаном (300 мл) и перемешивают в течение 30 минут при комнатной температуре. Смесь фильтруют и фильтрат концентрируют. Перегонка остатка (1 мм, 68-74oC) позволяет получить 50,0 г (94%) указанного в заголовке соединения в виде масла. 1H NMR (300 MHz, d5-pyridine) 3.17, 2.26, 1.70-1.85, 0.32.
где pyridine = пиридин.
Стадия 2Получение 3-(2-метилпропил)-2-пирролидинона ДАЛ (2,0 М, 111 мл, 222 ммоль) и ТГФ (300 мл) охлаждают до -78oC и добавляют раствор 1-триметилсилил-2-пирролидона (29,4 г, 221 ммоль) в ТГФ (145 мл). После перемешивания в течение 45 минут при -78oC раствор енолята добавляют через канюлю в течение 1 часа к раствору 1-йод-2-метилпропана (42,7 г, 232 ммоль) в ТГФ (200 мл) при – 78oC. Раствору позволяют медленно нагреться и перемешивают при комнатной температуре в течение ночи. Реакцию останавливают добавлением 50 мл уксусной кислоты. Водная обработка (EtOAc, MgSO4) и очистка методом колоночной хроматографии (30 —> 100% EtOAc/гексан) позволяют получить 12,8 г (25%) указанного в заголовке соединения в виде масла. 1H NMR (300 MHz, CDCl3) 6.30, 3.10-3.30, 2.05-2.35, 1.45-1.80, 1.00-1.20, 0.81, 0.76.
Стадия 3Получение 3-(2-метилпропил)-1-триметилсилил-2-пирролидинона К раствору 3-(2-метилпропил)-2-пирролидинона ( 2,25 г, 15,9 ммоль), триэтиламина (2,7 мл, 19 ммоль) и толуола (16 мл) при комнатной температуре по каплям добавляют ХТМС (2,2 мл, 18 ммоль). Смесь нагревают до 40oC в течение 3 часов и разбавляют гексаном (50 мл). После перемешивания в течение 10 минут при 0oC смесь фильтруют и фильтрат концентрируют. Перегонка (1 мм, 62-68oC) остатка позволяет получить 2,40 г (71%) указанного в заголовке соединения в виде масла. 1H NMR (300 MHz, CDCl3) 3.05-3.30, 2.20-2.35, 2.05-2.20, 1.45-1.70, 1.05-1.15, 0.82, 0.78, 0.15.
Стадия 4Получение 3-(2-метилпропил)-3-(пропен-2-ил)-2-пирролидинона Раствор 3-(2-метилпропил)-1-триметилсилил-2-пирролидинона (10,2 г, 47,8 ммоль) и ТГФ (153 мл) охлаждают до -78oC и добавляют ДАЛ (2,0 М, 26,3 мл, 52,6 ммоль). Раствор перемешивают при -78oC в течение 30 минут и затем добавляют аллилбромид (5,0 мл, 57 ммоль). Раствору позволяют нагреться до 5oC в течение 2,5 часов и затем перемешивают при 5oC в течение 1 часа. После остановки реакции насыщенным водным хлоридом аммония (25 мл), водной обработки (EtOAc, MgSO4) и очистки методом колоночной хроматографии (1:9:10 (по объему) CH2Cl2:EtOAc:гексан) с получением 7,76 г (90%) указанного в заголовке соединения в виде масла. ИК (жидк. ) 3241, 3077, 2957, 2929, 2902, 2873, 1708, 1693, 1640, 1440, 1284, 1277, 1264, 1251, 842 cm-1; 1H NMR (300 MHz, CDCl3) 6.43, 5.65-5.85, 5.00-5.15, 3.15-3.35, 2.00-2.40, 1.65-1.85, 1.40-1.60, 0.92;MS (EI) m/z 138, 125, 124, 98, 73, 60, 55, 45, 43, 41. Стадия 5 Получение этил-3-(2-метилпропил)-2-оксо-3-(пропен-2-ил)-1- пирролидинацетата Раствор бис(триметилсилил)амида калия (0,5 М в толуоле, 16,4 мл, 8,19 ммоль) охлаждают до 0oC и по каплям в течение 2 минут добавляют раствор 3-(2-метилпропил)-3-(пропен-2-ил)-2-пирролидинона (1,24 г, 6,82 ммоль) в ТГФ (10 мл). После перемешивания при 0oC в течение 40 минут добавляют этилбромацетат (0,91 мл, 8,2 ммоль). Реакционную массу перемешивают при 0oC в течение 3 часов и в течение 1 часа при комнатной температуре. После остановки реакции насыщенным водным хлоридом аммония (10 мл), водной обработки (EtOAc, MgSO4) и очистки методом колоночной хроматографии (1: 9:10 (по объему) CH2Cl2:EtOAc:гексан) получают 1,66 г (91%) указанного в заголовке соединения в виде масла. ИК (жидк. ) 2957, 2930, 2906, 2872, 1750, 1692, 1462, 1440, 1375, 1296, 1281, 1252, 1196, 1028, 916 cm-1; 1H NMR (300 MHz, CDCl3) 5.50-5.75, 4.90-5.05, 4.00-4.15, 3.93, 3.15-3.30, 2.15-2.30, 2.00-2.15, 1.80-2.00, 1.55-1.75, 1.30-1.50, 1.16, 0.82, 0.77;MS (EI) m/z 212, 211, 210, 194, 152, 138, 137, 110. Стадия 6 Получение N-метил-3-(2-метилпропил)-2-оксо-3-(пропен-2-ил)-1- пирролидинацетамида Этил-3-(2-метилпропил)-2-оксо-3-(пропен-2-ил)-1-пирролидинацетат (500 мг, 1,87 ммоль) перемешивают в насыщенном растворе метиламина в EtOH (50 мл) при комнатной температуре в течение ночи. Раствор концентрируют и очищают методом колоночной хроматографии (1:12:8 (по объему) CH2Cl2:EtOAc:гексан) с получением 401 мг (85%) указанного в заголовке соединения в виде масла. ИК (жидк. ) 3308, 2955, 2928. 2872, 1662, 1560, 1495, 1464, 1443, 1413, 1279, 1263, 1252, 915, 842 cm-1; 1H NMR (300 MHz, CDCl3) 6.32, 5.50-5.75, 4.90-5.10, 3.79, 3.28, 2.67, 2.17, 1.85-2.10, 1.55-1.75, 1.30-1.55, 0.84, 0.77;MS (EI) m/z 252, 221, 210, 209, 196, 194, 166, 165, 152, 138, 124, 110, 95, 73. Стадия 7 Получение 1-(N-метилацетамид)-3-(2-метилпропил)-2-оксо-3- пирролидинуксусной кислоты К смеси периодата натрия (944 мг, 4,41 ммоль) в ацетонитриле (1,9 мл), четыреххлористого углерода (0,9 мл) и воды (2,0 мл) при комнатной температуре добавляют гидрат оксида рутения (IV) (15 мг, 0,11 ммоль). После перемешивания в течение 10 минут добавляют бикарбонат натрия (2,32 г, 27,6 ммоль) с последующим добавлением раствора N-метил-3-(2-метилпропил)-2-оксо-3-(пропен-2-ил)-1-пирролидинацетамида (139 мг, 0,552 ммоль) в ацетонитриле (2,0 мл). Периодат натрия (приблизительно 150 мг) добавляют до тех пор, пока черная смесь не становится светло-зеленой. Через 5 минут смесь выливают в 100 мл воды. Значение рН смеси доводят до 2 (по индикаторной бумаге) концентрированной HCl. Кислый раствор экстрагируют добавлением CH2Cl2 и EtOAc. Объединенные органические слои сушат (MgSO4), фильтруют и концентрируют с получением 157 мг (100%) указанного в заголовке соединения в виде масла. 1H NMR (300 MHz, CDCl3) 7.09, 4.30-4.45, 3.20-3.50, 2.67, 2.63, 1.95-2.25, 1.55-1.70, 1.30-1.45, 0.84, 0.78.
Стадия 8Получение N3-гидрокси-N1-метил-3-(2- метилпропил)-2-оксо-1,3-пирролидиндиацетамида ЭДК (1,14 г, 5,95 ммоль) добавляют к раствору 1-(N-метилацетамид)-3-(2-метилпропил)-2-оксо-3-пирролидинуксусной кислоты (1,34 г, 4,96 ммоль), ГОБТ (710 мг, 5,26 ммоль) и 4-метилморфолина (0,65 мл, 5,9 ммоль) в CH2Cl2 (51 мл) и ДМФ (10 мл) при 0oC. Раствор перемешивают при 0oC в течение 1 часа и затем добавляют смесь гидроксиламингидрохлорида (517 мг, 7,44 ммоль) в ДМФ (7 мл) с последующим добавлением 4-метилморфолина (0,82 мл, 7,4 ммоль). После перемешивания в течение 7 суток при комнатной температуре смесь концентрируют в глубоком вакууме и очищают методом колоночной хроматографии (3% MeOH/CH2Cl2). Кристаллизация из Et2O/гексана позволяет получить 211 мг (15%) указанного в заголовке соединения в виде белого твердого вещества (т. пл. 145-147oC). ИК (минеральное масло) 3259, 3199, 3097, 3017, 1662, 1564, 1522, 1501, 1412, 1405, 1313, 1297, 1275, 750, 724 cm-1; 1H NMR (300 MHz, CDCl3/СD3OD) 4.25-4.45, 3.05-3.50, 2.74, 2.32, 1.90-2.20, 1.55-1.75, 1.30-1.50, 0.87, 0.79;MS (EI) m/z 285, 254, 229, 226, 194, 180, 169, 166, 152, 138, 124, 110, 55. ПРИМЕР 21 Получение N3-гидрокси-N1-метил-3-(2-метилпропил)-2- оксо- 1– (фенилметил)-1,3-пирролидиндиацетамида![]() Стадия 1 Получение этил-3-(2-метилпропил)-2-оксо- -(фенилметил)-3- (пропен-2-ил)-1-пирролидинацетатаРаствор этил-3-(2-метилпропил)-2-оксо-3-(пропен-2-ил)-1- пирролидинацетата (пример 20, стадия 5; 1,63 г, 6,10 ммоль) и ТГФ (15 мл) охлаждают до -78oC и добавляют ДАЛ (2,0 М, 3,2 мл, 6,4 ммоль). Раствор перемешивают при -78oC в течение 30 минут и затем добавляют бензилбромид (0,80 мл, 6,7 ммоль). Раствору позволяют нагреться до 0oC в течение 2 часов и затем перемешивают при 0oC в течение 1 часа. После остановки реакции насыщенным водным хлоридом аммония (10 мл), водной обработки (EtOAc, MgSO4) и очистки методом колоночной хроматографии (10% EtOAc:гексан) получали 1,94 г (89%) указанного в заголовке соединения в виде масла, представлявшего собой 1:1 смесь диастереомеров. ИК (жидк. ) 2975, 2956, 2930, 2906, 1739, 1689, 1499, 1455, 1425, 1266, 1207, 1192, 1032, 915, 698 cm-1; 1H NMR (300 MHz, CDCl3) 7.05-7.30, 5.55-5.75, 4.85-5.20, 4.65-4.85, 4.00-4.20, 3.00-3.40, 2.80-2.95, 2.12, 1.50-1.95, 1.30-1.45, 1.15-1.30, 1.00-1.15, 0.83, 0.79, 0.66, 0.54;MS (EI) m/z 357, 301, 238, 228, 284, 282, 267, 266, 210, 200, 176, 164, 125, 102, 91. Стадия 2 Получение N-метил-3-(2-метилпропил)-2-оксо- -(фенилметил)-3-(пропен-2-ил)-1-пирролидинацетамидаГазообразный метиламин пропускают через раствор этил-3-(2-метилпропил)-2-оксо- -(фенилметил)-3-(пропен-2-ил)-1- пирролидинацетата (3,40 г, 9,51 ммоль) в EtOH (120 мл) в течение 30 минут при комнатной температуре и раствор перемешивают при комнатной температуре в течение ночи. Раствор концентрируют и очищают методом флэш-хроматографии (1:6:11 —> 1:10:9 (по объему) CH2Cl2: EtOAc: гексан) с получением 3,01 г (92%) указанного в заголовке соединения в виде твердого вещества (т. пл. 91-92oC), которое представляет собой приблизительно 1:1 смесь диастереомеров.
ИК (минеральное масло) 3315, 1684, 1654, 1584, 1562, 1499, 1442, 1414, 1296, 1278, 1264, 1225, 913, 744, 708 cm-1;1H NMR (300 MHz, CDCl3) 7.10-7.30, 6.15-6.40, 5.50-5.70, 5.10-5.30, 4.95-5.10, 4.75-4.95, 3.15-3.35, 2.90-3.10, 2.72, 2.71, 1.95-2.20, 1.50-1.95, 1.15-1.50, 0.86, 0.78, 0.74, 0.64;MS (EI) m/z 342, 300, 284, 267, 251, 242, 200, 162, 132, 105, 91, 81, 73, 67. Стадия 3 Получение N1-метилацетамид-3-(2-метилпропил)-2-оксо- 1– (фенилметил)-3-пирролидинуксусной кислотыК смеси периодата натрия (1,85 г, 8,65 ммоль) в ацетонитриле (3,8 мл), четыреххлористого углерода (1,8 мл) и воды (3,9 мл) при комнатной температуре добавляют гидрат оксида рутения (IV) (29 мг, 0,22 ммоль). После перемешивания в течение 10 минут добавляют бикарбонат натрия (4,55 г, 54,2 ммоль) с последующим добавлением раствора N-метил-3-(2-метилпропил)-2-оксо- -(фенилметил)-3-(пропен- 2-ил)-1-пирролидинацетамида (371 мг, 1,08 ммоль) в ацетонитриле (4,0 мл). Периодат натрия (приблизительно 300 мг) добавляют до тех пор, пока черная смесь не становится светло-зеленой. Через 5 минут смесь выливают в 100 мл воды. Смесь экстрагируют добавлением EtOAc (2 х 50 мл). Значение pH водной смеси доводят до 2 (по индикаторной бумаге) концентрированной HCl. Кислую смесь экстрагируют добавлением CH2Cl2 и EtOAc и данные слои объединяют с исходными EtOAc экстрактами, сушат (MgSO4), фильтруют и концентрируют с получением 300 мг сырой кислоты в виде темно-коричневого масла. Данный продукт растворяют в 15% NaOH (10 мл) и экстрагируют добавлением Et2O (3 х 20 мл). Данные Et2O слои отбрасывают. Значение pH водного слоя доводят до 2 (по индикаторной бумаге) концентрированной HCl. Кислый слой экстрагируют добавлением EtOAc (3 х 30 мл), объединенные EtOAc слои сушат (MgSO4), фильтруют и концентрируют с получением 230 мг (59%) указанного в заголовке соединения в виде масла, представляющего собой 1:1 смесь диастереомеров.
ИК (минеральное масло) 3358, 3087, 3064, 3029, 1721, 1649, 1550, 1498, 1441, 1413, 1297, 1272, 1233, 1192, 700 cm-1;1H NMR (300 MHz, CDCl3) 7.05-7.40, 6.55-6.70, 5.10, 4.56, 3.64, 3.20-3.55, 2.70-3.05, 2.30-2.70, 1.75-2.20, 1.55-1.75, 1.49, 1.05-1.40, 0.80-1.00, 0.90, 0.83, 0.69, 0.66;MS (EI) m/z 360, 336, 303, 302, 284, 269, 256, 246, 228, 200, 162, 161, 132, 105, 91. Стадия 4 Получение N3-гидрокси-N1-мeтил-3-(2-метилпропил)-2- оксо- 1– (фенилметил)-1,3-пирролидиндиацетамидаЭДК (1,08 г, 5,66 ммоль) добавляют к раствору N1-метил-ацетамид-3-(2-метилпропил)-2-оксо- 1– (фенилметил)-3-пирролидинуксусной кислоты (1,70 г, 4,72 ммоль), ГОБТ (676 мг, 5,00 ммоль) и 4-метилморфолина (0,52 мл, 4,7 ммоль) в CH2Cl2 (49 мл) и ДМФ (10 мл) при 0oC. Раствор перемешивают при 0oC в течение 1 часа и затем добавляют смесь гидроксиламингидрохлорида (491 мг, 7,08 ммоль) в ДМФ (7 мл) с последующим добавлением 4-метилморфолина (0,79 мл, 7,1 ммоль). Смесь перемешивают при комнатной температуре в течение ночи и концентрируют в глубоком вакууме. Остаток растворяют в 15% NaOH (13 мл) и экстрагируют добавлением EtOAc (3 х 20 мл). Данные EtOAc слои отбрасывают. Значение pH водного слоя доводят до 2 (по индикаторной бумаге) 6н HCl. Кислый слой экстрагируют добавлением CH2Cl2 (3 х 30 мл), объединенные CH2Cl2 слои сушат (MgSO4), фильтруют и концентрируют. Очистка методом колоночной хроматографии (5% MeOH/CH2Cl2) и кристаллизация из Et2O/гексана позволяет получить 255 мг (14%) указанного в заголовке соединения в виде белого твердого вещества (т. пл. 166-168oC) в виде смеси диастереомеров.
ИК (минеральное масло) 3373, 3199, 3087, 3064, 3027, 1686, 1667, 1634, 1546, 1498, 1404, 1356, 1303, 742, 697 cm-1;1H NMR (300 MHz, CDCl3/CD3OD) major diastereomer, key peaks: 4.48, 2.76, 0.89, 0.81. Minor diastereomer, key peaks: 5.05, 2.82, 0.69, 0.62;MS (EI) m/z 375, 344, 317, 316, 285, 284, 256, 132, 91. ПРИМЕР 22 Получение -[2-(1,3-дигидро-1,3-диоксо-2Н-изоиндол-2- ил)этил]-N-гидрокси-3-(2-метилпропил)-2-оксо-1-(фенилметил)-3- пирролидинацетамида![]() Стадия 1 Получение N-трет-бутилоксикарбонил-2-пирролидинона Раствор ди-трет-бутилдикарбоната (28,2 г, 129 ммоль) в сухом CH2Cl2 (80 мл) добавляют в перемешиваемый раствор 2-пирролидинона (10,0 г, 117 ммоль) и ДМАП (200 мг, каталитическое количество) в сухом CH2Cl2 (230 мл) в течение 10 минут. Через 16 часов раствор разбавляют H2O (150 мл) и экстрагируют добавлением EtOAc (4 х 100 мл). Органические слои объединяют, сушат над безводным Na2SO4, фильтруют и концентрируют в условиях пониженного давления с получением красного масла. Масло очищают методом хроматографии на силикагеле (200 г силикагеля, 40% EtOAc/гексан) с получением 20,1 г (93%) указанного в заголовке соединения в виде золотистого масла. ИК (жидк. ) 2980, 1786, 1752, 1714, 1459, 1394, 1368, 1315, 1256, 1228, 1154, 1045, 1018, 858, 778 cm-1; 1H NMR (300 MHz, CDCl3) 3.74, 2.50, 1.90-2.05, 1.52; MS (FAB) m/z 186, 131, 130, 112, 86, 57, 41.
Стадия 2Получение N-трет-бутилоксикарбонил-3-(2-метилпропен-2-ил)-2- пирролидинона Раствор N-трет-бутилоксикарбонил-2-пирролидинона (10,0 г, 54,0 ммоль) и НМРА (9,40 мл, 54,0 ммоль) в сухом ТГФ (200 мл) охлаждают до -78oC и в течение 6,5 минут по каплям обрабатывают диизопропиламидом лития (ДАЛ, 29,7 мл, 59,4 ммоль, 2 М в гептане/ТГФ/этилбензоле). По прошествии 30 минут при -78oC добавляют 3-бром-2-метилпропен (6,53 мл, 64,8 ммоль). Раствор выдерживают при -78oC в атмосфере N2 в течение 6 часов и затем реакцию останавливают насыщенным NH4Cl (100 мл). Раствор нагревают до 0oC и разбавляют H2O (300 мл). Сырой олефин экстрагируют добавлением EtOAc (3 х 200 мл), сушат над безводным Na2SO4, фильтруют и концентрируют при пониженном давлении с получением масла. Масло очищают методом хроматографии на силикагеле (350 г силикагеля, 20% EtOAc/гексан) с получением 7,75 г (60%) указанного в заголовке соединения в виде золотистого масла. ИК (жидк. ) 2980, 2934, 2909, 1785, 1749, 1716, 1457, 1394, 1368, 1322, 1295, 1251, 1227, 1155, 779 cm-1; 1H NMR (300 MHz, CDCl3) 4.79, 4.71, 3.70-3.80, 3.50-3.65, 2.60-2.75, 1.95-2.20, 1.72, 1.55-1.75, 1.52;MS (EI) m/z 239, 183, 166, 165, 139, 57. Стадия 3 Получение трет-бутил-N-трет-бутилоксикарбонил-3-(2- метилпропен-2-ил)-2-оксо-3-пирролидинацетата Раствор N-трет-бутилоксикарбонил-3-(2-метилпропен-2-ил)-2- пирролидинона (7,39 г, 30,8 ммоль) в сухом ТГФ (125 мл) охлаждают до -78oC и по каплям обрабатывают ДАЛ (17,0 мл, 33,9 ммоль). Раствор выдерживают при -78oC в течение 6 часов и затем реакцию останавливают насыщенным NH4Cl (50 мл). Раствор нагревают до 0oC и разбавляют H2O (50 мл). Сырой сложный эфир экстрагируют добавлением EtOAc (3 х 100 мл), сушат над безводным Na2SO4, фильтруют и концентрируют при пониженном давлении с получением оранжевого масла. Продукт очищают методом хроматографии на силикагеле (2 колонки: 250 г, 100 г силикагеля, 10% EtOAc/гексан) с получением 7,69 г (71%) указанного в заголовке соединения в виде золотистого масла. ИК (жидк. ) 2980, 2934, 2918, 1786, 1748, 1718, 1457, 1394, 1369, 1315, 1258, 1208, 1155, 965, 853 cm-1; 1H NMR (300 MHz, CDCl3) 4.90, 4.78, 3.50-3.75, 2.53, 2.30, 2.05-2.20, 1.72, 1.51, 1.42;MS (EI) m/z 353, 297, 280, 241, 224, 223, 196, 180, 57. Стадия 4 Получение трет-бутил-N-трет-бутилоксикарбонил-3-(2- метилпропил)-2-оксо-3-пирролидинацетата Раствор трет-бутил-N-трет-бутилоксикарбонил-3-(2-метил- пропен-2-ил)-2-оксо-3-пирролидинацетата (7,90 г, 22,4 ммоль) в EtOH (150 мл) обрабатывают 10% палладием на угле (1,98 г, 25% по массе) и гидрируют в аппарате Парра при давлении 45 фунтов/кв. дюйм (~3165 г/см2) в течение 16 часов при комнатной температуре. Смесь фильтруют через целит; оставшийся на фильтре осадок промывают EtOH (2 х 100 мл), MeOH (2 х 100 мл) и CH2Cl2 (100 мл). Фильтрат концентрируют при пониженном давлении с получением 7,86 г (99%) указанного в заголовке соединения в виде густого мутного масла. ИК (жидк. ) 2978, 2934, 1786, 1749, 1717, 1476, 1458, 1393, 1369, 1317, 1258, 1207, 1155, 1117, 969 cm-1; 1H NMR (300 MHz, CDCl3) 3.55-3.80, 2.53, 2.05-2.20, 1.90-2.05, 1.60-1.80, 1.40-1.60, 1.52, 1.42, 0.91, 0.90;MS (FAB) m/z 356, 300, 244, 226, 200, 182, 154, 57. Стадия 5 Получение трет-бутил-N-трет-бутилоксикарбонил-3-(2- метилпропил)-2-оксо- -(пропен-2-ил)-3-пирролидинацетатаРаствор трет-бутил-N-трет-бутилоксикарбонил-3-(2-метилпропил)-2- оксо-3-пирролидинацетата (3,65 г, 10,3 ммоль) в сухом ТГФ (45 мл) охлаждают до -78oC и по каплям обрабатывают ДАЛ (5,70 мл, 11,3 ммоль). Через 30 минут при -78oC добавляют аллилбромид (1,10 мл, 12,4 ммоль). Раствор выдерживают при -78oC в течение 3 часов и затем ему позволяют медленно нагреться до комнатной температуры в атмосфере N2. Через 12 часов реакцию останавливают насыщенным NH4Cl (10 мл) и разбавляют H2О (50 мл). Сырой лактам экстрагируют добавлением EtOAc (3 х 100 мл). Органические экстракты объединяют, промывают солевым раствором (50 мл), сушат над безводным Na2SO4, фильтруют и концентрируют при пониженном давлении с получением 4,72 г золотистого масла. Масло подвергают очистке методом хроматографии на силикагеле (300 г силикагеля, 5% EtOAc/гексан) с получением 2,98 г (73%) указанного в заголовке соединения в виде прозрачного бледно-золотистого масла, представляющего собой смесь диастереомеров. ИК (жидк. ) 2979, 2961, 2934, 1785, 1748, 1719, 1457, 1393, 1369, 1315, 1257, 1207, 1156, 1125, 851 cm-1; 1H NMR (300 MHz, CDCl3, key peaks of the major diastereomer): 5.60-5.85, 4.95-5.15, 3.55-3.75, 2.64, 2.20-2.50, 1.35-1.90, 1.52, 1.42, 0.91, 0.88;MS (FAB) m/z 396, 340, 285, 284, 266, 222, 57, 41, 29. где key peaks of the major diastereomer = ключевые пики основного диастереомера. Стадия 6 Получение трет-бутил-3-(2-метилпропил)-2-оксо- -(пропен-2-ил)-3-пирролидинацетатаРаствор трет-бутил-N-трет-бутилоксикарбонил-3-(2-метилпропил)-2- оксо- -(пропен-2-ил)-3-пирролидинацетата (5,40 г, 13,7 ммоль) в MeOH (70 мл) обрабатывают метоксидом натрия (74,7 мл, 68,5 ммоль, 10,3 мас. % в MeOH). Полученный раствор перемешивают в атмосфере N2 при комнатной температуре в течение 16 часов. Реакцию останавливают 1:1 ледяной AcOH/Н2О (100 мл). Раствор упаривают до минимального объема при пониженном давлении и незащищенный лактам экстрагируют добавлением CH2Cl2 (3 х 100 мл). Органические слои объединяют, промывают насыщенным NH4Cl (100 мл), солевым раствором (100 мл), сушат над безводным Na2SO4, фильтруют и концентрируют при пониженном давлении с получением 4,75 г золотистого масла. Масло очищают методом хроматографии на силикагеле (100 г силикагеля, 25% EtOAc/гексан) с получением 3,85 г (96%) указанного в заголовке соединения в виде не совсем белого твердого вещества с низкой точкой плавления.
ИК (минеральное масло) 3206, 3105, 1720, 1701, 1352, 1299, 1268, 1255, 1231, 1162, 1153, 1125, 923 cm-1;1H NMR (300 MHz, CDCl3) 6.28, 5.65-5.85, 4.90-5.15, 3.20-3.40, 2.60, 2.20-2.60, 1.85-2.00, 1.65-1.80, 1.35-1.65, 1.41, 0.93, 0.91;MS (FAB) m/z 296, 240, 222, 194, 57. Стадия 7 Получение трет-бутил-3-(2-метилпропил)-2-оксо-1-(фенилметил)- -(пропен-2-ил)-3-пирролидинацетатаХолодный (0oC) раствор трет-бутил-3-(2-метилпропил)-2-оксо- -(пропен-2-ил)-3-пирролидинацетата (1,11 г, 3,76 ммоль) в сухом ТГФ (25 мл) обрабатывают одной порцией NaH (60% дисперсия в минеральном масле, 226 мг, 5,64 ммоль). Через 30 минут добавляют бензилбромид (537 мкл, 4,51 ммоль). Раствору позволяют медленно нагреться до комнатной температуры при перемешивании в атмосфере N2 в течение ночи. Смесь гасят H2O (25 мл) и экстрагируют добавлением EtOAc (3 х 25 мл). Органические экстракты объединяют, промывают солевым раствором (25 мл), сушат над безводным Na2SO4, фильтруют и концентрируют при пониженном давлении с получением 1,70 г желтого масла. Масло очищают методом хроматографии на силикагеле (30 г силикагеля, 10% EtOAc/гексан) с получением 1,37 г (94%) указанного в заголовке соединения в виде прозрачного бесцветного масла.
ИК (жидк. ) 2977, 2957, 2930, 2870, 1721, 1687, 1496, 1454, 1440, 1367, 1287, 1260, 1238, 1153, 701 cm-1;1H NMR (300 MHz, CDCl3) 7.20-7.35, 5.65-5.85, 4.95-5.15, 4.41, 3.05-3.30, 2.62, 2.20-2.55, 1.50-1.85, 1.41, 0.89, 0.87;MS (EI) m/z 385, 329, 312, 232, 231, 188, 91, 57. Стадия 8 Получение трет-бутил- -(2-гидроксиэтил)-3-(2-метилпропил)- 2-оксо-1-(фенилметил)-3-пирролидинацетатаЧерез холодный (-78oC) раствор трет-бутил-3-(2-метилпропил)- 2-оксо-1-(фенилметил)- -(пропен-2-ил)-3- пирролидинацетата (1,32 г, 3,42 ммоль) в EtOH (30 мл) пропускают озон. После пропускания через раствор N2 одной порцией (при -78oC) добавляют боргидрид натрия (195 мг, 5,14 ммоль). Раствору позволяют медленно нагреться до комнатной температуры в атмосфере N2 в течение ночи. Реакционную смесь концентрируют до белого твердого вещества, разбавляют H2O (10 мл) и экстрагируют добавлением EtOAc (3 х 25 мл). Органические экстракты объединяют, промывают солевым раствором (25 мл), сушат над безводным Na2SO4, фильтруют и концентрируют при пониженном давлении с получением 1,37 г прозрачного бесцветного масла. Масло очищают методом хроматографии на силикагеле (50 г силикагеля, 20% EtOAc/гексан) с получением 850 мг (64%) указанного в заголовке соединения в виде прозрачного бесцветного масла, которое представляет собой единственный диастереомер.
ИК (жидк. ) 2956, 2930, 2870, 1771, 1720, 1684, 1497, 1464, 1454, 1441, 1367, 1286, 1261, 1154, 701 cm-1;1H NMR (300 MHz, CDCl3) 7.20-7.40, 4.42, 3.55-3.80, 3.10-3.30, 2.70, 2.35-2.50, 1.90-2.05, 1.50-1.90, 1.44, 0.88, 0.87;MS (EI) m/z 389, 333, 287, 259, 258, 232, 230, 140, 119, 91. Стадия 9 Получение трет-бутил- -[2-(1,3-дигидро-1,3-диоксо-2Н- изоиндол-2-ил)этил]-3-(2-метилпропил)-2-оксо-1-(фенилметил)-3- пирролидинацетатаРаствор трет-бутил- -(2-гидроксиэтил)-3-(2-метилпропил)-2- оксо-1-(фенилметил)-3-пирролидинацетата (435 мг, 1,12 ммоль) в сухом ТГФ (10 мл) обрабатывают трифенилфосфином (323 мг, 1,23 ммоль), диэтилазодикарбоксилатом (194 мкл, 1,23 ммоль) и фталимидом (181 мг, 1,23 ммоль). Раствор оставляют перемешиваться в течение ночи при комнатной температуре в атмосфере N2. Реакционную смесь концентрируют и очищают методом хроматографии на силикагеле (25 г силикагеля, 20% EtOAc/гексан) с получением 518 мг (89%) указанного в заголовке соединения в виде не совсем белого аморфного вещества.
ИК (минеральное масло) 1773, 1754, 1744, 1722, 1713, 1671, 1433, 1398, 1309, 1264, 1164, 1116, 706 cm-1;1H NMR (300 MHz, CDCl3) 7.80-7.90, 7.65-7.80, 7.20-7.35, 4.41, 3.60-3.85, 3.05-3.25, 2.59, 2.30-2.50, 2.00-2.20, 1.75-1.95, 1.40-1.75, 1.48, 0.87;MS (FAB) m/z 519, 464, 463, 445, 417, 230, 91, 57. Стадия 10 Получение -[2-(1,3-дигидро-1,3-диоксо-2Н-изоиндол-2- ил)этил]-N-гидрокси-3-(2-метилпропил)-2-оксо-1-(фенилметил)-3- пирролидинацетамидаХолодный (0oC) раствор трет-бутил- -[2-(1,3-дигидро-1,3-диоксо-2Н-изоиндол-2-ил)этил] -3-(2-метилпропил)-2- оксо-1-(фенилметил)-3-пирролидинацетата (500 мг, 0,964 ммоль) в CH2Cl2 (2 мл) обрабатывают ТФУ (2 мл) и выдерживают при 0oC в течение 1 часа, а затем при комнатной температуре в течение 1 часа. Растворитель удаляют в вакууме с получением количественного выхода -[2-(1,3-дигидро-1,3-диоксо-2Н-изоиндол-2-ил)этил] -3- (2-метилпропил)-2-оксо-1-(фенилметил)-3-пирролидинуксусной кислоты в виде студенистого твердого вещества.
ИК (жидк. ) 2962, 1775, 1755, 1716, 1617, 1469, 1455, 1441, 1402, 1377, 1309, 721, 702 cm-1;1H NMR (300 MHz, CDCl3) 7.80-7.90, 7.70-7.80, 7.10-7.30, 4.44, 3.60-3.90, 3.32, 2.68, 1.80-2.25, 1.55-1.75, 0.91, 0.84;MS (EI) m/z 462, 406, 302, 244, 232, 230, 188, 160, 91. Холодный (0oC) раствор -[2-(1,3-дигидро-1,3-диоксо- 2Н-изоиндол-2-ил)этил]-3-(2-метилпропил)-2-оксо-1-(фенилметил)-3- пирролидинуксусной кислоты (559 мг) в CH2Cl2/ДМФ (8 мл/2 мл) обрабатывают 1-гидроксибензотриазолом (158 мг, 1,17 ммоль), 4-метилморфолином (129 мкл, 1,17 ммоль) и ЭДК (224 мг, 1,17 ммоль). Через 1 час добавляют еще 4-метилморфолина (159 мкл, 1,45 ммоль) и гидроксиламин HCl (101 мг, 1,45 ммоль). Раствору позволяют медленно нагреться до комнатной температуры при перемешивании в атмосфере N2 в течение ночи. Реакционную смесь разбавляют H2O (25 мл) и экстрагируют добавлением CH2Cl2 (3 х 50 мл). Органические экстракты сушат над безводным Na2SO4, фильтруют, концентрируют при пониженном давлении и вновь растворяют в EtOAc (50 мл), EtOAc слой промывают H2O (3 х 25 мл) и солевым раствором (25 мл). Органический слой сушат над безводным Na2SO4, фильтруют и концентрируют при пониженном давлении с получением 416 мг белой пены. Пену очищают методом хроматографии на силикагеле (50 г силикагеля, 2% MeOH/CHCl3) с получением 220 мг белой пены, которую растирают с Et2O с получением 181 мг (39%) указанного в заголовке соединения в виде белого твердого вещества (т. пл. 162-164oC).
ИК (минеральное масло) 3167, 3059, 3033, 3022, 1776, 1710, 1666, 1653, 1498, 1396, 1265, 706, 696 cm-1;1H NMR (300 MHz, CDCl3) 7.80-7.90, 7.65-7.80, 7.05-7.40, 4.20-4.60, 3.60-4.00, 3.05-3.35, 1.40-2.75, 0.75-0.95;MS (EI) m/z 477, 445, 421, 417, 248, 247, 188, 160, 91. ПРИМЕР 23 Получение N-гидрокси-3-(2-метилпропил)-2-оксо-1- (фенилметил)-3-пирролидинацетамида ![]() Следуя общей методике, изложенной в примере 22, используя незначительные вариации, исходя из трет-бутил-N-трет- бутилоксикарбонил-3-(2-метилпропил)-2-оксо-3-пирролидинацетата (пример 22, стадия 4), получают указанное в заголовке соединение (т. пл. 119-120oC). ИК (минеральное масло) 3265, 3164, 3065, 3029, 3016, 1658, 1519, 1494, 1305, 1291, 1260, 1063, 701, 651, 617 cm-1; 1H NMR (300 MHz, CDCl3) 10.13, 7.60-8.30, 7.10-7.40, 4.44, 3.10-3.30, 2.48, 2.15-2.30, 1.95-2.10, 1.35-1.85, 0.88, 0.87;MS (EI) m/z 304, 272, 248, 215, 188, 187, 186, 92, 91, 65. ПРИМЕР 24 Получение N-гидрокси-3-(2-метилпропил)-2-оксо-1-(фенилметил)- -[2-(4,5,6,7-тетрафтор-1,3-дигидро-1,3-диоксо-2Н-изоиндол-2- ил)этил]-3-пирролидинацетамида![]() Следуя общей методике, изложенной в примере 22, используя незначительные вариации, исходя из трет-бутил- -(2-гидроксиэтил)-3-(2-метилпропил)-2-оксо-1-(фенилметил)-3- пирролидинацетата (пример 22, стадия 8), получают указанное в заголовке соединение (т. пл. 183-185oC).
ИК (минеральное масло) 3221, 1724, 1713, 1694, 1672, 1629, 1513, 1503, 1418, 1262, 1155, 1033, 954, 941, 754 cm-1;1H NMR (300 MHz, CDCl3) 7.10-7.40, 4.25-4.55, 3.60-4.00, 3.10-3.35, 2.40-2.55, 1.40-1.35, 1.80-1.95;MS (FAB) m/z 550, 534, 517, 489, 230, 91. ПРИМЕР 25 Получение 1-(3-фторфенил)метил)- -[2-(1,3-дигидро-1,3- диоксо-2Н-изоиндол-2-ил)этил] -N-гидрокси-3-(2-метилпропил)-2-оксо-3- пирролидинацетамида![]() Следуя общей методике, изложенной в примере 22, используя незначительные вариации, исходя из трет-бутил-3-(2-метилпропил)-2-оксо- -(пропен-2-ил)-3-пирролидинацетата (пример 22, стадия 6), получают указанное в заголовке соединение (т. пл. 162-163oC).
ИК (минеральное масло) 3169, 3058, 3048, 1776, 1709, 1667, 1653, 1614, 1590, 1487, 1397, 1292, 1267 cm-1;1H NMR (300 MHz, CDCl3) 7.75-7.90, 7.65-7.75, 7.15-7.35, 6.80-7.00, 4.40, 3.60-3.85, 3.10-3.30, 2.30-2.65, 1.40-2.25, 0.85, 0.79;MS (EI) m/z 495, 463, 435, 379, 322, 288, 248, 206, 160, 138, 109. ПРИМЕР 26 Получение 3– [2-(1,3-дигидро-1,3-диоксо-2Н-изоиндол-2-ил)этил] – N3-гидрокси-N1-метил-3-(2-метилпропил)-2-оксо-1,3- пирролидиндиацетамида![]() Следуя общей методике, изложенной в примере 22, используя незначительные вариации, исходя из трет-бутил-3-(2-метилпропил)-2-оксо- -(пропен-2-ил)-3-пирролидинацетата (пример 22, стадия 6), получают указанное в заголовке соединение (т. пл. 120oC, с разлож.).
ИК (минеральное масло) 3296, 3100, 3060, 1773, 1714, 1668, 1547, 1496, 1400, 1340, 1299, 1272, 1171, 1038 cm-1;1H NMR (300 MHz, CDCl3) 7.80-7.90, 7.65-7.80, 6.85, 4.33, 3.60-3.95, 3.25-3.55, 2.81, 2.65-2.85, 2.20-2.40, 1.70-2.20, 1.15-1.70, 0.75-0.95, 0.81, 0.68;MS (EI) m/z 458, 402, 340, 339, 229, 212, 185, 169, 160, 138. ПРИМЕР 27 Получение N3-гидрокси-N1-метил-3-(2-метилпропил)-2- оксо- 3– [2-(4,5,6,7-тетрафтор-1,3-дигидро-1,3-диоксо-2Н-изоиндол-2- ил)этил] -1,3-пирролидиндиацетамида![]() Следуя общей методике, изложенной в примере 22, используя незначительные вариации, исходя из трет-бутил-3-(2-метилпропил)-2- оксо- -(пропен-2-ил)-3-пирролидинацетата (пример 22, стадия 6), получают указанное в заголовке соединение (т. пл. 130oC, с разлож.).
ИК (минеральное масло) 3293, 1785, 1723, 1668, 1550, 1514, 1500, 1410, 1314, 1273, 1158, 1035, 944, 754 cm-1;1H NMR (300 MHz, CDCl3) 6.55, 4.30, 3.60-4.00, 3.20-3.55, 2.55-2.90, 1.30-1.40, 1.10-1.30, 0.89, 0.78;MS (EI) m/z 530, 498, 474, 411, 232, 212, 180, 169, 154, 152, 138. ПРИМЕР 28 Получение [S-(R*, R*)] -N3-гидрокси-N1-метил-3- (2-метилпропил)-2-оксо- 1– (фенилметил)-1,3-пирролидиндиацетамида![]() Стадия 1 Разделение трет-бутил-N-трет-бутилоксикарбонил-3-(2- метилпропил)-2-оксо-3-пирролидинацетата Готовят 20 мг/мл раствор трет-бутил-N-трет- бутилоксикарбонил-3-(2-метилпропил)-2-оксо-3-пирролидинацетата (пример 22, стадия 4) в подвижной фазе, 2% изопропаноле в гексане (по объему). Аликвоты 53 мл (1,06 г) вводят в колонку Chiralcel OD 5,1 х 50 см (Chiral Technologies, Inc., Exton, PA 19341), применяя прибор для ЖХВР SepTech 140 (EM Separations, Inc., Wakefield, RI 02880) в режиме автоматического сдвига пиков и рециркуляции. Скорость элюирования составляет 60 мл/мин, а регистрирующее устройство устанавливается на 213 нм. После четырех пропусканий через колонку с соответствующим сдвигом пиков оба пика получают почти со 100% выходом при >99% эи для энантиомера, вымываемого первым (энантиомера 1), и 96,4% эи для энантиомера, вымываемого вторым (энантиомера 2). Энантиомерный избыток определяют на колонке Chiralcel OD-H 0,46 х 25 см (Chiral Technologies, Inc.), применяя 5% изопропанол в гексане (по объему) при скорости элюирования 0,5 мл/мин, при режиме работы регистрирующего устройства на 210 нм. Энантиомер 1 вымывается через 8,8 минуты, а энантиомер 2 вымывается через 10,2 минуты ( = 1,42).
Стадия 2Получение (S)-трет-бутил-3-(2-метилпропил)-2-оксо-3- пирролидинацетата Раствор (S)-трет-бутил-N-трет-бутилоксикарбонил-3-(2- метилпропил)-2-оксо-3-пирролидинацетата (193 мг, 0,543 ммоль), метоксида магния (3,0 мл, 6-10 мас.% в MeOH) и MeOH (2,7 мл) перемешивают при комнатной температуре в течение 16 часов. Раствор выливают в воду (15 мл) и смесь подкисляют уксусной кислотой. Смесь экстрагируют несколько раз добавлением CH2Cl2, объединенные фильтраты сушат (MgSO4), фильтруют и концентрируют с получением 124 мг (89%) указанного в заголовке соединения в виде масла. ИК (минеральное масло) 3209, 3100, 3001, 1728, 1691, 1496, 1318, 1302, 1281, 1261, 1208, 1163, 1132, 1079, 969 cm-1; 1H NMR (300 MHz, CDCl3) 5.77, 3.25-3.40, 2.49, 2.20-2.40, 2.05-2.20, 1.65-1.85, 1.35-1.60, 1.44, 1.42, 0.85-1.00;MS (FAB) m/z 256, 201, 200, 182, 154, 57, 41. Стадия 3 Получение метил-D-фениллактата Смесь D-фенилмолочной кислоты (4,79 г, 28,8 ммоль), йодметана (1,80 мл, 28,9 ммоль), K2CO3 (4,07 г, ммоль) и ДМФ (80 мл) перемешивают в течение 16 часов при комнатной температуре. Раствор разбавляют 500 мл эфира. Смесь промывают водой (3 х 150 мл) и солевым раствором (150 мл). Органический слой сушат (MgSO4), фильтруют и концентрируют с получением 3,89 г (75%) указанного в заголовке соединения в виде белого твердого вещества. 1H NMR (300 MHz, CDCl3) 7.15-7.40, 4.40-4.55, 3.78, 3.13, 2.97, 2.68.
Стадия 4Получение трифлата метил-D-фениллактата К раствору метил-D-фениллактата (1,20 г, 6,66 ммоль), CCl4 (8,6 мл) и пиридина (0,70 мл, 8,7 ммоль) при 0oC добавляют трифторметилсульфоновый ангидрид (1,37 мл, 8,14 ммоль). Смесь перемешивают в течение 1 часа при 0oC и затем разбавляют пентаном (35 мл). Смеси позволяют нагреться до комнатной температуры и фильтруют. Твердые вещества промывают пентаном (35 мл) и объединенные фильтраты концентрируют. Очистка методом флэш-хроматографии (4:1 гексан:EtOAc) позволяет получить 1,39 г (55%) указанного в заголовке соединения в виде масла. 1H NMR (300 MHz, CDCl3) 7.15-7.40, 5.25, 3.84, 3.35, 3.21.
Стадия 5Получение [S-(R*,R*)]-N3-трет-бутил- N1-метил-3-(2-метилпропил)-2-оксо- 1– (фенилметил)-1,3-пирролидиндиацетатаК раствору (S)-трет-бутил-3-(2-метилпропил)-2-оксо-3-пирролидинацетата (124 мг, 0,486 ммоль) и ТГФ (1,65 мл) при 0oC добавляют гидрид натрия (21,4 мг, 0,535 ммоль, 60% дисперсия в минеральном масле). Раствор перемешивают в течение 15 минут при 0oC и затем добавляют раствор трифлата (166 мг, 0,532 ммоль) в 0,5 мл пентана. Раствор перемешивают в течение 2 часов при 0oC и в течение 1 часа при комнатной температуре. Водная обработка (EtOAc, MgSO4) и очистка (4: 1 гексан: EtOAc) позволяют получить 88,3 мг (44%) указанного в заголовке соединения в виде масла. ИК (жидк.) IR (liq. ) 2956, 2933, 1744, 1731, 1693, 1455, 1435, 1393, 1368, 1352, 1269, 1209, 1156, 1155, 700 cm-1; 1H NMR (300 MHz, CDCl3) 7.15-7.35, 5.14, 3.70, 3.20-3.45, 3.00, 1.95-2.10, 2.08, 1.60-1.80, 1.45-1.55, 1.35-1.45, 1.40, 0.89, 0.86;MS (EI) m/z 417, 361, 344, 305, 302, 271, 270, 214, 162, 132, 57. Стадия 6 Получение [S-(R*,R*)]-3-(трет-бутилацетокси)-3-(2- метилпропил)-2-оксо- 1– (фенилметил)-1-пирролидинуксусной кислотыСмесь [S-(R*,R*)]-N3-трет-бутил-N1– метил-3-(2-метил-пропил)-2-оксо- 1– (фенилметил)-1,3-пирролидиндиацетата (254 мг, 0,608 ммоль), MeOH (12 мл), воды (3,0 мл) и гидроксида натрия (98,4 мг, 2,46 ммоль) перемешивают при комнатной температуре в течение 16 часов и затем концентрируют. Остаток разбавляют водой, подкисляют (10% HCl) и водный слой экстрагируют несколько раз добавлением CH2Cl2. Органические слои сушат (MgSO4), фильтруют и концентрируют с получением 233 мг (95%) указанного в заголовке соединения в виде масла.
ИК (жидк. ) 2958, 2933, 2872, 1730, 1693, 1651, 1456, 1443, 1393, 1368, 1273, 1258, 1207, 1155, 699 cm-1;1H NMR (300 MHz, CDCl3) 7.20-7.35, 4.67, 3.40, 3.20-3.35, 3.00-3.10, 2.29, 1.95-2.10, 1.80-1.95, 1.60-1.75, 1.52, 1.41, 1.31, 0.91, 0.87;MS (EI) m/z 403, 347, 330, 303, 302, 291, 256, 200, 132, 57, 55. Стадия 7 Получение [S-(R*, R*)]-трет-бутил-N1– метилацетамид-3-(2-метилпропил)-2-оксо- 1– (фенилметил)-3-пирролидинацетатаК раствору [S-(R*,R*)]-3-(трет-бутилацетокси)-3-(2- метилпропил)-2-оксо- 1– (фенилметил)-1-пирролидинуксусной кислоты (224 мг, 0,555 ммоль) и ТГФ (2,5 мл) добавляют CDI (94,3 мг, 0,582 ммоль). Раствор перемешивают в течение 1 часа при комнатной температуре и затем добавляют 0,27 мл 40% вод. метиламина. Раствор перемешивают при комнатной температуре в течение 16 часов. Водная обработка (промывки EtOAc, 3% HCl, 10% NaOH и солевым раствором, MgSO4) позволяет получить 259 мг сырого продукта, который очищают методом флэш-хроматографии (1: 1 гексан:EtOAc), что позволяет получить 198 мг (86%) указанного в заголовке соединения в виде масла.
ИК (минеральное масло) 3395, 1719, 1682, 1656, 1545, 1442, 1351, 1306, 1274, 1248, 1210, 1150, 1117, 747, 703 cm-1;1H NMR (300 MHz, CDCl3) 7.15-7.30, 6.90-7.05, 4.25, 3.41, 3.20-3.35, 2.95-3.10, 2.82, 2.43, 1.95-2.10, 1.75-1.90, 1.50-1.70, 1.43, 1.08, 0.88, 0.81;MS (EI) m/z 416 (M+) 360, 358, 343, 303, 302, 284, 269, 161, 132, 57. Стадия 8 Получение [S-(R*, R*)] -N1-метилацетамид-3-(2- метилпропил)-2-оксо- 1– (фенилметил)-3-пирролидинуксусной кислотыТФУ (3,0 мл) добавляют к раствору [S-(R*,R*)]-трет-бутил-N1-метилацетамид-3-(2- метилпропил)-2-оксо- 1– (фенилметил)-3-пирролидинацетата (192 мг, 0,461 ммоль) и CH2Cl2 (3,0 мл) при 0oC. Раствор перемешивают в течение 1 часа при 0oC и 3 часов при комнатной температуре. Раствор концентрируют из CH2Cl2 (2 х 30 мл), что повторяют еще дважды. Водная обработка (CH2Cl2, MgSO4) позволяет получить 158 мг (95%) указанного в заголовке соединения в виде масла.
1H NMR (300 MHz, CDCl3) 7.15-7.35, 6.10-6.25, 4.66, 3.25-3.50, 3.17, 2.76, 2.38, 2.00-2.10, 1.60-1.85, 1.53, 1.25-1.40, 0.90, 0.84;MS (EI) m/z 360, 303, 302, 284, 269, 161, 149, 132, 69, 57, 55. Стадия 9 Получение [S-(R*, R*)] -N3-гидрокси-N1– метил-3-(2-метилпропил)-2-оксо- 1– (фенилметил)-1,3-пирролидиндиацетамидаЭДК (92,2 мг, 0,481 ммоль) добавляют к раствору [S-(R*,R*)]-N1-метилацетамид-3-(2-метилпропил)-2- оксо- 1– (фенилметил)-3-пирролидинуксусной кислоты (151 мг, 0,419 ммоль), CH2Cl2 (4,1 мл), ДМФ (1,0 мл), ГОБТ (56,4 мг, 0,417 ммоль) и N-метилморфолина (50 мкл, 0,46 ммоль) при 0oC. Раствор перемешивают в течение 5 минут при 0oC и в течение 1 часа при комнатной температуре. Добавляют гидроксиламингидрохлорид (57,8 мг, 0,832 ммоль) и N-метилморфолин (90 мкл, 0,82 ммоль) и смесь перемешивают в течение ночи при комнатной температуре. Водная обработка (CH2Cl2, MgSO4) и очистка по методу флэш-хроматографии (20:1 CH2Cl2:MeOH) позволяет получить 74 мг гидроксамата в виде масла, которое кристаллизуют из эфира/EtOAc/гексана с получением 50 мг (32%) указанного в заголовке соединения в виде белого кристаллического вещества (т. пл. 159-164oC): [ ]D25-84o (c 0,49, CHCl3).
ИК (минеральное масло) 3372, 3196, 3028, 1687, 1669, 1635, 1605, 1543, 1441, 1404, 1355, 1302, 1287, 747, 703 cm-1;MS (EI) m/z 375, 317, 316, 302, 299, 284, 200, 132, 91, 58, 55. ПРИМЕР 29 Получение [R, R-(R*,R*)]- 3– [2-(1,3-дигидро-1,3-диоксо-2Н- изоиндол-2-ил)этил]-N3-гидрокси-N1-метил-3-(2- метилпропил)-2-оксо- 1– (фенилметил)-1,3-пирролидиндиацетамида![]() Стадия 1 Получение (R)-трет-бутилметил-3-(2-метилпропил)-2-оксо- 1– (фенилметил)- 3– (пропен-2-ил)-1,3-пирролидиндиацетатаК раствору трет-бутил-3-(2-метилпропил)-2-оксо- -(пропен-2-ил)-3-пирролидинацетата (пример 22, стадия 6; 862 мг, 2,92 ммоль) и ТГФ (10 мл) при 0oC добавляют гидрид натрия (129 мг, 3,23 ммоль, 60% дисперсия в минеральном масле). Раствор перемешивают в течение 20 минут при 0oC и затем добавляют раствор трифлата (пример 28, стадия 4; 1,01 г, 3,23 ммоль) в 2,0 мл пентана. Раствор перемешивают в течение 2 часов при 0oC и в течение 1,5 часов при комнатной температуре. Водная обработка (EtOAc, MgSO4) и очистка (4: 1 гексан: EtOAc) позволяют получить 922 мг (69%) указанного в заголовке соединения в виде масла, которое представляет собой смесь двух диастереомеров.
ИК (жидк. ) 2975, 2956, 2934, 1745, 1724, 1690, 1455, 1435, 1425, 1368, 1288, 1267, 1237, 1210, 1153, cm-1;1H NMR (300 MHz, CDCl3) major peaks only 3.71, 3.70, 1.40, 1.38, 0.89, 0.83, 0.69, 0.56;MS (EI) m/z 457, 401, 342, 310, 304, 303, 260, 200, 162, 91, 57. где major peaks only = только главные пики. Стадия 2 Получение (R)-3-(трет-бутилацетокси)-3-(2-метилпропил)-2-оксо- 1– (фенилметил)- 3– (пропен-2-ил)-1-пирролидинуксусной кислотыСмесь (R)-трет-бутилметил-3-(2-метилпропил)-2-оксо- 1– (фенилметил)- 3– (пропен-2-ил)-1,3-пирролидиндиацетата (913 мг, 2,00 ммоль), MeOH (32 мл), воды (8,0 мл) и гидроксида натрия (362 мг, 9,05 ммоль) перемешивают при комнатной температуре в течение 16 часов и затем концентрируют. Остаток разбавляют водой, подкисляют (10% HCl) и водный слой экстрагируют несколько раз добавлением CH2Cl2. Органические слои сушат (MgSO4), фильтруют и концентрируют с получением 829 мг (93%) указанного в заголовке соединения в виде масла.
ИК (жидк. ) IR (liq.) 3003, 2974, 2959, 2932, 1725, 1692, 1652, 1643, 1455, 1368, 1284, 1272, 1255, 1206, 1153 cm-1;1H NMR (300 MHz, CDCl3) major peaks only 3.57, 2.99, 2.69, 1.40, 1.38, 0.89, 0.85, 0.61, 0.59;MS (EI) m/z 443, 387, 342, 296, 290, 289, 252, 246, 200, 91, 57. где major peaks only = только главные пики. Стадия 3 Получение [R,R-(R*,R*)]- и [S,R-(S*,S*)]-трет-бутил-N1– метилацетамид-3-(2-метилпропил)-2-оксо- 1– 1-(фенилметил)- 3– (пропен-2-ил)-3-пирролидинацетатаК раствору (R)-3-(трет-бутилацетокси)-3-(2-метилпропил)-2-оксо- 1-1-(фенилметил)- 3– (пропен-2-ил)-1-пирролидинуксусной кислоты (821 мг, 1,85 ммоль) и ТГФ (8,0 мл) добавляют CDI (314 мг, 1,94 ммоль). Раствор перемешивают в течение 1 часа при комнатной температуре и затем добавляют 1,1 мл 40% вод. метиламина. Раствор перемешивают при комнатной температуре в течение 16 часов. Водная обработка (промывки EtOAc, 3% HCl, 10% NaOH и солевым раствором, MgSO4) позволяет получить 921 мг сырого продукта, который очищают методом флэш-хроматографии (1:1 гексан:EtOAc), позволяет получить 126 мг диастереомера A. Дальнейшее элюирование позволяет получить диастереомер B, загрязненный диастереомером A и двумя незначительными диастереомерами. Повторная очистка методом флэш-хроматографии (2 колонки; 1:1 гексан:EtOAc) позволяет получить дополнительно 174 мг диастереомера A (суммарно 300 мг, 36%) в виде масла.
ИК (минеральное масло) 3376, 1702, 1685, 1667, 1538, 1501, 1443, 1433, 1277, 1267, 1249, 1232, 1156, 742, 697 cm-1;MS (EI) m/z 456, 400, 399, 398, 343, 342, 324, 309, 200, 132, 57. Дальнейшее элюирование позволяет получить 209 мг (25%) неочищенного диастереомера B: ИК (жидк. ) 3328, 2975, 2957, 2934, 1724, 1663, 1554, 1498, 1455, 1438, 1368, 1292, 1266, 1152, 699 cm-1; 1H NMR (300 MHz, CDCl3) 7.10-7.30, 6.25-6.35, 5.50-5.70, 4.90-5.10, 4.64, 3.30-3.45, 3.08, 2.80, 2.71, 2.10- 2.40, 1.70-1.90, 1.30-1.65, 0.86, 0.79;MS (EI) m/z 456, 400, 398, 343, 342, 324, 309, 259, 200, 132, 57. Стадия 4 Получение [R,R-(R*,R*)]-трет-бутил- 3– (2-гидроксиэтил)-N1-метилацетамид-3-(2-метилпропил)-2-оксо- 1– 1-(фенилметил)-3-пирролидинацетатаЧерез раствор [R, R-(R*,R*)]-трет-бутил-N1– метилацетамид-3-(2-метилпропил)-2-оксо- 1– 1-(фенилметил)- 3– (пропен-2-ил)-3-пирролидинацетата (пример 29, стадия 3, диастереомер В; 203 мг, 0,445 ммоль) и EtOH (4,4 мл) в течение 4 минут при -78oC пропускают озон. После пропускания кислорода добавляют боргидрид натрия (27 мг, 0,71 ммоль). Смесь перемешивают при -78oC в течение 1 часа, а затем ей позволяют медленно нагреться до комнатной температуры в течение 1 часа. По прошествии 1 часа при комнатной температуре добавляют боргидрид натрия (14 мг, 0,37 ммоль) и смесь перемешивают в течение еще 2 часов при комнатной температуре. Концентрирование и водная обработка (EtOAc, MgSO4) позволяют получить 198 мг (97%) указанного в заголовке соединения в виде масла, которое применяют без дальнейшей очистки.
ИК (жидк. ) 3320, 2957, 2934, 1722, 1659, 1455, 1437, 1414, 1392, 1368, 1260, 1152, 1057, 734, 699 cm-1;1H NMR (300 MHz, CDCl3) 7.10-7.35, 6.15-6.25, 4.64, 2.70, 1.44, 0.86, 0.79;MS (EI) m/z 460, 346, 328, 132, 105, 91, 81, 69, 58, 57, 55. Стадия 5 Получение [R,R-(R*,R*)]-трет-бутил- 3– [2-(1,3-дигидро-1,3-диоксо-2Н-изоиндол-2-ил)этил]-N1– метилацетамид-3-(2метилпропил) -2-оксо- 1-1-(фенилметил) -3-пирролидиндиацетатаК раствору [R,R-(R*,R*)]-трет-бутил- 3– (2-гидроксиэтил)- N1-метилацетамид-3-(2-метилпропил)-2-оксо- 1– 1-(фенилметил)-3-пирролидинацетата (195 мг, 0,423 ммоль), трифенилфосфина (122 мг, 0,465 ммоль), фталимида (68,1 мг, 0,463 ммоль) и ТГФ (5,0 мл) добавляют ДЭАД (73,4 мкл, 0,446 ммоль). Раствор перемешивают в течение 16 часов при комнатной температуре. Концентрирование и очистка методом флэш-хроматографии (2 колонки; 1:1 гексан: EtOAc) позволяют получить 144 мг (58%) указанного в заголовке соединения в виде масла.
1H NMR (300 MHz, CDCl3) major peaks 7.78-7.90, 7.65-7.75, 7.10-7.35, 6.30-6.40, 4.59, 2.71, 1.49, 0.83, 0.78,где major peaks = главные пики. Стадия 6 Получение [R,R-(R*,R*)]- 3– [2-(1,3-дигидро-1,3-диоксо-2Н-изоиндол-2-ил)этил]-N3-гидрокси- N1-метил-3-(2-метилпропил)-2-оксо- 1– 1-(фенилметил)-1,3-пирролидиндиацетамидаТФУ (2,0 мл) добавляют к раствору [R,R-(R*,R*)]-трет-бутил- 3– [2-(1,3-дигидро-1,3-диоксо-2Н-изоиндол-2-ил)этил] -N1– метилацетамид-3-(2-метилпропил)-2-оксо- 1– 1-(фенилметил)-3-пирролидиндиацетата (144 мг, 0,244 ммоль) и CH2Cl2 (2,0 мл) при 0oC. Раствор перемешивают в течение 0,5 часа при 0oC и в течение 1,5 часов при комнатной температуре. Раствор концентрируют из CH2Cl2 (2 х 40 мл), что повторяют еще дважды. Водная обработка (CH2Cl2, MgSO4) позволяет получить 127 мг (97%) кислого промежуточного продукта в виде масла.
ЭДК (52,7 мг, 0,275 ммоль) добавляют к раствору сырой кислоты (127 мг, 0,238 ммоль), CH2Cl2 (2,4 мл), ДМФ (0,6 мл), ГОБТ (32,2 мг, 0,238 ммоль) и N-метилморфолина (28,5 мкл, 0,259 ммоль) при 0oC. Раствор перемешивают в течение 5 минут при 0oC и 1 часа при комнатной температуре. Добавляют гидроксиламингидрохлорид (33,2 мг, 0,478 ммоль) и N-метилморфолин (51 мкл, 0,46 ммоль) и смесь перемешивают в течение ночи при комнатной температуре. Водная обработка (CH2Cl2, MgSO4) и очистка методом флэш-хроматографии (40:1 EtOAc: MeOH) позволяет получить 65,9 мг указанного в заголовке соединения в виде масла, которое кристаллизуют из эфира/гексана с получением 45 мг (34%) продукта в виде белого порошкообразного вещества (т. пл. 176-180oC).
ИК (минеральное масло) 1714, 1672, 1634, 1401 cm-1;1H NMR (300 MHz, CDCl3) 7.70-7.90, 7.05-7.36, 6.85-7.00, 6.10-6.20, 4.68, 3.35-3.75, 3.41, 3.23, 2.90-3.10, 2.70, 2.32, 2.10-2.35, 1.30-1.95, 0.82, 0.73;MS (EI) m/z 548, 430, 429, 302, 259, 244, 200, 185, 160, 130, 56. ПРИМЕР 30 Получение [S-(R*, R*)] -N3-гидрокси-N1– метил-3-(2-метилпропил)-2-оксо- 1– 1-(фенилметил)-1,3-пирролидиндиацетамида![]() Стадия 1 Получение ( S)- -(2-метилпропен-2-ил)- -тритилоксиметил- -бутиролактонаК раствору S-(+)- -тритилоксиметил- -бутиролактона (6,36 г, 17,6 ммоль), ТГФ (51 мл) и НМРА (3,8 мл) при -78oC добавляют диизопропиламид лития (10,6 мл, 21,2 ммоль, 2,0 М, гептан/ТГФ/этилбензол). После перемешивания в течение 30 минут при -78oC добавляют раствор 3-бром-2-метилпропена (1,96 мл, 19,4 ммоль) и ТГФ (10,0 мл). Раствор оставляют перемешиваться в течение 4 часов при -78oC и затем реакцию останавливают водным хлоридом аммония (50 мл). После нагревания до комнатной температуры водная обработка (EtOAc, MgSO4) позволяет получить масло, которое кристаллизуют из гексана/EtOAc (4: 1) с получением 3,89 г указанного в заголовке соединения в виде белого твердого вещества (т. пл. 134-135,5oC). Фильтрат концентрируют и очищают методом флэш-хроматографии (4:1 гексан:EtOAc) с получением дополнительного количества указанного в заголовке соединения (суммарно 6,11 г, 84%).
ИК (минеральное масло) 1764, 1489, 1216, 1179, 1151, 1102, 1041, 1029, 962, 902, 771, 749, 707, 694, 636 cm-1;1H NMR (300 MHz, CDCl3) 7.16-7.50, 4.81, 4.72, 4.50-4.65, 3.45, 3.13, 2.95-3.15, 2.60-2.70, 1.85-2.25, 1.73;MS (EI) m/z 412, 335, 259, 258, 244, 243, 165, 105, 93, 77, 55. Стадия 2 Получение ( S)- -(2-метилпропил)- -тритилоксиметил- -бутиролактонаСмесь ( S)- -(2-метилпропен-2-ил)- -тритилоксиметил- -бутиролактона (6,10 г, 14,8 ммоль), 10% Pd/C (800 мг) и EtOAc (250 мл) гидрируют в колбе Парра (42 фунт/кв. дюйм (~2,954 кг/см2)) при комнатной температуре в течение 18 часов. Смесь фильтруют и остаток промывают EtOAc, CH2Cl2 и EtOAc. Фильтрат сушат (MgSO4), фильтруют и концентрируют с получением 5,67 г (92%) указанного в заголовке соединения в виде масла, которое представляет собой смесь диастереомеров.
ИК (жидк. ) 2956, 2930, 2871, 1773, 1490, 1449, 1227, 1172, 1093, 1033, 974, 767, 747, 706, 633 cm-1;1H NMR (300 MHz, CDCl3) 7.15-7.50, 4.50-4.65, 3.44, 3.12, 2.80-2.95, 2.15-2.30, 1.85-2.00, 1.60-1.85, 1.20-1.40, 0.95, 0.91;MS (EI) m/z 414, 337, 259, 258, 244, 243, 165, 109, 105, 77, 69. Стадия 3 Получение [S-(R*, R*)]- -(2-метилпропил)- -(пропен-2-ил)- -тритилоксиметил- -бутиролактонаК раствору ( S)- -(2-метилпропил)- -тритилоксиметил- -бутиролактона (5,67 г, 13,7 ммоль), ТГФ (50 мл) и НМРА (2,9 мл) при -78oC добавляют диизопропиламид лития (8,3 мл, 16,6 ммоль, 2,0 М, гептан/ТГФ/этилбензол). После перемешивания в течение 30 минут при -78oC добавляют раствор аллилбромида (1,46 мл, 16,9 ммоль) и ТГФ (8,0 мл). Раствор оставляют перемешиваться в течение 4 часов при -78oC и затем реакцию останавливают водным хлоридом аммония (50 мл). После нагревания до комнатной температуры водная обработка (EtOAc, MgSO4) и очистка методом флэш-хроматографии (6:1 гексан:EtOAc) позволяет получить 5,12 г указанного в заголовке соединения (82%) в виде белого порошка (т. пл. 84-85oC).
ИК (минеральное масло) 1770, 1489, 1184, 1119, 1089, 1070, 1034, 1027, 1002, 991, 775, 754, 704, 632 cm-1;1H NMR (300 MHz, CDCl3) 7.15-7.50, 5.65-5.85, 5.10-5.20, 4.40-4.55, 3.15-3.35, 2.20-2.40, 1.90-2.15, 1.45-1.80, 0.92, 0.85;MS (EI) m/z 454, 377, 259, 258, 244, 243, 165, 109, 105, 77, 55. Стадия 4 Получение [S-(R*,R*)]- -(2-метилпропил)- -(пропен-2-ил)- -гидроксиметил- -бутиролактонаК раствору [S-(R*,R*)]- -(2-метилпропил)- -(пропен-2-ил)- -тритилоксиметил- -бутиролактона (2,09 г, 4,60 ммоль) и CH2Cl2 (30,0 мл) при 0oC добавляют ТФУ (15,0 мл). Раствор перемешивают в течение 75 минут при 0oC и концентрируют. Водная обработка (CH2Cl2, MgSO4) и очистка методом флэш-хроматографии (1:1 гексан:EtOAc) позволяет получить 684 мг (70%) указанного в заголовке соединения в виде масла.
ИК (жидк. ) 3434, 2958, 2932, 2872, 1767, 1368, 1191, 1140, 1101, 1075, 1058, 1034, 998, 923, 622 cm-1;1H NMR (300 MHz, CDCl3) 5.70-5.90, 5.10-5.25, 4.45-4.55, 3.89, 3.60, 2.00-2.50, 1.60-1.90, 1.52, 0.96, 0.89;MS (EI) m/z 212, 156, 111, 109, 93, 81, 69, 67, 55, 43, 41. Стадия 5 Получение (R*,R*)- -(2-метилпропил)- -(пропен-2-ил)- -гидрокси- -бутиролактонаСмесь [S-(R*, R*)] – -(2-метилпропил)- -(пропен-2-ил)- -гидроксиметил- -бутиролактона (682 мг, 3,21 ммоль), NaOH (350 мг, 8,75 ммоль), ТГФ (40 мл) и H2O (10 мл) перемешивают в течение 19 часов при комнатной температуре. Через 16 часов добавляют дополнительное количество NaOH (114 мг, 2,85 ммоль). Смесь концентрируют и остаток вносят в MeOH (43 мл). Добавляют раствор периодата натрия (862 мг, 4,03 ммоль) и H2O (4,3 мл) и смесь перемешивают при комнатной температуре в течение 3 часов. После концентрирования водный остаток подкисляют (HCl) и экстрагируют добавлением CH2Cl2 (3 х 40 мл). Органические слои сушат (MgSO4), фильтруют и концентрируют с получением 625 мг (98%) указанного в заголовке соединения в виде полутвердого вещества.
ИК (жидк. ) 3389, 2959, 2933, 2873, 1769, 1747, 1746, 1369, 1186, 1170, 1129, 988, 963, 944, 926 cm-1;1H NMR (300 MHz, CDCl3) 5.60-5.90, 5.10- 5.25, 3.30-3.50, 1.45-2.55, 0.85-1.00;MS (EI) m/z 142, 113, 97, 95, 67, 57, 55, 43, 41, 39. Стадия 6 Получение L-фенилаланинметиламида К раствору CBZ-L-фенилаланина (1,00 г, 3,34 ммоль) и ТГФ (12,5 мл) добавляют CDI (545 мг, 3,36 ммоль). Раствор перемешивают в течение 1 часа при комнатной температуре и затем добавляют 40% вод. метиламин (1,5 мл). Раствор перемешивают в течение 16 часов при комнатной температуре. Раствор разбавляют EtOAc и промывают NaHCO3, 10% HCl, NaHCO3 и солевым раствором. Органический слой сушат (MgSO4), фильтруют и концентрируют с получением 983 мг (94%) карбаматного промежуточного продукта в виде белого твердого вещества. 1H NMR (300 MHz, CDCl3) 7.10-7.40, 5.50-6.65, 5.25-5.40, 5.07, 4.33, 2.95-3.20, 2.70.
К смеси карбамата (980 мг, 3,14 ммоль), MeOH (21 мл) и 10% Pd/C (104 мг) добавляют формиат аммония (644 мг, 10,2 ммоль). Смесь перемешивают в течение 1 часа при комнатной температуре и фильтруют. Остаток промывают MeOH, CH2Cl2 и концентрируют. Остаток разбавляют 30:1 CH2Cl2:MeOH (30 мл), сушат (MgSO4), фильтруют и концентрируют с получением 504 мг (90%) указанного в заголовке соединения в виде пены, которое используют без дальнейшей очистки.
1H NMR (300 MHz, CDCl3) 8.12, 7.15-7.40, 4.07, 3.72, 3.26, 2.65-2.85, 2.78.
Стадия 7Получение [S-(R*,R*)]-метил-3-(2-метилпропил)-2-оксо- -(фенилметил)-3-(пропен-2-ил)-1-пирролидинацетамидаРаствор L-фенилаланинметиламида (пример 30, стадия 6; 210 мг, 1,18 ммоль) и MeOH (8,5 мл) добавляют к (R*,R*)- ‘ -(2-метилпропил)- -(пропен-2-ил)- -гидрокси- -бутиролактону (пример 30, стадия 5; 200 мг, 1,01 ммоль). Добавляют цианоборгидрид натрия (85,0 мг, 1,35 ммоль) и раствор перемешивают в течение 16 часов при комнатной температуре. Концентрирование и водная обработка (20:1 CHCl3:MeOH, MgSO4) позволяют получить 397 мг нециклизованного промежуточного продукта в виде масла. Смесь сырого остатка, толуола (24 мл), MeOH (8,0 мл) и силикагеля (800 мг) медленно нагревают до температуры перегонки, давая MeOH выпариться. Смесь затем выдерживают при температуре кипения в течение 3 часов и позволяют охладиться до комнатной температуры. Смесь фильтруют, твердые вещества промывают 20:1 CH2Cl2:MeOH (3 х 40 мл) и фильтрат концентрируют. Очистка методом флэш-хроматографии (EtOAc) позволяет получить 218 мг (63%) указанного в заголовке соединения в виде масла.
ИК (жидк. ) 3314, 2955, 2929, 2871, 1661, 1660, 1558, 1498, 1455, 1439, 1413, 1296, 1267, 741, 698 cm-1;1H NMR (300 MHz, CDCl3) 7.15-7.35, 6.15-6.30, 5.10-5.35, 4.75-5.00, 3.15-3.40, 3.07, 2.74, 2.00-2.15, 1.55-2.00, 1.35-1.55, 0.90, 0.81;MS (EI) m/z 342, 311, 299, 285, 284, 162, 132, 105, 91, 81, 67, 58, 56. Стадия 8 Получение [S-(R*, R*)] -N1-метилацетамид-3-(2- метилпропил)-2-оксо- 1– (фенилметил)-3-пирролидинуксусной кислотыК смеси периодата натрия (1,07 г, 5,00 ммоль), H2O (14,0 мл), CH3CN (14,0 мл) и CCl4 (14,0 мл) добавляют гидрат оксида рутения (IV) (17,3 мг, 0,130 ммоль). Смесь перемешивают в течение 20 минут при комнатной температуре, а затем добавляют NaHCO3 (1,32 г, 15,7 ммоль) и Н2O (7,0 мл). После перемешивания в течение еще 5 минут добавляют раствор [S-(R*,R*)]-метил-3-(2-метилпропил)-2-оксо- -(фенилметил)-3-(пропен-2-ил)-1-пирролидинацетамида (215 мг, 0,628 ммоль) и CH3CN (6,0 мл). После перемешивания в течение 8 минут при комнатной температуре остаток выливают в смесь H2O (40 мл) и EtOAc (100 мл). Водный слой удаляют и органический слой экстрагируют добавлением 10% NaOH (2 х 15 мл). Объединенные основные слои подкисляют (4н HCl) и экстрагируют добавлением CH2Cl2 (3 х 50 мл). CH2Cl2 слои сушат (MgSO4), фильтруют и концентрируют с получением 109 мг (48%) указанного в заголовке соединения в виде масла.
ИК (жидк. ) 3347, 3029, 2957, 2872, 1724, 1657, 1552, 1498, 1455, 1440, 1413, 1296, 1271, 1193, 700 cm-1;1H NMR (300 MHz, CDCl3) 7.10-7.40, 6.81, 4.54, 3.15-3.50, 2.73, 2.45, 1.80-2.05, 1.55-1.75, 1.40-1.55, 1.24, 0.89, 0.82;MS (EI) m/z 360, 303, 302, 284, 269, 244, 200, 161, 132, 91, 55. Стадия 9 Получение [S-(R*,R*)]-N3-бензилокси- N1-метил-3-(2-метилпропил)-2-оксо- 1– (фенилметил)-1,3-пирролидиндиацетамидаК раствору [S-(R*,R*)]-N1-метилацетамид- 3-(2-метилпропил)-2-оксо- 1– (фенилметил)-3-пирролидинуксусной кислоты (109 мг, 0,302 ммоль) и CH2Cl2 (2,3 мл) добавляют CDI (59,0 мг, 0,364 ммоль). Раствор перемешивают в течение 1 часа при комнатной температуре и затем добавляют O-бензилгидроксиламингидрохлорид (70,0 мг, 0,439 ммоль) и N-метилморфолин (0,06 мл, 5,5 ммоль). Раствор перемешивают в течение 16 часов при комнатной температуре. Водная обработка (CH2Cl2, MgSO4) и очистка методом флэш-хроматографии (EtOAc) позволяет получить 82,4 мг (59%) указанного в заголовке соединения в виде масла.
ИК (жидк. ) 3213, 3031, 2957, 2872, 1662, 1545, 1498, 1455, 1441, 1412, 1368, 1295, 1280, 750, 699 cm-1;1H NMR (300 MHz, CDCl3) 8.85-9.00, 7.10-7.50, 6.40-6.55, 4.75-5.00, 4.40-4.55, 3.10-3.45, 2.75, 2.15-2.30, 1.80-2.15, 1.40-1.65, 1.10-1.30, 0.87, 0.79;MS (EI) m/z 465, 407, 284, 132, 105, 92, 91, 77, 69, 58, 55. Стадия 10 Получение [S-(R*, R*)] -N3-гидрокси-N1– метил-3-(2-метилпропил)-2-оксо- 1– (фенилметил)-1,3-пирролидиндиацетамидаСмесь [S-(R*,R*)]-N3-бензилокси-N1– метил-3-(2-метилпропил)-2-оксо- 1– (фенилметил)-1,3-пирролидиндиацетамида (79,2 мг, 0,170 ммоль), MeOH (4,0 мл) и 10% Pd/C (15 мг) помещают в атмосферу водорода. После перемешивания в течение 4 часов при комнатной температуре смесь фильтруют, твердые вещества промывают MeOH (4 x 5 мл) и CH2Cl2 (5 мл) и объединенный фильтрат концентрируют с получением 41 мг желаемого продукта в виде масла. Растирание (эфир/гексан) позволяет получить 39,4 мг (62%) указанного в заголовке соединения в виде белого порошка (т. пл. 162-165oC): [ ]D25-96o (с 0,26 CHCl3).
ИК (минеральное масло) 3372, 3195, 3028, 1687, 1669, 1636, 1605, 1542, 1441, 1405, 1355, 1302, 1287, 747, 704 cm-1;1H NMR (300 MHz, CDCl3) 7.15-7.40, 6.50-6.65, 4.50-4.65, 3.10-3.50, 2.78, 2.32, 1.90-2.15, 1.45-1.80, 1.20-1.35, 0.90, 0.83;MS (EI) m/z 375, 317, 302, 301, 299, 284, 244, 200, 132, 91, 55. ПРИМЕР 31 Получение [S-(R*,R*)]-N3-гидрокси-3-(2- метилпропил)-2-оксо-N1-(2-фенэтил)- 1– (фенилметил)-1,3-пирролидиндиацетамида![]() Следуя общей методике, изложенной в примере 30, используя незначительные вариации, исходя из (R*,R*)- – (2-метилпропил)- -(пропен-2-ил)- -гидрокси- -бутиролактона (пример 30, стадия 5) и L-фенилаланинфенэтиламида (полученного в соответствии с методикой, сходной с описанной в примере 30, стадии 6), получают указанное в заголовке соединение (т. пл. 158-159oC).
[ ]D25-83o (c 0,35, CHCl3)ИК (минеральное масло) 3219, 3087, 3063, 3029, 1668, 1644, 1558, 1498, 1354, 1311, 1297, 1283, 749, 743, 701 cm-1; 1H NMR (300 MHz, CDCl3) 9.63, 7.00-7.40, 6.31, 4.59, 3.30-3.60, 3.00-3.20, 2.65-2.85, 2.14, 1.85-2.10, 1.40-1.75, 1.25, 0.87, 0.80;MS (EI) m/z 465, 318, 317, 316, 284, 200, 132, 105, 91, 55. ПРИМЕР 32 Получение [S-(R*, R*)] -N3-гидрокси-N1– метил- 1, 3-бис-(2-метилпропил)-2-оксо-1,3-пирролидиндиацетамида![]() Следуя общей методике, изложенной в примере 30, используя незначительные вариации, исходя из (R*,R*)- -(2-метилпропил)- -(пропен-2-ил)- -гидрокси- -бутиролактона (пример 30, стадия 5) и L-лейцинметиламида (полученного в соответствии с методикой, сходной с описанной в примере 30, стадии 6), получают указанное в заголовке соединение (т. пл. 138-139oC).
[ ]D25 +117o (c 0,28, CHCl3);ИК (минеральное масло) [ ]D25 +117o (c 0.28, CHCl2);IR (mineral oil) 3376, 3198, 3023, 1689, 1676, 1639, 1543, 1493, 1406, 1355, 1304, 1281, 1195, 1166 cm-1; 1H NMR (300 MHz, CDCl3) 9.91, 6.31, 4.35-4.50, 3.30-3.55, 2.76, 2.44, 2.20-2.40, 2.00-2.15, 1.35-1.90, 0.75-1.00;MS (EI) m/z 341, 310, 284, 283, 282, 251, 250, 222, 98, 86, 55. ПРИМЕР 33 Получение [S-(R*,R*)]- 1– (циклогексилметил)-N3-гидрокси-N1-метил-3-(2- метилпропил)-2-оксо-1,3-пирролидиндиацетамида![]() Следуя общей методике, изложенной в примере 30, используя незначительные вариации, исходя из (R*,R*)- -(2-метилпропил)- -(пропен-2-ил)- -гидрокси- -бутиролактона (пример 30, стадия 5) и -циклогексил-L-аланинметиламида (полученного в соответствии с методикой, сходной с описанной в примере 30, стадии 6), получают указанное в заголовке соединение (т. пл. 150-152oC).
ИК (минеральное масло) 3253, 3194, 3058, 1678, 1643, 1544, 1502, 1409, 1285, 1268, 1259, 1228, 1048, 738, 647 cm-1;1H NMR (300 MHz, CDCl3) 6.52, 4.42, 3.30-3.55, 2.77, 2.44, 2.20-2.35, 1.95-2.15, 1.98, 1.35-1.90, 0.75-1.35, 0.92, 0.86;MS (EI) m/z 381, 324, 323, 322, 290, 208, 86, 67. ПРИМЕР 34 Получение [S-(R*,R*)]-N3-гидрокси-N1– метил-3-(3-метилбутил)-2-оксо- 1– (фенилметил)-1,3-пирролидиндиацетамида![]() Следуя общей методике, изложенной в примере 30, используя незначительные вариации, исходя из (R*, R*)- -(2-метил-пропил)- – (пропен-2-ил)- -гидрокси- -бутиролактона (пример 30, стадии 1-5) и L-фенилаланинметиламида (пример 30, стадия 6), получают указанное в заголовке соединение (т. пл. 167-168oC).
[ ]D25-104o (c 0,43, CHCl3)ИК (минеральное масло) 3372, 3195, 3064, 3029, 1687, 1670, 1635, 1545, 1497, 1443, 1405, 1297, 1287, 745, 701 cm-1; 1H NMR (300 MHz, CDCl3) 9.50-9.80, 7.10-7.40, 6.92, 4.40-4.50, 3.10-3.45, 2.79, 2.23, 1.90-2.20, 1.70-1.90, 1.05-1.55, 0.75-1.00;MS (FAB) m/z 390, 389, 374, 357, 331, 298, 132. ПРИМЕР 35 Получение N-гидрокси-3-(2-метилпропил)-2,5-диоксо-1-(2- фенилэтил)-3-пирролидинацетамида ![]() Стадия 1 Получение этил-3-(2-метилпропил)-2,5-диоксо-1-(2-фенилэтил)- 3-пирролидинацетата К смеси этил-3-(2-метилпропил)-2-оксо-1-(2-фенилэтил)-3- пирролидинацетата (полученного в соответствии с методикой, сходной с описанной в примере 1, стадиях 1-3% 900 мг, 2,71 ммоль), периодата натрия (2,71 г, 12,7 ммоль), воды (27 мл) и CCl4 (27 мл) при комнатной температуре добавляют гидрат оксида рутения (IV) (27 мг, 0,20 ммоль). После перемешивания в течение ночи при комнатной температуре водная обработка (CH2Cl2, MgSO4) и очистка по методу колоночной хроматографии (20% EtOAc/гексан) позволяют получить 611 мг указанного в заголовке соединения (65%) в виде бесцветного масла. ИК (жидк. ) 2959, 1775, 1733, 1704, 1455, 1438, 1403, 1368, 1346, 1255, 1218, 1193, 1165, 1030, 699 cm-1; 1H NMR (300 MHz, CDCl3) 7.15-7.35, 4.09, 3.65-3.85, 2.50-3.00, 1.35-1.80, 1.22, 0.91, 0.85;MS (EI) m/z 345, 300, 289, 259, 203, 105, 104. Стадия 2 Получение 3-(2-метилпропил)-2,5-диоксо-1-(2-фенилэтил)-3- пирролидинуксусной кислоты К смеси этил-3-(2-метилпропил)-2,5-диоксо-1-(2-фенилэтил)-3- пирролидинацетата (611 мг, 1,77 ммоль), метанола (10 мл) и воды (5 мл) добавляют гидроксид натрия (283 мг, 7,08 ммоль) и смесь оставляют перемешиваться в течение ночи при комнатной температуре. Смесь делят 10 мл воды и 10 мл Et2O. Слои разделяют и значение рН водного слоя доводят до 2 (по показаниям pH-метра) 1,2н HCl. Водный слой экстрагируют добавлением EtOAc (2 х 10 мл) и CH2Cl2 (2 х 10 мл) и объединенные органические слои сушат (MgSO4), фильтруют и концентрируют с получением 500 мг (89%) указанного в заголовке соединения в виде белой пены, которое используют без дальнейшей очистки. 1H NMR (300 MHz, CDCl3) 7.10-7.40, 3.30-3.85, 2.50-2.95, 1.10-1.85, 0.75-1.00.
Стадия 3Получение N-бензилокси-3-(2-метилпропил)-2,5-диоксо-1-(2- фенилэтил)-3-пирролидинацетамида К раствору 3-(2-метилпропил)-2,5-диоксо-1-(2-фенилэтил)-3- пирролидинуксусной кислоты (300 мг, 0,945 ммоль) и CH2Cl2 (7,5 мл) при комнатной температуре добавляют CDI (153 мг, 0,945 ммоль). После перемешивания при комнатной температуре в течение 1 часа к раствору добавляют O-бензилгидроксиламингидрохлорид (181 мг, 1,13 ммоль) и 4-метилморфолин (124 мкл, 1,13 ммоль). Смесь оставляют перемешиваться в течение ночи при комнатной температуре. Обработка основанием (CH2Cl2, NaHCO3, MgSO4) и очистка методом колоночной хроматографии (1,5% MeOH/CHCl3) позволяют получить 70 мг (18%) указанного в заголовке соединения в виде белого твердого вещества (т. пл. 115-117oC). ИК (минеральное масло) 3195, 1705, 1677, 1659, 1409, 1357, 1182, 1169, 1018, 773, 752, 707, 700, 693, 627 cm-1; 1H NMR (300 MHz, CDCl3) 8.53, 8.10-8.30, 7.10-7.45, 4.70-4.90, 3.60-3.80, 2.65-2.95, 2.10-2.65, 1.25-1.60, 0.86, 0.79;MS (EI) m/z 422, 389, 366, 300, 260, 229, 194, 179, 125, 105, 104, 91. Стадия 4 Получение N-гидрокси-3-(2-метилпропил)-2,5-диоксо-1-(2- фенилзтил)-3-пирролидинацетамида Смесь N-бензилокси-3-(2-метилпропил)-2,5-диоксо-1-(2- фенилэтил)-3-пирролидинацетамида (80 мг, 0,19 ммоль), Pd/C (10%, 5 мг), формиата аммония (59 мг, 0,95 ммоль) и EtOH (2,5 мл) перемешивают при комнатной температуре. Через 2 часа добавляют вторую порцию формиата аммония (35 мг, 0,56 ммоль) и смесь оставляют перемешиваться в течение ночи при комнатной температуре. Смесь фильтруют, а осадок на фильтре промывают MeOH (3 х 15 мл) и CHCl3 (3 х 15 мл). Фильтрат концентрируют, вновь растворяют в 100 мл 5% MeOH/CHCl3, сушат (MgSO4), фильтруют и концентрируют до масла. Кристаллизация из CH2Cl2/Et2O/гексана позволяет получить 19 мг (31%) указанного в заголовке соединения в виде белого твердого вещества (т. пл. 136-137oC). ИК (минеральное масло) 3316, 3087, 3065, 3027, 1702, 1634, 1563, 1498, 1420, 1229, 1213, 1164, 1083, 1048, 698 cm-1; 1H NMR (300 MHz, CDCl3) 7.10-7.40, 5.63, 3.50, 2.65-2.90, 2.71, 2.54, 1.45-1.90, 0.92, 0.87;MS (EI) m/z 332, 300, 276, 259, 241, 212, 196, 184, 142, 109, 105, 104, 103, 91. ПРИМЕР 36 Получение N-гидрокси-3-метил-4-(2-метилпропил)-2,5-диоксо-1- (2-фенилэтил)-4-имидазолидинацетамида ![]() Стадия 1 Получение 3-метил-1-(2-фенилэтил)гидантоина К раствору 1-метилгидантоина (2,19 г, 19,2 ммоль) и ДМФ (40 мл) при 0oC добавляют гидрид натрия (921 мг, 23,0 ммоль, 60% дисперсия в минеральном масле). Смесь перемешивают в течение 1 часа и затем добавляют (2-бромэтил)бензол (3,14 мл, 23,0 ммоль). Смесь перемешивают при 0oC в течение 1 часа и в течение 16 часов при комнатной температуре. Водная обработка (EtOAc, MgSO4) и растирание с эфиром позволяют получить 2,21 г (53%) указанного в заголовке соединения в виде белого твердого вещества (т. пл. 113-114oC). ИК (минеральное масло) 1768, 1758, 1748, 1713, 1488, 1441, 1403, 1340, 1290, 1243, 1134, 995, 989, 748, 704 cm-1; 1H NMR (300 MHz, CDCl3) 7.15-7.35, 3.82, 3.70-3.80, 2.99, 2.85-3.00;MS (EI) m/z 218, 105, 104, 99, 91, 78, 65, 57, 56, 51. Стадия 2 Получение 3-метил-4-(2-метилпропил)-1-(2-фенилэтил)гидантоина К смеси 3-метил-1-(2-фенилэтил)гидантоина (1,50 г, 6,87 ммоль) и ТГФ (27 мл) при -78oC добавляют диизопропиламид лития (3,45 мл, 6,90 ммоль, 2,0 М гептан/ТГФ/этилбензол). После перемешивания в течение 30 минут при -78oC добавляют 1-йод-2-метилпропан (0,93 мл, 8,08 ммоль). Смесь перемешивают при -78oC в течение 30 минут и ей дают постепенно нагреться до комнатной температуры. После перемешивания при комнатной температуре в течение 1 часа водная обработка (EtOAc, MgSO4 и очистка методом флэш-хроматографии (1:1 гексан: EtOAc) позволяет получить 467 мг (25%) указанного в заголовке соединения в виде масла. Дальнейшее элюирование позволяет получить 704 мг регенерированного исходного соединения (47% продукта на основе регенерированного исходного соединения). Спектральные данные для указанного в заголовке соединения. ИК (жидк. ) 2958, 2936, 2871, 1771, 1712, 1498, 1454, 1429, 1412, 1389, 1368, 1142, 1030, 753, 701 cm-1; 1H NMR (300 MHz, CDCl3) 7.15-7.35, 3.65-3.85, 2.85-3.00, 2.93, 1.50-1.90, 0.91;MS (EI) m/z 274, 218, 127, 114, 105, 104, 91, 43, 41. Стадия 3 Получение 3-метил-4-(2-метилпропил)-2,5-диоксо-1-(2- фенилэтил)-4-имидазолидинуксусной кислоты К смеси 3-метил-4-(2-метилпропил)-1-(2-фенилэтил)гидантоина (464 мг, 1,69 ммоль) и ТГФ (7,0 мл) при -78oC добавляют диизопропиламид лития (0,84 мл, 1,7 ммоль, 2,0 М, гептан/ТГФ/этилбензол). После перемешивания части раствора в течение 30 минут при -78oC добавляют этилбромацетат (0,23 мл, 2,1 ммоль). Смесь перемешивают в течение 1 часа при -78oC и затем дают ей нагреться до комнатной температуры. После перемешивания при комнатной температуре в течение 1 часа водная обработка (EtOAc, MgSO4) и очистка методом флэш-хроматографии (3:1 гексан:EtOAc) позволяет получить 407 мг 1,25:1 смеси исходного соединения и сложноэфирного промежуточного продукта. Смесь не может быть очищена методом хроматографии и используется без дальнейшей очистки. Ключевые спектральные характеристики сложноэфирного промежуточного продукта. 1H NMR (300 MHz, CDCl3) 4.00-4.15, 2.84, 1.19, 0.81.
Смесь сырого сложного эфира (407 мг), MeOH (12 мл), H2O (2,5 мл) и NaOH (213 мг, 5,33 ммоль) перемешивают при комнатной температуре в течение 16 часов и концентрируют. Остаток делят между EtOAc и 10% NaOH. Органический слой сушат (MgSO4), фильтруют и концентрируют с получением 250 мг исходного соединения. Основный слой подкисляют (10% HCl) и экстрагируют несколько раз добавлением CH2Cl2. CH2Cl2 сушат (MgSO4), фильтруют и концентрируют с получением 117 мг (21%, 45% на основе регенерированного исходного соединения) указанного в заголовке соединения в виде белого твердого вещества (т. пл. 64-67oC).
ИК (минеральное масло) 3505, 3374, 1761, 1699, 1499, 1414, 1404, 1336, 1325, 1230, 1136, 1036, 1031, 736, 697 cm-1;1H NMR (300 MHz, CDCl3) 7.15-7.35, 3.70-3.80, 2.80-3.00, 2.85, 2.78, 1.73, 1.55, 1.20-1.40, 0.84, 0.78;MS (EI) m/z 332, 276, 275, 273, 241, 231, 105, 104, 91, 56. Стадия 4 Получение N-бензилокси-3-метил-4-(2-метилпропил)-2,5-диоксо-1-(2- фенилэтил)-4-имидазолидинацетамида К раствору 3-метил-4-(2-метилпропил)-2,5-диоксо-1-(2- фенилэтил)-4-имидазолидинуксусной кислоты (113 мг, 0,340 ммоль) и CH2Cl2 (2,5 мл) добавляют CDI (57,0 мг, 0,352 ммоль). Раствор перемешивают в течение 1 часа при комнатной температуре и затем добавляют O-бензилгидроксиамингидрохлорид (67,0 мг, 0,420 ммоль) и N-метилморфолин (46 мкл, 0,42 ммоль). Раствор перемешивают в течение 60 часов при комнатной температуре. Основная обработка (CH2Cl2, NaHCO3, MgSO4) и очистка методом флэш-хроматографии (1:1 гексан: EtOAc) позволяют получить 94,8 мг (64%) указанного в заголовке соединения в виде белого твердого вещества. ИК (минеральное масло) 3198, 3012, 1771, 1713, 1681, 1653, 1522, 1498, 1432, 1414, 1394, 1359, 758, 738, 696 cm-1; 1H NMR (300 MHz, CDCl3) 8.35-8.55, 7.15-7.50, 4.70-4.90, 3.74, 2.96, 2.84, 2.60-2.90, 2.38, 1.69, 1.45-1.65, 1.20-1.40, 0.80, 0.65-0.85;MS (EI) m/z 437, 363, 273, 231, 169, 105, 104, 92, 91, 56. Стадия 5 Получение N-гидрокси-3-метил-4-(2-метилпропил)-2,5-диоксо-1- (2-фенилэтил)-4-имидазолидинацетамида К смеси N-бензилокси-3-метил-4-(2-метилпропил)-2,5-диоксо-1- (2-фенилэтил)-4-имидазолидинацетамида (91,0 мг, 0,208 ммоль), EtOH (2,5 мл) и 10% Pd/C (15 мг) добавляют формиат аммония (59,0 мг, 0,936 ммоль). Смесь перемешивают при комнатной температуре в течение 5,5 часов. Через 2,5 часа добавляют дополнительное количество формиата аммония (35,0 мг, 0,555 ммоль). Смесь фильтруют, а твердые вещества промывают MeOH (3 х 15 мл) и CHCl3 (3 х 15 мл) и фильтрат концентрируют. Остаток вносят в CHCl3 (40 мл), сушат (MgSO4), фильтруют и концентрируют с получением 64,7 мг (90%) указанного в заголовке соединения в виде масла. Кристаллизация из эфира/гексана позволяет получить 46,4 мг (64%) указанного в заголовке соединения в виде белого порошка (т. пл. 127-129oC). ИК (минеральное масло) 3223, 3025, 1771, 1701, 1690, 1661, 1497, 1416, 1394, 1359, 1136, 1027, 742, 737, 698 cm-1; 1H NMR (300 MHz, CDCl3) 9.55, 7.10-7.30, 3.60-3.85, 2.92, 2.81, 2.55, 1.45-1.75, 1.15-1.35, 0.76, 0.73;MS (EI) m/z 347, 274, 273, 231, 169, 105, 104, 56. ПРИМЕР 37 Получение N-гидрокси-4-(2-метилпропил)-2,5-диоксо-1-(2- фенилэтил)-4-имидазолидинацетамида ![]() Стадия 1 Получение 4-(2-метилпропил)-2,5-диоксо-1-(2-фенилэтил)-4- имидазолидинуксусной кислоты К раствору 2-(2-метилпропил)-2-(пропен-2-ил)глицинтрифторуксусной кислоты (856 мг, 3,00 ммоль), которую получают в соответствии с методикой, описанной в J. Org. Chem., 1988, vol. 53, p. 5607, и H2О (10 мл) добавляют гидроксид натрия (300 мг, 7,50 ммоль). Через 5 минут добавляют фенэтилизоцианат (541 мг, 3,00 ммоль) и смесь перемешивают в течение 1 часа при комнатной температуре в атмосфере N2. Раствор разбавляют дополнительным количеством H2O (5 мл) и подкисляют 6н HCl. Полученный раствор нагревают с обратным холодильником в течение 2 часов. После охлаждения до комнатной температуры желаемый продукт экстрагируют добавлением CH2Cl2 (3 х 50 мл) и EtOAc (2 х 50 мл). Объединенные органические слои сушат над безводным Na2SO4, фильтруют и концентрируют при пониженном давлении с получением 619 мг золотистого масла. Масло очищают методом хроматографии на силикагеле (50 г силикагеля, уравновешивая и элюируя градиентом 0-40% EtOAc/гексан) с получением 162 мг (18%) гидантоинового промежуточного продукта в виде масла. Продукт является достаточно чистым, чтобы использовать его без дальнейшей очистки: 1H NMR (300 MHz, CDCl3) 7.90-8.60, 7.20-7.40, 5.75-5.95, 5.25-5.40, 3.15-3.30, 3.05-3.15, 2.60-2.90, 1.80-2.00, 0.90-1.05.
К смеси H2O/CH3CN/CCl4 (соответственно 3/3/2 мл) добавляют периодат натрия (NaIO4, 883 мг, 4,13 ммоль) и обрабатывают моногидратом оксида рутения (14 мг, 20 мол.%). Когда черный раствор становится зеленым, добавляют NaHCO3 (2,17 г, 25,8 ммоль) с последующим добавлением NaIO4 до тех пор, пока раствор вновь не станет зеленым. Раствор гидантоинового промежуточного продукта (155 мг, 0,516 ммоль) в 3 мл CH3CN добавляют к зеленой смеси. Через 5 минут реакцию останавливают H2O и несколько раз экстрагируют добавлением EtOAc. Водный слой подкисляют 6н HCl и затем дважды экстрагируют добавлением CH2Cl2 (2 х) и EtOAc (2 х). Органические слои объединяют, вновь промывают солевым раствором, сушат над безводным Na2SO4, фильтруют и концентрируют при пониженном давлении с получением 79 мг указанного в заголовке соединения в виде твердого вещества. Дополнительное количество указанного в заголовке соединения выделяют промыванием исходных EtOAc экстрактов 10% NaOH, подкисления водного слоя 6н HCl и повторной экстракцией добавлением CH2Cl2 (3 х). Данные экстракты также объединяют, вновь промывают солевым раствором, сушат над безводным Na2SO4, фильтруют и концентрируют при пониженном давлении с получением дополнительных 64 мг указанного в заголовке соединения. Оба выхода растворяют в CH2Cl2, объединяют, фильтруют через тонкую фритту и концентрируют при пониженном давлении с получением суммарного количества 143 мг (87%) указанного в заголовке соединения в виде твердого вещества.
1H NMR (300 MHz, CDCl3) 7.10-7.35, 3.70-3.80, 2.95, 2.66, 1.65-1.80, 1.40-1.55, 0.88, 0.80.
Стадия 2Получение N-бензилокси-4-(2-метилпропил)-2,5-диоксо-1-(2- фенилэтил)-4-имидазолидинацетамида Раствор 4-(2-метилпропил)-2,5-диоксо-1-(2-фенилэтил)-4- имидазолидинуксусной кислоты (126 мг, 0,379 ммоль) в сухом ТГФ (5 мл) обрабатывают CDI (74,0 мг, 0,455 ммоль). Через 1 час добавляют 4- метилморфолин (417 мкл, 3,79 ммоль) и O-бензилгидроксиламингидрохлорид (91,0 мг, 0,569 ммоль). Смесь перемешивают в течение 12 часов при комнатной температуре и разбавляют EtOAc. Раствор промывают насыщенным NaHCO3, 1н HCl, насыщенным NaHCO3 и солевым раствором. Органический слой сушат над безводным Na2SO4, фильтруют и концентрируют при пониженном давлении с получением 156 мг черного масла. Масло очищают методом хроматографии на силикагеле (25 г силикагеля, уравновешивая гексаном, элюируя градиентом 50% EtOAc/гексан) с получением 47 мг (28%) указанного в заголовке соединения в виде аморфного белого твердого вещества. 1H NMR (300 MHz, CDCl3) 8.89, 7.15-7.45, 6.67, 4.70-5.00, 3.60-3.90, 2.95, 2.15-2.40, 1.50-1.70, 1.35-1.50, 0.84, 0.75;MS (FAB) m/z 424, 334, 318, 259, 105, 91. Стадия 3 Получение N-гидрокси-4-(2-метилпропил)-2,5-диоксо-1-(2- фенилэтил)-4-имидазолидинацетамида Через раствор N-бензилокси-4-(2-метилпропил)-2,5-диоксо-1-(2- фенилэтил)-4-имидазолидиндиацетамида (85,0 мг, 0,201 ммоль) в 25% MeOH/EtOAc пропускают N2, обрабатывают гидроксидом палладия на угле (17 мг, 20% по массе) и помещают в атмосферу H2 (баллон). Через 2,5 часа реакционную смесь фильтруют через целлит и концентрируют при пониженном давлении с получением 70 мг не совсем белой пены. Продукт перекристаллизовывают из горячего EtOAc/гексана с получением 36 мг (54%) указанного в заголовке соединения в виде белого порошкообразного твердого вещества (т. пл. 145-147oC). ИК (минеральное масло) 3284, 3227, 1762, 1719, 1707, 1662, 1655, 1424, 1365, 699 cm-1; 1H NMR (300 MHz, CDCl3) 7.84, 7.15-7.40, 3.60-3.85, 2.65-3.10, 2.35-2.55, 1.45-1.75, 0.90, 0.83;MS (EI) m/z 333, 277, 259, 243, 229, 217, 155, 105, 104, 91. ПРИМЕР 38 Получение N-гидроксил-4-(2-метилпропил)-5-оксо-1-(2- фенилэтил)-4-пиразолидинацетамидмоногидрохлорида ![]() Стадия 1 Получение 1-(бензилоксикарбонил)-2-(2-фенилэтил)пиразолидин-3-она К раствору 1-(бензилоксикарбонил)пиразолидин-3-она (2,81 г, 12,8 ммоль, полученного в соответствии с методикой, сходной с описанной в J. Org. Chem., 1990, 55, 6037), и ДМФ (37 мл) при 0oC добавляют гидрид натрия (562 мг, 14,1 ммоль, 60% дисперсия в минеральном масле). Раствор перемешивают в течение 30 минут и затем добавляют (2-бромэтил)бензол (1,90 мл, 13,9 ммоль). Раствор перемешивают при 0oC в течение 1 часа и в течение 16 часов при комнатной температуре. Водная обработка (EtOAc, солевой раствор, MgSO4) и очистка методом флэш-хроматографии (2: 1 —> 1:1 гексан:EtOAc позволяет получить 1,58 г (38%) указанного в заголовке соединения в виде масла. ИК (жидк. ) 3029, 2954, 1709, 1498, 1455, 1412, 1378, 1314, 1214, 1184, 1110, 1086, 1027, 748, 699 cm-1; 1H NMR (300 MHz, CDCl3) 7.38, 7.10-7.30, 5.23, 4.02, 3.80, 2.87, 2.44;MS (EI) m/z 324, 190, 189, 106, 105, 104, 92, 91, 79, 77, 65. Стадия 2 Получение 1-(бензилоксикарбонил)-4-(2-метилпропен-2-ил)-2-(2- фенилэтил)пиразолидин-3-она К смеси 1-(бензилоксикарбонил)-2-(2-фенилэтил)пиразолидин-3-она (1,58 г, 4,87 ммоль), ТГФ (15 мл) и НМРА (1,04 мл) при -78oC добавляют диизопропиламид лития (2,92 мл, 5,84 ммоль, 2,0 М, гептан/ТГФ/этилбензол). После перемешивания в течение 35 минут при -78oC добавляют раствор 3-бром-2-метилпропена (0,54 мл, 5,4 ммоль) и ТГФ (2,6 мл). Смесь оставляют перемешиваться в течение 6 часов при -78oC и затем реакцию останавливают водным хлоридом аммония (25 мл). После нагревания до комнатной температуры водная обработка (EtOAc, MgSO4) и очистка методом флэш-хроматографии (3:1 гексан:EtOAc) позволяет получить 1,21 г указанного в заголовке соединения (66%) в виде масла. Дальнейшее элюирование позволяет получить 201 мг регенерированного исходного соединения (75% продукта на основе регенерированного исходного соединения). Спектральные данные для указанного в заголовке соединения: ИК (жидк. ) 2945, 1710, 1498, 1455, 1416, 1377, 1318, 1232, 1206, 1172, 1121, 1028, 897, 748, 698 cm-1; 1H NMR (300 MHz, CDCl3) 7.38, 7.10-7.40, 5.23, 4.71, 4.53, 4.10-4.30, 4.01, 3.80-3.95, 3.09, 2.75-2.95, 2.60-2.80, 2.35-2.45, 1.63, 1.53;MS (EI) m/z 378, 244, 243, 105, 104, 92, 91, 79, 77, 65. Стадия 3 Получение трет-бутил-2-(бензилоксикарбонил)-4-(2-метилпропен-2- ил)-5-оксо-1-(2-фенилэтил)-4-пиразолидинацетата К смеси 1-(бензилоксикарбонил)-4-(2-метилпропен-2-ил)-2-(2- фенилэтил)пиразолидин-3-она (1,20 г, 3,17 ммоль), ТГФ (15,6 мл) и НМРА (0,69 мл) при -78oC добавляют диизопропиламид лития (1,70 мл, 3,40 ммоль, 2,0 М, гептан/ТГФ/этилбензол). После перемешивания в течение 30 минут при -78oC добавляют раствор трет-бутилбромацетата (0,57 мл, 3,5 ммоль) и ТГФ (1,5 мл). Смесь оставляют перемешиваться в течение 6 часов при -78oC и затем реакцию останавливают водным хлоридом аммония (25 мл). После нагревания до комнатной температуры водная обработка (EtOAc, MgSO4) и очистка по методу флэш-хроматографии (4:1 —> 3:1 гексан:EtOAc) позволяет получить 410 мг указанного в заголовке соединения (26%) в виде масла. Дальнейшее элюирование позволяет получить 624 мг регенерированного исходного соединения (55% продукта на основе регенерированного исходного соединения). Спектральные данные для указанного в заголовке соединения: ИК (чистый) 1723, 1696, 1320, 1286, 1263, 1242, 1201, 1186, 1165, 1123, 906, 764, 749, 697, 604 cm-1; 1H NMR (300 MHz, CDCl3) 7.35-7.45, 7.10-7.30, 5.19, 4.74, 4.68, 4.15-4.30, 3.88, 3.75-3.95, 2.80-2.95, 2.19, 2.17, 1.62, 1.41;MS (EI) m/z 492, 302, 301, 283, 255, 105, 92, 91, 57. Стадия 4 Получение 2-(бензилоксикарбонил)-4-(2-метилпропен-2-ил)-5- оксо-1-(2-фенилэтил)-4-пиразолидинуксусной кислоты К раствору трет-бутил-2-(бензилоксикарбонил)-4-(2-метилпропен-2- ил)-5-оксо-1-(2-фенилэтил)-4-пиразолидинацетата (546 мг, 1,11 ммоль) и CH2Cl2 (20 мл) при 0oC добавляют ТФУ (8,0 мл). Раствор перемешивают в течение 1,5 часов при 0oC и концентрируют. Водная обработка (CH2Cl2, MgSO4) позволяет получить 456 мг (94%) указанного в заголовке соединения, которое выделяют в виде масла. ИК (минеральное масло) 3069, 3061, 3031, 1719, 1651, 1422, 1405, 1329, 1238, 1207, 1134, 1027, 905, 755, 699, cm-1; 1H NMR (300 MHz, CDCl3) 7.39, 7.10-7.30, 5.19, 4.75, 4.68, 4.20-4.35, 3.80-3.95, 3.77, 2.75-3.00, 2.10-2.40, 1.61;MS (EI) m/z 436, 301, 255, 105, 104, 92, 91, 79, 77, 65, 57. Стадия 5 Получение N-бензилокси-2-(бензилоксикарбонил)-4-(2- метилпропен-2-ил)-5-оксо-1-(2-фенилэтил)-4-пиразолидинацетамида К раствору 2-(бензилоксикарбонил)-4-(2-метилпропен-2-ил)-5- оксо-1-(2-фенилэтил)-4-пиразолидинуксусной кислоты (453 мг, 1,04 ммоль) и CH2Cl2 (10 мл) добавляют CDI (204 мг, 1,26 ммоль). Раствор перемешивают в течение 1 часа при комнатной температуре и затем добавляют O-бензилгидроксиламингидрохлорид (293 мг, 1,84 ммоль) и N-метилморфолин (0,23 мл, 2,1 ммоль). Раствор перемешивают в течение 60 часов при комнатной температуре. Водная обработка (CH2Cl2, MgSO4) и очистка методом флэш-хроматографии (1:1 гексан:EtOAc) позволяют получить 468 мг (64%) указанного в заголовке соединения в виде масла. ИК (жидк) 3031, 1724, 1701, 1498, 1455, 1379, 1320, 1217, 1182, 1134, 1044, 1028, 749, 698 cm-1; 1H NMR (300 MHz, CDCl3) 8.72, 7.05-7.45, 5.18, 4.88, 4.73, 4.66, 4.05-4.30, 3.80-3.95, 3.57, 2.75-2.95, 1.95-2.20, 1.78, 1.57;MS (EI) m/z 541, 407, 406, 106, 105, 104, 92, 91, 79, 77, 65. Стадия 6 Получение N-гидроксил-4-(2-метилпропил)-5-оксо-1-(2-фенилэтил)-4- пиразолидинацетамидмоногидрохлорида Смесь N-бензилокси-2-(бензилоксикарбонил)-4-(2-метилпропен-2- ил)-5-оксо-1-(2-фенилэтил)-4-пиразолидинацетамида (462 мг, 0,853 ммоль), MeOH (34 мл) и катализатора Pearlman (85 мг) помещают в атмосферу водорода. Смесь перемешивают в течение 8 часов при комнатной температуре. Смесь фильтруют, твердые вещества промывают MeOH (3 х 10 мл), CH2Cl2 (10 мл) и фильтраты концентрируют с получением 220 мг (81%) указанного в заголовке соединения в виде масла. 1H NMR (300 MHz, CDCl3) 10.3-10.5, 7.10-7.40, 3.45-3.80, 3.37, 2.80-3.00, 2.35, 1.45-1.90, 1.10-1.30, 0.88, 0.82.
Образуется гидрохлорид (EtOAc/MeOH) и его растирают с эфиром с получением гидрохлорида указанного в заголовке соединения в виде твердого вещества (т. пл. 51-54oC).
ИК (минеральное масло) 3172, 3061, 3028, 2724, 1714, 1655, 1604, 1585, 1556, 1498, 1414, 1282, 1227, 750, 701 cm-1;MS (EI) m/z 319, 263, 245, 228, 172, 105, 104, 91, 57, 55. Следуя общим методикам, изложенным в примерах 28, 29, используя незначительные вариации, получают следующие соединения. ПРИМЕР 39 Получение [S-(R*, R*)] -N3-гидрокси-3-(2- метилпропил)-2-оксо-N1-фенил- 1– (фенилметил)-1,3-пирролидиндиацетамида![]() (т. пл. 169-172oC). [ ]D25-43o (c 0.54, MeOH);IR (mull) 3246, 3193, 3135, 3059, 3029, 1658, 1600, 1547, 1493, 1444, 1358, 1322, 1311, 759, 698 cm-1; 1H NMR (300 MHz, CDCl3) 7.48, 7.10-7.35, 7.06, 4.74, 3.30-3.55, 3.05-3.25, 1.90-2.40, 1.40-1.65, 1.20-1.35, 0.83, 0.75;MS (EI) m/e 364, 321, 273, 244, 228, 200, 132. ПРИМЕР 40 Получение [S-(R*, R*)] -N3-гидрокси-3-(2- метилпропил)-2-оксо- 1– (фенилметил)-N1-(2-пиридинилметил)- 1,3-пирролидиндиацетамида![]() (т. п. 68-71oC). IR (mull) 3244, 3062, 3027, 1658, 1598, 1572, 1540, 1497, 1439, 1354, 1296, 1271, 751, 701, 620 cm-1; 1H NMR (300 MHz, CDCl3) 8.40-8.55, 7.90-8.00, 7.75, 7.50, 7.05-7.35, 4.35-4.70, 4.10-4.25, 3.25-3.50, 2.75-2.90, 2.15-2.40, 1.75-1.90, 1.40-1.65, 1.00-1.15, 0.86, 0.81;MS (EI) m/z 436, 379, 336, 301, 244, 200, 147, 135, 92. ПРИМЕР 41 Получение [S-(R*, R*)] -N3-гидрокси-3-(2- метилпропил)-2-оксо- 1– (фенилметил)-N1-(4-пиридинил)-1,3- пирролидиндиацетамида![]() mp 121-123oC; IR (mull) 3240, 3178, 3086, 3064, 3028, 1664, 1593, 1512, 1498, 1422, 1331, 1294, 1210, 749, 701 cm-1; 1H NMR (300 MHz, CDCl3) 9.98, 8.25, 7.65-7.85, 7.15-7.35, 4.15-4.25, 3.25-3.65, 2.65-2.85, 2.37, 1.70-1.85, 1.45-1.70, 1.10-1.20, 0.90, 0.84;MS (EI) m/z 438 (M+) 317, 316, 301, 284, 200, 132, 105, 95, 91, 55. ПРИМЕР 42 Получение [S-(R*, R*)] -N1-(4-фторфенил)- N3-гидрокси-3-(2-метилпропил)-2-оксо- 1– (фенилметил)-1,3- пирролидиндиацетамида![]() mp 181-182.5; IR (mull) 3254, 3154, 3066, 1658, 1614, 1552, 1511, 1499, 1409, 1309, 1299, 1230, 1213, 836, 699 cm-1; 1H NMR (300 MHz, CDCl3) 8.20-8.50, 7.46, 7.15-7.40, 6.90-7.05, 4.65-4.80, 3.15-3.50, 1.90-2.45, 1.40-1.70, 1.20-1.35, 0.87, 0.79;MS (EI) m/z 455 (M+) 345, 344, 317, 316, 284, 200, 132, 131, 91, 55. ПРИМЕР 43 Получение [S-(R*, R*)] -N3-гидрокси-3-(2-метилпропил)- 2-оксо- 1– (фенилметил)-N1-[1-(фенилметил)-4-пиперидинил]-1,3- пирролидиндиацетамида![]() mp 108-110oC; IR (mull) 3276, 3107, 3085, 3062, 3027, 2764, 1658, 1540, 1496, 1296, 1271, 744, 721, 700 cm-1; MS (FAB) m/z 535 (MH+), 534, 533, 519, 172, 91, 82. ПРИМЕР 44 Получение [S-(R*, R*)] -N3-гидрокси-3-(2-метилпропил)- 2-оксо- 1– (фенилметил)-N1-(4-пиперидинил)-1,3- пирролидиндиацетамида![]() mp 160-165oC; IR (mull) 3283, 3085, 3062, 3028, 1661, 1584, 1544, 1497, 1311, 1297, 1271, 1213, 1154, 748, 700 cm-1; MS (EI) m/z 444 (M+), 302, 301, 284, 132, 91, 84, 83, 82, 56, 55. ПРИМЕР 45 Получение [S-(R*, R*)] -N3-гидрокси-3-(2-метилпропил)- 2-оксо- 1– (фенилметил)-N1-(4-пиридинилметил)-1,3- пирролидиндиацетамида![]() mp 140.5-142oC; 1H NMR (300 MHz, CDCl3) 8.49, 8.35, 7.95- 8.10, 7.10-7.35, 4.50-4.60, 4.20-4.45, 3.25-3.55, 2.80-3.10, 2.15- 2.60, 1.95-2.10, 1.75-1.90, 1.40-1.70, 1.05-1.35, 0.89, 0.83;MS (FAB) m/z 453 (MH+), 452, 437, 284, 132, 105, 93, 91. ПРИМЕР 46 Получение [S-(R*, R*)]-N1-(4-фторфенилметил)- N3-гидрокси-3-(2-метилпропил)-2-оксо- 1 (фенилметил)-1,3- пирролидиндиацетамида![]() mp 64-66oC; 1H NMR (300 MHz, CDCl3) 7.05-7.35, 6.90- 7.05, 4.50-4.70, 4.20-4.45, 3.10-3.45, 2.29, 1.80-2.10, 1.40-1.70, 1.10-1.30, 0.86, 0.80.
ПРИМЕР 47Получение [S-(R*,R*)]-N3-гидрокси-N1-метил-3- (2-метилпропил)-2-оксо- 1 (фенилэтил)-1,3-пирролидиндиацетамида![]() mp 148-148.5oC; [ ]D25-31o (с 0.68, MeOH);IR (mull) 3227, 3092, 3084, 3024, 1678, 1667, 1658, 1644, 1569, 1503, 1496, 1297, 1282, 1206, 703 cm-1; 1H NMR (300 MHz, CDCl3) 7.10-7.35, 6.29, 4.30, 3.35-3.50, 2.75, 2.45-2.65, 2.35, 2.00-2.30, 1.60-1.80, 1.35- 1.60, 0.91, 0.86;MS (EI) m/e 316, 273, 258, 91, 44. ПРИМЕР 48 Получение [S-(R*, R*)]-N3-гидрокси-3-(2-метилпропил)- 2-оксо- 1 (2-фенилэтил)-N1-(фенилметил)-1,3- пирролидиндиацетамида![]() mp 59-61oC; [ ]D25-57o (с 0.39, CHCl3);IR (mull) 3234, 3086, 3062, 3027, 1652, 1605, 1585, 1540, 1497, 1295, 1269, 1213, 1030, 739, 699 cm-1; 1H NMR (300 MHz, CDCl3) 7.10-7.40, 6.40- 6.55, 4.25-4.50, 3.25-3.50, 2.00-2.70, 1.25-1.75, 0.87, 0.83;MS (EI) m/z 465 (M+) 361, 332, 331, 330, 316, 298, 182, 117, 91. ПРИМЕР 49 Получение [S-(R*, R*)]-N3-гидрокси- 1, 3-бис-(2- метилпропил)-2-оксо-N1-2-пиридинил-1,3-пирролидиндиацетамида![]() mp 73-75oC; IR (mull) 3203, 2728, 1663, 1600, 1579, 1532, 1494, 1435, 1298, 1279, 1181, 1152, 780, 741 cm-1; 1H NMR (300 MHz, CDCl3) 8.10-8.35, 7.72, 7.05, 4.25-4.40, 3.30-3.65, 2.35-2.60, 2.00-2.20, 1.35-1.95, 1.20- 1.35, 0.75-1.10;MS (EI) m/z 404 (M+), 284, 283, 267, 250, 208, 149, 98, 56, 55. ПРИМЕР 50 Получение[S-(R*,R*]- 1-циклогексил-N3-гидрокси-N1-метил-3-(2-метилпропил)-2-оксо-1,3-пирролидиндиацетамида![]() mp 199-200oC; IR (mull) 3310, 3232, 3105, 1647, 1565, 1536, 1498, 1415, 1297, 1277, 1258, 1236, 1223, 1047, 722 cm-1; 1H NMR (300 MHz, CDCl3) 6.15-6.35, 4.01, 3.30-3.60, 2.76, 2.44, 2.20-2.40, 1.90-2.15, 1.10-1.80, 0.90, 0.83;MS (EI) m/z 367 (M+) 336, 310, 309, 308, 277, 276, 154, 95, 58, 55. ПРИМЕР 51 Получение [S-(R*,R*)]- 1– циклогексил-N3-гидрокси-3- (2-метилпропил)-2-оксо-N1-2-пиридинил-1,3-пирролидиндиацетамида![]() mp 119-121oC; IR (mull) 3254, 1665, 1596, 1579, 1532, 1497, 1434, 1301, 1279, 1270, 1186, 1172, 1151, 779, 740 cm-1; 1H NMR (300 MHz, CDCl3) 8.25-8.35, 8.17, 7.65-7.80, 7.00-7.15, 4.20-4.35, 3.35-3.60, 2.00-2.75, 0.70-1.85;MS (EI) m/z 430 (M+), 309, 294, 293, 276, 218, 154, 95, 78, 67, 55. ПРИМЕР 52 Получение [S-(R*,R*)]-3-(циклопентилметил)-N3– гидрокси-N1-метил-2-оксо- 1– (фенилметил)-1,3- пирролидиндиацетамида![]() mp 180-181.5oC; 1H NMR (300 MHz, CDCl3) 7.10-7.40, 4.41, 3.10-3.45, 2.75, 2.70-3.05, 2.00-2.35, 1.85-2.00, 1.30-1.85, 0.85- 1.15;MS (EI) m/z 401, 343, 342, 328, 310, 200, 132, 91, 58. ПРИМЕР 53 Получение [3S-[1(R*), 3R*(R*)] ] – 3– [2-(бензоиламино)этил] -N3-гидрокси-N1-метил-3- (2-метилпропил)-2-оксо- 1– (фенилметил)-1,3-пирролидиндиацетамида![]() 1H NMR (300 MHz, CDCl3) 7.70-7.85, 7.35- 7.55, 7.05-7.35, 6.40, 4.80-5.00, 3.10-3.50, 2.76, 2.20-2.40, 1.20-2.00, 0.70-1.00, 0.30-0.45;MS (FAB) m/z 523 (MH+), 522, 391, 371, 129, 105, 71, 57, 43. ПРИМЕР 54 Получение [S-(R*,R*)]-N3-гидрокси-3-(2-метилпропил)- N1-[2-(4-морфолинил)этил]2-оксо- 1– (фенилметил)-1,3- пирролидиндиацетамида![]() mp 66oC; [ ]D = -56o (с, 0.58; CHCl3);IR (mull) 3223, 3086, 3063, 3027, 1653, 1547, 1497, 1297, 1271, 1239, 1146, 1118, 1071, 748, 700 cm-1; 1H NMR (300 MHz, CDCl3) 7.45-7.15, 3.80- 3.60, 3.50-3.00, 2.70-2.00, 1.95-1.80, 1.75-1.45, 1.35-1.15, 0.88;MS (EI) m/z 474 (M+), 418, 358, 345, 244, 200, 113, 100. ПРИМЕР 55 Получение [S-(R*, R*)] -N-гидрокси-3-(2-метилпропил)-1-[2-(4- морфолинил)-2-оксо-1-(фенилметил)этил]-2-оксо-3-пирролидинацетамида ![]() mp 52-56oC; [ ]D = -82o (с, 0.70; CHCl3);IR (mull) 3237, 3085, 3061, 3025, 1648, 1494, 1299, 1268, 1239, 1213, 1115, 1039, 1029, 751, 702 cm-1; MS (EI) m/z 431 (M+), 399, 375, 357, 344, 340, 317, 284, 114, 91; 1H NMR (300 MHz, CDCl3) 7.35-7.15, 5.30, 3.70-3.10, 3.10-2.90, 2.40-1.95, 1.85-1.15, 0.86;HRMS (EI) 431.2436. ПРИМЕР 56 Получение [1(1S)-[1[R*(R*)] , 3 ,5 ]]-1-[2- (3,5-диметил-1-пиперазинил)-2-оксо-1-(фенилметил)этил] -N- гидрокси-3-(2-метилпропил)-2-оксо-3-пирролидинацетамида![]() mp 106oC; [ ]D = -77o (c, 0.6082; CHCl3);IR (mull) 3252, 3087, 3062, 3027, 1649, 1493, 1323, 1263, 1193, 1157, 1110, 1084, 1033, 751, 702 cm-1; 1H NMR (300 MHz, CDCl3) 7.35-7.10, 5.40- 5.25, 4.50-4.35, 3.95-3.65, 3.55-3.30, 3.30-2.95, 2.75-0.75;MS (EI) m/z 458 (M+), 402, 317, 113, 84. ПРИМЕР 57 Получение [S-(R*, R*)] -N3-гидрокси-3-(2-метилпропил)- 2-оксо – 1 (фенилметил)-N1-2-пиридинил-1,3- пирролидиндиацетамида![]() mp 171-174oC; [ ]D = -14o (с, 0.67; CHCl3);IR (mull) 3057, 3030, 3010, 1706, 1661, 1642, 1614, 1586, 1558, 1315, 1282, 1205, 786, 753, 704 cm-1; 1H NMR (300 MHz, CDCl3) 8.40-8.30, 8.25- 8.15, 7.85-7.75, 7.40-7.20, 7.20-7.05, 4.26, 3.60-3.35, 2.80-2.65, 2.55-2.25, 1.90-1.40, 1.10-1.95, 0.87;MS (EI) m/z 438 (M+), 406, 382, 364, 347, 317, 284, 226, 200, 132, 91. ПРИМЕР 58 Получение [3S-[1(R*), 3R*(R*)] ]- 3-[2-(1,3-дигидро-1,3- диоксо-2Н-изоиндол-2-ил)этил] -N3-гидрокси-N1– метил-3-(2-метилпропил)-2-оксо- 1– (фенилметил)-1,3- пирролидиндиацетамида![]() 1H NMR (300 MHz, CDCl3) 7.65-7.95, 7.10- 7.40, 6.20, 4.55-4.70, 3.05-3.75, 2.67, 1.15-2.30, 0.77, 0.68;MS (FAB) m/z 549 (MH+), 550, 549, 517, 516, 429, 160, 69, 57, 55, 43. ПРИМЕР 59 Получение[S-(R*,R*)]- 1-циклогексил-N1-циклопропилметил-N3-гидрокси-3-(2-метилпропил)-2-оксо-1,3- пирролидиндиацетамида![]() mp 140-144oC; 1H NMR (300 MHz, CDCl3) 6.40, 3.97, 3.50- 3.65, 3.30-3.45, 2.50-2.70, 2.20-2.40, 1.90-2.15, 1.10-1.90, 0.65- 1.00, 0.40-0.60.
ПРИМЕР 60Получение [S-(R*, R*)]- 1– циклогексил-N1-(4-фторфенил)-N3-гидрокси-3- (2-метилпропил)-2-оксо-1,3-пирролидиндиацетамида![]() mp 132-135oC; 1H NMR (300 MHz, CDCl3) 8.47, 7.40-7.50, 6.99, 4.15, 3.35-3.65, 2.57, 2.30-2.45, 2.00-2.20, 0.95-1.85, 0.86, 0.77.
Следуя общим методикам, изложенным в примерах 30-34, используя незначительные вариации, получают следующие соединения.
ПРИМЕР 61Получение[S-(R*,R*)]- 1-трет-бутил-N3-гидрокси-N1-метил-3-(2-метилпропил)-2-оксо-1,3-пирролидиндиацетамида![]() mp 108-110oC; 1H NMR (300 MHz, CDCl3) 5.80-6.00, 4.23, 4.15-4.35, 2.70-2.80, 2.45-2.70, 2.30-2.45, 1.85-2.30, 1.35-1.85, 1.05, 0.75-1.00;MS (ESI) 340 (MH–). Следуя общим методикам, изложенным в примерах 4-14, используя незначительные вариации, получают следующие соединения. ПРИМЕР 62 Получение N-гидрокси-3-(2-метилпропил)-2-оксо-1-(2- фенилэтил)- -[2-(5-пропилокси-1,3-дигидро-1,3-диоксо- 2H-изоиндол-2-ил)этил] -3-пирролидинацетамида![]() mp 137-138oC; IR (mineral oil) 3211, 3085, 3028, 1772, 1712, 1660, 1620, 1491, 1400, 1346, 1292, 1249, 1234, 749, 705 cm-1; 1H NMR (300 MHz, CDCl3) 7.72, 7.05-7.40, 4.02, 3.35-3.80, 3.10-3.25, 2.78, 2.30-2.45, 2.05-2.30, 1.75-2.00, 1.35-1.70, 1.06, 0.83, 0.76;MS (EI) m/z 549 (M+), 493, 489, 262, 261, 245, 244, 218, 202, 176, 105. ПРИМЕР 63 Получение [R-(R*, S*)]-5-фтор-1,3-дигидро-N-гидрокси- -[3- (2-метилпропил)-2-оксо-1-(2-фенилэтил)-3-пирролидинил] -1,3-диоксо-2H- изоиндол-2-бутанамида![]() IR (mull) 3205, 3063, 3027, 1775, 1717, 1664, 1616, 1497, 1481, 1399, 1302, 1263, 1229, 747, 701 cm-1; 1H NMR (300 MHz, CDCl3) 8.92, 7.83, 7.50, 7.00-7.45, 3.35-3.80, 3.25-3.35, 3.10-3.25, 2.79, 2.55-2.70, 2.30- 2.50, 2.10-2.30, 1.70-2.00, 1.35-1.65, 0.70-1.00;MS (EI) m/z 509 (M+), 477, 453, 449, 345, 262, 261, 178, 105, 104. ПРИМЕР 64 Получение -[2-(5,6-дифтор-1,3-дигидро-1,3-диоксо-2H- изоиндол-2-ил)этил] -N-гидрокси-3-(2-метилпропил)-2-оксо-1-(2- фенилэтил)-3-пирролидинацетамида![]() IR (mull) 3340, 3187, 3062, 3028, 1777, 1720, 1678, 1654, 1505, 1406, 1354, 1277, 1261, 746, 704 cm-1; 1H NMR (300 MHz, CDCl3) 7.55-7.70, 7.40- 7.55, 7.05-7.40, 3.35-3.80, 3.10-3.35, 2.70-2.85, 2.55-2.70, 2.30- 2.55, 2.05-2.30, 1.70-2.05, 1.35-1.70, 0.85, 0.79;MS (EI) m/z 527 (M+), 471, 467, 363, 262, 261, 202, 196, 105, 104. ПРИМЕР 65 Получение N-гидрокси-3-(2-метилпропил)-2-оксо-1-(2- фенилэтил)- -[2-(5-трифторметил-1,3-дигидро-1,3-диоксо-2H- изоиндол-2-ил)этил] -3-пирролидинацетамида![]() mp 137-138oC; IR (mull) 1715, 1659, 1494, 1444, 1398, 1348, 1323, 1307, 1295, 1266, 1184, 1140, 1101, 750, 694 cm-1; 1H NMR (300 MHz, CDCl3) 8.91, 8.05-8.15, 7.90-8.05, 7.37, 7.05-7.35, 3.35-3.85, 3.25-3.35, 3.10-3.25, 2.79, 2.55-2.70, 2.35-2.55, 2.10-2.35, 1.75-2.05, 1.30-1.70, 0.84, 0.78;MS (EI) m/z 559 (M+), 527, 503, 499, 395, 262, 261, 228, 105, 104. ПРИМЕР 66 Получение -[2-(1,3,4,5,6,7-гексагидро-1,3-диоксо-2H- изоиндол-2-ил)этил] -N-гидрокси-3-(2-метилпропил)-2-оксо-1-(2- фенилэтил)-3-пирролидинацетамида![]() mp 118-119oC; IR (mull) 3167, 3088, 3065, 3028, 1703, 1668, 1497, 1443, 1393, 1346, 1331, 1306, 1296, 1279, 701 cm-1; 1H NMR (300 MHz, CDCl3) 8.80, 7.45, 7.10- 7.40, 3.35-3.65, 3.10-3.35, 2.70-2.95, 2.50-2.70, 2.10-2.50, 1.25- 2.10, 0.85, 0.79;MS (EI) m/z 497 (M+), 465, 441, 437, 262, 261, 244, 105, 104, 81. ПРИМЕР 67 Получение -[2-(1,3-дигидро-1,3-диоксо-2H-изоиндол-2- ил)этил]-N-гидрокси-3-(2-метилпропил)-2-оксо-1-(3-фенилпропил)-3- пирролидинацетамида![]() mp 163-165oC; IR (mineral oil) 3231, 3107, 3088, 3051, 3034, 1771, 1712, 1683, 1663, 1499, 1442, 1400, 1298 cm-1; 1H NMR (300 MHz, CDCl3) 7.75-7.90, 7.65- 7.75, 7.10-7.30, 3.60-3.85, 3.10-3.40, 2.56, 1.35-2.45, 0.87, 0.80;MS (EI) m/z 505 (M+), 387, 386, 276, 259, 258, 216, 185, 130, 91, 56. ПРИМЕР 68 Получение 1-[2-(4-фторфенил)этил] – -[2-(1,3-дигидро-1,3- диоксо-2H-изоиндол-2-ил)этил] -N-гидрокси-3-(2-метилпропил)-2-оксо-3- пирролидинацетамида![]() mp 142.5-144oC; ИК (мин. масло) 3212, 3067, 1773, 1712, 1673, 1657, 1510, 1495, 1438, 1398, 1341, 1301, 1219, 1034 cm-1; 1H NMR (300 MHz, CDCl3) 7.60-7.95, 7.05- 7.25, 6.85-7.05, 3.20-3.85, 3.10-3.25, 2.76, 1.30-2.50, 1.21, 0.82, 0.75;MS (EI) m/z 509 (M+), 477, 453, 449, 400, 220, 160, 123. ПРИМЕР 69 Получение -[2-(о-бензойный сульфимид)этил]-N-гидрокси-3- (2-метилпропил)-2-оксо-1-(2-фенилэтил)-3-пирролидинацетамида![]() mp 144-144.5oC; IR (mull) 3257, 1739, 1656, 1492, 1334, 1326, 1298, 1279, 1264, 1181, 1178, 1163, 1126, 752, 674 cm-1; 1H NMR (300 MHz, CDCl3) 7.75-8.15, 7.00- 7.40, 3.35-4.05, 3.10-3.30, 2.70-2.90, 2.40-2.60, 1.20-2.35, 0.65- 1.00;MS (EI) m/z 527 (M+) 495, 471, 261, 245, 244, 202, 105, 104, 81, 56. ПРИМЕР 70 Получение этилфенилметил-[4-(гидроксиамино)-3-[3-(2- метилпропил)-2-оксо-1-(2-фенилэтил)-3-пирролидинил]-4- оксобутил]имидодикарбоната ![]() MS (EI) m/e 568. Следуя общим методикам, изложенным в примерах 4-14, используя незначительные вариации, исходя из диастереомера трет-бутил- -(2-гидроксиэтил)-3-(2-метилпропил)-2-оксо-1-(2-фенилэтил)-3- пирролидинацетата (пример 4, стадия 2), получают следующие соединения.
ПРИМЕР 71Получение [S-R*,R*)]-1,3-дигидро-N-гидрокси- -[3-(2- метилпропил)-2-оксо-1-(2-фенилэтил)-3-пирролидинил]-1,3-диоксо- 2H-изоиндол-2-бутанамида![]() IR (mull) 1716, 1660, 1644, 1401 cm-1; 1H NMR (300 MHz, CDCl3) 9.84, 7.80-7.90, 7.65-7.80, 7.15-7.35, 3.70-3.80, 3.35-3.70, 3.05-3.25, 2.80, 2.40- 2.55, 2.34, 1.85-2.10, 1.30-1.65, 0.79, 0.71;MS (EI) m/e 491, 459, 373, 245, 202, 185, 105. ПРИМЕР 72 Получение 1,3-дигидро-N-гидрокси- -[3-(2-метилпропил)-2- оксо-1-[2-(4-фторфенил)этил]-3-пирролидинил]-1,3-диоксо-2H- изоиндол-2-бутанамида![]() IR (mull) 3223, 1716, 1675, 1648, 1510, 1444, 1397, 1367, 1218, 722 cm-1; MS (EI) m/e 509, 477, 453, 449, 400, 262, 220, 160, 123. ПРИМЕР 73 Получение -[2-[(3,4-дифторбензоил)амино] этил] -N-гидрокси- 3-(2-метилпропил)-2-оксо-1-(2-фенилэтил)-3-пирролидинацетамида![]() Стадия 1 Получение трет-бутил- -(2-аминоэтил)-3-(2-метилпропил)-2- оксо-1-(2-фенилэтил)-3-пирролидинацетатаК раствору трет-бутил- -(2-гидроксиэтил)-3-(2- метилпропил)-2-оксо-1-(2-фенилэтил)-3-пирролидинацетата (пример 4, стадия 2; 2,74 г, 6,79 ммоль), дибензилиминодикарбоксилата (2,14 г), трифенилфосфина (1,96 г) и ТГФ (43 мл) добавляют ДЭАД (1,18 мкл). Смесь перемешивают в течение 16 часов при комнатной температуре. Раствор концентрируют и очищают методом флэш-хроматографии (3:1 гексан:ЕtОАс) с получением 3,09 г (68%) имида в виде масла.
ИК (чистый) 2957, 1799, 1751, 1723, 1686, 1498, 1455, 1387, 1367, 1335, 1331, 1287, 1213, 1188, 1153, 1108, 1092, 698 cm-1;1H NMR (300 MHz, CDCl3) 7.15-7.40, 5.23, 3.55-3.90, 3.25-3.40, 3.19, 2.79, 2.47, 2.30-2.45, 1.75-1.95, 1.50- 1.70, 1.39, 0.82, 0.79;MS (FAB) m/z 671 (MH+), 616, 572, 420, 419, 105, 92, 91, 57. Смесь имида (1,01 г, 1,51 ммоль), EtOH (100 мл) и 10% Pd/C (250 мг) гидрируют при давлении 32 фунт/дюйм (~2,251 кг/см2) в течение 16 часов. Смесь фильтруют, твердые вещества промывают EtOH (20 мл), CH2Cl2 (20 мл) и EtOAc (20 мл). Объединенные фильтраты концентрируют с получением 549 мг (91%) указанного в заголовке соединения в виде масла: 1H NMR (300 MHz, CDCl3) 7.15-7.35, 3.55- 3.70, 3.30-3.45, 3.15-3.30, 2.30-2.90, 1.92, 1.35-1.85, 0.87, 0.83.
Стадия 2Получение трет-бутил- -[2-[3,4-дифторбензоил)амино]этил]- 3-(2-метилпропил)-2-оксо-1-(2-фенилэтил)-3-пирролидинацетатаК раствору трет-бутил- -(2-аминоэтил)-3-(2-метилпропил)-2- оксо-1-(2-фенилэтил)-3-пирролидинацетата (549 мг, 1,36 ммоль), CH2Cl2 (8,4 мл) и диизопропилэтиламина (0,29 мл, 1,6 ммоль) при 0oC добавляют 3,4-дифторбензоилхлорид (0,21 мл, 1,6 ммоль). Раствор перемешивают при 0oC в течение 1 часа и в течение 16 часов при комнатной температуре. Обработка основанием (CH2Cl2, NaHCO3, MgSO4) и очистка методом флэш-хроматографии (1:1 гексан: ЕtOАс) позволяют получить 477 мг (64%) указанного в заголовке соединения в виде белого твердого вещества (т. пл. 147-148oC).
IR (mull) 3365, 1717, 1657, 1606, 1549, 1509, 1497, 1319, 1295, 1282, 1229, 1199, 1152, 832, 774 cm-1;1H NMR (300 MHz, CDCl3) ![]() MS (EI) m/z 542 (M+) 486, 396, 395, 260, 245, 202, 141, 105, 104, 57. Стадия 3 Получение -[2-[3,4-дифторбензоил)амино] этил]-3-(2- метилпропил)-2-оксо-1-(2-фенилэтил)-3-пирролидинуксусной кислотыРаствор трет-бутил- -[2-[3,4-дифторбензоил)амино]этил]-3- (2-метилпропил)-2-оксо-1-(2-фенилэтил)-3-пирролидинацетата (473 мг, 0,872 ммоль), CH2Cl2 (5,0 мл) и ТФУ (5,0 мл) перемешивают в течение 1 часа при 0oC и 2 часов при комнатной температуре. Раствор концентрируют и остаток ресуспендируют в CH2Cl2 и концентрируют еще дважды (2 х 20 мл). Водная обработка (CH2Cl2, MgSO4) позволяет получить 420 мг (99%) указанного в заголовке соединения в виде масла:ИК (жидк.) IR (liq. ) 2959, 1728, 1661, 1618, 1607, 1553, 1510, 1467, 1454, 1443, 1442, 1314, 1297, 1283, 1203 cm-1; 1H NMR (300 MHz, CDCl3) 7.65-7.75, 7.50-7.60, 7.15-7.40, 6.75-6.90, 3.70-3.90, 3.60-3.70, 3.40-3.55, 3.20-3.40, 2.80-3.00, 2.52, 1.95-2.10, 1.50-1.90, 1.15-1.35, 0.91, 0.83;MS (EI) m/z 486 (M+), 395, 272, 259, 258, 247, 141, 113, 105, 104. Стадия 4 Получение -[2-[3,4-дифторбензоил)амино] этил] -N-гидрокси- 3-(2-метилпропил)-2-оксо-1-(2-фенилэтил)-3-пирролидинацетамидаЭДК (193 мг) добавляют к раствору -[2-[3,4- дифторбензоил)амино]этил] -3-(2-метилпропил)-2-оксо-1-(2- фенилэтил)-3-пирролидинуксусной кислоты (411 мг, 0,865 ммоль), CH2Cl2 (8,7 мл), ДМФ (2,1 мл), ГОБТ (118 мг) и 4- метилморфолина (0,11 мл) при 0oC. Раствор перемешивали в течение 5 минут при 0oC и в течение 50 минут при комнатной температуре. Добавляют гидроксиламингидрохлорид (121 мг) и 4-метилморфолин (0,19 мл) и раствор перемешивают в течение 16 часов при комнатной температуре. Раствор разбавляют 20 мл воды и смесь подкисляют до значения рН 5 1н HCl. Смесь экстрагируют несколько раз добавлением CH2Cl2 (3 х 20 мл), объединенные органические слои сушат (MgSO4), фильтруют и концентрируют. Остаток подвергают очистке методом флэш-хроматографии (10: 1 CH2Cl2: MeOH) с получением 273 мг масла, которое кристаллизуют из EtOAc/гексана с получением 164 мг (38%) указанного в заголовке соединения в виде белого порошка (т. пл. 132,5-134oC):IR (mull) 3264, 1674, 1666, 1649, 1512, 1497 cm-1; 1H NMR (300 MHz, CDCl3) 7.60-7.80, 7.50-7.60, 7.05-7.35, 3.15-3.65, 2.81, 2.48, 1.85-2.20, 1.40-1.75, 0.85, 0.79;MS (EI) m/e 501, 469, 262, 245, 202, 141, 105. Следуя общим методикам, изложенным в примере 73, используя незначительные вариации, получают следующие соединения. ПРИМЕР 74 Получение [R-(R*, S*)]- -[2-[(3-фторбензоил)амино]этил]-N- гидрокси-3-(2-метилпропил)-2-оксо-1-(2-фенилэтил)-3- пирролидинацетамида![]() mp 144-145oC; [ ]D25+13o (c 0.75, CHCl3);IR (mull) 3290, 3216, 3062, 3029, 1673, 1662, 1643, 1585, 1555, 1496, 1486, 1323, 1301, 1227, 698 cm-1; 1H NMR (300 MHz, CDCl3) 7.45-7.60, 7.10-7.45, 6.97, 3.35-3.70, 3.15-3.30, 2.83, 2.40-2.55, 1.80-2.05, 1.40-1.70, 0.87, 0.80;MS (EI) m/z 483 (M+), 451, 262, 245, 202, 154, 123, 105, 104, 95, 56. ПРИМЕР 75 Получение -[2-[(4-фторбензоил)амино]этил]-N-гидрокси-3- (2-метилпропил)-2-оксо-1-(2-фенилэтил)-3-пирролидинацетамида![]() IR (mull) 2950, 2932, 1718, 1661, 1604, 1547, 1504, 1466, 1454, 1234 cm-1. ПРИМЕР 76 Получение N-гидрокси-3-(2-метилпропил)- -[2-[(3- нитробензоил)амино] этил]-2-оксо-1-(2-фенилэтил)-3-пирролидинацетамида![]() IR (mull) 3270, 1664, 1633, 1556, 1532, 1454, 1447, 1351, 1310, 698 cm-1; MS (EI) m/e 510. ПРИМЕР 77 Получение -[2-[(3-фторбензоил)амино]этил]-N-гидрокси-3- (2-метилпропил)-2-оксо-1-(2-фенилэтил)-3-пирролидинацетамида![]() mp 157-159 oC; IR (mull) 2954, 2925, 2868, 2855, 1645, 1624, 1586, 1552, 1465, 1455 cm-1; MS (EI) m/e 403. ПРИМЕР 78 Получение -[2-[(3-фторбензоил)амино]этил]-1-[2-(4- фторфенил)этил]-N-гидрокси-3-(2-метилпропил)-2-оксо-3- пирролидинацетамида![]() IR (mull) 2954, 2924, 2855, 1662, 1586, 1544, 1510, 1484, 1462, 1224 cm-1. ПРИМЕР 79 Получение- -[2-[(4-бифенилкарбонил)амино] этил]-N-гидрокси- 3-(2-метилпропил)-2-оксо-1-(2-фенилэтил)-3-пирролидинацетамида![]() MS (EI) m/e MH+ 542. ПРИМЕР 80 Получение N-гидрокси- -[2-[[(4- метилфенил)сульфонил]амино]этил]-3-(2-метилпропил)-2-оксо-1-(2- фенилэтил)-3-пирролидинацетамида![]() Стадия 1 Получение трет-бутил- -[2-[[(4- метилфенил)сульфонил]амино]этил]-3-(2-метилпропил)-2-оксо-1-(2- фенилэтил)-3-пирролидинацетатаК раствору трет-бутил- -(2-аминоэтил)-3-(2-метилпропил)-2- оксо-1-(2-фенилэтил)-3-пирролидинацетата (пример 73, стадия 1; 654 мг, 1,62 ммоль), CH2Cl2 (10,0 мл) и диизопропилэтиламина (0,34 мл) при 0oC добавляют толуолсульфонилхлорид (372 мг). Раствор перемешивают при 0oC и при комнатной температуре в течение 16 часов. Обработка основанием (CH2Cl2, NaHCO3, MgSO4) и очистка методом флэш-хроматографии позволяют получить 634 мг (70%) указанного в заголовке соединения в виде белого твердого вещества (т. пл. 136-138oC).
ИК (минеральное масло)IR (mineral oil) 1710, 1674, 1366, 1329, 1303, 1156, 1101 cm-1; 1H NMR (300 MHz, CDCl3) 7.73, 7.15-7.35, 4.45-4.55, 3.50-3.70, 3.30-3.45, 3.15-3.30, 2.75-3.10, 2.42, 2.20- 2.35, 1.80-1.95, 1.60-1.80, 1.30-1.60, 1.38, 0.84, 0.79;MS (FAB) m/z 557 (MH+), 503, 502, 501, 484, 483, 105, 91, 57. Стадия 2 Получение -[2-[[(4-метилфенил) сульфонил]амино]этил]-3- (2-метилпропил)-2-оксо-1-(2-фенилэтил)-3-пирролидинуксусной кислотыТФУ (7,0 мл) добавляют к раствору трет-бутил- -[2-[[(4- метилфенил)сульфонил] амино] этил]-3-(2-метилпропил)-2-оксо-1-(2- фенилэтил)-3-пирролидинацетата (616 мг, 1,11 ммоль) и CH2Cl2 (7,0 мл) при 0oC. Раствор перемешивают в течение 1 часа при 0oC и в течение 2 часов при комнатной температуре. Раствор концентрируют из CH2Cl2 (2 х 20 мл), что повторяют еще дважды. Водная обработка (CH2Cl2, MgSO4) позволяет получить 463 мг (84%) указанного в заголовке соединения в виде белой пены.
ИК (минеральное масло)IR (mineral oil) 1733, 1615, 1503, 1498, 1481, 1330, 1305, 1288, 1160, 1094, 701 cm-1; 1H NMR (300 MHz, CDCl3) 7.70-7.80, 7.15-7.40, 4.80-5.00, 3.70-3.90, 3.20-3.50, 2.65-3.10, 2.50-2.65, 2.42, 1.95-2.10, 1.80-1.95, 1.50-1.80, 1.00-1.20, 0.92, 0.85;MS (EI) m/z 500 (M+), 426, 392, 391, 334, 327, 244, 155, 105, 104, 91. Стадия 3 Получение N-бензилокси- -[2-[[(4-метилфенил)- сульфонил]амино]этил]-3-(2-метилпропил)-2-оксо-1-(2-фенилэтил)-3- пирролидинацетамидаК раствору -[2-[[(4-метилфенил)сульфонил]амино]этил]-3- (2-метилпропил)-2-оксо-1-(2-фенилэтил)-3-пирролидинуксусной кислоты (453 мг) и CH2Cl2 (5,0 мл) добавляют CDI (162 мг). Раствор перемешивают в течение 1 часа при комнатной температуре и затем добавляют O-бензилгидроксиламингидрохлорид (192 мг) и 4-метилморфолин (0,13 мл). Смесь перемешивают в течение 16 часов при комнатной температуре. Раствор разбавляют 60 мл EtOAc, который промывают 10% HCl, солевым раствором, сушат (MgSO4), фильтруют и концентрируют. Очистка методом флэш-хроматографии (1: 1 гексан:EtOAc) позволяет получить лактамный промежуточный продукт, в котором не определялось наличие O-бензилгидроксиламина:1H NMR (300 MHz, CDCl3) 7.86, 7.15-7.45, 3.85-4.00, 3.45-3.70, 3.18, 2.85, 2.60-2.80, 2.43, 1.80-2.15, 1.35- 1.55, 0.70-0.95.
Раствор бис-лактамного промежуточного продукта (317 мг, 0,657 ммоль), O-бензилгидроксиламина (500 мг) и ТГФ (4,0 мл) нагревают с обратным холодильником в течение 72 часов и затем оставляют охлаждаться до комнатной температуры. Остаток разбавляют EtOAc, который промывают 10% HCl (2 х 10 мл) и солевым раствором (10 мл). Органический слой сушат (MgSO4), фильтруют и концентрируют. Очистка методом флэш-хроматографии (1:1 гексан:EtOAc) и кристаллизации из эфира позволяет получить 139 мг (35%) указанного в заголовке соединения в виде белого кристаллического вещества (т. пл. 155-157oC).
IR (mull) 3162, 1664, 1650, 1332, 1154, 704 cm-1;1H NMR (300 MHz, CDCl3) 7.71, 7.15-7.40, 4.97, 4.81, 3.35-3.65, 3.17, 2.75-3.00, 2.55-2.75, 2.30-2.45, 2.39, 1.80-2.05, 1.35-1.70, 0.84, 0.77;MS(EI) m/e 605, 483, 433, 327, 245, 202. Стадия 4 Получение N-гидрокси-N-гидрокси- -[2-[[(4- метилфенил)сульфонил]амино] этил]-3-(2-метилпропил)-2-оксо-1-(2- фенилэтил)-3-пирролидинацетамидаСмесь N-бензилокси- -[2-[[(4-метилфенил)сульфонил] амино]этил]-3-(2-метилпропил)-2-оксо-1-(2-фенилэтил)-3- пирролидинацетамида (133 мг, 0,220 ммоль), MeOH (500 мг) и катализатора Pearlman (25 мг) гидрируют (1 атм) в течение 8 часов при комнатной температуре. Смесь фильтруют, твердые вещества промывают MeOH (2 х 5 мл), CH2Cl2 (5 мл) и MeOH (5 мл). Органические фильтраты концентрируют и остаток кристаллизуют из EtOAc/гексана с получением 84 мг (74%) указанного в заголовке соединения в виде белого твердого вещества (т. пл. 166,5-167oC).
IR (mull) 3278, 3202, 3028, 1659, 1636, 1496, 1329, 1298, 1291, 1160, 1093, 1061, 816, 702, 656 cm-1;1H NMR (300 MHz, CDCl3) 7.72, 7.30-7.60, 7.15-7.35, 5.82, 3.40-3.70, 3.15-3.35, 2.95-3.10, 2.70-2.95, 2.81, 2.57, 2.40, 2.10-2.25, 1.80-2.00, 1.30-1.75, 0.86, 0.80;MS (EI) m/z 515 (M+), 483, 391, 343, 245, 244, 202, 155, 105, 104, 91. Следуя общим методикам, изложенным в примере 80, используя незначительные вариации, получают следующие соединения. ПРИМЕР 81 Получение -[2-[[(4-фторфенил)-сульфонил] амино]этил]-N- гидрокси-3-(2-метилпропил)-2-оксо-1-(2-фенилэтил)-3- пирролидинацетамида![]() IR (mull) 3195, 3026, 1661, 1634, 1593, 1496, 1333, 1259, 1238, 1166, 1157, 1095, 1060, 844, 702 cm-1; 1H NMR (300 MHz, CDCl3) 8.79, 7.75-7.90, 7.50-7.70, 7.43, 7.10-7.30, 3.10-3.50, 2.68, 2.40-2.75, 2.05-2.20, 1.85-2.00, 1.50-1.70, 1.30-1.50, 1.15-1.30, 0.75, 0.66;MS (EI) m/z 519 (M+), 395, 245, 202, 159, 154, 110, 105, 104, 95, 56. ПРИМЕР 82 Получение N-гидрокси- -[2-[[(4-метоксифенил)- сульфонил]амино]этил]-3-(2-метилпропил)-2-оксо-1-(2-фенилэтил)-3- пирролидинацетамида![]() MS (EI) m/e 532 (MH+). ПРИМЕР 83 Получение N-гидрокси-3-(2-метилпропил)-2-оксо-1-(2- фенилэтил)- -[2-[(фенилсульфонил)амино]этил]-3-пирролидинацетамида![]() IR (mull) 2954, 2924, 2862, 2855, 1663, 1610, 1569, 1453, 1446, 1429 cm-1; MS (EI) m/e 502 (MH+). ПРИМЕР 84 Получение [R-(R*, S*)]- -[2-[[(4- фторфенил)сульфонил]амино]этил]-N-гидрокси-3-(2-метилпропил)-2-оксо-1- (2-фенилэтил)-3-пирролидинацетамида![]() mp 67-70oC; IR (mull) 3196, 3107, 3065, 3027, 1662, 1592, 1495, 1332, 1292, 1237, 1166, 1154, 1093, 839, 701 cm-1; 1H NMR (300 MHz, CDCl3) 7.80-7.95, 7.40-7.70, 7.10-7.40, 5.90, 3.10-3.70, 3.00-3.15, 2.70-3.00, 2.55, 2.05-2.20, 1.80-2.00, 1.20-1.80, 0.85, 0.80;MS (FAB) m/z 520 (MH+), 519, 504, 488, 487, 343, 202, 105. ПРИМЕР 85 Получение 5,6-дифтор-1,3-дигидро-N-гидрокси- -[3-(2- метилпропил)-2-оксо-1-(2-фенилэтил)-3-пирролидинил]-1-оксо-2Н- изоиндол-2-бутанамида![]() Стадия 1 Получение трет-бутил- -[2-(3-ацетокси-5,6-дифтор-1,3- дигидро-1-оксо-2Н-изоиндол-2-ил)этил] -3-(2-метилпропил)-2- оксо-1-(2-фенилэтил)-3-пирролидинацетатаК раствору -[2-(5,6-дифтор-1,3-дигидро-1,3-диоксо-2Н- изоиндол-2-ил)этил] -N-гидрокси-3-(2-метилпропил)-2-оксо-1-(2- фенилэтил)-3-пирролидинацетамида (пример 64; 384 мг, 0,675 ммоль) и метанола (2,4 мл) добавляют боргидрид натрия (26 мг, 0,68 ммоль) при комнатной температуре, Раствор перемешивают в течение ночи при комнатной температуре. Водная обработка (EtOAc, MgSO4) позволяют получить 386 мг (100%) диастереомерной смеси в виде белой пены. К раствору сырого спирта (336 мг, 0,590 ммоль), триэтиламина (0,49 мл, 3,5 ммоль), уксусного ангидрида (0,28 мл, 3,0 ммоль) и CH2Cl2 (6,0 мл) добавляют твердый 4-диметиламинопиридин (14 мг, 0,12 ммоль). Раствор перемешивают при комнатной температуре в течение 2 часов. Реакционную смесь разбавляют эфиром и эфир промывают 10% HCl, насыщенным NaHCO3, сушат над MgSO4, фильтруют и концентрируют. Колоночная хроматография (20 —> 50% EtOAc/гексан) позволяет получить 273 мг (76%) указанного в заголовке соединения в виде диастереомерной смеси в виде масла:(M+) 497, 496, 440, 406, 405, 245, 236, 202, 105, 57. Стадия 2 Получение трет-бутил-5,6-дифтор-1,3-дигидро- -[3-(2- метилпропил)-2-оксо-1-(2-фенилэтил)-3-пирролидинил]-1-оксо-2Н- изоиндол-2-бутиратаСмесь трет-бутил- -[2-(3-ацетокси-5,6-дифтор-1,3-дигидро- 1-оксо-2Н-изоиндол-2-ил)этил] -3-(2-метилпропил)-2-оксо-1-(2- фенилэтил)-3-пирролидинацетата (236 мг, 0,386 ммоль), палладия на угле (10%, 60 мг) и ацетонитрила (30 мл) гидрируют при давлении 35 фунт/кв. дюйм (~2,058 кг/см2) в течение 2 часов. Смесь фильтровали и концентрировали. Водная обработка (EtOAc, MgSO4) позволяет получить 200 мг (93%) указанного в заголовке соединения в виде масла:MS (EI) m/z 554 (M+) 499, 498, 481, 408, 407, 247, 202, 182, 105, 57. Стадия 3 Следуя общим методикам, изложенным в примере 1, стадии 4 и 5 и используя незначительные вариации, начиная с трет-бутил 5,6-дифтор- 1,3-дигидро- -[3-(2-метилпропил)-2-оксо-1-(2-фенилэтил)-3- пирролидинил]-1-оксо-2Н-изоиндол-2-бутират, с получением указанного в заголовке: (т.пл. 175-176oC):IR (mull) 3186, 3060, 3022, 1702, 1659, 1511, 1436, 1307, 1290, 1265, 1219, 762, 757, 707, 699 cm-1; 1H NMR (300 MHz, CDCl3) 8.80, 7.45-7.60, 7.05-7.35, 4.30-4.60, 3.05-3.75, 2.60-2.80, 1.30-2.60, 0.87, 0.78;MS (EI) m/z 513 (M+) 514, 513, 480, 423, 262, 244, 236, 202, 182, 105. Следуя общим методикам, изложенным в примере 85, используя незначительные вариации, получают следующие соединения. ПРИМЕР 86 Получение 1,3-дигидро-N-гидрокси- -[3-(2-метилпропил)-2-оксо-1-(2-фенилэтил)-3-пирролидинил]-1-оксо-2Н-изоиндол-2-бутанамида ![]() mp 140-144oC; IR (mull) 3165, 3085, 3058, 3020, 1683, 1669, 1653, 1616, 1487, 1424, 1349, 1335, 1295, 738, 699 cm-1; 1H NMR (300 MHz, CDCl3) 7.80, 7.35-7.55, 7.00-7.35, 4.30-4.55, 3.10-3.85, 2.60-2.80, 1.90-2.40, 1.45-1.85, 0.87, 0.76;MS (EI) m/z 477 (M+), 202, 200, 189, 146, 134, 105, 104, 91, 56. ПРИМЕР 87 Получение [R-(R*, S*)]-6-фтор-1,3-дигидро-N-гидрокси- -[3- (2-метилпропил)-2-оксо-1-(2-фенилэтил)-3-пирролидинил] -1-оксо-2Н- изоиндол-2-бутанамида![]() mp 167-170oC; 1H NMR (300 MHz, CDCl3) 7.48, 7.35-7.45, 7.05-7.35, 4.30-4.50, 3.10-3.80, 2.55-2.95, 1.15-2.55, 0.87, 0.77;MS (ESI) 496 (MH+). ПРИМЕР 88 Получение [R-(R*, S*)]-5-фтор-1,3-дигидро-N-гидрокси- -[3- (2-метилпропил)-2-оксо-1-(2-фенилэтил)-3-пирролидинил] -1-оксо-2Н- изоиндол-2-бутанамида![]() mp 135-136oC; 1H NMR (300 MHz, CDCl3) 7.70-7.85, 7.44, 7.00-7.35, 4.30-4.55, 3.05-3.80; 2.55-2.80, 2.35-2.55, 1.85-2.35, 0.87, 0.76;MS (ESI) 496 (MH+). ПРИМЕР 89 Получение [R-(R*, S*)] -5,6-дифтор-1,3-дигидро-N-гидрокси- -[3-(2-метилпропил)-2-оксо-1-(2-фенилэтил)-3-пирролидинил] -1-оксо-2Н- изоиндол-2-бутанамида![]() mp 153.5-155oC; 1H NMR (300 MHz, CDCl3) 8.98, 7.50-7.65, 7.43, 7.00-7.35, 4.50, 3.10-3.75, 2.60-2.80, 2.45-2.60, 2.25-2.45, 1.85-2.25, 1.40-1.85, 0.87, 0.79;MS (ESI) 514 (MH+). ПРИМЕР 90 Получение N-гидрокси- -[[[(4- метоксифенил)сульфонил]амино]метил]3-(2-метилпропил)-2-оксо-1-(2- фенилэтил)-3-пирролидинацетамида ( R-диастереомера)![]() Стадия 1 Получение трет-бутил- -(1-гидроксиметил)-3-(2- метилпропил)-2-оксо-1-(2-фенилэтил)-3-пиролидинацетата ( S-диастереомера)Холодный (-78oC) раствор трет-бутил-3-(2-метилпропил)-2- оксо-1-(2-фенилэтил)-3-пирролидинацетата (пример 1, стадия 3; 2,00 г, 5,56 ммоль) в сухом ТГФ (20 мл) обрабатывают добавлением по каплям ДАЛ (3,20 мл, 6,40 ммоль, 2,0 н). Раствор выдерживают при -78oC в течение 30 минут и затем нагревают до -30oC. Через раствор енолята пропускают газообразный формальдегид (полученный нагреванием 834 мг параформальдегида до 160oC с получением приблизительно 28 ммоль). Раствор выдерживают при -30oC в течение 1 часа и затем реакцию останавливают насыщенным водным NH4Cl (5 мл) и разбавляют H2O (20 мл). Продукт экстрагируют добавлением EtOAc (3 х 50 мл), сушат над безводным MgSO4, фильтруют и концентрируют при пониженном давлении с получением 2,52 г желтого твердого вещества, которое подвергают очистке методом хроматографии на силикагеле (100 г силикагеля, 25% EtOAc/гексан) с получением 1,43 г (83%) указанного в заголовке соединения в виде золотистого масла. Выделяют также другую фракцию, содержащую 375 мг смеси обоих диастереомеров. Спектральные данные для указанного в заголовке соединения: ИК (жидк. ) 3417, 2957, 2931, 2869, 1722, 1669, 1497, 1465, 1455, 1392, 1368, 1274, 1252, 1155, 701 cm-1; 1H NMR (300 MHz, CDCl3) 7.15-7.40, 3.90-4.05, 3.70-3.80, 3.55-3.70, 3.40-3.55, 3.20-3.30, 2.85, 2.75, 2.69, 2.00-2.20, 1.90-2.00, 1.65-1.70, 1.50-1.60, 1.44, 0.90, 0.84;MS (EI) m/z 389 (M+), 333, 316, 298, 277, 243, 242, 202, 105, 104, 57. Стадия 2 Получение трет-бутил- -(1-гидроксиметил)-3-(2-метилпропил)-2- оксо-1-(2-фенилэтил)-3-пирролидинацетата ( R-диастереомера)Холодный (-78oC) раствор оксалилхлорида (1,02 мл, 11,7 ммоль) в сухом CH2Cl2 (30 мл) обрабатывают ДМСО (1,66 мл, 23,4 ммоль в 5 мл CH2Cl2). Через 5 мин добавляют трет-бутил- -(1-гидроксиметил)-3-(2-метилпропил)-2-оксо-1-(2- фенилэтил)-3-пирролидинацетат (S-изомер) (3,80 г, 9,76 ммоль). Раствор перемешивают в течение еще 15 минут и затем реакцию останавливают триэтиламином (6,8 мл, 48,8 мл). Раствор выдерживают при -78oC в течение 30 минут и затем позволяют нагреться до комнатной температуры в атмосфере N2. Через 2,5 часа раствор разбавляют H2О (50 мл) и экстрагируют добавлением EtOAc (3 х 100 мл). Экстракты объединяют, сушат над безводным MgSO4, фильтруют и концентрируют при пониженном давлении с получением количественного выхода желаемого альдегида в виде приблизительно 1:2 смеси с большим содержанием R-диастереомера. Ключевые пики ЯМР сырой смеси:1H NMR (300 MHz, CDCl3) 9.75, 9.48.
Холодный (0oC) раствор смеси альдегидов (1,68 г, 4,34 ммоль) в MeOH (30 мл) обрабатывают боргидридом натрия (246 мг, 6,51 ммоль). Раствор выдерживают при 0oC в течение 1 часа и затем позволяют нагреться до комнатной температуры. Через 3 часа раствор концентрируют до желтой пены. Пену разбавляют H2O (25 мл) и экстрагируют добавлением EtOAc (3 х 50 мл). Экстракты объединяют, сушат над безводным MgSO4, фильтруют и концентрируют при пониженном давлении. Продукт, 1,69 г, подвергают очистке методом хроматографии на силикагеле (100 г силикагеля, 20% EtOAc/гексан) с получением 562 мг (33%) указанного в заголовке соединения, 467 мг (28%) S-диастереомера и 331 мг невосстановленного альдегида. Спектральные данные для указанного в заголовке соединения:ИК (минеральное масло) 3542, 3006, 1704, 1672, 1499, 1396, 1313, 1265, 1160, 1124, 1066, 1059, 1036, 738, 697 cm-1; 1H NMR (300 MHz, CDCl3) 7.15-7.35, 3.95, 3.75, 3.60-3.75, 3.40-3.65, 3.24, 2.87, 2.69, 1.80-2.15, 1.40-1.70, 1.45, 0.89, 0.87;MS (FAB) m/z 390 (MH+), 335, 334, 332, 316, 298, 242, 105, 57. Стадия 3 Получение трет-бутил- -(1-азидометил)-3-(2-метилпропил)-2- оксо-1-(2-фенилэтил)-3-пирролидинацетатаМетансульфонилхлорид (0,058 мл, 0,751 ммоль) по каплям добавляют к раствору трет-бутил- -(1-гидроксиметил)-3-(2- метилпропил)-2-оксо-1-(2-фенилэтил)-3-пирролидинацетата ( R- диастереомера) (225 мг, 0,578 ммоль) и триэтиламина (105 мл, 0,751 ммоль) в сухом CH2Cl2 (3 мл). Раствор перемешивают в течение ночи при комнатной температуре в атмосфере N2. После разбавления CH2Cl2 (20 мл) раствор промывают насыщенным NaHCO3 (5 мл), водой (5 мл) и солевым раствором (5 мл). Органический слой сушат над безводным MgSO4, фильтруют и концентрируют при пониженном давлении с получением 289 мг золотистого масла. Масло подвергают очистке методом хроматографии на силикагеле (10 г силикагеля, 20% EtOAc/гексан) с получением 243 мг (90%) мезилата в виде масла:1H NMR (300 MHz, CDCl3) 7.10-7.40, 4.47, 4.17, 3.35-3.70, 3.05-3.30, 2.90-3.05, 2.97, 2.84, 2.10-2.30, 1.75- 1.95, 1.30-1.70, 1.46, 0.88, 0.86.
Раствор мезилата (795 мг, 1,70 ммоль) и азида натрия (166 мг, 2,55 ммоль) в ДМСО (6 мл) нагревают до 60oC в течение 24 часов и затем позволяют охладиться до комнатной температуры в атмосфере N2. Раствор разбавляют Et2O (40 мл) и промывают H2O (3 х 15 мл) и солевым раствором (15 мл). Органический слой сушат над безводным MgSO4, фильтруют и концентрируют при пониженном давлении с получением 679 мг (96%) указанного в заголовке соединения в виде прозрачного бесцветного масла:ИК (жидк. ) 2958, 2932, 2870, 2101, 1725, 1682, 1498, 1455, 1393, 1368, 1276, 1152, 1122, 748, 700 cm-1; 1H NMR (300 MHz, CDCl3) 7.15-7.35, 3.10- 3.80, 3.00, 2.70-2.95, 2.15-2.30, 1.30-1.90, 1.47, 0.85;MS (EI) m/z 414 (M+), 358, 268, 267, 246, 224, 212, 105, 104, 57. Стадия 4 Получение трет-бутил- -(1-аминометил)-3-(2-метилпропил)-2- оксо-1-(2-фенилэтил)-3-пирролидинацетатаСмесь трет-бутил- -(1-азидометил)-3-(2-метилпропил)-2- оксо-1-(2-фенилэтил)-3-пирролидинацетата (648 мг, 1,56 ммоль), 10% палладия на угле (163 мг) в EtOH (25 мл) гидрируют при давлении 30 фунт/кв. дюйм (~2,110 кг/см2) в колбе Парра в течение 16 часов. Смесь фильтруют, промывая остающиеся твердые вещества MeOH и CH2Cl2. Фильтрат концентрируют и очищают методом хроматографии на силикагеле (15 г силикагеля, EtOAc, 15% MeOH/EtOAc) с получением 356 мг (57%) указанного в заголовке соединения в виде частично кристаллического твердого вещества:IR (mull) 3004, 1718, 1672, 1498, 1394, 1311, 1296, 1263, 1223, 1156, 1149, 852, 738, 697, 620 cm-1; 1H NMR (300 MHz, CDCl3) 7.15-7.35, 3.35-3.70, 3.05-3.30, 2.70-2.95, 2.60-2.70, 2.45-2.60, 2.20-2.40, 1.25-2.00, 1.46, 0.85MS (FAB) m/z 389 (MH+), 359, 334, 333, 316, 202, 105, 57. Стадия 5 Получение трет-бутил- -[[[(4- метоксифенил)сульфонил]амино]метил]-3-(2-метилпропил)-2-оксо-1-(2- фенилэтил)-3-пирролидинацетатаХолодный (0oC) раствор трет-бутил- -(1-аминометил)-3- (2-метилпропил)-2-оксо-1-(2-фенилэтил)-3-пирролидинацетата (337 мг, 0,867 ммоль) в сухом CH2Cl2 (3 мл) обрабатывают диизопропилэтиламином (240 мкл, 1,30 ммоль) и 4-метоксибензолсульфонилхлоридом (215 мг, 1,30 ммоль). Раствору позволяют медленно нагреться до комнатной температуры при перемешивании в течение ночи в атмосфере N2. После разбавления CH2Cl2 (25 мл) раствор промывают разбавленным NaHCO3 (10 мл), водой (10 мл) и солевым раствором (10 мл). Органический слой сушили над безводным MgSO4, фильтруют и концентрируют при пониженном давлении с получением 460 мг желтого масла. Масло очищают методом хроматографии на силикагеле (20 г силикагеля, 25% EtOAc/гексан) с получением 383 мг (79%) желаемого продукта в виде аморфного твердого вещества:ИК (жидк. ) 2958, 2932, 1725, 1668, 1598, 1499, 1455, 1444, 1368, 1334, 1304, 1279, 1260, 1160, 1097 cm-1; 1H NMR (300 MHz, CDCl3) 7.79, 7.10-7.35, 6.95, 5.45-5.60, 3.81, 3.30-3.65, 2.95-3.30, 2.60-2.90, 2.00-2.20, 1.70-1.90, 1.20-1.70, 1.43, 0.80;MS (El) m/z 558 (M+), 411, 387, 287, 246, 245, 202, 171, 107, 105, 57. Стадия 6 Получение -[[[(4-метоксифенил)сульфонил]амино]метил]-3- (2-метилпропил)-2-оксо-1-(2-фенилэтил)-3-пирролидинуксусной кислотыХолодный (0oC) раствор трет-бутил- -[[[(4- метоксифенил)сульфонил]амино] метил] -3-(2-метилпропил)-2-оксо-1-(2- фенилэтил)-3-пирролидинацетата (374 мг, 0,669 ммоль) в CH2Cl2 (2 мл) обрабатывают ТФУ (2 мл). Раствор выдерживают при 0oC в течение 40 мин, а затем позволяют нагреться до комнатной температуры в атмосфере N2. Через 1,5 часа раствор разбавляют CH2Cl2 и упаривают (5 х). Оставшуюся пену разбавляют H2O (5 мл) и экстрагируют добавлением CH2Cl2 (3 х 20 мл). Экстракты объединяют, сушат над безводным MgSO4, фильтруют и концентрируют при пониженном давлении с получением 301 мг (90%) указанного в заголовке соединения в виде белого аморфного твердого вещества.
IR (mull) 3062, 3026, 1713, 1647, 1597, 1580, 1498, 1332, 1304, 1261, 1180, 1158, 1096, 834, 701 cm-1;1H NMR (300 MHz, CDCl3) 7.70-7.80, 7.15- 7.35, 6.90-7.00, 5.45-5.55, 3.86, 3.45-3.75, 3.00-3.40, 2.89, 2.67, 1.95-2.25, 1.35-1.60, 0.84, 0.78;MS (EI) m/z 502 (M+), 411, 287, 246, 245, 244, 202, 171, 107, 105, 77. Стадия 7 Получение N-бензилокси- -[[[(4- метоксифенил)сульфонил]амино]метил]-3-(2-метилпропил)-2-оксо-1-(2- фенилэтил)-3-пирролидинацетамидаРаствор -[[[(4-метоксифенил)сульфонил] амино] метил]-3-(2- метилпропил)-2-оксо-1-(2-фенилэтил)-3-пирролидинуксусной кислоты (290 мг, 0,577 ммоль) в сухом CH2Cl2 (5 мл) обрабатывают CDI (112 мг, 0,692 ммоль). Через 1 ч добавляют 4-метилморфолин (0,095 мл, 0,866 ммоль) и O-бензилгидроксиламин HCl (138 мг, 0,866 ммоль). Раствор перемешивают при комнатной температуре в атмосфере N2 в течение 65 часов. Растворитель выпаривают, а оставшийся гель разбавляют EtOAc (25 мл). Раствор промывают 1н HCl (10 мл), 1н NaOH (10 мл) и солевым раствором (10 мл). Органический слой сушат над безводным MgSO4, фильтруют и концентрируют при пониженном давлении с получением 380 мг масла. Масло подвергают очистке методом хроматографии на силикагеле (30 г силикагеля, 50% EtOAc/гексан) с получением 249 мг (71%) указанного в заголовке соединения в виде масла:IR (mull) 3205, 3028, 1658, 1597, 1498, 1331, 1304, 1287, 1261, 1157, 1096, 1027, 834, 749, 699 cm-1; 1H NMR (300 MHz, CDCl3) 7.70-7.85, 7.10-7.45, 6.85-7.00, 5.70-5.80, 4.86, 3.76, 3.40-3.55, 3.00-3.25, 2.60- 3.00, 2.30-2.50, 1.80-2.00, 1.30-1.60, 0.82, 0.75;MS (FAB) m/z 608 (MH+), 485, 298, 286, 244, 171, 107, 105, 91. Стадия 8 Получение N-гидрокси- -[[[(4- метоксифенил)сульфонил] амино]метил]-3-(2-метилпропил)-2-оксо-1-(2- фенилэтил)-3-пирролидинацетамидаРаствор N-бензилокси- -[[[(4- метоксифенил)сульфонил]амино]метил]-3-(2-метилпропил)-2-оксо-1-(2- фенилэтил)-3-пирролидинацетамида (218 мг, 0,359 ммоль) в EtOH (7 мл) обрабатывают гидроксидом палладия на угле (55 мг) и помещают в атмосферу H2 с помощью баллона. Через 6,5 часов реакционную смесь фильтруют, промывая остающиеся твердые вещества MeOH и CHCl3. Фильтрат концентрируют с получением 182 мг белого твердого вещества. Продукт кристаллизуют из горячего EtOAc со следами MeOH, со временем разбавляемого гексаном, с получением 136 мг указанного в заголовке соединения в виде твердого вещества (т. пл. 195-196oC).
IR (mull) 3317, 3095, 1658, 1620, 1597, 1496, 1335, 1304, 1257, 1163, 1097, 833, 829, 805, 751 cm-1;1H NMR (300 MHz, CDCl3) 7.78, 7.05-7.35, 6.91, 6.20-6.35, 3.75, 3.35-3.60, 3.05-3.35, 2.60-2.90, 2.25-2.50, 1.80-2.00, 1.15-1.70, 0.83, 0.77;MS (EI) m/z 517 (M+), 261, 245, 244, 202, 171, 154, 107, 105. ПРИМЕР 91 Получение N-гидрокси- -[[[(4- метоксифенил)сульфонил]амино]метил]-3-(2-метилпропил)-2-оксо-1-(2- фенилэтил)-3-пирролидинацетамида ( S-диастереомера)![]() mp 60-64oC; 1H NMR (300 MHz, CDCl3) 7.70-7.90, 7.10-7.40, 6.85-7.05, 5.40-5.60, 3.86, 3.40-3.60, 2.95-3.30, 2.70-2.85, 2.05-2.25, 1.30-1.90, 0.65-0.90.
ПРИМЕР 92Получение -[[(4-фторфенил)сульфонил] амино]-N-гидрокси-3- (2-метилпропил)-2-оксо-1-(2-фенилэтил)-3-пирролидинацетамида (R-диастереомера)![]() Стадия 1 Получение трет-бутил- -азидо-3-(2-метилпропил)-2-оксо-1- (2-фенилэтил)-3-пирролидинацетата (R-диастереомера)Бис(триметилсилил)амид калия (0,5 М в толуоле, 19,9 мл, 9,93 ммоль) добавляют к раствору трет-бутил-3-(2-метилпропил)-2-оксо-1-(2- фенилэтил)-3-пирролидинацетата (пример 1, стадия 3; 1,70 г, 4,73 ммоль) и ТГФ (57 мл) при -78oC. Раствор оставляют перемешиваться при -78oC в течение 25 мин. В течение 5 мин по каплям добавляют раствор трисилазида (3,66 г, 11,8 ммоль) в ТГФ (34,5 мл). Раствор перемешивают в течение еще 2 мин и добавляют уксусную кислоту (1,2 мл). Раствору позволяют медленно нагреться и оставляют перемешиваться при комнатной температуре в течение ночи. Водная обработка (EtOAc, промывка NaHCO3, промывка солевым раствором, MgSO4) и колоночная хроматография (7,5% EtOAc/гексан) позволяет получить 1,34 г (71%) указанного в заголовке соединения в виде желтого масла: 1H NMR (300 MHz, CDCl3) 7.15-7.35, 4.23, 4.12, 3.65-3.80, 3.50-3.65, 3.15-3.40, 2.75-2.90, 2.35-2.50, 2.10- 2.30, 1.15-1.85, 0.75-0.95;MS (ESI) 401 (MH+). Стадия 2 Получение трет-бутил- -амино-3-(2-метилпропил)-2-оксо-1- (2-фенилэтил)-3-пирролидинацетата ( R-диастереомера)Смесь трет-бутил- -азидо-3-(2-метилпропил)-2-оксо-1-(2- фенилэтил)-3-пирролидинацетата (159 мг, 0,397 ммоль), палладия на угле (10%, 40 мг) в EtOH (2,0 мл) гидрируют в течение ночи при давлении 30 фунт/кв. дюйм (~2,110 кг/см2). Смесь фильтруют и концентрируют с получением 145 мг (97%) указанного в заголовке соединения в виде масла:1H NMR (300 MHz, CDCl3) 7.15-7.39, 3.55-3.75, 3.15-3.35, 2.84, 2.15-2.30, 1.85-1.95, 1.30-1.80, 1.46, 0.89, 0.84;MS (ESI) 375 (MH+). Следуя методикам, изложенным в примере 90 (стадии 5-8), используя незначительные вариации, исходя из трет-бутил- -амино-3-(2- метилпропил)-2-оксо-1-(2-фенилэтил)-3-пирролидинацетата ( R-диастереомера), получают указанное в заголовке соединение (т. пл. 111-113oC).
1H NMR (300 MHz, CDCl3) 9.05, 7.80-7.90, 7.05-7.35, 6.85, 5.25-5.50, 4.50-4.60, 3.80-3.90, 3.60-3.75, 3.05-3.60, 2.70-2.85, 2.10-2.35, 1.40-1.90, 1.55, 0.70-0.90;MS (ESI) 492 (MH+). Следуя общим методикам, изложенным в примере 92, используя незначительные вариации, получают следующие соединения. ПРИМЕР 93 Получение -[[(4-фторфенил)сульфонил]амино]N-гидрокси-3- (2-метилпропил)-2-оксо-1-(2-фенилэтил)-3-пирролидинацетамида( S-диастереомера)![]() т. пл. 99-102oC; 1H NMR (300 MHz, CDCl3) 7.75-7.85, 7.10-7.35, 5.06, 3.45-3.60, 3.15-3.35, 2.85, 2.35-2.50, 1.95-2.10, 1.15-1.60, 0.78, 0.74;MS (ESI) 492 (MH+). ПРИМЕР 94 Получение -[2-[(3,4-дифторбензоил)амино] этил]-N-гидрокси- 3-(3-гидроксипропил)-2-оксо-1-(2-фенилэтил)-3-пирролидинацетамида![]() Стадия 1 Получение трет-бутил- -(2-хлорэтил)-2-оксо-1-(2- фенилэтил)-3-(пропен-2-ил)-3-пирролидинацетатаХолодный (-78oC) раствор трет-бутил-2-оксо-1-(2- фенилэтил)-3(пропен-2-ил)-3-пирролидинацетата (пример 1, стадия 3; 5,52 г, 16,1 ммоль) в сухом ТГФ (100 мл) по каплям обрабатывают ДАЛ (9,66 мл, 19,3 ммоль, 2,0 н). Раствор перемешивают в течение 30 мин и затем обрабатывают добавлением по каплям 1-бром-2- хлорэтана (1,61 мл, 19,3 ммоль). Раствор выдерживают при -78oC в течение 5 часов и затем ему позволяют медленно нагреться до комнатной температуры в атмосфере N2. Реакцию останавливают насыщенным NH4Cl (10 мл) и разбавляют H2O (25 мл). Продукт экстрагируют добавлением EtOAc (3 х 100 мл), сушат над безводным MgSO4, фильтруют и концентрируют при пониженном давлении с получением 6,6 г коричневого масла. Масло очищают методом хроматографии на силикагеле (275 г силикагеля; 10% EtOAc/гексан) с получением 5,07 г (78%) указанного в заголовке соединения в виде прозрачного желтого масла: ИК (жидк. ) 2977, 2931, 1721, 1685, 1496, 1455, 1440, 1393, 1367, 1282, 1257, 1149, 917, 748, 701 cm-1; 1H NMR (300 MHz, CDCl3) 7.15-7.35, 5.45-5.65, 4.95-5.15, 3.25-3.80, 3.05-3.25, 2.81, 2.71, 1.90-2.45, 1.65-1.85, 1.43;MS (EI) m/z 405 (M+), 370, 351, 349, 332, 314, 260, 259, 258, 105, 104, 57. Стадия 2 Получение трет-бутил- -(2-азидоэтил)-2-оксо-1-(2- фенилэтил)-3-(пропен-2-ил)-3-пирролидинацетатаРаствор трет-бутил- -(2-хлорэтил)-2-оксо-1-(2-фенилэтил)- 3-(пропен-2-ил)-3-пирролидинацетата (2,10 г, 5,17 ммоль) в ДМСО (15 мл) обрабатывают азидом натрия (504 мг, 7,74 ммоль). Смесь нагревают до 60oC (масляная баня) в течение 17 часов. Полученный раствор охлаждают до комнатной температуры, разбавляют Et2O (100 мл), промывают H2О (3 х 50 мл) и солевым раствором (50 мл). Органический слой сушат над безводным MgSO4, фильтруют и концентрируют при пониженном давлении с получением количественного выхода указанного в заголовке соединения в виде желтого масла:1H NMR (300 MHz, CDCl3) 7.15-7.35, 5.40-5.65, 4.95-5.15, 3.60-3.80, 3.05-3.40, 2.81, 2.60, 2.10-2.40, 1.65-2.05, 1.43.
Стадия 3Получение трет-бутил- -(2-аминоэтил)-2-оксо-1-(2- фенилэтил)-3-(пропен-2-ил)-3-пирролидинацетатаРаствор трет-бутил- -(2-азидоэтил)-2-оксо-1-(2-фенилэтил)- 3-(пропен-2-ил)-3-пирролидинацетата (2,12 г, 5,14 ммоль) и трифенилфосфина (1,48 г, 5,65 ммоль) в ТГФ (15 мл) перемешивают в атмосфере N2 в течение 7 часов. Добавляют воду (1 мл) и раствор перемешивают в течение ночи при комнатной температуре в атмосфере N2. Раствор концентрируют и очищают методом хроматографии на силикагеле (75 г силикагеля, EtOAc, 20% MeOH/EtOAc) с получением 1,94 г (97%) указанного в заголовке соединения в виде желтого масла:1H NMR (300 MHz, CDCl3) 7.15-7.35, 5.45-5.65, 4.95-5.15, 3.60-3.80, 3.05-3.40, 2.80, 2.50-2.80, 2.10-2.45, 1.60-1.90, 1.42.
Стадия 4Получение трет-бутил- -[2-[(3,4-дифторбензоил)амино]этил]- 2-оксо-1-(2-фенилэтил)-3-(пропен-2-ил)-3-пирролидинацетатаХолодный (0oC) раствор трет-бутил- -(2-аминоэтил)-2- оксо-1-(2-фенилэтил)-3-(пропен-2-ил)-3-пирролидинацетата (1,93 мг, 4,99 ммоль) в сухом CH2Cl2 (20 мл) обрабатывают диизопропилэтиламином (1,04 мл, 5,99 ммоль) и 3,4-дифторбензоилхлоридом (691 мкл, 5,49 ммоль). Раствору позволяют медленно нагреться до комнатной температуры при перемешивании в атмосфере N2 в течение ночи. Раствор разбавляют EtOAc (100 мл) и промывают 1н HCl (25 мл), 1н NaOH (25 мл) и солевым раствором (25 мл). Органический слой сушат над безводным MgSO4, фильтруют и концентрируют при пониженном давлении с получением 3,60 г коричневого масла. Масло очищают методом хроматографии на силикагеле (50 г силикагеля, 25% EtOAc /гексан) с получением 2,10 г (80%) указанного в заголовке соединения в виде желтого аморфного твердого вещества:ИК (минеральное масло) 3360, 1717, 1660, 1606, 1550, 1509, 1497, 1436, 1315, 1295, 1281, 1199, 1154, 831, 775 cm-1; 1H NMR (300 MHz, CDCl3) 7.65-7.75, 7.50-7.60, 7.15-7.35, 6.70, 5.45-5.65, 4.90-5.10, 3.55-3.85, 3.10-3.45, 2.70-2.90, 2.62, 2.10-2.35, 1.65-1.90, 1.43;MS (ESI) m/z 549 (MNa+). Стадия 5 Получение трет-бутила- -[2-[(3,4- дифторбензоил)амино]этил]-3-(3-гидроксипропил)-2-оксо-1-(2-фенилэтил)- 3-пирролидинацетатаХолодный (0oC) раствор трет-бутил- -[2-[(3,4- дифторбензоил)амино] этил] -2-оксо-1-(2-фенилэтил)-3-(пропен-2-ил)-3- пирролидинацетата (1,62 г, 3,07 ммоль) в сухом ТГФ (10 мл) обрабатывают монохлорборанметилсульфидным комплексом (640 мкл, 6,14 ммоль). Ледяную баню удаляют и через 4,5 ч по каплям добавляют 3н NaOH (7,4 мл, 22,1 ммоль) с последующим добавлением 30% H2O2 (2,5 мл). Раствор перемешивают в течение 1 часа при комнатной температуре и затем в течение 1 часа при 50oC. После охлаждения до комнатной температуры и разбавления насыщенным NH4Cl (5 мл) и H2O (15 мл) продукт экстрагируют добавлениемEtOAc (3 x 50 мл). Экстракты объединяют, сушат над безводным MgSO4, фильтруют и концентрируют при пониженном давлении с получением 1,6 г желтого геля. Продукт очищают методом хроматографии на силикагеле (75 г силикагеля; 75% EtOAc /гексан) с получением 713 мг (43%) указанного в заголовке соединения в виде белого аморфного твердого вещества: ИК (жидк. ) 3335, 2934, 1721, 1666, 1606, 1554, 1511, 1455, 1368, 1316, 1296, 1283, 1250, 1204, 1153 cm-1; 1H NMR (300 MHz, CDCl3) 7.65-7.75, 7.45-7.60, 7.15-7.35, 6.60-6.75, 3.75-3.95, 3.10-3.70, 2.70-2.90, 2.65, 2.20-2.40, 2.00-2.20, 1.42, 1.05-1.90;MS (ESI) m/z 567 (MNa+). Стадия 6 Получение -[2-[(3,4-дифторбензоил)амино]этил]-3-(3- гидроксипропил)-2-оксо-1-(2-фенилэтил)-3-пирролидинуксусной кислотыХолодный (0oC) раствор трет-бутил- -[2-[(3,4- дифторбензоил)амино] этил] -3-(3-гидроксипропил)-2-оксо-1-(2-фенилэтил)- 3-пирролидинацетата (655 мг, 1,20 ммоль) в CH2Cl2 (3 мл) обрабатывают ТФУ (2 мл) и выдерживают при 0oC в течение 30 минут. Ледяную баню удаляют и через 2 часа раствор разбавляют CH2Cl2 и концентрируют (3 х). Оставшееся масло разбавляют H2O (10 мл) и экстрагируют добавлением CH2Cl2 (3 х 50 мл). Экстракты объединяют, сушат над безводным MgSO4, фильтруют и концентрируют при пониженном давлении с получением количественного выхода указанного в заголовке соединения в виде белого аморфного твердого вещества:ИК (жидк. ) 1785, 1724, 1644, 1619, 1605, 1557, 1511, 1455, 1442, 1322, 1297, 1284, 1207, 1171, 701 cm-1; 1H NMR (300 MHz, CDCl3) 7.60-7.75, 7.50-7.60, 7.15-7.40, 6.85-7.00, 4.10-4.35, 3.50-3.80, 3.20-3.45, 2.80-3.00, 2.54, 1.20-2.00;MS (EI) m/z 488, 470, 397, 379, 260, 246, 141, 113. Стадия 7 Получение -[2-[(3,4-дифторбензоил)амино] этил] -N- бензилокси-3-(3-гидроксипропил)-2-оксо-1-(2-фенилэтил)-3- пирролидинацетамидаХолодный (0oC) раствор -[2-[(3,4- дифторбензоил)амино]этил]-3-(3-гидроксипропил)-2-оксо-1-(2-фенилэтил)- 3-пирролидинуксусной кислоты (586 мг, 1,20 ммоль) в 2: 1 CH2Cl2/ДМФ (7,5 мл) обрабатывают ГОБТ (195 мг, 1,44 ммоль), ЭДК (276 мг, 1,44 ммоль) и 4-метилморфолина (158 мкл, 1,44 ммоль). Ледяную баню удаляют и через 1 час добавляют O-бензилгидроксиламин HCl (287 мг, 1,80 ммоль) и вторую порцию 4- метилморфолина (198 мкл, 1,80 ммоль). Раствор перемешивают в течение ночи при комнатной температуре в атмосфере N2. Раствор разбавляют H2O (25 мл) и экстрагируют добавлением CH2Cl2 (3 х 50 мл). Экстракты сушат над безводным MgSO4, фильтруют и концентрируют при пониженном давлении с получением масла. Оставшееся масло вновь растворяют в EtOAc (50 мл) и промывают 1н HCl (10 мл), 1н NaOH (10 мл), H2O (10 мл) и солевым раствором (10 мл). Органический слой сушат над безводным MgSO4, фильтруют и концентрируют при пониженном давлении с получением 603 мг белой пены. Продукт очищают методом хроматографии на силикагеле (25 г силикагеля, EtOAc) с получением 433 мг (62%) указанного в заголовке соединения в виде белого аморфного твердого вещества:ИК (жидк. ) 3328, 2941, 1664, 1619, 1605, 1554, 1511, 1454, 1438, 1319, 1298, 1283, 1205, 750, 700 cm-1; 1H NMR (300 MHz, CDCl3) 7.60-7.75, 7.45-7.60, 7.10-7.45, 6.75-6.85, 4.86, 3.35-3.70, 3.10-3.30, 2.75-2.90, 2.30-2.45, 1.10-2.15;MS (FAB) m/z 594 (MH+), 593, 592, 531, 489, 472, 471, 453, 313, 57. Стадия 8 Получение -[2-[(3,4-дифторбензоил)амино] этил]-N-гидрокси- 3-(3-гидроксипропил)-2-оксо-1-(2-фенилэтил)-3-пирролидинацетамидаРаствор -[2-[(3,4-дифторбензоил)амино] этил]-N-бензилокси- 3-(3-гидроксипропил)-2-оксо-1-(2-фенилэтил)-3-пирролидинацетамида (215 мг, 0,368 ммоль) растворяют в EtOH (5 мл) и через него пропускают N2. Добавляют катализатор Pearlman (22 мг) и атмосферу меняют на H2. Через 7 часов смесь фильтруют через целит, промывая оставшиеся твердые вещества MeOH, EtOH и CH2Cl2. Фильтрат концентрируют с получением 171 мг коричневатой пены. Продукт кристаллизуют из горячего EtOAc (разбавленного гексаном). Продукт выделяют и сушат в вакуумной печи (45oC) в течение ночи с получением 117 мг (63%) указанного в заголовке соединения в виде кремового порошкообразного твердого вещества (т. пл. 118oC, с разлож.):ИК (минеральное масло) 3274, 3225, 3064, 3027, 1656, 1620, 1606, 1559, 1512, 1359, 1319, 1290, 1282, 1060, 701 cm-1; 1H NMR (300 MHz, CDCl3) 7.45-7.80, 7.10-7.40, 3.10-3.75, 2.70-2.90, 2.40-2.60, 1.15-2.25;MS (FAB) m/z 504 (MH+), 503, 502, 488, 471, 313, 246, 141, 105. ПРИМЕР 95 Получение -[2-[(3,4-дифторбензоил)амино] этил]-N-гидрокси- 3-(2-гидроксиэтил)-2-оксо-1-(2-фенилэтил)-3-пирролидинацетамида![]() Стадия 1 Получение -[2-[(3,4-дифторбензоил)амино] этил] -2-оксо-1- (2-фенилэтил)-3-(пропен-2-ил)-3-пирролидинуксусной кислотыХолодный (0oC) раствор трет-бутил- -[2-[(3,4- дифторбензоил)амино] этил] -2-оксо-1-(2-фенилэтил)-3-(пропен-2-ил)-3- пирролидинацетата (пример 94, стадия 4; 505 мг, 0,959 ммоль) в CH2Cl2 (2 мл) обрабатывают ТФУ (2 мл) и выдерживают при 0oC в течение 33 мин. Ледяную баню удаляют и через 1 ч раствор разбавляют CH2Cl2 и концентрируют (3 х). Оставшееся масло разбавляют H2O (10 мл) и экстрагируют добавлением CH2Cl2 (3 х 25 мл). Экстракты объединяют, сушат над безводным MgSO4, фильтруют и концентрируют при пониженном давлении с получением 430 мг (95%) указанного в заголовке соединения в виде желтоватого аморфного твердого вещества:ИК (жидк. ) 1727, 1662, 1641, 1619, 1606, 1554, 1510, 1454, 1441, 1316, 1298, 1283, 1203, 775, 700 cm-1; 1H NMR (300 MHz, CDCl3) 7.60-7.75, 7.50-7.60, 7.15-7.40, 6.75-6.90, 5.45-5.65, 5.10-5.20, 3.50-3.75, 3.15-3.35, 2.88, 2.52, 2.34, 1.70-2.05, 1.20-1.45;MS (ESI) m/z 469 (M–). Стадия 2 Получение -[2-[(3,4-дифторбензоил)амино]этил]-N- бензилокси-2-оксо-1-(2-фенилэтил)-3-(пропен-2-ил)-3- пирролидинацетамидаХолодный (0oC) раствор -[2-[(3,4- дифторбензоил)амино]этил]-2-оксо-1-(2-фенилэтил)-3-(пропен-2-ил)-3- пирролидинуксусной кислоты (427 мг, 0,908 ммоль) в 2:1 CH2Cl2/ДМФ (6 мл) обрабатывают ГОБТ (147 мг, 1,09 ммоль), ЭДК (209 мг, 1,09 ммоль) и 4-метилморфолина (120 мкл, 1,09 ммоль). Ледяную баню удаляют и через 1 час добавляют вторую порцию 4-метилморфолина (150 мкл, 1,36 ммоль) и O-бензилгидроксиламин HCl (217 мг, 1,36 ммоль). Раствор перемешивают в течение ночи при комнатной температуре в атмосфере N2. Раствор разбавляют EtOAc (25 мл) и промывают 1н HCl (10 мл), 1н NaOH (10 мл), H2O (2 х 10 мл) и солевым раствором (10 мл). Органический слой сушат над безводным MgSO4, фильтруют и концентрируют при пониженном давлении с получением 530 мг желтого твердого вещества. Твердое вещество очищают методом хроматографии на силикагеле (30 г силикагеля, 50% EtOAc/гексан) с получением 373 мг (71%) указанного в заголовке соединения в виде белого аморфного твердого вещества:ИК (минеральное масло) 3336, 3193, 1679, 1669, 1641, 1608, 1544, 1509, 1495, 1442, 1311, 1296, 1275, 747, 696 cm-1; 1H NMR (300 MHz, CDCl3) 7.05-7.75, 6.65-6.85, 5.40-5.60, 4.80-5.15, 3.35-3.70, 3.05-3.30, 2.81, 1.35-2.45;MS (ESI) m/z 574 (M–). Стадия 3 Получение -[2-[(3,4-дифторбензоил)амино] этил] -N- бензилокси-3-(2-гидроксиэтил)-2-оксо-1-(2-фенилэтил)-3- пирролидинацетамида -[2-[(3,4-Дифторбензоил)амино] этил] -N-бензилокси-2-оксо- 1-(2-фенилэтил)-3-(пропен-2-ил)-3-пирролидинацетамид (365 мг, 0,634 ммоль) растворяют в теплом EtOH (10 мл) и охлаждают до -78oC. Раствор подвергают действию озона в течение 3,5 мин и затем через него пропускают N2 в течение 15 минут. Озонид гасят NaBH4 (36 мг, 0,951 ммоль) и позволяют медленно нагреться до комнатной температуры в атмосфере N2. Через 5 часов добавляют дополнительное количество NaBH4 (36 мг, 0,951 ммоль) и смесь оставляют перемешиваться в течение ночи. Смесь концентрируют, разбавляют H2O (20 мл) и экстрагируют добавлением EtOAc (3 х 50 мл). Экстракты сушат над безводным MgSO4, фильтруют и концентрируют при пониженном давлении с получением 306 мг белой пены. Пену очищают методом хроматографии на силикагеле (25 г силикагеля; EtOAc) с получением 123 мг (34%) указанного в заголовке соединения в виде белого аморфного твердого вещества:ИК (минеральное масло) 3321, 1664, 1619, 1605, 1554, 1510, 1318, 1297, 1283, 1205, 1028, 776, 750, 699, 626 cm-1; 1H NMR (300 MHz, CDCl3) 7.10-7.75, 6.65-6.75, 4.85, 3.10-3.70, 2.70-2.90, 2.45-2.60, 2.10-2.30, 1.50-1.95;MS (ESI) m/z 580 (M+), 578 (M–). Стадия 4 Получение -[2-[(3,4-дифторбензоил)амино] этил]-N-гидрокси- 3-(2-гидроксиэтил)-2-оксо-1-(2-фенилэтил)-3-пирролидинацетамидаРаствор -[2-[(3,4-дифторбензоил)амино] этил]-N-бензилокси- 3-(2-гидроксиэтил)-2-оксо-1-(2-фенилэтил)-3-пирролидинацетамида (117 мг, 0,202 ммоль) растворяют в EtOH (3 мл) и через него пропускают N2. Добавляют катализатор Pearlman (10 мг) и атмосферу меняют на H2. Через 6 часов смесь фильтруют через целит, промывая оставшиеся твердые вещества MeOH, EtOH и CH2Cl2. Фильтрат концентрируют и вновь подвергают этой же процедуре. Выделенный продукт очищают методом хроматографии на силикагеле (8 г силикагеля; 5, 10% MeOH/CHCl3) с получением 45 мг белого аморфного твердого вещества. Твердое вещество растирают с EtaO/гексаном, фильтруют и сушат. Это позволяет получить 39 мг (40%) указанного в заголовке соединения в виде белого порошкообразного твердого вещества (т. пл. 135-137oC):ИК (минеральное масло) 3202, 3089, 3063, 3029, 1670, 1648, 1633, 1601, 1564, 1515, 1499, 1435, 1331, 1320, 1299 cm-1; 1H NMR (300 MHz, DMSO-d6) 8.77, 8.40-8.55, 7.80-7.90, 7.65-7.75, 7.45-7.60, 7.10-7.30, 4.30-4.40, 3.00-3.50, 2.60-2.75, 2.10-2.45, 1.50-1.90;MS (FAB) m/z 490 (MH+), 489, 474, 457, 439, 299, 246, 141, 105. ПРИМЕР 96 Получение [R-(R*, S*)]- -[2-[(3-фторбензоил)амино]этил]- N-гидрокси-3-(3-гидроксипропил)-2-оксо-1-(2-фенилэтил)-3- пирролидинацетамида![]() [ ]D25 = +13o (с 0.71, CHCl3);ИК (мин. масло) 3233, 3085, 3064, 3026, 1662, 1586, 1547, 1497, 1484, 1319, 1299, 1271, 1225, 751, 701 cm-1; 1H NMR (300 MHz, CDCl3) 7.45-7.60, 7.05-7.45, 3.10-3.65, 2.70-2.90, 2.45-2.60, 1.15-2.25;MS (EI) m/z 485 (M+), 248, 247, 202, 178, 156, 123, 105, 104, 95, 56. где mineral oil = минеральное масло. Следуя общим методикам, изложенным в примерах 28-29 или 30-34, используя незначительные вариации, могут быть получены следующие соединения. ПРИМЕР 97 Получение [S-(R*, R*)]-N3-гидрокси-N1-метил- 1– (1-метилэтил)-3-(2-метилпропил)-2-оксо-1,3-пирролидиндиацетамида![]() ПРИМЕР 98 Получение [S-(R*,R*)]-N1-циклопропил-N3– гидрокси- 1– (1-метилэтил)-3-(2-метилпропил)-2-оксо-1,3- пирролидиндиацетамида![]() ПРИМЕР 99 Получение [S-(R*, R*)] -N3-гидрокси- 1– (1-метилэтил)-3- (2-метилпропил)-2-оксо-N1-фенил-1,3-пирролидиндиацетамида![]() ПРИМЕР 100 Получение [S-(R*, R*)-N1-(4-фторфенил)-N3– гидрокси- 1– (1-метилэтил)-3-(2-метилпропил)-2-оксо-1,3- пирролидиндиацетамида![]() ПРИМЕР 101 Получение [S-(R*, R*)] -N3-гидрокси- 1– (1-метилэтил)- 3-(2-метилпропил)-2-оксо-N1-(4-пиридинил)-1,3- пирролидиндиацетамида![]() ПРИМЕР 102 Получение[S-(R*,R*)]- 1-трет-бутил-N1-циклопропил-N3-гидрокси-3-(2-метилпропил)-2-оксо-1,3-пирролидиндиацетамида![]() ПРИМЕР 103 Получение [S-(R*, R*)]- 1– трет-бутил-N3-гидрокси-3-(2- метилпропил)-2-оксо-N1-фенил-1,3-пирролидиндиацетамида![]() ПРИМЕР 104 Получение[S-(R*,R*)]- 1-трет-бутил-N1-(4-фторфенил)-N3-гидрокси-3-(2-метилпропил)-2-оксо-1,3-пирролидиндиацетамида![]() ПРИМЕР 105 Получение [S-(R*,R*)- 1– трет-бутил-N3-гидрокси-3-(2- метилпропил)-2-оксо-N1-(4-пиридинил)-1,3-пирролидиндиацетамида![]() ПРИМЕР 106 Получение [S-(R*,R*)]- 1– циклогексил-N3-гидрокси-3- (2-метилпропил)-2-оксо-N1-фенил-1,3-пирролидиндиацетамида![]() ПРИМЕР 107 Получение [S-(R*,R*)]- 1– циклогексил-N3-гидрокси-3- (2-метилпропил)-2-оксо-N1-(4-пиридинил)-1,3- пирролидиндиацетамида![]() ПРИМЕР 108 Получение [S-(R*, R*)] -3-(циклопентилметил)-N3– гидрокси-N1-метил- 1– (1-метилэтил)-2-оксо-1,3- пирролидиндиацетамида![]() ПРИМЕР 109 Получение [S-(R*,R*)]-3-(циклопентилметил)-N1– циклопропил-N3-гидрокси- 1– (1-метилэтил)-2-оксо-1,3- пирролидиндиацетамида![]() ПРИМЕР 110 Получение [S-(R*, R*)] -3-(циклопентилметил)-N3– гидрокси- 1– (1-метилэтил)-2-оксо-N1-фенил-1,3- пирролидиндиацетамида![]() ПРИМЕР 111 Получение [S-(R*,R*)]-3-(циклопентилметил)-N1-(4- фторфенил)-N3-гидрокси- 1– (1-метилэтил)-2-оксо-1,3- пирролидиндиацетамида![]() ПРИМЕР 112 Получение [S-(R*, R*)] -3-(циклопентилметил)-N3– гидрокси- 1– (1-метилэтил)-2-оксо-N1-(4-пиридинил)-1,3- пирролидиндиацетамида![]() ПРИМЕР 113 Получение [S-(R*, R*)] – 1– трет-бутил-3-(циклопентилметил)- N3-гидрокси-N1-метил-2-оксо-1,3-пирролидиндиацетамида![]() ПРИМЕР 114 Получение [S-(R*,R*)] 1– трет-бутил-3-(циклопентилметил)- N1-циклопропил-N3-гидрокси-2-оксо-1,3- пирролидиндиацетамида![]() ПРИМЕР 115 Получение [S-(R*, R*)] – 1– трет-бутил-3-(циклопентилметил)- N3-гидрокси-2-оксо-N1-фенил-1,3-пирролидиндиацетамида![]() ПРИМЕР 116 Получение [S-(R*, R*)] – 1– трет-бутил-3-(циклопентилметил)- N1-(4-фторфенил)-N3-гидрокси-2-оксо-1,3- пирролидиндиацетамида![]() ПРИМЕР 117 Получение [S-(R*, R*)] – 1– трет-бутил-3-(циклопентилметил)- N3-гидрокси-2-оксо-N1-(4-пиридинил)-1,3- пирролидиндиацетамида![]() ПРИМЕР 118 Получение [S-(R*,R*)]- 1– циклогексил-3-(циклопентилметил)- N3-гидрокси-N1-метил-2-оксо-1,3-пирролидиндиацетамида![]() ПРИМЕР 119 Получение [S-(R*,R*)]- 1– циклогексил-3-(циклопентилметил)- N1-циклопропил-N3-гидрокси-2-оксо-1,3- пирролидиндиацетамида![]() ПРИМЕР 120 Получение [S-(R*,R*)]- 1– циклогексил-3-(циклопентилметил)- N3-гидрокси-2-оксо-N1-фенил-1,3-пирролидиндиацетамида![]() ПРИМЕР 121 Получение [S-(R*, R*)] – 1– циклогексил-3-(циклопентилметил)- N1-(4-фторфенил)-N3-гидрокси-2-оксо-1,3- пирролидиндиацетамида![]() ПРИМЕР 122 Получение [S-(R*,R*)]- 1– циклогексил-3-(циклопентилметил)- N3-гидрокси-2-оксо-N1-(4-пиридинил)-1,3- пирролидиндиацетамида![]() ПРИМЕР 123 Получение [S-(R*, R*)]-N3-гидрокси-N1-метил- 1– (1-метилэтил)-2-оксо-3-(3-фенилпропил)-1,3-пирролидиндиацетамида![]() ПРИМЕР 124 Получение [S-(R*, R*)]-N1-циклопропил-N3– гидрокси- 1– (1-метилэтил)-2-оксо-3-(3-фенилпропил)-1,3- пирролидиндиацетамида![]() ПРИМЕР 125 Получение[S-(R*,R*)]-N3-гидрокси- 1-(1-метилэтил)-2-оксо-N1-фенил-3-(3-фенилпропил)-1,3-пирролидиндиацетамида![]() ПРИМЕР 126 Получение [S-(R*, R*)] -N1-(4-фторфенил)-N3– гидрокси- 1– (1-метилэтил)-2-оксо-3-(3-фенилпропил)-1,3- пирролидиндиацетамида![]() ПРИМЕР 127 Получение [S-(R*, R*)] -N3-гидрокси- 1– (1-метилэтил)-2- оксо-3-(3-фенилпропил)-N1-(4-пиридинил)-1,3- пирролидиндиацетамида![]() ПРИМЕР 128 Получение[S-(R*,R*)]- 1-трет-бутил-N3-гидрокси-N1-метил-2-оксо-3-(3-фенилпропил)-1,3-пирролидиндиацетамида![]() ПРИМЕР 129 Получение[S-(R*,R*)]- 1-трет-бутил-N1-циклопропил-N3-гидрокси-2-оксо-3-(3-фенилпропил)-1,3-пирролидиндиацетамида![]() ПРИМЕР 130 Получение[S-(R*,R*)]- 1-трет-бутил-N3-гидрокси-2-оксо-N1-фенил-3-(3-фенилпропил)-1,3-пирролидиндиацетамида![]() ПРИМЕР 131 Получение[S-(R*,R*)]- 1-трет-бутил-N1-(4-фторфенил)-N3-гидрокси-2-оксо-3-(3-фенилпропил)-1,3-пирролидиндиацетамида![]() ПРИМЕР 132 Получение [S-(R*, R*)]- 1– трет-бутил-N3-гидрокси-2- оксо-3-(3-фенилпропил)-N1-(4-пиридинил)-1,3- пирролидиндиацетамида![]() ПРИМЕР 133 Получение[S-(R*,R*)]- 1-циклогексил-N3-гидрокси-N1-метил-2-оксо-3-(3-фенилпропил)-1,3-пирролидиндиацетамида![]() ПРИМЕР 134 Получение[S-(R*,R*)]- 1-циклогексил-N1-циклопропил-N3-гидрокси-2-оксо-3-(3-фенилпропил)-1,3-пирролидиндиацетамида![]() ПРИМЕР 135 Получение[S-(R*,R*)]- 1-циклогексил-N3-гидрокси-2-оксо-N1-фенил-3-(3-фенилпропил)-1,3-пирролидиндиацетамида![]() ПРИМЕР 136 Получение[S-(R*,R*)]- 1–циклогексил-N1-(4-фторфенил)-N3-гидрокси-2-оксо-3-(3-фенилпропил)-1,3- пирролидиндиацетамида![]() ПРИМЕР 137 Получение [S-(R*, R*)] – 1– циклогексил-N3-гидрокси-2- оксо-3-(3-фенилпропил)-N1-(4-пиридинил)-1,3- пирролидиндиацетамида![]() ПРИМЕР 138 Получение [S-(R*, R*)-3-[3-(4-фторфенил)пропил] -N3– гидрокси-N1-метил- 1– (1-метилэтил)-2-оксо-1,3- пирролидиндиацетамида![]() ПРИМЕР 139 Получение [S-(R*, R*)] -N1-циклопропил-3-[3-(4- фторфенил)пропил] -N3-гидрокси- 1– (1-метилэтил)-2-оксо-1,3- пирролидиндиацетамида![]() ПРИМЕР 140 Получение [S-(R*, R*)]-3-[3-(4-фторфенил)пропил]-N3– гидрокси- 1– (1-метилэтил)-2-оксо-N1-фенил-1,3- пирролидиндиацетамида![]() ПРИМЕР 141 Получение [S-(R*, R*)] -N1-(4-фторфенил)-3-[3-(4- фторфенил)-пропил]-N3-гидрокси- 1– (1-метилэтил)-2-оксо-1,3- пирролидиндиацетамида![]() ПРИМЕР 142 Получение [S-(R*, R*)]-3-[3-(4-фторфенил)пропил]-N3– гидрокси- 1– (1-метилэтил) -2-оксо-N1-(4-пиридинил)-1,3- пирролидиндиацетамида![]() ПРИМЕР 143 Получение [S-(R*, R*)] – 1– трет-бутил-3-[3-(4- фторфенил)пропил]-N3-гидрокси-N1-метил-2-оксо-1,3- пирролидиндиацетамида![]() ПРИМЕР 144 Получение [S-(R*, R*)] – 1– трет-бутил-N1-циклопропил-3- [3-(4-фторфенил)пропил]-N3-гидрокси-2-оксо-1,3- пирролидиндиацетамида![]() ПРИМЕР 145 Получение [S-(R*, R*)] – 1– трет-бутил-3-[3-(4- фторфенил)пропил]-N3-гидрокси-2-оксо-N1-фенил-1,3- пирролидиндиацетамида![]() ПРИМЕР 146 Получение [S-(R*, R*)] – 1– трет-бутил-N1-(4-фторфенил)- 3-[3-(4-фторфенил)пропил]-N3-гидрокси-2-оксо-1,3- пирролидиндиацетамида![]() ПРИМЕР 147 Получение [S-(R*, R*)] – 1– трет-бутил-3-[3-(4- фторфенил)пропил]-N3-гидрокси-2-оксо-N1-(4-пиридинил)- 1,3-пирролидиндиацетамида![]() ПРИМЕР 148 Получение [S-(R*, R*)] – 1– циклогексил-3-[3-(4- фторфенил)пропил]-N3-гидрокси-N1-метил-2-оксо-1,3- пирролидиндиацетамида![]() ПРИМЕР 149 Получение [S-(R*, R*)]- 1– циклогексил-N1-циклопропил- 3-[3-(4-фторфенил)пропил]-N3-гидрокси-2-оксо-1,3- пирролидиндиацетамида![]() ПРИМЕР 150 Получение [S-(R*, R*)] – 1– циклогексил-3-[3-(4- фторфенил)пропил]-N3-гидрокси-2-оксо-N1-фенил-1,3- пирролидиндиацетамида![]() ПРИМЕР 151 Получение [S-(R*, R*)]- 1– циклогексил-N1-(4- фторфенил)-3-[3-(4-фторфенил)пропил]-N3-гидрокси-2-оксо-1,3- пирролидиндиацетамида![]() ПРИМЕР 152 Получение [S-(R*, R*)] – 1– циклогексил-3-[3-(4- фторфенил)пропил]-N3-гидрокси-2-оксо-N1-(4-пиридинил)- 1,3-пирролидиндиацетамида![]() ПРИМЕР 153 Получение [S-(R*, R*)] -3-[3-(бифен-4-ил)пропил]-N3– гидрокси-N1-метил- 1– (1-метилэтил)-2-оксо-1,3- пирролидиндиацетамида![]() ПРИМЕР 154 Получение [S-(R*, R*)] -3-[3-(бифен-4-ил)пропил] -N1– циклопропил-N3-гидрокси- 1– (1-метилэтил)-2-оксо-1,3- пирролидиндиацетамида![]() ПРИМЕР 155 Получение [S-(R*, R*)] -3-[3-(бифен-4-ил)пропил]-N3– гидрокси- 1– (1-метилэтил)-2-оксо-N1-фенил-1,3- пирролидиндиацетамида![]() ПРИМЕР 156 Получение [S-(R*, R*)] -3-[3-(бифен-4-ил)пропил] -N1-(4- фторфенил)-N3-гидрокси- 1– (1-метилэтил)-2-оксо-1,3- пирролидиндиацетамида![]() ПРИМЕР 157 Получение [S-(R*, R*)-3-[3-(бифен-4-ил)пропил]-N3– гидрокси- 1– (1-метилэтил)-2-оксо-N1-(4-пиридинил)-1,3- пирролидиндиацетамида![]() ПРИМЕР 158 Получение [S-(R*, R*)] -3-[3-(бифен-4-ил)пропил] – 1– трет- бутил-N3-гидрокси-N1-метил-2-оксо-1,3- пирролидиндиацетамида![]() ПРИМЕР 159 Получение [S-(R*, R*)] -3-[3-(бифен-4-ил)пропил] – 1– трет- бутил-N1-циклопропил-N3-гидрокси-2-оксо-1,3- пирролидиндиацетамида![]() ПРИМЕР 160 Получение [S-(R*, R*)] -3-[3-(бифен-4-ил)пропил] – 1– трет- бутил-N3-гидрокси-2-оксо-N1-фенил-1,3- пирролидиндиацетамида![]() ПРИМЕР 161 Получение [S-(R*,R*)]-3-[3-(бифен-4-ил)пропил]- 1– тpет- бутил-N1-(4-фторфенил)-N3-гидрокси-2-оксо-1,3- пирролидиндиацетамида![]() ПРИМЕР 162 Получение [S-(R*, R*)] -3-[3-(бифен-4-ил)пропил] – 1– трет- бутил-N3-гидрокси-2-оксо-N1-(4-пиридинил)-1,3- пирролидиндиацетамида![]() ПРИМЕР 163 Получение [S-(R*, R*)] -3-[3-(бифен-4-ил)пропил] – 1– циклогексил-N3-гидрокси-N1-метил-2-оксо-1,3- пирролидиндиацетамида![]() ПРИМЕР 164 Получение [S-(R*, R*)] -3-[3-(бифен-4-ил)пропил] – 1– циклогексил-N1-циклопропил-N3-гидрокси-2-оксо-1,3- пирролидиндиацетамида![]() ПРИМЕР 165 Получение [S-(R*, R*)] -3-[3-(бифен-4-ил)пропил] – 1– циклогексил-N3-гидрокси-2-оксо-N1-фенил-1,3- пирролидиндиацетамида![]() ПРИМЕР 166 Получение [S-(R*,R*)]-3-[3-(бифен-4-ил)пропил]- 1– циклогексил-N1-(4-фторфенил)-N3-гидрокси-2-оксо-1,3- пирролидиндиацетамида![]() ПРИМЕР 167 Получение [S-(R*, R*)] -3-[3-(бифен-4-ил)пропил] – 1– циклогексил-N3-гидрокси-2-оксо-N1-(4-пиридинил)-1,3- пирролидиндиацетамида![]() ПРИМЕР 168 Получение [S-(R*, R*)]-3-[3-(4′-фторбифен-4-ил)пропил]- N3-гидрокси-N1-метил- 1– (1-метилэтил)-2-оксо-1,3- пирролидиндиацетамида![]() ПРИМЕР 169 Получение [S-(R*, R*)] -3-[3-(4′-фторбифен-4-ил)пропил] – N1-циклопропил-N3-гидрокси- 1– (1-метилэтил)-2-оксо-1,3- пирролидиндиацетамида![]() ПРИМЕР 170 Получение[S-(R*,R*)]-3-[3-(4′-фторбифен-4-ил)пропил]-N3-гидрокси- 1-(1-метилэтил)-2-оксо-N1-фенил-1,3- пирролидиндиацетамида![]() ПРИМЕР 171 Получение [S-(R*, R*)] -3-[3-(4′-фторбифен-4-ил)пропил] – N1-(4-фторфенил)-N3-гидрокси- 1– (1-метилэтил)-2-оксо- 1,3-пирролидиндиацетамида![]() ПРИМЕР 172 Получение [S-(R*,R*)]-3-[3-(4′-фторбифен-4-ил)пропил]- N3-гидрокси- 1– (1-метилэтил)-2-оксо-N1-(4-пиридинил)- 1,3-пирролидиндиацетамида![]() ПРИМЕР 173 Получение [S-(R*, R*)]- 1– трет-бутил-3-[3-(4′-фторбифен-4- ил)пропил] -N3-гидрокси-N1-метил-2-оксо-1,3- пирролидиндиацетамида![]() ПРИМЕР 174 Получение [S-(R*, R*)]- 1– трет-бутил-N1-циклопропил-3- [3-(4′-фторбифен-4-ил)пропил]-N3-гидрокси-2-оксо-1,3- пирролидиндиацетамида![]() ПРИМЕР 175 Получение [S-(R*, R*)]- 1– трет-бутил-3-[3-(4′-фторбифен-4- ил)пропил] -N3-гидрокси-2-оксо-N1-фенил-1,3- пирролидиндиацетамида![]() ПРИМЕР 176 Получение [S-(R*, R*)]- 1– трет-бутил-3-[3-(4′-фторбифен-4- ил)пропил] -N1-(4-фторфенил)-N3-гидрокси-2-оксо-1,3- пирролидиндиацетамида![]() ПРИМЕР 177 Получение [S-(R*, R*)]- 1– трет-бутил-3-[3-(4′-фторбифен-4- ил)пропил] -N3-гидрокси-2-оксо-N1-(4-пиридинил)-1,3- пирролидиндиацетамида![]() ПРИМЕР 178 Получение [S-(R*, R*)]- 1 циклогексил-3-[3-(4′-фторбифен-4- ил)пропил] -N3-гидрокси-N1-метил-2-оксо-1,3- пирролидиндиацетамида![]() ПРИМЕР 179 Получение [S-(R*, R*)] – 1– циклогексил-N1-циклопропил- 3-[3-(4′-фторбифен-4-ил)пропил]-N3-гидрокси-2-оксо-1,3- пирролидиндиацетамида![]() ПРИМЕР 180 Получение [S-(R*,R*)]- 1– циклогексил-3-[3-(4′-фторбифен-4- ил)пропил] -N3-гидрокси-2-оксо-N1-фенил-1,3- пирролидиндиацетамида![]() ПРИМЕР 181 Получение [S-(R*,R*)]- 1– циклогексил-3-[3-(4′-фторбифен-4- ил)пропил] -N1-(4-фторфенил)-N3-гидрокси-2-оксо-1,3- пирролидиндиацетамида![]() ПРИМЕР 182 Получение [S-(R*,R*)]- 1– циклогексил-3-[3-(4′-фторбифен-4- ил)пропил] -N3-гидрокси-2-оксо-N1-(4-пиридинил)-1,3- пирролидиндиацетамида![]() ПРИМЕР 183 Получение [S-(R*, R*)] -3-гептил-N3-гидрокси-N1– метил- 1– (1-метилэтил)-2-оксо-1,3-пирролидиндиацетамида![]() ПРИМЕР 184 Получение [S-(R*, R*)]-N1-циклопропил-3-гептил- N3-гидрокси- 1– (1-метилэтил)-2-оксо-1,3-пирролидиндиацетамида![]() ПРИМЕР 185 Получение [S-(R*,R*)]-3-гептил-N3-гидрокси- 1– (1- метилэтил)-2-оксо-N1-фенил-1,3-пирролидиндиацетамида![]() ПРИМЕР 186 Получение [S-(R*, R*)]-3-гептил-N1-(4-фторфенил)- N3-гидрокси- 1– (1-метилэтил)-2-оксо-1,3-пирролидиндиацетамида![]() ПРИМЕР 187 Получение [S-(R*,R*)]-3-гептил-N3-гидрокси- 1– (1- метилэтил)-2-оксо-N1-(4-пиридинил)-1,3-пирролидиндиацетамида![]() ПРИМЕР 188 Получение[S-(R*,R*)]- 1-трет-бутил-3-гептил-N3-гидрокси-N1-метил-2-оксо-1,3-пирролидиндиацетамида![]() ПРИМЕР 189 Получение [S-(R*, R*)] – 1– трет-бутил-N1-циклопропил-3- гептил-N3-гидрокси-2-оксо-1,3-пирролидиндиацетамида![]() ПРИМЕР 190 Получение [S-(R*, R*)] – 1-трет-бутил-3-гептил-N3– гидрокси-2-оксо-N1-фенил-1,3-пирролидиндиацетамида![]() ПРИМЕР 191 Получение [S-(R*, R*)] – 1– трет-бутил-N1-(4-фторфенил)- 3-гептил-N3-гидрокси-2-оксо-1,3-пирролидиндиацетамида![]() ПРИМЕР 192 Получение [S-(R*, R*)] – 1– трет-бутил-3-гептил-N3– гидрокси-2-оксо-N1-(4-пиридинил)-1,3-пирролидиндиацетамида![]() ПРИМЕР 193 Получение[S-(R*,R*)]- 1-циклогексил-3-гептил-N3-гидрокси-N1-метил-2-оксо-1,3-пирролидиндиацетамида![]() ПРИМЕР 194 Получение [S-(R*, R*)] – 1– циклогексил-N1-циклопропил- 3-гептил-N3-гидрокси-2-оксо-1,3-пирролидиндиацетамида![]() ПРИМЕР 195 Получение [S-(R*, R*)] – 1– циклогексил-3-гептил-N3– гидрокси-2-оксо-N1-фенил-1,3-пирролидиндиацетамида![]() ПРИМЕР 196 Получение [S-(R*, R*)] – 1– циклогексил-3-гептил-N1-(4- фторфенил)-N3-гидрокси-2-оксо-1,3-пирролидиндиацетамида![]() ПРИМЕР 197 Получение [S-(R*, R*)] – 1– циклогексил-3-гептил-N3– гидрокси-2-oкco-N1-(4-пиридинил)-1,3-пирролидиндиацетамида![]() Дополнительные экспериментальные данные Пример AA (2S)-2-{ (3S)-3-(циклопентилметил)-3-[2-(гидроксиамино)-2- оксоэтил]-2-оксопирролидинил}-N-метил-3-фенилпропанамид ![]() белое кристаллическое вещество; Мол.формула: C22H31N3O4; М.В.: 401,50; чистота более 95%. Пример AB (2S)-2-{ (3S)-3-([1,1′-бифенил] -4-пропил)-3-[2- (гидроксиамино)-2-оксоэтил]-2-оксопирролидинил}-2-циклогексил-N- метилэтанамид ![]() грязно-белое кристаллическое вещество; Т.пл. 137-140oC; Мол.формула: C30H39N3O4; М.В.: 505,66; чистота более 95%. Пример AC (2S)-2-циклогексил-2-{ (3S)-3-(циклопентилметил)-3-[2- (гидроксиамино)-2-оксоэтил]-2-оксопирролидинил}-N-метилэтанамид ![]() белое кристаллическое вещество; Мол. формула: C21H35N3O4; М.В.: 393,52; чистота более 95%. Пример AD (2S)-2-циклогексил-2-{ (3S)-3-гептил-3-[2-(гидроксиамино)-2- оксоэтил]-2-оксопирролидинил}-N-метилэтанамид ![]() бежевое кристаллическое вещество; Мол. формула: C22H39N3O4; М.В.: 409,57; чистота более 95%. Пример AE (2S)-2-циклогексил-2-[(3S)-3-[2-(гидроксиамино)-2-оксоэтил] – 2-оксо-3-(3-фенилпропил)пирролидинил]-N-метилэтанамид ![]() белое кристаллическое вещество; Мол. формула: C24H35N3O4; М.В.: 429,56; чистота более 95%. Пример AF (2S)-2-{ (3S)-3-[1,1′-бифенил] -4илпропил)-3-[2- (гидроксиамино)-2-оксоэтил]-2-оксопирролидинил}-N,3-диметилбутанамид ![]() белое кристаллическое вещество (частичный гидрат 1/3 экв. H2O); Т.пл. 101-104oC, разл.; Мол. формула: C27H35N3O4; М.В.: 465,59; чистота более 98%. Пример AG (2R)-2-{ (3S)-3-[2-(гидроксиамино)-2-оксоэтил] -3-изобутил-2- оксопирролидинил}-3,3-диметил-N-(4-пиридинил)бутанамид ![]() Мол. формула: C21H32N4O4; М.В.: 404,51. Пример AH (2S)-2-{ (3S)-3-[2-(гидроксиамино)-2-оксоэтил] -3-изобутил-2- оксопирролидинил}-3,3-диметил-N-(4-пиридинил)бутанамид ![]() Мол. формула: C21H32N4O4; М.В.: 404,51. Пример AI (2R)-2-{ (3S)-3-[2-(гидроксиамино)-2-оксоэтил] -3-изобутил-2- оксопирролидинил}-3-фенил-N-трифторэтилпропанамид ![]() Мол. формула: C21H28N3O4; М.В.: 443,46. Пример AL (2R)-2-{ (3S)-3-[2-(гидроксиамино)-2-оксоэтил] -3-изобутил-2- оксопирролидинил}-3-(4-гидроксифенил)-N-метилпропанамид ![]() Мол.формула: C20H29N3O5; М.В.: 391,46. Примеры препаративных форм фармацевтической композиции. Пример а Таблетки Состав – Количество, мг Соединение примера 31 – 25,0 Лактоза – 125,0 Кукурузный крахмал – 75,0 Тальк – 4,0 Стеарат магния – 1,0 Всего – 230,0 Вышеуказанные компоненты смешивают и полученную смесь таблетируют, получая таблетки, каждая из которых содержит 25 мг активного ингредиента. Пример b Капсулы Состав – Количество, мг/капсулу Соединение примера 5 – 50,0 Лактоза – 165,0 Кукурузный крахмал – 20,0 Тальк – 5,0 Всего – 240,0 Вышеуказанные компоненты смешивают и затем смесью заполняют желатиновые капсулы, каждая из которых содержит 50 мг активного ингредиента. Формула изобретения
![]() где X представляет собой a) -(CH2)-, b) -NR5-, или c) -C(=O)-; Y представляет собой a) -(CH2)-, или b) -NR5-; при условии, что если X является -NR5-, то Y является -(CH2)-; R1 представляет собой a) H, b) C1-20алкил, c) -(CH2)jарил, d) -(CH2)jциклоалкил или e) -(CH2)jарил-арил; R2 представляет собой a) H, b) C1-20алкил, c) -(CH2)j-R8, d) -(CH2)jNR6R7, e) -(CH2)j-NR5C(=O)R5, f) -(CH2)j-NR5SO2R5, или g) -(CH2)j-N(CO2R5)2-; R3 представляет собой a) H, b) C1-6алкил, c) -(CH2)j-арил, d) -(CH2)j-C3-6циклоалкил или e) -C(=O)NHR5; R4 представляет собой a) H, b) -C(=O)NHR5, C) -C(=O)NR6R7; R5 представляет собой a) H, b) C1-6алкил, необязательно замещенный от 1 до 3 атомами галогена, c) -(CH2)j-арил, d) -(CH2)j-арил-арил, e) -(CH2)j-Het или f) -(CH2)j-циклоалкил; R6 и R7 могут являться одинаковыми или различными и представляют a) H, b) C1-6алкил, c) -(CH2)j-арил, d) R6 и R7 взятые вместе со связующим азотом, образуют пирролидинил, пиперидинил, пиперазинил или морфолинил, необязательно замещенные одним или несколькими C1-4алкилами; R8 представляет собой a) -S-R5, b) ![]() c) ![]() d) ![]() i) ![]() f) ![]() R9 представляет собой a) галоген, b) C1-6алкил, c) -OR5, d) -NR5R5, e) -NO2, f) -CF3; R10 представляет собой a) H, арил является фенилом, необязательно замещенным одним или несколькими следующими группами: a) галоген, b) C1-10алкил, c) OR5, d) -NO2; Het представляет собой пиридинил, тиенил, пиперидинил, пиперидинил, замещенный бензилом, морфолином; i = 1, 2, 3, 4, 5 или 6; j = 0, 1, 2, 3 или 4; n = 0, 1, 2, 3 или 4; или их фармацевтически приемлемые соли, при условии, что когда R1 представляет метилбутил, R4 отличен от водорода. 2. Соединение формулы I по п.1, которое представляет собой оптически чистый энантиомер, имеющий структуру II ![]() 3. Соединение формулы I по п.1, которое представляет собой оптически чистый энантиомер, имеющий структуру III ![]() 4. Соединение формулы I по п.1, которое представляет собой оптически чистый энантиомер, имеющий структуру IV ![]() 5. Соединение формулы I по п.1, которое представляет собой оптически чистый энантиомер, имеющий структуру V ![]() 6. Соединение формулы I по п.1, которое представляет собой оптически чистый энантиомер, имеющий структуры VI ![]() 7. Соединение формулы I по п.1, которое представляет собой оптически чистый энантиомер, имеющий структуру VII ![]() 8. Соединение по п.1, где R1 представляет собой 2-метилпропил или 3-метилбутил. 9. Соединение по п.1, где R2 выбирают из группы, включающей H, метил, 2-(1,3-дигидро-1,3-диоксо-2H-изоиндол-2-ил)этил, 2-(1,3-дигидро-1,3-диоксо-2H-нафтоизоиндол-2-ил)этил, 2-(4,5,6,7-тетрафтор-1,3-дигидро-1,3-диоксо-2H-изоиндол-2-ил)этил, 2-(5,6-дихлор-1,3-дигидро-1,3-диоксо-2H-изоиндол-2-ил)этил, 2-(5-амино-1,3-дигидро-1,3-диоксо-2H-изоиндол-2-ил)этил, 2-(4-нитро-1,3-дигидро-1,3-диоксо-2H-изоиндол-2-ил)этил, 2-(5-нитро-1,3-дигидро-1,3-диоксо-2H-изоиндол-2-ил)этил, 2-(4-фтор-1,3-дигидро-1,3-диоксо-2H-изоиндол-2-ил)этил, 2-(4,7-дифтор-1,3-дигидро-1,3-диоксо-2H-изоиндол-2-ил)этил, 2-(5-фтор-1,3-дигидро-1,3-диоксо-2H-изоиндол-2-ил)этил, 2-(1,3-дигидро-1,3-диоксо-2H-изоиндол-2-ил)пропил, 2-(1,3-дигидро-1,3-диоксо-2H-изоиндол-2-ил)метил, 2-(2-тиенилтио)пропил и 2-(2-тиенилтио)метил. 10. Соединение по п.1, где R3 выбирают из группы, включающей H, 2-метилпропил, циклогексилметил, бензил и фенил. 11. Соединение по п.1, где R4 представляет собой H или ацетамид. 12. Соединение по п.1, где указанное соединение формулы I представляет собой: 1a) N-гидрокси-3-(2-метилпропил)-2-оксо-1-(2-фенилэтил)-3-пирролидинацетамид, 1b) (3S)-N-гидрокси-3-(2-метилпропил)-2-оксо-1-(2-фенилэтил)-3-пирролидинацетамид, 1c) N-гидрокси- -метил-3-(2-метилпропил)-2-оксо-1-(2-фенилэтил)-3-пирролидинацетамид,1d) -[2-(1,3-дигидро-1,3-диоксо-2H-изоиндол-2-ил)этил] -N-гидрокси-3-(2-метилпропил)-2-оксо-1-(2-фенилэтил)-3-пирролидинацетамид,1e) (3S)- -[2-(1,3-дигидро-1,3-диоксо-2H-изоиндол-2-ил)этил] -N-гидрокси-3-(2-метилпролпил)-2-оксо-1-(2-фенилэтил)-3-пирролидинацетамид,1f) -[2-(1,3-дигидро-1,3-диоксо-2H-нафтоизоиндол-2-ил)этил] -N-гидрокси-3-(2-метилпропил)-2-оксо-1-(2-фенилэтил)-3-пирролидинацетамид,1g) N-гидрокси-3-(2-метилпропил)-2-оксо-1-(2-фенилэтил)- -[2-(4,5,6,7-тетрафтор-1,3-дигидро-1,3-диоксо-2H-изоиндол-2-ил)этил] -3-пирролидинацетамид,1h) -[2-(5,6-дихлор-1,3-дигидро-1,3-диоксо-2H-изоиндол-2-ил)этил] -N-гидрокси-3-(2-метилпропил)-2-оксо-1-(2-фенилэтил)-3-пирролидинацетамид,1i) -[2-(5-амино-1,3-дигидро-1,3-диоксо-2H-изоиндол-2-ил)этил]-N-гидрокси-3-(2-метилпропил)-2-оксо-1-(2-фенилэтил)-3-пирролидинацетамид,1j) N-гидрокси-3-(2-метилпропил)- -[2-(4-нитро-1,3-дигидро-1,3-диоксо-2H-изоиндол-2-ил)этил]-2-оксо-1-(2-фенилэтил)-3-пирролидинацетамид,1k) N-гидрокси-3-(2-метилпропил)- -[2-(5-нитро-1,3-дигидро-1,3-диоксо-2H-изоиндол-2-ил)этил]-2-оксо-1-(2-фенилэтил)-3-пирролидинацетамид,1l) -[2-(4-фтор-1,3-дигидро-1,3-диоксо-2H-изоиндол-2-ил)этил]-N-гидрокси-3-(2-метилпропил)-2-оксо-1-(2-фенилэтил)-3-пирролидинацетамид,1m) -[2-(4,7-дифтор-1,3-дигидро-1,3-диоксо-2H-изоиндол-2-ил)этил] -N-гидрокси-3-(2-метилпропил)-2-оксо-1-(2-фенилэтил)-3-пирролидинацетамид,1n) -[2-(5-фтор-1,3-дигидро-1,3-диоксо-2H-изоиндол-2-ил)этил]-N-гидрокси-3-(2-метилпропил)-2-оксо-1-(2-фенилэтил)-3-пирролидинацетамид,1o) -[2-(1,3-дигидро-1,3-диоксо-2H-изоиндол-2-ил)пропил] -N-гидрокси-3-(2-метилпропил)-2-оксо-1-(2-фенилэтил)-3-пирролидинацетамид,1p) -[2-(1,3-дигидро-1,3-диоксо-2H-изоиндол-2-ил)метил]-N-гидрокси-3-(2-метилпропил)-2-оксо-1-(2-фенилэтил)-3-пирролидинацетамид,1q) N-гидрокси-3-(2-метилпропил)-2-оксо-1-(2-фенилэтил)- -[2-(2-тиенилтио)этил]-3-пирролидинацетамид,1r) N-гидрокси-3-(2-метилпропил)-2-оксо-1-(2-фенилэтил)- -[2-(2-тиенилтио)пропил]-3-пирролидинацетамид,1s) N-гидрокси-3-(2-метилпропил)-2-оксо-1-(2-фенилэтил)- -[2-(2-тиенилтио)метил]-3-пирролидинацетамид,1t) N3-гидрокси-N1-метил-3-(2-метилпропил)-2-оксо-1,3-пирролидиндиацетамид, 1u) N3-гидрокси-N1-метил-3-(2-метилпропил)-2-оксо- 1-(фенилметил)-1,3-пирролидиндиацетамид,1v) N-гидрокси-3-(2-метилпропил)-2-оксо-1-(2-фенилметил)-3-пирролидинацетамид, 1w) -[2-(1,3-дигидро-1,3-диоксо-2H-изоиндол-2-ил)этил] -N-гидрокси-3-(2-метилпропил)-2-оксо-1-(фенилметил)-3-пирролидинацетамид,1x) N-гидрокси-3-(2-метилпропил)-2-оксо-1-(фенилметил)- -[2-(4,5,6,7-тетрафтор-1,3-дигидро-1,3-диоксо-2H-изоиндол-2-ил)этил] -3-пирролидинацетамид,1y) 1-(3-фторфенил)метил- -[2-(1,3-дигидро-1,3-диоксо-2H-изоиндол-2-ил)этил]-N-гидрокси-3-(2-метилпропил)-2-оксо-3-пирролидинацетамид,1z) 3-[2-(1,3-дигидро-1,3-диоксо-2H-изоиндол-2-ил)этил] -N3-гидрокси-N1-метил-3-(2-метилпропил)-2-оксо-1,3-пирролидиндиацетамид,2a)N3-гидрокси-N1-метил-3-(2-метилпропил)-2-оксо- 3-[2-(4,5,6,7-тетрафтор-1,3-дигидро-1,3-диоксо-2H-изоиндол-2-ил)этил]-1,3-пирролидиндиацетамид,2c) [S, R-(R*,R*)]- 3-[2-(1,3-дигидро-1,3-диоксо-2H-изоиндол-2-ил)этил] -N3-гидрокси-N1-метил-3-(2-метилпропил)-2-оксо- 1-(фенилметил)-1,3-пирролидиндиацетамид,2d) [S-(R*, R*)] -N3-гидрокси-N1-метил-3-(2-метилпропил)-2-оксо- 1-(фенилметил)-1,3-пирролидиндиацетамид,2e) [S-(R*, R*)] -N3-гидрокси-3-(2-метилпропил)-2-оксо-N1-(2-фенэтил)- 1-(фенилметил)-1,3-пирролидиндиацетамид,2f) [S-(R*, R*)] -N3-гидрокси-N1-метил- 1-3-бис-(2-метилпропил)-2-оксо-1,3-пирролидиндиацетамид,2g) [S-(R*, R*)] – 1-(циклогексилметил)-N3-гидрокси-N1-метил-3-(2-метилпропил)-2-оксо-1,3-пирролидиндиацетамид,2h) [S-(R*,R*)]-N3-гидрокси-N1-метил-3-(3-метилбутил)-2-оксо- 1-(фенилметил)-1,3-пирролидиндиацетамид,2i) N-гидрокси-3-(2-метилпропил)-2,5-диоксо-1-(2-фенилэтил)-3-пирролидинацетамид, 2j) N-гидрокси-3-метил-4-(2-метилпропил)-2,5-диоксо-1-(2-фенилэтил)-4-имидазолидинацетамид, 2k) N-гидрокси-4-(2-метилпропил)-2,5-диоксо-1-(2-фенилэтил)-4-имидазолидинацетамид, 2l) N-гидрокси-4-(2-метилпропил)-5-оксо-1-(2-фенилэтил)-4-пиразолидинацетамидмоногидрохлорид, 2m) [S-(R*, R*)] -N3-гидрокси-3-(2-метилпропил)-2-оксо-N1-фенил- 1-(фенилметил)-1,3-пирролидиндиацетамид,2n) [S-(R*,R*)]-N3-гидрокси-3-(2-метилпропил)-2-оксо- 1-(фенилметил)-N1-(2-пиридинилметил)-1,3-пирролидиндиацетамид,2o) [S-(R*,R*)]-N3-гидрокси-3-(2-метилпропил)-2-оксо- 1-(фенилметил)-N1-(4-пиридинил)-1,3-пирролидиндиацетамид,2p) [S-(R*, R*)] -N1-(4-фторфенил)-N3-гидрокси-3-(2-метилпропил)-2-оксо- 1-(фенилметил)-1,3-пирролидиндиацетамид,2q) [S-(R*,R*)]-N3-гидрокси-3-(2-метилпропил)-2-оксо- 1-(фенилметил)-N1-[1-(фенилметил)-4-пиперидинил)-1,3-пирролидиндиацетамид,2r) [S-(R*,R*)]-N3-гидрокси-3-(2-метилпропил)-2-оксо- 1-(фенилметил)-N1-(4-пиперидинил)-1,3-пирролидиндиацетамид,2s) [S-(R*,R*)]-N3-гидрокси-3-(2-метилпропил)-2-оксо- 1-(фенилметил)-N1-(4-пиридинилметил)-1,3-пирролидиндиацетамид,2t) [S-(R*, R*)] -N1-(4-фторфенилметил)-N3-гидрокси-3-(2-метилпропил)-2-оксо- 1-(фенилметил)-1,3-пирролидиндиацетамид,2u) [S-(R*, R*)] -N3-гидрокси-N1-метил-3-(2-метилпропил)-2-оксо- 1-(2-фенилэтил)-1,3-пирролидиндиацетамид,2v) [S-(R*,R*)]-N3-гидрокси-3-(2-метилпропил)-2-оксо- 1-(2-фенилэтил)-N1-(фенилметил)-1,3-пирролидиндиацетамид,2w) [S-(R*,R*)]-N3-гидрокси- 1-3-бис-(2-метилпропил)-2-оксо-N1-2-пиридинил-1,3-пирролидиндиацетамид,2x) [S-(R*, R*)] – 1-циклогексил-N3-гидрокси-N1-метил-3-(2-метилпропил)-2-оксо-1,3-пирролидиндиацетамид,2y) [S-(R*,R*)]- 1-циклогексил-N3-гидрокси-3-(2-метилпропил)-2-оксо-1,3-N1-2-пиридинил-1,3-пирролидиндиацетамид,3a) [S-(R*, R*)] -3-(циклопентилметил)-N3-гидрокси-N1-метил-2-оксо- 1-(фенилметил)-1,3-пирролидиндиацетамид,3b)[3S-[1(R*),3R*(R*)]]- 3-[2-(бензоиламино)этил]-N3-гидрокси-N1-метил-3-(2-метилпропил)-2-оксо- 1-(фенилметил)-1,3-пирролидиндиацетамид,3c) [S-(R*,R*)]-N3-гидрокси-3-(2-метилпропил)-N1-[2-(4-морфолинил)этил] -2-оксо- 1-(фенилметил)-1,3-пирролидиндиацетамид,3d) [S-(R*, R*)]-N-гидрокси-3-(2-метилпропил)-1-[2-(4-морфолинил)-2-оксо-1-(фенилметил)этил]-2-оксо-3-пирролидинацетамид, 3e) [1(1S)-[1[R*(R*)],3 ,5 ]]-1-[2-(3,5-диметил-1-пиперазинил)-2-оксо-1-(фенилметил)этил] -N-гидрокси-3-(2-метилпропил)-2-оксо-3-пирролидинацетамид,3f)[S-(R*,R*)]-N3-гидрокси-3-(2-метилпропил)-2-оксо- 1-(фенилметил)-N1-2-пиридинил-1,3-пирролидиндиацетамид,3g) [3S-[1(R*), 3R*(R*)] ] – 3-[2-(1,3-дигидро-1,3-диоксо-2H-изоиндол-2-ил)этил]-N3-гидрокси-N1-метил-3-(2-метилпропил)-2-оксо- 1-(фенилметил)-1,3-пирролидиндиацетамид,3h) [S-(R*, R*)] – 1-циклогексил-N1-циклопропилметил-N3-гидрокси-3-(2-метилпропил)-2-оксо-1,3-пирролидиндиацетамид,3i) [S-(R*, R*)] – 1-циклогексил-N1-(4-фторфенил)-N3-гидрокси-3-(2-метилпропил)-2-оксо-1,3-пирролидиндиацетамид,3j)[S-(R*,R*)]- 1-трет-бутил-N3-гидрокси-N1-метил-3-(2-метилпропил)-2-оксо-1,3-пирролидиндиацетамид,3k) N-гидрокси-3-(2-метилпропил)-2-оксо-1-(2-фенилэтил)- -[2-(5-пропилокси-1,3-дигидро-1,3-диоксо-2H-изоиндол-2-ил)этил]-3-пирролидинацетамид,3l) [R-(R*, S*)]-5-фтор-1,3-дигидро-N-гидрокси- -[3-(2-метилпропил)-2-оксо-1-(2-фенилэтил)-3-пирролидинил]-1,3-диоксо-2H-изоиндол-2-бутанамид,3m) -[2-(5,6-дифтор-1,3-дигидро-1,3-диоксо-2H-изоиндол-2ил)этил] -N-гидрокси-3-(2-метилпропил)-2-оксо-1-(2-фенилэтил)-3-пирролидинацетамид, 3n) N-гидрокси-3-(2-метилпропил)-2-оксо-1-(2-фенилэтил)- -[2-(5-трифторметил-1,3-дигидро-1,3-диоксо-2H-изоиндол-2-ил)этил]-3-пирролидинацетамид,3o) -[2-(1,3,4,5,6,7-гексагидро-1,3-диоксо-2H-изоиндол-2-ил)этил]-N-гидрокси-3-(2-метилпропил)-2-оксо-1-(2-фенилэтил)-3-пирролидинацетамид,3p) -[2-(1,3-дигидро-1,3-диоксо-2H-изоиндол-2-ил)этил] -N-гидрокси-3-(2-метилпропил)-2-оксо-1-(3-фенилпропил)-3-пирролидинацетамид,3q) 1-[2-(4-фторфенил)этил]- -[2-(1,3-дигидро-1,3-диоксо-2H-изоиндол-2-ил)этил]-N-гидрокси-3-(2-метилпропил)-2-оксо-3-пирролидинацетамид,3r) -[2-(o-бензойный сульфимид)этил]-N-гидрокси-3-(2-метилпропил)-2-оксо-1-(2-фенилэтил)-3-пирролидинацетамид,3s) этилфенилметил-[4-(гидроксиамино)-3-[3-(2-метилпропил)-2-оксо-1-(2-фенилэтил)-3-пирролидинил]-4-оксобутил]имидодикарбонат, 3t) [S-(R*, R*)] -1,3-дигидро-N-гидрокси- -[3-(2-метилпропил)-2-оксо-1-(2-фенилэтил)-3-пирролидинил]-1,3-диоксо-2H-изоиндол-2-бутанамид,3u) 1,3-дигидро-N-гидрокси- -[3-(2-метилпропил)-2-оксо-1-[2-(4-фторфенил)этил]-3-пирролидинил]-1,3-диоксо-2H-изоиндол-2-бутанамид,3v) -[2-[(3,4-дифторбензоил)амино]этил]-N-гидрокси-3-(2-метилпропил)-2-оксо-1-(2-фенилэтил)-3-пирролидинацетамид,3w) [R-(R*, S*)] – -[2-[(3-фторбензоил)амино] этил]-N-гидрокси-3-(2-метилпропил)-2-оксо-1-(2-фенилэтил)-3-пирролидинацетамид,3x) -[2-[(4-фторбензоил)амино] этил] -N-гидрокси-3-(2-метилпропил)-2-оксо-1-(2-фенилэтил)-3-пирролидинацетамид,3y) N-гидрокси-3-(2-метилпропил)- -[2-[(3-нитробензоил)амино] этил]-2-оксо-1-(2-фенилэтил)-3-пирролидинацетамид,3z) -[2-[(3-фторбензоил)амино] этил] -N-гидрокси-3-(2-метилпропил)-2-оксо-1-(2-фенилэтил)-3-пирролидинацетамид,4a) -[2-[(3-фторбензоил)амино] этил]-1-[2-(4-фторфенил)этил]-N-гидрокси-3-(2-метилпропил)-2-оксо-3-пирролидинацетамид,4b) -[2-[(4-бифенилкарбонил)амино]этил]-N-гидрокси-3-(2-метилпропил)-2-оксо-1-(2-фенилэтил)-3-пирролидинацетамид,4c) N-гидрокси- -[2-[[(4-метилфенил)сульфонил] амино]этил]-3-(2-метилпропил)-2-оксо-1-(2-фенилэтил)-3-пирролидинацетамид,4d) -[2-[[(4-фторфенил)сульфонил] амино] этил]-N-гидрокси-3-(2-метилпропил)-2-оксо-1-(2-фенилэтил)-3-пирролидинацетамид,4e) N-гидрокси- -[2-[[(4-метоксифенил)сульфонил] амино] этил] -3-(2-метилпропил)-2-оксо-1-(2-фенилэтил)-3-пирролидинацетамид,4f) N-гидрокси-3-(2-метилпропил)-2-оксо-1-(2-фенилэтил)- -[2-[(фенилсульфонил)амино]этил]-3-пирролидинацетамид,4g) [R-(R*, S*)]- -[2-[[(4-фторфенил)сульфонил]амино]этил]-N-гидрокси-3-(2-метилпропил)-2-оксо-1-(2-фенилэтил)-3-пирролидинацетамид,4h) 5,6-дифтор-1,3-дигидро-N-гидрокси- -[3-(2-метилпропил)-2-оксо-1-(2-фенилэтил)-3-пирролидинил]-1-оксо-2H-изоиндол-2-бутанамид,4i) 1,3-дигидро-N-гидрокси- -[3-(2-метилпропил)-2-оксо-1-(2-фенилэтил)-3-пирролидинил]-1-оксо-2H-изоиндол-2-бутанамид,4j) [R-(R*, S*)]-6-фтор-1,3-дигидро-N-гидрокси- -[3-(2-метилпропил)-2-оксо-1-(2-фенилэтил)-3-пирролидинил]-1-оксо-2H-изоиндол-2-бутанамид,4k) [R-(R*, S*)]-5-фтор-1,3-дигидро-N-гидрокси- -[3-(2-метилпропил)-2-оксо-1-(2-фенилэтил)-3-пирролидинил]-1-оксо-2H-изоиндол-2-бутанамид,4l) [R-(R*,S*)]-5,6-дифтор-1,3-дигидро-N-гидрокси- -[3-(2-метилпропил)-2-оксо-1-(2-фенилэтил)-3-пирролидинил]-1-оксо-2H-изоиндол-2-бутанамид,4m) N-гидрокси- -[[[(4-метоксифенил)сульфонил] амино] метил] -3-(2-метилпропил)-2-оксо-1-(2-фенилэтил)-3-пирролидинацетамид ( R-диастереомер),4n) N-гидрокси- -[[[(4-метоксифенил)сульфонил] амино] метил] -3-(2-метилпропил)-2-оксо-1-(2-фенилэтил)-3-пирролидинацетамид ( S-диастереомер),4o) -[[(4-фторфенил)сульфонил] амино]-N-гидрокси-3-(2-метилпропил)-2-оксо-1-(2-фенилэтил)-3-пирролидинацетамид(R-диастереомер),4p) -[[(4-фторфенил)сульфонил] амино]-N-гидрокси-3-(2-метилпропил)-2-оксо-1-(2-фенилэтил)-3-пирролидинацетамид ( S-диастереомер),4q) -[2-[(3,4-дифторбензоил)амино] этил] -N-гидрокси-3-(3-гидроксипропил)-2-оксо-1-(2-фенилэтил)-3-пирролидинацетамид,4r) -[2-[(3,4-дифторбензоил)амино] этил] -N-гидрокси-3-(2-гидроксиэтил)-2-оксо-1-(2-фенилэтил)-3-пирролидинацетамид,4s) [R-(R*, S*)] – -[2-[(3-фторбензоил)амино]этил]-N-гидрокси-3-(3-гидроксипропил)-2-оксо-1-(2-фенилэтил)-3-пирролидинацетамид,4t)[S-(R*,R*)]-N3-гидрокси-N1-метил- 1-(1-метилэтил)-3-(2-метилпропил)-2-оксо-1,3-пирролидиндиацетамид,4u) [S-(R*, R*)] -N1-циклопропил-N3-гидрокси- 1-(1-метилэтил)-3-(2-метилпропил)-2-оксо-1,3-пирролидиндиацетамид,4v) [S-(R*, R*)] -N3-гидрокси- 1-(1-метилэтил)-3-(2-метилпропил)-2-оксо-N1-фенил-1,3-пирролидиндиацетамид,4w) [S-(R*, R*)] -N1-(4-фторфенил)-N3-гидрокси- 1-(1-метилэтил)-3-(2-метилпропил)-2-оксо-1,3-пирролидиндиацетамид,4x) [S-(R*,R*)]-N3-гидрокси- 1-(1-метилэтил)-3-(2-метилпропил)-2-оксо-N1-(4-пиридинил)-1,3-пирролидиндиацетамид,4y) [S-(R*,R*)]- 1-трет-бутил-N1-циклопропил-N3-гидрокси-3-(2-метилпропил)-2-оксо-1,3-пирролидиндиацетамид,4z) [S-(R*,R*)]- 1-трет-бутил-N3-гидрокси-3-(2-метилпропил)-2-оксо-N1-фенил-1,3-пирролидиндиацетамид,5a) [S-(R*, R*)] – 1-трет-бутил-N1-(4-фторфенил)-N3-гидрокси-3-(2-метилпропил)-2-оксо-1,3-пирролидиндиацетамид,5b) [S-(R*, R*)] – 1-трет-бутил-N3-гидрокси-3-(2-метилпропил)-2-оксо-N1-(4-пиридинил)-1,3-пирролидиндиацетамид,5c) [S-(R*, R*)] – 1-циклогексил-N3-гидрокси-3-(2-метилпропил)-2-оксо-N1-фенил-1,3-пирролидиндиацетамид,5d)[S-(R*,R*)]- 1-циклогексил-N3-гидрокси-3-(2-метилпропил)-2-оксо-N1-(4-пиридинил)-1,3-пирролидиндиацетамид,5e) [S-(R*,R*)]-3-(циклопентилметил)-N3-гидрокси-N1-метил- 1-(1-метилэтил)-2-оксо-1,3-пирролидиндиацетамид,5f) [S-(R*,R*)]-3-(циклопентилметил)-N1-циклопропил-N3-гидрокси- 1-(1-метилэтил)-2-оксо-1,3-пирролидиндиацетамид,5g) [S-(R*,R*)]-3-(циклопентилметил)-N3-гидрокси- 1-(1-метилэтил)-2-оксо-N1-фенил-1,3-пирролидиндиацетамид,5h) [S-(R*, R*)] -3-(циклопентилметил)-N1-(4-фторфенил)-N3-гидрокси- 1-(1-метилэтил)-2-оксо-1,3-пирролидиндиацетамид,5i) [S-(R*, R*)] -3-(циклопентилметил)-N3-гидрокси- 1-(1-метилэтил)-2-оксо-N1-(4-пиридинил)-1,3-пирролидиндиацетамид,5j)[S-(R*,R*)]- 1-трет-бутил-3-(циклопентилметил)-N3-гидрокси-N1-метил-2-оксо-1,3-пирролидиндиацетамид,5k) [S-(R*, R*)] – 1-трет-бутил-3-(циклопентилметил)-N1-циклопропил-N3-гидрокси-2-оксо-1,3-пирролидиндиацетамид,5l) [S-(R*,R*)]- 1-трет-бутил-3-(циклопентилметил)-N3-гидрокси-2-оксо-N1-фенил-1,3-пирролидиндиацетамид,5m) [S-(R*, R*)] – 1-трет-бутил-3-(циклопентилметил)-N1-(4-фторфенил)-N3-гидрокси-2-оксо-1,3-пирролидиндиацетамид,5n) [S-(R*,R*)]- 1-трет-бутил-3-(циклопентилметил)-N3-гидрокси-2-оксо-N1-(4-пиридинил)-1,3-пирролидиндиацетамид,5o) [S-(R*,R*)]- 1-циклогексил-3-(циклопентилметил)-N3-гидрокси-N1-метил-2-оксо-1,3-пирролидиндиацетамид,5p) [S-(R*, R*)] – 1-циклогексил-3-(циклопентилметил)-N1-циклопропил-N3-гидрокси-2-оксо-1,3-пирролидиндиацетамид,5q) [S-(R*,R*)]- 1-циклогексил-3-(циклопентилметил)-N3-гидрокси-2-оксо-N1-фенил-1,3-пирролидиндиацетамид,5r) [S-(R*, R*)]- 1-циклогексил-3-(циклопентилметил)-N1-(4-фторфенил)-N3-гидрокси-2-оксо-1,3-пирролидиндиацетамид,5s) [S-(R*, R*)]- 1-циклогексил-3-(циклопентилметил)-N3-гидрокси-2-оксо-N1-(4-пиридинил)-1,3-пирролидиндиацетамид,5t) [S-(R*, R*)] -N3-гидрокси-N1-метил- 1-(1-метилэтил)-2-оксо-3-(3-фенилпропил)-1,3-пирролидиндиацетамид,5u) [S-(R*, R*)] -N1-циклопропил-N3-гидрокси- 1-(1-метилэтил)-2-оксо-3-(3-фенилпропил)-1,3-пирролидиндиацетамид,5v) [S-(R*, R*)] -N3-гидрокси- 1-(1-метилэтил)-2-оксо-N1-фенил-3-(3-фенилпропил)-1,3-пирролидиндиацетамид,5w)[S-(R*,R*)]-N1-(4-фторфенил)-N3-гидрокси- 1-(1-метилэтил)-2-оксо-3-(3-фенилпропил)-1,3-пирролидиндиацетамид,5x) [S-(R*,R*)]-N3-гидрокси- 1-(1-метилэтил)-2-оксо-3-(3-фенилпропил)-N1-(4-пиридинил)-1,3-пирролидиндиацетамид,5y) [S-(R*,R*)]- 1-трет-бутил-N3-гидрокси-N1-метил-2-оксо-3-(3-фенилпропил)-1,3-пирролидиндиацетамид,5z) [S-(R*, R*)]- 1-трет-бутил-N1-циклопропил-N3-гидрокси-2-оксо-3-(3-фенилпропил)-1,3-пирролидиндиацетамид,6a) [S-(R*,R*)]- 1-трет-бутил-N3-гидрокси-2-оксо-N1-фенил-3-(3-фенилпропил)-1,3-пирролидиндиацетамид,6b) [S-(R*,R*)]- 1-трет-бутил-N1-(4-фторфенил)-N3-гидрокси-2-оксо-3-(3-фенилпропил)-1,3-пирролидиндиацетамид,6c) [S-(R*, R*)] – 1-трет-бутил-N3-гидрокси-2-оксо-3-(3-фенилпропил)-N1-(4-пиридинил)-1,3-пирролидиндиацетамид,6d) [S-(R*, R*)] – 1-циклогексил-N3-гидрокси-N1-метил-2-оксо-3-(3-фенилпропил)-1,3-пирролидиндиацетамид,6e) [S-(R*,R*)]- 1-циклогексил-N1-циклопропил-N3-гидрокси-2-оксо-3-(3-фенилпропил)-1,3-пирролидиндиацетамид,6f) [S-(R*, R*)] – 1-циклогексил-N3-гидрокси-2-оксо-N1-фенил-3-(3-фенилпропил)-1,3-пирролидиндиацетамид,6g) [S-(R*, R*)] – 1-циклогексил-N1-(4-фторфенил)-N3-гидрокси-2-оксо-3-(3-фенилпропил)-1,3-пирролидиндиацетамид,6h)[S-(R*,R*)]- 1-циклогексил-N3-гидрокси-2-оксо-3-(3-фенилпропил)-N1-(4-пиридинил)-1,3-пирролидиндиацетамид,6i) [S-(R*, R*)]-3-[3-(4-фторфенил)пропил]-N3-гидрокси-N1-метил- 1-(1-метилэтил)-2-оксо-1,3-пирролидиндиацетамид,6j) [S-(R*, R*)]-N1-циклопропил-3-[3-(4-фторфенил)пропил]-N3-гидрокси- 1-(1-метилэтил)-2-оксо-1,3-пирролидиндиацетамид,6k) [S-(R*,R*)]-3-[3-(4-фторфенил)пропил]-N3-гидрокси- 1-(1-метилэтил)-2-оксо-N1-фенил-1,3-пирролидиндиацетамид,6l) [S-(R*,R*)]-N1-(4-фторфенил)-3-[3-(4-фторфенил)пропил]-N3-гидрокси- 1-(1-метилэтил)-2-оксо-1,3-пирролидиндиацетамид,6m) [S-(R*, R*)] -3-[3-(4-фторфенил)пропил] -N3-гидрокси- 1-(1-метилэтил)-2-оксо-N1-(4-пиридинил)-1,3-пирролидиндиацетамид,6n) [S-(R*,R*)]- 1-трет-бутил-3-[3-(4-фторфенил)пропил]-N3-гидрокси-N1-метил-2-оксо-1,3-пирролидиндиацетамид,6o) [S-(R*, R*)]- 1-трет-бутил-N1-циклопропил-3-[3-(4-фторфенил)пропил] -N3-гидрокси-2-оксо-1,3-пирролидиндиацетамид,6p) [S-(R*,R*)]- 1-трет-бутил-3-[3-(4-фторфенил)пропил]-N3-гидрокси-2-оксо-N1-фенил-1,3-пирролидиндиацетамид,6q) [S-(R*,R*)]- 1-трет-бутил-N1-(4-фторфенил)-3-[3-(4-фторфенил)пропил] -N3-гидрокси-2-оксо-1,3-пирролидиндиацетамид,6r) [S-(R*,R*)]- 1-трет-бутил-3-[3-(4-фторфенил)пропил]-N3-гидрокси-2-оксо-N1-(4-пиридинил)-1,3-пирролидиндиацетамид,6s) [S-(R*,R*)]- 1-циклогексил-3-[3-(4-фторфенил)пропил]-N3-гидрокси-N1-метил-2-оксо-1,3-пирролидиндиацетамид,6t) [S-(R*,R*)]- 1-циклогексил-N1-циклопропил-3-[3-(4-фторфенил)пропил] -N3-гидрокси-2-оксо-1,3-пирролидиндиацетамид,6u) [S-(R*,R*)]- 1-циклогексил-3-[3-(4-фторфенил)пропил]-N3-гидрокси-2-оксо-N1-фенил-1,3-пирролидиндиацетамид,6v) [S-(R*, R*)] – 1-циклогексил-N1-(4-фторфенил)-3-[3-(4-фторфенил)пропил]-N3-гидрокси-2-оксо-1,3-пирролидиндиацетамид,6w) [S-(R*,R*)]- 1-циклогексил-3-[3-(4-фторфенил)пропил]-N3-гидрокси-2-оксо-N1-(4-пиридинил)-1,3-пирролидиндиацетамид,6x) [S-(R*, R*)] -3-[3-(бифен-4-ил)пропил]-N3-гидрокси-N1-метил- 1-(1-метилэтил)-2-оксо-1,3-пирролидиндиацетамид,6y) [S-(R*, R*)] -3-[3-(бифен-4-ил)пропил] -N1-циклопропил-N3-гидрокси- 1-(1-метилэтил)-2-оксо-1,3-пирролидиндиацетамид,6z) [S-(R*,R*)]-3-[3-(бифен-4-ил)пропил]-N3-гидрокси- 1-(1-метилэтил)-2-оксо-N1-фенил-1,3-пирролидиндиацетамид,7a) [S-(R*,R*)]-3-[3-(бифен-4-ил)пропил]-N1-(4-фторфенил)-N3-гидрокси- 1-(1-метилэтил)-2-оксо-1,3-пирролидиндиацетамид,7b) [S-(R*, R*)] -3-[3-(бифен-4-ил)пропил] -N3-гидрокси- 1-(1-метилэтил)-2-оксо-N1-(4-пиридинил)-1,3-пирролидиндиацетамид,7c) [S-(R*,R*)]-3-[3-(бифен-4-ил)пропил]- 1-трет-бутил-N3-гидрокси-N1-метил-2-оксо-1,3-пирролидиндиацетамид,7d) [S-(R*,R*)]-3-[3-(бифен-4-ил)пропил]- 1-трет-бутил-N1-циклопропил-N3-гидрокси-2-оксо-1,3-пирролидиндиацетамид,7e) [S-(R*, R*)] -3-[3-(бифен-4-ил)пропил] – 1-трет-бутил-N3-гидрокси-2-оксо-N1-фенил-1,3-пирролидиндиацетамид,7f) [S-(R*, R*)] -3-[3-(бифен-4-ил)пропил] – 1-трет-бутил-N1-(4-фторфенил)-N3-гидрокси-2-оксо-1,3-пирролидиндиацетамид,7g) [S-(R*, R*)] -3-[3-(бифен-4-ил)пропил] – 1-трет-бутил-N3-гидрокси-2-оксо-N1-(4-пиридинил)-1,3-пирролидиндиацетамид,7h) [S-(R*, R*)] -3-[3-(бифен-4-ил)пропил]- 1-циклогексил-N3-гидрокси-N1-метил-2-оксо-1,3-пирролидиндиацетамид,7i) [S-(R*,R*)]-3-[3-(бифен-4-ил)пропил]- 1-циклогексил-N1-циклопропил-N3-гидрокси-2-оксо-1,3-пирролидиндиацетамид,7j) [S-(R*,R*)]-3-[3-(бифен-4-ил)пропил]- 1-циклогексил-N3-гидрокси-2-оксо-N1-фенил-1,3-пирролидиндиацетамид,7k) [S-(R*, R*)] -3-[3-(бифен-4-ил)пропил] – 1-циклогексил-N1-(4-фторфенил)-N3-гидрокси-2-оксо-1,3-пирролидиндиацетамид,7l) [S-(R*, R*)] -3-[3-(бифен-4-ил)пропил]- 1-циклогексил-N3-гидрокси-2-оксо-N1-(4-пиридинил)-1,3-пирролидиндиацетамид,7m)[S-(R*,R*)]-3-[3-(4′-фторбифен-4-ил)пропил]-N3-гидрокси-N1-метил- 1-(1-метилэтил)-2-оксо-1,3-пирролидиндиацетамид,7n) [S-(R*, R*)] -3-[3-(4′-фторбифен-4-ил)пропил] -N1-циклопропил-N3-гидрокси- 1-(1-метилэтил)-2-оксо-1,3-пирролидиндиацетамид,7o) [S-(R*, R*)] -3-[3-(4′-фторбифен-4-ил)пропил] -N3-гидрокси- 1-(1-метилэтил)-2-оксо-N1-фенил-1,3-пирролидиндиацетамид,7p) [S-(R*, R*)] -3-[3-(4′-фторбифен-4-ил)пропил] -N1-(4-фторфенил)-N3-гидрокси- 1-(1-метилэтил)-2-оксо-1,3-пирролидиндиацетамид,7q) [S-(R*, R*)] -3-[3-(4′-фторбифен-4-ил)пропил]-N3-гидрокси- 1-(1-метилэтил)-2-оксо-N1-(4-пиридинил)-1,3-пирролидиндиацетамид,7r) [S-(R*, R*)] – 1-трет-бутил-3-[3-(4′-фторбифен-4-ил)пропил] -N3-гидрокси-N1-метил-2-оксо-1,3-пирролидиндиацетамид,7s) [S-(R*, R*)] – 1-трет-бутил-N1-циклопропил-3-[3-(4′-фторбифен-4-ил)пропил]-N3-гидрокси-2-оксо-1,3-пирролидиндиацетамид,7t) [S-(R*, R*)] – 1-трет-бутил-3-[3-(4′-фторбифен-4-ил)пропил] -N3-гидрокси-2-оксо-N1-фенил-1,3-пирролидиндиацетамид,7u) [S-(R*, R*)] – 1-трет-бутил-3-[3-(4′-фторбифен-4-ил)пропил]-N1-(4-фторфенил)-N3-гидрокси-2-оксо-1,3-пирролидиндиацетамид,7v) [S-(R*, R*)] – 1-трет-бутил-3-[3-(4′-фторбифен-4-ил)пропил] -N3-гидрокси-2-оксо-N1-(4-пиридинил)-1,3-пирролидиндиацетамид,7w) [S-(R*, R*)] – 1-циклогексил-3-[3-(4′-фторбифен-4-ил)пропил] -N3-гидрокси-N1-метил-2-оксо-1,3-пирролидиндиацетамид,7x) [S-(R*, R*)] – 1-циклогексил-N1-циклопропил-3-[3-(4′-фторбифен-4-ил)пропил]-N3-гидрокси-2-оксо-1,3-пирролидиндиацетамид,7y) [S-(R*, R*)] – 1-циклогексил-3-[3-(4′-фторбифен-4-ил)пропил] -N3-гидрокси-2-оксо-N1-фенил-1,3-пирролидиндиацетамид,7z) [S-(R*, R*)]- 1-циклогексил-3-[3-(4′-фторбифен-4-ил)пропил]-N1-(4-фторфенил)-N3-гидрокси-2-оксо-1,3-пирролидиндиацетамид,8a) [S-(R*, R*)] – 1-циклогексил-3-[3-(4′-фторбифен-4-ил)пропил] -N3-гидрокси-2-оксо-N1-(4-пиридинил)-1,3-пирролидиндиацетамид,8b)[S-(R*,R*)]-3-гептил-N3-гидрокси-N1-метил- 1-(1-метилэтил)-2-оксо-1,3-пирролидиндиацетамид,8c) [S-(R*,R*)]-N1-циклопропил-3-гептил-N3-гидрокси- 1-(1-метилэтил)-2-оксо-1,3-пирролидиндиацетамид,8d)[S-(R*,R*)]-3-гептил-N3-гидрокси- 1-(1-метилэтил)-2-оксо-N1-фенил-1,3-пирролидиндиацетамид,8e) [S-(R*, R*)] -3-гептил-N1-(4-фторфенил)-N3-гидрокси- 1-(1-метилэтил)-2-оксо-1,3-пирролидиндиацетамид,8f) [S-(R*, R*)] -3-гептил-N3-гидрокси- 1-(1-метилэтил)-2-оксо-N1-(4-пиридинил)-1,3-пирролидиндиацетамид,8g) [S-(R*,R*)]- 1-трет-бутил-3-гептил-N3-гидрокси-N1-метил-2-оксо-1,3-пирролидиндиацетамид,8h) [S-(R*, R*)] – 1-трет-бутил-N1-циклопропил-3-гептил-N3-гидрокси-2-оксо-1,3-пирролидиндиацетамид,8i) [S-(R*,R*)]- 1-трет-бутил-3-гептил-N3-гидрокси-2-оксо-N1-фенил-1,3-пирролидиндиацетамид,8j) [S-(R*,R*)]- 1-трет-бутил-N1-(4-фторфенил)-3-гептил-N3-гидрокси-2-оксо-1,3-пирролидиндиацетамид,8k) [S-(R*,R*)]- 1-трет-бутил-3-гептил-N3-гидрокси-2-оксо-N1-(4-пиридинил)-1,3-пирролидиндиацетамид,8l) [S-(R*, R*)] – 1-циклогексил-3-гептил-N3-гидрокси-N1-метил-2-оксо-1,3-пирролидиндиацетамид,8m)[S-(R*,R*)]- 1-циклогексил-N1-циклопропил-3-гептил-N3-гидрокси-2-оксо-1,3-пирролидиндиацетамид,8n) [S-(R*, R*)] – 1-циклогексил-3-гептил-N3-гидрокси-2-оксо-N1-фенил-1,3-пирролидиндиацетамид,8o) [S-(R*,R*)]- 1-циклогексил-3-гептил-N1-(4-фторфенил)-N3-гидрокси-2-оксо-1,3-пирролидиндиацетамид,8p)[S-(R*,R*)]- 1-циклогексил-3-гептил-N3-гидрокси-2-оксо-N1-(4-пиридинил)-1,3-пирролидиндиацетамида.
13. Соединение по п.12, которое представляет собой1a) (3S)- -[2-(1,3-дигидро-1,3-диоксо-2H-изоиндол-2-ил)этил] -N-гидрокси-3-(2-метилпропил)-2-оксо-1-(2-фенилэтил)-3-пирролидинацетамид,1b) [S, S-(R*,R*)]- 3-[2-(1,3-дигидро-1,3-диоксо-2H-изоиндол-2-ил)этил] -N3-гидрокси-N1-метил-3-(2-метилпропил)-2-оксо- 1-(фенилметил)-1,3-пирролидиндиацетамид,1c) [S-(R*,R*)]-N3-гидрокси-3-(2-метилпропил)-2-оксо-N1-(2-фенэтил)- 1-(фенилметил)-1,3-пирролидиндиацетамид,1d) [S-(R*, R*)] – 1-(циклогексилметил)-N3-гидрокси-N1-метил-3-(2-метилпропил)-2-оксо-1,3-пирролидиндиацетамид,1e) [S-(R*, R*)] -N3-гидрокси-N1-метил-3-(2-метилпропил)-2-оксо- 1-(фенилметил)-1,3-пирролидиндиацетамид,1f) [S-(R*, R*)] -N3-гидрокси-3-(2-метилпропил)-2-оксо-N1-фенил- 1-(фенилметил)-1,3-пирролидиндиацетамид,1g) [S-(R*,R*)]-N3-гидрокси-3-(2-метилпропил)-2-оксо- 1-(фенилметил)-N1-(2-пиридинилметил)-1,3-пирролидиндиацетамид,1h) [S-(R*,R*)]-N3-гидрокси-3-(2-метилпропил)-2-оксо- 1-(фенилметил)-N1-(4-пиридинил)-1,3-пирролидиндиацетамид,1i) [S-(R*,R*)]-N1-(фторфенил)-N3-гидрокси-3-(2-метилпропил)-2-оксо- 1-(фенилметил)-1,3-пирролидиндиацетамид,1j) [S-(R*,R*)]-N3-гидрокси-3-(2-метилпропил)-2-оксо- 1-(фенилметил)-N1-[1-(фенилметил)-4-пиперидинил]-1,3-пирролидиндиацетамид,1k) [S-(R*,R*)]-N3-гидрокси-3-(2-метилпропил)-2-оксо- 1-(фенилметил)-N1-(4-пиперидинил)-1,3-пирролидиндиацетамид,1l) [S-(R*,R*)]-N3-гидрокси-3-(2-метилпропил)-2-оксо- 1-(фенилметил)-N1-(4-пиперидинилметил)-1,3-пирролидиндиацетамид,1m) [S-(R*, R*)] -N1-(4-фторфенилметил)-N3-гидрокси-3-(2-метилпропил)-2-оксо- 1-(фенилметил)-1,3-пирролидиндиацетамид,1n) [S-(R*, R*)] -N3-гидрокси-N1-метил-3-(2-метилпропил)-2-оксо- 1-(2-фенилэтил)-1,3-пирролидиндиацетамид,1o) [S-(R*,R*)]-N3-гидрокси-3-(2-метилпропил)-2-оксо- 1-(2-фенилэтил)-N1-(фенилметил)-1,3-пирролидиндиацетамид,1p) [S-(R*,R*)]-N3-гидрокси- 1-3-бис-(2-метилпропил)-2-оксо-N1-2-пиридинил-1,3-пирролидиндиацетамид,1q) [S-(R*, R*)] – 1-циклогексил-N3-гидрокси-N1-метил-3-(2-метилпропил)-2-оксо-1,3-пирролидиндиацетамид,1r) [S-(R*, R*)] – 1-циклогексил-N3-гидрокси-3-(2-метилпропил)-2-оксо-N1-2-пиридинил-1,3-пирролидиндиацетамид,1s) [S-(R*, R*)] -3-(циклопентилметил)-N3-гидрокси-N1-метил-2-оксо- 1-(фенилметил)-1,3-пирролидиндиацетамид,1t) [S-(R*, R*)] -3-(циклопентилметил)-N3-гидрокси-N1-метил-2-оксо- 1-(фенилметил)-1,3-пирролидиндиацетамид,1u)[3S-[1(R*),3R*(R*)]]- 3-[2-(бензоиламино)этил]-N3-гидрокси-N1-метил-3-(2-метилпропил)-2-оксо- 1-(фенилметил)-1,3-пирролидиндиацетамид,1v) [S-(R*,R*)]-N3-гидрокси-3-(2-метилпропил)-N1-[2-(4-морфолинил)этил] -2-оксо- 1-(фенилметил)-1,3-пирролидиндиацетамид,1w) [S-(R*, R*)]-N-гидрокси-3-(2-метилпропил)-1-[2-(4-морфолинил)-2-оксо-1-(фенилметил)этил]-2-оксо-3-пирролидинацетамид, 1x) [1(1S)-[1[R*(R*)],3 ,5 ]]-1-[2-(3,5-диметил-1-пиперазинил)-2-оксо-1-(фенилметил)этил] -N-гидрокси-3-(2-метилпропил)-2-оксо-3-пирролидинацетамид,1y)[S-(R*,R*)]-N3-гидрокси-3-(2-метилпропил)-2-оксо- 1-(фенилметил)-N1-2-пиридинил-1,3-пирролидиндиацетамид,1z) [3S-[1(R*), 3R*(R*)] ] – 3-[2-(1,3-дигидро-1,3-диоксо-2H-изоиндол-2-ил)этил]-N3-гидрокси-N1-метил-3-(2-метилпропил)-2-оксо- 1-(фенилметил)-1,3-пирролидиндиацетамид,2a) [S-(R*, R*)] – 1-циклогексил-N1-циклопропилметил-N3-гидрокси-3-(2-метилпропил)-2-оксо-1,3-пирролидиндиацетамид,2b) [S-(R*, R*)] – 1-циклогексил-N1-(4-фторфенил)-N3-гидрокси-3-(2-метилпропил)-2-оксо-1,3-пирролидиндиацетамид,2c)[S-(R*,R*)]- 1-трет-бутил-N3-гидрокси-N1-метил-3-(2-метилпропил)-2-оксо-1,3-пирролидиндиацетамид,2d) N-гидрокси-3-(2-метилпропил)-2-оксо-1-(2-фенилэтил)- -[2-(5-пропилокси-1,3-дигидро-1,3-диоксо-2H-изоиндол-2-ил)этил]-3-пирролидинацетамид,2e) [R-(R*, S*)]-5-фтор-1,3-дигидро-N-гидрокси- -[3-(2-метилпропил)-2-оксо-1-(2-фенилэтил)-3-пирролидинил]-1,3-диоксо-2H-изоиндол-2-бутанамид,2f) -[2-(5,6-дифтор-1,3-дигидро-1,3-диоксо-2H-изоиндол-2-ил)этил]-N-гидрокси-3-(2-метилпропил)-2-оксо-1-(2-фенилэтил)-3-пирролидинацетамид,2g) N-гидрокси-3-(2-метилпропил)-2-оксо-1-(2-фенилэтил)- -[2-(5-трифторметил-1,3-дигидро-1,3-диоксо-2H-изоиндол-2-ил)этил]-3-пирролидинацетамид,2h) -[2-(1,3,4,5,6,7-гексагидро-1,3-диоксо-2H-изоиндол-2-ил)этил]-N-гидрокси-3-(2-метилпропил)-2-оксо-1-(2-фенилэтил)-3-пирролидинацетамид,2i) -[2-(1,3-дигидро-1,3-диоксо-2H-изоиндол-2-ил)этил] -N-гидрокси-3-(2-метилпропил)-2-оксо-1-(3-фенилпропил)-3-пирролидинацетамид,2j) 1-{2-(4-фторфенил)этил]- -[2-(1,3-дигидро-1,3-диоксо-2H-изоиндол-2-ил)этил]-N-гидрокси-3-(2-метилпропил)-2-оксо-1-3-пирролидинацетамид,2k) -[2-(o-бензойный сульфимид)этил]-N-гидрокси-3-(2-метилпропил)-2-оксо-1-(2-фенилэтил)-3-пирролидинацетамид,2l) этилфенилметил-[4-(гидроксиамино)-3-[3-(2-метилпропил)-2-оксо-1-(2-фенилэтил)-3-пирролидинил]-4-оксобутил]имидодикарбонат, 2m) [S-(R*, R*)] -1,3-дигидро-N-гидрокси- -[3-(2-метилпропил)-2-оксо-1-(2-фенилэтил)-3-пирролидинил]-1,3-диоксо-2H-изоиндол-2-бутанамид,2n) 1,3-дигидро-N-гидрокси- -[3-(2-метилпропил)-2-оксо-1-[2-(4-фторфенил)этил]-3-пирролидинил]-1,3-диоксо-2H-изоиндол-2-бутанамид,2o) -[2-[(3,4-дифторбензоил)амино] этил-N-гидрокси-3-(2-метилпропил)-2-оксо-1-(2-фенилэтил)-3-пирролидинацетамид,2p) [R-(R*, S*)] – -[2-[(3-фторбензоил)амино] этил]-N-гидрокси-3-(2-метилпропил)-2-оксо-1-(2-фенилэтил)-3-пирролидинацетамид,2q) -[2-[(4-фторбензоил)амино] этил] -N-гидрокси-3-(2-метилпропил)-2-оксо-1-(2-фенилэтил)-3-пирролидинацетамид,2r) N-гидрокси-3-(2-метилпропил)- -[2-[(3-нитробензоил)амино] этил]-2-оксо-1-(2-фенилэтил)-3-пирролидинацетамид,2s) -[2-[(3-фторбензоил)амино] этил] -N-гидрокси-3-(2-метилпропил)-2-оксо-1-(2-фенилэтил)-3-пирролидинацетамид,2t) -[2-[(3-фторбензоил)амино] этил]-1-[2-(4-фторфенил)этил]-N-гидрокси-3-(2-метилпропил)-2-оксо-3-пирролидинацетамид,2u) -[2-[(4-бифенилкарбонил)амино]этил]-N-гидрокси-3-(2-метилпропил)-2-оксо-1-(2-фенилэтил)-3-пирролидинацетамид,2v) N-гидрокси- -[2-[[(4-метилфенил)сульфонил] амино]этил]-3-(2-метилпропил)-2-оксо-1-(2-фенилэтил)-3-пирролидинацетамид,2w) -[2-[[(4-фторфенил)сульфонил] амино] этил]-N-гидрокси-3-(2-метилпропил)-2-оксо-1-(2-фенилэтил)-3-пирролидинацетамид,2x) N-гидрокси- -[2-[[(4-метоксифенил)сульфонил] амино] этил] -3-(2-метилпропил)-2-оксо-1-(2-фенилэтил)-3-пирролидинацетамид,2y) N-гидрокси-3-(2-метилпропил)-2-оксо-1-(2-фенилэтил)- -[2-[(фенилсульфонил)амино]этил]-3-пирролидинацетамид,2z) [R-(R*, S*)]- -[2-[[(4-фторфенил)сульфонил]амино]этил]-N-гидрокси-3-(2-метилпропил)-2-оксо-1-(2-фенилэтил)-3-пирролидинацетамид,3a) 5,6-дифтор-1,3-дигидро-N-гидрокси- -[3-(2-метилпропил)-2-оксо-1-(2-фенилэтил)-3-пирролидинил]-1-оксо-2H-изоиндол-2-бутанамид,3b) 1,3-дигидро-N-гидрокси- -[3-(2-метилпропил)-2-оксо-1-(2-фенилэтил)-3-пирролидинил]-1-оксо-2H-изоиндол-2-бутанамид,3c) [R-(R*, S*)]-6-фтор-1,3-дигидро-N-гидрокси- -[3-(2-метилпропил)-2-оксо-1-(2-фенилэтил)-3-пирролидинил]-1-оксо-2H-изоиндол-2-бутанамид,3d) [R-(R*, S*)]-5-фтор-1,3-дигидро-N-гидрокси- -[3-(2-метилпропил)-2-оксо-1-(2-фенилэтил)-3-пирролидинил]-1-оксо-2H-изоиндол-2-бутанамид,3e) [R-(R*,S*)]-5,6-дифтор-1,3-дигидро-N-гидрокси- -[3-(2-метилпропил)-2-оксо-1-(2-фенилэтил)-3-пирролидинил]-1-оксо-2H-изоиндол-2-бутанамид,3f) N-гидрокси- -[[[(4-метоксифенил)сульфонил] амино] метил] -3-(2-метилпропил)-2-оксо-1-(2-фенилэтил)-3-пирролидинацетамид ( R-диастереомер),3g) N-гидрокси- -[[[(4-метоксифенил)сульфонил] амино] метил] -3-(2-метилпропил)-2-оксо-1-(2-фенилэтил)-3-пирролидинацетамид ( S-диастереомер),3h) -[[(4-фторфенил)сульфонил] амино]-N-гидрокси-3-(2-метилпропил)-2-оксо-1-(2-фенилэтил)-3-пирролидинацетамид (R-диастереомер),3i) -[[(4-фторфенил)сульфонил] амино]-N-гидрокси-3-(2-метилпропил)-2-оксо-1-(2-фенилэтил)-3-пирролидинацетамид ( S-диастереомер),3j) -[2-[(3,4-дифторбензоил)амино] этил] -N-гидрокси-3-(3-гидроксипропил)-2-оксо-1-(2-фенилэтил)-3-пирролидинацетамид,3k) -[2-[(3,4-дифторбензоил)амино] этил] -N-гидрокси-3-(2-гидроксипропил)-2-оксо-1-(2-фенилэтил)-3-пирролидинацетамид или3l) [R-(R*, S*)] – -[2-[(3-фторбензоил)амино]этил]-N-гидрокси-3-(3-гидроксипропил)-2-оксо-1-(2-фенилэтил)-3-пирролидинацетамид.
14. Фармацевтическая композиция, ингибирующая избыток матрицы металлопротеиназы, содержащая активное соединение и фармацевтически приемлемый носитель, отличающаяся тем, что содержит в качестве активного соединения соединение по п.1 в эффективном количестве.
РИСУНКИ
MM4A – Досрочное прекращение действия патента СССР или патента Российской Федерации на изобретение из-за неуплаты в установленный срок пошлины за поддержание патента в силе
Дата прекращения действия патента: 04.03.2006
Извещение опубликовано: 20.12.2007 БИ: 35/2007
|
||||||||||||||||||||||||||

), и, следовательно, могут быть также полезны для лечения воспалительных состояний, лихорадки, острых инфекционных заболеваний и шока.
В Международной публикации N WO95/09841 описаны новые производные гидроксамовой кислоты, производные амидов аминокислот, полезные в качестве ингибиторов секреции TNF и металлопротеаз матрицы, например, для лечения воспалительных состояний, лихорадки или артрита.
В Международной публикации N WO 95/04033-A1 описаны новые производные сукцинимида, полезные в качестве ингибиторов желатиназы и коллагеназы.
В Международной публикации N WO93/21942 описаны ингибиторы металлопротеаз матрицы, полезные для ускорения регрессии опухоли посредством ингибирования пролиферации раковых клеток и ангиогенеза, атеросклероза, карциномы яичника, меланомы и саркомы.
В публикации Европейского патента 0574758A описаны новые производные гидроксамовой кислоты, полезные в качестве ингибиторов коллагеназы для лечения артрита, опухолей, атеросклероза и т.д.
В заявке на патент Великобритании GB2282598A описаны гидроксисукцинилгидроксиамины, полезные для профилактики или лечения заболеваний или состояний, опосредованных металлопротеиназами и/или фактором некроза опухоли.
Данное изобретение относится к новым производным гидроксамовой кислоты, представленным формулой I:










-бутиролактон (50,0 мл, 650 ммоль) и фенетиламин (85,0 мл, 677 ммоль) нагревают в герметичном реакционном сосуде от комнатной температуры до 200oC в течение 2,5 часов, при 280-300oC в течение 2 часов и дают охладиться до комнатной температуры. Реакционную смесь перегоняют (1,5 мм, 130-144oC) с получением 107 г указанного в заголовке соединения, которое затвердевает при стоянии (т. пл. 50,5-52,5oC).
ИК (минеральное масло) 3334, 3079, 3022, 1671, 1634, 1498, 1493, 1433, 1425, 1328, 1280, 1248, 1156, 759, 707 cm-1;
7.10-7.35, 3.53, 3.25, 2.84, 2.35, 1.8-2.0;































-циклогексил-L-аланинметиламида (полученного в соответствии с методикой, сходной с описанной в примере 30, стадии 6), получают указанное в заголовке соединение (т. пл. 150-152oC).
ИК (минеральное масло) 3253, 3194, 3058, 1678, 1643, 1544, 1502, 1409, 1285, 1268, 1259, 1228, 1048, 738, 647 cm-1;
























































































































































































