Патент на изобретение №2168494
|
||||||||||||||||||||||||||
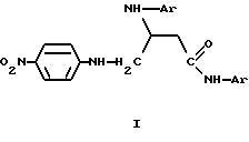
(54) N-АРИЛАМИДЫ-3N-АРИЛАМИНО-4-АМИНО-(4-НИТРОФЕНИЛ)БУТАНОВОЙ КИСЛОТЫ, ОБЛАДАЮЩИЕ СПОСОБНОСТЬЮ АКТИВИРОВАТЬ ПРОРАСТАНИЕ СЕМЯН ПШЕНИЦЫ, И СПОСОБ ИХ ПОЛУЧЕНИЯ
(57) Реферат: Изобретение относится к новым N-ариламидам-3N-ариламино-4-амино-(4-нитрофенил)бутановой кислоты, обладающим способностью активировать прорастание семян пшеницы, формулы I, где Аr = С6Н5 (1), -СН2-С6Н5 (2). Также раскрыт способ получения указанных соединений I взаимодействием анилина, играющего роль и реагента, и растворителя, с 1-(4-нитрофенил)-5Р-пирролин-2-оном в мольном соотношении 1 : амин = 1 : 50. при температуре 50°С, и указанных соединений 2 взаимодействием бензиламина, играющего роль и реагента, и растворителя, с 1-(4-нитрофенил)-5Н-пирролин-2-оном в соотношении 2 : амин = 1 : 48, при температуре 50°С. Изобретение может быть использовано в сельском хозяйстве для получения новых активаторов прорастания семян пшеницы. 2 с. п. ф-лы, 3 табл.
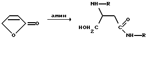
Изобретение относится к новым химическим биологически активным соединениям из ряда амидов-3N-ариламино-4-аминобутановой кислоты общей формулы I, ![]() где Ar = C6H5 (1), -CH2-C6H5 (2), проявляющим свойство активировать прорастание семян пшеницы, и способу их получения. Указанные соединения, их химические и биологические свойства в литературе не известны. В качестве аналога по свойствам известен гиббереллин, широко используемый для активации прорастания семян. Однако, гиббереллин является продуктом микробиологического синтеза и малодоступен. В растении вызывает нерациональную трату пластических веществ [3. Муромцев Г.С. и др. Основы химической регуляции роста и продуктивности растений. Гл. 2. Гиббереллин.- М.: ВО “Агропромиздат”, 1987, с. 33-80]. К аналогам заявляемых соединений по структуре могут быть отнесены N-алкил(арил)амиды-3N-алкил(арил)амино-4-гидроксибутановой кислоты формулы II, ![]() R = C2H5; C4H9; CH3(CH2)7; C6H5CH2, проявляющие акарицидное и фунгицидное действие. Задачей настоящего изобретения является получение новых соединений, перспективных для химии биологически активных веществ и сельского хозяйства. Это достигается синтезом новых не описанных ранее соединений 1 и 2, проявляющих свойства активаторов прорастания семян пшеницы. Соединения 1 и 2 получали из доступных товарных продуктов ароматических аминов и доступного 1-(4-нитрофенил)-пирролин-2-она [4. А.С. 1120653. Способ получения 1-(4-нитрофенил)- 3-пиролин-2-она. Г.Ф. Музыченко, Л.Н. Бибик, В. Г Кульневич], который в свою очередь получен из фурфурола с последующим его окислением перекисью водорода.
Способы получения амидов-3N-ариламино-4-аминобутановой кислоты на основе N-арилзамещенных пирролинонов в литературе не известны.
Наиболее близкие по структуре N-алкил(арил)амиды-3N- алкил(арил)амино-4-гидроксибутановой кислоты получают синтезом на основе кротонолактона по схеме:![]() Задачей предлагаемого изобретения является получение новых производных аминокислот доступным способом. Изобретение иллюстрируется следующими примерами: Получение N-ариламидов-3N-ариламино-4-амино-(4-нитрофенил)бутановой кислоты. Синтез соединения 1. Пример 1. В трехгорлую колбу, снабженную обратным холодильником, мешалкой и термометром, загружали 11,4 мл (0,125 моль) анилина (б/ц масл. жидкость, d= 1,0220, Ткип= 184,4oC) и нагревали до 50oC. Затем прибавляли порциями 0,5 г (0,0025 моль) 1-(4-нитрофенил)-5Н-пирролин-2-она (желтое кристаллическое вещество, Тпл=177oC). Реакционную смесь нагревали при интенсивном перемешивании и термостатировании (50 2oC) в течение 1 часа. Смесь охлаждали, выпавшие через 3 суток кристаллы промывали серным эфиром и перекристаллизовывали из ацетона с водой, затем отфильтровывали.
Выход 1: 0,67 г (69% от теории), Тпл= 145oC.
Найдено,%: C 67,74; H 5,73; N 12,37.
Вычислено,%: C 67,69; H 5,64; N 12,30.
ИК спектр ( , см-1, вазелиновое масло): 1647-(C=O), 3303 (NH), 1605; 1505 (бензольное кольцо), 1550 ( NH). Чистота 1 проверена методом тонкослойной хроматографии в системе – ацетон : CCl4 : петролейный эфир = 2 : 1 : 0,5, Rf=0,51.
Пример 2. В аналогичных условиях с применением 9,3 г (0,1 моль) анилина получено 0,34 г соединения 1. Выход 35%.
Пример 3. В аналогичных условиях с применением 10,46 г (0,1125 моль) анилина получено 0,58 г соединения 1. Выход 60%.
Пример 4. При аналогичном мольном соотношении при температуре 45oC получено 0,59 г соединения 1. Выход 61%.
Пример 5. При аналогичном мольном соотношении при температуре 60oC получено 0,27 г соединения 1. Выход 53%.
Синтез соединения 2.
Пример 1. В трехгорлую колбу, снабженную обратным холодильником, мешалкой и термометром, загружали 7,49 мл (0,07 моль) бензиламина (б/ц жидкость, d=0,9825, Ткип=184,5oC) и нагревали до 50oC. Затем прибавляли порциями 0,3 г (0,00147 моль) 1-(4-нитрофенил)-5Н-пирролин-2-она.
Реакционную смесь нагревали при интенсивном перемешивании и термостатировании (50 2oC) в течение 30 мин. Смесь охлаждали, выпавшие кристаллы промывали серным эфиром и перекристаллизовывали из ацетона с водой, затем отфильтровывали кристаллы и промывали гексаномВыход 2: 0,44 г (84% от теории). Тпл=120oC. Найдено, %: C 68,92; H 6,21; N 11,39. Вычислено,%: C 68,89; H 6,22; N 11,48. ИК-спектр ( , см-1, вазелиновое масло): 1645 (С=O), 3300 (NH), 1600; 1500 (бензольное кольцо), 1555( HN).Чистота 2 проверена методом тонкослойной хроматография в системе – ацетон: CCl4:петролейный эфир = 2:1:0,5. Rf = 0,48. Пример 2. В аналогичных условиях с применением 6,29 г (0,0588 моль) бензиламина получено 0,17 г соединения 2. Выход 33%. Пример 3. В аналогичных условиях с применением 7,07 г (0,0662 моль) бензиламина получено 0,24 г соединения 2. Выход 45%. Пример 4. При аналогичном мольном соотношении при температуре 45oC получено 0,31 г соединения 1. Выход 59%. Пример 5. При аналогичном мольном соотношении при температуре 60oC получено 0,16 г соединения 1. Выход 51%. Изучение росторегулирующей активности N-ариламидов-3N- ариламино-4-амино(4-нитрофенил)бутановой кислоты на озимой пшенице сорта Ника Кубани. Росторегулирующую активность соединения формулы I, выбранного аналога по структуре II и аналога по свойствам гиббереллина III изучали на семенах озимой пшеницы сорта Ника Кубани модельными методами лабораторного скрининга. Семена замачивали в водных растворах препаратов в течение 18 часов, затем проращивали в чашках Петри в течение трех суток, далее проращивание продолжали в рулонах фильтровальной бумаги. Повторность опытов трехкратная. В каждой повторности использовали по 50 штук семян. Контролем служили семена, замоченные в воде. Для получения водных растворов соединения 1, 2 и аналога по структуре II их предварительно растворяли в ДМСО. Массовая доля ДМСО в водных растворах препаратов составляла 0,01%. Соединения 1 и 2 применяли в виде водных растворов с массовой долей 0,004; 0,002; 0,0004; 0,0002; 0,0001; 0,00004; 0,00002%, а аналог по свойствам – гиббереллин – в виде водного раствора с массовой долей 0,001%. Об активности соединений формулы I судили по влиянию их на всхожесть семян, высоту проростков, длину корней, а также их массу, потенциальную продуктивность. Энергию прорастания семян определяли по ГОСТ 50555-56. Высоту семидневных проростков (длину побеговой системы) и длину корней определяли с помощью полоски миллиметровой бумаги. Определение сухой массы проростков проводили по ГОСТ 3040-55. Результаты исследований приведены в таблице 3. Проведенные исследования показали, что для соединения 1 оптимальная ростостимулирующая концентрация составляет 0,0001%, для 2 – 0,002%, для 3 – 0,0005%. Таким образом, по сравнению с гиббереллином соединения 1 и 2 могут применяться в значительно меньших концентрациях и все соединения не уступают ему по своей эффективности. Соединение 1 в оптимальной концентрации увеличивает длину семидневных проростков на 11%, длину корней на 33%, массу проростков на 65%, корней на 37% и повышает потенциальную продуктивность на 38%. Соединение 2 в оптимальной концентрации увеличивает длину корней проростков на 27%, повышает сухую массу проростка на 48% и его корней на 39%, потенциальную продуктивность на 41%. Соединение 3 в оптимальной концентрации увеличивает длину корней проростков на 10%, их массу на 26%, уменьшает высоту проростков на 10%, увеличивая при этом их массу на 12% и потенциальную продуктивность на 30%. В целом соединения 1 и 2 влияют на направленность биологических процессов, что проявляется в активации роста побеговой системы растений. По росторегулирующей активности наиболее эффективным является соединение 1, которое при значительно меньшей концентрации обладает большей ростостимулирующей активностью, по сравнению с прототипом и аналогом по свойствам – гиббереллином. Это обуславливает эффективность использования соединений формулы I в сельском хозяйстве для активации прорастания семян пшеницы и увеличения продуктивности растений. Формула изобретения
![]() где Аr = С6Н5 (1), -СН2-С6Н5 (2), обладающие способностью активировать прорастание семян пшеницы. 2. Способ получения N-ариламидов-3N-ариламино-4-амино(4-нитрофенил)бутановой кислоты формулы I ![]() где Аr = С6Н5 (1), -СН2-С6Н5 (2), отличающийся тем, что для получения соединения 1 взаимодействию с анилином, играющим роль и реагента, и растворителя, подвергают 1-(4-нитрофенил)-5Н-пирролин-2-он в мольном соотношении 1 : амин = 1 : 50, при температуре 50oC; для получения соединения 2 взаимодействию с бензиламином, играющим роль и реагента, и растворителя, подвергают 1-(4-нитрофенил)-5Н-пирролин-2-он в мольном соотношении 2 : амин = 1 : 48, при температуре 50oC. РИСУНКИ
MM4A Досрочное прекращение действия патента Российской Федерации на изобретение из-за неуплаты в установленный срок пошлины за поддержание патента в силе
Дата прекращения действия патента: 11.07.2004
Извещение опубликовано: 27.04.2005 БИ: 12/2005
|
||||||||||||||||||||||||||



3-пиролин-2-она. Г.Ф. Музыченко, Л.Н. Бибик, В. Г Кульневич], который в свою очередь получен из фурфурола с последующим его окислением перекисью водорода.
Способы получения амидов-3N-ариламино-4-аминобутановой кислоты на основе N-арилзамещенных пирролинонов в литературе не известны.
Наиболее близкие по структуре N-алкил(арил)амиды-3N- алкил(арил)амино-4-гидроксибутановой кислоты получают синтезом на основе кротонолактона по схеме:
2oC) в течение 1 часа. Смесь охлаждали, выпавшие через 3 суток кристаллы промывали серным эфиром и перекристаллизовывали из ацетона с водой, затем отфильтровывали.
Выход 1: 0,67 г (69% от теории), Тпл= 145oC.
Найдено,%: C 67,74; H 5,73; N 12,37.
Вычислено,%: C 67,69; H 5,64; N 12,30.
ИК спектр (
, см-1, вазелиновое масло): 1647-(C=O), 3303 (NH), 1605; 1505 (бензольное кольцо), 1550 (
NH). Чистота 1 проверена методом тонкослойной хроматографии в системе – ацетон : CCl4 : петролейный эфир = 2 : 1 : 0,5, Rf=0,51.
Пример 2. В аналогичных условиях с применением 9,3 г (0,1 моль) анилина получено 0,34 г соединения 1. Выход 35%.
Пример 3. В аналогичных условиях с применением 10,46 г (0,1125 моль) анилина получено 0,58 г соединения 1. Выход 60%.
Пример 4. При аналогичном мольном соотношении при температуре 45oC получено 0,59 г соединения 1. Выход 61%.
Пример 5. При аналогичном мольном соотношении при температуре 60oC получено 0,27 г соединения 1. Выход 53%.
Синтез соединения 2.
Пример 1. В трехгорлую колбу, снабженную обратным холодильником, мешалкой и термометром, загружали 7,49 мл (0,07 моль) бензиламина (б/ц жидкость, d=0,9825, Ткип=184,5oC) и нагревали до 50oC. Затем прибавляли порциями 0,3 г (0,00147 моль) 1-(4-нитрофенил)-5Н-пирролин-2-она.
Реакционную смесь нагревали при интенсивном перемешивании и термостатировании (50
