|
|
(21), (22) Заявка: 2007130283/28, 07.08.2007
(24) Дата начала отсчета срока действия патента:
07.08.2007
(43) Дата публикации заявки: 20.02.2009
(46) Опубликовано: 20.08.2010
(56) Список документов, цитированных в отчете о поиске:
SU 741142 А1, 15.06.1980. RU 2010227 C1, 30.03.1994. SU 721745 A1, 15.03.1980. RU 2229121 C1, 20.05.2004. RU 1730917 C, 15.12.1994. US 5270950 A, 14.12.1993. US 4592034 A, 27.05.1986. US 3985024 A, 12.10.1976.
Адрес для переписки:
664074, г.Иркутск, ул. Академика Курчатова, 3, ОАО “ИркутскНИИхиммаш”, первому заместителю генерального директора К.А. Кузнецову
|
(72) Автор(ы):
Быков Сергей Павлович (RU), Кузнецов Кирилл Анатольевич (RU), Юшин Анатолий Витальевич (RU), Скрябиков Игорь Николаевич (RU)
(73) Патентообладатель(и):
Открытое акционерное общество “Иркутский научно-исследовательский и конструкторский институт химического и нефтяного машиностроения” (ОАО “ИркутскНИИхиммаш”) (RU)
|
(54) СПОСОБ ОПРЕДЕЛЕНИЯ РАССТОЯНИЯ МЕЖДУ ПРЕОБРАЗОВАТЕЛЕМ И ИСТОЧНИКОМ АКУСТИЧЕСКОЙ ЭМИССИИ
(57) Реферат:
Использование: для определения расстояния между преобразователем и источником акустической эмиссии. Сущность: заключается в том, что на контролируемом изделии устанавливают преобразователь акустической эмиссии, изделие нагружают, принимают сигналы акустической эмиссии, генерируемые дефектом изделия, и регистрируют моды волн Лэмба, при этом моды регистрируют в виде волнового пакета, получают частотно-временную зависимость на спектрограммах, после чего выделяют энергетические максимумы антисимметричных и симметричных мод, а расстояние между преобразователем и источником акустической эмиссии рассчитывают по разнице во времени прихода энергетических максимумов на выбранных частотах. Технический результат: повышение достоверности и информативности при определении расстояния между преобразователем и источником акустической эмиссии, а также повышение помехозащищенности. 3 ил.
Изобретение относится к диагностированию оборудования и различных изделий на основе использования акустико-эмиссионного метода неразрушающего контроля и может быть использовано в химической, нефтехимической, энергетической, металлургической промышленности, на объектах транспорта.
Известен способ определения координаты источника сигналов акустической эмиссии (RU 1730917, МПК G01N 29/04, дата подачи заявки 21.08.1990).
Сущность известного способа заключается в следующем.
На контролируемом участке длинномерного изделия размещают две группы преобразователей по два преобразователя в каждой группе, установленных на одинаковом расстоянии друг от друга. Затем изделие нагружают, принимают сигналы акустической эмиссии и измеряют время прихода сигналов к преобразователям в каждой группе. После принятия сигналов акустической эмиссии первой группой преобразователей и определения скорости принятой моды определяют максимально возможное время прихода этой моды к преобразователям второй группы по зависимости между скоростью распространения, расстоянием между группами преобразователей и временем прихода, и в течение этого времени принимают сигналы акустической эмиссии второй группой преобразователей, выделяя из них моду сигналов с той же скоростью распространения и измеряя время прихода этих сигналов. После этого определяют координату источника сигналов акустической эмиссии по зависимости между временем прихода сигналов, скоростью распространения принятой моды акустического сигнала и расстоянием до источника сигналов. Координату источника сигналов акустической эмиссии вычисляют как среднюю величину значений, полученных для различных мод сигналов акустической эмиссии.
Недостатками известного способа являются необходимость использования двойного количества преобразователей, высокая вероятность регистрации основным и дополнительным преобразователями различных мод импульса и, как следствие, ошибки в определении скорости распространения моды и определении координат источников.
Наиболее близким по технической сущности к предлагаемому изобретению является способ определения расстояния между источником и приемником сигналов акустической эмиссии (SU 741142 A1, МПК G01N 29/04, дата подачи заявки 23.10.78), заключающийся в том, что на контролируемое изделие устанавливают преобразователи акустической эмиссии, изделие нагружают, принимают по двум каналам сигналы акустической эмиссии, генерируемые дефектом изделия, измеряют интервалы времени между моментами появления сигналов в разных каналах, принимая за моменты появления сигналов сигналы двух выделенных мод волны Лэмба, и определяют расстояние между источником и приемником по измеренным интервалам и скорости распространения сигналов.
Недостатком данного способа является сложность его реализации, обусловленная тем, что для регистрации каждой из двух мод волны Лэмба требуется наличие своего преобразователя и измерительного канала, при этом необходимо определять момент прихода каждой моды и измерять интервалы времени, т.е. использовать пороговый метод обнаружения сигналов, обладающий большой погрешностью. Данный способ предполагает использование направленных преобразователей, для этого необходимо заранее знать направление, с которого придет сигнал. Кроме этого, скорость распространения мод волны Лэмба, по которой в дальнейшем рассчитывают расстояние между источником и приемником сигналов, определить весьма непросто, поскольку скорость зависит от частоты и две разные моды могут иметь одинаковую скорость на разных или одной частоте. Это обстоятельство также сказывается на точности определения расстояния.
Задачей изобретения является упрощение способа определения расстояния между преобразователем и источником акустической эмиссии при одновременном повышении точности определения.
Поставленная задача решается тем, что в способе определения расстояния между преобразователем и источником акустической эмиссии, заключающемся в том, что на контролируемом изделии устанавливают преобразователь акустической эмиссии, изделие нагружают, принимают сигналы акустической эмиссии, генерируемые дефектом, и регистрируют моды волн Лэмба, согласно изобретению моды регистрируют в виде волнового пакета, после представления которого частотно-временной зависимостью на спектрограммах выделяют энергетические максимумы антисимметричных и симметричных мод, а расстояние между преобразователем и источником акустической эмиссии рассчитывают по разнице во времени прихода энергетических максимумов на выбранных частотах.
Выбранные частоты должны соответствовать полосе частот преобразователя акустической эмиссии (50-500 кГц). В качестве преобразователя можно использовать широкополосный приемник с круговой диаграммой направленности.
Технический результат предлагаемого изобретения выражается в следующем. При регистрации мод волн Лэмба в виде волнового пакета сигналы акустической эмиссии принимаются с любого направления, и волновой пакет является суперпозицией (суммой) мод волн Лэмба. За счет представления его частотно-временной зависимостью (например, с помощью вейвлет-преобразования или преобразований Габора) с выделением энергетических максимумов антисимметричной и симметричной мод и последующего анализа разницы во времени прихода различных спектральных (частотных) составляющих мод появляется возможность определения расстояния от источника излучения до регистрирующего преобразователя по данным измерения одного импульса акустической эмиссии, что значительно упрощает метод. Кроме того, отказ от пороговой регистрации сигналов при измерении разницы во времени прихода импульсов и определение расстояния по экспериментально определенным скоростям мод Лэмба позволяют повысить точность метода.
Предлагаемый способ реализуется следующим образом.
На металлический лист устанавливают преобразователь акустической эмиссии – ПАЭ (например, GT-200), подсоединенный к измерительному каналу системы (например, ALINE-32), работающей в режиме цифрового осциллографа. На произвольном расстоянии от ПАЭ под действием внешней нагрузки на лист возникает сигнал акустической эмиссии, генерируемый имеющимся дефектом внутри металлического листа или имитируемый с помощью источника Хсу-Нильсена. Сигнал регистрируется ПАЭ, осциллографом (верхний график фиг.1, 2, 3), затем подвергается непрерывному вейвлет-преобразованию и представляется в координатах: время-частота (нижний график фиг.1, 2, 3). Затем на спектрограммах выделяют энергетические максимумы A(f,t) – антисимметричной и/или S(f,t) – симметричной мод, далее путем анализа частотно-временных представлений A(f,t) и/или S(f,t) определяют разницу во времени Т разных мод на разных или одной частоте или одной моды на разных частотах, а расстояние L от приемника до источника акустической эмиссии рассчитывают по формулам, например:


где VA – скорость прихода энергетического максимума антисимметричной моды;
VS – скорость прихода энергетического максимума симметричной моды;
Vf1, Vf2 – скорости прихода энергетического максимума симметричной либо антисимметричной моды на частотах f1 и f2;
TA-S – разница во времени прихода энергетических максимумов антисимметричной и симметричной мод;
Tf2-f1 – разница во времени прихода энергетических максимумов симметричной либо антисимметричной моды на разных частотах.
Дисперсионные экспериментальные кривые скоростей VA(f), VS(f) мод волн Лэмба могут быть рассчитаны методом конечных элементов для конкретного материала и толщины изделия либо определены заявленным способом по формулам (1) и (2) при возбуждении импульса акустической эмиссии имитатором с известного расстояния L до преобразователя.
На фиг.1 и 2 приведены данные для сигнала акустической эмиссии, полученные при испытаниях на алюминиевой пластине толщиной 4,7 мм;
на фиг.3 – данные, полученные при испытаниях на стальной пластине толщиной 6 мм.
В верхней части каждой фигуры приведены акустические импульсы, зарегистрированные пьезоэлектрическим приемником акустической эмиссии и оцифрованные с помощью аналого-цифрового преобразователя. Частота оцифровки импульсов – 10 МГц.
В нижней части каждой фигуры приведены частотно-временные представления каждого импульса, полученные в результате непрерывного вейвлет-преобразования. Графически данные представлены точками на плоскости: частота-время. Каждая точка соответствует времени прихода максимума частотной составляющей с дискретностью 1 КГц. В совокупности точки образуют дисперсионные кривые зависимости времени прихода отдельных частотных составляющих. Сплошными линиями представлены расчетные зависимости времени прихода частотных составляющих спектра для нулевых симметричной (S0) и антисимметричной (А0) мод, полученные из дисперсионных кривых групповых скоростей волн Лэмба, рассчитанных, в свою очередь, методом конечных элементов (МКЭ).
Из результатов непрерывного вейвлет-преобразования на фиг.1 видно, что частотно-временное представление энергетических характеристик импульса акустической эмиссии совпадает с дисперсионными кривыми зависимостей скоростей от частоты нулевых мод (А0, S0), рассчитанными методом конечных элементов.
Полученные в результате вейвлет-преобразования данные для расчета по фиг.1:
fA=250 кГц; VA=4,95 мм/мкс; fS=180 кГц; VS=3,18 мм/мкс;
измеренное TA-S=20 мкс.
Расстояние L между источником акустической эмиссии и преобразователем рассчитывали по разнице во времени прихода энергетических максимумов нулевых симметричной и антисимметричной мод по формуле (1):

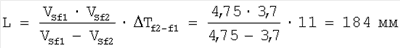
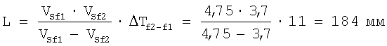
Данные для расчета по фиг.2:
f1=370 кГц; VSf1=4,75 мм/мкс; f2=275 кГц; VSf2=3,7 мм/мкс;
измеренное Tf2-f1=11 мкс.
Расстояние L между источником акустической эмиссии и преобразователем рассчитывали по разнице во времени прихода амплитудных максимумов симметричной моды на частотах f1 и f2 по формуле (2):

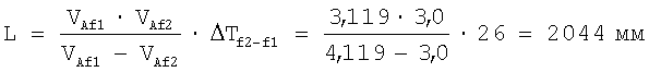
Данные для расчета по фиг.3:
f1=250 кГц; VAf1=3,119 мм/мкс; f2=115 кГц; VAf2=3,0 мм/мкс;
измеренное Tf2-f1=26 мкс.
Расстояние L между источником акустической эмиссии и преобразователем рассчитывали по разнице во времени прихода энергетических максимумов антисимметричной моды на частотах f1 и f2 по формуле (2):

Преимуществами предлагаемого способа по сравнению с прототипом является то, что он позволяет значительно упростить определение расстояния между источником и приемником акустических колебаний, исключить применение порогового метода обнаружения сигналов и тем самым избежать недостатков, присущих этому методу. Это дает возможность повысить достоверность получаемых результатов и, следовательно, с большей точностью обнаружить наличие дефекта и его местонахождение в контролируемом изделии.
Важным преимуществом способа является и то, что его можно осуществлять в режиме непрерывной регистрации всего потока сигналов, поскольку не требуется точной установки порога дискриминации.
Формула изобретения
Способ определения расстояния между преобразователем и источником акустической эмиссии, заключающийся в том, что на контролируемом изделии устанавливают преобразователь акустической эмиссии, изделие нагружают, принимают сигналы акустической эмиссии, генерируемые дефектом изделия, и регистрируют моды волн Лэмба, отличающийся тем, что моды регистрируют в виде волнового пакета, после представления которого частотно-временной зависимостью на спектрограммах выделяют энергетические максимумы антисимметричных и симметричных мод, а расстояние между преобразователем и источником акустической эмиссии рассчитывают по разнице во времени прихода энергетических максимумов на выбранных частотах.
РИСУНКИ
|
|