Патент на изобретение №2168489
|
||||||||||||||||||||||||||
(54) ЦИКЛОПЕНТАДИЕНИЛЬНЫЕ ПРОИЗВОДНЫЕ, СПОСОБ ИХ ПОЛУЧЕНИЯ И ПРОМЕЖУТОЧНЫЕ СОЕДИНЕНИЯ ДЛЯ ИХ ПОЛУЧЕНИЯ
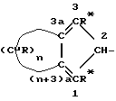
(57) Реферат: Изобретение относится к циклопентадиенильным производным общей формулы I A-X-B в которой 1) А представляет монофункциональный гидрокарбильный радикал, имеющий общую формулу II 2) -Х- представляет мостик между А и В и состоит из бифункционального радикала, выбранного из алкиленовой группы, силануленовой группы, алкилзамещенной силаалкиленовой группы, силоксасиланиленовой группы; 3) В представляет монофункциональный гидрокарбильный радикал, выбранный из: е) любого из радикалов А, определенных выше, f) циклопентадиенильного радикала. Описаны также способы получения этих соединений и промежуточные соединения, используемые при получении циклопентадиенильных производных. Указанные соединения могут быть использованы для получения катализаторов, пригодных для гомо- и сополимеризации альфа-олефинов. 4 с. и 11 з.п. ф-лы, 9 табл.
Изобретение относится к новым мостиковым соединениям циклопентадиенильного типа и способу их получения. Известно, что большая часть растворимых катализаторов, пригодных для гомо- и сополимеризации альфа-олефинов, состоит из комплексов циркония или титана, имеющих лиганды бис-инденильного, бис-флуоренильного типа или смешанные, например флуоренилциклопентадиенильные лиганды (P.c.Mohring, N.J.Coville, J. Organomet Chem. 479, 1, 1994). Лиганды могут быть мостиковыми или немостиковыми. Наилучшие результаты, особенно с точки зрения высоких молекулярных масс, получают с мостиковыми лигандами (смотри J.C.W. Chem and D,He, Journal of Polymer Science, Part 11: Polymer Chemistry, Vol.29 (1991), page 1585). Тетрагидроинденильные производные являются более эффективными, чем соответствующие ненасыщенные производные, в особенности при включении со- и трет-мономеров, и поэтому в настоящее время их наиболее широко используют. Однако при этом возникает проблема, связанная с тем, что поскольку лиганды инденильного и флуоренильного типа являются легкодоступными, соответствующие тетрагидроинденильные производные получают прямым гидрированием циркониевого комплекса, когда трудно хемоселективно гидрировать исходные лиганды. Процесс гидрирования комплекса циркония имеет различные недостатки. В действительности, как указывается несколькими экспертами (смотри E.Samuel, Bull. Soc. Chem. Fr, 3548, 1966 и S.Collins et al. in J.Organometallic Chem. , 342, 21, 1988), при проведении такого гидрирования вследствие низких выходов и/или тяжелых условий возникают определенные трудности. Кроме того, в процессе гидрирования инденильных комплексов циркония получают два идентичных лиганда тетрагидроинденильного типа; на самом деле, невозможно получить этим способом асимметричные комплексы, имеющие один тетрагидроинденильный и один инденильный лиганд. Были найдены новые мостиковые циклопентадиенильные производные, при использовании которых преодолевают упомянутые выше недостатки, благодаря тому, что вследствие их структуры нет необходимости в вышеприведенной стадии гидрирования. В соответствии с этим настоящее изобретение относится к мостиковым производным циклопентадиенила, имеющим общую формулу I. A – X – B (I) в которой: 1) A представляет монофункциональный гидрокарбильный радикал, имеющий общую формулу II (II)в которой R и R’ выбирают из: –H –монофункциональных алкильных радикалов, имеющих от 1 до 3-х атомов углерода, –монофункциональных алкиларильных или арильных радикалов, при условии, что: –количество R, отличающихся от H, составляет не более двух, –по крайней мере один R’ является H; предпочтительно все R=H и R’ выбирают из H и CH3, 2) n представляет целое число от 2 до 20, и его предпочтительно выбирают из 3, 4, 5, 6, 10, 3) -X- представляет мостик между A и B и состоит из бифункционального радикала, выбранного из: a) линейной, разветвленной или циклической C2-C20-алкиленовой группы, b) алкил- или арилзамещенной силануленовой группы, имеющей от 1 до двух атомов кремния, c) алкилзамещенной силалкиленовой группы, d) силоксасиленовой группы или тетрааилкил- или тетраарилзамещенной -Si(R1)2 -O-Si(R2)2-, 4) B представляет монофункциональный гидрокарбильный радикал, выбранный из: e) любого из радикалов A, определенных выше, f) циклопентадиенильного радикала, Группы A представляют монофункциональные циклопентадиенильные радикалы, соответствующие углеводороды вкратце в дальнейшем будут названы AH, и они описаны в находящейся на рассмотрении заявке на патент IT-A-MI 95A 002707. Типичные примеры углеводородов AH, имеющих оба R’=H, приведены в таблице 1. Названия вышеприведенных углеводородов получены, используя Автономную программу института Бельштейна (Beilstein) – Информационную систему Бельштейна, и количество атомов углерода является таким же, как и в формуле IIa (IIa)В частности, углеводороды AH и, следовательно, соответствующие монофункциональные гидрокарбильные радикалы A выбирают из: -2,3,4,5,6,7,8-гексагидроазулена(R’=R=H и n = 5), -4,5,6,7,8,9-гексагидро-2H-циклопентациклооктена (R’=R=H и n = 6); -4,5,6,7,8,9,10,11,12,13-декагидро-2H-циклопентациклоциклододецена (R’= R==H и n = 10) -1-метил-4,5,6,7,8,9,10,11,12,13-декагидро-2H-циклопентациклододецена R’=CH, R=H, n=10). В одном варианте, -X- представляет линейный, разветвленный или циклический алкиленовый радикал, имеющий от 2 до 30 атомов углерода. Типичными примерами линейного -X- являются этилен, пропилен, бутилен, пентилен, гексилен. Типичными примерами разветвленного -X- являются изопропилиден (CH3-C-CH3), изобутилиден (CH3-C-C2H5), дифенилметилен (C6, H5-C-C6H5). Типичными примерами циклического алкиленового радикала X являются циклобутилен, циклопентилен, циклогексилен. В другом варианте, -X- представляет алкил- или арилзамещенную силаниленовую группу, имеющую от 1 до 2 атомов кремния, например, диметилсиланилен или -Si(CH3)2-, диэтилсиланилен, тетраметилдисилиланилен, или -Si(CH3)2-Si(CH3)2, диметилдиэтилдисиланилен, предпочтительно диметилсиланилен. В другом варианте, -X- группа состоит из кремний-углеродных последовательностей, т. е. алкилзамещенной силалкиленовой группы, например -Si(R’)2-C(R”)2-, в которой R’ представляет низший алкил и R” является водородом или низшим алкилом. Типичными примерами силалкиленовых групп являются: –1-сил-1,1-диметилэтилен, –2-сил-2,2-диметилпропилен, –1,3-дисил-1,1,3,3-тетраметилпропилен, В другом варианте, группа X представляет тетраалкил- или тетраарилзамещенный силоксасиланилен, т, е. -Si(R1)2-O-Si(R2)2, где R1 и R2, являющиеся одинаковыми или различными, могут быть алкильными или арильными радикалами. В предпочтительном варианте, -X- выбирают из линейных или разветвленных алкиленовых производных и диалкилсиланиленов, еще более предпочтительно ее выбирают из этилена, изопропилидена и диметилсиланилена. Что же касается B, то он представляет монофункциональный гидрокарбильный радикал, выбранный из: (e) любого из радикалов A, определенных выше, (f) циклопентадиенильного радикала, Когда B равен любой из производных A, определенных выше, продукт, имеющий общую формулу (I), будет состоять из двух циклопентадиенильных производных A, одинаковых или различных, соединенных друг с другом в положении 2 от мостика-X-. Эти структуры могут быть названы A-X-A’, в которых как A, так и A’, являющиеся одинаковыми или различными, имеют общую формулу (II), при условии, что в мостиковом продукте A-X-A двойные связи циклопентадиенильного кольца могут быть расположены в положениях 3,3a- и 1,(n+3)a- или в положениях 1,2- и 3a, (n+3)a-, где n имеет значение, определенное выше, и нумерацию положений, представленных в общей формуле (IIa), получают из упомянутой выше Автономной программы. Типичными примерами структур A-X-A’, в которых A’ являются такими же или отличающимися от A, представлены в таблицах 2a, 2b, 2c, 2d. Когда B не является гидрокарбильным радикалом, имеющим общую формулу (II), В представляет монофункциональный циклопентадиенильный радикал (f), выбранный из циклопентадиенила, инденила, флуоренила и родственных алкил-, арил-, триалкилсилилзамещенных производных; (f) предпочтительно выбирают из циклопентадиенила, инденила и флуоренила. Эти соединения названы A-X-C. Следует отметить, что как указано выше для продуктов A-X-A, в мостиковом продукте A-X-C двойные связи гидрокарбильного радикала A циклопентадиенильного кольца могут быть расположены в положениях 3, 3a- и 1,(n+3)a-, или 1,2- и 3a, (n+3)a-, где n имеет значение, определенное выше, и перечисление положений, представленных в общей формуле IIa, получают из упомянутой выше Автономной программы. Углеводороды, соответствующие монофункциональным циклопентадиенильным радикалам (f) здесь названы -FH. Место присоединения к мостику -X- вышеприведенных циклопентадиенильных производных (f) является таким, которое обычно получают в известной области. Инден, например, будет связан с мостиком -X- в положении 1 и флуорен в единственном неконденсированном положении 5-членного цикла. Таблицы 3a-3d подтверждают примеры структур типа A-X-C, в которых C является любым из монофункциональных циклопентадиенильных радикалов (f). Объектом настоящего изобретения является также способ получения соединений, имеющих общую формулу (1), в которой -X- выбирают из разветвленных или циклических алкиленовых производных и из диалкилзамещенных силаниленов. Вышеприведенные соединения получают, исходя из углеводородов A-H, которые определены выше, (т.е. из углеводородов, соответствующих радикалам A, имеющим общую формулу IIa), и с использованием способа, который изменяется в соответствии со структурой -X-. Когда -X- представляет бифункциональную производную типа R3-C-R4, где R3 и R4 выбирают из монофункциональных C1-C5-алкильных радикалов, фенила, или R3 и R4 вместе образуют C4-C5-алкиленовый радикал, реакция происходит в две стадии. В соответствии с этим, настоящее изобретение относится к способу получения соединений, имеющих общую формулу A-X-B, в которой A и B имеют вышеприведенное значение и -X- представляет радикал типа R3-C-R4, где R3 и R4 имеют вышеприведенное значение, который включает следующие стадии: i) конденсацию соединения общей формулы A-H, определенным выше, и кетона, имеющем общую формулу R3-CO-R4, для получения фульвенового соединения, имеющего общую формулу III (III)(ii) и последующее добавление к фульвеновому соединению, полученному на стадии (i), углеводорода BH, при этом углеводород BH выбирают из любого из углеводородов AH и FH, определенных выше. Стадию (i), вышеприведенной реакции, проводят в щелочной среде, предпочтительно с алкоголятом третичного спирта, еще более предпочтительно с третбутилатом калия. Стадию (ii) вышеприведенного способа предпочтительно осуществляют путем получения аниона углеводорода BH и последующего взаимодействия аниона с продуктом (III), полученным на стадии (i). Следует отметить, что описанный выше способ обеспечивает возможность получения соединений, в которых -X- образует мостик между радикалом A, всегда находящимся в положении 2, и циклопентадиенильным радикалом B в положении, определенном данной областью техники. Кроме того настоящее изобретение относится к промежуточным соединениям фульвенового типа, имеющим общую формулу (III), в которой n, R, R’, R3, и R4 имеют определенное выше значение; R=H,R’ предпочтительно выбирают из H и CH3, R3=R4=CH3 или C6H5, n выбирают из 3, 4, 5, 6, 10. Другой объект настоящего изобретения относится к способу получения соединений, имеющих общую формулу A1-X-A1, где X представляет диалкилсиланилен и радикалы A1, являющиеся одинаковыми, выбирают из радикалов A, определенных выше и который включает взаимодействие углеводорода A1H с диалкилгалогенсиланом, предпочтительно диалкилдихлорсиланом, при молярном соотношении A1H к диалкилгалогенсилану, равном около 2/1. В предпочтительном варианте, способ осуществляют путем получения аниона углеводорода A1H, предпочтительно с алкиллитием, и взаимодействия полученного таким образом аниона с дигалогенсиланом. Еще один объект настоящего изобретения относится к способу получения соединений, имеющих общую формулу A1-X-B, в которой; -X- является диалкилсиланиленом, A1 представляет монофункциональный гидрокарбильный радикал, выбранный из радикалов A, определенных выше, B выбирают из: –A2, где A2 представляет любой из радикалов B, определенных выше, отличающихся от A1, –циклопентадиенильного радикала (f); вышеуказанный способ осуществляют в две стадии, при этом первая стадия способа (стадия a) включает взаимодействие соединения A1H с диалкилдигалогенсиланом, предпочтительно диалкилдихлорсиланом, при молярном соотношении A1H к диалкилдигалогенсилану, равном 1/1; вторая стадия включает взаимодействие соединения, полученного на стадии (a), с углеводородом BH при по существу эквимолярном соотношении относительно полученного на стадии (a) продукта. В предпочтительном варианте, способ осуществляют путем получения аниона углеводорода A1H, предпочтительно с алкиллитием и последующего взаимодействия, на первой стадии, вышеуказанного аниона с дигалогенсиланом при молярном соотношении, равном 1 : 1. На второй стадии получают анион углеводорода BH, предпочтительно с алкиллитием, и этот анион взаимодействует с полученным на первой стадии соединением при молярном соотношении 1 : 1. Последующие примеры обеспечивают более лучшее иллюстрирование настоящего изобретения. ПРИМЕР 1. Синтез бис(2,4,5,6,7,8-гексагидроазулен-2-ил)диметилсилана 12 мл раствора 2.5M н-бутиллития в гексане добавляют при комнатной температуре к раствору в 100 мл ТГФ (тетрагидрофурана), содержащему 4,1 г (0.03 моля) 2,4,5,6,7,8-гексагидроазулена (полученного как описано в заявке на патент того же самого заявителя IT-A-MI 95A 002707), В результате экзотермической реакции образуется более твердое вещество. Смесь оставляют при перемешивании, осуществляемом в течение двух часов, затем охлаждают до -70oC и добавляют 1,93 г (0,015 моля) диметилдихлорсилана в течение периода времени около 20 минут. В течение ночи температура возрастает, и получают желтый раствор. После выпаривания растворителя продукт очищают на силикагельной колонке при элюировании петролейным эфиром. Полученный продукт загрязнен исходным диеном, который удаляют, сохраняя фракцию под механическим вакуумом в течение 24 часов. Получают 2,2 г продукта (выход 45%), который, как показал анализ ЯМР и газовой хроматографией, был чистым. Спектр 1H-ЯМР (CDCl3, частиц на миллион относительно ТМС (тетраметилсилан)) был следующим: 6,03(ш. с7, 4H), 3,07(ш. с., 2H), 2,50(м, 8H), 1,90-1,50(ш. с., 12H), 0,2(с, 6H). ПРИМЕР 2 Синтез 2-[1H-инден-1-ил)-метилэтил]-1,4,5,6,7,8-гексагидроазулена Готовят раствор 4,5 г (0,033 моля) 2,4,5,6,7,8-гексагидроазулена и 0,3 г третбутилата калия в 10 мл MeOH и 10 мл ацетона. Этот раствор оставляют при температуре кипения на 20 часов, в конце дополнительно добавляют 2,7 г требутилата калия. Смесь выдерживают при температуре кипения в течение еще 25 часов, после чего смесь выливают в воду и экстрагируют этиловым эфиром. После нейтрализации и ангидрификации эфирный экстракт выпаривают и остаток очищают элюированием петролейным эфиром на силикагельной колонке. Получают 3,8 г фульвеновой производной 2-изопропилиден-2,4,5,6,7,8-гексагидроазулена в виде желтого твердого вещества (выход 66%). Спектр 1H-ЯМР этого соединения (CDCl3 частей на миллион относительно ТМС) был следующим: 6,13(с, 2H), 2,47(м, 4H), 2,09(с, 6H), 1,64(м, 6H). Получают эфирный раствор (100 мл) индена (4,0 г, 0,034 моля). Добавляют 12 мл 2,5М раствора бутиллития в гексане и смесь оставляют при перемешивании на 3 часа. Затем к вышеприведенному раствору добавляют фульфеновую производную и охлаждают до -70oC. Дают температуре подняться при стоянии и смесь оставляют при перемешивании на 48 часов. Затем реакционную смесь гидролизуют в воде и экстрагируют этиловым эфиром, после выпаривания которого получают твердое вещество, которое очищают на силикагельной колонке с использованием в качестве элюента петролейного эфира. Получают 4,5 г продукта (выход 74%). Его спектр 1H-ЯМР (CDCl3, частей на миллион относительно ТМС) был следующим: 7,4-7,0(м, 4H), 6,8(дд, 1H), 6,45(дд, 1H), 5,95(с, 1H), 3,60(м, с., 1H), 3,10(ш. с., 2H), 2,40(м, 6H), 1,23(с, 3H), 0,94(с, 3H). ПРИМЕР 3 Синтез бис(декагидроциклопентацилододецен-2-ил)диметилсиланов 22 мл 2,5M BuLi в гексане добавляют к раствору 11 г 4,5,6,7,8,9,10,11,12,13-декагидро-2H-циклопентациклододецена, (полученного как описано в находящейся на рассмотрении заявке на патент IT-A-MI 95A 002707 того же самого заявителя), в 100 мл пентана. Смесь выдерживают при перемешивании в течение ночи, полученный осадок отфильтровывают и сушат, получая при этом 9,0 г соответствующей литиевой соли. Готовят раствор 3,4 г (0,16 молей) вышеприведенной литиевой соли в ТГФ (100 мл). К этому раствору в ТГВ при -70oC в течение примерно 20 минут добавляют 1,0 г (0,008 молей) диметилдихлорсилана. Температура возрастает в течение всей ночи, в результате получают желтый раствор. После выпаривания растворителя добавляют этиловый эфир и смесь гидролизуют разбавленной соляной кислотой. Эфирный экстракт промывают до нейтральной реакции, сушат, выпаривают. Остаток (3,7 г) очищают на силикагельной колонке при элюировании петролейным эфиром, Получают 2,2 г (выход 62%) продукта, анализ ЯМР которого доказал, что он является смесью бис(4,5,6,7,9,10,11,12,13-декагидро-2H-циклопентациклододецен-2-ил) диметилсилана. 1H-ЯМР (CDCl3, частей на миллион относительно ТМС): 6,62(с), 6,39(шс), 6,21(шс), 6,12(шс), 3,23(м), 2,91(с), 2,35(м), 1,88-0,84(м), 0,08(шс), 0,21(шс). 13C-ЯМР (CDCl3, частей на миллион относительно ТМС): 153,35, 146,07, 146,02, 141,49, 141,04, 138,44, 132,29, 132,01, 127,09, 125,09, 124,89, 121,46, 61,37, 46,25, 39,49, 32,30, 30,96, 30,76, 28,94, 28,90, 24,30. ПРИМЕР 4 Синтез 1,2-бис-(1-метил-4,5,6,7,8,9,10,11,12,13- декагидро-2H-циклопентациклододецен-2-ил)диметилсилана 28 мл (70. 10 ммолей) BuLi в гексане добавляют к 15,1 г (69,2 10-3 молей) 1-метил-4,5,6,7,8,9,10,11,12,13-декагидро-2H-циклопентациклододецена, полученного в соответствии с примером 4 заявки IT-F-MI 95A 002707, и разбавляют 100 мл пентана. Смесь перемешивают в течение ночи и затем фильтруют. Осадок извлекают и сушат, получают 12 г соответствующей литиевой соли.
К 5,6 г (25,7 10 молей) вышеприведенной литиевой соли, растворенной в 100 мл безводного ТГФ и охлажденной до -70oC, добавляют 1,7 г (13,2 10 молей) дихлорсилана: в течение ночи температура повышается до 20oC. После выпаривания растворителя добавляют диэтиловый эфир и реакционную смесь гидролизуют разбавленной HCl.
Органическую фазу промывают до нейтральной реакции, сушат и выпаривают. Остаток очищают на силикагельной колонке при элюировании петролейным эфиром.
Получают 3,5 г (выход 55oC) 1,2-бис-(1-метил-4,5,6,7,8,9,10,11,12,13-декагидро- 2H-циклопентациклододецен-2-ил)-диметилсилана.
Формула изобретения
А-Х-В, в которой 1) А представляет монофункциональный углеводородный радикал, имеющий общую формулу II ![]() в которой R и R* выбирают из H, монофункциональных алкильных радикалов, имеющих от 1 до 3 атомов углерода; 2) n представляет целое число от 4 до 10; 3) -Х- представляет мостик между А и В и состоит из бифункционального радикала, выбранного из: а) линейной или разветвленной С2-С3-алкиленовой группы, б) алкилзамещенной силаниленовой группы, имеющей 1 атом кремния; 4) В представляет монофункциональный углеводородный радикал, выбранный из e) любого из радикалов А, определенных выше, f) циклопентадиенильного радикала. 2. Циклопентадиенильные производные по п.1, где все R=H, R* выбирают из Н и СН3. 3. Циклопентадиенильные производные по п.1, где n выбирают из 4, 5, 10. 4. Циклопентадиенильные производные по п.1, где R=R*=H и n выбирают из 5 и 10. 5. Циклопентадиенильные производные по п. 1, где -Х- выбирают из С2-алкиленовых производных и диалкилсиланиленов, имеющих 1 атом кремния. 6. Циклопентадиенильные производные по п.5, где -Х- выбирают из этилена и диметилсиланилена. 7. Циклопентадиенильные производные по п.1, где В представляет монофункциональный циклопентадиенильный радикал (f), выбранный из циклопентадиенила, инденила. 8. Способ получении соединений по п.1, имеющих общую формулу А-Х-В, в которой А и В имеют вышеопределенные значения и -X- представляет радикал типа R3-C-R4, где R3 и R4 выбирают из монофункциональных С1-С5-алкильных радикалов, заключающийся в том, что он включает следующие стадии: i) конденсацию углеводорода общей формулы А-Н, где значение А определено выше, и кетона общей формулы R3-CO-R4 с получением фульвенового соединения, имеющего общую формулу III ![]() ii) добавление к фульвеновому соединению, имеющему общую формулу III, полученному на стадии (i), углеводорода ВН,. где ВН выбран из любого углеводорода, соответствующего монофункциональным углеводородным радикалам (е) и (f), определенным в п.1. 9. Способ по п.8, в котором стадию (i) осуществляют в щелочной среде, предпочтительно в присутствии алкоголята третичного спирта, более предпочтительно в присутствии третбутилата калия, стадию (ii) осуществляют путем получения аниона углеводорода ВН и последующего взаимодействия аниона с фульвеновым промежуточным соединением (III), полученным на стадии (i). 10. Способ по п.8, в котором R* выбирают из Н и СН3, R=H, R3=R4=СН3, n выбирают из 4, 5, 10. 11. Способ по п. 10, в котором кетон, имеющий общую формулу R3-СО-R4, представляет собой ацетон и n выбирают из 5, 10. 12. Фульвеновые производные общей формулы III ![]() в которой n, R, R*, R3 и R4 имеют вышеприведенные значения. 13. Фульвеновые производные по п.12, где R=H, R* выбирают из Н и СH3, R3=R4=СН3, n выбирают из 4, 5 и 10. 14. Способ получения соединений общей формулы АI-Х-АI, где Х является диалкилсиланиленом, и радикалы AI, являющиеся одинаковыми, выбирают из радикалов А, определенных выше, заключающийся в том, что проводят взаимодействие углеводорода АIН с диалкилдигалогенсиланом при молярном соотношении АIН к диалкилдигалогенсилану, равном около 2:1. 15. Способ по п.14, в котором диалкилдигалогенсилан представляет собой диалкилдихлорсилан. РИСУНКИ
MM4A – Досрочное прекращение действия патента СССР или патента Российской Федерации на изобретение из-за неуплаты в установленный срок пошлины за поддержание патента в силе
Дата прекращения действия патента: 06.11.2009
Извещение опубликовано: 20.09.2010 БИ: 26/2010
|
||||||||||||||||||||||||||

2) -Х- представляет мостик между А и В и состоит из бифункционального радикала, выбранного из алкиленовой группы, силануленовой группы, алкилзамещенной силаалкиленовой группы, силоксасиланиленовой группы; 3) В представляет монофункциональный гидрокарбильный радикал, выбранный из: е) любого из радикалов А, определенных выше, f) циклопентадиенильного радикала. Описаны также способы получения этих соединений и промежуточные соединения, используемые при получении циклопентадиенильных производных. Указанные соединения могут быть использованы для получения катализаторов, пригодных для гомо- и сополимеризации альфа-олефинов. 4 с. и 11 з.п. ф-лы, 9 табл.
(II)
(IIa)
(III)
10-3 молей) 1-метил-4,5,6,7,8,9,10,11,12,13-декагидро-2H-циклопентациклододецена, полученного в соответствии с примером 4 заявки IT-F-MI 95A 002707, и разбавляют 100 мл пентана. Смесь перемешивают в течение ночи и затем фильтруют. Осадок извлекают и сушат, получают 12 г соответствующей литиевой соли.
К 5,6 г (25,7 10 молей) вышеприведенной литиевой соли, растворенной в 100 мл безводного ТГФ и охлажденной до -70oC, добавляют 1,7 г (13,2 10 молей) дихлорсилана: в течение ночи температура повышается до 20oC. После выпаривания растворителя добавляют диэтиловый эфир и реакционную смесь гидролизуют разбавленной HCl.
Органическую фазу промывают до нейтральной реакции, сушат и выпаривают. Остаток очищают на силикагельной колонке при элюировании петролейным эфиром.
Получают 3,5 г (выход 55oC) 1,2-бис-(1-метил-4,5,6,7,8,9,10,11,12,13-декагидро- 2H-циклопентациклододецен-2-ил)-диметилсилана.


