|
|
(21), (22) Заявка: 2009128384/28, 22.07.2009
(24) Дата начала отсчета срока действия патента:
22.07.2009
(46) Опубликовано: 20.08.2010
(56) Список документов, цитированных в отчете о поиске:
RU 2209442 C2, 27.07.2003. RU 2143121 C1, 20.12.1999. JP 60200742 A, 11.10.1985. EP 0120749 A1, 03.10.1984. DE 4032056 C1, 21.05.1992. DE 3734071 A1, 20.04.1989.
Адрес для переписки:
634050, г.Томск, пр. Ленина, 30, ГОУ ВПО “Томский политехнический университет”, отдел правовой охраны результатов интеллектуальной деятельности
|
(72) Автор(ы):
Глазырина Татьяна Анатольевна (RU), Гольдштейн Ефрем Иосифович (RU)
(73) Патентообладатель(и):
Государственное образовательное учреждение высшего профессионального образования “Томский политехнический университет” (RU)
|
(54) СПОСОБ ОПРЕДЕЛЕНИЯ СКОЛЬЖЕНИЯ РОТОРА АСИНХРОННОГО ЭЛЕКТРОДВИГАТЕЛЯ
(57) Реферат:
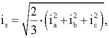
Изобретение относится к электротехнике и измерительной технике. Технический результат: расширение арсенала технических средств, уменьшение количества операций и сокращение времени определения. Сущность: способ заключается в том, что в установившемся режиме функционирования асинхронного двигателя одновременно регистрируют мгновенные величины токов трех фаз питания статора, определяют модуль результирующего вектора тока статора , где ia, ib, ic – мгновенные токи обмоток статора, проводят дискретное преобразование Фурье модуля результирующего вектора тока статора и одного из токов статора. Получают амплитудно-частотные характеристики модуля результирующего вектора тока статора и одного из токов статора. Выделяют основную частотную составляющую fs0 модуля результирующего вектора тока статора в диапазоне частот от 0 до 50 Гц и основную с наибольшей амплитудой составляющую одного из токов статора с частотой fc. Используя эти значения, определяют скольжение ротора . 1 з.п. ф-лы, 8 ил., 1 табл.
Изобретение относится к электротехнике, преимущественно к электрическим машинам и измерительной технике, предназначено для определения скольжения асинхронного двигателя.
Известен способ определения скольжения ротора асинхронного электродвигателя [Патент РФ 2209442, МПК7 G01R 31/34, опубл. 27.07.2003], заключающийся в том что на одной из фаз кабеля питания асинхронного электродвигателя осуществляют цифровую регистрацию мгновенной величины потребляемого им тока во времени, путем преобразования Гильберта выделяют низкочастотную огибающую амплитудно-модулированного сигнала потребляемого тока и определяют численные значения амплитуды потребляемого асинхронным электродвигателем тока, коэффициент амплитудной модуляции и скольжение ротора.
Недостатком известного способа является то, что он требует большое количество операций для осуществления.
Задачей изобретения является расширение арсенала технических средств аналогичного назначения.
Это достигается тем, что в способе определения скольжения ротора асинхронного электродвигателя, также как в прототипе, осуществляют цифровую регистрацию мгновенной величины потребляемого им тока на одной из фаз питания асинхронного электродвигателя.
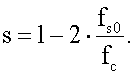
Согласно изобретению в установившемся режиме функционирования асинхронного электродвигателя одновременно регистрируют мгновенные величины токов трех фаз питания статора, определяют модуль результирующего вектора тока статора, затем одновременно проводят дискретное преобразование Фурье модуля результирующего вектора тока статора и одного из токов статора, получая амплитудно-частотные характеристики модуля результирующего вектора тока статора и одного из токов статора, из которых выделяют основную частотную составляющую fs0 модуля результирующего вектора тока статора в диапазоне частот от 0 до 50 Гц и основную, с наибольшей амплитудой, составляющую одного из токов статора с частотой fc питающей сети, используя которые определяют скольжение ротора:
.
Модуль результирующего вектора тока статора определяют по выражению

где – ia, ib, ic 10. С.50-52).
Использование такого подхода по сравнению с прототипом уменьшает количество операций, что позволяет быстрее определять скольжение ротора.
На фиг.1 приведена схема устройства, реализующего рассматриваемый способ определения скольжения асинхронного двигателя.
На фиг.2 приведена осциллограмма тока фазы А статора асинхронного двигателя.
На фиг.3 приведена осциллограмма тока фазы В статора асинхронного двигателя.
На фиг.4 приведена осциллограмма тока фазы С статора асинхронного двигателя.
На фиг.5 приведена осциллограмма модуля результирующего вектора тока статора асинхронного двигателя.
На фиг.6 приведена амплитудно-частотная характеристика модуля результирующего вектора тока статора асинхронного двигателя.
На фиг.7 приведена амплитудно-частотная характеристика тока одной из фаз статора асинхронного двигателя.
На фиг.8 приведена осциллограмма выходного сигнала датчика частоты вращения.
В табл.1 приведены наибольшие амплитуды и соответствующие им частоты амплитудно-частотных характеристик сигналов.
Заявленный способ может быть осуществлен с помощью устройства (фиг.1), содержащего первый датчик сигнала 1 (ДС1), подключенный к фазе А статора асинхронного двигателя. К первому датчику сигнала 1 (ДС1) последовательно подключены программатор определения модуля результирующего вектора тока статора 2 (ПМРВТС), первый программатор дискретного преобразования Фурье 3 (ПДПФ1), первый программатор выделения основной частоты 4 (ПОЧ1) и программатор определения скольжения 5 (ПС), который связан с дисплеем или ЭВМ (не показано на фиг.1). Второй датчик сигнала 6 (ДС2) подключен к фазе В статора асинхронного двигателя. Ко второму датчику сигнала 6 (ДС2) подключен программатор определения модуля результирующего вектора тока статора 2 (ПМРВТС). Третий датчик сигнала 7 (ДС3) подключен к фазе С статора асинхронного двигателя. К третьему датчику сигнала 7 (ДС3) подключен программатор определения модуля результирующего вектора тока статора 2 (ПМРВТС). К первому датчику сигнала 1 (ДС1) последовательно подключены второй программатор дискретного преобразования Фурье 8 (ПДПФ2), второй программатор выделения основной частоты 9 (ПОЧ2) и программатор определения скольжения 5 (ПС).
В качестве датчиков сигнала 1 (ДС1), 6 (ДС2) и 7 (ДС3) могут быть использованы датчики тока – промышленный прибор КЭИ-0,1. Программатор определения модуля результирующего вектора тока статора 2 (ПМРВТС), программаторы дискретного преобразования Фурье 3 (ПДПФ1) и 8 (ПДПФ2), программаторы выделения основной частоты 4 (ПОЧ1) и 9 (ПОЧ2), программатор определения скольжения 5 (ПС) могут быть выполнены на микроконтроллере серии 51 производителя amtel AT89S53.
Для проверки работоспособности предложенного способа определения скольжения первый датчик сигнала 1 (ДС1) подключили к фазе А статора питания универсального асинхронного двигателя с фазным ротором (2p=4, nc=1500 об/мин), второй датчик сигнала 6 (ДС2) подключили ко фазе В статора, третий датчик сигнала 7 (ДС3) подключили к фазе С статора. Одновременно регистрировали мгновенные значения токов ia, ib, ic статора в установившемся режиме функционирования асинхронного двигателя в течение 1 с. (фиг.2, фиг.3, фиг.4). Используя полученные значения в программаторе определения модуля результирующего вектора тока статора 2 (ПМРВТС), определили модуль результирующего вектора тока статора (фиг.5) по выражению (1). В программаторах дискретного преобразования Фурье 3 (ПДПФ1) и 8 (ПДПФ2) одновременно провели дискретное преобразование Фурье модуля результирующего вектора тока статора и тока ia питания фазы А обмотки статора и получили амплитудно-частотные характеристики модуля результирующего вектора тока статора в диапазоне частот от 0 до 50 Гц и тока ia питания фазы А обмотки статора. Зависимость амплитуды модуля результирующего вектора тока статора Ais, о.е. от частоты f, Гц приведена на фиг.6. Зависимость амплитуды тока одной из фаз питания Aia, о.е. от частоты f, Гц приведена на фиг.7. В таблице 1 представлены наибольшие амплитуды токов и соответствующие им частоты. Далее в программаторах выделения основной частоты 4 (ПОЧ1) и 9 (ПОЧ2) выделили основную частотную составляющую fs0=2 Гц модуля результирующего вектора тока статора и основную составляющую с наибольшей амплитудой потребляемого тока с частотой fc=50 Гц. Выделенные частоты fs0 и fc передали в программатор определения скольжения 5 (ПС), где определили скольжение ротора s,
.
Частоту вращения ротора определили по формуле
np=(1-s)·nc=(1-0.92)·1500=120 об/мин.
Для проверки правильности определения частоты вращения на валу асинхронного двигателя с фазным ротором расположили фотоэлектрический датчик частоты вращения ЛИР-51 (фиг.8). Среднее значение частоты вращения ротора с датчика частоты вращения np=123.89669 об/мин.
Таким образом, хорошо совпадают результаты расчета с экспериментальными данными.

Формула изобретения
1. Способ определения скольжения ротора асинхронного электродвигателя, заключающийся в том, что осуществляют цифровую регистрацию мгновенной величины потребляемого им тока на одной из фаз питания асинхронного электродвигателя, отличающийся тем, что в установившемся режиме функционирования асинхронного электродвигателя одновременно регистрируют мгновенные величины токов трех фаз питания статора, определяют модуль результирующего вектора тока статора, затем одновременно проводят дискретное преобразование Фурье модуля результирующего вектора тока статора и одного из токов статора, получая амплитудно-частотные характеристики модуля результирующего вектора тока статора и одного из токов статора, из которых выделяют основную частотную составляющую fs0 модуля результирующего вектора тока статора в диапазоне частот от 0 до 50 Гц и основную с наибольшей амплитудой составляющую одного из токов статора с частотой fc питающей сети, используя которые определяют скольжение ротора:

2. Способ по п.1, отличающийся тем, что модуль результирующего вектора тока статора определяют по выражению
 где – ia, ib, ic – мгновенные токи обмоток статора.
РИСУНКИ
|
|