|
|
(21), (22) Заявка: 2009118605/09, 18.10.2007
(24) Дата начала отсчета срока действия патента:
18.10.2007
(30) Конвенционный приоритет:
19.10.2006 JP 2006-284522
(46) Опубликовано: 20.08.2010
(56) Список документов, цитированных в отчете о поиске:
JP 2004-147433 A, 20.05.2004. JP 2005-20986 A, 20.01.05. RU 2001494 C1, 15.10.1993.
(85) Дата перевода заявки PCT на национальную фазу:
19.05.2009
(86) Заявка PCT:
JP 2007/001136 20071018
(87) Публикация PCT:
WO 2008/047479 20080424
Адрес для переписки:
129090, Москва, ул.Б.Спасская, 25, стр.3, ООО “Юридическая фирма Городисский и Партнеры”, пат.пов. А.В.Мицу, рег. 364
|
(72) Автор(ы):
КОНО Масаки (JP)
(73) Патентообладатель(и):
МИЦУБИСИ ЭЛЕКТРИК КОРПОРЕЙШН (JP)
|
(54) УСТРОЙСТВО ПРЕОБРАЗОВАНИЯ МОЩНОСТИ
(57) Реферат:
Изобретение относится к средствам преобразования мощности. Средство (5) оценки обнаруженного значения напряжения постоянного тока производит выборку обнаруженных значений напряжения постоянного тока через конкретные интервалы периода Т, сохраняет обнаруженные значения от Vn до Vn-m напряжения постоянного тока, обнаруженные в текущее время tn до времени tn-m выборки, которое на m циклов выборки (m 1) раньше, чем текущее время tn, и вычисляет значение Vn+1 оценки напряжения постоянного тока в следующее время tn+1, используя обнаруженные значения от Vn до Vn-m напряжения постоянного тока, выражая кривую, соединяющую значения от Vn до Vn-m напряжения, посредством конкретной функции. Средство (6) управления выходным напряжением, к которому подводится значение Vn+1 оценки напряжения постоянного тока, корректирует значение сигнала управления выходным напряжением и выводит скорректированное значение сигнала управления выходным напряжением в преобразователь (1) мощности. Технический результат – повышение точности. 5 н. и 11 з.п. ф-лы, 18 ил.
Область техники, к которой относится изобретение
Настоящее изобретение относится к устройству преобразования мощности, пульсация выходного напряжения которого уменьшается за счет корректировки выходного напряжения преобразователя мощности.
Уровень техники
Общераспространенной практикой является уменьшение пульсации крутящего момента, создаваемой нагрузкой, такой как, например, электродвигатель переменного тока, соединенный с преобразователем мощности (инвертором), посредством обнаружения напряжения постоянного тока средства выпрямления для выпрямления энергии переменного тока, корректировки выходного напряжения инвертора с помощью информации об этом постоянном напряжении и подавления пульсации выходного напряжения инвертора, вызываемой периодической пульсацией вышеупомянутого напряжения постоянного тока. В результате последних технологических достижений теперь необходимо, чтобы крутящий момент, выводимый посредством этого типа электродвигателя переменного тока, например, с помощью инвертора, управлялся еще точнее.
Чтобы удовлетворить это требование, предшествующий уровень техники раскрывает устройство корректировки выходного напряжения инвертора для подавления пульсации выходного напряжения инвертора, вызываемой пульсацией напряжения постоянного тока, обусловленной, например, дисбалансом междуфазных напряжений трехфазного источника питания переменного тока или уменьшением емкости конденсатора средства выпрямления. Это устройство корректировки выходного напряжения инвертора корректирует значение сигнала управления выходным напряжением согласно колебаниям в напряжении постоянного тока посредством использования микрокомпьютера и управляет инвертором посредством использования значения управления выходным напряжением, скорректированного таким образом, при этом устройство корректировки выходного напряжения инвертора включает в себя средство оценки обнаруженного значения напряжения постоянного тока для оценки обнаруженного значения напряжения постоянного тока во время выборки формы выходного сигнала из обнаруженного значения напряжения постоянного тока, полученного в точке предыдущего прерывания несущей, и значения, полученного в точке текущего прерывания несущей (к примеру, Патентный документ 1).
Патентный документ 1. Выложенная заявка на патент (Япония) номер 2004-147433.
Сущность изобретения
Проблемы, которые должны быть разрешены изобретением
Компоновка, показанная в Патентном документе 1, тем не менее, обнаруживает напряжение постоянного тока синхронно с периодом несущей, так что имеется проблема в том, что невозможно обнаруживать напряжение постоянного тока в моменты времени выборки, несинхронизированные с несущей частотой. Кроме того, поскольку обнаруженное значение напряжения постоянного тока во время выборки формы выходного сигнала оценивается из предшествующих и текущих обнаруженных значений напряжения постоянного тока, пульсация отдельных обнаруженных значений не распознается в форме функции, и по этой причине возникает большая погрешность в оцененном значении, тем самым вызывая проблему при более точном подавлении пульсации выходного напряжения инвертора.
Кроме того, в этом Патентном документе 1 показана компоновка, применяемая к трехфазному источнику питания переменного тока. Таким образом, если эта компоновка применяется к однофазному источнику питания переменного тока, оцененное значение обнаружения напряжения постоянного тока может значительно отклоняться от истинного напряжения постоянного тока в пределах амплитудных пиков изменяющегося напряжения постоянного тока, вызывая так называемое явление биения, при котором выходной ток инвертора существенно колеблется. Это приводит к проблеме возникновения пульсации крутящего момента в двигателе переменного тока, который должен быть приведен в действие, например, потенциально вызывая возможную поломку устройств в инверторе.
Настоящее изобретение нацелено на преодоление вышеупомянутой проблемы. Соответственно, цель изобретения состоит в том, чтобы предоставить устройство преобразования мощности, которое подавляет пульсацию выходного напряжения инвертора более точно независимо от того, какой тип имеет источник питания переменного тока: однофазный или трехфазный.
Средство разрешения проблем
Устройство преобразования мощности настоящего изобретения обеспечено преобразователем мощности, к которому подводится напряжение постоянного тока от средства выпрямления для выпрямления электропитания переменного тока, при этом преобразователь мощности выполнен с возможностью управлять и возбуждать нагрузку, средством восприятия напряжения для обнаружения напряжения постоянного тока средства выпрямления, средством оценки обнаруженного значения напряжения постоянного тока, к которому подводится обнаруженное значение напряжения постоянного тока, обнаруженное посредством средства восприятия напряжения, при этом средство оценки обнаруженного значения напряжения постоянного тока выполнено с возможностью выводить значение оценки напряжения постоянного тока, и средством управления выходным напряжением, к которому подводится выходной сигнал средства оценки обнаруженного значения напряжения постоянного тока, при этом средство управления выходным напряжением выполнено с возможностью управлять выходным напряжением преобразователя мощности.
Средство оценки обнаруженного значения напряжения постоянного тока производит выборку обнаруженного значения напряжения постоянного тока через конкретные интервалы периода T, сохраняет обнаруженные значения от Vn до Vn-m напряжения постоянного тока, обнаруженные в текущее время tn до времени tn-m выборки, которое на m циклов выборки (m 1) раньше, чем текущее время tn, и вычисляет значение Vn+1 оценки напряжения постоянного тока в следующее время tn+1, используя обнаруженные значения от Vn до Vn-m напряжения постоянного тока, выражая кривую, соединяющую значения от Vn до Vn-m напряжения, посредством конкретной функции. Средство управления выходным напряжением, к которому подводится значение Vn+1 оценки напряжения постоянного тока, корректирует значение сигнала управления выходным напряжением и выводит скорректированное значение сигнала управления выходным напряжением в преобразователь мощности.
Преимущество изобретения
Согласно устройству преобразования мощности настоящего изобретения, можно вычислять значение оценки напряжения постоянного тока, выражающее колеблющиеся значения напряжения постоянного тока, выпрямленного средством выпрямления посредством конкретной функции, и корректировать выходное напряжение преобразователя мощности более точно посредством использования значения оценки, чтобы уменьшить пульсацию выходного напряжения преобразователя мощности. Поэтому можно подавлять явление биения выходного тока преобразователя мощности и устанавливать конкретные интервалы выборки. Поскольку интервалы выборки могут быть сделаны несинхронизированными с несущей частотой, преимущество заключается в том, что изобретение может предоставить устройство преобразования мощности, применимое или к однофазному, или к трехфазному источнику питания переменного тока.
Краткое описание чертежей
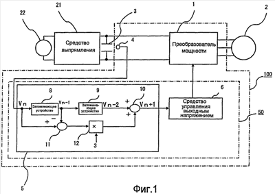
Фиг. 1 является блок-схемой, показывающей устройство преобразования мощности согласно первому варианту осуществления настоящего изобретения;
Фиг. 2 является схемой, показывающей принцип действия средства оценки обнаруженного значения напряжения постоянного тока первого варианта осуществления настоящего изобретения;
Фиг. 3 является конфигурационной схемой, показывающей средство управления выходным напряжением первого варианта осуществления настоящего изобретения;
Фиг. 4 является схемой, показывающей результат оценки значений оценки напряжения постоянного тока и фактически измеренной формы сигнала напряжения постоянного тока, согласно первому варианту осуществления настоящего изобретения;
Фиг. 5 является схемой, показывающей интервалы выборки и средние оцененные погрешности напряжения, согласно второму варианту осуществления настоящего изобретения;
Фиг. 6 является схемой, показывающей ссылочный пример, указывающий результат оценки значений оценки напряжения постоянного тока и фактически измеренной формы сигнала напряжения постоянного тока;
Фиг. 7 является схемой, показывающей другой ссылочный пример, указывающий результат оценки значений оценки напряжения постоянного тока и фактически измеренной формы сигнала напряжения постоянного тока;
Фиг. 8 является блок-схемой, показывающей устройство преобразования мощности, согласно третьему варианту осуществления настоящего изобретения;
Фиг. 9 является блок-схемой, показывающей средство оценки обнаруженного значения напряжения постоянного тока третьего варианта осуществления настоящего изобретения;
Фиг. 10 является схемой, показывающей результат оценки значений оценки напряжения постоянного тока и фактически измеренной формы сигнала напряжения постоянного тока, согласно третьему варианту осуществления настоящего изобретения;
Фиг. 11 является блок-схемой, показывающей устройство преобразования мощности, согласно четвертому варианту осуществления настоящего изобретения;
Фиг. 12 является блок-схемой, показывающей средство оценки обнаруженного значения напряжения постоянного тока четвертого варианта осуществления настоящего изобретения;
Фиг. 13 является схемой, показывающей результат оценки значений оценки напряжения постоянного тока и фактически измеренной формы сигнала напряжения постоянного тока, согласно четвертому варианту осуществления настоящего изобретения;
Фиг. 14 является блок-схемой, показывающей устройство преобразования мощности, согласно пятому варианту осуществления настоящего изобретения;
Фиг. 15 является схемой, показывающей принцип действия средства оценки обнаруженного значения напряжения постоянного тока пятого варианта осуществления настоящего изобретения;
Фиг. 16 является блок-схемой, показывающей устройство преобразования мощности, согласно шестому варианту осуществления настоящего изобретения;
Фиг. 17 является схемой, показывающей принцип действия средства оценки обнаруженного значения напряжения постоянного тока шестого варианта осуществления настоящего изобретения; и
Фиг. 18 является блок-схемой, показывающей устройство преобразования мощности, согласно седьмому варианту осуществления настоящего изобретения.
Лучшие варианты осуществления изобретения
Далее описываются лучшие варианты осуществления настоящего изобретения со ссылкой на чертежи.
Первый вариант осуществления
Фиг. 1 является блок-схемой, показывающей конфигурацию устройства 100 преобразования мощности, согласно первому варианту осуществления настоящего изобретения. Ссылаясь на фиг. 1, выходное напряжение однофазного или трехфазного источника 22 питания переменного тока выпрямляется средством 21 выпрямления, и напряжение постоянного тока, выпрямленное таким образом, вводится в преобразователь 1 мощности через конденсатор 3 фильтра. Этот преобразователь 1 мощности управляет и приводит в действие вращающуюся машину 2 переменного тока, выступающую в качестве нагрузки, на основе выходного сигнала описанного ниже микрокомпьютера 50.
Средство 4 восприятия напряжения обнаруживает напряжение постоянного тока через конденсатор 3 фильтра и выводит результат обнаружения в микрокомпьютер 50. Микрокомпьютер 50 сконфигурирован со средством 5 оценки обнаруженного значения напряжения постоянного тока, которое подробнее описывается далее, и средством 6 управления выходным напряжением, которое принимает выходной сигнал средства 5 оценки обнаруженного значения напряжения постоянного тока и подавляет пульсацию выходного напряжения преобразователя 1 мощности. Таким образом, устройство 100 преобразования мощности из первого варианта осуществления сконфигурировано со средством 4 восприятия напряжения, микрокомпьютером 50 и преобразователем 1 мощности, упомянутыми выше.
Обращаясь к фиг. 1 и 2, средство 5 оценки обнаруженного значения напряжения постоянного тока, обеспеченное в микрокомпьютере 50, включает в себя первое запоминающее устройство 8 для сохранения обнаруженного значения Vn-1 напряжения постоянного тока, обнаруженного посредством средства 4 восприятия напряжения во время tn-1 выборки за один цикл выборки до текущего времени выборки (текущего времени) tn, второе запоминающее устройство 9 для сохранения обнаруженного значения Vn-2 напряжения постоянного тока, обнаруженного во время tn-2 выборки за два цикла выборки до текущего времени tn выборки, сумматор 10, модуль 11 вычитания и умножитель 12. Работа сумматора 10, модуля 11 вычитания и умножителя 12 описывается позже.
Средство 21 выпрямления из первого варианта осуществления может быть или отдельно возбуждаемой схемой выпрямления, использующей схему диодного выпрямления или схему мостового выпрямления, или схемой самокоммутирующегося выпрямления, использующей преобразователь, который выполняет операцию управления с широтно-импульсной модуляцией (PWM). Кроме того, преобразователь 1 мощности имеет блок управления PWM, например, для управления вращающейся машиной 2 переменного тока, посредством вывода стробирующего сигнала. В данном документе описание операции управления PWM не предоставляется, поскольку она является технологией по предшествующему уровню техники. Хотя этот вариант осуществления показывает пример, использующий микрокомпьютер 50, оснащенный средством 5 оценки обнаруженного значения напряжения постоянного тока и средством 6 управления выходным напряжением, изобретение не ограничено этим примером, использующим микрокомпьютер 50, и может быть любой компоновкой, имеющей эквивалентную функцию.
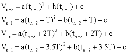
Далее описывается принцип действия средства 5 оценки обнаруженного значения напряжения постоянного тока из первого варианта осуществления. Рассматривая форму 80 сигнала напряжения постоянного тока как данные временных рядов и выражая форму 80 сигнала напряжения постоянного тока посредством квадратической функции, показанной на фиг. 2, средство 5 оценки обнаруженного значения напряжения постоянного тока оценивает значение Vn+1 оценки напряжения постоянного тока в следующее время tn+1 выборки из обнаруженного значения Vn напряжения постоянного тока, после выборки в текущее время выборки (текущее время) tn, обнаруженного значения Vn-1 напряжения постоянного тока, после выборки во время tn-1 выборки за один цикл выборки до текущего времени, и обнаруженного значения Vn-2 напряжения постоянного тока, после выборки во время tn-2 выборки за два цикла выборки до текущего времени.
T , показанное на фиг. 2, обозначает конкретные интервалы выборки периода времени, которые могут быть произвольно установлены при разработке микрокомпьютера 50. Ниже поясняется случай, когда кривая, соединяющая значения Vn-2 с Vn+1 на фиг. 2, выражается посредством квадратической функции.
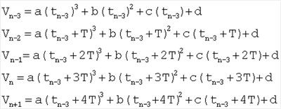
В частности, значение Vn+1 оценки напряжения постоянного тока в следующее время tn+1 выборки, обнаруженное значение Vn напряжения постоянного тока в текущее время tn выборки, обнаруженное значение Vn-1 напряжения постоянного тока во время tn-1 выборки на один цикл выборки раньше, и обнаруженное значение Vn-2 напряжения постоянного тока во время tn-2 выборки на два цикла выборки раньше могут быть выражены посредством уравнений (1) ниже:
(1)
Удаляя произвольные числа a, b и c, а также tn-2 и T из уравнений (1) выше, значение Vn+1 оценки напряжения постоянного тока в следующее время выборки вычисляется так, как указано ниже посредством уравнения (2):
(2)
Средство 5 оценки обнаруженного значения напряжения постоянного тока, обеспеченное в микрокомпьютере 50, показанном на фиг. 1, показывает конфигурацию на основе уравнения (2) выше. Работа средства 5 оценки обнаруженного значения напряжения постоянного тока описывается далее со ссылкой на фиг. 1.
Модуль 11 вычитания в средстве 5 оценки обнаруженного значения напряжения постоянного тока вычитает обнаруженное значение Vn-1 напряжения постоянного тока, обнаруженное во время tn-1 на один цикл выборки раньше и сохраненное в первом запоминающем устройстве 8, из обнаруженного значения Vn напряжения постоянного тока, обнаруженного в текущее время tn, и умножитель 12 умножает выходной сигнал модуля 11 вычитания на конкретную константу “3”. Затем, сумматор 10 суммирует результат умножения посредством умножителя 12 и обнаруженное значение Vn-2 напряжения постоянного тока, обнаруженное во время tn-2 на два цикла выборки раньше и сохраненное во втором запоминающем устройстве 9. Вкратце, средство 5 оценки обнаруженного значения напряжения постоянного тока выполняет математическую операцию, выраженную посредством уравнения (2), и выводит результат этой операции в средство 6 управления выходным напряжением как значение оценки напряжения постоянного тока в следующее время tn+1 выборки.
Средство 6 управления выходным напряжением выполняет операцию корректировки коэффициента модуляции, используемого при выполнении широтно-импульсной модуляции, согласно значению Vn+1 оценки напряжения постоянного тока в следующее время tn+1 выборки, оцененному посредством средства 5 оценки обнаруженного значения напряжения постоянного тока.
Фиг. 3 является конфигурационной схемой, показывающей один конкретный пример средства 6 управления выходным напряжением. В средстве 6 управления выходным напряжением по фиг. 3, значение Vn+1 оценки напряжения постоянного тока, оцененное посредством средства 5 оценки обнаруженного значения напряжения постоянного тока, преобразуется в значение, соответствующее фазному напряжению, посредством средства 15 коэффициента преобразования напряжения постоянного тока в фазное напряжение, и это значение преобразуется в значение, соответствующее обратной величине, посредством средства 16 преобразования в обратную величину. Значение, полученное преобразованием посредством средства 16 преобразования в обратную величину, умножается на значение сигнала управления напряжением, полученное посредством средства 17 сигналов управления частотой/напряжением, согласно сигналу управления частотой, установленному посредством средства 18 установки сигнала управления частотой, посредством умножителя 12a, чтобы тем самым вычислять коэффициент модуляции, используемый при выполнении широтно-импульсной модуляции. Оценивая напряжение постоянного тока посредством использования этого коэффициента модуляции, средство 6 управления выходным напряжением корректирует выходное напряжение преобразователя 1 мощности так, чтобы уменьшать пульсацию выходного напряжения преобразователя 1 мощности. Согласно сигналу управления частотой, установленному посредством средства 18 установки сигнала управления частотой, интегратор 19 интегрирует значения, умноженные на 2 посредством умножителя 12b, чтобы определить фазу и, согласно этой фазе, синусоидальная волна, представляющая сигнал управления трехфазным напряжением, формируется посредством генератора 20 сигнала управления синусоидальной волны трехфазного напряжения. Затем, значение, полученное посредством умножения сигнала управления синусоидальной волны трехфазного напряжения на коэффициент модуляции, используется для выходного сигнала широтно-импульсной модуляции из умножителя 12a, посредством умножителя 12c, или значение сигнала управления выходным напряжением, выводится в блок управления PWM преобразователя 1 мощности. Явление биения выходного тока преобразователя 1 мощности подавляется посредством приведения в действие преобразователя 1 мощности посредством вышеупомянутой операции управления PWM. Хотя средство 6 управления выходным напряжением вышеупомянутой конфигурации пояснено в качестве примера в первом варианте осуществления, также можно достичь того же результата посредством использования средства управления выходным напряжением на основе другого эффективного способа, такого как векторное управление.
На фиг. 4 показывается результат оценки значений Vn+1 оценки напряжения постоянного тока и фактически измеренной формы сигнала напряжения постоянного тока. Как можно видеть из фиг. 4, значение оценки напряжения постоянного тока (Vest на фиг. 4), в общем, соответствует фактически измеренной форме сигнала напряжения постоянного тока (Vdc на фиг. 4), и это позволяет выполнять управление более определенно, по сравнению с предшествующим уровнем техники. Следует отметить, что фактическая форма Vdc сигнала напряжения постоянного тока – это форма сигнала напряжения постоянного тока, наблюдаемая, когда напряжение постоянного тока получено при условиях, где однофазное напряжение переменного тока, подаваемое из источника питания, выпрямляется посредством однофазной схемы диодного выпрямления. Как очевидно из формы сигнала напряжения постоянного тока по фиг. 4, составляющая пульсации напряжения постоянного тока, получаемого из однофазной схемы диодного выпрямления, не показывает синусоидальную волну, но во многом похожа на пилообразную волну, и частота составляющей пульсации становится двойной частотой частоты напряжения источника. Следовательно, в случае однофазного источника питания на 60 Гц, составляющая пульсации имеет частоту 120 Гц. На фиг. 4 показан результат, полученный с интервалами выборки периода, задаваемого равным 250 мкс. Хотя источник 22 питания переменного тока первого варианта осуществления – это однофазный источник питания, нет необходимости упоминать, что тот же самый результат получается, даже когда вместо однофазного источника питания применяется трехфазный источник питания.
Как пояснено выше, устройство 100 преобразования мощности этого первого варианта осуществления обнаруживает напряжение постоянного тока, выводимое из средства 21 выпрямления, посредством средства 4 восприятия напряжения, подводит обнаруженное значение напряжения постоянного тока, обнаруженное таким образом, к средству 5 оценки обнаруженного значения напряжения постоянного тока, обеспеченному в микрокомпьютере 50, с произвольно установленными конкретными интервалами периода T, выполняет математическую операцию, выраженную посредством уравнения (2), показанного ранее, и корректирует коэффициент широтно-импульсной модуляции преобразователя 1 мощности, согласно значению Vn+1 оценки напряжения постоянного тока в следующее время tn+1 выборки. Поэтому можно в достаточной степени подавлять пульсацию выходного напряжения, вызываемую составляющей пульсации напряжения постоянного тока, и, тем самым, также уменьшать явление биения выходного тока.
В традиционном подходе управления с помощью микрокомпьютера сигнал управления, выводимый из микрокомпьютера, отражается в преобразователе мощности с задержкой на один цикл выборки после обнаружения напряжения постоянного тока, так что пульсация выходного напряжения не может быть подавлена в достаточной степени.
В этом первом варианте осуществления, тем не менее, обнаруженные значения напряжения постоянного тока во время выборки на один и на два цикла выборки до текущего времени, обнаруживаются посредством средства 5 оценки обнаруженного значения напряжения постоянного тока, обеспеченного в микрокомпьютере 50, через конкретные интервалы выборки, и значение Vn+1 оценки напряжения постоянного тока в следующее время tn+1 выборки оценивается посредством рассмотрения формы 80 сигнала напряжения постоянного тока, формируемой посредством соединения этих значений как квадратической функции, так что вышеупомянутый недостаток традиционного подхода управления с помощью микрокомпьютера, вызываемый задержкой управления на один цикл выборки, преодолевается.
Второй вариант осуществления
Второй вариант осуществления, поясненный здесь, нацелен на ограничение интервалов выборки периода T обнаружения напряжения постоянного тока посредством микрокомпьютера 50, обеспеченного в устройстве 100 преобразования мощности. В частности, период T выборки устанавливается таким образом, что значение, полученное посредством деления обратной величины периода T выборки на частоту составляющей пульсации, становится равным 10 или выше. С этой компоновкой можно обеспечить высокую степень точности оценки напряжения постоянного тока.
В этой связи, выяснилось, что если значение, полученное посредством деления обратной величины периода T выборки на частоту составляющей пульсации, равно 10 или меньше, становится трудным корректировать выходное напряжение преобразователя 1 мощности для того, чтобы уменьшать пульсацию выходного напряжения преобразователя 1 мощности за счет оценки напряжения постоянного тока, и, таким образом, невозможно подавлять явление биения выходного тока преобразователя 1 мощности.
Выражая интервалы выборки периода времени как T (секунд) и частоту составляющей пульсации, содержащуюся в постоянном напряжении, как f (Гц), значение, полученное посредством деления обратной величины периода T выборки (секунд) на частоту f (Гц) составляющей пульсации, содержащуюся в напряжении постоянного тока, предположительно находится в диапазоне 10-1667, как показано ниже:
10 1/T/f 1667
По-видимому, это основано на описанном ниже. Средняя погрешность составляющих пульсации при различных частотах, содержащихся в постоянном напряжении, вычисляется посредством использования следующего определения: (оцененная погрешность напряжения) = (фактическое напряжение постоянного тока Vdc) – (значение оценки напряжения постоянного тока по этому изобретению). Фиг. 5 показывает результат вычисления средней погрешности, при этом горизонтальная ось указывает значение 1/T/f, полученное посредством деления обратной величины периода T выборки (секунд) на частоту f (Гц) составляющей пульсации, содержащейся в напряжении постоянного тока, а вертикальная ось указывает среднее значение оцененных погрешностей напряжения при различных частотах составляющих пульсации, содержащихся в напряжении постоянного тока. Следует принимать во внимание из фиг. 5, что точка, где значение, полученное посредством деления обратной величины периода T выборки (секунд) на частоту f (Гц) составляющей пульсации, содержащейся в напряжении постоянного тока, равно 10 (показано стрелкой на фиг. 5), указывает максимально допустимый уровень пульсации крутящего момента, выдаваемого посредством вращающейся машины 2 переменного тока, например, вызываемый влиянием оцененной погрешности напряжения.
На фиг. 4, показывающей результат оценки значений Vn+1 оценки напряжения постоянного тока и фактически измеренной формы сигнала напряжения постоянного тока, согласно первому варианту осуществления, период T выборки составляет 250 мкс, и составляющая пульсации напряжения постоянного тока составляет 120 Гц, как упомянуто ранее. Чтобы разрешить сравнение с фиг. 4 вышеприведенного первого варианта осуществления, фиг. 6 показывает только для ссылки фактическую форму Vdc сигнала напряжения постоянного тока и значение Vest оценки напряжения постоянного тока, полученное, когда частота составляющей пульсации напряжения постоянного тока составляет f=120 Гц, а период времени составляет T=250 мкс, т.е. когда значение, полученное посредством деления обратной величины периода T выборки на частоту f составляющей пульсации, содержащейся в напряжении постоянного тока, равняется приблизительно 10. Можно установить, что, как показано на фиг. 6, когда значение, полученное посредством деления обратной величины периода T выборки на частоту f составляющей пульсации, содержащейся в напряжении постоянного тока, равно приблизительно 10, значение Vest оценки напряжения постоянного тока имеет большую погрешность в пределах пиков напряжения постоянного тока, по сравнению с формой Vdc сигнала напряжения постоянного тока. Кроме того, фиг. 7 показывает только для ссылки результат моделирования (форму Vdc сигнала напряжения постоянного тока, значение Vest оценки напряжения постоянного тока), полученный тогда, когда интервалы выборки составляют 1,67 мс, а частота составляющей пульсации составляет 120 Гц.
Как пояснено выше, второй вариант осуществления обеспечивает устройство 100 преобразования мощности, имеющее компоновку для ограничения интервалов выборки в пределах конкретного диапазона в дополнение к ранее описанной компоновке вышеприведенного первого варианта осуществления. Поэтому второй вариант осуществления дает такой результат, что значение оценки напряжения постоянного тока не отклоняется в значительной степени от истинного значения напряжения постоянного тока в пределах амплитудных пиков изменяющегося напряжения постоянного тока и, поэтому, выходной ток преобразователя 1 мощности не колеблется в значительной степени при амплитудных пиках, позволяя уменьшать вероятность возникновения явления биения.
Третий вариант осуществления
Фиг. 8 является блок-схемой, показывающей конфигурацию устройства 100 преобразования мощности, согласно третьему варианту осуществления настоящего изобретения.
Фиг. 8 отличается от фиг. 1 вышеприведенного первого варианта осуществления только в том, что средство 5a оценки обнаруженного значения напряжения постоянного тока имеет другую конфигурацию. Таким образом, средство 5a оценки обнаруженного значения напряжения постоянного тока, показанное на фиг. 8, описывается ниже.
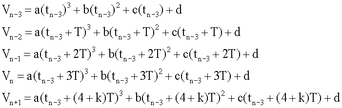
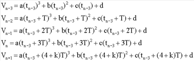
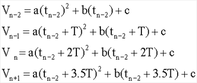
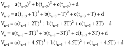
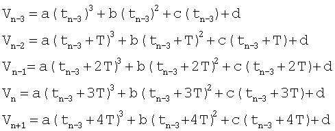
Принцип действия средства 5a оценки обнаруженного значения напряжения постоянного тока третьего варианта осуществления следующий. Рассматривая форму сигнала напряжения постоянного тока как данные временных рядов и выражая форму сигнала напряжения постоянного тока посредством кубической функции, средство 5a оценки обнаруженного значения напряжения постоянного тока оценивает значение Vn+1 оценки напряжения постоянного тока в следующее время tn+1 выборки из обнаруженного значения Vn напряжения постоянного тока в текущее время выборки (текущее время) tn, из обнаруженного значения Vn-1 напряжения постоянного тока во время tn-1 выборки на один цикл выборки ранее, из обнаруженного значения Vn-2 напряжения постоянного тока во время tn-2 выборки на два цикла выборки ранее и из обнаруженного значения Vn-3 напряжения постоянного тока во время tn-3 выборки на три цикла выборки ранее. Здесь T обозначает конкретные интервалы выборки периода времени, и кривая, соединяющая значения от Vn-3 до Vn+1, выражается посредством кубической функции. В этом случае, соотношение между значением Vn+1 оценки напряжения постоянного тока в следующее время tn+1 выборки, обнаруженным значением Vn напряжения постоянного тока, с выборкой в текущее время tn, обнаруженным значением Vn-1 напряжения постоянного тока во время tn-1 выборки на один цикл выборки ранее, обнаруженным значением Vn-2 напряжения постоянного тока во время tn-2 выборки на два цикла выборки ранее, и обнаруженным значением Vn-3 напряжения постоянного тока во время tn-3 выборки на три цикла выборки ранее, может быть выражено посредством уравнений (3) ниже:
(3)
Удаляя произвольные числа a, b, c и d, а также tn-3 и интервалы выборки периода T из уравнений (3) выше, значение Vn+1 оценки напряжения постоянного тока в следующее время выборки вычисляется так, как указано посредством уравнения (4) ниже:
(4)
На фиг. 9 показывается в форме блок-схемы конфигурация средства 5a оценки обнаруженного значения напряжения постоянного тока для выполнения математической операции, выраженной посредством уравнения (4).
Средство 5a оценки обнаруженного значения напряжения постоянного тока по фиг. 9 включает в себя первое запоминающее устройство 8, способное сохранять обнаруженное значение Vn-1 напряжения постоянного тока, обнаруженное во время tn-1 выборки на один цикл выборки ранее, второе запоминающее устройство 9, способное сохранять обнаруженное значение Vn-2 напряжения постоянного тока, обнаруженное во время tn-2 выборки на два цикла выборки ранее, и третье запоминающее устройство 25, способное сохранять обнаруженное значение Vn-3 напряжения постоянного тока, обнаруженное во время tn-3 выборки на три цикла выборки ранее.
Затем, используя сумматор 10, сумматор/модуль 11a вычитания и умножители 12d, 12e по фиг. 9, средство 5a оценки обнаруженного значения напряжения постоянного тока оценивает значение Vn+1 оценки напряжения постоянного тока в следующее время tn+1 выборки на основе обнаруженного значения Vn-1 напряжения постоянного тока, обнаруженного во время tn-1 выборки на один цикл выборки ранее и сохраненного в первом запоминающем устройстве 8, обнаруженного значения Vn-2 напряжения постоянного тока, обнаруженного во время tn-2 выборки на два цикла выборки ранее и сохраненного во втором запоминающем устройстве 9, обнаруженного значения Vn-3 напряжения постоянного тока, обнаруженного во время tn-3 выборки на три цикла выборки ранее и сохраненного в третьем запоминающем устройстве 25, и обнаруженного значения Vn напряжения постоянного тока, обнаруженного в текущее время tn выборки. Как результат, можно оценивать значение Vn+1 оценки напряжения постоянного тока в следующее время tn+1 выборки на основе уравнения (4).
По сравнению с вышеупомянутым способом оценки первого варианта осуществления, третий вариант осуществления создает такой эффект, что более точный результат оценки может быть получен с помощью добавления обнаруженного значения Vn-3 напряжения постоянного тока во время tn-3 выборки на три цикла выборки ранее.
Фиг. 10 показывает соотношение между значениями Vest оценки напряжения постоянного тока, предоставляемыми посредством средства 5a оценки обнаруженного значения напряжения постоянного тока третьего варианта осуществления, и фактической формой Vdc сигнала напряжения постоянного тока, при этом фактическая форма Vdc сигнала напряжения постоянного тока по фиг. 10 – это форма сигнала напряжения постоянного тока, определенная, когда напряжение постоянного тока получается посредством выпрямления напряжения источника переменного тока посредством однофазной схемы диодного выпрямления. Как должно быть распознано из формы сигнала напряжения постоянного тока по фиг. 10, составляющая пульсации напряжения постоянного тока, получаемого из однофазной схемы диодного выпрямления, не показывает синусоидальную волну, но во многом похожа на пилообразную волну, и частота составляющей пульсации становится двойной частотой напряжения источника. Следовательно, в случае однофазного источника питания на 60 Гц, составляющая пульсации имеет частоту 120 Гц. На фиг. 10 показан результат работы средства 5a оценки обнаруженного значения напряжения постоянного тока, полученный с интервалами выборки периода T, установленного при 180 мкс.
Четвертый вариант осуществления
Фиг. 11 является блок-схемой, показывающей пример конфигурации устройства 100 преобразования мощности, согласно четвертому варианту осуществления настоящего изобретения.
Фиг. 11 отличается от фиг. 1 вышеприведенного первого варианта осуществления только в том, что средство 5b оценки обнаруженного значения напряжения постоянного тока имеет другую конфигурацию. Таким образом, средство 5b оценки обнаруженного значения напряжения постоянного тока, показанное на фиг. 12, описывается ниже.
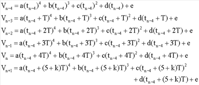
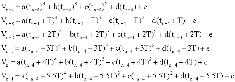
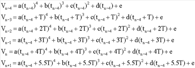
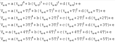
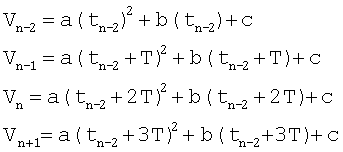
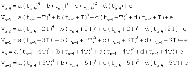
Принцип действия средства 5b оценки обнаруженного значения напряжения постоянного тока четвертого варианта осуществления следующий. Рассматривая форму сигнала напряжения постоянного тока как данные временных рядов и выражая форму сигнала напряжения постоянного тока посредством функции четвертого порядка, средство 5b оценки обнаруженного значения напряжения постоянного тока оценивает значение Vn+1 оценки напряжения постоянного тока в следующее время tn+1 выборки из обнаруженного значения Vn напряжения постоянного тока в текущее время выборки (текущее время) tn, из обнаруженного значения Vn-1 напряжения постоянного тока во время tn-1 выборки на один цикл выборки ранее, обнаруженного значения Vn-2 напряжения постоянного тока во время tn-2 выборки на два цикла выборки ранее, из обнаруженного значения Vn-3 напряжения постоянного тока во время tn-3 выборки на три цикла выборки ранее и из обнаруженного значения Vn-4 напряжения постоянного тока во время tn-4 выборки на четыре цикла выборки ранее. Здесь T обозначает конкретные интервалы выборки, и кривая, соединяющая значения от Vn-4 до Vn+1, выражается посредством функции четвертого порядка. В частности, значение Vn+1 оценки напряжения постоянного тока в следующее время tn+1 выборки, обнаруженное значение Vn напряжения постоянного тока, с выборкой в текущее время tn, обнаруженное значение Vn-1 напряжения постоянного тока во время tn-1 выборки на один цикл выборки ранее, обнаруженное значение Vn-2 напряжения постоянного тока во время tn-2 выборки на два цикла выборки ранее, обнаруженное значение Vn-3 напряжения постоянного тока во время tn-3 выборки на три цикла выборки ранее и обнаруженное значение Vn-4 напряжения постоянного тока во время tn-4 выборки на четыре цикла выборки ранее могут быть выражены посредством уравнений (5) ниже:
(5)
Удаляя произвольные числа a, b, c, d и e, а также tn-4 и интервалы выборки периода T из уравнений (5) выше, значение Vn+1 напряжения постоянного тока в следующее время выборки вычисляется так, как указано посредством уравнения (6) ниже:
(6)
На фиг. 12 показывается в форме блок-схемы конфигурация средства 5a оценки обнаруженного значения напряжения постоянного тока для выполнения математической операции, выраженной посредством уравнения (6).
Средство 5b оценки обнаруженного значения напряжения постоянного тока по фиг. 12 включает в себя первое запоминающее устройство 8, способное сохранять обнаруженное значение Vn-1 напряжения постоянного тока, обнаруженное во время tn-1 выборки на один цикл выборки ранее, второе запоминающее устройство 9, способное сохранять обнаруженное значение Vn-2 напряжения постоянного тока, обнаруженное во время tn-2 выборки на два цикла выборки ранее, третье запоминающее устройство 25, способное сохранять обнаруженное значение Vn-3 напряжения постоянного тока, обнаруженное во время tn-3 выборки на три цикла выборки ранее, и четвертое запоминающее устройство 26, способное сохранять обнаруженное значение Vn-4 напряжения постоянного тока, обнаруженное во время tn-4 выборки на четыре цикла выборки ранее.
Затем, используя сумматор 11, сумматор/модуль 11a вычитания и умножители 12f, 12g по фиг. 12, средство 5b оценки обнаруженного значения напряжения постоянного тока оценивает значение Vn+1 оценки напряжения постоянного тока в следующее время tn+1 выборки на основе обнаруженного значения Vn-1 напряжения постоянного тока, обнаруженного во время tn-1 выборки на один цикл выборки ранее и сохраненного в первом запоминающем устройстве 8, обнаруженного значения Vn-2 напряжения постоянного тока, обнаруженного во время tn-2 выборки на два цикла выборки ранее и сохраненного во втором запоминающем устройстве 9, обнаруженного значения напряжения постоянного тока Vn-3, обнаруженного во время tn-3 выборки на три цикла выборки ранее и сохраненного в третьем запоминающем устройстве 25, обнаруженного значения напряжения постоянного тока Vn-4, обнаруженного во время tn-4 выборки на четыре цикла выборки ранее и сохраненного в четвертом запоминающем устройстве 26, и обнаруженного значения Vn напряжения постоянного тока, обнаруженного в текущее время tn выборки. Как результат, можно оценивать значение Vn+1 оценки напряжения постоянного тока в следующее время tn+1 выборки на основе уравнения (6).
По сравнению с вышеупомянутым способом оценки третьего варианта осуществления, четвертый вариант осуществления создает такой эффект, что более точный результат оценки может быть получен с помощью добавления обнаруженного значения Vn-4 напряжения постоянного тока во время tn-4 выборки на четыре цикла выборки ранее.
Фиг. 13 показывает соотношение между значениями Vest оценки напряжения постоянного тока, предоставляемыми посредством средства 5b оценки обнаруженного значения напряжения постоянного тока четвертого варианта осуществления, и фактической формой Vdc сигнала напряжения постоянного тока, при этом фактическая форма Vdc сигнала напряжения постоянного тока по фиг. 13 – это форма сигнала напряжения постоянного тока, определенная, когда напряжение постоянного тока получается посредством выпрямления напряжения источника переменного тока посредством однофазной схемы диодного выпрямления. Как очевидно из формы сигнала напряжения постоянного тока по фиг. 13, составляющая пульсации напряжения постоянного тока, получаемого из однофазной схемы диодного выпрямления, не показывает синусоидальную волну, но во многом похожа на пилообразную волну, и частота составляющей пульсации становится двойной частотой напряжения питания. Следовательно, в случае однофазного источника питания на 60 Гц, составляющая пульсации имеет частоту 120 Гц. На фиг. 13 показан результат работы средства 5b оценки обнаруженного значения напряжения постоянного тока, полученный с интервалами выборки периода T, установленного при 100 мкс.
Пятый вариант осуществления
Фиг. 14 является блок-схемой, показывающей конфигурацию устройства 100 преобразования мощности, согласно пятому варианту осуществления настоящего изобретения.
Фиг. 14 отличается от фиг. 1 первого варианта осуществления только в том, что средство 5d оценки обнаруженного значения напряжения постоянного тока имеет другую конфигурацию. Таким образом, средство 5d оценки обнаруженного значения напряжения постоянного тока, показанное на фиг. 14, описывается ниже.
Устройство 100 преобразования мощности пятого варианта осуществления выполнено с возможностью преодолевать недостаток относительно не только задержки управления циклом выборки, но также и задержки преобразователя мощности, т.е. задержки от точки во времени, когда средство 6 управления выходным напряжением отправляет сигнал управления напряжением, до точки во времени, когда переключающее устройство преобразователя 1 мощности срабатывает, заставляя преобразователь 1 мощности прикладывать напряжение к вращающейся машине 2 переменного тока. Другими словами, становится возможным подавлять в достаточной степени пульсацию выходного напряжения, вызываемую составляющей пульсации напряжения постоянного тока, и тем самым уменьшать явление биения выходного тока, по сравнению с первым вариантом осуществления, учитывая задержку преобразователя мощности в дополнение к задержке управления циклом выборки.
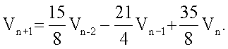
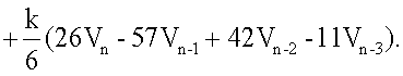
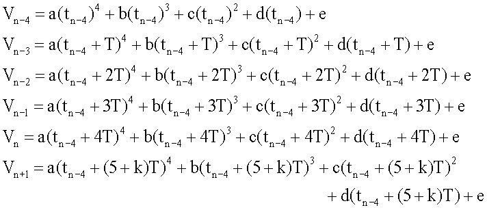
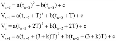
Принцип действия средства 5d оценки обнаруженного значения напряжения постоянного тока пятого варианта осуществления описан ниже. В частности, в этом пятом варианте осуществления, рассматривая форму сигнала напряжения постоянного тока как данные временных рядов и выражая форму сигнала напряжения постоянного тока посредством кубической функции таким же образом, как в первом варианте осуществления, средство 5d оценки обнаруженного значения напряжения постоянного тока оценивает значение Vn+1 оценки напряжения постоянного тока в следующее время tn+1 из обнаруженного значения Vn напряжения постоянного тока в текущее время выборки (текущее время) tn, из обнаруженного значения Vn-1 напряжения постоянного тока во время tn-1 выборки на один цикл выборки ранее и из обнаруженного значения Vn-2 напряжения постоянного тока во время tn-2 выборки на два цикла выборки ранее. В отличие от первого варианта осуществления, тем не менее, следующее время tn+1 взято как время, полученное посредством прибавления 0,5T ко времени, когда период T выборки истек с текущего времени tn, с учетом времени задержки преобразователя мощности в этом пятом варианте осуществления. Таким образом, следующее время tn+1 выборки является временем, когда 1,5 интервала времени от конкретного периода T выборки истекли с текущего времени tn, как показано на фиг. 15. Здесь, кривая, соединяющая значения от Vn-2 до Vn+1 напряжения постоянного тока, выражена посредством квадратической функции. В этом случае, соотношение между значением Vn+1 оценки напряжения постоянного тока во время tn+1, определенным посредством прибавления 0,5T к следующему времени выборки, обнаруженным значением Vn напряжения постоянного тока, с выборкой в текущее время tn, обнаруженным значением Vn-1 напряжения постоянного тока во время tn-1 выборки на один цикл выборки ранее и обнаруженным значением Vn-2 напряжения постоянного тока во время tn-2 выборки на два цикла выборки ранее, может быть выражено посредством уравнений (7) ниже:
(7)
Удаляя произвольные числа a, b и c, а также tn-2 и T из уравнений (7) выше, значение Vn+1 оценки напряжения постоянного тока в следующее время вычисляется так, как указано посредством уравнения (8) ниже:
(8)
Средство 5d оценки обнаруженного значения напряжения постоянного тока, обеспеченное в микрокомпьютере 50, показанном на фиг. 14, показывает конфигурацию на основе уравнения (8) выше. Работа средства 5d оценки обнаруженного значения напряжения постоянного тока описывается далее со ссылкой на фиг. 14.
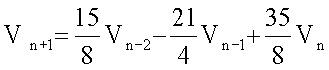
Умножитель 12i средства 5d оценки обнаруженного значения напряжения постоянного тока умножает обнаруженное значение Vn напряжения постоянного тока, обнаруженное в текущее время tn, на конкретную константу “35/8” и выводит результат в сумматор 10a. Умножитель 12k умножает обнаруженное значение Vn-1 напряжения постоянного тока, обнаруженное во время tn-1 на один цикл выборки ранее и сохраненное в первом запоминающем устройстве 8, на конкретную константу “-21/4” и выводит результат в сумматор 10a.
Умножитель 12j умножает обнаруженное значение Vn-2 напряжения постоянного тока, обнаруженное во время tn-2 выборки на два цикла выборки ранее и сохраненное во втором запоминающем устройстве 9, на конкретную константу “15/8” и выводит результат в сумматор 10a.
Сумматор 10a суммирует выходные сигналы умножителей 12i, 12k, 12j. В частности, средство 5d оценки обнаруженного значения напряжения постоянного тока выполняет математическую операцию, выраженную посредством уравнения (8), и выводит результат этой операции в средство 6 управления выходным напряжением как значение Vn+1 оценки напряжения постоянного тока во время tn+1, определенное посредством прибавления 0,5T к следующему времени выборки.
С этой компоновкой, использующей значение оценки напряжения постоянного тока во время, определенное посредством прибавления 0,5T к следующему времени выборки с учетом задержки преобразователя 1 мощности, можно достичь большего преимущества, чем в первом варианте осуществления.
Как пояснено выше, устройство 100 преобразования мощности этого пятого варианта осуществления обнаруживает напряжение постоянного тока, выводимое из средства 21 выпрямления, посредством средства 4 восприятия напряжения, подводит обнаруженное значение Vn напряжения постоянного тока, обнаруженное таким образом, к средству 5d оценки обнаруженного значения напряжения постоянного тока, обеспеченному в микрокомпьютере 50, через произвольно установленные конкретные интервалы периода T, и выполняет математическую операцию, выраженную посредством уравнения (8), показанного ранее. Таким образом, устройство 100 преобразования мощности корректирует коэффициент широтно-импульсной модуляции преобразователя 1 мощности, согласно значению Vn+1 оценки напряжения постоянного тока во время tn+1, определенное посредством сдвига к следующему времени выборки на 0,5T с учетом также времени задержки преобразователя мощности, так чтобы можно было подавлять в достаточной степени пульсацию выходного напряжения, вызываемую посредством составляющей пульсации напряжения постоянного тока, и тем самым еще уменьшать явление биения выходного тока.
В традиционном подходе управления с помощью микрокомпьютера сигнал управления, выводимый из микрокомпьютера, отражается в преобразователе мощности с задержкой, включающей в себя задержку преобразователя мощности, помимо задержки на один цикл выборки после обнаружения напряжения постоянного тока, так что пульсация выходного напряжения не может быть подавлена в достаточной степени.
В этом пятом варианте осуществления, тем не менее, обнаруженные значения напряжения постоянного тока во время выборки на один и на два цикла выборки ранее, чем текущее время, обнаруживаются посредством средства 5d оценки обнаруженного значения напряжения постоянного тока, обеспеченного в микрокомпьютере 50, через конкретные интервалы выборки, и значение Vn+1 оценки напряжения постоянного тока во время tn+1, сдвинутое вперед от следующего времени выборки на 0,5T с учетом также задержки преобразователя мощности, оценивается посредством рассмотрения формы 80 сигнала напряжения постоянного тока, сформированной посредством соединения этих значений как квадратической функции, так что преодолевается вышеупомянутая проблема традиционного подхода управления с помощью микрокомпьютера, вызванная задержкой управления на один цикл выборки и задержкой преобразователя мощности.
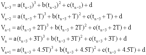
Хотя, в этом пятом варианте осуществления, значение оценки напряжения постоянного тока во время, сдвинутое вперед от следующего времени выборки на 0,5T, определяется посредством рассмотрения формы сигнала напряжения постоянного тока как данных временных рядов и выражения формы сигнала напряжения постоянного тока посредством кубической функции таким же образом, как и в первом варианте осуществления, можно определять значение оценки напряжения постоянного тока во время, сдвинутое вперед от следующего времени выборки на 0,5T, посредством рассмотрения формы сигнала напряжения постоянного тока как кубической функции, как в третьем варианте осуществления. В частности, можно выразить значение Vn+1 оценки напряжения постоянного тока в следующее время tn+1, обнаруженное значение Vn напряжения постоянного тока в текущее время tn выборки, обнаруженное значение Vn-1 напряжения постоянного тока во время tn-1 выборки на один цикл выборки ранее, обнаруженное значение Vn-2 напряжения постоянного тока во время tn-2 выборки на два цикла выборки ранее и обнаруженное значение Vn-3 напряжения постоянного тока во время tn-3 выборки на три цикла выборки ранее посредством уравнений (9) ниже:
(9)
Удаляя a, b, c и d, а также tn-2 и T из уравнений (9) выше, значение Vn+1 оценки напряжения постоянного тока в следующее время tn+1 выборки вычисляется так, как указано посредством уравнения (10) ниже:
(10)
Также можно определять значение оценки напряжения постоянного тока во время, сдвинутое вперед от следующего времени выборки на 0,5T, посредством рассмотрения формы сигнала напряжения постоянного тока как функции четвертого порядка, как в четвертом варианте осуществления, и использовать значение оценки напряжения постоянного тока, определенное таким образом. В частности, можно выразить значение Vn+1 оценки напряжения постоянного тока в следующее время tn+1, обнаруженное значение Vn напряжения постоянного тока в текущее время tn выборки, обнаруженное значение Vn-1 напряжения постоянного тока во время tn-1 выборки на один цикл выборки ранее, обнаруженное значение Vn-2 напряжения постоянного тока во время tn-2 выборки на два цикла выборки ранее, обнаруженное значение Vn-3 напряжения постоянного тока во время tn-3 выборки на три цикла выборки ранее и обнаруженное значение Vn-4 напряжения постоянного тока во время tn-4 выборки на четыре цикла выборки ранее посредством уравнений (11) ниже:
(11)
Удаляя a, b, c, d и e, а также tn-4 и T из уравнений (11) выше, значение Vn+1 оценки напряжения постоянного тока во время tn+1, сдвинутое вперед от следующего времени выборки на 0,5T, вычисляется так, как указано посредством уравнения (12) ниже:
(12)
Как замечено выше, тот же результат получается посредством использования также значения Vn+1 оценки напряжения постоянного тока во время tn+1, сдвинутое вперед от следующего времени выборки на 0,5T, на основе уравнений (10) и (11).
Шестой вариант осуществления
Фиг. 16 является блок-схемой, показывающей конфигурацию устройства 100 преобразования мощности, согласно шестому варианту осуществления настоящего изобретения.
Фиг. 16 отличается от фиг. 1 первого варианта осуществления только в том, что средство 5е оценки обнаруженного значения напряжения постоянного тока имеет другую конфигурацию. Таким образом, средство 5е оценки обнаруженного значения напряжения постоянного тока, показанное на фиг. 16, описывается ниже.
Устройство 100 преобразования мощности шестого варианта осуществления выполнено с возможностью преодолевать проблему относительно не только задержки управления циклом выборки, но также и задержки преобразователя мощности, т.е. задержки от точки во времени, когда средство 6 управления выходным напряжением отправляет сигнал управления напряжением, до точки во времени, когда переключающее устройство преобразователя 1 мощности срабатывает, заставляя преобразователь 1 мощности прикладывать напряжение к вращающейся машине 2 переменного тока. Другими словами, авторы изобретения обнаружили, что становится возможным подавлять в достаточной степени пульсацию выходного напряжения, вызываемую посредством составляющей пульсации напряжения постоянного тока, и тем самым уменьшать явление биения выходного тока по сравнению с первым вариантом осуществления, учитывая задержку преобразователя мощности в дополнение к задержке управления циклом выборки. Средство 5e оценки обнаруженного значения напряжения постоянного тока выполнено с возможностью включать в себя компенсатор 28 задержки преобразователя мощности для компенсации задержки преобразователя 1 мощности, в дополнение к средству 5 оценки обнаруженного значения напряжения постоянного тока первого варианта осуществления.
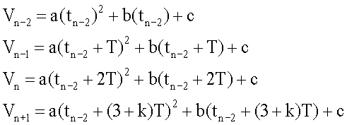
Принцип действия средства 5е оценки обнаруженного значения напряжения постоянного тока шестого варианта осуществления описан ниже. В частности, в шестом варианте осуществления, рассматривая форму сигнала напряжения постоянного тока как данные временных рядов и выражая форму сигнала напряжения постоянного тока посредством квадратической функции таким же образом, как в первом варианте осуществления, средство 5е оценки обнаруженного значения напряжения постоянного тока оценивает значение Vn+1 оценки напряжения постоянного тока в следующее время tn+1 из обнаруженного значения Vn напряжения постоянного тока в текущее время выборки (текущее время) tn, из обнаруженного значения Vn-1 напряжения постоянного тока во время tn-1 выборки на один цикл выборки ранее и из обнаруженного значения Vn-2 напряжения постоянного тока во время tn-2 выборки на два цикла выборки ранее.
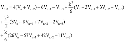
В отличие от первого варианта осуществления, тем не менее, следующее время tn+1 взято во время, полученное посредством прибавления k×T ко времени, когда период T выборки истек с текущего времени tn, с учетом времени задержки преобразователя мощности в этом шестом варианте осуществления. Таким образом, следующее время tn+1 выборки является временем, когда (1+k) интервалов от конкретного периода T выборки истекли с текущего времени tn, как показано на фиг. 17. Здесь, кривая, соединяющая значения от Vn-2 до Vn+1, выражена посредством квадратической функции. В этом случае, соотношение между значением Vn+1 оценки напряжения постоянного тока во время tn+1, определенное посредством прибавления k×T к следующему времени выборки, обнаруженным значением Vn напряжения постоянного тока, с выборкой в текущее время tn, обнаруженным значением Vn-1 напряжения постоянного тока во время tn-1 выборки на один цикл выборки ранее и обнаруженным значением Vn-2 напряжения постоянного тока во время tn-2 выборки на два цикла выборки ранее, может быть выражено посредством уравнений (13) ниже. Следует отметить, что период времени k×T определяется с учетом задержки переключения преобразователя 1 мощности и коэффициента задержки, обусловленного временем запаздывания устройств, и может быть определен характеристиками и конфигурацией преобразователя 1 мощности, где k удовлетворяет 0
(13)
Удаляя произвольные числа a, b и c, а также tn-2 и T из уравнений (13) выше, значение Vn+1 оценки напряжения постоянного тока во время tn+1, определенное посредством прибавления k×T к следующему времени выборки, вычисляется так, как указано посредством уравнения (14) ниже:
(14)
Средство 5e оценки обнаруженного значения напряжения постоянного тока, обеспеченное в микрокомпьютере 50, показанном на фиг. 16, показывает конфигурацию на основе уравнения (14) выше. Работа средства 5e оценки обнаруженного значения напряжения постоянного тока описывается далее со ссылкой на фиг. 16.
Модуль 11 вычитания в средстве 5e оценки обнаруженного значения напряжения постоянного тока вычитает обнаруженное значение Vn-1 напряжения постоянного тока, обнаруженное во время tn-1 на один цикл выборки ранее и сохраненное в первом запоминающем устройстве 8, из обнаруженного значения Vn напряжения постоянного тока, обнаруженного в текущее время tn, и умножитель 12 умножает выходной сигнал модуля 11 вычитания на конкретную константу “3”. Сумматор 10b суммирует результат этого вычисления и обнаруженное значение Vn-2 напряжения постоянного тока, обнаруженное во время tn-2 на два цикла выборки ранее и сохраненное во втором запоминающем устройстве 9. Вкратце, средство 5e оценки обнаруженного значения напряжения постоянного тока выполняет математическую операцию, выраженную посредством уравнения (2), таким же образом, как в первом варианте осуществления.
Умножитель 12n компенсатора 28 задержки преобразователя мощности умножает обнаруженное значение Vn напряжения постоянного тока, обнаруженное в текущее время tn, на конкретную константу “5” и выводит произведение в сумматор 10d. Умножитель 12o компенсатора 28 задержки преобразователя мощности умножает обнаруженное значение Vn-1 напряжения постоянного тока, обнаруженное во время tn-1 на один цикл выборки ранее и сохраненное в первом запоминающем устройстве 8, на конкретную константу “-8” и выводит результат в сумматор 10d.
Умножитель 12p компенсатора 28 задержки преобразователя мощности умножает обнаруженное значение Vn-2 напряжения постоянного тока, обнаруженное во время tn-2 выборки на два цикла выборки ранее и сохраненное во втором запоминающем устройстве 9, на конкретную константу “3” и выводит результат в сумматор 10d. Сумматор 10d суммирует выходные сигналы умножителей 12n, 12o, 12p и выводит результат суммирования в умножитель 12q, который умножает результат суммирования на k, представляющее время задержки преобразователя мощности, и выводит результат в сумматор 10e.
Кроме того, умножитель, 12m компенсатора 28 задержки преобразователя мощности умножает обнаруженное значение Vn-1 напряжения постоянного тока, обнаруженное во время tn-1 на один цикл выборки ранее и сохраненное в первом запоминающем устройстве 8, на конкретную константу “-2” и выводит результат в сумматор 10c, который суммирует значение, полученное посредством умножения, обнаруженное значение Vn напряжения постоянного тока, обнаруженное в текущее время tn, и обнаруженное значение Vn-2 напряжения постоянного тока, обнаруженное во время tn-2 выборки на два цикла выборки ранее и сохраненное во втором запоминающем устройстве 9. Умножитель 12r умножает значение, полученное посредством суммирования сумматором 10c, на квадрат конкретной константы “k”. Значения, полученные в результате вычислений посредством умножителя 12r и умножителя 12q, суммируются посредством сумматора 10e. Умножитель 12l умножает значение, полученное посредством этого суммирования, на конкретную константу “1/2” и выводит результат в сумматор 10b.
Сумматор 10b суммирует выходной сигнал умножителя 12l и значение, полученное посредством выполнения математической операции, выраженной посредством уравнения (2), таким же образом, как в первом варианте осуществления. Вкратце, сумматор 10b выполняет математическую операцию, выраженную посредством уравнения (14), и выводит результат этого вычисления в средство 6 управления выходным напряжением как значение Vn+1 оценки напряжения постоянного тока во время tn+1, определенное посредством прибавления времени задержки k×T преобразователя мощности к следующему времени выборки.
С этой компоновкой, использующей значение оценки напряжения постоянного тока во время, определенное посредством прибавления kЧT к следующему времени выборки с учетом задержки преобразователя 1 мощности, можно достичь большего преимущества, чем в первом варианте осуществления.
Как пояснено выше, устройство 100 преобразования мощности этого шестого варианта осуществления обнаруживает напряжение постоянного тока, выводимое из средства 21 выпрямления, посредством средства 4 восприятия напряжения, подводит обнаруженное значение Vn напряжения постоянного тока, обнаруженное таким образом, к средству 5e оценки обнаруженного значения напряжения постоянного тока, обеспеченному в микрокомпьютере 50, через произвольно установленные конкретные интервалы периода T, и выполняет математическую операцию, выраженную посредством уравнения (14), показанного ранее. Таким образом, устройство 100 преобразования мощности корректирует коэффициент широтно-импульсной модуляции преобразователя 1 мощности, согласно значению Vn+1 оценки напряжения постоянного тока во время tn+1, определенное посредством сдвига следующего времени выборки на k×T с учетом также времени задержки преобразователя мощности, так чтобы было можно подавлять в достаточной степени пульсацию выходного напряжения, вызываемую посредством составляющей пульсации напряжения постоянного тока, и тем самым еще уменьшать явление биения выходного тока.
В традиционном подходе управления с помощью микрокомпьютера сигнал управления, выводимый из микрокомпьютера, отражается в преобразователе мощности с задержкой, включающей в себя задержку преобразователя мощности, помимо задержки на один цикл выборки после обнаружения напряжения постоянного тока, так что пульсация выходного напряжения не может быть подавлена в достаточной степени. В этом шестом варианте осуществления, тем не менее, обнаруженные значения напряжения постоянного тока во время выборки на один и на два цикла выборки ранее, чем текущее время, обнаруживаются посредством средства 5е оценки обнаруженного значения напряжения постоянного тока, обеспеченного в микрокомпьютере 50, через конкретные интервалы выборки, и значение Vn+1 оценки напряжения постоянного тока во время tn+1, сдвинутое вперед от следующего времени выборки на k×T с учетом также задержки преобразователя мощности, оценивается посредством рассмотрения формы 80 сигнала напряжения постоянного тока, сформированной посредством соединения этих значений как квадратической функции, так что преодолевается вышеупомянутый недостаток традиционного подхода управления с помощью микрокомпьютера, вызываемый посредством задержки управления на один цикл выборки и задержки преобразователя мощности.
Хотя в этом шестом варианте осуществления значение оценки напряжения постоянного тока во время, сдвинутое вперед от следующего времени выборки на k×T, с учетом задержки преобразователя мощности определяется посредством рассмотрения формы сигнала напряжения постоянного тока как данных временных рядов и выражения формы сигнала напряжения постоянного тока посредством квадратической функции таким же образом, как в первом варианте осуществления, можно определять значение оценки напряжения постоянного тока во время, сдвинутое вперед от следующего времени выборки на k×T с учетом задержки преобразователя мощности, посредством рассмотрения формы сигнала напряжения постоянного тока как кубической функции, как в третьем варианте осуществления. В частности, можно выразить значение Vn+1 оценки напряжения постоянного тока в следующее время tn+1, обнаруженное значение Vn напряжения постоянного тока в текущее время tn выборки, обнаруженное значение Vn-1 напряжения постоянного тока во время tn-1 выборки на один цикл выборки ранее, обнаруженное значение Vn-2 напряжения постоянного тока во время tn-2 выборки на два цикла выборки ранее и обнаруженное значение Vn-3 напряжения постоянного тока во время tn-3 выборки на три цикла выборки ранее посредством уравнений (15) ниже:
(15)
Удаляя a, b, c и d, а также tn-3 и T из уравнений (15) выше, значение Vn+1 оценки напряжения постоянного тока во время tn+1, сдвинутое вперед от следующего времени выборки на k×T, вычисляется так, как указано посредством уравнения (16) ниже:
(16)
Также можно определять значение оценки напряжения постоянного тока во время, сдвинутое вперед от следующего времени выборки на k×T с учетом задержки преобразователя мощности, посредством рассмотрения формы сигнала напряжения постоянного тока как функции четвертого порядка, как в четвертом варианте осуществления, и использовать значение оценки напряжения постоянного тока, определенное таким образом. В частности, можно выразить значение Vn+1 оценки напряжения постоянного тока в следующее время tn+1, обнаруженное значение Vn напряжения постоянного тока в текущее время tn выборки, обнаруженное значение Vn-1 напряжения постоянного тока во время tn-1 выборки на один цикл выборки ранее, обнаруженное значение Vn-2 напряжения постоянного тока во время tn-2 выборки на два цикла выборки ранее, обнаруженное значение Vn-3 напряжения постоянного тока во время tn-3 выборки на три цикла выборки ранее и обнаруженное значение Vn-4 напряжения постоянного тока во время tn-4 выборки на четыре цикла выборки ранее посредством уравнений (17) ниже:
(17)
Удаляя a, b, c, d и e, а также tn-4 и T из уравнений (17) выше, значение Vn+1 оценки напряжения постоянного тока во время tn+1, сдвинутое вперед от следующего времени выборки на k×T, вычисляется так, как указано посредством уравнения (18) ниже:
(18)
Как замечено выше, тот же результат получается посредством использования также значения Vn+1 оценки напряжения постоянного тока во время, сдвинутое вперед от следующего времени выборки на k×T с учетом задержки преобразователя мощности, на основе уравнений (16) и (18).
Седьмой вариант осуществления
Средство 5c оценки обнаруженного значения напряжения постоянного тока устройства 100 преобразования мощности, согласно седьмому варианту осуществления выполнено с возможностью включать в себя средство 27 фильтрации, обеспеченное в последующем модуле, как показано на фиг. 18. Средство 27 фильтрации является фильтром с запаздыванием первого порядка или высокочастотным фильтром отсечки. Частота отсечки для устранения шумов средства 27 фильтрации устанавливается в достаточной степени более высокой, чем частота составляющей пульсации, содержащейся в постоянном напряжении. Это позволяет подавлять явление биения выходного тока преобразователя 1 мощности и обнаруживать напряжение постоянного тока после удаления шумов, вызываемых посредством переключения, например, так что обеспечивается эффект повышения надежности средства 5c оценки обнаруженного значения напряжения постоянного тока и устройства 100 преобразования мощности.
Хотя варианты осуществления с первого по седьмой настоящего изобретения проиллюстрировали случай, в котором нагрузкой, связанной с устройством 100 преобразования мощности, является вращающаяся машина переменного тока, вращающаяся машина переменного тока не обязательно должна быть ограничена асинхронной машиной или синхронной машиной, но те же самые преимущества могут предполагаться с любыми видами вращающихся машин переменного тока.
Те же преимущества также могут предполагаться, если изобретение применяется к устройству преобразования мощности для управления таким электромагнитным приводом, как линейный асинхронный электродвигатель, линейный синхронный электродвигатель или соленоид, помимо вращающихся установок переменного тока.
Промышленная применимость
Устройство преобразования мощности настоящего изобретения применимо к устройству инвертора, которое приводит в действие вращающуюся машину переменного тока с переменной скоростью посредством преобразования напряжения постоянного тока, например, в энергию переменного тока с переменной частотой и напряжением.
Формула изобретения
1. Устройство преобразования мощности, содержащее: преобразователь мощности, к которому подводится напряжение постоянного тока средства выпрямления для выпрямления электропитания переменного тока, при этом упомянутый преобразователь мощности выполнен с возможностью управлять и возбуждать нагрузку, средство восприятия напряжения для обнаружения напряжения постоянного тока упомянутого средства выпрямления, средство оценки обнаруженного значения напряжения постоянного тока, к которому подводится обнаруженное значение напряжения постоянного тока, обнаруженное посредством упомянутого средства восприятия напряжения, при этом упомянутое средство оценки обнаруженного значения напряжения постоянного тока выполнено с возможностью выводить значение оценки напряжения постоянного тока, и средство управления выходным напряжением, к которому подводится выходной сигнал упомянутого средства оценки обнаруженного значения напряжения постоянного тока, при этом упомянутое средство управления выходным напряжением выполнено с возможностью управлять выходным напряжением упомянутого преобразователя мощности; при этом упомянутое средство оценки обнаруженного значения напряжения постоянного тока производит выборку обнаруженного значения напряжения постоянного тока через конкретные интервалы периода Т, сохраняет обнаруженные значения от Vn до Vn-m напряжения постоянного тока, обнаруженные в текущее время tn до времени tn-m выборки, которое на m циклов выборки (m 1) раньше, чем текущее время tn, и вычисляет значение Vn+1 оценки напряжения постоянного тока в следующее время tn+1, используя обнаруженные значения от Vn до Vn-m напряжения постоянного тока, выражая кривую, соединяющую значения от Vn до Vn-m напряжения, посредством квадратической функции; при этом упомянутое средство оценки обнаруженного значения напряжения постоянного тока вычисляет значение Vn+1 оценки напряжения постоянного тока в следующее время tn+1, при этом следующее время tn+1 определяется как время, когда конкретный период Т истек с текущего времени tn; при этом цикл выборки устанавливается таким образом, что значение, полученное посредством деления обратной величины цикла выборки на частоту составляющей пульсации, содержащейся в напряжении постоянного тока, находится в пределах диапазона 10-1667; и при этом упомянутое средство управления выходным напряжением, к которому подведено значение Vn+1 оценки напряжения постоянного тока, корректирует значение сигнала управления выходным напряжением и выводит скорректированное значение сигнала управления выходным напряжением в упомянутый преобразователь мощности.
2. Устройство преобразования мощности, содержащее: преобразователь мощности, к которому подводится напряжение постоянного тока от средства выпрямления для выпрямления электропитания переменного тока, при этом упомянутый преобразователь мощности выполнен с возможностью управлять и возбуждать нагрузку, средство восприятия напряжения для обнаружения напряжения постоянного тока упомянутого средства выпрямления, средство оценки обнаруженного значения напряжения постоянного тока, к которому подводится обнаруженное значение напряжения постоянного тока, обнаруженное посредством упомянутого средства восприятия напряжения, при этом упомянутое средство оценки обнаруженного значения напряжения постоянного тока выполнено с возможностью выводить значение оценки напряжения постоянного тока, и средство управления выходным напряжением, к которому подводится выходной сигнал упомянутого средства оценки обнаруженного значения напряжения постоянного тока, при этом упомянутое средство управления выходным напряжением выполнено с возможностью управлять выходным напряжением упомянутого преобразователя мощности; при этом упомянутое средство оценки обнаруженного значения напряжения постоянного тока производит выборку обнаруженного значения напряжения постоянного тока через конкретные интервалы периода Т, сохраняет обнаруженные значения от Vn до Vn-m напряжения постоянного тока, обнаруженные в текущее время tn до времени tn-m выборки, которое на m циклов выборки (m 1) раньше, чем текущее время tn, и вычисляет значение Vn+1 оценки напряжения постоянного тока в следующее время tn+1, используя обнаруженные значения от Vn до Vn-m напряжения постоянного тока, выражая кривую, соединяющую значения от Vn до Vn-m напряжения, посредством полиномиальной функции, степень которой составляет, по меньшей мере, три; при этом упомянутое средство оценки обнаруженного значения напряжения постоянного тока вычисляет значение Vn+1 оценки напряжения постоянного тока в следующее время tn+1, при этом следующее время tn+1 определяется как время, когда конкретный период Т истек с текущего времени tn; и при этом упомянутое средство управления выходным напряжением, к которому подводится значение Vn+1 оценки напряжения постоянного тока, корректирует значение сигнала управления выходным напряжением и выводит скорректированное значение сигнала управления выходным напряжением в упомянутый преобразователь мощности.
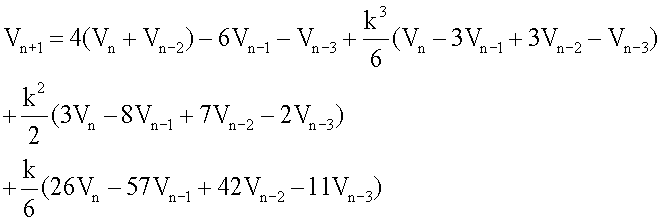
3. Устройство преобразования мощности, содержащее: преобразователь мощности, к которому подводится напряжение постоянного тока средства выпрямления для выпрямления электропитания переменного тока, при этом упомянутый преобразователь мощности выполнен с возможностью управлять и возбуждать нагрузку, средство восприятия напряжения для обнаружения напряжения постоянного тока упомянутого средства выпрямления, средство оценки обнаруженного значения напряжения постоянного тока, к которому подводится обнаруженное значение напряжения постоянного тока, обнаруженное посредством упомянутого средства восприятия напряжения, при этом упомянутое средство оценки обнаруженного значения напряжения постоянного тока выполнено с возможностью выводить значение оценки напряжения постоянного тока, и средство управления выходным напряжением, к которому подводится выходной сигнал упомянутого средства оценки обнаруженного значения напряжения постоянного тока, при этом упомянутое средство управления выходным напряжением выполнено с возможностью управлять выходным напряжением упомянутого преобразователя мощности; при этом упомянутое средство оценки обнаруженного значения напряжения постоянного тока производит выборку обнаруженного значения напряжения постоянного тока через конкретные интервалы периода Т, сохраняет обнаруженные значения от Vn до Vn-m напряжения постоянного тока, обнаруженные в текущее время tn до времени tn-m выборки, которое на m циклов выборки (m 1) раньше, чем текущее время tn, и вычисляет значение Vn+1 оценки напряжения постоянного тока в следующее время tn+1 посредством следующего уравнения, выражающего кривую, соединяющую обнаруженное значение Vn-2 напряжения постоянного тока, обнаруженное во время выборки за два цикла выборки до текущего времени, обнаруженное значение Vn-1 напряжения постоянного тока, обнаруженное во время выборки за один цикл выборки до текущего времени, обнаруженное значение Vn напряжения постоянного тока, обнаруженное в текущее время, tn и значение Vn+1 оценки напряжения постоянного тока, посредством квадратической функции, Vn+1=3(Vn-Vn-1)+Vn-2; и при этом упомянутое средство управления выходным напряжением, к которому подводится значение Vn+1 оценки напряжения постоянного тока, корректирует значение сигнала управления выходным напряжением и выводит скорректированное значение сигнала управления выходным напряжением в упомянутый преобразователь мощности.
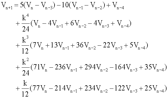
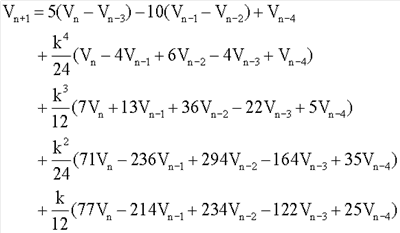
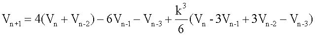
4. Устройство преобразования мощности по п.2, в котором выражая кривую, соединяющую обнаруженное значение Vn-3 напряжения постоянного тока, обнаруженное во время выборки за три цикла выборки до текущего времени, обнаруженное значение Vn-2 напряжения постоянного тока, обнаруженное во время выборки за два цикла выборки до текущего времени, обнаруженное значение Vn-1 напряжения постоянного тока, обнаруженное во время выборки за один цикл выборки до текущего времени, обнаруженное значение Vn напряжения постоянного тока, обнаруженное в текущее время tn, и значение Vn+1 оценки напряжения постоянного тока, посредством кубической функции, упомянутое средство оценки обнаруженного значения напряжения постоянного тока вычисляет значение Vn+1 оценки напряжения постоянного тока посредством следующего уравнения: Vn+1=4(Vn+Vn-2)-6Vn-1-Vn-3.
5. Устройство преобразования мощности по п.2, в котором выражая кривую, соединяющую обнаруженное значение Vn-4 напряжения постоянного тока, обнаруженное во время выборки за четыре цикла выборки до текущего времени, обнаруженное значение Vn-3 напряжения постоянного тока, обнаруженное во время выборки за три цикла выборки до текущего времени, обнаруженное значение Vn-2 напряжения постоянного тока, обнаруженное во время выборки за два цикла выборки до текущего времени, обнаруженное значение Vn-1 напряжения постоянного тока, обнаруженное во время выборки за один цикл выборки до текущего времени, обнаруженное значение Vn напряжения постоянного тока, обнаруженное в текущее время tn, и значение Vn+1 оценки напряжения постоянного тока, посредством функции четвертого порядка, упомянутое средство оценки обнаруженного значения напряжения постоянного тока вычисляет значение Vn+1 оценки напряжения постоянного тока посредством следующего уравнения: Vn+1=5(Vn-Vn-3)-10(Vn-1-Vn-2)+Vn-4.
6. Устройство преобразования мощности, содержащее: преобразователь мощности, к которому подводится напряжение постоянного тока средства выпрямления для выпрямления электропитания переменного тока, при этом упомянутый преобразователь мощности выполнен с возможностью управлять и возбуждать нагрузку, средство восприятия напряжения для обнаружения напряжения постоянного тока упомянутого средства выпрямления, средство оценки обнаруженного значения напряжения постоянного тока, к которому подводится обнаруженное значение напряжения постоянного тока, обнаруженное посредством упомянутого средства восприятия напряжения, при этом упомянутое средство оценки обнаруженного значения напряжения постоянного тока выполнено с возможностью выводить значение оценки напряжения постоянного тока, и средство управления выходным напряжением, к которому подводится выходной сигнал упомянутого средства оценки обнаруженного значения напряжения постоянного тока, при этом упомянутое средство управления выходным напряжением выполнено с возможностью управлять выходным напряжением упомянутого преобразователя мощности; при этом упомянутое средство оценки обнаруженного значения напряжения постоянного тока производит выборку обнаруженного значения напряжения постоянного тока через конкретные интервалы периода Т, сохраняет обнаруженные значения от Vn до Vn-m напряжения постоянного тока, обнаруженные в текущее время tn до времени tn-m выборки, которое на m циклов выборки (m 1) раньше, чем текущее время tn, и вычисляет значение Vn+1 оценки напряжения постоянного тока в следующее время tn+1, используя обнаруженные значения от Vn до Vn-m напряжения постоянного тока, выражая кривую, соединяющую значения от Vn до Vn-m напряжения, посредством конкретной функции; при этом упомянутое средство оценки обнаруженного значения напряжения постоянного тока вычисляет значение Vn+1 оценки напряжения постоянного тока в следующее время tn+1, при этом следующее время tn+1 определяется как время, когда период времени, составляющий 1,5 конкретного периода Т, истек с текущего времени tn; и при этом упомянутое средство управления выходным напряжением, к которому подведено значение Vn+1 оценки напряжения постоянного тока, корректирует значение сигнала управления выходным напряжением и выводит скорректированное значение сигнала управления выходным напряжением в упомянутый преобразователь мощности.
7. Устройство преобразования мощности по п.6, в котором выражая кривую, соединяющую обнаруженное значение Vn-2 напряжения постоянного тока, обнаруженное во время выборки за два цикла выборки до текущего времени, обнаруженное значение Vn-1 напряжения постоянного тока, обнаруженное во время выборки за один цикл выборки до текущего времени, обнаруженное значение Vn напряжения постоянного тока, обнаруженное в текущее время tn, и значение Vn+1 оценки напряжения постоянного тока, посредством квадратической функции, упомянутое средство оценки обнаруженного значения напряжения постоянного тока вычисляет значение Vn+1 оценки напряжения постоянного тока посредством следующего уравнения:

8. Устройство преобразования мощности по п.6, в котором выражая кривую, соединяющую обнаруженное значение Vn-3 напряжения постоянного тока, обнаруженное во время выборки за три цикла выборки до текущего времени, обнаруженное значение Vn-2 напряжения постоянного тока, обнаруженное во время выборки за два цикла выборки до текущего времени, обнаруженное значение Vn-1 напряжения постоянного тока, обнаруженное во время выборки за один цикл выборки до текущего времени, обнаруженное значение Vn напряжения постоянного тока, обнаруженное в текущее время tn, и значение Vn+1 оценки напряжения постоянного тока, посредством кубической функции, упомянутое средство оценки обнаруженного значения напряжения постоянного тока вычисляет значение Vn+1 оценки напряжения постоянного тока посредством следующего уравнения:

9. Устройство преобразования мощности по п.6, в котором выражая кривую, соединяющую обнаруженное значение Vn-4 напряжения постоянного тока, обнаруженное во время выборки за четыре цикла выборки до текущего времени, обнаруженное значение Vn-3 напряжения постоянного тока, обнаруженное во время выборки за три цикла выборки до текущего времени, обнаруженное значение Vn-2 напряжения постоянного тока, обнаруженное во время выборки за два цикла выборки до текущего времени, обнаруженное значение Vn-1 напряжения постоянного тока, обнаруженное во время выборки за один цикл выборки до текущего времени, обнаруженное значение Vn напряжения постоянного тока, обнаруженное в текущее время tn, и значение Vn+1 оценки напряжения постоянного тока, посредством функции четвертого порядка, упомянутое средство оценки обнаруженного значения напряжения постоянного тока вычисляет значение Vn+1 оценки напряжения постоянного тока посредством следующего уравнения:

10. Устройство преобразования мощности, содержащее: преобразователь мощности, к которому подводится напряжение постоянного тока средства выпрямления для выпрямления электропитания переменного тока, при этом упомянутый преобразователь мощности выполнен с возможностью управлять и возбуждать нагрузку, средство восприятия напряжения для обнаружения напряжения постоянного тока упомянутого средства выпрямления, средство оценки обнаруженного значения напряжения постоянного тока, к которому подводится обнаруженное значение напряжения постоянного тока, обнаруженное посредством упомянутого средства восприятия напряжения, при этом упомянутое средство оценки обнаруженного значения напряжения постоянного тока выполнено с возможностью выводить значение оценки напряжения постоянного тока, и средство управления выходным напряжением, к которому подводится выходной сигнал упомянутого средства оценки обнаруженного значения напряжения постоянного тока, при этом упомянутое средство управления выходным напряжением выполнено с возможностью управлять выходным напряжением упомянутого преобразователя мощности; при этом упомянутое средство оценки обнаруженного значения напряжения постоянного тока производит выборку обнаруженного значения напряжения постоянного тока через конкретные интервалы периода Т, сохраняет обнаруженные значения от Vn до Vn-m напряжения постоянного тока, обнаруженные в текущее время tn до времени tn-m выборки, которое на m циклов выборки (m 1) раньше, чем текущее время tn, и вычисляет значение Vn+1 оценки напряжения постоянного тока в следующее время tn+1, используя обнаруженные значения от Vn до Vn-m напряжения постоянного тока, выражая кривую, соединяющую значения от Vn до Vn-m напряжения, посредством конкретной функции; при этом упомянутое средство оценки обнаруженного значения напряжения постоянного тока вычисляет значение Vn+1 оценки напряжения постоянного тока в следующее время tn+1, при этом следующее время tn+1 определяется как время, когда период времени, составляющий (1+k) конкретного периода Т, истек с текущего времени tn, где k удовлетворяет 0n+1 оценки напряжения постоянного тока, корректирует значение сигнала управления выходным напряжением и выводит скорректированное значение сигнала управления выходным напряжением в упомянутый преобразователь мощности.
11. Устройство преобразования мощности по п.10, в котором выражая кривую, соединяющую обнаруженное значение Vn-2 напряжения постоянного тока, обнаруженное во время выборки за два цикла выборки до текущего времени, обнаруженное значение Vn-1 напряжения постоянного тока, обнаруженное во время выборки за один цикл выборки до текущего времени, обнаруженное значение Vn напряжения постоянного тока, обнаруженное в текущее время tn, и значение Vn+1 оценки напряжения постоянного тока, посредством квадратической функции, упомянутое средство оценки обнаруженного значения напряжения постоянного тока вычисляет значение Vn+1 оценки напряжения постоянного тока посредством следующего уравнения:

12. Устройство преобразования мощности по п.10, в котором выражая кривую, соединяющую обнаруженное значение Vn-3 напряжения постоянного тока, обнаруженное во время выборки за три цикла выборки до текущего времени, обнаруженное значение Vn-2 напряжения постоянного тока, обнаруженное во время выборки за два цикла выборки до текущего времени, обнаруженное значение Vn-1 напряжения постоянного тока, обнаруженное во время выборки за один цикл выборки до текущего времени, обнаруженное значение Vn напряжения постоянного тока, обнаруженное в текущее время tn, и значение Vn+1 оценки напряжения постоянного тока, посредством кубической функции, упомянутое средство оценки обнаруженного значения напряжения постоянного тока вычисляет значение Vn+1 оценки напряжения постоянного тока посредством следующего уравнения:



13. Устройство преобразования мощности по п.10, в котором выражая кривую, соединяющую обнаруженное значение Vn-4 напряжения постоянного тока, обнаруженное во время выборки за четыре цикла выборки до текущего времени, обнаруженное значение Vn-3 напряжения постоянного тока, обнаруженное во время выборки за три цикла выборки до текущего времени, обнаруженное значение Vn-2 напряжения постоянного тока, обнаруженное во время выборки за два цикла выборки до текущего времени, обнаруженное значение Vn-1 напряжения постоянного тока, обнаруженное во время выборки за один цикл выборки до текущего времени, обнаруженное значение Vn напряжения постоянного тока, обнаруженное в текущее время tn, и значение Vn+1 оценки напряжения постоянного тока, посредством функции четвертого порядка, упомянутое средство оценки обнаруженного значения напряжения постоянного тока вычисляет значение Vn+1 оценки напряжения постоянного тока посредством следующего уравнения:





14. Устройство преобразования мощности по п.2, в котором цикл выборки устанавливается таким образом, что значение, полученное посредством деления обратной величины цикла выборки на частоту составляющей пульсации, содержащейся в напряжении постоянного тока, находится в пределах диапазона 10-1667.
15. Устройство преобразования мощности по п.1, в котором упомянутое средство выпрямления выпрямляет напряжение переменного тока от электропитания переменного тока посредством отдельно возбуждаемой схемы выпрямления, используя схему диодного выпрямления или схему мостового выпрямления, или схему самокоммутирующегося выпрямления, используя преобразователь, который выполняет операцию управления с широтно-импульсной модуляцией.
16. Устройство преобразования мощности по п.1, в котором упомянутое средство оценки обнаруженного значения напряжения постоянного тока оснащено средством фильтрации.
РИСУНКИ
|
|