|
(21), (22) Заявка: 2008114387/28, 05.09.2006
(24) Дата начала отсчета срока действия патента:
05.09.2006
(30) Конвенционный приоритет:
14.09.2005 PL P377064 23.06.2006 PL P380012
(43) Дата публикации заявки: 20.10.2009
(46) Опубликовано: 20.08.2010
(56) Список документов, цитированных в отчете о поиске:
SU 1218354 A, 15.03.1986. SU 434340 A, 30.06.1974. RU 2248583 C2, 20.03.2005. EP 0464662 A1, 08.01.1992. US 5485394 A, 16.01.1996.
(85) Дата перевода заявки PCT на национальную фазу:
14.04.2008
(86) Заявка PCT:
PL 2006/000061 20060905
(87) Публикация PCT:
WO 2007/032697 20070322
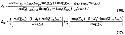
Адрес для переписки:
129090, Москва, ул. Б.Спасская, 25, стр.3, ООО “Юридическая фирма Городисский и Партнеры”, пат.пов. С.Р. Абубакирову, рег. 931
|
(72) Автор(ы):
БАЛЬЦЕРЕК Пжемыслав (PL), ФУЛЬЧИК Марек (PL), РОСОЛОВСКИ Эугениуш (PL), ИЗИКОВСКИ Ян (PL), САХА Мурари (SE)
(73) Патентообладатель(и):
АББ ТЕКНОЛОДЖИ АГ (CH)
|
(54) СПОСОБ ДЛЯ ОПРЕДЕЛЕНИЯ МЕСТА ПОВРЕЖДЕНИЯ ЛИНИЙ ЭЛЕКТРОПЕРЕДАЧИ
(57) Реферат:
Изобретение относится к измерительной технике и предназначено для определения места повреждения в многотерминальных линиях электропередачи с воздушными кабелями и подземными кабелями. Сущность: измеряют ток для условия повреждения и условия перед повреждением во всех оконечных станциях. В одной оконечной станции линии системы измеряют фазовое напряжение для условия повреждения и условия перед повреждением. Принимают некоторое гипотетическое местоположение повреждения. Вычисляют расстояния до гипотетических местоположений повреждения и сопротивления в месте повреждения. Выбирают действительную точку повреждения путем первого сравнения численных значений расстояний до гипотетических местоположений повреждений и путем отбрасывания тех результатов, численные значения которых являются отрицательными или больше единицы в относительных единицах, а затем путем анализа значений вычисленных сопротивлений в месте повреждения и отбрасывания тех результатов вычислений, для которых значение сопротивления повреждения является отрицательным. При этом если по-прежнему остается более одного неотброшенного результата вычисления, то выполняют выбор справедливого результата путем анализа значений вычисленных соответствующих импедансов эквивалентных источников. Технический результат: возможность определения точки повреждения для систем как с пассивными, так и с активными ответвлениями, стойкость к условиям перед повреждением. 16 з.п. ф-лы, 19 ил., 6 табл.
ОБЛАСТЬ ТЕХНИКИ
Настоящее изобретение относится к способу для определения места повреждения линий электропередачи, применимому к трехтерминальным линиям электропередачи и многотерминальным линиям электропередачи, пригодному для использования в электроэнергетике для воздушных линий электропередач и подвесных кабельных линий электропередач или распределительных линий.
ПРЕДШЕСТВУЮЩИЙ УРОВЕНЬ ТЕХНИКИ
Точное определение места повреждения линий электропередачи является очень важным как для компаний – поставщиков электроэнергии, так и для потребителей электроэнергии. Быстрое и точное определение точки повреждения влияет на качество передаваемой электроэнергии и на ее надежную и непрерывную подачу. В большинстве случаев повреждения являются механическими повреждениями, которые нужно устранить перед восстановлением напряжения на линии. Быстрое исправление повреждения возможно, если место повреждения точно известно. Простейший способ для определения местоположения повреждения состоит в поиске вдоль линии. Указанный способ является медленным и дорогостоящим, даже опасным при неблагоприятных метеоусловиях. Для быстрого определения точки повреждения используют прибор для обнаружения мест повреждения. Прибор для обнаружения мест повреждения обычно является частью цифрового защитного реле, расположенного на электростанциях или на подстанциях. Известны различные способы определения места повреждения в зависимости от типа линий электропередачи: параллельные линии, трехтерминальные линии электропередачи и многотерминальные линии электропередачи, в зависимости от местоположения оконечных терминалов и от измерения сигналов при разнесенном приеме.
Система и способ для определения места повреждения в трехтерминальной линии электропередачи известны из патента US 6466030. Способ согласно изобретению состоит в делении линии передачи в точке ответвления на два участка, участок стороны подачи и участок приемной стороны, причем на обеих сторонах обоих участков на их концах устанавливаются приборы для измерения сигналов тока и напряжения. Затем, на основе синхронно и асинхронно измеренных значений и модели контуров повреждения, вычисляется импеданс нагрузки в фазе, после чего вычисляется первое гипотетическое местоположение повреждения в предположении, что повреждение произошло на участке стороны подачи. В зависимости от того, являются ли измерения синхронизированными или нет, либо вычисляется фазовый угол, который является мерой смещения со временем измеренных выборок из сигналов с обоих концов линии на основе измеренных сигналов перед повреждением, либо предполагается, что для синхронных измерений фазовый угол равен нулю. Затем выполняются вычисления второго гипотетического местоположения повреждения на втором участке линии между точкой ответвления и точкой приема. Из упомянутых двух вычисленных гипотетических местоположений выбирается одно значение, которое содержится в некотором специфическом интервале ожидаемых значений, то есть численных значений от 0 до 1 в относительных единицах измерения. Данное решение применяется к случаю одноцепной линии электропередачи с пассивной фазой, что означает, что в принятой эквивалентной принципиальной схеме такой системы, в линии с ответвлениями, не учитывается присутствие электродвижущей силы, и импеданс нагрузки такой линии может быть вычислен из измерений перед повреждением.
Система и способ для определения места повреждения в многотерминальной параллельной линии электропередачи известны из патента US 5485394. В способе согласно изобретению многотерминальная система электропередачи приравнивается к трехтерминальной системе электропередачи. Для такой системы, дифференциальные амплитуды тока вычисляются на каждой станции, и затем из этих соотношений вычисляется расстояние до точки повреждения.
Способ определения места повреждения с использованием измерения комплексной амплитуды напряжения и тока на всех станциях, на концах многотерминальной линии электропередачи, известен из публикации Novel Fault Location Algorithm for Multi-Terminal Lines Using Phasor Measurement Units , опубликованной в материалах симпозиума the Thirty-Seventh Annual North American Power Symposium in Ames, штат Иова, США, 23-25 октября, 2005. Указанный способ состоит в сокращении многосекционной линии электропередачи до двухтерминальных линий в предположении, что повреждение расположено на одном из этих участков, и затем на основании такого предположения вычисляются гипотетические местоположения повреждения. Далее, выполняются вычисления последующих гипотетических местоположений повреждения в предположении, что повреждение расположено на дальнейших последующих участках линии. Из гипотетических местоположений повреждения, вычисленных таким образом, выбирается одно значение, которое заключается в некотором специфическом интервале ожидаемых значений и которое показывает действительное место повреждения.
СУЩНОСТЬ ИЗОБРЕТЕНИЯ
Согласно настоящему изобретению способ определения мест повреждения в линиях электропередачи путем деления линий электропередачи или распределительной системы на участки и предположения гипотетического местоположения повреждения, по меньшей мере, на одном из этих участков, состоит в том, что
измеряют ток во всех оконечных станциях системы для условия повреждения и условия перед повреждением,
измеряют фазовое напряжение линии в одной оконечной станции системы для условия повреждения и условия перед повреждением,
вычисляют симметричные составляющие измеренных сигналов тока и напряжения, а также полный ток повреждения в точке повреждения,
делают предположение относительно первой гипотетической точки повреждения, расположенной на участке линии между началом линии и первой точкой ответвления, относительно второй гипотетической точки повреждения, расположенной на участке линии между концом линии и последней точкой ответвления, и относительно некоторой последующей гипотетической точки повреждения, расположенной в ответвлении, причем дополнительно делается предположение относительно последующих гипотетических точек повреждения, расположенных на участках линии между двумя следующими друг за другом точками ответвления для многотерминальной линии электропередачи,
вычисляют расстояние от начала линии до точки повреждения, расстояние от конца линии до точки повреждения и расстояние от конца линии передачи с ответвлениями до точки повреждения, расположенной в этом ответвлении, а для многотерминальной линии электропередачи, дополнительно вычисляют расстояние от точки ответвления до точки повреждения, расположенной на участке линии между двумя точками ответвления, и затем вычисляется сопротивление в месте повреждения для всех гипотетических точек повреждения;
выбирают действительную точку повреждения путем первого сравнения численных значений предварительно определенных расстояний и отбрасывания тех результатов, численные значения которых являются отрицательными или больше 1 в относительных единицах, и затем проводят анализ значений расстояния повреждения, вычисленных для точек повреждения и отбрасывают те результаты, для которых расстояние повреждения является отрицательным, и после чего, если обнаруживают, что только одно численное значение расстояния находится в интервале от нуля до единицы в относительных единицах и что значение вычисленного сопротивления в месте повреждения для этого расстояния до точки повреждения является положительным или равно нулю, то эти результаты принимают окончательными результатами, которые показывают действительное расстояние до точки повреждения и значение сопротивления в месте повреждения в точке повреждения;
если, после выбора действительной точки повреждения, определяют, что в численном интервале от нуля до единицы в относительных единицах находятся, по меньшей мере, два численных значения предварительно вычисленных расстояний, и что значения вычисленного сопротивления в месте повреждения для этих точек повреждения являются положительными или равными нулю, то определяют модули импедансов или импедансы системы эквивалентных источников для отрицательной последовательной составляющей для однофазных коротких замыканий на землю, междуфазных коротких замыканий и междуфазных коротких замыканий на землю, или для положительной последовательной инкрементной составляющей для трехфазных коротких замыканий и в предположении, что повреждение произошло на определенном участке, при этом во время определения импеданса дополнительно проверяют, находятся ли вычисленные значения импеданса системы эквивалентных источников в первом квадранте декартовой системы координат для комплексной плоскости, и отбрасывают эти расстояния до точек повреждения для тех значений импеданса, которые не находятся в данном квадранте системы, и если оказывается, что в первом квадранте системы содержится только одно значение импеданса системы эквивалентных источников, касающееся расстояния, то результат вычисления расстояния до точки повреждения для этого импеданса считают окончательным, а если оказывается, что, по меньшей мере, два значения импеданса системы эквивалентных источников, касающиеся расстояния, содержатся в первом квадранте системы, то определяют модули импедансов;
сравнивают значения этих модулей импеданса эквивалентных источников с реалистическими значениями, которые действительно задают нагрузку системы, при этом расстояние, для которого значение модуля импеданса эквивалентных источников является самым близким к реалистическим значениям, действительно определяющим нагрузку системы, считают окончательным результатом.
Предпочтительно, вычисление тока повреждения выполняют, учитывая распределенные коэффициенты, определяющие соотношение между симметричными составляющими полного тока повреждения, когда оценивают падение напряжения на сопротивлении в месте повреждения, причем для той операции используют специально определенный набор этих коэффициентов.
Предпочтительно, для междуфазных коротких замыканий на землю, при оценке полного тока повреждения исключают положительную последовательную составляющую, а для отрицательной и нулевой последовательных составляющих, принимают следующие значения распределенных коэффициентов, определяющих соотношение между симметричными составляющими полного тока повреждения, когда оценивают падение напряжения на сопротивлении в месте повреждения, в частности для повреждения типа a-b-g:



где:





Предпочтительно, для трехтерминальных линий электропередачи расстояния от начала линии до точки повреждения dA, от конца линии до точки повреждения dB, от конца линии передачи с ответвлениями до точки повреждения dC определяют из следующих уравнений:

где:
real обозначает действительную часть заданной величины;
imag обозначает мнимую часть заданной величины;
VAp – обозначает напряжение на контуре повреждения, определяемое в предположении, что повреждение произошло на участке LA;
VTp – обозначает напряжение на контуре повреждения, определяемое в предположении, что повреждение произошло на участке LB или LC;
IAp – обозначает контурный ток повреждения, определяемый в предположении, что повреждение произошло на участке LA;
ITBp – обозначает контурный ток повреждения, определяемый в предположении, что повреждение произошло на участке LB;
ITCp – обозначает контурный ток повреждения, определяемый в предположении, что повреждение произошло на участке LC линии;
IF – обозначает полный ток повреждения;
Z1LA=R1LA+j 1L1LA – обозначает импеданс участка LA линии для положительной последовательности;
Z1LB=R1LB+j 1L1LB – обозначает импеданс участка LB линии для положительной последовательности;
Z1LC=R1LC+j 1L1LC – обозначает импеданс участка LC линии для положительной последовательности;
R1LA, R1LB, R1LC – сопротивление для положительной последовательности для участков LA, LB, LC линии соответственно;
L1LA, L1LB, L1LC – индуктивность для положительной последовательности для участков LA, LB, LC линии соответственно;
1 – угловая частота переменного тока для основной частоты.
Предпочтительно, для трехтерминальных линий электропередачи сопротивления RFA, RFB, RFC в месте повреждения определяют из следующих уравнений:

где:
real обозначает действительную часть заданной величины;
imag обозначает мнимую часть заданной величины;
VAp – обозначает напряжение на контуре повреждения, вычисляемое в предположении, что повреждение произошло на участке LA;
VTp – обозначает напряжение на контуре повреждения, вычисляемое в предположении, что повреждение произошло на участке LB или LC;
IAp – обозначает контурный ток повреждения, вычисляемый в предположении, что повреждение произошло на участке LA;
ITBp – обозначает контурный ток повреждения, вычисляемый в предположении, что повреждение произошло на участке LB;
ITCp – обозначает контурный ток повреждения, вычисляемый в предположении, что повреждение произошло на участке LC линии;
IF – обозначает полный ток повреждения;
Z1LA=R1LA+j 1L1LA – обозначает импеданс участка LA линии для положительной последовательности;
Z1LB=R1LB+j 1L1LB – обозначает импеданс участка LB линии для положительной последовательности;
Z1LC=R1LC+j 1L1LC R1LA – обозначает импеданс участка LC линии для положительной последовательности;
R1LA, R1LB, R1LC – сопротивление для положительной последовательности для участков LA, LB, LC линии, соответственно;
L1LC L1LA, L1LB, L1LC – индуктивность для положительной последовательности для участков LA, LB, LC линии, соответственно;
1 – угловая частота переменного тока для основной частоты;
dA – обозначает расстояние от начала линии до точки повреждения;
dB – обозначает расстояние от конца линии до точки повреждения;
dC – обозначает расстояние от конца линии передачи с ответвлениями до точки повреждения.
Предпочтительно, для трехтерминальных линий электропередачи, импеданс эквивалентного источника для отрицательной последовательной составляющей (Z2SB)SUB_A) и для инкрементной положительной последовательной составляющей (Z 1SB)SUB_A) вычисляют в предположении, что повреждение произошло на участке LA линии, согласно уравнению:

где:
нижний индекс i принимает значения i=2 для отрицательной последовательной составляющей, i= 1 для инкрементной положительной последовательной составляющей;
GiA – обозначает первый аналитический коэффициент для отрицательной последовательной составляющей, определяемой из анализа эквивалентной принципиальной схемы системы, подобно показанной на фиг.11, и/или для инкрементной положительной последовательной составляющей, аналитически определяемой из эквивалентной принципиальной схемы системы, показанной на фиг.12;
IAi – обозначает отрицательную и/или инкрементную положительную последовательную составляющую тока, измеренного в начале линии;
HAi – обозначает второй аналитический коэффициент для отрицательной последовательной составляющей, определяемой из анализа эквивалентной принципиальной схемы системы, показанной на фиг.11, и/или для инкрементной положительной последовательной составляющей, аналитически определяемой из эквивалентной принципиальной схемы системы, показанной на фиг.12;
IFAi – обозначает отрицательную последовательную составляющую полного тока повреждения, определяемую из анализа эквивалентной принципиальной схемы системы, показанной на фиг.11, и/или инкрементную положительную последовательную составляющую полного тока повреждения, определяемую из эквивалентной принципиальной схемы системы, показанной на фиг.12;
QBCi – обозначает отношение отрицательной последовательной составляющей тока, измеренной на конце линии, и суммы отрицательных последовательных составляющих сигналов тока, измеренных на конце линии и на конце линии передачи с ответвлениями, и/или отношение инкрементной положительной последовательной составляющей тока, измеренной на конце линии, и суммы инкрементных положительных последовательных составляющих сигналов тока, измеренных на конце линии и на конце линии передачи с ответвлениями.
Предпочтительно, для трехтерминальных линий электропередачи, импеданс (Z2SC)SUB_A) эквивалентного источника для отрицательной последовательной составляющей и (Z 1SC)SUB_A) для инкрементной положительной последовательной составляющей вычисляют в предположении, что повреждение произошло на участке LA линии, из следующего уравнения:

где:
нижний индекс i принимает значения i=2 для отрицательной последовательной составляющей, i= 1 для инкрементной положительной последовательной составляющей;
(ZiSB)SUB_A) – обозначает импеданс эквивалентных источников для отрицательной последовательной составляющей и/или для инкрементной положительной последовательной составляющей, вычисляемой в предположении, что повреждение произошло на участке LA линии;
ZiLB – обозначает импеданс участка LB линии для отрицательной последовательной составляющей и/или для инкрементной положительной последовательной составляющей, где: Z 1LB=Z1LB;
Z1LB – обозначает импеданс участка LB линии для положительной последовательной составляющей;
ZiLC – обозначает импеданс участка LC линии для отрицательной последовательной составляющей и/или импеданс участка LC линии для инкрементной положительной последовательной составляющей, где Z2LC=Z1LC и Z 1LC=Z1LC;
Z1LC – обозначает импеданс участка LC линии для положительной последовательной составляющей;
IBi – обозначает отрицательную последовательную составляющую и/или инкрементную положительную последовательную составляющую тока, измеренную на конце линии;
ICi – обозначает отрицательную последовательную составляющую и/или инкрементную положительную последовательную составляющую тока, измеренную на конце ответвления.
Предпочтительно, для трехтерминальных линий электропередачи, импеданс эквивалентного источника для отрицательной последовательной составляющей (Z2SB)SUB_B) и для инкрементной положительной последовательной составляющей (Z 1SB)SUB_B) определяют в предположении, что повреждение произошло на участке LB линии, из следующего уравнения:

где:
нижний индекс i принимает значения i=2 для отрицательной последовательной составляющей, i= 1 для инкрементной положительной последовательной составляющей;
dB – обозначает расстояние от конца линии до точки повреждения;
ZiLB – обозначает импеданс участка LB линии для отрицательной последовательной составляющей и/или для положительной последовательной составляющей, где: Z 1LB=Z1LB;
Z 1LB – обозначает импеданс участка LB линии для положительной последовательной составляющей;
– обозначает ток, текущий от точки ответвления T до участка LB линии для отрицательной последовательной составляющей и/или для инкрементной положительной последовательной составляющей;
IBi – обозначает отрицательную последовательную составляющую и/или инкрементную положительную последовательную составляющую тока, измеренную на конце линии;
– обозначает напряжение в точке ответвления T для отрицательной последовательной составляющей и/или для инкрементной положительной последовательной составляющей.
Предпочтительно, для трехтерминальных линий электропередачи, импеданс эквивалентного источника для отрицательной последовательной составляющей (Z2SC)SUB_B) и для инкрементной положительной последовательной составляющей (Z 1SC)SUB_B) вычисляют в предположении, что повреждение произошло на участке LB линии, из следующего уравнения:

где:
нижний индекс i принимает значения i=2 для отрицательной последовательной составляющей, i= 1 для инкрементной положительной последовательной составляющей;
VCi – обозначает вычисленную отрицательную последовательную составляющую и/или инкрементную положительную последовательную составляющую напряжения на конце линии передачи с ответвлениями;
ICi – обозначает отрицательную последовательную составляющую и/или инкрементную положительную последовательную составляющую тока, измеренную на конце ответвления.
Предпочтительно, для трехтерминальных линий электропередачи, импеданс эквивалентного источника для отрицательной последовательной составляющей (Z2SC)SUB_C и для инкрементной положительной последовательной составляющей (Z 1SC)SUB_C вычисляют в предположении, что повреждение произошло на участке LC линии, из следующего уравнения:

где:
нижний индекс i принимает значения i=2 для отрицательной последовательной составляющей, i= 1 для инкрементной положительной последовательной составляющей;
dc – обозначает расстояние от конца линии передачи с ответвлениями до точки повреждения;
ZiLC – обозначает импеданс участка LC линии для отрицательной последовательной составляющей и/или для инкрементной положительной последовательной составляющей, где: Z2LC=Z1LC и Z 1LC=Z1LC;
Z1LC – обозначает импеданс участка LC линии для положительной последовательной составляющей;
– обозначает ток, текущий от точки ответвления T до участка LC линии для отрицательной последовательной составляющей и/или для инкрементной положительной последовательной составляющей;
ICi – обозначает отрицательную последовательную составляющую и/или инкрементную положительную последовательную составляющую тока, измеренную на конце ответвления;
– обозначает напряжение в точке ответвления T для отрицательной последовательной составляющей и/или для инкрементной положительной последовательной составляющей.
Предпочтительно, для трехтерминальных линий электропередачи, импеданс эквивалентного источника для отрицательной последовательной составляющей (Z2SB)SUB_C и для инкрементной положительной последовательной составляющей (Z 1SB)SUB_C вычисляют в предположении, что повреждение произошло на участке LC линии, из следующего уравнения:

где:
нижний индекс i принимает значения i=2 для отрицательной последовательной составляющей, i= 1 для инкрементной положительной последовательной составляющей;
VBi – обозначает вычисленную отрицательную последовательную и/или инкрементную положительную последовательную составляющую напряжения на конце линии;
IBi – обозначает отрицательную последовательную и/или инкрементную положительную последовательную составляющую тока, измеренного на конце линии.
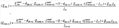
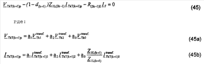
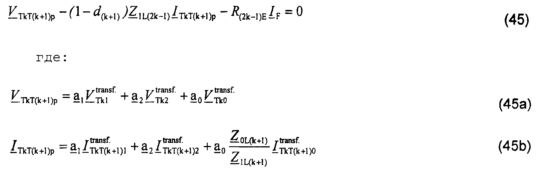
Предпочтительно, для многотерминальных линий электропередачи расстояния от начала линии до точки повреждения (d1), от конца линии до точки повреждения (d(2n-3)), от конца линии до точки повреждения (d(2k-2)), от точки ответвления до точки повреждения на участке линии между двумя точками ответвления {d(2k-1)) определяют из следующих уравнений:

где:
real обозначает действительную часть заданной величины;
imag обозначает мнимую часть заданной величины;
V1p – напряжение на контуре повреждения, вычисляемое в предположении, что повреждение произошло на участке L1 линии;
I1p – контурный ток повреждения, вычисляемый в предположении, что повреждение произошло на первом участке L1 линии;
VT(n-1)np – напряжение на контуре повреждения, вычисляемое в предположении, что повреждение произошло на участке L(2n-3) линии;
IT(n-1)np – контурный ток повреждения, вычисляемый в предположении, что повреждение произошло на участке L(2n-3) линии;
VTkkp – напряжение на контуре повреждения, вычисляемое в предположении, что повреждение произошло в koй линии передачи с ответвлениями;
ITkkp – контурный ток повреждения, вычисляемый в предположении, что повреждение произошло в koй линии передачи с ответвлениями;
VTkT(k+1)p – напряжение на контуре повреждения, вычисляемое в предположении, что повреждение произошло на участке линии между двумя точками ответвления;
ITkT(k+1)p – контурный ток повреждения, вычисляемый в предположении, что повреждение произошло на участке линии между двумя точками ответвления;
IF – полный ток повреждения;
Z1L1 – импеданс участка L1 линии для положительной последовательной составляющей;
Z0L1– импеданс участка L1 линии для нулевой последовательной составляющей;
Z1L(2n-3) – импеданс участка L(2n-3) линии для положительной последовательной составляющей;
Z0L(2n-3) – импеданс участка L(2n-3) линии для нулевой последовательной составляющей;
Z1L(2k-2) – импеданс участка L(2k-2) линии для положительной последовательной составляющей;
Z0L(2k-2) – импеданс участка L(2k-2) линии для нулевой последовательной составляющей;
Z1L(2k-1) – импеданс участка L(2k-1) линии для положительной последовательной составляющей;
Z0L(2k-1) – импеданс участка L(2k-1) линии для нулевой последовательной составляющей;
k – номер точки ответвления;
n – номер терминала линии.
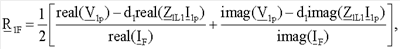
Предпочтительно, для многотерминальных линий электропередачи сопротивления (R1F), (R(2n-3)F), (R(2k-2)F), (R(2k-1)F) в месте повреждения вычисляют из следующих уравнений:

где:
real обозначает действительную часть заданной величины;
imag обозначает мнимую часть заданной величины;
(d1) – расстояние до повреждения от начала линии до точки повреждения;
(d(2n-3)) – расстояние до повреждения от конца линии до точки повреждения;
(d(2k-2)) – расстояние до повреждения от конца линии передачи с ответвлениями до точки повреждения;
{d(2k-1)) – расстояние до повреждения на участке линии между двумя точками ответвления;
V1p – напряжение на контуре повреждения, вычисляемое в предположении, что повреждение произошло на первом участке L1 линии;
I1p – контурный ток повреждения, вычисляемый в предположении, что повреждение произошло на первом участке L1 линии;
VT(n-1)np – напряжение на контуре повреждения, вычисляемое в предположении, что повреждение произошло на участке L(2n-3) линии;
IT(n-1)np – контурный ток повреждения, вычисляемый в предположении, что повреждение произошло на участке L(2n-3) линии;
VTkkp – напряжение на контуре повреждения, вычисляемое в предположении, что повреждение произошло в koй линии передачи с ответвлениями;
ITkkp – контурный ток повреждения, вычисляемый в предположении, что повреждение произошло в koй линии передачи с ответвлениями;
VTkT(k+1)p – напряжение на контуре повреждения, вычисляемое в предположении, что повреждение произошло на участке линии между двумя точками ответвления;
ITkT(k+1)p – контурный ток повреждения, вычисляемый в предположении, что повреждение произошло на участке линии между двумя точками ответвления;
IF – полный ток повреждения;
Z1L1 – импеданс участка L1 линии для положительной последовательной составляющей;
Z0L1– импеданс участка L1 линии для нулевой последовательной составляющей;
Z1L(2n-3) – импеданс участка L(2n-3) линии для положительной последовательной составляющей;
Z0L(2n-3) – импеданс участка L(2n-3) линии для нулевой последовательной составляющей;
Z1L(2k-2) – импеданс участка L(2k-2) линии для положительной последовательной составляющей;
Z0L(2k-2) – импеданс участка L(2k-2) линии для нулевой последовательной составляющей;
Z1L(2k-1) – импеданс участка L(2k-1) линии для положительной последовательной составляющей;
Z0L(2k-1) – импеданс участка L(2k-1) линии для нулевой последовательной составляющей;
k – номер точки ответвления;
n – номер терминала линии.
Предпочтительно, для многотерминальных линий электропередачи импеданс эквивалентных источников для отрицательной последовательной составляющей (Z2S1) или для инкрементной положительной последовательной составляющей (Z 1S1) вычисляют в предположении, что повреждение расположено на участке линии между началом линии и первой точкой ответвления, согласно следующему уравнению:

где:
i=2 для отрицательной последовательной составляющей, i= 1 для инкрементной положительной последовательной составляющей;
V1i – напряжение, измеренное на станции 1 для отдельных симметричных составляющих (первый нижний индекс), а второй нижний индекс для отрицательной последовательной составляющей будет равен 2, и для инкрементной положительной последовательной составляющей будет индекс 1;
I1i – ток, измеренный на станции 1 для отдельных симметричных составляющих (первый нижний индекс), а второй нижний индекс для отрицательной последовательной составляющей будет равен 2, и для инкрементной положительной последовательной составляющей индекс будет 1.
Предпочтительно, для многотерминальных линий электропередачи, импеданс ((Z2S(n))) эквивалентного источника для отрицательной последовательной составляющей и ((Z 1S(n))) для инкрементной положительной последовательной составляющей определяют в предположении, что повреждение расположено на участке линии между концом линии и последней точкой ответвления, из следующего уравнения:

где:
i=2 для отрицательной последовательной составляющей, i= 1 для инкрементной положительной последовательной составляющей;
– напряжения, измеренные в конечной точке ответвления T(n-1) для отрицательной последовательной составляющей i=2 или для инкрементной положительной последовательной составляющей i= 1;
d(2n-3) – расстояние до повреждения от конца линии до точки повреждения,
ZiL(2n-3) – импеданс участка L(2n-3) линии для отрицательной последовательной составляющей i=2 или для инкрементной положительной последовательной составляющей i= 1;
– значения тока, текущего от точки ответвления T(n-1) до станции n на участке L(2n-3) линии для отрицательной последовательной составляющей i=2 или для инкрементной положительной последовательной составляющей i= 1;
IFi – полный ток повреждения для отрицательной последовательной составляющей i=2 или для инкрементной положительной последовательной составляющей i= 1;
Ini – ток, измеренный на последней станции n для отдельных симметричных составляющих (первый нижний индекс), а второй нижний индекс для отрицательной последовательной составляющей будет равен 2, и для инкрементной положительной последовательной составляющей индекс будет 1.
Предпочтительно, для многотерминальных линий электропередачи импеданс эквивалентного источника для отрицательной последовательной составляющей ((Z2Sk)) и для инкрементной положительной последовательной составляющей ((Z 1Sk)) определяют в предположении, что повреждение расположено на линии передачи с ответвлениями, из следующего уравнения:

где:
– напряжение в koй точке ответвления для отрицательной последовательной составляющей i=2 или для инкрементной положительной последовательной составляющей i= 1;
d(2k-2) – расстояние до повреждения от конца линии передачи с ответвлениями до точки повреждения Tk;
ZiL(2k-2) – импеданс участка L(2k-2) линии для отрицательной последовательной составляющей i=2 или для инкрементной положительной последовательной составляющей i= 1;
– значения тока, текущего от точки ответвления Tk до koй станции на участке L(2k-2) линии передачи с ответвлениями для отрицательной последовательной составляющей i=2 или для инкрементной положительной последовательной составляющей i= 1;
IFi – полный ток повреждения для отрицательной последовательной составляющей i=2 или для инкрементной положительной последовательной составляющей i= 1;
Iki – ток, измеренный на станции k для отдельных симметричных составляющих (первый нижний индекс), а второй нижний индекс для отрицательной последовательной составляющей будет равен 2, и для инкрементной положительной последовательной составляющей индекс будет 1.
Предпочтительно, для многотерминальных линий электропередачи, импеданс эквивалентного источника для отрицательной последовательной составляющей ((Z2Sk)) и ((Z2S(k+1))) и для инкрементной положительной последовательной составляющей ((Z 1Sk)) и ((Z 1S(k+1))) вычисляют в предположении, что повреждение расположено на участке линии между двумя следующими друг за другом точками ответвления, из следующих уравнений:

где:
– напряжение в koй точке ответвления для отрицательной последовательной составляющей i=2 или для инкрементной положительной последовательной составляющей i= 1;
d(2k-1) – расстояние до повреждения на участке линии между двумя точками ответвления;
ZiL(2k-1) – импеданс участка L(2k-1) линии для отрицательной последовательной составляющей i=2 или для инкрементной положительной последовательной составляющей i= 1;
– ток, текущий от точки ответвления Tk до точки ответвления T(k+1) на участке линии для отрицательной последовательной составляющей i=2 или для инкрементной положительной последовательной составляющей i= 1;
IFi – полный ток повреждения для отрицательной последовательной составляющей i=2 или для инкрементной положительной последовательной составляющей i= 1;
Iki – ток, измеренный на станции k для отдельных симметричных составляющих (первый нижний индекс), а второй нижний индекс для отрицательной последовательной составляющей будет равен 2, и для инкрементной положительной последовательной составляющей будет равен 1;
I(k+1)i – ток, измеренный на станции k+1 для отдельных симметричных составляющих (первый нижний индекс), а второй нижний индекс для отрицательной последовательной составляющей будет равен 2, и для инкрементной положительной последовательной составляющей индекс будет 1.
ПРЕИМУЩЕСТВА
Преимущество способа определения места повреждения в линиях электропередачи состоит в том, что позволяет определять точку повреждения для системы электропередачи или распределительной системы как с пассивными, так и с активными ответвлениями.
Благодаря требуемым входным сигналам предложенный способ определения местоположения может применяться к дифференциальной токовой защите, что увеличивает функциональные возможности защитного реле. Таким образом, защитное реле, кроме свой основной характеристики, то есть индикации того, произошло повреждение в заданной защитной зоне или вне ее, может точно определять местоположение повреждения.
Кроме того, предложенный способ является стойким к условиям перед повреждением, задаваемым направлением и объемом потока мощности перед повреждением.
КРАТКОЕ ОПИСАНИЕ ЧЕРТЕЖЕЙ
Способ согласно настоящему изобретению поясняется на примере предпочтительного варианта осуществления со ссылками на сопровождающие чертежи, на которых:
фиг.1 изображает электрическую схему для реализации способа определения повреждения трехтерминальной линии электропередачи с указанными участками LA, LB и LC, согласно изобретению;
фиг.2 – принципиальную схему для положительной последовательной составляющей в предположении, что повреждение произошло на участке LA линии, согласно изобретению;
фиг.3 – принципиальную схему системы электропередачи для отрицательной последовательной составляющей в предположении, что повреждение произошло на участке LA линии, согласно изобретению;
фиг.4 – принципиальную схему системы электропередачи для нулевой последовательной составляющей в предположении, что повреждение произошло на участке LA линии, согласно изобретению;
фиг.5 – принципиальную схему для положительной последовательной составляющей в предположении, что повреждение произошло на участке LB линии, согласно изобретению;
фиг.6 – принципиальную схему системы электропередачи для отрицательной последовательной составляющей в предположении, что повреждение произошло на участке LB линии, согласно изобретению;
фиг.7 – принципиальную схему системы электропередачи для нулевой последовательной составляющей в предположении, что повреждение произошло на участке LB линии, согласно изобретению;
фиг.8 – принципиальную схему для положительной последовательной составляющей в предположении, что повреждение произошло на участке LC линии, согласно изобретению;
фиг.9 – принципиальную схему системы электропередачи для отрицательной последовательной составляющей в предположении, что повреждение произошло на участке LC линии, согласно изобретению;
фиг.10 – принципиальную схему системы электропередачи для нулевой последовательной составляющей в предположении, что повреждение произошло на участке LC линии, согласно изобретению;
фиг.11 – принципиальную схему системы электропередачи для отрицательной последовательной составляющей в предположении, что повреждение произошло на участке LA линии, для вычисления импеданса эквивалентных систем, согласно изобретению;
фиг.12 – принципиальную схему для инкрементной положительной последовательной составляющей в предположении, что повреждение произошло на участке LA линии, для вычисления импеданса эквивалентных систем, согласно изобретению;
фиг.13 блок-схему последовательности операций, выполняемых при определении местоположения повреждений согласно заявленному способу трехтерминальной линии электропередачи, согласно изобретению;
фиг.14 – электрическую схему системы электропередачи для осуществления способа для многотерминальной линии электропередачи, согласно изобретению;
фиг.15 – принципиальную схему системы электропередачи для симметричных составляющих в предположении, что повреждение произошло на первом участке многотерминальной линии электропередачи, согласно изобретению;
фиг.16 – принципиальную схему системы электропередачи для симметричных составляющих в предположении, что повреждение произошло на последнем участке многотерминальной линии электропередачи, согласно изобретению;
фиг.17 – фрагмент принципиальной схемы системы электропередачи для симметричных составляющих в предположении, что повреждение произошло на участке линии передачи с ответвлениями многотерминальной линии электропередачи, согласно изобретению;
фиг.18 – фрагмент принципиальной схемы системы электропередачи для симметричных составляющих в предположении, что повреждение произошло на участке многотерминальной линии электропередачи между двумя точками ответвления, согласно изобретению;
фиг.19 блок-схему последовательности операций, выполняемых при определении местоположения повреждений согласно заявленному способу для многотерминальной линии электропередачи, согласно изобретению.
ОПИСАНИЕ ВАРИАНТА ОСУЩЕСТВЛЕНИЯ ИЗОБРЕТЕНИЯ ДЛЯ ТРЕХТЕРМИНАЛЬНОЙ ЛИНИИ ЭЛЕКТРОПЕРЕДАЧИ
Система электропередачи (фиг.1) содержит три электростанции A, B и C. Станция A расположена в начале линии, станция B на конце этой линии и станция C после линии, которая в точке ответвления T ответвляется от линии между станциями AB. Точка ответвления T делит систему электропередачи на три участка LA, LB и LC. На станции A имеется прибор для обнаружения мест повреждения FL. Определение места повреждения выполняется с использованием моделей повреждений и контуров повреждений для симметричных составляющих и для различных типов повреждений, посредством применения подходящих распределенных коэффициентов, определяющих соотношение между симметричными составляющими полного тока повреждения, когда оценивается падение напряжения на сопротивлении в месте повреждения, задаваемых как aF1, aF2, aF0, и весовых коэффициентов a1, a2, a0, задающих долю отдельных составляющих в полной модели контура повреждения. Анализ граничных условий для различных типов повреждений показывает, что имеется некоторая степень свободы, при определении распределенных коэффициентов, определяющих соотношение между симметричными составляющими полного тока повреждения, когда оценивается падение напряжения на сопротивлении в месте повреждения. Их выбор зависит от принятого предпочтения использования отдельных последовательных составляющих, в зависимости от типа повреждения. В настоящем примере варианта осуществления изобретения, чтобы гарантировать высокую точность определения места повреждения, падение напряжения на сопротивлении в месте повреждения оценивается с использованием:
отрицательной последовательной составляющей полного тока повреждения для однофазных коротких замыканий на землю (a-g), (b-g), (c-g) и междуфазных коротких замыканий (a-b), (b-c)i(c-a);
отрицательной последовательной составляющей и нулевой последовательной составляющей для двухфазных коротких замыканий на землю (a-b-g), (b-c-g), (c-a-g);
инкрементной положительной последовательной составляющей для трехфазных коротких замыканий (a-b-c, a-b-c-g), для которых значение повреждения уменьшается на значение перед повреждением положительной последовательной составляющей тока.
Примеры распределенных коэффициентов, определяющих соотношение между симметричными составляющими полного тока повреждения, когда оценивается падение напряжения на сопротивлении в месте повреждения, приведены в Таблице 1. Тип повреждения обозначается символами: a-g, b-g, c-g, a-b, b-c, c-a, где буквы a, b, c обозначают отдельные фазы, и буква g обозначает заземление, индекс 1 обозначает положительную последовательную составляющую, индекс 2 – отрицательную составляющую и индекс 0 – нулевую последовательную составляющую.
| Таблица 1 |
| Повреждение (F) |
aF1 |
aF2 |
aF0 |
| а-g |
0 |
3 |
0 |
| b-g |
0 |
3a |
0 |
| с-g |
0 |
3a2 |
0 |
| а-b |
0 |
1-а |
0 |
| b-с |
0 |
а-а2 |
0 |
| с-а |
0 |
а2-1 |
0 |
a=exp(j2 /3);  |
Синхронные измерения фазных токов из станций A, B, C и фазового напряжения из станции A подаются в прибор для обнаружения мест повреждения FL. Дополнительно, предполагается, что прибор для обнаружения мест повреждения снабжается информацией о типе повреждения и времени его происхождения. Процесс определения места повреждения, в предположении, что это повреждение типа (a-b-g) – двухфазное короткое замыкание на землю, следующий:
I. СТАДИЯ ОДИН
1. На станциях A, B, C измеряют входные сигналы тока из отдельных линий для условия повреждения и условия перед повреждением. На станции A измеряют фазовые напряжения. Затем вычисляют симметричные составляющие фазных токов, измеренных на станциях A, B, C, и фазовых напряжений, измеренных на станции A.
2. Полный ток повреждения (IF) вычисляют из следующего уравнения:

где:
первый нижний индекс F обозначает условие повреждения, второй нижний индекс обозначает: 1 – положительную последовательную составляющую, 2 – отрицательную последовательную составляющую, 0 – нулевую последовательную составляющую,
и распределенные коэффициенты, определяющие соотношение между симметричными составляющими полного тока повреждения, когда оценивают падение напряжения на сопротивлении в месте повреждения, оценивают следующим образом:



при этом в частности для a-b-g повреждения:








где:
первый нижний индекс обозначает станцию, второй нижний индекс обозначает: 1 – положительную последовательную составляющую, 2 – отрицательную последовательную составляющую, 0 – обозначает нулевую последовательную составляющую.
Для повреждений других типов, распределенные коэффициенты, определяющие соотношение между симметричными составляющими полного тока повреждения, когда оценивают падение напряжения на сопротивлении в месте повреждения, получают в таблицах 1, 2 и 3.
II. СТАДИЯ ДВА
1. На стадии два принимают гипотетическую точку повреждения и вычисляют расстояние между концом заданного участка линии и гипотетической точкой повреждения при следующих допущениях:
– вычисление расстояния от начала линии до точки повреждения, в предположении, что повреждение произошло на участке LA линии – действия 3.1.a-3.2.a;
– вычисление расстояния от конца линии до точки повреждения, в предположении, что повреждение произошло на участке LB линии – действия 3.1.b-3.4.b;
– вычисление расстояния от конца линии передачи с ответвлениями до точки повреждения, в предположении, что повреждение произошло на участке LC линии – действия 3.1.c-3.3.c.
3.1.a. Напряжение и ток на контуре повреждения определяют из следующих соотношений между симметричными составляющими (фиг.2-4):


где:
VA1, VA2, VA0 – напряжение, измеренное на станции A для отдельных симметричных составляющих, для положительной последовательной составляющей – индекс 1, для отрицательной последовательной составляющей – индекс 2 и для нулевой последовательной составляющей – индекс 0;
IA1, IA2, IA0 – токи, измеренные на станции A для положительной последовательной составляющей – индекс 1, для отрицательной последовательной составляющей – индекс 2 и для нулевой последовательной составляющей – индекс 0;
Z1LA – импеданс участка LA линии для положительной последовательной составляющей;
Z0LA – импеданс участка LA линии для нулевой последовательной составляющей;
В частности, для повреждения типа a-b-g весовые коэффициенты будут:



Весовые коэффициенты для любых типов повреждений получаются в таблице 4.
| Таблица 4 |
| Повреждение |
a1 |
a2 |
a0 |
| а-g |
1 |
1 |
1 |
| b-g |
а2 |
а |
1 |
| с-g |
а |
а2 |
1 |
| а-b, а-b-g, а-b-с, а-b-с-g |
1-а2 |
1-а |
0 |
| b-с, b-с-g |
а2–а |
а–а2 |
0 |
| с-а, с-а-g |
а-1 |
а2-1 |
0 |
Уравнение контура повреждения имеет следующую форму:

Когда уравнение (7) записывается отдельно для действительной части и для мнимой части, и выполняются дальнейшие математические преобразования, получают решение показанное ниже в пункте 3.2a.
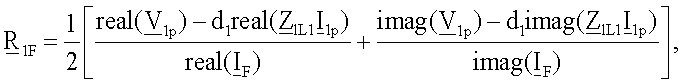
3.2a. Расстояние dA до точки повреждения и сопротивление RFA в месте повреждения определяют из следующих уравнений:


где:
real обозначает действительную часть заданной величины;
imag обозначает мнимую часть заданной величины;
VAp – обозначает напряжение на контуре повреждения согласно формуле (5);
IF – обозначает полный ток повреждения согласно формуле (1);
Z1LA – обозначает импеданс участка LA линии для положительной последовательной составляющей;
IAp – обозначает контурный ток повреждения, определяемый согласно формуле (6).
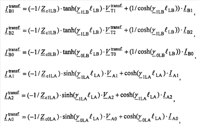
3.1.b. Напряжения для симметричных составляющих   вычисляют в точке ответвления T (фиг.5-7):



где:
1LA – постоянная распространения участка LA линии для положительной и отрицательной последовательных составляющих;
0LA – постоянная распространения участка LA линии для нулевой последовательной составляющей;
LA – длина участка LA линии;
Zc1LA – волновое полное сопротивление участка LA линии для положительной и отрицательной последовательных составляющих;
Zc0LA – волновое полное сопротивление участка LA линии для нулевой последовательной составляющей.
3.2.b. Значения тока, входящего в точку ответвления T из участка LA линии:   и из участка LC:   (фиг.5-7):

где:
1LC – постоянная распространения участка LC линии для положительной и отрицательной последовательных составляющих;
0LC – постоянная распространения участка LC линии для нулевой последовательной составляющей;
Zc1LC – волновое полное сопротивление участка LC линии для положительной и отрицательной последовательных составляющих;
Zc0LC – волновое полное сопротивление участка LC линии для нулевой последовательной составляющей;
LC – длина участка LC линии.
3.3.b. Значения тока   текущего из точки ответвления T на станцию B на участке LB линии, вычисляются следующим образом:



Уравнение контура повреждения имеет следующую форму:

где:
.
Когда уравнение (10) записывается отдельно для действительной части и для мнимой части и выполняются дальнейшие математические преобразования, получается решение, показанное под пунктом 3.4.b.
3.4.b. Расстояние dB до точки повреждения и сопротивление RFB в месте повреждения определяют из следующих уравнений:

где:
Z1LB – импеданс участка LB линии для положительной последовательной составляющей;
Z1LB – импеданс участка LB линии для нулевой последовательной составляющей.
3.1.c. Значения тока, входящего в точку ответвления T из участка LA линии:   и из участка LB:   (фиг.8-10), вычисляют согласно следующим формулам:

где:
1LB – постоянная распространения участка LB линии для положительной и отрицательной последовательных составляющих;
0LB – постоянная распространения участка LB линии для нулевой последовательной составляющей;
LB – длина участка LB линии;
Zc1LB – волновое полное сопротивление участка LB линии для положительной и отрицательной последовательных составляющих;
Zc0LCB – волновое полное сопротивление участка LB линии для нулевой последовательной составляющей;
3.2.c. Значения тока   текущего из точки ответвления T на станцию C на участке LC линии (фиг.8-10), вычисляются следующим образом:



Уравнение контура повреждения имеет следующую форму:

где:

Когда уравнение (13) записывается отдельно для действительной части и для мнимой части и выполняются дальнейшие математические преобразования, получается решение, показанное под пунктом 3.3.c.
3.3.c. Расстояние dC до точки повреждения и сопротивление RFC в месте повреждения определяют из следующих уравнений:

III. СТАДИЯ ТРИ
На этой стадии, делают выбор окончательных результатов.
4. Проверяют, содержатся ли результаты вычисления расстояний dA, dB, dC до точки повреждения в заданном интервале (0-1) в относительных единицах:
0 dA 1,
0 dB 1,
0 dC 1.
Результаты, которые не содержатся в заданном интервале, показывают, что они были вычислены в ложном предварительном допущении относительно точки возникновения повреждения заданном участке линии. Эти результаты отбрасывают.
5. Анализируют второе вычисленное значение, то есть, сопротивление в месте повреждения RFA, RFB, RFC, и те результаты вычислений, для которых сопротивление в месте повреждения является отрицательным, отбрасывают.
6. Если анализ критериев согласно действиям 4 и 5 не показывает явно, какие значения задают место повреждения, то в следующих действиях вычисляют импеданс системы эквивалентных источников для отрицательной последовательной составляющей в случае однофазных коротких замыканий на землю, междуфазных коротких замыканий, двухфазных коротких замыканий на землю, или альтернативно, для инкрементной положительной последовательной составляющей. Для трехфазных коротких замыканий вычисляют импеданс системы эквивалентных источников для инкрементной положительной последовательной составляющей.
7. Вычисляют ток IFA2 (фиг.11) в предположении, что повреждение произошло на участке LA линии:

где:

8. Вычисляют импеданс (Z2SB)SUB_A)эквивалентных источников в предположении, что повреждение произошло на участке LA линии:

где:



9. Вычисляют импеданс (Z2SC)SUB_A)эквивалентных источников в предположении, что повреждение произошло на участке LA линии:

10. Вычисляют импеданс (Z2SB)SUB_B)эквивалентных источников в предположении, что повреждение произошло на участке LB линии:

11. Вычисляют импеданс (Z2SC)SUB_B)эквивалентных источников в предположении, что повреждение произошло на участке LB линии:

где:



12. Вычисляют импеданс (Z2SB)SUB_c)эквивалентных источников в предположении, что повреждение произошло на участке LC линии:

13. Вычисляют импеданс (Z2SB)SUB_C)эквивалентных источников в предположении, что повреждение произошло на участке LC линии:

где:

14. Вычисленные импедансы эквивалентных источников преобразуют в модулярную форму, после чего выбирают правильный результат на основе модуля импедансов системы эквивалентных источников.
Если значение модуля импедансов системы эквивалентных источников, вычисленное в предположении возникновения повреждения на заданном участке линии, не соответствует действительному значению модуля импедансов системы эквивалентных источников, то это означает, что предварительные данные, касающиеся места возникновения повреждения на заданном участке, были приняты неправильно, и результат вычисления расстояния до точки повреждения, полученный в этом предположении, отбрасывают.
Временная последовательность действий, показанная на фиг.13, включает в себя следующие действия для осуществления настоящего изобретения:
– измеряют ток и напряжение согласно п.1 примера варианта осуществления изобретения,
– определяют симметричные составляющие измеренных токов и напряжений и вычисляют полный ток повреждения согласно п.2 примера варианта осуществления изобретения,
– вычисляют три гипотетических расстояния до точек повреждения и трех сопротивлений в местах повреждения, в предположении, что повреждение произошло на участке LA, на участке LB и на участке LC, согласно п.п.3.1.a-3.2.a, 3.1.b-3.4.b, 3.1.c-3.3.c примера варианта осуществления изобретения,
– проверяют, находятся ли конкретные гипотетические расстояния в интервале от 0 до 1 в относительных единицах, и отбрасывают гипотетические расстояния, значения которых являются отрицательными или больше 1, согласно п.4 примера варианта осуществления изобретения,
– проверяют, являются ли значения сопротивления в месте повреждения больше или равными нулю, и отбрасывают значения меньше нуля, согласно п.5 примера варианта осуществления изобретения,
– вычисляют импеданс эквивалентных источников отдельных участков, в предположении, что повреждение произошло на заданном участке, согласно п.п.8-13 примера варианта осуществления изобретения,
– выбирают правильный результат, согласно п.14 примера варианта осуществления изобретения.
Описанный пример применим к двухфазному короткому замыканию на землю типа (a-b-g). Однако этот способ является аналогичным для других типов повреждений. Если анализируют другие типы повреждений, соответствующие коэффициенты aF1, aF2, aF0, a1, a2, a0 изменяют. Значения этих коэффициентов получают в таблицах 1-4. Способ определения места повреждения в трехтерминальных линиях электропередачи согласно настоящему изобретению охватывает также другие типы повреждений, то есть a-g, b-g, c-g, a-b, b-c, c-a, b-c-g, c-a-g, a-b-c, a-b-c-g.
Предложенный способ не ограничивается моделью одной линии, представленной в примере анализа, но также может применяться к другой модели (не показана), в которой предполагается присутствие ряда компенсирующих конденсаторов на участке линии с повреждением. В этом случае уравнения (6), (11), (15), применимые к контурному току повреждения, будут модифицироваться из-за существования упомянутых конденсаторов.
В предложенном способе используются синхронные измерения токов в трех станциях системы электропередачи или распределительной системы, дополнительно используется измерение напряжения на станции, где установлен прибор для обнаружения мест повреждения. Такая доступность входных сигналов не рассматривается в других решениях, которые используются в настоящее время.
Выбор обоснованного результата основан на объединении трех количественных критериев: расстояния до точки повреждения, сопротивления в месте повреждения и модуля импеданса систем эквивалентных источников для тех станций, где не измеряется напряжение. Третий критерий является инновационным, и до сих пор не был известен.
ПРИМЕР ВАРИАНТА ОСУЩЕСТВЛЕНИЯ ИЗОБРЕТЕНИЯ ДЛЯ МНОГОТЕРМИНАЛЬНОЙ ЛИНИИ ЭЛЕКТРОПЕРЕДАЧИ
Система электропередачи или распределительная система, показанная на фиг.14, состоит из электростанций 1, 2, , n. Станция 1 расположена в начале линии, nая станция на конце этой линии. Точки ответвления T1, T2, T(n-1) делят систему электропередачи на участки линии L1, L2, , L(2n-3). На станции 1 имеется прибор для обнаружения мест повреждения FL. Определение места повреждения выполняют с использованием моделей повреждений и контуров повреждений для симметричных составляющих и с учетом различных типов повреждений в одно и то же время, посредством применения подходящих распределенных коэффициентов, определяющих соотношение между симметричными составляющими полного тока повреждения, когда оценивают падение напряжения на сопротивлении в местах повреждения, задаваемых как aF1, aF2, aF0, и весовых коэффициентов a1, a2, a0, задающих долю отдельных составляющих в полной модели контура повреждения. Анализ граничных условий для различных типов повреждений показывает наличие некоторой степени свободы при определении распределенных коэффициентов, определяющих соотношение между симметричными составляющими полного тока повреждения, когда оценивается падение напряжения на сопротивлении в месте повреждения. Их выбор зависит от принятого предпочтения использования отдельных последовательных составляющих, в зависимости от типа повреждения. В описываемом примере варианта осуществления изобретения, чтобы гарантировать высокую точность определения места повреждения, падение напряжения на сопротивлении в месте повреждения оценивают с использованием:
– отрицательной составляющей полного тока повреждения для однофазных коротких замыканий на землю (a-g), (b-g), (c-g) и междуфазных коротких замыканий (a-b), (b-c) и (c-a);
– отрицательной составляющей и нулевой последовательной составляющей для двухфазных коротких замыканий на землю (a-b-g), (b-c-g), (c-a-g);
– инкрементной положительной последовательной составляющей для трехфазных коротких замыканий (a-b-c, a-b-c-g), для которых значение повреждения уменьшают на значение перед повреждением положительной последовательной составляющей тока.
Рекомендуемые распределенные коэффициенты, определяющие соотношение между симметричными составляющими полного тока повреждения, когда оценивают падение напряжения на сопротивлении в месте повреждения, представлены в таблице 5. Тип повреждения обозначен символами: a-g, b-g, c-g, a-b, b-c, c-a, a-b-g, b-c-g, c-a-g, a-b-c, a-b-c-g, где буквы a, b, c обозначают отдельные фазы тока, и буква g обозначает заземление (землю), индекс 1 обозначает положительную последовательную составляющую, индекс 2 – отрицательную составляющую и индекс 0 – нулевую последовательную составляющую.
В таблице 6 получают распределенные коэффициенты отдельных составляющих тока a1, a2, a0, задающие долю отдельных составляющих в полной модели контура повреждения.
Синхронные измерения фазных токов из оконечных станций 1, 2, , n и фазового напряжения только из станции 1 подают в прибор для обнаружения мест повреждения FL. Дополнительно, предполагается, что информация о типе повреждения и времени его происхождения подается в прибор для обнаружения мест повреждения. Процесс определения места повреждения, в предположении, что это повреждение типа (a-b-g) – междуфазное короткое замыкание на землю, следующий:
I’. СТАДИЯ ОДИН’
1′. Операция 610. На станциях 1, 2, , n измеряют входные сигналы тока из отдельных линий для условия повреждения и условия перед повреждением. На станции 1 измеряют фазовые напряжения линии для условия повреждения и условия перед повреждением. Затем, вычисляют симметричные составляющие фазных токов, измеренных на станциях 1, 2, , n, и фазовых напряжений, измеренных на станции 1.
2′. Операция 620. Полный ток повреждения (IF) вычисляют из следующего уравнения:

где:
первый нижний индекс F обозначает условие повреждения; второй нижний индекс обозначает: 1 – положительную последовательную составляющую; 2 – отрицательную последовательную составляющую; 0 – нулевую последовательную составляющую;
aF1, aF2, aF0 – коэффициенты, представленные в Таблице 2.
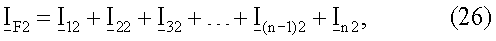
Симметричные составляющие полного тока повреждения определяют как сумму отдельных симметричных составляющих токов, определяемых в оконечных станциях 1, 2, , n:



где: первый нижний индекс обозначает станцию, второй нижний индекс обозначает: 1 – положительную последовательную составляющую, 2 – отрицательную последовательную составляющую, 0 – обозначает нулевую последовательную составляющую.
II’. СТАДИЯ ДВА’
1. На стадии два’, принимают гипотетическую точку повреждения и вычисляют расстояние между концом заданной линии и гипотетической точкой повреждения (действия выполняют в операциях 630a, 630b, 630c, 630d) при следующих допущениях:
– вычисление расстояния от начала линии до точки повреждения, в предположении, что повреждение произошло на участке L1 линии – действия 3.1.a’;
– вычисление расстояния от конца линии до точки повреждения, в предположении, что повреждение произошло на оконечном участке L(2n-3) линии – действия 3.1.b’-3.3.b’;
– вычисление расстояния от конца линии передачи с ответвлениями до точки повреждения, в предположении, что повреждение расположено на kом участке линии передачи с ответвлениями – действия 3.1.c’-3.2.c’;
– вычисление расстояния от точки ответвления T(k) до точки повреждения, в предположении, что повреждение расположено на участке линии между двумя точками ответвления – действия 3.1.d’-3.3d’.
3.1.a’. Напряжение и ток на контуре повреждения определяют из следующих соотношений между симметричными составляющими (фиг.2-4) (действия выполняют в операциях 630a):
,

где:
V11, V12, V10 – напряжение, измеренное на станции 1 (первый нижний индекс) для отдельных симметричных составляющих, а второй нижний индекс для положительной последовательной составляющей будет равен 1, для отрицательной последовательной составляющей будет равен 2, и для нулевой последовательной составляющей будет равен 0;
I11, I12, I10 – токи, измеренные на станции 1 (первый нижний индекс) для отдельных симметричных составляющих, а второй нижний индекс для положительной последовательной составляющей будет равен 1, для отрицательной последовательной составляющей будет равен 2, и для нулевой последовательной составляющей будет равен 0;
Z1L1 – импеданс участка L1 линии для положительной последовательной составляющей;
Z0L1 – импеданс участка L1 линии для нулевой последовательной составляющей;
a1, a2, a0 – весовые коэффициенты получают в таблице 2.
Уравнение контура повреждения имеет следующую форму:

Уравнение (30) записывают отдельно для действительной части и для мнимой части, и выполняют дальнейшие математические преобразования, получают уравнения для искомого расстояния до точки повреждения (31) и для сопротивления в месте повреждения (32).


где:
real обозначает действительную часть заданной комплексной величины;
imag обозначает мнимую часть заданной комплексной величины;
V1p – обозначает напряжение на контуре повреждения согласно формуле (28);
IF – обозначает полный ток повреждения согласно формуле (25);
Z1L1 – обозначает импеданс участка L1 линии для положительной последовательной составляющей;
I1p – обозначает контурный ток повреждения, определяемый согласно формуле (29).
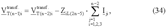
3.1.b’. Вычисляют напряжения для симметричных составляющих   в первой точке ответвления T2 (действия выполняют в операциях 630a):

где:
ZiL1 – импеданс участка L1 соответственно для положительной и отрицательной составляющих и также для нулевой последовательной составляющей.
3.2.b’. Вычисляют напряжения для симметричных составляющих   в последней точке ответвления T(n-1) (действия выполняют в операциях 630b):

где:
ZiL(2n-3)– импеданс участка L(2n-3) линии соответственно для положительной и отрицательной составляющих и также для нулевой последовательной составляющей.
В то же время напряжения   в koй точке ответвления определяют из следующей формулы:

где:
– вычисленное напряжение в точке (k-1),
ZiL(2k-3) – импеданс участка L(2k-3) линии для симметричных составляющих.
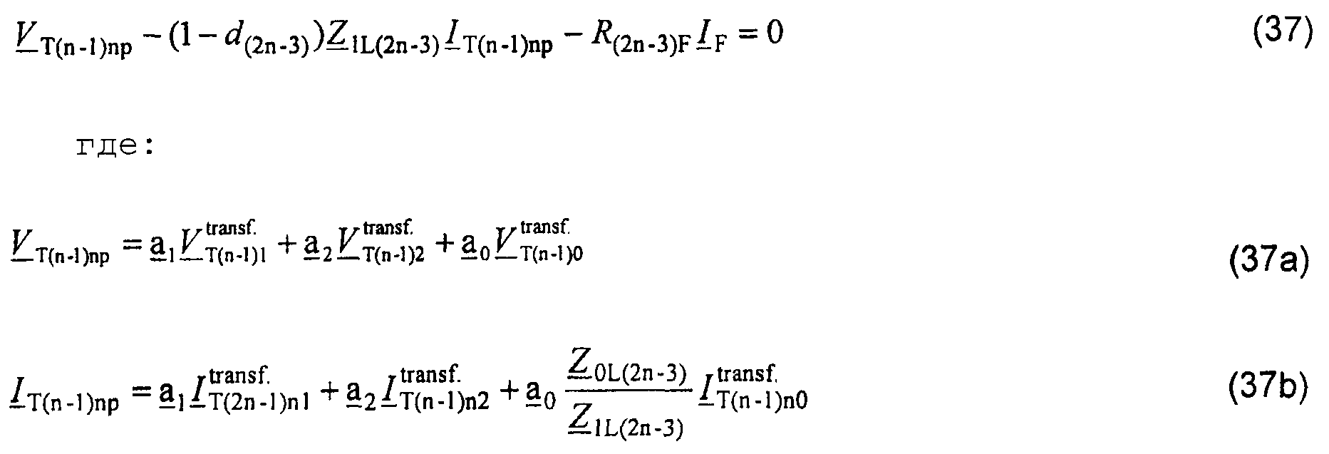
3.3.b’. Вычисляют значения тока   текущего из точки ответвления T(n-1) на станцию n на участке L(2n-3) (действия выполняют в операциях 630b):

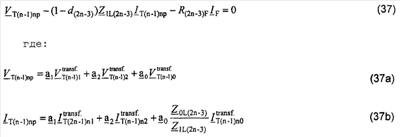
Уравнение контура повреждения имеет следующую форму:

Уравнение (37) записывают отдельно для действительной части и для мнимой части и выполняют дальнейшие математические преобразования, получают решения (38) для искомого расстояния d(2n-3) до точки повреждения и для сопротивления R(2n-3)B в месте повреждения:

где:
Z1L(2n-3) – импеданс участка L(2n-3) линии для положительной последовательной составляющей;
Z0L(2n-3)– импеданс участка L(2n-3) линии для нулевой последовательной составляющей.
3.1.c’. Напряжения   для симметричных составляющих в koй точке ответвления Tk вычисляют из формулы (35), в предположении, что номер k рассматриваемой станции равен номеру точки ответвления Tk, из которой ответвляется линия, в которой предполагается повреждение, к станции k, (действия выполняются в операциях 630c).
3.2.c’. Вычисляют значения тока   текущего из точки ответвления Tk на kую станцию на участке L(2k-2) линии передачи с ответвлениями (действия выполняются в операциях 630c):

Уравнение контура повреждения имеет следующую форму:

где:


Уравнение (40) записывают отдельно для действительной части и для мнимой части, и выполняют дальнейшие математические преобразования, получают решения (42) для искомого расстояния d(2k-3) и до точки повреждения и (43) для сопротивления R(2k-3)B в месте повреждения:

где:
Z1L(2k-2) – импеданс участка L(2k-2) линии для положительной последовательной составляющей;
Z0L(2k-2) – импеданс участка L(2k-2) линии для нулевой последовательной составляющей.
3.1.d’. Напряжения   для симметричных составляющих в koй точке ответвления Tk вычисляют из формулы (35) (действия выполняют в операциях 630d).
3.2.d’. Вычисляют значения тока   текущего из точки ответвления Tk в точку ответвления T(k+1) на данном участке линии (действия выполняют в операциях 630d):

Уравнение контура повреждения имеет следующую форму:

Уравнение (45) записывается отдельно для действительной части и для мнимой части и выполняют дальнейшие математические преобразования, получают решения (46) для искомого расстояния d(2k-1) до точки повреждения и (47) для сопротивления R(2k-1)F в месте повреждения:

где:
Z1L(2k-1) – импеданс участка L(2k-1) линии для положительной последовательной составляющей;
Z0L(2k-1) – импеданс участка L(2k-1) линии для нулевой последовательной составляющей.
III’. СТАДИЯ ТРИ’
На этой стадии делают выбор окончательных результатов (действия выполняют в операциях 640a, 640b, 640c, 640d).
4′. Проверяют, находятся ли результаты вычисления расстояний d1, d(2n-3), d(2k-2), d(2k-1) до точки повреждения в заданном интервале (0-1) в относительных единицах:
0 d1 1, 0 d(2n-3) 1, 0 d(2k-2) 1, 0 d(2k-1) 1, и проверяют, являются ли результаты вычисления сопротивлений R1F, R(2n-3)F, R(2k-2)F, R(2k-1)F в месте повреждения для вычисленных точек повреждения d1, d(2n-3), d(2k-2), d(2k-1) большими или равными нулю. Пары результатов: сопротивление – расстояние, например: d1, R1F, которые не содержатся в заданных интервалах, показывают, что они были вычислены в ложном предварительном допущении относительно точки возникновения повреждения в заданном участке линии. Эти результаты отбрасывают. Другие результаты подвергают дальнейшей обработке, за исключением случая, когда в заданном интервале находится только одна пара. Указанные результаты являются окончательными, то есть они показывают местоположение повреждения и сопротивление в месте повреждения (операция 650).
5′. Если анализ критериев, выполняемый согласно действиям 4′, не обеспечивает точного заключения о том, какие значения задают местоположение повреждения и сопротивление в месте повреждения, то в следующих действиях, вычисляют импеданс эквивалентных источников для отрицательной составляющей для этих повреждений: однофазных коротких замыканий на землю, междуфазных коротких замыканий, двухфазных коротких замыканий на землю, или альтернативно, для инкрементной положительной последовательной составляющей. Для трехфазных коротких замыканий, вычисляют импеданс систем эквивалентных источников для инкрементной положительной последовательной составляющей. (Действия выполняют в операциях 660a, 660b, 660c, 660d).
7′. Вычисляют полный ток повреждения IF2 для отрицательной последовательной составляющей из следующей формулы (действия выполняют в операциях 660a):

8′. Вычисляют импеданс Z2S1 эквивалентных источников в предположении, что повреждение произошло на участке L1 (действия выполняются в операциях 660a):

9′. Вычисляют импеданс Z2Sn эквивалентных источников в предположении, что повреждение произошло на последнем участке L(2n-3) линии (действия выполняют в операциях 660b):

где:

10′. Вычисляют импеданс Z2Sk kого эквивалентного источника в предположении, что повреждение произошло на участке L(2k-2) линии передачи с ответвлениями (действия выполняют в операциях 660c):

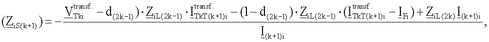
где:

11′. Вычисляют импеданс (Z2Sk) и (Z2S(k+1)) эквивалентных источников в предположении, что повреждение расположено на участке линии между двумя точками ответвления Tk-T(k+1) (действия выполняют в операциях 660d):

где:


где:

12′. Проверяют (действия выполняют в операциях 670a, 670b, 670c, 670d), содержатся ли импедансы (Z2S1), (Z2Sn), (Z2SC)SUB_C, (Z2Sk), (Z2S(k+1)) эквивалентных источников в интервале в первом квадранте комплексной плоскости Z, то есть, являются ли как действительная, так и мнимая части вычисленного импеданса больше нуля. Импеданс систем эквивалентных источников определяют для отрицательной составляющей для возникновения повреждений: однофазных коротких замыканий на землю, междуфазных коротких замыканий, двухфазных коротких замыканий на землю, или альтернативно, для инкрементной положительной последовательной составляющей. Для трехфазных коротких замыканий вычисляют импеданс систем эквивалентных источников для инкрементной положительной последовательной составляющей.
Результаты, которые не содержатся внутри первого квадранта, дают основания предполагать, что они вычислялись на ложном предварительном допущении, касающемся местоположения повреждения на заданном участке линии, и результат вычисления расстояния до точки повреждения, сделанный на указанном предположении, отбрасывают. Остальные результаты подвергают дальнейшей обработке, за исключением случая, когда в первом квадранте содержится только один импеданс, вычисленный в предположении, что повреждение произошло на заданном участке линии. Результат вычисления расстояния до точки повреждения для указанного импеданса указывает на правильное предварительное допущение. Этот результат считают окончательным (действия, выполняют в операции 680).
13′. Если анализ критериев, выполняемый согласно действиям 12′, не обеспечивает точного заключения о том, какие значения задают местоположение повреждения, то в следующих действиях (действия, выполняемые в операции 690a, 690b, 690c, 690d), вычисленные импедансы эквивалентных источников преобразуют в модулярную форму, после чего правильный результат выбирают на основе модуля импеданса эквивалентных источников.
14′. Операция 700. Если вычисленное значение модуля импеданса системы эквивалентных источников, в предположении возникновения повреждения на заданном участке линии, не соответствует действительному значению модуля импеданса системы эквивалентных источников, то это означает, что предварительные данные, касающиеся местоположения повреждения на заданном участке, были приняты ложно, и результат вычисления расстояния до точки повреждения, основанный на этом допущении, отбрасывают. Если вычисленное значение модуля импеданса системы эквивалентных источников, в предположении возникновения повреждения на заданном участке линии, соответствует действительному значению модуля импеданса системы источников, то результат вычисления расстояния до точки повреждения подтверждает правильное предварительное допущение, и этот результат считают окончательным.
Временная последовательность действий, показанная на фиг.19, включает в себя следующие действия для осуществления настоящего изобретения:
– измерение токов и напряжений согласно п.1′ примера варианта осуществления изобретения,
– определение симметричных составляющих измеренных токов и напряжений и вычисление полного тока повреждения согласно п.2′ примера варианта осуществления изобретения,
– вычисление следующих друг за другом гипотетических расстояний до точек повреждения и сопротивлений в местах повреждения, в предположении, что повреждение расположено на первом участке L1 линии, на оконечном участке L(2n-3) линии, на участках (2k-2) линий передачи с ответвлениями и на участках между следующими друг за другом точками ответвления (2k-1), согласно пунктам 3.1.a’-3.2.a’, 3.1.b’-3.4.b’, 3.1.c’-3.3.c’, 3.1.d’-3.3.d’ примера варианта осуществления изобретения,
– проверку того, заключаются ли конкретные гипотетические расстояния, находящиеся в интервале от 0 до 1 в относительных единицах, и отбрасывание тех гипотетических расстояний, значения которых являются отрицательными или больше 1, согласно п.4′ примера варианта осуществления изобретения,
– проверку того, являются ли значения сопротивления в месте повреждения больше или равными нулю, и отбрасывание значений меньше нуля, согласно п.5′ примера варианта осуществления изобретения,
– вычисление импеданса эквивалентных источников отдельных участков, в предположении, что повреждение расположено на заданном участке, согласно п.п.8′-11′ примера варианта осуществления изобретения,
– выбор правильного результата, согласно п.12′ примера варианта осуществления изобретения, посредством отбрасывания тех гипотетических расстояний, для которых вычисленные импедансы эквивалентных источников не находятся в первом квадранте декартовой системы координат для комплексной плоскости,
– выбор окончательного результата, согласно п.14′ примера варианта осуществления изобретения, посредством отбрасывания тех гипотетических расстояний, для которых вычисленное значение модуля импеданса системы эквивалентных источников не соответствует действительному значению модуля импедансов системы эквивалентных источников.
Описанный пример относится к двухфазному короткому замыканию на землю типа (a-b-g). Однако этот способ является аналогичным для других типов повреждений. Если анализируются другие типы повреждений, то соответствующие коэффициенты aF1, aF2, aF0 a1, a2, a0 изменяют. Значения этих коэффициентов получают в таблицах 5-6. Способ определения места повреждения в многотерминальных линиях электропередачи согласно настоящему изобретению охватывает также другие типы повреждений, то есть (a-g, b-g, c-g, a-b, b-c, c-a, b-c-g, c-a-g, a-b-c, a-b-c-g).
Предложенный способ не ограничивается моделью одной линии, представленной в примере анализа, но также может применяться к другой модели, не показанной на чертеже, например, модели длинной линии электропередачи. В таком случае, уравнения (33-57) будут модифицироваться.
В заявленном способе используются синхронные измерения токов во всех станциях системы электропередачи или распределительной системы, дополнительно используются измерения напряжения на станции, где установлен прибор для обнаружения мест повреждения.
Выбор обоснованного результата основан на объединении трех вычисленных количественных критериев: расстояния до точки повреждения, сопротивления в месте повреждения и импеданса систем эквивалентных источников для тех станций, где не измеряется напряжение. Этот третий критерий является двухступенчатым, то есть, сначала проверяется, находятся ли определенные импедансы систем эквивалентных источников в первом квадранте комплексной плоскости Z, и затем определяются их модули. Указанный первый элемент третьего критерия является инновационным, и до сих пор не был известен. Его достоинство состоит в том, что для его осуществления не требуется знание импеданса системы эквивалентных источников. Следовательно, неточное знание этих импедансов, что обычно бывает на практике, является несущественным.
Формула изобретения
1. Способ определения мест повреждения в линиях электропередачи, в котором используют деление линий электропередачи или распределительной системы на участки и предполагают некоторое гипотетическое местоположение повреждения, по меньшей мере, на одном из указанных участков, отличающийся тем, что измеряют ток во всех оконечных станциях системы для условия повреждения и условия перед повреждением; измеряют фазовое напряжение линии в одной оконечной станции системы для условия повреждения и условия перед повреждением; вычисляют симметричные составляющие измеренных сигналов тока и напряжения, а также полный ток повреждения в точке повреждения; делают предположение относительно первой гипотетической точки повреждения, расположенной на участке линии между началом линии и первой точкой ответвления, относительно второй гипотетической точки повреждения, расположенной на участке линии между концом линии и последней точкой ответвления, и относительно некоторой последующей гипотетической точки повреждения, расположенной в ответвлении, причем для многотерминальной линии электропередачи дополнительно делают предположение относительно последующих гипотетических точек повреждения, расположенных на участках линии между двумя следующими друг за другом точками ответвления; вычисляют расстояние от начала линии до точки повреждения, расстояние от конца линии до точки повреждения и расстояние от конца линии передачи с ответвлениями до точки повреждения, расположенной в этом ответвлении, причем для многотерминальной линии электропередачи дополнительно вычисляют расстояние от точки ответвления до точки повреждения, расположенной на участке линии между двумя точками ответвления, а затем вычисляют сопротивление в месте повреждения для всех гипотетических точек повреждения; выбирают действительную точку повреждения путем первого сравнения численных значений предварительно определенных расстояний и отбрасывания тех результатов, численные значения которых являются отрицательными или больше 1 в относительных единицах, и затем проводят анализ значений расстояния повреждения, вычисленных для точек повреждения, и отбрасывают те результаты, для которых расстояние повреждения является отрицательным, и после этого, если обнаруживают, что только одно численное значение расстояния находится в интервале от нуля до единицы в относительных единицах, и что значение вычисленного сопротивления в месте повреждения для этого расстояния до точки повреждения является положительным или равным нулю, то эти результаты принимают за окончательные результаты, которые показывают действительное расстояние до точки повреждения и значение сопротивления в месте повреждения в точке повреждения; если после выбора действительной точки повреждения определяют, что в численном интервале от нуля до единицы в относительных единицах находится, по меньшей мере, два численных значения предварительно вычисленных расстояний, и что значения вычисленного сопротивления в месте повреждения для этих точек повреждения являются положительными или равными нулю, то определяют модули импедансов или импедансы системы эквивалентных источников для отрицательной последовательной составляющей для однофазных коротких замыканий на землю, междуфазных коротких замыканий и междуфазных коротких замыканий на землю, или для положительной последовательной инкрементной составляющей для трехфазных коротких замыканий и в предположении, что повреждение произошло на определенном участке, причем во время определения импеданса дополнительно проверяют, находятся ли вычисленные значения импеданса системы эквивалентных источников в первом квадранте декартовой системы координат для комплексной плоскости, и отбрасывают эти расстояния до точек повреждения для тех значений импеданса, которые не находятся в этом квадранте системы, и если оказывается, что в первом квадранте системы содержится только одно значение импеданса системы эквивалентных источников, касающееся расстояния, то результат вычисления расстояния до точки повреждения для этого импеданса считают окончательным, а если оказывается, что, по меньшей мере, два значения импеданса системы эквивалентных источников, касающиеся расстояния, содержатся в первом квадранте системы, то определяют модули этих импедансов; сравнивают значения этих модулей импеданса эквивалентных источников с реалистическими значениями, которые действительно задают нагрузку системы, при этом расстояние, для которого значение модуля импеданса эквивалентных источников является самым близким к реалистическим значениям, действительно определяющим нагрузку системы, считают окончательным результатом.
2. Способ по п.1, отличающийся тем, что вычисление тока повреждения выполняют, учитывая распределенные коэффициенты, определяющие соотношение между симметричными составляющими полного тока повреждения, когда оценивают падение напряжения на сопротивлении в месте повреждения, причем для той операции используют специально определенный набор этих коэффициентов.
3. Способ по п.1, отличающийся тем, что для двухфазных коротких замыканий на землю при оценке полного тока повреждения исключают положительную последовательную составляющую, а для отрицательной и нулевой последовательных составляющих принимают следующие значения распределенных коэффициентов, определяющих соотношение между симметричными составляющими полного тока повреждения, когда оценивают падение напряжения на сопротивлении в месте повреждения:
,
,
 где   – обозначает начальные распределенные коэффициенты, определяющие соотношение между симметричными составляющими полного тока повреждения, когда оценивается падение напряжения на сопротивлении в месте повреждения, bF1, bF2 – обозначает коэффициенты соотношения, определяемые из соотношения между нулевой составляющей и другими составляющими полного тока повреждения, текущего через сопротивление в месте повреждения.
4. Способ по п.1, отличающийся тем, что для трехтерминальных линий электропередачи, расстояния от начала линии до точки повреждения dA, от конца линии до точки повреждения dB, от конца линии передачи с ответвлениями до точки повреждения dC определяют из следующих уравнений:
,
,
, где real обозначает действительную часть заданной величины;
imag обозначает мнимую часть заданной величины; VAp – обозначает напряжение на контуре повреждения, определяемое в предположении, что повреждение произошло на участке LA; VTp – обозначает напряжение на контуре повреждения, определяемое в предположении, что повреждение произошло на участке LB или LC; IAp – обозначает контурный ток повреждения, определяемый в предположении, что повреждение произошло на участке LA; ITBp – обозначает контурный ток повреждения, определяемый в предположении, что повреждение произошло на участке LB; ITCp – обозначает контурный ток повреждения, определяемый в предположении, что повреждение произошло на участке LC линии; IF – обозначает полный ток повреждения; Z1LA=R1LA+j 1L1LA – обозначает импеданс участка LA линии для положительной последовательной составляющей; Z1LB=R1LB+j 1L1LB – обозначает импеданс участка LB линии для положительной последовательной составляющей; Z1LC=R1LC+j 1L1LC – обозначает импеданс участка LC линии для положительной последовательной составляющей; RlLA, RlLB, RlLC – сопротивление для положительной последовательной составляющей для участков LA, LB, LC линии соответственно; L1LA, L1LB, L1LC – индуктивность для положительной последовательной составляющей для участков LA, LB, LC линии соответственно;
1 – угловая частота переменного тока для основной частоты.
5. Способ по п.1, отличающийся тем, что для трехтерминальных линий электропередачи сопротивление RFA, RFB, RFC в месте повреждения определяют из следующих уравнений:


 где real обозначает действительную часть заданной величины;
imag обозначает мнимую часть заданной величины; VAp – обозначает напряжение на контуре повреждения, вычисляемое в предположении, что повреждение произошло на участке LA; VTp – обозначает напряжение на контуре повреждения, вычисляемое в предположении, что повреждение произошло на участке LB или LC; IAp – обозначает контурный ток повреждения, вычисляемый в предположении, что повреждение произошло на участке LA; ITBp – обозначает контурный ток повреждения, вычисляемый в предположении, что повреждение произошло на участке LB; ITCp – обозначает контурный ток повреждения, вычисляемый в предположении, что повреждение произошло на участке LC линии; IF – обозначает полный ток повреждения; Z1LA=R1LA+j 1L1LA – обозначает импеданс участка LA линии для положительной последовательной составляющей; Z1LB=R1LB+j 1L1LB – обозначает импеданс участка LB линии для положительной последовательной составляющей; Z1LC=R1LC+j 1L1LC – обозначает импеданс участка LC линии для положительной последовательной составляющей; R1LA, R1LB, R1LC – сопротивление для положительной последовательной составляющей для участков LA, LB, LC линии соответственно; L1LA, L1LB, L1LC – индуктивность для положительной последовательной составляющей для участков LA, LB, LC линии соответственно;
1 – угловая частота переменного тока для основной частоты; dA – обозначает расстояние от начала линии до точки повреждения, dB – обозначает расстояние от конца линии до точки повреждения; dC – обозначает расстояние от конца линии передачи с ответвлениями до точки повреждения.
6. Способ по п.1, отличающийся тем, что для трехтерминальных линий электропередачи импедансы эквивалентного источника для отрицательной последовательной составляющей (Z2SB)SUB-A) и для инкрементной положительной последовательной составляющей (Z 1SB)SUB-A) вычисляют в предположении, что повреждение произошло на участке LA линии, согласно уравнению:
 где нижний индекс i принимает значения i=2 для отрицательной последовательной составляющей, i= 1 для инкрементной положительной последовательной составляющей; GiA – обозначает первый аналитический коэффициент для отрицательной последовательной составляющей, определяемой из анализа эквивалентной принципиальной схемы системы (показана на фиг.11) и/или для инкрементной положительной последовательной составляющей, аналитически определяемой из эквивалентной принципиальной схемы системы, (показана на фиг.12); IAi – обозначает отрицательную и/или инкрементную положительную последовательную составляющую тока, измеренного в начале линии; HAi – обозначает второй аналитический коэффициент для отрицательной последовательной составляющей, определяемой из анализа эквивалентной принципиальной схемы системы (показана на фиг.11) и/или для инкрементной положительной последовательной составляющей, аналитически определяемой из эквивалентной принципиальной схемы системы (показана на фиг.12); IFAi – обозначает отрицательную последовательную составляющую полного тока повреждения, определяемую из анализа эквивалентной принципиальной схемы системы (показана на фиг.11) и/или инкрементную положительную последовательную составляющую полного тока повреждения, определяемую из эквивалентной принципиальной схемы системы (показана на фиг.12); QBCi – обозначает отношение отрицательной последовательной составляющей тока, измеренной на конце линии, и суммы отрицательных последовательных составляющих сигналов тока, измеренных на конце линии и на конце линии передачи с ответвлениями, и/или отношение инкрементной положительной последовательной составляющей тока, измеренной на конце линии, и суммы инкрементных положительных последовательных составляющих сигналов тока, измеренных на конце линии и на конце линии передачи с ответвлениями.
7. Способ по п.1, отличающийся тем, что для трехтерминальных линий электропередачи импеданс (Z2SC)SUB-A) эквивалентного источника для отрицательной последовательной составляющей и (Z lSC)SUB-A) для инкрементной положительной последовательной составляющей вычисляют в предположении, что повреждение произошло на участке LA линии, из следующего уравнения:
 где нижний индекс i принимает значения i=2 для отрицательной последовательной составляющей, i= 1 для инкрементной положительной последовательной составляющей; (ZiSB)SUB-A) – обозначает импеданс эквивалентных источников для отрицательной последовательной составляющей и/или для инкрементной положительной последовательной составляющей, вычисляемой в предположении, что повреждение произошло на участке LA линии; ZiLB – обозначает импеданс участка LB линии для отрицательной последовательной составляющей и/или для инкрементной положительной последовательной составляющей, где Z 1LB=Z1LB; ZlLB – обозначает импеданс участка LB линии для положительной последовательной составляющей; ZiLC – обозначает импеданс участка LC линии для отрицательной последовательной составляющей и/или импеданс участка LC линии для инкрементной положительной последовательной составляющей, где Z2LC=Z1LC и Z 1LC=Z1LC; ZlLC – обозначает импеданс участка LC линии для положительной последовательной составляющей; IBi – обозначает отрицательную последовательную составляющую и/или инкрементную положительную последовательную составляющую тока, измеренную на конце линии; ICi – обозначает отрицательную последовательную составляющую и/или инкрементную положительную последовательную составляющую тока, измеренную на конце ответвления.
8. Способ по п.1, отличающийся тем, что для трехтерминальных линий электропередачи импеданс эквивалентного источника для отрицательной последовательной составляющей (Z2SB)SUB-B) и для инкрементной положительной последовательной составляющей (Z lSB)SUB-B) определяют в предположении, что повреждение произошло на участке LB линии, из следующего уравнения:
 где нижний индекс i принимает значения i=2 для отрицательной последовательной составляющей, i= 1 для инкрементной положительной последовательной составляющей; dB – обозначает расстояние от конца линии до точки повреждения; ZiLB – обозначает импеданс участка LB линии для отрицательной последовательной составляющей и/или для положительной последовательной составляющей, где Z 1LB=Z1LB; Z 1LB – обозначает импеданс участка LB линии для положительной последовательной составляющей;
– обозначает ток, текущий от точки ответвления Т до участка LB линии для отрицательной последовательной составляющей и/или для инкрементной положительной последовательной составляющей; IBi – обозначает отрицательную последовательную составляющую и/или инкрементную положительную последовательную составляющую тока, измеренную на конце линии;
– обозначает напряжение в точке ответвления Т для отрицательной последовательной составляющей и/или для инкрементной положительной последовательной составляющей.
9. Способ по п.1, отличающийся тем, что для трехтерминальных линий электропередачи импеданс эквивалентного источника для отрицательной последовательной составляющей (Z2SC)SUB-B) и для инкрементной положительной последовательной составляющей (Z 1SC)SUB-B) вычисляют в предположении, что повреждение произошло на участке LB линии, из следующего уравнения:
 где нижний индекс i принимает значения i=2 для отрицательной последовательной составляющей, i= 1 для инкрементной положительной последовательной составляющей; VCi – обозначает вычисленную отрицательную последовательную составляющую и/или инкрементную положительную последовательную составляющую напряжения на конце линии передачи с ответвлениями; ICi – обозначает отрицательную последовательную составляющую и/или инкрементную положительную последовательную составляющую тока, измеренную на конце ответвления.
10. Способ по п.1, отличающийся тем, что для трехтерминальных линий электропередачи импеданс эквивалентного источника для отрицательной последовательной составляющей (Z2SC)SUB-C и для инкрементной положительной последовательной составляющей (Z lSC)SUB-C вычисляют в предположении, что повреждение произошло на участке LC линии, из следующего уравнения:
 где нижний индекс i принимает значения i=2 для отрицательной последовательной составляющей, i= 1 для инкрементной положительной последовательной составляющей; dc – обозначает расстояние от конца линии передачи с ответвлениями до точки повреждения; ZiLC – обозначает импеданс участка LC линии для отрицательной последовательной составляющей и/или для инкрементной положительной последовательной составляющей, где Z2LC=ZlLC и Z lLC=ZlLC; ZlLC – обозначает импеданс участка LC линии для положительной последовательной составляющей;
– обозначает ток, текущий от точки ответвления Т до участка LC линии для отрицательной последовательной составляющей и/или для инкрементной положительной последовательной составляющей; ICi – обозначает отрицательную последовательную составляющую и/или инкрементную положительную последовательную составляющую тока, измеренную на конце ответвления;
– обозначает напряжение в точке ответвления Т для отрицательной последовательной составляющей и/или для инкрементной положительной последовательной составляющей.
11. Способ по п.1, отличающийся тем, что для трехтерминальных линий электропередачи импеданс эквивалентного источника для отрицательной последовательной составляющей (Z2SB)SUB-C и для инкрементной положительной последовательной составляющей (Z lSB)SUB-C вычисляют в предположении, что повреждение произошло на участке LC линии, из следующего уравнения:
 где нижний индекс i принимает значения i=2 для отрицательной последовательной составляющей, i= 1 для инкрементной положительной последовательной составляющей; VBi – обозначает отрицательную последовательную и/или инкрементную положительную последовательную составляющую напряжения на конце линии; IBi – обозначает отрицательную последовательную и/или инкрементную положительную последовательную составляющую тока, измеренного на конце линии.
12. Способ по п.1, отличающийся тем, что для многотерминальных линий электропередачи расстояния от начала линии до точки повреждения (d1), от конца линии до точки повреждения (d(2n-3)), от конца линии до точки повреждения (d(2k-2)), от точки ответвления до точки повреждения на участке линии между двумя точками ответвления (d(2k-1)) определяют из следующих уравнений:
,

,
 где Vlp – напряжение на контуре повреждения, вычисляемое в предположении, что повреждение произошло на участке L1 линии; Ilp – контурный ток повреждения, вычисляемый в предположении, что повреждение произошло на первом участке L1 линии; VT(n-1)np – напряжение на контуре повреждения, вычисляемое в предположении, что повреждение произошло на участке L(2n-3) линии; IT(n-1)np – контурный ток повреждения, вычисляемый в предположении, что повреждение произошло на участке L(2n-3) линии; VTkkp – напряжение на контуре повреждения, вычисляемое в предположении, что повреждение произошло в koй линии передачи с ответвлениями; ITkkp – контурный ток повреждения, вычисляемый в предположении, что повреждение произошло в koй линии передачи с ответвлениями; VTkT(k+1)p – напряжение на контуре повреждения, вычисляемое в предположении, что повреждение произошло на участке линии между двумя точками ответвления; ITkT(k+1)p – контурный ток повреждения, вычисляемый в предположении, что повреждение произошло на участке линии между двумя точками ответвления; IF – полный ток повреждения; ZlLl – импеданс участка L1 линии для положительной последовательной составляющей; Z0Ll – импеданс участка L1 линии для нулевой последовательной составляющей; ZlL(2n-3) – импеданс участка L(2n-3) линии для положительной последовательной составляющей; Z0L(2n-3) – импеданс участка L(2n-3) линии для нулевой последовательной составляющей; ZlL(2k-2) – импеданс участка L(2k-2) линии для положительной последовательной составляющей; Z0L(2k-2) – импеданс участка L(2k-2) линии для нулевой последовательной составляющей; ZlL(2k-1) – импеданс участка L(2k-1) линии для положительной последовательной составляющей; Z0L(2k-1) – импеданс участка L(2k-1) линии для нулевой последовательной составляющей; k – номер точки ответвления; n – номер терминала линии.
13. Способ по п.1, отличающийся тем, что для многотерминальных линий электропередачи сопротивление (R1F), (R(2n-3)F), (R(2k-2)F), (R(2k-1)F) в месте повреждения определяют из следующих уравнений:



 где (d1) – расстояние до повреждения от начала линии до точки повреждения; (d(2n-3)) – расстояние до повреждения от конца линии до точки повреждения; (d(2k-2))- расстояние до повреждения от конца линии передачи с ответвлениями до точки повреждения; (d(2k-1))- расстояние до повреждения на участке линии между двумя точками ответвления; V1p – напряжение на контуре повреждения, вычисляемое в предположении, что повреждение произошло на первом участке L1 линии; I1p – контурный ток повреждения, вычисляемый в предположении, что повреждение произошло на первом участке L1 линии; VT(n-1)np – напряжение на контуре повреждения, вычисляемое в предположении, что повреждение произошло на участке L(2n-3) линии; IT(n-1)np – контурный ток повреждения, вычисляемый в предположении, что повреждение произошло на участке L(2n-3) линии; VTkkp – напряжение на контуре повреждения, вычисляемое в предположении, что повреждение произошло в koй линии передачи с ответвлениями; ITkkp – контурный ток повреждения, вычисляемый в предположении, что повреждение произошло в koй линии передачи с ответвлениями; VTkT(k+1)p – напряжение на контуре повреждения, вычисляемое в предположении, что повреждение произошло на участке линии между двумя точками ответвления; ITkT(k+1)p – контурный ток повреждения, вычисляемый в предположении, что повреждение произошло на участке линии между двумя точками ответвления; IF – полный ток повреждения; ZlLl – импеданс участка L1 линии для положительной последовательной составляющей; Z0Ll – импеданс участка L1 линии для нулевой последовательной составляющей; ZlL(2n-3) – импеданс участка L(2n-3) линии для положительной последовательной составляющей; Z0L(2n-3) – импеданс участка L(2n-3) линии для нулевой последовательной составляющей; ZlL(2k-2) – импеданс участка L(2k-2) линии для положительной последовательной составляющей; Z0L(2k-2) – импеданс участка L(2k-2) линии для нулевой последовательной составляющей; ZlL(2k-1) – импеданс участка L(2k-1) линии для положительной последовательной составляющей; Z0L(2k-1) – импеданс участка L(2k-1) линии для нулевой последовательной составляющей; k – номер точки ответвления; n – номер терминала линии.
14. Способ по п.1, отличающийся тем, что для многотерминальных линий электропередачи импеданс эквивалентных отрицательной последовательной составляющей (Z2Sl) или для инкрементной положительной последовательной составляющей (Z lSl) вычисляют в предположении, что повреждение расположено на участке линии между началом линии и первой точкой ответвления, согласно следующему уравнению:
 где i=2 для отрицательной последовательной составляющей, i= 1 для инкрементной положительной последовательной составляющей; Vli – напряжение, измеренное на станции 1 для отдельных симметричных составляющих (первый нижний индекс), а второй нижний индекс для отрицательной последовательной составляющей будет равен 2 и для инкрементной положительной последовательной составляющей будет равен 1; Ili – ток, измеренный на станции 1 для отдельных симметричных составляющих (первый нижний индекс), а второй нижний индекс для отрицательной последовательной составляющей будет равен 2 и для инкрементной положительной последовательной составляющей будет равен 1.
15. Способ по п.1, отличающийся тем, что для многотерминальных линий электропередачи импеданс ((Z2S(n))) эквивалентного источника для отрицательной последовательной составляющей и ((Z 1S(n))) для инкрементной положительной последовательной составляющей определяют в предположении, что повреждение расположено на участке линии между концом линии и последней точкой ответвления, из следующего уравнения:
 где i=2 для отрицательной последовательной составляющей, 1 для инкрементной положительной последовательной составляющей;
– напряжения, измеренные в конечной точке ответвления Т(n-1) для отрицательной последовательной составляющей i=2 или для инкрементной положительной последовательной составляющей i= 1; d(2n-3) – расстояние до повреждения от конца линии до точки повреждения; ZiL(2n-3) – импеданс участка L(2n-3) линии для отрицательной последовательной составляющей i=2 или для инкрементной положительной последовательной составляющей i= 1;
– значения тока, текущего от точки ответвления Т(п-1) до станции n на участке L(2n-3) линии для отрицательной последовательной составляющей i=2 или для инкрементной положительной последовательной составляющей i= 1; IFi – полный ток повреждения для отрицательной последовательной составляющей i=2 или для инкрементной положительной последовательной составляющей i= 1; Ini – ток, измеренный на последней станции n для отдельных симметричных составляющих (первый нижний индекс), а второй нижний индекс для отрицательной последовательной составляющей будет = 2 и для инкрементной положительной последовательной составляющей будет i= 1.
16. Способ по п.1, отличающийся тем, что для многотерминальных линий электропередачи импеданс эквивалентного источника для отрицательной последовательной составляющей ((Z2Sk)) и для инкрементной положительной последовательной составляющей ((Z 1Sk)) определяют в предположении, что повреждение расположено на линии передачи с ответвлениями, из следующего уравнения:
 где – напряжения в koй точке ответвления для отрицательной последовательной составляющей i=2 или для инкрементной положительной последовательной составляющей i= 1; d(2k-2) – расстояние до повреждения от конца линии передачи с ответвлениями до точки повреждения Tk; ZiL(2k-2) – импеданс участка L(2k-2) линии для отрицательной последовательной составляющей i=2 или для инкрементной положительной последовательной составляющей i= l;
– значения тока, текущего от точки ответвления Tk до koй станции на участке L(2k-2) линии передачи с ответвлениями для отрицательной последовательной составляющей i=2 или для инкрементной положительной последовательной составляющей i= 1; IFi – полный ток повреждения для отрицательной последовательной составляющей i=2 или для инкрементной положительной последовательной составляющей i= 1; Iki – ток, измеренный на станции k для отдельных симметричных составляющих (первый нижний индекс), а второй нижний индекс для отрицательной последовательной составляющей будет = 2 и для инкрементной положительной последовательной составляющей будет i= 1.
17. Способ по п.1, отличающийся тем, что для многотерминальных линий электропередачи импеданс эквивалентного источника для отрицательной последовательной составляющей ((Z2Sk)) и ((Z2S(k+1))), а также для инкрементной положительной последовательной составляющей ((Z 1Sk)) и ((Z 1S(k+1))) определяют в предположении, что повреждение расположено на участке линии между двумя следующими друг за другом точками ответвления, из следующих уравнений:

 где – напряжение в koй точке ответвления для отрицательной последовательной составляющей i=2 или для инкрементной положительной последовательной составляющей i= 1; d(2k-1) – расстояние до повреждения на участке линии между двумя точками ответвления; ZiL(2k-1) – импеданс участка L(2k-l) линии для отрицательной последовательной составляющей i=2 или для инкрементной положительной последовательной составляющей i= 1;
– ток, текущий от точки ответвления Tk до точки ответвления T(k+1) на участке линии для отрицательной последовательной составляющей i=2 или для инкрементной положительной последовательной составляющей i= 1; IFi – полный ток повреждения для отрицательной последовательной составляющей i=2 или для инкрементной положительной последовательной составляющей i= 1; Iki – ток, измеренный на станции k для отдельных симметричных составляющих (первый нижний индекс), а второй нижний индекс для отрицательной последовательной составляющей будет равен 2 и для инкрементной положительной последовательной составляющей будет i= 1; I(k+1)i – ток, измеренный на станции k+1 для отдельных симметричных составляющих (первый нижний индекс), а второй нижний индекс для отрицательной последовательной составляющей будет равен 2 и для инкрементной положительной последовательной составляющей будет i= 1.
РИСУНКИ
|