Патент на изобретение №2168492
|
||||||||||||||||||||||||||
(54) НОВЫЕ ПРОИЗВОДНЫЕ СЛОЖНЫХ ЭФИРОВ КАРБОНОВЫХ КИСЛОТ, СПОСОБ ИХ ПОЛУЧЕНИЯ, СОДЕРЖАЩИЕ ИХ ИНСЕКТИЦИДЫ
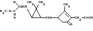
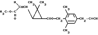
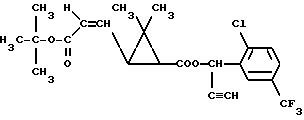
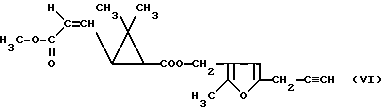
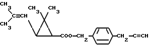
(57) Реферат: Изобретение относится к новым производным сложных эфиров карбоновых кислот общей формулы I, где R1 представляет собой алкильную группу с разветвленной или неразветвленной цепью, имеющей 1-4 атомов углерода; R2 представляет группу формулы IV, в которой R4 представляет атом водорода или этинильную группу; R5 и R6 являются одинаковыми или различными выбраны из группы, состоящей из атома водорода или метильной группы; R7 представляет атом водорода; R8 выбран из пропаргила, метоксиметила или метилтио. Способ получения производных сложных эфиров карбоновых кислот общей формулы I путем взаимодействия карбоновых кислот или их реакционноспособных производных общей формулы XII со спиртами или их реакционноспособными производными общей формулы XIII. Инсектициды, обеспечивающие защиту от насекомых, которые содержат в качестве активного агента производные сложных эфиров карбоновых кислот общей формулы I. 3 с. и 8 з.п. ф-лы, 3 табл. ![]() ![]() ![]() HO-R2 (XIII) Область изобретения Изобретение относится к новым производным сложных эфиров карбоновых кислот, к способам их получения и к содержащим их инсектицидам и средствам, обеспечивающим защиту от насекомых. Предпосылки изобретения Соединения ряда природных и синтетических пиретроидов широко используются в сельском хозяйстве, а также в домашнем хозяйстве, так как они обладают высокой инсектицидной активностью и эффектом защиты от насекомых наряду с их безопасностью для млекопитающих. Однако в некоторых областях их активности не являются целиком удовлетворительными. Так например, необходимы инсектициды в виде аэрозольных спреев для домашнего использования, которые содержали бы активный ингредиент, который одновременно обладал бы свойством быстрого действия и оказывал бы летальный эффект, но до сих пор в практике не было пиретроидов, характеризующихся одновременно и указанным свойством, и соответствующим эффектом. Поэтому до сих пор обычно используют смесь пиретроидов, обладающих свойством быстродействия и сильным летальным эффектом. Далее, в случае некоторых типов насекомых-вредителей в области сельского хозяйства у них развивается устойчивость к пиретроидам. Учитывая вышесказанное, существует сильная потребность в новых инсектицидах и агентах, защищающих от насекомых, которые были бы гораздо более полезными. Раскрытие изобретения Настоящее изобретение создано с целью разработки новых соединений, которые позволили бы решить проблемы используемых в настоящее время инсектицидов и средств защиты от насекомых, то есть новых соединений, которые обладали бы одновременно и быстродействием, и летальным эффектом, а также были бы в высшей степени безопасны и превосходны со всех точек зрения; разработки способов получения этих соединений; предоставления инсектицидов и средств защиты от насекомых, содержащих эти соединения в качестве активного ингредиента. Сконцентрировав усилия на исследованиях для достижения вышеуказанных целей, авторы изобретения обнаружили новые производные сложных эфиров карбоновых кислот, представленные следующей общей формулой I: ![]() в которой R1 представляет собой алкильную группу с разветвленной или неразветвленной цепью, содержащую от 1 до 4 атомов углерода; и R2 представляет группу, представленную следующей общей формулой IV ![]() где R4 представляет атом водорода или этинильную группу; R5 и R6 являются одинаковыми или различными и выбраны из группы, состоящей из атомов водорода или метильной группы; R7 представляет атом водорода; R8 выбран из группы, состоящей из групп пропаргила, метоксиметила или метилтио; и подтвердили, что эти соединения могут найти использование на практике, завершив тем самым, настоящее изобретение. Другими словами, настоящее изобретение в соответствии с пунктом 1 формулы изобретения относится к новым производным сложных эфиров карбоновых кислот, представленным общей формулой I. Хотя среди сложных эфиров, представленных общей формулой I, существуют оптические или геометрические изомеры на основе пространственной структуры фрагментов циклопропанкарбоновой кислоты и спирта, все такие сложные эфиры также включены в объем настоящего изобретения. Типичными примерами новых производных сложных эфиров карбоновых кислот, представленных общей формулой I, являются следующие; но их не следует рассматривать как ограничивающие настоящее изобретение: (1) Соединение 1 5-пропаргил-2-фурилметил 2,2-диметил-3-(3-метокси-3-оксо-1- пропенил)циклопропанкарбоксилат ![]() (2) Соединение 2 5-пропаргил-2-метил-3-фурилметил 2,2-диметил-3-(3-метокси-3-оксо-1-пропенил)циклопропанкарбоксилат ![]() (3) Соединение 3 2-метил-3-пропаргил-4-оксо-2-циклопентен-1-ил 2,2-диметил-3-(3-метокси-3-оксо-1-пропенил)циклопропанкарбоксилат ![]() (4) Соединение 4 4-пропаргилбензил 2,2-диметил-3-(3-метокси-3-оксо-1-пропенил)циклопропанкарбоксилат ![]() (5) Соединение 5 2,6-диметил-4-пропаргилбензил 2,2-диметил-3-(3-метокси-3-оксо-1-пропенил)циклопропанкарбоксилат ![]() (6) Соединение 6 4-метокиметилбензил 2,2-диметил-3-(3-метокси-3-оксо-1-пропенил)циклопропанкарбоксилат ![]() (7) Соединение 7 2-фтор-5-трифторметил- -этинилбензил 2,2-диметил-3-(3-метокси-3-оксо-1-пропенил)циклопропанкарбоксилат![]() (8) Соединение 8 2-метил-3-пропаргил-4-метилиден-2- циклопентен-1-ил 2,2-диметил-3-(3-этокси-3-оксо-1- пропенил)циклопропанкарбоксилат ![]() (9) Соединение 9 2,6-дифтор-4-метилтиобензил 2. , 2-диметил-3-(3-изопропокси-3-оксо-1-пропенил)циклопропанкарбоксилат ![]() (10) Соединение 10 2-хлор-4,5-метилендиокси- -этинилбензил 2,2-диметил-3- (3-н-бутокси-3-оксо-1-пропенил)циклопропанкарбоксилат![]() (11) Соединение 11 5-пропаргил-2-фурилметил 2,2-диметил-3-(3-изопропокси-3-оксо-1-пропенил)циклопропанкарбоксилат ![]() (12) Соединение 12 5-пропаргил-2-метил-3-фурилметил 2,2-диметил-3-(3-изопропокси-3-оксо-1-пропенил)циклопропанкарбоксилат ![]() (13) Соединение 13 2-метил-3-пропаргил-4-оксо-2-циклопентен-1-ил 2,2-диметил-3-(3-изопропокси-3-оксо-1-пропенил)циклопропанкарбоксилат ![]() (14) Соединение 14 4-пропаргилбензил 2,2-диметил-3- (3-этокси-3-оксо-1-пропенил) циклопропанкарбоксилат ![]() (15) Соединение 15 4-метоксиметилбензил 2,2-диметил-3-(3-этокси-3-оксо-1-пропенил)циклопропанкарбоксилат ![]() (16) Соединение 16 2-фтор-4,5-метилендиоксибензил 2,2-диметил-3-(3-н-пропокси-3-оксо-1-пропенил)циклопропанкарбоксилат ![]() (17) Соединение 17 2-хлор-4-метилтиобензил 2,2-диметил-3-(3-н-бутокси-3-оксо-1-пропенил)циклопропанкарбоксилат ![]() (18) Соединение 18 2-хлор-5-трифторметил- -этинилбензил 2,2-диметил-3-3- трет.-бутoкcи-3-oкco-1-пpoпeнил)циклoпpoпaнкаpбoкcилaт![]() (19) Соединение 19 5-пропаргил-3-фурилметил 2,2-диметил-3- (3-метокси-3-оксо-1-пропенил)циклопропанкарбоксилат ![]() (20) Соединение 20 4-метилтио- -этинилбензил 2,2-диметил-3-(3-изопропокси-3-оксо-1-пропенил) циклопропанкарбоксилатВ соответствии с пунктом 2 формулы изобретения настоящее изобретение относится к новым производным сложных эфиров карбоновых кислот по пункту 1, в которых фрагмент циклопропанкарбоновой кислоты имеет 1R, цис-конфигурацию, а пространственное расположение двойных связей соответствует Z конфигурации. Каждый из пунктов 3-5 настоящего изобретения относится к новым производным сложного эфира карбоновой кислоты по пунктам 1 или 2, которые представлены любой из следующих формул V-XI: ![]() ![]() ![]() ![]() ![]() ![]() ![]() Согласно пункту 6 притязаний настоящее изобретение относится к стадии осуществления взаимодействия карбоновых кислот общей формулы XII или их реакционноспособных производных со спиртами общей формулы XIII или их реакционноспособными производными, в результате чего получают новые производные сложных эфиров карбоновых кислот настоящего изобретения по пункту 1. Общая формула XII имеет следующий вид: ![]() где R1 представляет алкильную группу с разветвленной или неразветвленной цепочкой, содержащей от 1 до 4 атомов углерода. Общая формула XIII имеет следующий вид: HO-R2 (XIII) где R2 представляет группу общей формулы IV ![]() где R4 представляет атом водорода или этинильную группу; R5 и R6 являются одинаковыми или различными и выбраны из группы, состоящей из атомов водорода или метильной группы; R7 представляет атом водорода; R8 выбран из группы, состоящей из групп пропаргила, метоксиметила или метилтио. Реакционноспособные производные карбоновых кислот включают, например, галоидангидриды, ангидриды кислот, низшие алкиловые эфиры карбоновых кислот, соли щелочных металлов или их соли с органическими третичными основаниями. С другой стороны, реакционноспособные производные спиртов включают, например, хлориды, бромиды, пара-толуолсульфоновые сложные эфиры. Реакцию ведут в соответствующем растворителе в присутствии восстановителя или органического/неорганического основания или кислоты в качестве катализатора, если необходимо, и при необходимости при нагревании. В соответствии с предпочтительным вариантом настоящего изобретения карбоновые кислоты и спирты сложно этерифицируются в присутствии дициклогексилкарбодиимида и 4-диметиламинопиридина. Если получают сложные эфиры с предпочтительной пространственной структурой, обычно наиболее удобным способом является способ, в котором вначале синтезируют карбоновую кислоту или спирт с предпочтительной пространственной конфигурацией, а затем их этерифицируют; хотя существует и способ разделения полученных сложных эфиров с применением агента разделения на оптические изомеры. Согласно пункту 7 притязаний изобретение относится к инсектицидам и средствам защиты от насекомых, которые содержат новое производное сложного эфира карбоновой кислоты по пункту 1, представленное общей формулой I: ![]() где R1 представляет разветвленную или неразветвленную алкильную группу, содержащую от 1 до 4 атомов углерода; и R2 представляет группу следующей общей формулы IV ![]() где R4 представляет атом водорода или этинильную группу; R5 и R6 являются одинаковыми или различными и выбраны из группы, состоящей из атомов водорода или метильной группы; R7 представляет атом водорода R8 выбран из группы, состоящей из групп пропаргила, метоксиметила или метилтио. Изобретение по пункту 8 относится к инсектицидам и средствам защиты от насекомых согласно пункту 7, которые содержат новое производное сложного эфира карбоновой кислоты, в котором фрагмент циклопропанкарбоновой кислоты имеет 1R, цис-конфигурацию, а пространственное расположение двойных связей соответствует Z конфигурации. Каждый из пунктов 9-11 формулы изобретения относится к инсектицидам и средствам защиты от насекомых по пункту 7 или 8, которые содержат новое производное сложного эфира карбоновой кислоты, которое представлено одной формулой с V по XI. В соответствии с пунктом 1 настоящего изобретения предложены новые полезные производные сложных эфиров карбоновых кислот, представленные общей формулой I. Соединения общей формулы I являются новыми соединениями, которые являются твердыми или жидкими при комнатной температуре и обычно легко растворяются в органических растворителях. В соответствии с пунктом 2 формулы изобретения предложены соединения по пункту 1, в которых фрагмент циклопропан-карбоновой кислоты имеет 1R, цис-конфигурацию, а пространственное положение двойных связей соответствует Z конфигурации. В соответствии с пунктами 3-5 формулы изобретения предложены особенно полезные из соединений по пунктам 1 или 2. В соответствии с изобретением по п. 6 предложены способы эффективного получения новых и полезных производных сложных эфиров карбоновых кислот, представленных общей формулой I. В соответствии с пунктом 7 формулы изобретения предложены полезные инсектициды и средства защиты от насекомых, которые содержат новые производные сложных эфиров карбоновых кислот, представленных общей формулой I. Когда соединения настоящего изобретения используют на практике, их можно использовать без смешивания с другими ингредиентами, однако, обычно их используют в смеси с носителем с тем, чтобы их было проще использовать в качестве инсектицидов и средств защиты от насекомых. Инсектициды и средства защиты от насекомых для применения включают, например, эмульгируемые концентраты, масляные растворы, дусты, диспергируемые в воде порошки и аэрозоли. Их можно приготовить в соответствии с хорошо известными способами, согласно которым к вышеуказанным соединениям добавляют такие адьюванты, как эмульгаторы, диспергирующие агенты, растворители, стабилизаторы и т.д.; твердые носители, жидкие носители; пропелленты и т.д., в соответствии с потребностью. Вышеуказанные соединения используют также с древесной мукой и другими подходящими материалами-основами, смешиваемыми для целей использования инсектицида или агента защиты от насекомых в качестве фумиганта, подобно спирали против комаров. Далее, когда вышеуказанные соединения растворяются в соответствующем органическом растворителе, который предназначен для абсорбирования тканью, или растворяются в соответствующем растворителе, чтобы абсорбироваться тампоном, а затем испаряются при нагревании в соответствующем нагревательном устройстве, то есть когда их используют для отпугивания комаров электричеством, они обладают такой же эффективностью, что и в случае отпугивающего комаров фумиганта. Инсектициды и средства защиты от насекомых эффективны против таких вредных, с точки зрения санитарии, насекомых, как мухи, комары, тараканы, домашние клещи и т.д.; таких насекомых, вредителей одежды, как Tinea translucens, Dermestidae и т.д.; против таких вредителей зернохранилищ, как Sitophilus zeamais и т. д.; и более того, против насекомых-вредителей полужесткокрылых, как Myzus persicae. Aphis gossypii, Nephotettix cincticeps, Delphacidae, Pentatomidae, и т.д.; против чешуекрылых насекомых-вредителей, как Pieris rapae crucivora, Plutella xylostella, Matestra brassicae, Tortricidae, Carposinidae и т.д.; против жесткокрылых насекомых-вредителей, как жуки-скарабеи, Chrysomelidae, Curculionidae и т.д.; двукрылых насекомых-вредителей, как Chironomidae, Agromyzidae и т.д.; прямокрылых насекомых-вредителей, как Oxya yezoensis. Они также эффективны против таких насекомых-вредителей, которые устойчивы к фосфорорганическим инсектицидам и карбаматным пестицидам. Кроме того, использование таких соединений-синергистов, как N-октилбициклогептендикарбоксиимид (торговая марка MGK-264), смесь N-октилбициклогептендикарбоксиимида и арилсульфоната (торговая марка MGK-5026), Syhepirine 500, октахлордипропиловый эфир, пиперонилбутоксид и т.д., обеспечивает возможность значительного повышения эффективности инсектицидов и средств защиты от насекомых согласно изобретению. Кроме того, смеси других инсектицидных или защитных от насекомых ингредиентов, например, фосфорорганических инсектицидов, таких как фенитротион, DDVP, диазинон, пропафос, пиридафентион и т. д., карбаматных пестицидов, таких как NAC, МТМС, ВРМС, метоксадиазон и т. д., пиретроидных инсектицидов, используемых в настоящее время, таких как пиретрин, аллетрин, фталтрин, фураметрин, фенотрин, перметрин, цифенотрин, этофенпрокс и т. д., кремнийорганических соединений, как силафлуофен и т.д., бензоилмочевиновых соединений, таких как флуфеноксурон, хлорфлуазурон, и т. д. , соединений хлорникотинила, таких как имидаклоприд, ацетамиприд и др., соединений гидразина, как тебуфенозид и др., нереистоксиновых инсектицидов, таких как картап, тиоциклам, и др., и других ингредиентов, таких как митициды, фунгициды, нематоциды, гербициды; регуляторов роста; удобрений и т.д., с инсектицидами и агентами защиты от насекомых настоящего изобретения обеспечивает возможность получения эффективных и многоцелевых композиций, позволяющих сэкономить трудозатраты и ожидать синергетичеcкого эффекта за счет этих соединений. В соответствии с пунктом 8 формулы изобретения предложены более полезные инсектициды и средства защиты от насекомых, благодаря использованию в качестве активного ингредиента инсектицидов и средств защиты от насекомых новых производных сложных эфиров карбоновых кислот по пункту 7, в которых фрагмент циклопропанкарбоновой кислоты имеет 1R, цис- конфигурацию, а пространственное положение двойных связей соответствует Z конфигурации. В соответствии с пунктами 9-11 формулы изобретения предложены еще более полезные инсектициды и средства защиты от насекомых, благодаря использованию наиболее полезных соединений по пункту 7 или 8, в качестве активного ингредиента инсектицидов и средств защиты от насекомых. Далее приводятся примеры способа получения новых производных сложных эфиров карбоновых кислот настоящего изобретения. Примеры синтеза Пример получения 1. Синтез соединения 1. 2,7 г 5-пропаргил-2-фурилметилового спирта и 2,3 г триэтиламина растворяют в 40 мл дихлорметана и к раствору добавляют 4,8 г хлоридангидрида 2,2-диметил-3-(3-метокси-3-оксо-1-пропенил)циклопропанкарбоновой кислоты при охлаждении раствора льдом. Затем реакционный раствор подогревают до комнатной температуры и промывают 50 мл 2% водного раствора соляной кислоты после перемешивания при комнатной температуре в течение 3 часов и снова промывают 50 мл насыщенного рассола. После этого органический слой сушат над сульфатом магния, дихлорметан удаляют концентрированием в вакууме, а полученный маслянистый материал очищают на хроматографической колонке с силикагелем (элюент; этилацетат:н-гексан=1:40). В результате получают 6,1 г бесцветного 5-пропаргил-2-фурилметил 2,2-диметил-3-(3-метокси-3-оксо-1-пропенил) циклопропанкарбоксилата. ИК 3300 см-1 (-CH2-C CH), 1730 см-1 (-COO-)Пример получения 2. Синтез соединения 3 (кислотный фрагмент имеет 1R, цис-конфигурацию, а пространственная структура соответствует Z конфигурации). 4,0 г 1R, цис-2,2-диметил-3-[1-( Z)-3-метокси-3-оксопропенил]циклопропанкарбоновой кислоты и 3,0 г (S)-2-метил-3-пропаргил-4-оксо-2-циклопентен-1-ола растворяют в 50 мл дихлорметана и к полученному раствору добавляют при охлаждении льдом раствор 4,3 г дициклогексилкарбодиимида и 0,2 г 4-диметиламинопиридина, растворенного в 40 мл дихлорметана. После перемешивания в течение 12 часов при комнатной температуре раствор фильтруют, а фильтрат концентрируют с помощью вакуумной перегонки. Оставшийся материал очищают на хроматографической колонке с силикагелем (элюент; этилацетат:н-гексан = 1: 20). В результате получают 6,0 г бесцветного (S)-2-метил-3-пропаргил-4- оксо-2-циклопентен-1-ил и 1R-цис-2,2-диметил-3-[1-( Z)-3-метокси-3- оксопропенил]циклопропанкарбоксилата. ИК 3300 см-1 (-СН2-С СН), 1730 см-1 (-COO-).
Пример получения 3. Синтез соединения 64,1 г 2,2- диметил-3-(3-метокси-3-оксо-1-пропенил)циклопропанкарбоновой кислоты растворяют в 50 мл ацетона и к раствору добавляют 4,3 г 4-метоксиметилбензилбромида. Затем к раствору добавляют 2,4 г триэтиламина и реакцию продолжают при 60-80oC в течение 3 часов при перемешивании, после чего добавляют эфир. После того, как эфирный раствор полностью промывают разбавленной соляной кислотой, водным раствором бикарбоната натрия и рассолом, его сушат мирабилитом. Эфир отгоняют при пониженном давлении и получают 6,3 г 4-метоксиметилбензил 2,2-диметил-3-(3-метокси-3-оксо-1-пропенил) циклопропанкарбоксилата. ИК 1740 см-1(-COO-). Для выяснения того, насколько хороши инсектициды и средства защиты от насекомых, содержащие новые производные сложных эфиров карбоновых кислот в соответствии с настоящим изобретением, осуществляют ряд вариантов настоящего изобретения и результаты испытаний на эффективность соединений настоящего изобретения поясняются ниже. Пример 1 Желтый керосин добавляют к 0,2 частям соединения (1) настоящего изобретения до достижения 100 частей и получают 0,2% масляный раствор. Пример 2 Желтый керосин добавляют к 0,2 частям соединения (2) настоящего изобретения и к 0,8 частям пиперонилбутоксида до достижения 100 частей и получают масляный раствор. Пример 3 10 частей сорпола SM-200 (торговая марка Toho Chemical Industry Co., Ltd. ) и 70 частей ксилола добавляют к 20 частям соединения (3) настоящего изобретения и при перемешивании получают раствор. Затем получают 20% эмульгируемый концентрат. Пример 4 0,4 части соединения (4) настоящего изобретения и 1,5 части октахлордипропилового эфира растворяют в 28 частях очищенного керосина и раствор помещают в аэрозольный контейнер. Затем контейнер снабжают клапаном и через клапан под давлением вводят 70 частей пропелланта. Таким образом получают аэрозоль. Пример 5 0,5 части соединения (5) настоящего изобретения и 0,5 г ВНТ равномерно смешивают с 99,0 г материала-основы для спирали против комаров, такого как пиретрум, древесная мука, крахмал и т.д., и спираль против комаров изготавливают хорошо известным способом. Пример 6 0,3 части соединения (8) настоящего изобретения и 99,7 части глины тщательно измельчают и смешивают и получают 0,3% дуст. Пример 7 40 частей соединения (10) настоящего изобретения, 35 частей диатомовой земли, 20 частей глины, 3 части лаурилсульфоната и 2 части карбоксиметилцеллюлозы измельчают и смешивают, получая диспергируемый в воде порошок. Пример 8 испытания на эффективность Для определения относительной эффективной концентрации испытываемых веществ определяют процент обездвиженных домашних мух при обработке их: 0,2% раствором в желтом керосине соединения настоящего изобретения (А), 0,2% синеприном 500, 0,8% раствором в желтом керосине соединения настоящего изобретения (В), и 0,2% раствором в желтом керосине каждого из фталтрина и фенотрина, после чего через 24 часа определяют смертность для каждого из химических веществ. Полученные результаты приведены в таблице 1. Числа в скобках указывают смертность спустя 24 часа. Из приведенных результатов испытаний видно, что соединения настоящего изобретения дают эффект нокдауна (свойство быстродействия), превышающий фталтрин, который, как известно, является обездвиживающим агентом, а летальный эффект сравним или превышает эффект фенотрина, который, как известно, является умерщвляющим агентом, и поэтому соединения настоящего изобретения чрезвычайно полезны в качестве активных ингредиентов инсектицидов и средств защиты от насекомых. Было также доказано, что сочетание с синепирином 500, который является традиционным синергистом пиретроидов, повышает инсектицидное действие и эффект защиты от насекомых соединений настоящего изобретения. Пример 2 испытания на эффективность Примерно 50 взрослых особей Culex Pipiens pallens помещают в стеклянную камеру (70 см3), после чего в камеру помещают маленький электрический фен (с лопастями 13 см в диаметре) и включают его. После того, как 0,1 г комариной спирали, содержащей соединения (1), (5), (8), (10), (13) и (17), полученные по способу примера 5, поджигают и помещают в камеру, 80% или более Culex Pipiens pallens падают в течение 30 минут, а спустя сутки, 80% или более упавших Culex Pipiens pallens оказываются мертвыми. Аналогично, по 40 мг каждого из соединений (2), (4), (7), (14) и (19) настоящего изобретения (этими соединениями были пропитаны маты размером 2,2 х 3,5 см) испаряют, нагревая на электрическом устройстве для репеллента комаров с температурой пластины около 170oC. В результате наблюдается высоких эффект защиты от комаров, такой же, как и в случае комариных спиралей. Пример 3 испытания на эффективность Дуст, содержащий каждое из соединений (3), (5), (8), (9), (12) и (16) настоящего изобретения, полученный по способу примера 6, равномерно наносят на дно чашки Петри диаметром 14 см в дозе 2 г/м2 и на поверхности стенок чашек Петри наносят масло, оставляя чистым участок в 1 см от дна чашки. Затем 10 взрослых особей пруссаков в группе помещают свободно в чашку Петри так, чтобы они могли соприкасаться с дустом в течение 30 минут, после чего их помещают в другой контейнер. Спустя 3 дня оказывается, что 80% или более из тараканов погибают от любого из дустов. Пример 4 испытания на эффективность Каждый из растворов эмульгируемых концентратов, содержащих соединения (2), (6), (9), (10), (15) и (18) настоящего изобретения, полученные по способу примера 3, разбавляют водой в 1000 раз и наносят в дозе 100 л/ТЭН (около 10,1 л/а) на поле дайкона в стадии 5 – 6 листьев, зараженное Myzus persicae. По результатам наблюдения степени выживания паразитов спустя 2 дня было найдено, что их количество на каждом из полей уменьшилось более, чем в 10 раз по сравнению с их количеством до нанесения раствора. Пример 5 испытания на эффективность 8,0 г азодикарбонамида, который представляет собой органический дутьевой агент, и 1,0 г такого адьюванта, как спекающая добавка, и т.д., добавляют к 1,0 г каждого из соединений (1), (3), (9), (11) и (16), после чего их тщательно смешивают и помещают в алюминиевые контейнеры. После того, как контейнер с этим фумигантом (который имеет вид гранулированного дуста) нагревают до примерно 250oC за счет нагревателя в помещении площадью в 6 татами-матов, ингредиент диффундирует по всей комнате через отверстия, проделанные в контейнере таким образом, чтобы дым мог проходить через них. Фумигант оказался эффективным не только в борьбе с тараканами, мухами и клопами, но также и клещами домашней пыли, такими, как Dermato phagoides farinae и Tyrophagus putrescentiae. Эффективность настоящего изобретения Новые производные сложных эфиров карбоновых кислот по пункту 1, представленные формулой (I), являются полезными соединениями; особенно соединения по пункту 2, у которых фрагмент циклопропанкарбоновой кислоты имеет 1R, цис-конфигурацию, а пространственное положение двойных связей соответствует Z конфигурации, а выбранные конкретные соединения по пунктам 3 – 5 имеют обширное практическое применение. В соответствии со способом по пункту 6 получают новые и полезные производные сложных эфиров карбоновых кислот, представленные вышеуказанной общей формулой I. Инсектициды и средства защиты от насекомых, содержащие новые производные сложных эфиров карбоновых кислот по пункту 11, которые представлены вышеуказанной формулой (I), обладают как свойством быстродействия, так и летальным эффектом, при низкой их токсичности для теплокровных животных; поэтому они гораздо более полезны чем те, которые содержат применяемые в настоящее время пиретроиды. Особенно широкое практическое применение имеют инсектициды и средства защиты от насекомых по пункту 8, которые содержат соединения, в которых фрагмент циклопропанкарбоновой кислоты имеет 1R, цис-конфигурацию, а пространственное расположение двойных связей соответствует Z конфигурации, а также средства защиты от насекомых по пунктам 9-11, содержащие выбранные соединения. СРАВНИТЕЛЬНЫЕ ИСПЫТАНИЯ ИСПЫТАНИЕ 1 В соответствии с примером 4 заявки 0,2 г соединения (4), соединения (5) или соединения (6) по настоящему изобретению, описанных ниже, растворяли в 40 мл очищенного керосина и заполняли раствором аэрозольный контейнер. Затем к контейнеру присоединяли клапан и через него под давлением вводили 60 мл пропеллента (сжиженный нефтяной газ). Таким образом получали аэрозоль. Соединение (4) по настоящему изобретению ![]() Соединение (5) по настоящему изобретению ![]() Соединение (6) по настоящему изобретению ![]() 30 женских взрослых особей домашней мухи свободно помещали в стеклянную камеру объемом 60 см3 (0,216 м3), после чего в течение 1 секунды в камеру распыляли аэрозоль. Подсчитывали число обездвиженных мух и спустя 10 минут мух переносили в полиэтиленовый контейнер. В качестве питания мухам давали 3% водный раствор сахара. Спустя 24 часа подсчитывали число погибших мух. Результаты приведены ниже в таблице 2. В таблице 2 эффект обездвиживания означает сравнительную эффективность испытуемого соединения по сравнению с принятой за 1,00 активностью фталтрина, обычно применяемого в качестве обездвиживающего агента, а летальный эффект означает коэффициент смертности мух спустя 24 часа. В качестве сравнительных соединений использовали следующие соединения: Сравнительное соединение А ![]() (Оптическая конфигурация кислотного фрагмента: 1R-цис-Z) Сравнительное соединение В ![]() (Оптическая конфигурация кислотного фрагмента: IR-цис-Z) 2. РЕЗУЛЬТАТЫ приведены в табл. 2. 3. ОБСУЖДЕНИЕ В ранее известных аэрозолях совместно использовались фталтрин, известный как обездвиживающий агент, и убивающие агенты, такие как фенотрин или ресметрин. Результаты испытаний доказывают, что соединения по настоящему изобретению безотносительно к оптической конфигурации их кислотного фрагмента имеют обездвиживающий эффект, превосходящий сравнительные соединения с оптической конфигурацией, которая дает сравнительно высокую активность, и летальный эффект, значительно превосходящий фталтрин или сравнительные соединения. Таким образом, все настоящие соединения обладают и эффектом обездвиживающего агента, и эффектом убивающего агента, даже если их применять без добавок, и потому они крайне полезны в качестве активного ингредиента инсектицидов. ИСПЫТАНИЕ 2 Методика испытания и используемые в тесте соединения по изобретению полностью повторяют данные Испытания 1. В качестве сравнительных соединений использовали следующие соединения: СРАВНИТЕЛЬНОЕ СОЕДИНЕНИЕ А ![]() (Оптическая конфигурация кислотного фрагмента: 1R-цис, транс) СРАВНИТЕЛЬНОЕ СОЕДИНЕНИЕ В ![]() (Оптическая конфигурация кислотного фрагмента: 1R-транс-Е) СРАВНИТЕЛЬНОЕ СОЕДИНЕНИЕ С ![]() (Оптическая конфигурация кислотного фрагмента: 1R-транс-Е) СРАВНИТЕЛЬНОЕ СОЕДИНЕНИЕ D ![]() СРАВНИТЕЛЬНОЕ СОЕДИНЕНИЕ Е ![]() (Оптическая конфигурация кислотного фрагмента: 1R-цис, транс) СРАВНИТЕЛЬНОЕ СОЕДИНЕНИЕ F ![]() (Оптическая конфигурация кислотного фрагмента: 1RS-цис-Z) 6. РЕЗУЛЬТАТЫ приведены в табл. 3. 7. ОБСУЖДЕНИЕ Результаты испытаний доказывают, что соединения по настоящему изобретению безотносительно к оптической конфигурации их кислотного фрагмента имеют обездвиживающий эффект, превосходящий сравнительные соединения с оптической конфигурацией, которая дает сравнительно высокую активность, и летальный эффект, значительно превосходящий фталтрин или сравнительные соединения. Таким образом, все настоящие соединения обладают и эффектом обездвиживающего агента, и эффектом убивающего агента, превосходящим ранее известные, даже если их применять без добавок, и потому они крайне полезны в качестве активного ингредиента инсектицидов. ХАРАКТЕРИСТИЧЕСКИЕ ПОЛОСЫ ПОГЛОЩЕНИЯ В ИК-СПЕКТРАХ ДЛЯ СОЕДИНЕНИЙ ПО ИЗОБРЕТЕНИЮ Соединение (2) ИК 3300 см-1 (-CH=CH), 1640 см-1 ![]() Соединение (4) 3250 см-1, 2100 см-1 (-C=CH) Соединение (5) 3250 см-1, 2100 см-1 (-CH2-С=CH) Соединение (7) 3250 см-1, 2150 см-1 (-C=CH) Соединение (8) 3300 см-1 (-С=CH), 1720 см-1 (-COO-), Соединение (9) 2950 см-1, (-S-СН3), 1730 см-1 (-COO-), 1250 см-1 ![]() Соединение (10) 3250 см-1, (-C=CH), 1270 см-1, 1050 см-1 ![]() Соединение (11) 3200 см-1, (-C=CH) Соединение (12) 3300 см-1, (-C=CH) Соединение (13) 3300 см-1, (-C=CH), 1720 см-1(-COO-), Соединение (14) 3300 см-1, (-C=CH) Соединение (15) 1100 см-1, (-CH2-O-CH3) Соединение (16) 3250 см-1, (-C=CH), 1250 см-1, 1050 см-1 ![]() Соединение (17) 2950 см-1, (-S-CH3), 1740 см-1 (-COO-), 1050 см-1 ![]() Соединение (18) 3250 см-1 (-C=CH), 1010 см-1 ![]() Соединение (19) 3310 см-1 (-CH2-C=CH), 3150 см-1 (-C=CH) Соединение (20) 3200 см-1 (-C CH), 2950 см-1 (-S-CH3)(
Формула изобретения
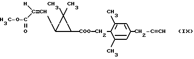
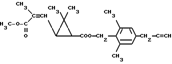
![]() в которой R1 представляет собой алкильную группу с разветвленной или неразветвленной цепью, имеющей от 1 до 4 атомов углерода; R2 представляет группу общей формулы IV ![]() где R4 представляет атом водорода или этинильную группу; R5 и R6 являются одинаковыми или различными и выбраны из группы, состоящей из атома водорода или метильной группы; R7 представляет атом водорода; R8 выбран из группы, состоящей из групп пропаргила, метоксиметила или метилтио. 2. Производные сложных эфиров карбоновых кислот по п.1, в которых фрагмент циклопропанкарбоновой кислоты имеет 1R-цис-конфигурацию, а пространственное положение двойной связи соответствует Z-конфигурации. 3. Производное сложного эфира карбоновой кислоты по п.1 или 2, имеющее формулу VIII ![]() 4. Производное сложного эфира карбоновой кислоты по п.1 или 2, имеющее формулу IХ ![]() 5. Производное сложного эфира карбоновой кислоты по п.1 или 2, имеющее формулу X ![]() 6. Способ получения производных сложных эфиров карбоновых кислот, представленных общей формулой I ![]() где R1 представляет собой алкильную группу с разветвленной или неразветвленной цепью, имеющей от 1 до 4 атомов углерода; R2 представляет группу общей формулы IV ![]() где R4 представляет атом водорода или этинильную группу; R5 и R6 являются одинаковыми или различными и выбраны из группы, состоящей из атома водорода или метильной группы; R7 представляет атом водорода; R8 выбран из группы, состоящей из групп пропаргила, метоксиметила или метилтио, в котором карбоновые кислоты или их реакционноспособные производные, представленные общей формулой XII ![]() где R1 представляет собой алкильную группу с разветвленной или неразветвленной цепью, имеющей от 1 до 4 атомов углерода; и спирты или их реакционноспособные производные, представленные общей формулой XIII HO-R2, где R2 представлено общей формулой IV ![]() в которой R4 представляет атом водорода или этинильную группу; R5 и R6 являются одинаковыми или различными и выбраны из группы, состоящей из атома водорода или метильной группы; R7 представляет атом водорода; R8 выбран из группы, состоящей из групп пропаргила, метоксиметила или метилтио, подвергают взаимодействию друг с другом. 7. Инсектициды, которые содержат в качестве активного агента производные сложных эфиров карбоновых кислот, представленные общей формулой I ![]() в которой R1 представляет собой алкильную группу с разветвленной или неразветвленной цепью, имеющей от 1 до 4 атомов углерода; R2 представляет группу общей формулы IV ![]() где R4 представляет атом водорода или этинильную группу; R5 и R6 являются одинаковыми или различными и выбраны из группы, состоящей из атома водорода или метильной группы; R7 представляет атом водорода; R8 выбран из группы, состоящей из групп пропаргила, метоксиметила или метилтио. 8. Инсектициды по п.7, которые содержат соединение, в котором фрагмент циклопропанкарбоновой кислоты имеет 1R, цис-конфигурацию, а пространственное положение двойной связи соответствует Z-конфигурации. 9. Инсектициды по п.7 или 8, которые содержат соединение, представленное формулой VIII ![]() 10. Инсектициды по п. 7 или 8, которые содержат соединение, представленное формулой IX ![]() 11. Инсектициды по п. 7 или 8, которые содержат соединение, представленное формулой Х и
РИСУНКИ
MM4A Досрочное прекращение действия патента Российской Федерации на изобретение из-за неуплаты в установленный срок пошлины за поддержание патента в силе
Дата прекращения действия патента: 08.02.2005
Извещение опубликовано: 20.04.2006 БИ: 11/2006
|
||||||||||||||||||||||||||












-этинилбензил 2,2-диметил-3-(3-метокси-3-оксо-1-пропенил)циклопропанкарбоксилат























CH), 1730 см-1 (-COO-)
Z)-3-метокси-3-оксопропенил]циклопропанкарбоновой кислоты и 3,0 г (S)-2-метил-3-пропаргил-4-оксо-2-циклопентен-1-ола растворяют в 50 мл дихлорметана и к полученному раствору добавляют при охлаждении льдом раствор 4,3 г дициклогексилкарбодиимида и 0,2 г 4-диметиламинопиридина, растворенного в 40 мл дихлорметана. После перемешивания в течение 12 часов при комнатной температуре раствор фильтруют, а фильтрат концентрируют с помощью вакуумной перегонки. Оставшийся материал очищают на хроматографической колонке с силикагелем (элюент; этилацетат:н-гексан = 1: 20). В результате получают 6,0 г бесцветного (S)-2-метил-3-пропаргил-4- оксо-2-циклопентен-1-ил и 1R-цис-2,2-диметил-3-[1-(





























и