Патент на изобретение №2397193
|
|||||||||||||||||||||||||||||||||||||||||||||||||||||||||||||||||||||||||||||||||||||||||||||||||||||||||||||||||||||||||||||||||||||||||||||||||||||||||||||||||||||||||||||||||||||||||||||||||||||||||||||||||||||||||||||||||||||||||||||||||||||||||
(54) ПОЛИМЕРНАЯ КОМПОЗИЦИЯ
(57) Реферат:
Настоящее изобретение относится к полимерной композиции для эластомерных гидроизоляционных, кровельных покрытий, покрытий полов и спортивных площадок. Данная композиция включает 100 мас.ч. изоцианатного форполимера, 3-30 мас.ч. этоксилированного глицерина или глицерина, или триметилолпропана в качестве отвердителя и 0,005-0,01 мас.ч. дибутилдилаурината олова. В качестве изоцианатного форполимера используют форполимер, полученный взаимодействием четырех молей 4,4′-дифенилметандиизоцианата и одного моля олигобутадиендиола молекулярной массой 2800-3200, с содержанием гидроксильных групп 0,9-1,3%, содержанием изоцианатных групп в форполимере 8,0-9,7%. Полимерная композиция обеспечивает улучшенный комплекс прочностных свойств полученных из нее эластомеров и покрытий, а именно способствует повышению прочности, долговечности, твердости, относительного удлинения покрытий. 1 табл.
Изобретение относится к полимерным композициям на основе жидких углеводородных каучуков, предназначенным для эластомерных гидроизоляционных, кровельных покрытий, покрытий полов и спортивных площадок. Известна полимерная композиция, включающая изоцианатный форполимер – олигобутадиенпипериленовый форполимер со среднечисленной молекулярной массой 2500-3500, содержанием изоцианатных групп 1,9-2,3% и содержанием звеньев: цис-1,4 18-28%, транс-1,4 58 – 62%, 1,2-звеньев 15-20%, ускоритель отверждения – диметилбензиламин или дибутилдилауринат олова, мастику «Каупласт», мел и оксид кальция [Патент РФ Недостатком этой полимерной композиции является низкая прочность эластомеров и покрытий на ее основе. Известна полимерная композиция, включающая олигобутадиенпиперилендиуретандиизоцианат с молекулярной массой 2500-3500, содержанием изоцианатных групп 1,9-2,3% и звеньев цис-1,4 18-28%, транс-1,4 58-62%, 1,2 15-20% отвердитель 2,4-толуилендиизоцианат или полиизоцианат на основе дифенилметандиизоцианата с содержанием изоцианатных групп 29,5-30%, мастику «Каупласт», мел, оксид кальция и диметилбензиламин или дибутилдилауринат олова. [Патент РФ Недостатком известной композиции является низкая прочность эластомерных материалов и покрытий на ее основе. Наиболее близким решением к заявленной композиции по технической сущности (взятой за прототип) является композиция, включающая в мас.ч.: изоцианатный форполимер – олигобутадиенпиперилендиуретандиизоцианат со среднечисленной молекулярной массой 2500-3500, содержанием изоцианатных групп 1,9-2,3% и звеньев цис-1,4 18-28%, транс-1,4 58-62%, 1,2 15-20% – 100; отвердитель диметилбензиламин или дибутилдилауринат олова 0,05-5,0; олигобутадиенпиперилен с молекулярной массой 1500-3000 1-5; мел 10-70; оксид кальция 5-10 [Патент РФ Недостатком данной известной композиции является низкая прочность эластомерных материалов на ее основе, ограничивающая возможность широкого использования. Причиной низкой прочности эластомерных материалов из данной композиции является широкое молекулярно-массовое распределение макромолекул используемого форполимера, структурная неоднородность макромолекул по функциональности, заключающиеся в том, что содержание бифункциоальных макромолекул не превышает 50-60%, а доля монофункциональных и бесфункциональных молекулярных цепей достигает соответственно 20-30 и 10-15%. Дополнительное введение в состав композиции 1-5 мас.ч. олигомерного каучука без функциональных групп повышает степень структурной неоднородности и ухудшает распределение по типу функциональности. Форполимер получают путем взаимодействия олигобутадиенпипериленового каучука с гидроксильными группами с толуилендиизоцианатом при соотношении NCO и ОН групп 2:1. В результате при отверждении композиции образуется неоднородная вулканизационная сетка с неравномерным распределением химических поперечных связей в объеме вулканизата и низкой долей эластически-активных цепей. Такая структура вулканизационной сетки не может обеспечить равномерное распределение напряжений и их перераспределение и выравнивание при нагрузке, что не позволяет получить материал с высокой прочностью. Техническим результатом настоящего изобретения является создание композиции с более высокой прочностью, твердостью и относительным удлинением. Поставленный технический результат достигается в полимерной композиции, включающей изоцианатный форполимер и отвердитель, в которой в качестве изоцианатного форполимера используют форполимер, полученный взаимодействием четырех молей 4,4′-дифенилметандииизоцианата и одного моля олигобутадиендиола со среднечисленной молекулярной массой 2800-3200, содержанием гидроксильных групп 0,9-1,3%, содержанием изоцианатных групп в форполимере 8,0-9,7%, а в качестве отвердителя этоксилированный глицерин или глицерин, или триметилолпропан и дибутилдилауринат олова при следующем соотношении компонентов, мас.ч.:
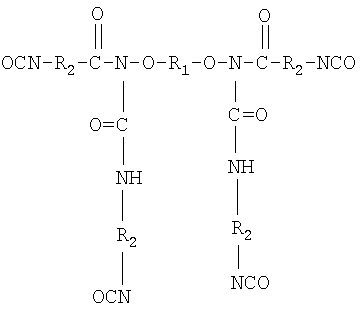
Технический результат достигается за счет того, что в отличие от известной композиции предлагаемая композиция содержит изоцианатный форполимер, полученный взаимодействием гидроксилсодержащего олигобутадиенового каучука с большим избытком 4,4′-дифенилметандиизоцианата. Олигобутадиеновый гидроксилсодержащий каучук отличается высокой степенью функциональности, практически равной двум, узким молекулярно-массовым распределением и совершенным распределением по типу функциональности. Доля бифункциональных макромолекул достигает 92% при содержании бесфункциональных молекул не более 2%. Гидроксилсодержащий олигобутадиеновый каучук является продуктом анионной полимеризации, имеет линейную структуру, среднечисленную молекулярную массу 2800-3200, содержание концевых гидроксильных групп 0,9-1,3%. Микроструктура каучука: 1,4-цис 10-18%, 1,4-транс 18-28%, 1,2-звеньев 58-70%. Химическая структура где R-H; CH3. Изоцианатный форполимер, полученный взаимодействием указанного олигобутадиендиола с избытком 4,4′-дифенилметандиизоцианата, содержит 8,0-9,7% изоцианатных групп. Полученный форполимер также отличается совершенным распределением макромолекул по типу функциональности. Использование 4,4′-дифенилметандиизоционата при соотношении функциональных групп NCO_OH=4:1 при получении форполимера обеспечивает повышение функциональности за счет взаимодействия уретановых и изоцианатных групп, создавая дополнительные центры сшивания с поперечными связями регулярной структуры. Структура форполимера имеет следующий вид:
где R1 – олигобутадиеновый блок; R2 – фрагмент 4,4’дифенилметандиизоцианата. Такая структура форполимера, функциональность и распределение функциональных групп при использовании для отверждения глицерина, триметилолпропана или этоксилированного глицерина и дибутилдилаурината олова, приводит к образованию микрогетерогенной сетки с чередующимися гибкими олигобутадиеновыми блоками и жесткими уретановыми блоками. Присутствие в структуре отвержденного продукта микрофаз гибких и жестких блоков определяет особенности его свойств: высокую прочность, твердость в сочетании с эластичностью. Уретановые блоки создают непрерывную физическую сетку за счет сильных межмолекулярных взаимодействий. При этом эластические свойства сохраняются благодаря микроструктуре олигомерного блока с высокой долей (58-70%) 1,2-звеньев. Микроструктура используемого форполимера обеспечивает сохранение аморфного высокоэластического состояния каучука в гибких микроблоках, несмотря на высокую плотность сшивания и регулярность химических вулканизационных связей. Это обеспечивает возможность развития высокоэластической деформации и ориентации цепей в эластических микроблоках. Благодаря этому при отверждении реализуется близкая к идеальной, более плотная и равномерная пространственная сетка сшитого эластомера с незначительной дефектностью и высоким содержанием эластически активных цепей. Прочность повышается за счет более равномерного распределения напряжений при деформировании, а также возможности их перераспределения, так как такая сетка физических связей достаточно подвижна при высоких напряжениях, и при локальных перенапряжениях физические связи способны распадаться и образовываться вновь. Полученный технический результат повышения прочности полимерной композиции, включающей изоцианатный форполимер указанной структуры, отверждаемый этоксилированным глицерином или глицерином, или триметилолпропаном и дибутилдилауринатом олова не является очевидным, так как анализ известных решений не дает оснований предполагать, что сочетание указанных компонентов должно приводить к упрочнению предлагаемой композиции. В качестве изоцианатного форполимера используют форполимер с содержанием 8,0-9,7% изоцианатных групп. В качестве отвердителей используют глицерин; триметилолпропан; этоксилированный глицерин (лапрол 373 – ТУ2226-024-1048857-95, продукт конденсации глицерина и окиси пропилена) и дибутилдилауринат олова. Форполимер получают по следующей методике: навеску 200 г олигобутадиенового каучука Красол LBH 3000 с содержанием 1,1% гидроксильных групп помещают в колбу, нагревают до 80°С при перемешивании, выдерживают при этой температуре под вакуумом при остаточном давлении не выше 10 мм рт.ст. 60 минут, вводят 64,8 г 4,4′-дифенилметандиизоцианата и выдерживают при 80°С при перемешивании в течение 2 часов. Полученный форполимер сливают, охлаждают и определяют содержание NCO-групп. Расчет необходимого количества 4,4′-дифенилметандиизоцианата ведут по формуле, в г на 100 г каучука: М=(42*А*100*4)/(17*33,6), где М – навеска дииизоцианата; А – содержание гидроксильных групп в каучуке. Для приготовления композиции используют смесительное оборудование, обеспечивающее гомогенизацию отвердителя в форполимере. Осуществимость изобретения иллюстрируется следующими примерами. Навеску форполимера перемешивают с отвердителем 2-3 минуты, затем добавляют дибутилдилауринат олова и перемешивают еще 1-2 минуты. Готовую смесь наносят на открытые формы и выдерживают до полного отверждения трое суток при температуре 20-25°С. Количество форполимера и отвердителя рассчитывают таким образом, чтобы мольное соотношение NCO и ОН групп находилось в пределах 0,5-2,0. Состав композиции и свойства эластомерного материала для покрытий приведены в таблице. Испытания материалов покрытий проводят по ГОСТ 270-75, ГОСТ 263-93, ГОСТ 426-66. Из данных таблицы видно, что использование в качестве основы композиции заявленного форполимера в комплексе с отвердителем позволяет значительно повысить прочность покрытий, что соответственно повышает их долговечность. Прочность эластомерного материала повышается более чем в пять раз, повышается твердость, улучшается деформационная способность и эластичность.
Уменьшение количества отвердителя до менее 3 мас.% и увеличение до более 30 мас.ч. приводит к ухудшению комплекса прочностных характеристик покрытий из-за значительного отклонения соотношения реакционных групп от эквимолекулярного для форполимера и отвердителя. Отклонение содержания дибутилдилаурината олова от заявленных пределов снижает скорость отверждения либо снижает жизнеспособность композиций за счет высокой скорости отверждения. Заявленная полимерная композиция, как доказано примерами, позволяет повысить комплекс прочностных свойств покрытий.
Формула изобретения
Полимерная композиция для эластомерных гидроизоляционных кровельных покрытий, покрытий полов и спортивных площадок, включающая изоцианатный форполимер и отвердитель, отличающаяся тем, что в качестве изоцианатного форполимера используют форполимер, полученный взаимодействием четырех молей 4,4′-дифенилметандиизоцианата и одного моля олигобутадиендиола молекулярной массой 2800-3200, содержанием гидроксильных групп 0,9-1,3%, содержанием изоцианатных групп в форполимере 8,0-9,7%, а в качестве отвердителя используют этоксилированный глицерин, или глицерин, или триметилолпропан и дибутилдилауринат олова при следующем соотношении компонентов, мас.ч.:
|
|||||||||||||||||||||||||||||||||||||||||||||||||||||||||||||||||||||||||||||||||||||||||||||||||||||||||||||||||||||||||||||||||||||||||||||||||||||||||||||||||||||||||||||||||||||||||||||||||||||||||||||||||||||||||||||||||||||||||||||||||||||||||

1509385, кл. C09D 3/72; опубл. 23.09.1989, бюл. 

