Патент на изобретение №2168495
|
||||||||||||||||||||||||||
(54) N-п-НИТРОФЕНИЛ-м-ФЕНОКСИФЕНИЛМЕТАНИМИН В КАЧЕСТВЕ ПРОМОТОРА АДГЕЗИИ РЕЗИНЫ К ТЕКСТИЛЮ
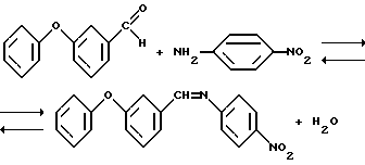
(57) Реферат: Изобретение относится к новому химическому соединению, а именно к N-п-нитрофенил-м-феноксифенилметанимину, который может быть использован в качестве промотора адгезии резины к текстилю. Техническим результатом при использовании предлагаемого модификатора является увеличение прочности связи резины с текстилем. 2 табл. Изобретение относится к новому химическому соединению, а именно к N-п-нитрофенил-м-феноксифенилметанимину, который может быть использован в качестве промотора адгезии резины к текстилю. Известно использование диизоцианата, блокированного меркаптобензтиазолом, в качестве промотора адгезии резины к полиэфирному корду [А.С. СССР N 547459, МКИ C 08 L 9/00, C 06 K 5/43, 1977]. Однако при эксплуатации резиновых изделий при повышенной температуре ввиду склонности применяемого промотора к полимеризации не обеспечивается высокая прочность связи резины с кордом. Известно также использование N-(замещенного оксиметил)-меламина и ароматического спирта с целью повышения адгезии к корду [Патент США N 4038220, МКИ C 08 L 7/00, C 08 L 9/00, 1977]. Однако введение ароматического спирта не улучшает свойства резин ввиду возможности выделения его с поверхности вулканизата при действии высоких температур. Известны близкие по структуре и строению N-фенил-м-феноксифенилметанимин [Патент РФ N 2116999, МКП C 07 C 251/24, C 08 K 5/29, 1998], N-o-гидроксифенил-м-феноксифенилметанимин [Патент РФ N 2117000, МКП C 07 C 251/24, C 08 K 5/29, 1998] , N-п-метоксифенил-м-феноксифенилметанимин [Патент РФ N 2117001, МКП C 07 C 251/24, C 08 K 5/29, 1998]. Однако указанные соединения используют в качестве противостарителей, сочетающих в себе свойства антиозонантов и противоутомителей. Известно применение продуктов частичной конденсации алкилированных двухатомных фенолов вместе с формальдегидом и аминами в качестве модифицирующих добавок для крепления резины к текстильным материалам [А.С. СССР N 384352, МКИ C 08 K 5/04, C 08 K 5/16, 1978]. Однако продукт не имеет постоянного состава, что приводит к расхождению данных по прочности связи резины к текстилю в зависимости от строения и состава. Также при эксплуатации резиновых изделий при повышенной температуре ввиду склонности применяемого промотора к полимеризации не обеспечивается высокая прочность связи резины с кордом. Наиболее близким по структуре и по назначению является гексаметилентетраминрезорцин (резотропин – РУ) (ТУ 6-14-200-76) [Справочник резинщика. -М.: Химия, 1971.- с.608]. Однако при введении указанного модификатора вулканизаты имеют невысокую прочность связи с текстилем. Задачей предлагаемого изобретения является получение нового промотора адгезии, который при введении в резиновую смесь обеспечивает получение резиновых изделий, имеющих высокую прочность связи резины с текстилем. Техническим результатом при использовании предлагаемого промотора является увеличение прочности связи резины с текстилем. Технический результат достигается тем, что в качестве промотора адгезии вулканизации каучуков используют новое соединение N-п-нитрофенил-м-феноксифенилметанимин формулы: ![]() Предлагаемый нами новый N-п-нитрофенил-м-феноксифенилметанимин (НФФМИ) получают при взаимодействии м-феноксибензальдегида с ароматическим амином, а именно п-нитроанилином. Наличие двойной связи углерод-азот > C=N-, а также системы сопряженных связей и электроно-акцепторной группы NO2 увеличивает способность взаимодействовать с каучуком и образовывать подвески, которые улучшают адгезионные свойства каучука, что обеспечивает высокую прочность связи резины с текстилем. Проведенный заявителем анализ уровня техники, включающий поиск по патентным и научно-техническим источникам информации и выявление источников, содержащих сведения об аналогах заявляемого изобретения, позволил установить, что заявителем не обнаружен аналог, характеризующийся признаками, идентичными всем существенным признакам заявляемого изобретения, а определение из перечня аналогов прототипа как наиболее близкого по совокупности признаков аналога позволило выявить совокупность существенных по отношению к усматриваемому заявителем техническому результату отличительных признаков в заявляемом объекте, изложенных в формуле изобретения. Следовательно, заявленное изобретение соответствует требованию “новизна” по действующему законодательству. Для проверки соответствия заявленного изобретения требованию изобретательского уровня заявитель провел дополнительный поиск известных решений с целью выявления признаков, совпадающих с отличительными от прототипа признаками заявленного изобретения, результаты которого показывают, что заявленное изобретение не следует для специалиста явным образом из известного уровня техники, поскольку из уровня техники, определенного заявителем, не выявлено влияние предусматриваемых существенными признаками заявляемого изобретения преобразований на достижение технического результата. Следовательно, заявленное изобретение соответствует требованию “изобретательский уровень” по действующему законодательству. N-п-нитрофенил-м-феноксифенилметанимин НФФМИ получают по классической реакции альдегидов с аминами. м-Феноксибензальдегид подвергают взаимодействию с п-нитроанилином в отсутствии растворителя и катализатора при температуре 100-110oC в течение 1,5-2 часов. ![]() НФФМИ очищают перекристаллизацией из хлороформа. Сточные воды и отходы производства отсутствуют. НФФМИ представляет собой порошок белого цвета, растворимый в диэтиловом эфире, хлороформе и нерастворимый в воде. НФФМИ практически нетоксичен. Изобретение иллюстрируется следующими примерами. Пример 1. В четырехгорлую колбу, снабженную мешалкой, термометром, обратным холодильником, загружают 15 г (0,076 моля) м-феноксибензальдегида. При перемешивании и комнатной температуре дозируют 10,45 г (0.076 моля) п-нитроанилина. Реакционную смесь выдерживают при t=100-110oC. Конечный продукт очищают перекристаллизацией из ЧХУ. Выход 88%. Т.пл. 138-140oC. Найдено, %: C 71.09, H 4.34, N 8.40. C19H14N2O3. Вычислено, %: C 71.69, H 4.40, N 8.81. Спектр ПМР (CCl4), , м.д.: 6.65-7.10 м (13H, Ar); 7.88 с (1H,-CH=). ИК-спектр, , см-1: 1100 (C-O-C); 1630 (CH=N); 3060 (Cap-H); 750 (C-Cap).
Пример 2. N-п-нитрофенил-м-феноксфенилметанимин испытывают в типовых резинах, состав которых указан в таблице 1. НФФМИ вводят вместо модификатора РУ в количестве 2 массовых частей на 100 массовых частей каучука. Физико-механические показатели – условная прочность при растяжении, относительное удлинение, остаточное удлинение определяют в соответствии с ГОСТ 270-75. Эффективность НФФМИ в качестве промотора адгезии оценивалась в сравнении с модификатором РУ методом расслаивания в соответствии с ГОСТ 6768-75. В качестве текстильного материала использовали вискозную ткань марки А (ТУ 6061129-75) без пропитки и пропитанную латексно-смоляным составом Д-20Ф, состоящим из диметилвинилпиридинового латекса ДМВП-10 и смолы СФ-202. Результаты испытаний представлены в таблице 2.
Как видно из представленных данных, НФФМИ является эффективным промотором адгезии резины к текстилю. Прочность связи резины с текстилем увеличилась на 6% по сравнению с прототипом, относительное удлинение увеличилось на 7%, а условная прочность при растяжении увеличилось на 20%. Остальные показатели остались на прежнем уровне.
Таким образом, вышеизложенные сведения свидетельствуют о выполнении при использовании заявленного изобретения следующей совокупности условий:– средство, воплощающее заявленное изобретение при его использовании, предназначено для использования в качестве промотора адгезии резины к текстилю; – для заявленного изобретения в том виде, как оно охарактеризовано в формуле изобретения, подтверждена возможность его осуществления с помощью описанных в заявке и известных до даты приоритета средств и методов; – средство, воплощающее заявленное изобретение при его осуществлении, способно обеспечить достижение технического результата. Следовательно, заявленное изобретение соответствует требованию “промышленная применимость”. Формула изобретения
![]() в качестве промотора адгезии резины к текстилю. РИСУНКИ
MM4A Досрочное прекращение действия патента Российской Федерации на изобретение из-за неуплаты в установленный срок пошлины за поддержание патента в силе
Дата прекращения действия патента: 11.01.2002
Номер и год публикации бюллетеня: 11-2003
Извещение опубликовано: 20.04.2003
|
||||||||||||||||||||||||||



, м.д.: 6.65-7.10 м (13H, Ar); 7.88 с (1H,-CH=). ИК-спектр,
, см-1: 1100 (C-O-C); 1630 (CH=N); 3060 (Cap-H); 750 (C-Cap).
Пример 2. N-п-нитрофенил-м-феноксфенилметанимин испытывают в типовых резинах, состав которых указан в таблице 1. НФФМИ вводят вместо модификатора РУ в количестве 2 массовых частей на 100 массовых частей каучука. Физико-механические показатели – условная прочность при растяжении, относительное удлинение, остаточное удлинение определяют в соответствии с ГОСТ 270-75. Эффективность НФФМИ в качестве промотора адгезии оценивалась в сравнении с модификатором РУ методом расслаивания в соответствии с ГОСТ 6768-75. В качестве текстильного материала использовали вискозную ткань марки А (ТУ 6061129-75) без пропитки и пропитанную латексно-смоляным составом Д-20Ф, состоящим из диметилвинилпиридинового латекса ДМВП-10 и смолы СФ-202. Результаты испытаний представлены в таблице 2.
Как видно из представленных данных, НФФМИ является эффективным промотором адгезии резины к текстилю. Прочность связи резины с текстилем увеличилась на 6% по сравнению с прототипом, относительное удлинение увеличилось на 7%, а условная прочность при растяжении увеличилось на 20%. Остальные показатели остались на прежнем уровне.
Таким образом, вышеизложенные сведения свидетельствуют о выполнении при использовании заявленного изобретения следующей совокупности условий: