Патент на изобретение №2397192
|
||||||||||||||||||||||||||||||||||||||||||||||||||||||||||||||||||||||||||||||||||||||||||||||||||||||||||||||||||||||||||||||||||||||||||||||||||||||||||||||||||||||||||||||||||||||||||||||||||||||||||||||||
(54) ПОЛИМЕРНАЯ КОМПОЗИЦИЯ
(57) Реферат:
Настоящее изобретение относится к полимерной композиции для эластомерных гидроизоляционных, кровельных покрытий, покрытий полов и спортивных площадок. Данная композиция включает 100 мас.ч. изоцианатного форполимера и 11-31 мас.ч. отвердителя. В качестве изоцианатного форполимера используют форполимер, полученный взаимодействием четырех молей 4,4′-дифенилметандиизоцианата и одного моля олигобутадиендиола, молекулярной массой 2800-3200, с содержанием гидроксильных групп 0,9-1,3%, содержанием изоцианатных групп в форполимере 8,0-9,7%. В качестве отвердителя используют 3,3′-дихлор-4,4′-диаминодифенилметан или смесь 2,4- и 2,6-изомеров 3,5-диметилтиотолуилендиамина в соотношении 80:20. Полимерная композиция обеспечивает улучшенный комплекс прочностных свойств полученных из нее эластомеров и покрытий, а именно способствует повышению прочности, твердости, относительного удлинения и адгезионных свойств покрытий. 1 табл.
Изобретение относится к полимерным композициям на основе жидких углеводородных каучуков, предназначенным для эластичных гидроизоляционных, кровельных покрытий, покрытий полов и спортивных площадок. Известна композиция для покрытий, включающая изоцианатный олигобутадиенпипериленовый форполимер со среднечисленной молекулярной массой 2500-3500, содержанием изоцианатных групп 1,9-2,3% и 1,4-цис 18-28%, 1,4-транс 58-62%, 1,2-звеньев 15-20%, ускоритель, олигодиенуретандиэпоксид, мел, оксид кальция и диглицидилуретан [Патент РФ Недостатком известной композиции является низкая прочность эластомерных материалов и покрытий на ее основе. Известна полимерная композиция, включающая олигобутандиенпипериледиуретандиизоцианат, ускоритель отверждения, мастику «Каупласт», мел, оксид кальция [Патент РФ Недостатком такой композиции является низкая прочность отвержденных эластомеров и покрытий на ее основе. Наиболее близким решением к заявляемой композиции по технической сущности (взятая за прототип) является композиция, включающая изоцианатный форполимер и отвердитель. В качестве форполимера в композиции содержится олигобутадиенпипериленуретанизоцианат со среднечисленной молекулярной массой 2500-3500, содержанием звеньев цис-1,4 18-28%, транс-1,4 58-62% и 1,2-звеньев 15-20%, содержанием изоцианатных групп в форполимере 1,9-2,3% – 100 мас.ч.; в качестве отвердителя – диметилбензиламин или дибутилдилауринат олова – 0,05-5,0 мас.ч. и дополнительно олигобутадиенпиперилен с молекулярной массой 1500-3000 1-5 мас.ч., мел 10-70 мас.ч., оксид кальция 5-10 мас.ч. [Патент РФ Недостатком данной известной композиции является низкая прочность эластомерных материалов на ее основе, ограничивающая возможность широкого использования. Причиной низкой прочности эластомерных материалов из данной композиции является широкое молекулярно-массовое распределение макромолекул используемого форполимера, структурная неоднородность макромолекул по функциональности, заключающиеся в том, что содержание бифункциональных макромолекул не превышает 50-60%, а доля монофункциональных и бесфункциональных молекулярных цепей, не способных к сшиванию в единую вулканизационную сетку, достигает соответственно 20-30 и 10-15%. Дополнительное введение в состав композиции 1-5 мас.ч. олигомерного каучука без функциональных групп повышает степень структурной неоднородности и в еще большей степени ухудшает распределение по типу функциональности. Кроме того, используемый в известной композиции форполимер есть продукт взаимодействия 1 моля олигопипериленового гидроксилсодержащего каучука с 2 молями толуилендиизоцианата, что не позволяет создать из каучука с подобными молекулярными характеристиками сплошную сетку физических связей. В результате при отверждении композиции образуется неоднородная вулканизационная сетка с неравномерным распределением химических поперечных связей в объеме вулканизата и низкой долей эластически-активных цепей. Такая структура вулканизационной сетки не может обеспечить равномерное перераспределение напряжений и их выравнивание при нагрузке, что не позволяет получить материал с высокой прочностью. Техническим результатом настоящего изобретения является создание композиции с более высокой прочностью, твердостью и относительным удлинением. Поставленный технический результат достигается тем, что в полимерной композиции, включающей изоцианатный форполимер и отвердитель, в качестве изоцианатного форполимера используют форполимер, полученный взаимодействием четырех молей 4,4′-дифенилметандиизоцианата и одного моля олигобутадиендиола с молекулярной массой 2800-3200, содержанием гидроксильных групп 0,9-1,3%, содержанием изоцианатных групп в форполимере 8,0-9,7%, а в качестве отвердителя 3,3′-дихлор-4,4′-диаминодифенилметан или смесь 2,4- и 2,6-изомеров 3,5-диметилтиотолуилендиамина в соотношении 80:20 при следующем соотношении компонентов, мас.ч.:
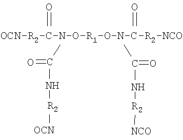
Технический результат достигается за счет того, что в отличие от известной композиции предлагаемая композиция содержит изоцианатный форполимер, полученный взаимодействием гидроксилсодержащего олигобутадиенового каучука с большим избытком 4,4′-дифенилметандиизоцианата. Олигобутадиеновый гидроксилсодержащий каучук отличается высокой степенью функциональности, практически равной двум, узким молекулярно-массовым распределением и совершенным распределением по типу функциональности. Доля бифункциональных макромолекул достигает 92%, при содержании бесфункциональных молекул не более 2%. Гидроксилсодержащий олигобутадиеновый каучук является продуктом анионной полимеризации, имеет линейную структуру, среднечисленная молекулярная масса 2800-3200, содержание концевых гидроксильных групп 0,9-1,3%. Микроструктура каучука: 1,4-цис 10-18%, 1,4-транс 18-28%, 1,2-звеньев 58-70%. Химическая структура где R-H, CH3. Изоцианатный форполимер, полученный взаимодействием указанного олигобутадиендиола с избытком 4,4′-дифенилметандиизоцианата, содержит 8,0-9,7% изоцианатных групп. Полученный форполимер также отличается совершенным распределением макромолекул по типу функциональности. Использование 4,4′-дифенилметандиизоционата при соотношении функциональных групп NCO_OH=4:1 при получении форполимера обеспечивает повышение функциональности за счет взаимодействия уретановых и изоцианатных групп, создавая дополнительные центры сшивания с поперечными связями регулярной структуры. Структура форполимера имеет следующий вид:
где R1 – олигобутадиеновый блок; R2 – фрагмент 4,4′-дифенилметандиизоцианата. Такая структура форполимера, функциональность и распределение функциональных групп при использовании для отверждения ароматических диаминов диамет X или этакюра приводит к образованию микрогетерогенной сетки с чередующимися гибкими олигобутадиеновыми блоками и жесткими мочевино-уретановыми блоками. Присутствие в структуре отвержденного продукта микрофаз гибких и жестких блоков определяет особенности его свойств: высокую прочность, твердость в сочетании с эластичностью. Уретано-мочевинные блоки создают непрерывную физическую сетку за счет чрезвычайно сильных межмолекулярных взаимодействий. При этом эластические свойства сохраняются благодаря микроструктуре олигомерного блока с высокой долей (58-70%) 1,2-звеньев. Микроструктура используемого форполимера обеспечивает сохранение аморфного высокоэластического состояния каучука в гибких микроблоках, несмотря на высокую плотность сшивания и регулярность химических вулканизационных связей. Это обеспечивает возможность развития высокоэластической деформации и ориентации цепей в эластических микроблоках. Благодаря этому при отверждении реализуется близкая к идеальной, более плотная и равномерная пространственная сетка сшитого эластомера с незначительной дефектностью и высоким содержанием эластически активных цепей. Прочность повышается за счет более равномерного распределения напряжений при деформировании, а также возможности их перераспределения. Такая сетка физических связей достаточно подвижна, при высоких напряжениях и при локальных перенапряжениях физические связи способны распадаться и образовываться вновь, способствуя тем самым выравниванию напряжений. Полученный технический результат повышения прочности полимерной композиции, включающей изоцианатный форполимер указанной структуры, отверждаемый 3,3′-дихлор-4,4′-диаминодифенилметаном не является очевидным, так как анализ известных решений не дает оснований предполагать, что сочетание указанных компонентов должно приводить к упрочнению предлагаемой композиции. В качестве изоцианатного форполимера используют форполимер с содержанием 8,0-9,7% изоцианатных групп. В качестве отвердителя используют 3,3′-дихлор-4,4′-диаминодифенилметан (диамет X, ТУ-6-14-980-84, МОСА, Куралон) или смесь 3,5-диметилтио-2,4-толуилендиамина и 3,5-диметилтио-2,6-толуилендиамина в соотношении 80:20 (этакюр 300). Форполимер получают по следующей методике: навеску 200 г олигобутадиенового каучука Красол LBH 3000 с содержанием 1,1% гидроксильных групп помещают в колбу, нагревают до 80°С при перемешивании, выдерживают при этой температуре под вакуумом при остаточном давлении не выше 10 мм рт.ст. 60 минут, вводят 64,8 г 4,4′-дифенилметандиизоцианата и выдерживают при 80°С при перемешивании в течение 2 часов. Полученный форполимер сливают, охлаждают. Расчет необходимого количества 4,4′-дифенилметандиизоцианата ведут по формуле, в г на 100 г каучука: М=(42*А*100*4)/(17*33,6), где М – навеска диизоцианата; А – содержание гидроксильных групп в каучуке. Для приготовления композиции нагретый до температуры 50-60°С форполимер смешивают с расплавом 3,3′-дихлор-4,4′-диаминодифенилметана в течение 1-2 минут. Соотношение NCO-групп и NH2-групп компонентов варьируется от 0,5 до 1,2. Приготовленную композицию заливают на открытые формы и выдерживают при температуре 20-25°С в течение трех суток. При отверждении форполимера с этакюром температура форполимера 20-25°С. В состав композиции для снижения вязкости могут быть введены пластификаторы и растворители. Композиция по прототипу готовилась путем последовательного введения компонентов в форполимер и перемешивания. Осуществимость предлагаемого решения и оптимальность заявленных пределов соотношений компонентов композиции подтверждаются нижеприведенными экспериментальными данными. Результаты экспериментов, состав композиций и их свойства, а также свойства композиций по прототипу приведены в таблице.
Испытания материалов покрытий проводят по ГОСТ 263-93, ГОСТ 270-75. Из данных таблицы видно, что применение в качестве основы композиции заявленного форполимера в комплексе с отвердителем обеспечивает значительное повышение прочности покрытий, что способствует повышению долговечности. Уменьшение количества отвердителя до менее 11 мас.ч. или увеличение до более 31 мас.ч. приводит к уменьшению прочности из-за значительного отклонения от эквимолекулярного соотношения реагирующих функциональных групп. Заявляемая полимерная композиция, как доказано примерами, позволяет получать эластомеры и покрытия с улучшенным комплексом прочностных свойств, повышается прочность, твердость, относительное удлинение и адгезионные свойства покрытий.
Формула изобретения
Полимерная композиция для эластомерных гидроизоляционных кровельных покрытий, покрытий полов и спортивных площадок, включающая изоцианатный форполимер и отвердитель, отличающаяся тем, что в качестве изоцианатсодержащего форполимера используют форполимер, полученный взаимодействием четырех молей 4,4′-дифенилметандиизоцианата и одного моля олигобутадиендиола молекулярной массой 2800-3200, содержанием гидроксильных групп 0,9-1,3%, содержанием изоцианатных групп в форполимере 8,0-9,7%, а в качестве отвердителя – 3,3′-дихлор-4,4′-диаминодифенилметан или смесь 2,4 и 2,6 изомеров 3,5-диметилтиотолуилендиамина в соотношении 80:20 при следующем соотношении компонентов, мас.ч.:
|
||||||||||||||||||||||||||||||||||||||||||||||||||||||||||||||||||||||||||||||||||||||||||||||||||||||||||||||||||||||||||||||||||||||||||||||||||||||||||||||||||||||||||||||||||||||||||||||||||||||||||||||||

1528781, кл. C09D 3/72, опубл. 15.12.89, Бюл. 

