|
|
(21), (22) Заявка: 2008138278/09, 25.09.2008
(24) Дата начала отсчета срока действия патента:
25.09.2008
(43) Дата публикации заявки: 27.03.2010
(46) Опубликовано: 20.08.2010
(56) Список документов, цитированных в отчете о поиске:
RU 2246737 C1, 20.02.2005. RU 2231085 C2, 20.06.2004. RU 2173834 C1, 20.09.2001. CA 2546634 A1, 15.11.2007. US 2008007448 A1, 10.01.2008.
Адрес для переписки:
601903, Владимирская обл., г. Ковров, ул. Крупской, 57, Федеральное государственное унитарное предприятие “Всероссийский научно-исследовательский институт “Сигнал” (ФГУП “НИИ “Сигнал”)
|
(72) Автор(ы):
Гужов Виталий Борисович (RU), Егоров Виктор Юрьевич (RU), Кретов Геннадий Андреевич (RU), Лопуховский Олег Николаевич (RU)
(73) Патентообладатель(и):
Российская Федерация, от имени которой выступает Министерство обороны Российской Федерации (RU), Федеральное государственное унитарное предприятие “Всероссийский научно-исследовательский институт “Сигнал” (ФГУП “ВНИИ “Сигнал”) (RU)
|
(54) ДОПЛЕРОВСКИЙ ДАТЧИК СКОРОСТИ С КОМПЕНСАЦИЕЙ ВЛИЯНИЯ ИЗМЕНЕНИЙ ОТРАЖАЮЩИХ СВОЙСТВ ПОВЕРХНОСТИ ЗЕМЛИ
(57) Реферат:
Изобретение относится к навигационной технике транспортных средств и представляет собой двулучевой доплеровский датчик скорости, выходная информация которого испытывает уменьшенное влияние изменений отражающих свойств поверхности земли. Однолучевой доплеровский датчик скорости при работе на транспортном средстве испытывает угловые перемещения диаграммы направленности вместе с корпусом и, кроме того, из-за влияния отражающих свойств поверхности земли. Применяемые двухлучевые доплеровские датчики скорости используют “схему Януса” ориентации лучей, которая защищает от влияния угловых перемещений. Предложенный вариант решения уменьшает влияние изменений отражающих свойств поверхности земли на показания датчика, эффективность защиты проверена на серийных датчиках, достигнуто уменьшение погрешности из-за изменения отражающих свойств поверхности земли в 5-7 раз. Технический результат – изобретение обеспечивает увеличение точности автономного счисления координат транспортных средств навигационной аппаратурой. 2 ил.
Данное изобретение относится к технике навигации и предназначено для использования в качестве источника информации о продольной скорости транспортного средства (ТС) в высокоточной аппаратуре определения координат (АОК).
В АОК летательных аппаратов и наземных ТС используются доплеровские датчики скорости (ДДС) с лучами, ориентированными по схеме “Януса” для измерения продольной скорости (Флеров А.Г., Тимофеев В.Т. “Доплеровские устройства и системы навигации”. Москва, Транспорт, 1987 г., стр.1-13).
Как следует из этого источника (см. там же стр.13) такой ДДС состоит из двух однолучевых ДДС (ОДДС) с направлением посылки сигнала под углами В и (180-В) к поверхности земли, а также сумматора частот однолучевых ДДС.
Частота каждого ОДДС умножается на множитель , где – длина волны излучения, В – угол встречи оси ДДС с поверхностью земли. Значение определяется при калибровке на мерном участке. Поэтому после калибровки за счет изменения В из-за сноса и тангажа ТС, а также за счет изменения отражающих свойств поверхности земли (ИОСПЗ) частота ОДДС изменяется, что и приводит к погрешностям измерения скорости и пути. Суммирование частот ОДДС компенсирует влияние сноса и тангажа, но оставляет погрешность из-за ИОСПЗ.
Блок-схема устройства-прототипа приведена на фиг.1.
Недостатком прототипа является изменение угла приема максимума сигнала при изменении отражающих свойств поверхности земли (см. там же стр.19-23). Это явление получило название погрешности смещения и затрудняет достижение высоких точностей измерения.
Изобретение направлено на уменьшение погрешности измерения скорости датчика за счет автоматической компенсации влияния ИОСПЗ.
Для достижения этого в ДДС, включающем в свой состав два откалиброванных ОДДС, введены блок вычитания частот, умножитель, хранитель коэффициента уравнивания и арифметическое устройство, при этом направление посылки сигналов ОДДС происходит под углами встречи оси датчиков с поверхностью земли B1 и B2=B1+(8÷12), входы блока вычитания частот соединены с выходами соответствующих ОДДС, а выход – с первым входом умножителя, выход которого соединен с вторым входом арифметического устройства, первый вход которого соединен с выходом первого ОДДС, второй вход умножителя соединен с выходом хранителя коэффициента уравнивания, а выход арифметического устройства является выходом всего датчика по скорости.
Сущность изобретения поясняется чертежами, где на фиг.1 приведена блок-схема прототипа, а на фиг.2 – блок-схема заявляемого датчика.
Сведения, подтверждающие возможность осуществления изобретения с указанным выше техническим результатом, заключаются в следующем.
В доплеровский датчик скорости (фиг.2), содержащий два однолучевых калибруемых ДДС 1, 2, дополнительно введены блок вычитания частот 3, умножитель 4, хранитель коэффициента уравнивания 5 и арифметическое устройство 6, при этом направление посылки сигналов ОДДС 1, 2 происходит под углами встречи оси датчиков с поверхностью земли B1 и B2=B1+(8÷12), входы блока вычитания частот 3 соединены с выходами соответствующих ОДДС 1, 2, а выход – с первым входом умножителя 4, выход которого соединен с вторым входом арифметического устройства 6, первый вход которого соединен с выходом ОДДС 1, второй вход умножителя 4 соединен с выходом хранителя коэффициента уравнивания 5, а выход арифметического устройства 6 является выходом всего датчика по скорости.
При калибровке ОДДС 1, 2 на мерном участке (МУ) оператор определяет цены импульсов ОДДС 1, 2 (см)

где SМУ – известная длина МУ;
n1,2 – количество импульсов некалиброванного сигнала ОДДС 1, 2.
Используя, полученные 1,2, оператор вычисляет реальные значения B1,2 и коэффициент уравнивания , который заносится оператором в хранитель коэффициента уравнивания 5.
После калибровки работа заявляемого устройства заключается в следующем.
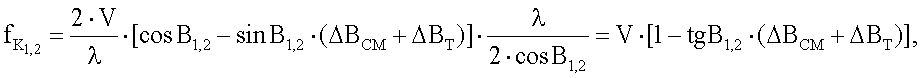
На вход блока вычитания частот 3 с выходов ОДДС 1, 2 поступают откалиброванные частоты , получаемые путем умножения частоты ОДДС на цены импульсов и численно равные:

где V – скорость движения;
В1,2 – углы встречи оси ОДДС 1, 2 с поверхностью земли;
ВСМ – смещение максимума диаграммы направленности излучения и приема ОДДС при изменении отражающих свойств поверхности земли (после калибровки);
Вт – смещение оси диаграммы направленности из-за тангажа (после калибровки).
На выходе блока вычитания частот 3 получаем частоту

На вход умножителя 4 поступают частота f3 и коэффициент уравнивания kУ, на выходе получаем частоту f4=f3·kУ=V·tgB1·( ВCM+ ВT), значение которой вместе с частотой ОДДС 1 поступает на вход арифметического устройства 6, на выходе которого получаем частоту:
fВЫХ=V-tgB1·( ВCM+ ВT)·V+tgB1·( BCM+ BT)·V=V.
Действительно, заявляемый датчик отличается уменьшенным влиянием ИОСПЗ. Опытная проверка показала, что в условиях испытаний влияние ИОСПЗ было уменьшено в 5-10 раз по сравнению с прототипом (с 1,0-1,5% погрешность уменьшилась до 0,1-0,2%).
Современная элементная база позволяет просто реализовать блоки, так как блок 3 – схема вычитания импульсов, блок 5 – схема запоминания, 4 – цифровая схема умножения, 6 – схема сложения чисел.
Формула изобретения
Доплеровский датчик скорости с компенсацией влияния изменений отражающих свойств поверхности земли, включающий в свой состав первый и второй однолучевые калибруемые доплеровские датчики скорости, отличающийся тем, что в него введены два блока вычитания частот, умножитель и запоминающее устройство, при этом направление посылки сигналов однолучевых доплеровских датчиков скорости происходит под углами встречи осей датчиков с поверхностью земли B1° и B2°=B1°+(8÷12)°, входы первого блока вычитания частот соединены с выходами первого и второго однолучевых доплеровских датчиков скорости соответственно, входы второго блока вычитания частот соединены с выходом первого однолучевого доплеровского датчика скорости и с выходом умножителя соответственно, выход первого блока вычитания частот соединен с первым входом умножителя, второй вход которого соединен с выходом запоминающего устройства, а выход второго блока вычитания частот является выходом всего устройства.
РИСУНКИ
|
|