Патент на изобретение №2168496
|
||||||||||||||||||||||||||
(54) N-БЕНЗИЛ-М-ФЕНОКСИФЕНИЛМЕТАНИМИН В КАЧЕСТВЕ ПРОМОТОРА АДГЕЗИИ РЕЗИНЫ К ТЕКСТИЛЮ И ПРОТИВОУТОМИТЕЛЯ ВУЛКАНИЗАЦИИ КАУЧУКОВ
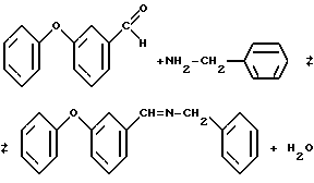
(57) Реферат: Изобретение относится к новому химическому соединению, а именно к N-бензил-м-феноксифенилметанимину, который может быть использован в качестве промотора адгезии резины к текстилю и противоутомителя вулканизации каучуков. Техническим результатом при использовании предлагаемого модификатора является увеличение прочности связи резины с текстилем, а также износостойкости вулканизатов. 2 табл. Изобретение относится к новому химическому соединению, а именно к N-бензил-м-феноксифенилметанимину, который может быть использован в качестве промотора адгезии резины к текстилю и противоутомителя вулканизации каучуков. Известно использование диизоцианата, блокированного меркаптобензтиазолом, в качестве промотора адгезии резины к полиэфирному корду [А.C. CCCH N 547459, МКИ C 08 L 9/00, C 08 K 5/43, 1977]. Однако при эксплуатации резиновых изделий при повышенной температуре ввиду склонности применяемого промотора к полимеризации не обеспечивается высокая прочность связи резины с кордом. Известен также модификатор на основе резотропина [А.С. СССР N 697532, МКИ C 08 L 9/00, C 08 K 5/16, C 08 K 9/04, 1979]. Однако для улучшения теплостойкости и прочностных свойств он дополнительно содержит углеводородный воск и минеральное масло в больших количествах, что приводит к получению вулканизаторов, не обладающих высокой изностойкостью. Известно также использование N-(замещенного оксиметил)-меламина и ароматического спирта с целью повышения адгезии к корду [Патент США N 4038220, МКИ C 08 L 7/00, C 08 L 9/00, 1977]. Однако введение ароматического спирта не улучшает свойства резины ввиду возможности выделения его с поверхности вулканизатора при действии высоких температур. Известны близкие по структуре и строению N-фенил-м-феноксифенилметанимин [Патент РФ N 2116999, МКИ C 07 C 251/24, C 08 K 5/29, 1996], N-o-гидроксифенил-м-феноксифенилметанимин [Патент РФ N 2117000, МКИ C 07 C 251/24, C 08 K 5/29, 1998] , N-n-метоксифенил-м-феноксифенилметанимин [Патент РФ N 2117001, МКИ C 07 C 251/24, C 08 K 5/29, 1998]. Однако указанные соединения используют в качестве противостарителей, сочетающих в себе свойства антиозонантов и противоутомителей. Известно применение продуктов частичной конденсации алкилированных двухатомных фенолов вместе с формальдегидом и аминами в качестве модифицированных добавок для крепления резины к текстильным материалам [А.C. СССР N 384352, МКИ C 08 K 5/04, C 08 K 5/16, 1978]. Однако продукт не имеет постоянного состава, что приводит к расхождению данных по прочности связи резины к текстилю в зависимости от строения и состава. Также при эксплуатации резиновых изделий при повышенной температуре ввиду склонности применяемого промотора к полимеризации не обеспечивается высокая прочность связи резины с кордом. Наиболее близким по структуре и по назначению является гесаметилентетраминрезорцин (резотропин – РУ) (ТУ 6-14-200-76) [Справочник резинщика. -М.: Химия, 1971. -с. 608]. Однако при введении указанного модификатора вулканизаты имеют невысокую прочность связи с текстилем. Задачей предлагаемого изобретения является получение нового промотора адгезии, который при введении в резиновую смесь обеспечивает получение резиновых изделий, имеющих высокую прочность связи резины с текстилем и высокую износостойкость вулканизатов. Техническим результатом при использовании предлагаемого промотора является увеличение прочности связи резины с текстилем, а также износостойкости вулканизатов. Технический результат достигается тем, что в качестве промотора адгезии резины к текстилю и противоутомителя вулканизации каучуков используют новое соединение N-бензил-м-феноксифенилметанимин формулы: ![]() Предлагаемый нами новый N-бензил-м-феноксифенилметанимин (БФФМИ) получают при взаимодействии м-феноксибензальдегида с ароматическим амином, а именно бензиламином. Наличие двойной связи углерод-азот > C-N-, а также системы сопряженных связей увеличивает способность образовывать комплексы с окислами металлов, образующимися на поверхности скрепляемых материалов, что обеспечивает высокую прочность связи резины с текстилем. Наличие системы сопряженных связей, а также наличие в молекуле БФФМИ подвижных иминного и метиленового атомов водорода увеличивает вероятность взаимодействия их с активными кислородсодержащими радикалами углеводорода каучука, который образуется при длительном воздействии термических и механических факторов, что повышает вероятность обрыва окислительных цепей и таким образом, увеличивает износостойкость вулканизации. Проведенный заявителем анализ уровня техники, включающий поиск по патентным и научно-техническим источникам информации и выявление источников, содержащих сведения об аналогах заявляемого изобретения, позволил установить, что заявителем не обнаружен аналог, характеризующийся признаками, идентичными всем существенным признакам заявляемого изобретения, а определение из перечня аналогов прототипа, как наиболее близкого по совокупности признаков аналога, позволило выявить совокупность существенных по отношению к усматриваемому заявителем техническому результату отличительных признаков в заявляемом объекте, изложенных в формуле изобретения. Следовательно, заявленное изобретение соответствует требованию “новизна” по действующему законодательству. Для проверки соответствия заявленного изобретения требованию изобретательского уровня заявитель провел дополнительный поиск известных решений с целью выявления признаков, совпадающих с отличительными от прототипа признаками заявленного изобретения, результаты которого показывают, что заявленное изобретение не следует для специалиста явным образом из известного уровня техники, поскольку из уровня техники, определенного заявителем, не выявлено влияние предусматриваемых существенными признаками заявляемого изобретения преобразований на достижение технического результата. Следовательно, заявленное изобретение соответствует требованию “изобретательский уровень” по действующему законодательству. N-бензил-м-феноксифенилметанимин БФФМИ получают по классической реакции альдегидов с аминами. м-Феноксибензальдегид подвергают взаимодействию с бензиламином в отсутствии растворителя и катализатора при температуре 100-110oC в течение 1,5-2 ч. ![]() БФФМИ очищают перекристаллизацией из этанола. Сточные воды и отходы производства отсутствуют. БФФМИ представляет собой порошок белого цвета, растворимый в диэтиловом эфире, хлороформе, и нерастворимый в воде. БФФМИ практически нетоксичен. Изобретение иллюстрируется следующими примерами. Пример 1. В четырехгорловую колбу, снабженную мешалкой, термометром, обратным холодильником, загружают 15 г (0,076 моля) м-феноксибензальдегида. При перемешивании и комнатной температуре дозируют 8,1 г (0,076 моля) бензиламина. Реакционную смесь выдерживают при t =100-110oC. Конечный продукт очищают перекристаллизацией из этанола. Выход 85%. Т.пл. 49-51oC. Найдено, %: C 82.97, H 5.02, N 4.43. C20H17NO. Вычислено, %: C 83.62, H 5.92, N 4.88. Спектр ПМР (CCl4) , м.д.: 7.00-7.30 м (14H, Ar); 7.85 с (1H, -CH=); 3.44 с (2H, -CH2-). ИК-спектр, , см-1: 1100 (C-O-C); 1630 (CH=N); 3060 (Cap-H); 750 (C-Cap).
Пример 2. N-бензил-м-феноксифенилметанимин испытывают в типовых резинах, состав которых указан в табл. 1. БФФМИ вводят вместо модификатора РУ в количестве 2 мас. ч. на 100 мас. ч. каучука. Физико-механические показатели – условная прочность при растяжении, относительное удлинение, остаточное удлинение определяют в соответствии с ГОСТ 270-75. Усталостную выносливость при многократном растяжении определяют в соответствии с ГОСТ 261-79. Эффективность БФФМИ в качестве промотора адгезии оценивалась в сравнении с модификатором РУ методом расслаивания в соответствии с ГОСТ 6768-75. В качестве текстильного материала использовали вискозную ткань марки А (ТУ 6061129-75) без пропитки и пропитанную латексно-смоляным составом Д-20Ф, состоящим из диметилвинилпиридинового латекса ДМВП-10 и смолы СФ-202. Результаты испытаний представлены в табл. 2.
Как видно из представленных данных, БФФМИ являются эффективным промотором адгезии резины к текстилю. Прочность связи резины с текстилем увеличилась на 18% по сравнению с прототипом, динамическая выносливость при многократном растяжении увеличилась более чем в 1,3 раза. Относительное удлинение увеличилось на 10%, а относительное остаточное удлинение увеличилось на 45%. Остальные показатели остались на прежнем уровне.
Таким образом, вышеизложенные сведения свидетельствуют о выполнении при использовании заявленного изобретения следующей совокупности условий:– средство, воплощающее заявленное изобретение при его использовании, предназначено для использования в качестве промотора адгезии резины к текстилю и противоутомителя вулканизации каучуков; – для заявленного изобретения в том виде, как оно охарактеризовано в формуле изобретения, подтверждена возможность его осуществления с помощью описанных в заявке и известных до даты приоритета средств и методов; – средство, воплощающее заявленное изобретение при его осуществлении, способно обеспечить достижение технического результата. Следовательно, заявленное изобретение соответствует требованию “промышленная применимость”. Формула изобретения
![]() в качестве промотора адгезии резины к текстилю и противоутомителя вулканизации каучуков. РИСУНКИ
MM4A Досрочное прекращение действия патента Российской Федерации на изобретение из-за неуплаты в установленный срок пошлины за поддержание патента в силе
Дата прекращения действия патента: 11.01.2002
Номер и год публикации бюллетеня: 11-2003
Извещение опубликовано: 20.04.2003
|
||||||||||||||||||||||||||



, м.д.: 7.00-7.30 м (14H, Ar); 7.85 с (1H, -CH=); 3.44 с (2H, -CH2-). ИК-спектр,
, см-1: 1100 (C-O-C); 1630 (CH=N); 3060 (Cap-H); 750 (C-Cap).
Пример 2. N-бензил-м-феноксифенилметанимин испытывают в типовых резинах, состав которых указан в табл. 1. БФФМИ вводят вместо модификатора РУ в количестве 2 мас. ч. на 100 мас. ч. каучука. Физико-механические показатели – условная прочность при растяжении, относительное удлинение, остаточное удлинение определяют в соответствии с ГОСТ 270-75. Усталостную выносливость при многократном растяжении определяют в соответствии с ГОСТ 261-79. Эффективность БФФМИ в качестве промотора адгезии оценивалась в сравнении с модификатором РУ методом расслаивания в соответствии с ГОСТ 6768-75. В качестве текстильного материала использовали вискозную ткань марки А (ТУ 6061129-75) без пропитки и пропитанную латексно-смоляным составом Д-20Ф, состоящим из диметилвинилпиридинового латекса ДМВП-10 и смолы СФ-202. Результаты испытаний представлены в табл. 2.
Как видно из представленных данных, БФФМИ являются эффективным промотором адгезии резины к текстилю. Прочность связи резины с текстилем увеличилась на 18% по сравнению с прототипом, динамическая выносливость при многократном растяжении увеличилась более чем в 1,3 раза. Относительное удлинение увеличилось на 10%, а относительное остаточное удлинение увеличилось на 45%. Остальные показатели остались на прежнем уровне.
Таким образом, вышеизложенные сведения свидетельствуют о выполнении при использовании заявленного изобретения следующей совокупности условий: