|
|
(21), (22) Заявка: 2009109066/12, 14.08.2007
(24) Дата начала отсчета срока действия патента:
14.08.2007
(46) Опубликовано: 27.08.2010
(56) Список документов, цитированных в отчете о поиске:
US 2005/0171639 A1, 04.08.2005. US 5144716 A, 08.09.1992. JP 05-004177 A, 14.01.1993. RU 2253092 C2, 27.05.2005. DE 19802041 A1, 22.07.1999.
(85) Дата перевода заявки PCT на национальную фазу:
12.03.2009
(86) Заявка PCT:
KR 2007/003907 20070814
(87) Публикация PCT:
WO 2009/022759 20090219
Адрес для переписки:
129090, Москва, ул.Б.Спасская, 25, стр.3, ООО “Юридическая фирма Городисский и Партнеры”, пат.пов. А.В.Мицу, рег. 364
|
(72) Автор(ы):
ЧОНГ Чунг-Ук (KR), ДЗЕОНГ Киеонг-Сеон (KR), ХИУН Кие-Так (KR), ЧО Сеонг-Ку (KR), ХВАНГ Геун-Бае (KR), ЧОИ Киу-Чун (KR), ШИН Дзин-Хиоук (KR), ДЗАНГ Дзонг-Киу (KR)
(73) Патентообладатель(и):
ЭлДжи ЭЛЕКТРОНИКС, ИНК. (KR)
|
(54) ПЫЛЕСОС С ВОЗМОЖНОСТЬЮ АВТОМАТИЧЕСКОГО ПЕРЕМЕЩЕНИЯ И КОНТРОЛЯ ПОЛОЖЕНИЯ И СПОСОБ УПРАВЛЕНИЯ ПЫЛЕСОСОМ
(57) Реферат:
Изобретение касается пылесоса и способа его управления, позволяющего определять наклонное положение основного корпуса пылесоса и направлять колеса так, что основной корпус может сохранять свое положение и не падать. Пылесос содержит основной корпус, колесо, установленное на основном корпусе с возможностью вращения, узел привода для вращения колеса. В основном корпусе пылесоса размещен датчик для определения направления наклона основного корпуса и блок управления для такого управления узлом привода в соответствии с определенным датчиком направлением наклона основного корпуса, что основной корпус перемещается в направлении его наклона. Наружный диаметр колеса больше наружного диаметра основного корпуса. Датчик обращен к поверхности пола и определяет направление наклона корпуса посредством измерения расстояния между датчиком и поверхностью пола. Способ управления пылесосом заключается в перемещении его основного корпуса в направлении наклона, в определении направления наклона основного корпуса, в осуществлении расчета направления и скорости движения основного корпуса и в приведении в действие узла привода в соответствии со значениями параметров, полученными при расчете, таким образом, что основной корпус перемещается в направлении его наклона. Технический результат состоит в обеспечении управления узлом привода пылесоса так, что его основной корпус может сохранять свое положение и не падать, и в создании возможности управления скоростью и направлением перемещения основного корпуса пылесоса в соответствии с направлением движения узла всасывающей насадки при сохранении положения основного корпуса. 2 н. и 8 з.п. ф-лы, 9 ил.
Область техники
Настоящее изобретение относится к пылесосу, а конкретно к пылесосу, который может определять наклоненное положение основного корпуса и направлять колеса так, что основной корпус может сохранять свое положение и не падать.
Уровень техники
Пылесос засасывает воздух с загрязнениями посредством разрежения, создаваемого вакуумным исполнительным механизмом, установленным в корпусе, отфильтровывает загрязнения в основной части, накапливает их, после чего они удаляются.
Пылесос засасывает воздух с загрязнениями через всасывающую насадку. Если пользователь предполагает пропылесосить большую площадь, он должен постоянно менять положение всасывающей насадки и, следовательно, постоянно перемещать корпус, соединенный с всасывающей насадкой.
На фиг.1 показан обычный пылесос, в котором основной корпус 1 содержит колеса 2. Но при проведении уборки, чтобы переместить корпус 1, пользователь с усилием должен тянуть основной корпус 1, то есть помимо уборки пользователь тратит силы на перемещение пылесоса. Подобная работа становится тяжелой физической ношей для женщины, больного или пожилого человека, в результате уборка становится более трудоемкой и хлопотной. Чтобы решить указанные выше проблемы, необходимо минимизировать силу, прикладываемую для перемещения пылесоса. Кроме того, пылесос должен быть способен перемещаться или изменять направление перемещения, как того хочет пользователь, даже в узком месте.
Раскрытие изобретения
Техническая задача
Цель настоящего изобретения – создание пылесоса, который может управлять узлом привода так, что основной корпус может сохранять свое положение и не падать.
Также цель настоящего изобретения – создание пылесоса, который может управлять скоростью и направлением перемещения корпуса в соответствии с направлением движения узла всасывающей насадки при сохранении положения корпуса.
Также цель настоящего изобретения – создание пылесоса, который может управлять длиной шнура, высвобождаемого с катушки шнура, приведением в действие узла привода катушки шнура при сохранении положения и перемещении корпуса.
Также цель настоящего изобретения – создание способа управления пылесосом, чтобы корпус пылесоса мог сохранять свое положение.
Также цель настоящего изобретения – создание способа управления пылесосом, чтобы корпус пылесоса мог сохранять свое положение за счет выдерживания расстояния от всасывающей насадки в заданном диапазоне.
Также цель настоящего изобретения – создание способа управления пылесосом, при котором катушка шнура приводится в действие в соответствии с направлением и скоростью движения корпуса пылесоса.
Техническое решение
Согласно настоящему изобретению предлагается пылесос, содержащий основной корпус или просто корпус; колесо, установленное на корпусе с возможностью вращения; узел привода для управления колесом; размещенный в корпус датчик для определения направления наклона корпуса; блок управления для управления узлом привода в соответствии с направлением наклона корпуса, определенным датчиком. В данной конфигурации положение корпуса пылесоса может контролироваться в соответствии с теорией управления перевернутым маятником, то есть корпус пылесоса может сохранять свое положение и не падать.
Особенность настоящего изобретения состоит в том, что наружный диаметр колеса больше наружного диаметра корпуса. В такой конфигурации корпус может легко изменять направление движения, так как колесо имеет больший наружный диаметр. Кроме того, пылесос может легко преодолевать такие препятствия, как дверной порог.
Также особенность настоящего изобретения состоит в том, что датчик содержит любое из таких устройств, как гироскоп, акселерометр, датчик наклона или потенциометр.
Также особенность настоящего изобретения состоит в том, что датчик обращен к поверхности пола и определяет направление наклона корпуса, рассчитывая расстояние между датчиком и поверхностью пола. В данной конфигурации измеряющий прямое расстояние датчик, например ультразвуковой или инфракрасный, определяет увеличение или уменьшение расстояния между ним и поверхностью пола и направление наклона пылесоса.
Также особенность настоящего изобретения состоит в том, что блок управления приводит в действие узел привода, вследствие чего корпус может перемещаться в направлении наклона.
Также особенность настоящего изобретения состоит в том, что пылесос дополнительно содержит узел всасывающей насадки, соединенный с корпусом, и соответствующую пару датчиков, размещенных на корпусе и узле всасывающей насадки, для определения расстояния между корпусом и узлом всасывающей насадки, причем блок управления приводит в действие узел привода, чтобы расстояние между датчиком на корпусе и соответствующим датчиком находилось в заданных пределах. В данной конфигурации контролируется не только положение корпуса, но и расстояние между корпусом и узлом всасывающей насадки выдерживается в заданных пределах, что удобно для пользования.
Также особенность настоящего изобретения состоит в том, что устанавливаются две или более соответствующие пары датчиков, а блок управления контролирует направление и скорость движения, задаваемую блоком привода, путем сравнения расстояний, определяемых каждой соответствующей парой датчиков. В данной конфигурации корпус может перемещаться относительно направления движения узла всасывающей насадки, тем самым создавая удобство пользования.
Также особенность настоящего изобретения состоит в том, что пылесос дополнительно содержит катушку шнура и узел привода катушки шнура, причем блок управления приводит в действие узел привода катушки шнура в соответствии с функционированием узла привода для управления колесом. Поскольку в данной конфигурации блок управления управляет узлом привода катушки шнура, с которой разматывается и на которую сматывается шнур, в соответствии с перемещением основной части, пользователь может прерывать разматывание шнура перед уборкой и его сматывание после уборки.
Также особенность настоящего изобретения состоит в том, что предлагается способ управления пылесосом путем перемещения корпуса в направлении наклона, согласно которому определяют направление наклона корпуса; рассчитывают направление и скорость движения корпуса; приводят в действие блок привода в соответствии со значениями параметров, полученных при расчете.
Также особенность настоящего изобретения состоит в том, что при приведении в действие блока привода осуществляют управление каждым узлом привода для приведения в действие каждого колеса.
Также особенность настоящего изобретения в том, что при приведении в действие привода дополнительно реализуют процесс управления узлом привода катушки шнура в соответствии со значениями параметров, полученными на втором этапе.
Преимущества изобретения
В соответствии с предлагаемым в настоящем изобретении пылесосом и способом управления им корпус пылесоса может контролировать свое положение во время движения на основе теории управления перевернутым маятником.
Поскольку в соответствии с предлагаемым в настоящем изобретении пылесосом и способом управления им корпус пылесоса автоматически приводится в действие относительно положения узла всасывающего устройства, пользователю не нужно во время работы лично тянуть корпус, чем можно уменьшить трудозатраты по перемещению корпуса пылесоса или исключить их.
В соответствии с предлагаемым в настоящем изобретении пылесосом и способом управления им узел привода катушки шнура устанавливается на катушке шнура питания для автоматического разматывания и сматывания шнура питания согласно движению корпуса пылесоса. Следовательно, пользователю не нужно разматывать шнур питания на требуемую длину перед уборкой и наматывать его на катушку после уборки.
Краткое описание чертежей
Далее изобретение будет пояснено более подробно со ссылкой на прилагаемые чертежи, на которых:
Фиг.1 – пример известного пылесоса.
Фиг.2 и 3 – схемы, помогающие понять теорию управления перевернутым маятником, использованную для реализации управления пылесосом в настоящем изобретении.
Фиг.4 и 5 – пылесос с функцией управления положением, выполненный в соответствии с первым вариантом осуществления настоящего изобретения.
Фиг.6 – пылесос с функцией управления положением, содержащий датчик для определения расстояния между узлом всасывающей насадки и корпусом и выполненный в соответствии с другим вариантом осуществления настоящего изобретения.
Фиг.7 – пылесос с функцией управления положением, содержащий узел привода катушки шнура и выполненный в соответствии с третьим вариантом осуществления настоящего изобретения.
Фиг.8 и 9 – типовые блок-схемы, отражающие способ управления пылесосом в соответствии с первым вариантом осуществления настоящего изобретения.
Предпочтительные варианты осуществления изобретения
Пылесос и способ управления им, выполненные в соответствии с предпочтительными вариантами настоящего изобретения, будут описаны ниже со ссылками на сопутствующие чертежи.
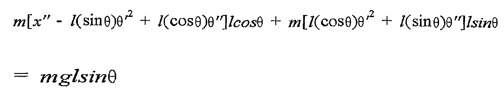
На фиг.2 показана модель, позволяющая понять теорию управления перевернутым маятником. Принцип перевернутого маятника будет кратко объяснен на простом примере. Если поставить на ладонь палку и несколько отклонить ее от равновесного состояния, то она легко упадет, то есть верхняя часть палки поворачивается и падает. В такой ситуации, если ладонь, а именно нижняя часть палки, движется в направлении падения верхней части палки, то палка не упадет. Указанный принцип и используется в теории управления перевернутым маятником.
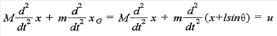
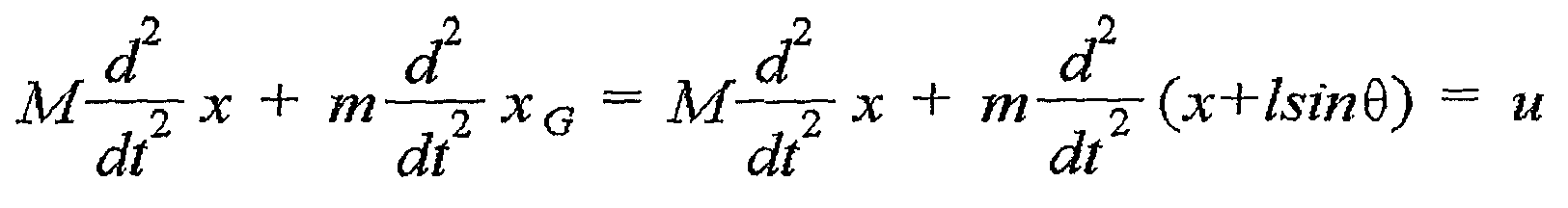
На фиг.2 угол, образованный палкой и вертикальной линией, обозначен . Принимается, что масса тележки равна M, масса маятника – m, длина палки – l, при этом масса маятника m сконцентрирована на конце палки, на котором подвешен маятник. Если система на плоскости xy ограничена двухмерным движением и координаты центра тяжести массы m маятника (xG, yG), то справедливо следующее уравнение:
Формула 1

Если ко всей системе, в том числе к тележке и массе, применить второй закон Ньютона, то уравнение движения в поступательном направлении x запишется так:
Формула 2

После суммирования:
Формула 3

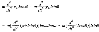
Масса m, подвешенная на палке, вращается вокруг оси палки, зафиксированной на тележке. Это вращение может быть представлено следующей формулой:
Формула 4


Формула 5

Здесь g обозначает ускорение свободного падения. Приведенную выше формулу можно упростить:
Формула 6

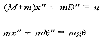
Уравнения движения формул 5 и 6 – это нелинейные дифференциальные уравнения. Перевернутый маятник предназначен для сохранения вертикального положения. Соответственно, можно принять, что угол и угловая скорость  (то есть ), очень маленькие величины, а именно:

Так как удовлетворяются равенства

то формулы 5 и 6 можно линеаризовать в линейные уравнения.
Формула 7

Формула 7 приближенно выполняется, если угол и угловая скорость  изменяются в узком диапазоне. Желательнее непрерывно контролировать положение корпуса пылесоса, чтобы значения угла и угловой скорости  находились в узком диапазоне, поскольку тогда сокращается расстояние для приведения в действие колес при управлении положением корпуса. Значит формулу 7 можно применять при допущении линейности уравнения. Описанная выше теория управления перевернутым маятником используется при управлении положением персонального транспортного средства под названием сегвэй и управления положением при ходьбе человекообразного робота.
На фиг.3 показаны стандартная система тел и способ управления ею в соответствии с настоящим изобретением. Если система тел, находящаяся в равновесном состоянии, отклоняется вперед, она перемещается вперед, чтобы снова достичь равновесного состояния. Если система тел отклоняется назад, то она перемещается назад.
В случае универсального маятника вес, то есть точка концентрации массы, находится в неподвижной точке и перемещается так, что система тел может сохранять устойчивое состояние – равновесное состояние. Вес опускается из самого верхнего положения в самую нижнюю точку с минимальной потенциальной энергией, которой характеризуется состоянием равновесия. Напротив, перевернутый маятник опирается на нефиксированную точку, и точка концентрации массы пребывает в самом верхнем положении. Если точка концентрации массы удерживается в самой верхней точке, на линии, перпендикулярной к нижней поверхности, то система тел находится в состоянии равновесия. Если точка концентрации массы не удерживается на линии, перпендикулярной к нижней поверхности, а отклоняется в какую-либо сторону, то, чтобы вернуться в равновесное состояние, опорная точка перемещается в ту сторону, в какую отклоняется точка концентрации массы, это положение теории перевернутого маятника и используется в настоящем изобретении.
В соответствии с вариантом осуществления изобретения наружный диаметр колеса 2 больше наружного диаметра корпуса 1 пылесоса. Если наружный диаметр колеса 2 большой, то пылесос приобретает преимущество в части изменения направления движения или преодоления дверных порогов. Датчик 71, обращенный к полу, устанавливается в корпусе 1 и может определять изменение расстояния между датчиком 71 и поверхностью пола, относительную скорость и ускорение датчика 71 по отношению к поверхности пола, или изменение угла, или угловую скорость и угловое ускорение. Блок управления (не показан) получает значения параметров, определенных датчиком 71, рассчитывает скорость и направление перемещения, необходимые для корпуса 1, чтобы сохранять нормальное положение и не падать, и отдает команды узлу привода (не показан) на приведение в движение колеса 2 в рассчитанном направлении с определенной скоростью.
Таким образом, когда пользователь собирается переместить корпус 1 вперед, он слегка наклоняет его с помощью ручки 4, соединенной корпусом 1 так, что последний сам контролирует свое положение и автоматически перемещается в направлении, выбранном пользователем. Кроме того, хотя пользователь непреднамеренно наклоняет корпус 1 при перемещении его вперед во время уборки, он толкает вперед узел 3 всасывающей насадки и ручку 4, соединенную с корпусом 1, поэтому последний следует за ручкой 4 и наклоняется вперед. На практике корпус 1 плавно перемещается, следуя за перемещением пользователя.
В соответствии с вариантом осуществления настоящего изобретения (фиг.5), если по обеим сторонам корпуса 1 устанавливаются два колеса 2, а для управления колесами 2 – соответственно два узла привода, корпус может вращаться и изменять направление движения, а также двигаться вперед и назад. Так как корпус 1 пылесоса может наклоняться в любом направлении, в том числе вперед и назад, предпочтительнее управлять двумя колесами 2 в соответствии с изменением направления движения.
В соответствии с более предпочтительным вариантом осуществления настоящего изобретения (фиг.6), чтобы перемещать корпус 1 относительно перемещения узла 3 всасывающей насадки, устанавливаются одна или несколько пар датчиков 72 и 73 для определения расстояния между корпусом 1 и узлом 3 всасывающей насадки. Датчики 72 и 73 могут быть оптическими, например инфракрасными или ультразвуковыми. Так, расстояния, определяемые датчиками 72 и 73, задаются на узле 3 всасывающей насадки и корпуса 1, причем они должны соответствовать друг другу. Расстояние между датчиками 72 и 73 – это расстояние между узлом 3 всасывающей насадки и корпусом 1. Если узел 3 всасывающей насадки и корпус 1 удаляются друг от друга, то корпус 1 перемещается вперед к узлу 3 всасывающей насадки, чтобы сохранить соответствующее расстояние от узла 3 всасывающей насадки. Если узел 3 всасывающей насадки и корпус 1 приближаются друг к другу, то корпус 1 перемещается назад. Пока корпус 1 перемещается относительно узла всасывающей насадки, блок управления контролирует положение корпуса 1 в соответствии с теорией управления перевернутым маятником, чтобы не допустить падения корпуса 1.
В соответствии с вариантом осуществления настоящего изобретения (фиг.7) на катушке 10 шнура питания устанавливается узел 8 привода катушки шнура. Когда блок управления подает управляющую команду узлу привода на приведение в действие колеса 2, а эта управляющая команда содержит численные значения аналогичной скорости для узла 8 привода катушки шнура, последний автоматически разматывает шнур 6 питания при перемещении корпуса 1. Следовательно, во время уборки пользователь может заранее исключить процесс разматывания шнура 6 питания на соответствующую длину.
Согласно настоящему изобретению также предлагается способ управления пылесосом. Когда пользователь перемещается для засасывания загрязнений в узел 3 всасывающей насадки, он обычно держится за ручку 4 и перемещает узел 3 всасывающей насадки вперед-назад. Если пользователь перемещает ручку 4 вперед, корпус 1 наклоняется вперед. В соответствии с вариантом осуществления изобретения определяется направление наклона корпуса 1. Направление наклона корпуса 1 и расстояние до него могут определяться по углу наклона или расстоянию до поверхности пола. Как сказано выше, для определения направления и угла наклона корпуса 1 могут применяться различные датчики, например гироскоп, акселерометр датчик наклона или потенциометр. После определения направления и угла наклона корпуса 1 в соответствии с теорией управления перевернутым маятником могут быть рассчитаны направление и скорость движения, необходимые, чтобы корпус 1 снова достиг состояния равновесия. Блок управления рассчитывает указанные параметры и выдает управляющую команду узлу привода, чтобы корпус 1 мог перемещаться в рассчитанном направлении с определенной скоростью.
В соответствии с вариантом осуществления настоящего изобретения предлагается способ управления узлами привода для приведения в действие двух колес 2, установленных на корпусе 1. При проведении пользователь может поворачиваться вправо-влево и двигаться вперед-назад, когда он перемещает ручку 4 вправо-влево, корпус 1 наклоняется вправо-влево. В этом случае направление, в котором должен двигаться корпус 1, рассчитывается как направление вправо или направление влево. Чтобы выдать команду на перемещение корпуса 1 в рассчитанном направлении, блок управления должен соответственно быть способен контролировать узлы привода. Например, если корпусу 1 требуется двигаться быстрее влево, то скорость вращения левого узла привода может быть отрегулирована так, что она будет выше, чем скорость вращения правого узла привода. Если корпусу 1 требуется изменить направление движения, находясь в том же положении, то узел привода одного колеса может быть остановлен, а узел привода другого может продолжать работать. Таким образом, в данном варианте осуществления предлагается способ управления узлами привода для приведения в действие колес 2.
В соответствии с вариантом осуществления настоящего изобретения предлагается способ управления автоматической катушкой 10 шнура для разматывания и сматывания шнура 6 питания при управлении колесами 2. Блок управления получает данные о направлении и угле наклона корпуса 1, рассчитывает скорость и направление движения колеса 2 корпуса 1 и выдает управляющую команду узлу привода. Если шнур 6 питания разматывается и сматывается с катушки 10 шнура с той же скоростью и в том же направлении, что у колеса 2, то шнур 6 питания остается в неизменном натяжении. Поскольку высвобождаемая длина шнура 6 питания регулируется должным образом, пользователь может без труда делать ее. Узел 8 привода катушки шнура может устанавливаться на катушке 10 шнура. Предпочтительно, что узел привода 8 катушки шнура представляет собой реверсивный двигатель, предпочтительнее – шаговый реверсивный двигатель.
Хотя выше были описаны предпочтительные варианты осуществления настоящего изобретения, очевидно, что оно не должно ограничиваться указанными вариантами и специалист в данной области техники может выполнить различные изменения и модификации в пределах существа и объема настоящего изобретения, как описано в заявке.
Формула изобретения
1. Пылесос, содержащий: основной корпус пылесоса; колесо, установленное на основном корпусе с возможностью вращения; узел привода для приведения колеса; размещенный в основном корпусе датчик для определения направления наклона основного корпуса; блок управления для такого управления узлом привода в соответствии с направлением наклона основного корпуса, определенным датчиком, что основной корпус перемещается в направлении его наклона.
2. Пылесос по п.1, в котором наружный диаметр колеса больше наружного диаметра основного корпуса.
3. Пылесос по п.1, в котором датчик содержит любое из таких устройств как гироскоп, акселерометр, датчик наклона или потенциометр.
4. Пылесос по п.1, в котором датчик обращен к поверхности пола и определяет направление наклона корпуса посредством измерения расстояния между датчиком и поверхностью пола.
5. Пылесос по п.1, содержащий узел всасывающей насадки, соединенный с корпусом, и соответствующую пару датчиков, размещенных на основном корпусе и на узле всасывающей насадки для определения расстояния между основным корпусом и узлом всасывающей насадки, причем блок управления приводит в действие узел привода так, что расстояние между датчиком основного корпуса и соответствующим датчиком находится в заданных пределах.
6. Пылесос по п.5, в котором установлены две или более соответствующих пар датчиков, а блок управления управляет направлением приведения и скоростью узла привода посредством сравнения расстояния между каждой парой ответных датчиков.
7. Пылесос по п.1, дополнительно содержащий катушку шнура и узел привода катушки шнура, причем блок управления приводит в действие узел привода катушки шнура в соответствии с функционированием узла привода, приводящего в действие колесо.
8. Способ управления пылесосом, заключающийся в перемещении корпуса в направлении наклона, согласно которому определяют направление наклона основного корпуса; рассчитывают направление и скорость движения основного корпуса; и приводят в действие узел привода в соответствии со значениями параметров, полученными при расчете, таким образом, что основной корпус перемещается в направлении его наклона.
9. Способ по п.8, согласно которому при приведении управляют каждым узлом привода для приведения в действие каждого колеса.
10. Способ по п.8, согласно которому дополнительно осуществляют процесс приведения в действие узла привода катушки шнура в соответствии со значениями параметров, полученными при расчете.
РИСУНКИ
|
|