Патент на изобретение №2397261
|
||||||||||||||||||||||||||
(54) СПОСОБ ПЕРЕРАБОТКИ МЕДНО-НИКЕЛЕВЫХ ШТЕЙНОВ
(57) Реферат:
Изобретение относится к способу переработки медно-никелевых штейнов. Способ включает заливку расплава медно-никелевого штейна и загрузку флюса. При этом в исходный расплав медно-никелевого штейна загружают цветной металлолом, содержащий железо. Затем проводят продувку кислородсодержащей газовой смесью и слив шлака с получением металлизированного штейна. После слива шлака проводят сульфидирование металлизированного штейна восстановленными газами автогенных плавок, содержащих сернистый ангидрид, до содержания серы, равного содержанию серы в исходном расплаве. Затем сливают 40-60% готового сульфидного продукта с последующим повторением операций. Технический результат заключается в сохранении содержания серы в медно-никелевом штейне.
Изобретение относится к области цветной металлургии и может быть применено при переработке цветного металлолома, содержащего железо. Известны способы конвертирования медно-никелевых штейнов (А.В.Ванюков, Н.И.Уткин. Комплексная переработка медного и никелевого сырья. Изд. Металлургия, 1988, 432 с.), в которых преследуются цели повышения качества получаемого штейна, повышения извлечения никеля и кобальта, сохранения расхода флюсов, интенсификации процесса конвертирования и т.д. Недостатком указанных способов является малое количество перерабатываемых холодных присадок, содержащих железо. Наиболее близким к предлагаемому изобретению по технической сущности и достигаемому результату является способ (а.с. Недостатком данного способа является ограниченное количество добавляемых холодных присадок (цветного металлолома, содержащего железо) и содержание железа в них, т.к. увеличение этих параметров приведет к резкому снижению содержания серы в штейне, что делает невозможным дальнейшую его переработку. Задачей изобретения является сохранение содержания серы в штейне за счет введения ее в виде восстановленных газов автогенных плавок. Достигается это тем, что согласно заявленному способу переработки медно-никелевого штейна, включающему заливку расплава медно-никелевого штейна, загрузку флюса, продувку кислородосодержащей газовой смесью, слив шлака с получением металлизированного штейна, в исходный расплав медно-никелевого штейна загружают цветной металлолом, содержащий железо, после слива шлака проводят сульфидирование металлизированного штейна восстановленными газами автогенных плавок, содержащих сернистый ангидрид, до содержания серы, равного содержанию серы в исходном расплаве, и сливают 40-60% готового сульфидного продукта с последующим повторением операций по переработке цветного металлолома начиная с загрузки. Продувку применяют для поддержания температуры расплава после загрузки цветного металлолома, содержащего железо, и перевода части железа в шлак за счет его окисления и связывания в фаялит при добавлении флюса кварцевого песка. Операцию сульфидирования проводят для восполнения недостатка серы в штейне после растворения металлолома, она осуществляется за счет восстановления серы углеродосодержащим восстановителем из газов автогенных плавок, содержащих сернистый ангидрид, по следующим основным реакциям (Еремина Г.А. и др. Получение элементарной серы из металлургических газов за рубежом., Власов О.А. и др. Использование восстановленных газов автогенных плавок для сульфидирования окисленных медных руд. Цветная металлургия. 1991, при использовании в качестве восстановителя природного газа и при использовании пылевидного угля:
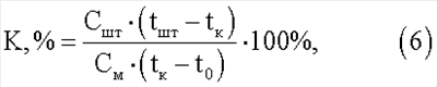
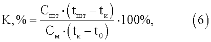
Количество серы, введенное в расплав, определяется по процентному содержанию серы в исходном штейне. Максимальное количество единовременно загруженного цветного металлолома, содержащего железо, зависит от состава и может быть определено из выражения: где Сшт и См – теплоемкости штейна и металлолома соответственно; tшт, tk, t0 – температура исходного штейна, температура его кристаллизации и температура металлолома перед загрузкой соответственно. После сульфидирования сливают 40-60% готового сульфидного продукта, который может перерабатываться дальше по стандартным технологиям. Количество 40-60% сливаемого готового сульфидного продукта определяется оптимальным выходом продукта, т.к. при сливе меньше 40% будет происходить накопление массы расплава в конвертере, при сливе более 60% будет происходить уменьшение массы расплава с последующим застыванием ее в конвертере. Способ поясняется следующими примерами. Пример 1. Опыты проводили в печи с карбидо-кремниевыми нагревателями в алундовых тиглях емкостью около 200 мл. В медно-никелевый штейн состава (мас.%): Cu – 15,3, Ni – 12,7, Fe – 50, Со – 1,2, S – 20,1, добавили 30% цветного металлолома состава (мас.%): Ni ~ 50, Fe ~ 50. Провели продувку кислородосодержащей смесью (воздухом) через алундовую трубку, введенную сверху в расплав, температуру исходного штейна оценивали по формуле 6, слили фаялитовый шлак, полученный за счет добавления флюса – кварцевого песка, провели операцию сульфидирования смесью сернистого ангидрида с пылевидным коксом в стехиометрическом соотношении по реакции (4). Смесь вводили в расплав сверху через длинную алундовую трубку с внутренним диаметром 3 мм, заглубленную в расплав на 20 мм. После сульфидирования получили штейн состава (мас.%): Cu – 11,1; Ni – 19,9; Fe – 47; Со – 0,87; S – 20,8; 40% которого слили для дальнейшей переработки. Пример 2. В штейн того же состава, что в примере 1, добавили 25% цветного металлолома состава (мас.%): Ni Пример 3. В штейн того же состава, что в примере 1, добавили 40% цветного металлолома состава (мас.%): Ni – 28, Cu – 30, Со – 2, Fe – 40. Вели продувку (продувку и оценку температуры штейна проводили так же, как и в примере 1) со сливом шлака (как и в примере 1), после чего сульфидировали (процесс сульфидироваия тот же, что и в примере 1) до содержания серы в исходном штейне. 60% полученного штейна состава (мас.%): Ni – 15,3, Cu – 17,1, Со – 1,2, Fe -45,8, S – 20,3, слили для переработки. Таким образом, предлагаемый способ позволяет вести полунепрерывную переработку медно-никелевого штейна со сливом 40-60% готового сульфидного продукта и сохранением содержания серы в штейне.
Формула изобретения
Способ переработки медно-никелевых штейнов, включающий заливку расплава медно-никелевого штейна, загрузку флюса, продувку кислородсодержащей газовой смесью, слив шлака с получением металлизированного штейна, отличающийся тем, что в исходный расплав медно-никелевого штейна загружают цветной металлолом, содержащий железо, после слива шлака проводят сульфидирование металлизированного штейна восстановленными газами автогенных плавок, содержащих сернистый ангидрид, до содержания серы, равного содержанию серы в исходном расплаве, и сливают 40-60% готового сульфидного продукта с последующим повторением операций.
|
||||||||||||||||||||||||||

897877, Способ конвертирования медно-никелевых штейнов. Опуб. 15.01.82. Бюл. 





30, Cu