|
|
(21), (22) Заявка: 2007126848/04, 15.12.2005
(24) Дата начала отсчета срока действия патента:
15.12.2005
(30) Конвенционный приоритет:
15.12.2004 EP 04078404.3 18.01.2005 US 60/644,038
(43) Дата публикации заявки: 27.01.2009
(46) Опубликовано: 20.08.2010
(56) Список документов, цитированных в отчете о поиске:
ЕР 0276667 А, 03.08.1988. US 2002/123600 A1, 05.09.2002. US 5820925 A, 13.10.1998. ЕР 0794204 A, 10.09.1997. ЕР 0454219 A, 30.10.1991. US 4788083 A, 29.11.1988. RU 2238957 C2, 27.10.2004.
(85) Дата перевода заявки PCT на национальную фазу:
16.07.2007
(86) Заявка PCT:
EP 2005/056808 20051215
(87) Публикация PCT:
WO 2006/064035 20060622
Адрес для переписки:
129090, Москва, ул.Б.Спасская, 25, стр.3, ООО “Юридическая фирма Городисский и Партнеры”, пат.пов. Е.Е.Назиной
|
(72) Автор(ы):
СХЕРЕР Тако (NL), ВАН ВЕЙК Мишель Луис (NL), ГЕРИНК Петрус Йоханнес Арнольдус (NL), ДЕ ВЕЙС-РОТ Николетт (NL)
(73) Патентообладатель(и):
АКЦО НОБЕЛЬ КОАТИНГС ИНТЕРНЭШНЛ Б.В. (NL)
|
(54) ВОДОРАСТВОРИМАЯ КОМПОЗИЦИЯ ДЛЯ ПОКРЫТИЯ, СОДЕРЖАЩАЯ СОЕДИНЕНИЯ С ТИОЛОВОЙ ФУНКЦИОНАЛЬНОЙ ГРУППОЙ
(57) Реферат:
Изобретение относится к водорастворимой композиции для покрытия, содержащей а) полиол, b) полиизоцианатный сшиватель и с) соединение с тиоловой функциональной группой, в которой молярное отношение изоцианатных групп к тиоловым группам находится в диапазоне между 1:0,0001 и 1:0,4. Изобретение также относится к применению композиции для покрытия в качестве прозрачного или пигментированного наружного покрытия, основного покрытия, наполнителя, грунта или связующего вещества, в окраске и повторной окраске автомобилей и крупных транспортных средств и к набору для приготовления композиции для покрытия. Технический результат – получение композиции, обеспечивающей баланс высокой скорости затвердевания, длительной жизнеспособности и хорошего внешнего вида пленки для покрытия, приготовленной из нее. 6 н. и 11 з.п. ф-лы, 3 ил., 7 табл.
Изобретение относится к водорастворимой композиции для покрытия, содержащей полиол и полиизоцианатный кросс-линкер, к применению композиции для покрытия и к набору для приготовления композиции для покрытия.
Композиция для покрытия описанного выше типа известна из международной публикации патента WO 01/81441. Данная публикация описывает композицию, содержащую в качестве полиола разветвленный сложный полиэфирполиол, который характеризуется конкретными карбоновыми кислотами и спиртами в качестве исходного материала. Композиция WO 01/81441 может быть использована в качестве прозрачного покрытия или в качестве пигментированного покрытия.
Несмотря на то что было обнаружено, что с композицией WO 01/81441 могут быть получены допустимая скорость затвердевания и жизнеспособность, существует потребность в обеспечении таких композиций для покрытия, имеющих улучшенный баланс скорости затвердевания, жизнеспособности и внешнего вида пленки у покрытий.
Скорость затвердевания таких композиций может быть увеличена до желательного уровня путем добавления катализаторов затвердевания, которые ускоряют реакцию аддитивной полимеризации изоцианата и гидроксила. Подходящие катализаторы затвердевания известны из международной публикации патента WO 00/39181 и включают металлорганические катализаторы и третичные амины. Хорошо известными примерами катализаторов затвердевания являются оловоорганические соединения, такие как дилаурат диметилолова, дилаурат дибутилолова, дилаурат диоктилолова и октоат олова.
Однако увеличение скорости затвердевания в результате применения катализаторов затвердевания сопровождается соответствующим нежелательным снижением жизнеспособности многокомпонентных композиций. Кроме того, катализаторы затвердевания катализируют и реакцию изоцианатных групп с гидроксильными группами пленкообразующего связывающего вещества и реакцию изоцианатных групп с водой. В последней реакции образуется углекислый газ, который приводит к дефектам в пленке покрытия и который ухудшает внешний вид пленки.
Международная публикация патента WO 00/49100 раскрывает водорастворимую пленкообразующую композицию, содержащую акрилатный сополимер с гидроксильной функциональной группой и сшивающий материал. Сшивающий материал выбран из аминопластов, триазинов и полиизоцианатов. Предпочтительный сшивающий материал представляет собой смесь частично алкилированных конденсатов меламинформальдегида и карбамоилтриазина. В случае изоцианатного сшивающего агента предпочтительным является блокированный изоцианат. Кроме того, композиция в соответствии с данной публикацией может содержать амфифильный адъювант. Указанный адъювант содержит одну или более гидрофильных концевых групп на полярном концевом участке. Гидрофильные группы выбраны из гидроксильных групп, карбаматных групп, амидных групп, мочевинных групп и меркаптановых групп, предпочтительными являются гидроксильные группы. Применение блокированного изоцианата, как сообщают в данной публикации, может привести к большой жизнеспособности и может свести к минимуму дефекты пленки, вызванные образованием углекислого газа, как описано выше. Однако в WO 00/49100 не сообщают о балансе скорости затвердевания, жизнеспособности и хорошего внешнего вида слоя покрытия. Международная публикация патента WO 01/92362 относится к фотоактивируемой композиции для покрытия, содержащей фотолатентное основание, по меньшей мере, один полиизоцианат и, по меньшей мере, одно соединение, содержащее изоцианатные активные группы, где изоцианатные активные группы содержат, по меньшей мере, одну тиоловую группу. Фотоактивируемая композиция для покрытия может быть водорастворимой.
Задачей настоящего изобретения является создание водорастворимой композиции для покрытия, содержащей полиол и полиизоцианатный кросс-линкер, которая обеспечивает хороший баланс скорости затвердевания, также в отсутствие ультрафиолетового излучения, при 5-80°C, жизнеспособности и внешнего вида пленки покрытия.
Задача изобретения решается с помощью водной композиции для покрытия в соответствии со вступительным абзацем, где композиция для покрытия содержит соединение с тиоловой функциональной группой и где молярное отношение изоцианатных групп к тиоловым группам лежит в диапазоне между 1:0,0001 и 1:0,4.
Следует отметить, что в патенте США US 4788083 описаны катализаторы блокированного тиолом олова или висмута для реакций присоединения гидроксила и изоцианата в композициях, растворимых в растворителе. Однако возможность применения раскрытых катализаторов в водорастворимых покрытиях не указана и не предложена в данном издании.
Композиция для покрытия в соответствии с изобретением демонстрирует баланс высокой скорости затвердевания, длительной жизнеспособности и хорошего внешнего вида пленки покрытия, приготовленной из нее, которое превосходит таковое из композиций предшествующего уровня техники, известных из WO 01/81441.
Краткое разъяснение графического материала:
Фигура 1 – графическое представление результатов эксперимента по скорости затвердевания с композициями для покрытия A и 1-4.
Фигура 2 – графическое представление результатов эксперимента по жизнеспособности с композициями для покрытия A и 1-4.
Фигура 3 – графическое представление эксперимента по образованию углекислого газа с композициями для покрытия A и 1-4.
Подходящие полиолы для использования в водорастворимой композиции для покрытия включают сложные полиэфирполиолы, полиакрилатполиолы, полиуретанполиолы и их смеси и гибриды.
Сложные полиэфирполиолы
Полиэфирполиолы могут быть приготовлены в соответствии с общеизвестными способами путем полиэтерификации поликарбоновых кислот, их ангидридов или диалкиловых сложных эфиров с полиспиртами. Необязательно в качестве сореагентов могут быть использованы монофункциональные кислоты, моноспирты и/или кислоты с гидроксильной функциональной группой и/или эпоксисоединения. Реакция получения сложных полиэфирполиолов может быть проведена в одну или более стадий.
Сложные полиэфирполиолы имеют среднечисловую молекулярную массу в диапазоне 300-15000, или 500-8000, или 1000-4000. Для достижения функциональности по гидроксильным группам в получающихся полиэфирполиолах может быть использован стехиометрический избыток гидроксильного компонента. Подходящие полиэфирполиолы имеют гидроксильное число в диапазоне 15-500 мг KOH/г, или 25-300 мг KOH/г, или 50-250 мг KOH/г, или 100-220 мг KOH/г. По существу, полиэфирполиолы имеют функциональность по гидроксильным группам >2, например функциональность по гидроксильным группам >2,3, или функциональность по гидроксильным группам >2,5. Для достижения функциональности по гидроксильным группам >2 подходящие полиэфирполиолы имеют разветвленную структуру.
Для получения разветвленного сложного полиэфирполиола реакцию конденсации выполняют в присутствии агента разветвления, который может представлять собой трех- или более функциональную кислоту и/или спирт. Подходящая трех- или более функциональная кислота может быть выбрана из группы тримеллитовой кислоты и пиромеллитовой кислоты или их ангидрида. Подходящий трех- или более функциональный полиспирт может быть выбран из группы 1,1,1-триметилолпропана, 1,1,1-триметилолэтана, 1,2,3-триметилолпропана, пентаэритрита и их смесей. В конкретном варианте выполнения используют трех- или более функциональный полиспирт, такой как 1,1,1-триметилолпропан.
Дополнительными примерами поликарбоновых кислот или их реакционно-способных производных, которые могут быть использованы для приготовления подходящих полиэфирполиолов, являются фталевый ангидрид, изофталевая кислота, терефталевая кислота, гексагидрофталевый ангидрид, диметиловый эфир 1,4-циклогександикарбоновой кислоты, диметилтерефталат, тетрагидрофталевый ангидрид, малеиновый ангидрид, янтарный ангидрид, адипиновая кислота, димерная кислота, азелаиновая кислота, себациновая кислота, литиевая, натриевая, калиевая или аминная соли 5-сульфоизофталевой кислоты и диметилсульфоизофталевой кислоты и их смеси.
Примерами монокарбоновых кислот, которые могут быть использованы для приготовления подходящих полиэфирполиолов, являются бензойная кислота, трет-бутилбензойная кислота, сульфобензойная кислота, литиевые, натриевые, калиевые или аминные соли сульфобензойной кислоты и насыщенные кислоты, например линейные кислоты с 5-18 атомами углерода; изононановая кислота, 2-этилгексановая кислота, декановая кислота, додекановая кислота, триметилуксусная кислота, ненасыщенные кислоты, такие как жирные кислоты сои, жирные кислоты дегидратированного касторового масла, жирные кислоты таллового масла и т.д. и смеси данных монокарбоновых кислот.
По существу, подходящими являются карбоновые кислоты с более чем 6 атомами углерода. Примерами кислот с гидроксильными функциональными группами, которые могут быть использованы для приготовления подходящих полиэфирполиолов, являются диметилолпропионовая кислота, гидроксипивалиновая кислота, жирные кислоты касторового масла, 12-гидроксистеариновая кислота, 5-гидроксипентаноиновая кислота или ее лактон.
Дополнительными примерами полиспиртов, которые могут быть использованы для приготовления подходящих полиэфирполиолов, являются этиленгликоль, пропиленгликоль, неопентилгликоль, 2-бутил-2-этил-1,3-пропандиол, 1,6-гександиол, циклогександиметанол, глицерин, ди-триметилолпропан, дипентаэритрит и их смеси. Примеры полиспиртов, которые могут быть использованы для приготовления подходящих полиэфирполиолов, являются н-гексанол, циклогексанол, трет-бутилциклогексанол, бензиловый спирт, стеариловый спирт, додеканол и их смеси. По существу, подходящими являются спирты с, по меньшей мере, 4 атомами углерода.
Примерами соединений с эпоксидной функциональной группой являются глицидиловый эфир -разветвленных монокарбоновых кислот, эпоксидированные растительные масла, полиглицидиловые эфиры полиспиртов или полифенолов и полиглицидиловые эфиры многоосновных карбоновых кислот.
Подходящие сложные полиэфирполиолы могут содержать ионные и/или неионные стабилизирующие группы. Альтернативно или дополнительно полиэфирполиолы могут быть стабилизированы в водной среде внешними эмульгаторами. Такие эмульгаторы могут быть мономерными, олигомерными или полимерными и известны из уровня техники. Примерами ионных стабилизирующих групп являются карбоксилатные группы и сульфонатные группы, неионные стабилизирующие группы могут представлять собой полиалкиленоксидные группы. Подходящие полиэфирполиолы имеют кислотное число карбоновых кислот <40 мг KOH/г (<0,713 мг-экв. групп COOH на г полиола), или <20 мг KOH/г (<0,357 мг-экв. групп COOH на г полиола). В частности, полиэфирполиолы имеют кислотное число карбоновых кислот 5-15 мг KOH/г (0,089-0,268 мг-экв. групп COOH на г полиола). Необязательно, полиэфирполиолы могут иметь сульфонатное число <4 мг KOH/г (<0,070 мг-экв. сульфонатных групп на г полиола). Например, полиэфирполиолы могут иметь сульфонатное число 0,5-4 мг KOH/г (0,009-0,070 мг-экв. сульфонатных групп на г полиола) или 1-3 мг KOH/г (0,0175-0,0525 мг-экв. сульфонатных групп на г полиола). Альтернативно, полиэфирполиолы могут иметь кислотное число карбоновых кислот меньше 10 мг KOH/г (меньше чем 0,178 мг-экв. групп COOH на г полиола), например между 5 и 9 мг KOH/г (0,089-0,161 мг-экв. групп COOH на г полиола) и сульфонатное число, по меньшей мере, 0,5 мг (по меньшей мере, 0,009 мг-экв. сульфонатных групп), например 1-3 мг KOH/г (0,0175-0,0525 мг-экв. сульфонатных групп на г полиола).
Введение групп карбоновой кислоты или карбоксилатных групп в полиэфирполиолы может быть достигнуто путем неполной этерификации карбоксильных групп мономеров поликарбоновых и/или гидрокси-функциональных кислот.
Сульфокислотные группы и/или сульфонатные группы могут быть введены в полиэфирполиолы путем соконденсации карбоновых кислот и/или спиртов, содержащих сульфокислотные группы и/или сульфонат-функциональные группы, например литиевые, натриевые, калиевые и аминные соли 5-сульфоизофталевой кислоты, сульфобензойной кислоты и 2-гидроксиэтансульфокислоты.
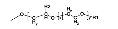
Неионные стабилизирующие группы могут содержать C1-C4 алкоксиполиалкиленоксидные группы. Подходящими алкиленоксидными группами являются этиленоксидные группы, но также полезны пропиленоксидные группы или смеси этиленоксидных и пропиленоксидных групп. Например, алкиленоксидные группы могут представлять собой C1-C4 алкоксиэфиры полиалкиленгликолей со структурой

где R1 представляет собой углеводородную группу с 1-4, или, 1 или 2 атомами углерода; R2 представляет собой метильную группу; x находится между 0 и 40, или между 0 и 20, или между 0 и 10; y находится между 0 и 50, и x+y находится между 2 и 50 или между 2 и 25. Примерами являются C1-C4 алкоксиполиС2(C3)алкиленоксидгликоль и/или C1-C4 алкоксиполиС2(C3) алкиленоксид-1,3-диол, где полиС2(C3)алкиленоксид обозначает полиэтиленоксид, необязательно содержащий пропиленоксидные элементы. Подходящий полиэфирполиол включает от 2,5 до 15 вес.% C1-C4 алкоксиполиалкиленоксидных групп со среднечисловой молекулярной массой от 500 до 3000, или между 500 и 1500, или между 500 и 1250. Подходящий полиэфирполиол может содержать 5-10 вес.% C1-C4 алкоксиполиалкиленоксидных групп. Хорошие результаты были получены с полиэфирполиолами, в которых полиалкиленоксидные группы представляют собой полиэтиленоксидные группы. Подходящие соединения, включающие C1-C4 алкоксиполиалкиленоксидные группы, содержат, по меньшей мере, одну гидроксильную группу. Примерами являются метоксиполиС2(C3)алкиленоксидгликоли и метоксиполиС2(C3)алкиленоксид-1,3-диолы, такие как Tegomer® D-3123 (PO/EO=15/85; Mn=1,180), Tegomer® D-3409 (PO/EO=0/100; Mn=2,240) и Tegomer® D-3403 (PO/EO=0/100; Mn=1,180), доступные от Goldschmidt AG, Германия, и MPEG 750 и MPEG 1000.
Введение соединений, включающих C1-C4 алкоксиполиалкиленоксидные группы, в полиэфирполиолы может быть проведено путем соконденсации в реакции полиэтерификации.
Если требуется, полиэфирполиолы могут содержать долю связывающих карбониламино групп -C(=O)-NH- (то есть связывающих амидных групп) за счет включения подходящего реагента с функциональной амино группой в качестве части “гидроксильного компонента”. В действительности такие амидные связи полезны, поскольку они являются более устойчивыми к гидролизу и более гидрофильными.
Сложные полиэфирполиолы могут быть модифицированы, например, полиизоцианатами для формирования уретанов. Следует понимать, что модификацию проводят во избежание образования геля и для сохранения гидроксильной функциональности. Реакцию модификации необязательно выполняют в присутствии соединений, включающих гидрокси- и/или изоцианат-реакционно-способные аминные группы, например неопентилгликоль, 1,6-гександиол, 2-бутил-2-этил-1,3-пропандиол, 1,3-триметилолпропан, этиленгликоль, 2-этилгексанол, бензиловый спирт, этаноламин, N-метилэтаноламин, линейные или разветвленные полиэфирполиолы, простые полиэфирполиолы, такие как полиэтиленгликоли, полипропиленгликоли, этоксилированный триметилолпропан, пропоксилированный пентаэритрит, моноалкиловые простые эфиры полиэтилена или полипропиленгликоли, полиакриловые полиолы, эпоксидные полиолы и полиуретановые полиолы.
Сложные полиэфирполиолы также могут быть модифицированы за счет сополимеризации олефинненасыщенных мономеров, таких как стирол, алкилакрилаты, олефин-ненасыщенные мономеры, содержащие карбоновую кислоту, карбоксилат, сульфокислоту, сульфонат-функциональные группы и/или алкилметакрилаты, гидроксиалкилакрилаты, гидроксиалкилметакрилаты и глицидилметакрилат, для формирования полиэфир-акриловых гибридов.
В конце реакции поликонденсации, в которой формируется полиэфирполиол, кислотные группы полиэфирполиола, по меньшей мере, частично нейтрализуют нейтрализующим агентом, после чего добавляют воду, например, к горячему расплаву при температуре, начиная с 100 до 110°C, после чего температуру постепенно понижают до температуры окружающей среды.
Примеры нейтрализующих агентов включают гидроксиды щелочных металлов, такие как гидроксид натрия, гидрокид калия или гидроксид лития, аммиака и аминов. Подходящие амины включают первичные, вторичные и третичные амины. Подходящие первичные амины, например изопропиламин, бутиламин, этаноламин, 3-амино-1-пропанол, 1-амино-2-пропанол, 2-амино-2-метил-1-пропанол или 2-амино-2-метил-1,3-пропандиол. Вторичными аминами, которые могут быть использованы, например, являются морфолин, диэтиламин, дибутиламин, N-метилэтаноламин, диэтаноламин или диизопропаноламин. Примеры подходящих третичных аминов включают триметиламин, триэтиламин, триизопропиламин, триизопропанол амин, N,N-диметилэтаноламин, диметилизопропиламин, N,N-диэтилэтаноламин, 1-диметиламино-2-пропанол, 3-диметиламино-1-пропанол, 2-диметиламино-2-метил-1-пропанол, N-метилдиэтаноламин, N-этилдиэтаноламин, N-бутилдиэтаноламин, N-этилморфолин. Особенно подходящими являются третичные амины, например N,N-диметилэтаноламин.
Полученные таким образом водные дисперсии полиэфирполиола могут иметь содержание твердой фазы более 30 вес.%, например 35-65 вес.% или 40-60 вес.%, при вязкости до 5 Па·с или 0,1-3 Па·с. Средний размер частиц полученных таким образом дисперсий находится в диапазоне 30-300 нм или в диапазоне 50-200 нм. Полученная таким образом дисперсия имеет pH между 6 и 9 или между 6,5 и 8.
Полиакрилатполиолы
Полиакрилатполиолы могут быть приготовлены путем полимеризации подходящих этилен-ненасыщенных мономеров в органическом растворе или путем полимеризации водной эмульсии. Полимеризация может быть выполнена в одну или более стадий. Примеры подходящих процессов для приготовления полиакрилатполиолов описаны в WO 00/39181.
Подходящие полиакрилатполиолы имеют гидроксильное число между 25 и 500 мг KOH/грамм полиола, или между 50 и 300 мг KOH/грамм полиола, или между 50 и 200 мг KOH/грамм полиола. Гидроксильное число может быть между 75 и 200 мг KOH/грамм полиола. Полиолы имеют две или больше гидрокси группы на молекулу, например три или больше.
Примерами подходящих этиленненасыщенных гидроксил-функциональных мономеров, которые могут быть использованы для приготовления полиакрилатполиолов для композиции покрытия в соответствии с настоящим изобретением, являются акрилаты и метакрилаты, такие как 2-гидроксибутил(мет)акрилат, 3-гидроксибутил(мет)акрилат или 2-гидроксиэтил(мет)акрилат, 2-гидроксипропил(мет)акрилат, 3-гидроксипропил(мет)акрилат и 4-гидроксибутил(мет)акрилат. Дополнительная группа подходящих мономеров с гидроксильной функциональной группой образована продуктами реакции гидроксилированных (мет)акрилатов, содержащих лактон, например продукт реакции 2-оксиэтилакрилата с -капролактоном. (Мет)акрилаты разветвленных 1,3-диолов представляют дополнительный класс подходящих этиленненасыщенных мономеров с гидроксильной функциональной группой, например (мет)акрилаты 2,2,4-триметил-1,3-пентандиола, 2,2-диметилпропан-1,3-диол, 2-этилгексан-1,3-диол, 2-метилпропан-1,3-диол. Дополнительными примерами подходящих ненасыщенных мономеров с гидроксильной функциональной группой являются гидроксиалкиловые эфиры дополнительных этиленненасыщенных кислот, таких как малеиновая кислота, фумаровая кислота, -карбоксиэтилакрилат, этакриловая кислота, итаконовая кислота, кротоновая кислота, цитраконовая кислота и т.п. Конкретные примеры таких мономеров с гидроксильной функциональной группой включают 2-гидроксиэтилбутилмалеат, бис-(2-гидроксиэтил)малеат, бис-(2-гидроксиэтил)фумарат, этоксилированный -карбоксиэтилакрилат и пропоксилированный -карбоксиэтилакрилат.
Полиакрилатполиолы могут содержать сульфокислотные группы и/или группы карбоновых кислот. Подходящее полное содержание кислотных групп не превышает 0,9 ммоль/грамм полиакрилатполиола, например между 0,09 и 0,6 ммоль/грамм полиакрилатполиола, или между 0,18 и 0,8 ммоль/грамм, или между 0,18 и 0,36 ммоль/грамм. Кислотные группы могут быть полностью или частично нейтрализованы.
Полиакрилатполиолы могут содержать сульфокислотные группы и группы карбоновых кислот. Если присутствуют и группы карбоновых кислот, и сульфокислотные группы, подходящее молярное соотношение группы карбоновых кислот/сульфокислотные группы имеет значение между 0,1 и 50, или между 0,5 и 10, или между 1 и 5, или между 1,5 и 3.
Карбоксильные или карбоксилатные группы удобно вводить путем сополимеризации этиленненасыщенных мономеров, содержащих карбоксильные группы. Примерами таких мономеров с функциональной группой карбоновой кислоты или карбоксилата являются (мет)акриловая кислота, этакриловая кислота, -карбоксиэтил акрилат, кротоновая кислота, малеиновая кислота, фумаровая кислота, итаконовая кислота, цитраконовая кислота, моноалкиловые эфиры ненасыщенных двухосновных кислот, таких как малеиновая кислота, итаконовая кислота и цитраконовая кислота.
Альтернативный способ для введения карбоксильных групп в акриловые полимеры включает сополимеризацию продуктов реакции ненасыщенных мономеров с гидроксильной функциональной группой, например гидроксиалкил(мет)акрилатов, как перечислено выше, с многоосновной кислотой со вступлением в реакцию только части карбоксильных групп. Примеры таких мономеров включают сложные полиэфиры, сформированные в результате реакции 1 моля гидрокси-функционального мономера с 1 молем двухосновной кислоты или ее ангидрида, содержащей более 2 атомов углерода. Примерами реактивов многоосновных кислот являются фталевая кислота, малеиновая кислота, янтарная кислота, гексагидрофталевая кислота, тетрагидрофталевая кислота, метилгексагидрофталевая кислота, тримеллитовая кислота, додеценилянтарная кислота и ангидриды данных кислот. Реакция между ненасыщенным мономером с гидроксильной функциональной группой и многоосновной кислотой может быть проведена заранее для формирования описанного мономера с карбоксильной функциональной группой. Альтернативно, реакция может быть выполнена удобным образом во время или даже после формирования акрилового полимера. Также в последнем случае получают полимеры, содержащие ковалентно связанные карбоксильные группы.
Сульфокислотные или сульфонатные группы могут быть ковалентно введены в полиакрилатполиол путем сополимеризации этиленненасыщенных соединений, содержащих сульфонатные и/или сульфокислотные группы. Примерами подходящих мономеров являются мономеры, представленные формулой

где R1 представляет собой водород, C1-C20 одновалентный углеводородный радикал или галоген; R2 представляет собой C1-C20 двухвалентный насыщенный углеводород, необязательно разветвленный или замещенный, и M представляет собой водород, щелочной металл или аммоний. Подходящими мономерами, содержащими сульфоновую группу, являются 2-аклиламино-2-метилпропансульфоновая кислота, ее аммонийные соли, например соли, полученные путем нейтрализации третичными аминами.
Другие примеры подходящих ненасыщенных мономеров с сульфокислотной или сульфонатной функциональной группой включают стиролсульфоновую кислоту, этандисульфоновую кислоту, 2-сульфоэтилметакрилат и их соли. Альтернативно, сульфонатные группы могут быть введены в акриловые полиолы путем реакции солей таурина с щелочными металлами или их аддуктов их с моноэпокси соединениями, например глицидиловым эфиром -разветвленных одноосновных карбоновых кислот, и мономерами с эпоксидной функциональной группой, например глицидилметакрилатом, до, во время или после формирования акрилового полиола. Аналогично могут быть введены соли 3-циклогексиламино-1-пропансульфоновой кислоты с щелочными металлами. Дополнительными примерами способных к сополимеризации ненасыщенных соединений, подходящих для ковалентного введения сульфокислотных или сульфонатных групп в полиакрилатполиолы, являются продукты реакции мономеров, полимеризующихся за счет свободных радикалов, содержащих изоцианатную группу, и сульфоновые кислоты или сульфонаты, содержащие, по меньшей мере, одну изоцианат-реакционно-способную группу. Примерами таких полимеризующихся за счет свободных радикалов мономеров являются , -диметил-м-изопропенилбензилизоцианат и изоцианатоэтилметакрилат. Примерами подходящих сульфокислот или сульфонатов, содержащих, по меньшей мере, одну изоцианат-реактивную группу, являются 2-гидроксиэтилсульфоновая кислота и ее соли, тауринаты щелочных металлов, N-алкилтауринаты щелочных металлов и продукты реакции моноэпокси соединений с тауринатами щелочных металлов, 3-циклогексиламино-1-пропансульфоновая кислота и ее соли с щелочными металлами. В одном варианте выполнения композиции для покрытия в соответствии с изобретением, более 50% сульфокислотных групп и групп карбоновой кислоты полиакрилатполиола нейтрализованы основанием, которое может быть летучим. Полезным нейтрализующим агентом является аммиак и/или амин, такой как третичный амин. Примеры подходящих третичных аминов включают триметиламин, триэтиламин, триизопропиламин, триизопропаноламин, N,N-диметилэтаноламин, диметилизопропиламин, N,N-диэтилэтаноламин, 1-диметиламино-2-пропанол, 3-диметиламино-1-пропанол, 2-диметиламино-2-метил-1-пропанол, N-метилдиэтаноламин, N-этилдиэтаноламин, N-бутилдиэтаноламин, N-этилморфолин. Подходящими первичными аминами, например, являются изопропиламин, бутиламин, этаноламин, 3-амино-1-пропанол, 1-амино-2-пропанол, 2-амино-2-метил-1-пропанол или 2-амино-2-метил-1,3-пропандиол. Вторичными аминами, которые могут быть использованы, например, являются морфолин, диэтиламин, дибутиламин, N-метилэтаноламин, диэтаноламин и диизопропаноламин. Альтернативно, в качестве нейтрализующих агентов могут быть использованы гидроксиды щелочных металлов, такие как гидроксид лития, гидроксид натрия и гидрокид калия. Нейтрализация может быть выполнена до, во время или после полимеризации.
В дополнение к мономерам с гидроксильной и кислотной функциональной группой для приготовления полиакрилатполиола может быть использован, по меньшей мере, один этилен-ненасыщенный мономер, который не содержит гидроксильные и кислотные функциональные группы. Подходящими примерами таких мономеров являются сложные эфиры акриловой или метакриловой кислоты, содержащие 1-18 атомов углерода или 1-12 атомов углерода в спиртовой части, такие как метил(мет)акрилат, этил(мет)акрилат, пропил(мет)акрилат, изопропил(мет)акрилат, н-бутил(мет)акрилат, изобутил(мет)акрилат, т-бутил(мет)акрилат, гексил(мет)акрилат, циклогексил(мет)акрилат, н-октил(мет)акрилат, н-децил(мет)акрилат, изодецил(мет)акрилат, лаурил(мет)акрилат, 2-этилгексил(мет)акрилат, 3,5,5-триметилциклогексил(мет)акрилат, т-бутилциклогексил(мет)акрилат, изоборнил(мет)акрилат, стеарил(мет)акрилат, (мет)акрилаты с простыми эфирными группами, такие как 2-метоксиэтил(мет)акрилат, 2-этоксиэтил(мет)акрилат и 3-метоксипропил(мет)акрилат; другие, такие как диметиламиноэтилметакрилат, глицидил(мет)акрилат, 2-ацетоацетоксиэтилметакрилат и 3-(триметоксисилил)-пропилметакрилат. Дополнительными подходящими мономерами являются сложные эфиры -карбоксиэтилакрилата и кротоновой кислоты, имеющие 1-18 атомов углерода в спиртовой части, и (цикло)алкиловые эфиры ненасыщенных дикарбоновых кислот с 1-12 атомами углерода в (цикло)алкильных группах, такие как диэтилмалеат и дибутилфумарат, ди(цикло)алкилитаконаты и ди(цикло)алкилцитраконаты. Другие этилен-ненасыщенные мономеры, подходящие для приготовления полиакрилатполиолов, включают винилароматические соединения, такие как стирол, -метилстирол, о-, м- или п-метилстирол и трет-бутилстирол; акриламид, метакриламид, акрилонитрил, N-алкоксиакриламиды, N-алкоксиметакриламиды; виниловые эфиры C1-C18 монокарбоновых кислот, такие как винилацетат, винилпропионат, винилизобутират, виниловые эфиры -разветвленных C5-C18 монокарбоновых кислот, или виниловые эфиры -разветвленных C9-C11 кислот. Другие подходящие виниловые мономеры включают винилхлорид, винилиденхлорид, винилпирролидон и винилсиланы, такие как винилтриметоксисилан и винилтриэтоксисилан.
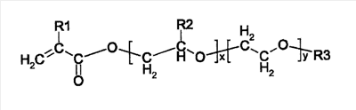
Полезные полиакрилатполиолы в композиции в соответствии с изобретением могут содержать гидрофильные алкиленоксидные группы. Этиленоксидные группы являются подходящими, но альтернативно также полезными являются пропиленоксидные группы или смеси этиленоксидных и пропиленоксидных группы. Например, акриловые полиолы могут содержать сополимеризированные элементы сложных эфиров ненасыщенных кислот и C1-C4 алкоксиэфиров полиалкиленгликолей, такие как (мет)-акрилаты со структурой:

где R1 представляет собой водород или метильную группу, R2 представляет собой алкильную группу с 1-4 атомами углерода; R3 представляет собой углеводородный радикал с 1-20, или 1-4, или 1 или 2 атомами углерода; x находится между 0 и 40, или между 0 и 20, или между 0 и 10; y находится между 0 и 50, и x+y находится между 2 и 50 или между 2 и 25. Примерами подходящих сложных эфиров (мет)акриловой кислоты и простых моноэфиров полиалкиленгликоля являются (мет)акрилаты метоксиэфиров полиэтиленгликолей или полипропиленгликолей, где спирт имеет молекулярную массу между 200 и 2000, или между 200 и 1500, или между 350 и 1000.
Полиакрилатполиолы в соответствии с изобретением могут также содержать незначительные количества, приблизительно, до 10% полимеризированных элементов полиненасыщенных мономеров, таких как аллилметакрилат, этиленгликольдиметакрилат, гександиолдиакрилат, триметилолпропантриакрилат и т.п.
Подходящие инициаторы для приготовления полиакрилатполиолов известны из уровня техники, такие как ди-трет-бутилпероксид, трет-бутилпероксибензоат, трет-бутилперокси-2-этилгексаноат, трет-бутилперокси-3,5,5-триметилгексаноат и т.п., и азо инициаторы, такие как 2,2′-азо-бис(2-метилбутиронитрил) и 2,2′-азо-бис(изобутиронитрил).
Молекулярную массу полимеров можно контролировать с помощью регуляторов цепи, таких как н-октилмеркаптан, н-додецилмеркаптан, трет-додецилмеркаптан, меркаптоэтанол, меркаптопропионовая кислота и тиогликоль. Подходящие полиакрилатполиолы имеют среднюю молекулярную массу (Mw) в диапазоне 2500-150000. Если требуются улучшенные свойства текучести наносимого покрытия, может быть предпочтительно применение полиакрилатполиола, имеющего Mw ниже 15000, или ниже 10000, или даже ниже 7000.
Полиуретанполиолы
Подходящие полиуретанполиолы могут быть приготовлены в соответствии с общеизвестными способами путем реакции алифатического, алициклического или ароматического ди- или триизоцианата, одного или более полиспиртов, содержащих 2-6 гидроксильных групп и имеющих среднечисловую молекулярную массу до 600, и/или простого или сложного полиэфирдиола, имеющего среднечисловую молекулярную массу между приблизительно 400 и приблизительно 3000. Для достижения гидроксильной функциональности в получающихся полиуретанполиолах может быть использован стехиометрический избыток гидроксильного компонента.
Группы карбоновых кислот могут быть введены в полиуретаны путем совместной реакции гидроксикарбоновых кислот. Примерами подходящих гидроксикарбоновых кислот являются диметилолпропионовая кислота, гидрокситриметилуксусная кислота и гидроксистеариновая кислота.
Сульфонатные группы или сульфокислотные группы могут быть введены в полиуретановый полиол, например, путем совместной реакции с изоцианатами и с соединениями с гидроксильной или аминной функциональной группой, содержащими, по меньшей мере, одну сульфокислотную группу или сульфонатную группу, например 2-гидроксиэтансульфоновой кислотой, натриевой солью 2-аминоэтансульфовой кислоты, 3-циклогексиламино-1-пропансульфоновой кислоты, продуктом реакции 5-сульфоизофталата натрия с эквивалентным избытком диолов, триолов или эпокси соединений, в этом случае продукт реакции может содержать прореагировавшие элементы поликарбоновых кислот, таких как адипиновая кислота, фталевая кислота, изофталевая кислота, гексагидрофталевый ангидрид, тримеллитовый ангидрид и т.д.
В одном варианте выполнения композиции для покрытия в соответствии с изобретением более 50% сульфокислотных групп и групп карбоновой кислоты полиуретанполиола нейтрализованы основанием. Примеры подходящих оснований были указаны выше в секциях, описывающих полиэфирполиолы и полиакрилатполиолы.
Полиуретанполиолы могут также содержать неионные стабилизирующие группы по аналогии с тем, что было описано для приведенных выше полиэфирполиолов. Альтернативно или дополнительно полиуретанполиолы могут быть стабилизированы в водной среде привнесенными эмульгаторами, как указано выше для полиэфирполиолов.
Полиол, например акриловый полиол, может быть подвергнут привитой сополимеризации с полиуретанполиолами. Место привитой сополимеризации в полиуретановом компоненте может быть обеспечено совместно прореагировавшим ненасыщенным мономером, например гидроксильным соединением с акрилоильной функциональной группой, таким как оксиэтилакрилат, гидроксибутилакрилат, гидроксильным соединением с аллильной функциональной группой, таким как диаллиловый эфир триметилолпропана.
Полиуретанполиолы могут содержать органические растворители для снижения вязкости. Подходящими растворителями являются ароматические углеводороды, такие как толуол и ксилол; спирты, такие как этанол, изопропанол, н-бутанол, 2-бутанол, гексанол, бензиловый спирт и кетоны, такие как метилэтилкетон, метилизобутилкетон, метиланнилкетон и этиламилкетон; сложные эфиры, такие как бутилацетат, бутилпропионат, этоксиэтилпропионат, этилгликольацетат, бутилгликольацетат и метоксипропилацетат; простые эфиры, такие как 2-метокси-пропанол, 2-метоксибутанол, монобутиловый эфир этиленгликоля, монопропиловый эфир пропиленгликоля, монобутиловый эфир пропиленгликоля, диоксолан или их смеси. Другими подходящими растворителями являются N-метил-2-пирролидон, диметилкарбонат, пропиленкарбонат, бутиролактон, капролактон и т.д.
Смешивание необязательно акрилмодифицированного полиуретанполиола с водной средой может быть проделано удобным образом путем добавления воды к раствору полиола или, альтернативно, путем добавления раствора полиуретанполиола в воду при перемешивании воды и раствора полиола. Содержание органического растворителя в получающейся эмульсии или дисперсии может быть уменьшено путем перегонки, необязательно при пониженном давлении.
Полиизоцианатный кросс-линкер
Подходящие полиизоцианатные кросс-линкеры включают 1,6-диизоцианатогексан, изофорондиизоцианат, 2,4-толуолдиизоцианат, 2,6-толуолдиизоцианат, дифенилметандиизоцианат, 4,4′-бис(исоцианатоциклогексил)метан, 1,4-диизоцианатобутан, 1,5-диизоцианато-2,2-диметилпентан, 1,10-диизоцианатодекан, 1,4-диизоцианатоциклогексан, 2,4-гексагидротолуолдиизоцианат, 2,6-гексагидротолуолдиизоцианат, норборнандиизоцианат, 1,3-ксилолдиизоцианат, 1,4-ксилолдиизоцианат, 1-изоцианато-3-(изоцианатометил) 1-метилциклогексан, м- , , ‘, ‘-тетраметилксилолдиизоцианат. Также подходящими в качестве изоцианатных отвердителей являются триизоцианаты, например 1,8-диизоцианато-4-(изоцианатометил)октан, лизинтриизоцианат и аддукты и олигомеры полиизоцианатов, например биуреты, изоцианураты, аллофанаты, иминооксадиазиндионы, уретдионы, уретаны и их смеси. Примерами таких олигомеров и аддуктов являются аддукт 3 моль толуолдиизоцианата к 1 молю триметилолпропану, изоциануратный тример 1,6-диизоцианатогексана, изоциануратный тример изофорондиизоцианата, уретдионовый димер 1,6-диизоцианатогексана, биуретный тример 1,6-диисоцианатогексана, аллофанат-модифицированный тример или высшие олигомеры 1,6-диизоцианатогексана, аддукт 3 молей м- , , ‘, ‘-тетраметилксилолдиизоцианата к 1 молю триметилолпропана и их смеси.
Полиизоцианатный кросс-линкер может содержать гидрофильные группы, например ковалентно связанные гидрофильные простые полиэфирные группы. Такие полиизоцианаты могут быть более легко перемешаны вручную, чем гидрофобные полиизоцианаты. Подходящими простыми полиэфирными соединениями для модификации полиизоцианатов являются одно- и двухатомные полиалкиленоксидные простые полиэфирые спирты, содержащие среднестатистическое число 3-35 этиленоксидных элементов. По существу, гидрофильные полиизоцианаты имеют функциональность изоцианата 1,5-5 и содержание элементов этиленоксида в связанных цепях простого полиэфира приблизительно 2-20% по весу. Примерами гидрофильных полиизоцианатов являются продукты реакции изоциануратных тримеров 1,6-диизоцианатогексана и/или изоциануратных тримеров диизоцианата изофорона и метилового эфира полиэтиленгликоля; продукт реакции аддукта м- , , ‘, ‘-тетраметилксилолдиизоцианата (3 моля) к триметилолпропану (1 моль) и метилового эфира полиэтиленгликоля.
Альтернативно, полиизоцианат можно сделать гидрофильным путем реакции с изоцианат-реакционно-способными соединениями, содержащими ионные группы, например соли сульфокислот с щелочными металлами, содержащие, по меньшей мере, одну гидроксильную группу или одну изоцианат-реакционно-способную аминную группу.
Другой класс подходящих полиизоцианатных кросс-линкеров представлен полиизоцианатами, содержащими привнесенные эмульгаторы для облегчения их рассредоточения в водорастворимых системах. Такие полиизоцианатные кросс-линкеры коммерчески доступны от Rhodia.
Полиизоцианат и водную дисперсию полиольной смолы правильным образом смешивают с таким соотношением, что соотношение NCO:OH находится в диапазоне 0,5-3:1, или 0,75-2,5:1, или 1-2:1.
Соединение с тиоловыми функциональными группами
Сложные эфиры меркаптокарбоновых кислот представляют собой группу подходящих соединений с тиоловой функциональной группой. Они могут быть приготовлены путем реакции соединений, содержащих гидроксильную группу с кислотами, содержащими тиоловую группу, такими как 3-меркаптопропионовая кислота, 2-меркаптопропионовая кислота, ортомеркаптобензойная кислота, меркаптоянтарная кислота, меркаптоуксусная кислота или цистеин. Примерами подходящего соединения, содержащего гидроксильную группу, являются моноспирты, диолы, триолы и тетраолы, такие как 2-этилгексанол, изооктиловый спирт, дециловый спирт, лауриловый спирт, изотридециловый спирт, или высшие моноспирты или их смеси, 1,4-бутандиол, 1,6-гександиол, 2,2-диметил-1,3-пропандиол, 2-этил-2-пропил-1,3-пропандиол, 1,2-, 1,3- и 1,4-циклогександиолы и соответствующие циклогександиметанол, 1,1,1-триметилолпропан, 1,2,3-триметилолпропан и пентаэритрит. Примеры соединений, приготовленных в соответствии с данным способом, включают тетракис(3-меркаптопропионат) пентаэритрита, тетракис(2-меркаптоацетат) пентаэритрита, трис(3-меркаптопропионат) триметилолпропана, трис(2-меркаптопропионат) триметилолпропана и трис(2-меркаптоацетат) триметилолпропана. Хорошие результаты были получены с трис(3-меркаптопропионатом) триметилолпропана и тетракис(3-меркаптопропионатом) пентаэритрита.
Следующий пример соединения, полученного в соответствии с таким способом, содержит сверхразветвленное полиоловое ядро, основанного на исходном полиоле, например триметилолпропане и диметилолпропионовой кислоте. Данный полиол затем этерифицируют 3-меркаптопропионовой кислотой и изононановой кислотой. Данные способы описаны в европейской публикации патента ЕР 0448224 A и международной публикации патента WO 93/17060.
Другие способы синтеза для приготовления соединений с тиоловой функциональной группой включают:
– реакцию галоидного арила или алкила с NaHS для введения боковой тиоловой группы в алкильные или арильные соединения соответственно;
– реакцию реактива Гриньяра с серой для введения боковой тиоловой группы в структуру;
– реакцию сульфида водорода с полиолефином, нуклеофильную реакцию, электрофильную реакцию или радикальную реакцию;
– реакцию (поли)изоцианата со спиртом с тиоловой функциональной группой и
– восстановление дисульфидов.
Соединение с тиоловой функциональной группой может также содержать другие функциональные группы, например гидроксильные группы. По существу, -гидрокситиолы могут быть получены путем реакции соединений, содержащих эпоксидную функциональную группу с сероводородом. Пример такого соединения с тиоловой функциональной группой может иметь следующую формулу: Т[(С3Н6О)nCH2CHXHCH2YH]3, где Т обозначает триол, такой как триметилолпропан или глицерин, n представляет собой целое число между 0 и 10, X и Y представляют собой кислород или серу, с оговоркой, что X и Y не равны. Примером такого соединения является коммерчески доступное соединение от Cognis под торговой маркой Capcure® 3/800.
Альтернативно, могут быть использованы полимерные соединения с тиоловой функциональной группой. В этом случае полимер представляет собой смолу, содержащую в качестве основы полиэфирную смолу из сложных эфиров, полиуретан, полиакрилатную смолу или полиэфирную смолу из простых эфиров. Эти полимерные соединения с тиоловой функциональной группой могут также содержать гидроксильные группы.
Соединение с тиоловой функциональной группой может представлять собой полиэфир, приготовленный из (а) по меньшей мере, одной поликарбоновой кислоты или ее реакционно-способных производных, (b) по меньшей мере, одного полиола и (с) по меньшей мере, одной карбоновой кислоты с тиоловой функциональной группой. Полиэфиры предпочтительно обладают разветвленной структурой. Разветвленные полиэфиры обычно получают путем конденсации поликарбоновых кислот или их реакционно-способных производных, таких как соответствующие ангидриды или сложные эфиры низших алкилов с полиспиртами, когда, по меньшей мере, одно из реагирующих веществ имеет, по меньшей мере, 3 функциональные группы.
Примерами подходящих поликарбоновых кислот или их реакционно-способных производных являются тетрагидрофталевая кислота, тетрагидрофталевый ангидрид, гексагидрофталевая кислота, гексагидрофталевый ангидрид, метилгексагидрофталевая кислота, метилгексагидрофталевый ангидрид, диметилциклогександикарбоксилат, 1,4-циклогександикарбоновая кислота, 1,3-циклогександикарбоновая кислота, фталевая кислота, фталевый ангидрид, изофталевая кислота, терефталевая кислота, 5-третбутилизофталевая кислота, тримеллитовый ангидрид, малеиновая кислота, фумаровая кислота, янтарная кислота, янтарный ангидрид, додеценилянтарный ангидрид, диметилсукцинат, глутаровая кислота, адипиновая кислота, диметиладипат, азелаиновая кислота и их смеси.
Примеры подходящих полиолов включают триметилолпропан, триметилолэтан, глицерин, 1,2,6-гексантриол, этиленгликоль, 1,2-пропиленгликоль, 1,3-пропиленгликоль, 2-метилпропан-1,3-диол, неопентилгликоль, 2-бутил-2-этил-1,3-пропандиол, циклогексан-1,4-диметилол, моноэфир неопентилгликоля и гидроксипивалиновой кислоты, гидрогенизованный бисфенол А, 1,5-пентандиол, 3-метилпентандиол, 1,6-гександиол, 2,2,4-триметилпентан-1,3-диол, диметилолпропионовую кислоту, пентаэритрит, дитриметилолпропан, дипентаэритрит и их смеси.
Примеры подходящих органических кислот с тиоловыми функциональными группами включают 3-меркаптопропионовую кислоту, 2-меркаптопропионовую кислоту, тиосалициловую кислоту, меркаптоянтарную кислоту, меркаптоуксусную кислоту, цистеин и их смеси.
Необязательно монокарбоновые кислоты и моноспирты могут быть использованы для синтеза полиэфиров. Могут быть использованы C4-C18 монокарбоновые кислоты и C6 -C18 моноспирты. Примеры C4-C18 монокарбоновых кислот включают пивалиновую кислоту, гексановую кислоту, гептановую кислоту, октановую кислоту, нонановую кислоту, 2-этилгексановую кислоту, изононановую кислоту, декановую кислоту, лауриновую кислоту, миристиновую кислоту, пальмитиновую кислоту, изостеариновую кислоту, стеариновую кислоту, гидроксистеариновую кислоту, бензойную кислоту, 4-третбутилбензойную кислоту и их смеси. Примеры С6-C18 моноспиртов включают циклогексанол, 2-этилгексанол, стеариловый спирт и 4-третбутилциклогексанол.
Соединение с тиоловой функциональной группой может также содержать ионные и/или неионные группы для стабилизации соединения с тиоловой функциональной группой в водном растворе или дисперсии. Подходящими ионными и неионными стабилизирующими группами являются группы, которые были описаны выше для полиоловых смол.
Хорошие результаты также можно получить с применением водной дисперсии полиуретана с тиоловыми функциональными группами, которую получают сначала путем синтеза полиуретана с изоцианатными функциональными группами из диолов, диизоцианатов и элементарных блоков, содержащих группы, которые способствуют стабилизации смолы в водной дисперсии, затем путем взаимодействия полиуретана, содержащего изоцианатные функциональные группы, с полифункциональным тиолом путем реакции присоединения, катализируемой основанием, с последующим образованием дисперсии в воде.
Соединение с тиоловой функциональной группой может представлять собой полиакрилат с тиоловой функциональной группой. Такой полиакрилат получают из акриловых мономеров с гидроксильной функциональной группой, таких как гидроксиэтил(мет)акрилат, гидроксипропил(мет)акрилат, гидроксибутил(мет)акрилат, другие акриловые мономеры, такие как (мет)акриловая кислота, метил(мет)акрилат, бутил(мет)акрилат, необязательно в комбинации с виниловым производным, таким как стирол, и т.п. или их смеси, где термины (мет)акрилат и (мет)акриловая кислота относятся как к метакрилату, так и акрилату, а также к метакриловой кислоте и акриловой кислоте соответственно. Тиоловую группу вводят путем эстерификации (части), гидроксильных групп акрилатного сополимера с одной или более карбоновой кислотой с тиоловой функциональной группой, описанной выше.
Альтернативно, глицидилметакрилат вводят в полимер с получением полиакрилата с эпоксидными функциональными группами. Затем эпоксидные группы подвергают реакции с подходящими карбоновыми кислотами с тиоловыми функциональными группами, такими, как приведено выше. Альтернативно, тиоловая группа может быть введена путем реакции полиакрилата с изоцианатной функциональной группой и спирта с тиоловой функциональной группой, например меркаптоэтанола. Полиакрилат готовят обычными способами, например, путем медленного добавления подходящих мономеров к раствору подходящего инициатора полимеризации, такого как инициатор, содержащий азогруппу или пероксигруппу.
Кроме того, в композицию для покрытий в соответствии с изобретением могут быть включены углеводороды с тиоловой функциональной группой и спирты с тиоловой функциональной группой, которые могут быть соединениями с одной, двумя, тремя и более тиоловыми функциональными группами, такими как этандитиол, бис-бэта-меркаптоэтилсульфид, тиофенол, 2-меркаптоэтанол, 1,4-бутандитиол, 2,3-димеркаптопропанол, додекандитиол, 1,6-гександитиол, 1-октантиол, додекантиол, циклогексилмеркаптан и т.п. и их смеси.
Подходящее соединение с тиоловой функциональной группой содержит 1-6 тиоловых групп на молекулу. Предпочтительными являются соединения с тиоловой функциональной группой, содержащие 1-4 тиоловых групп. Если композиция для покрытия дополнительно содержит катализатор завердевания на основе металла, как описано ниже, предпочтительное количество тиоловых групп на молекулу соединения с тиоловой функциональной группой составляет 1 или 2. Преимущество применения соединения с одной или двумя тиоловыми функциональными группами еще более четко выражено, если присутствует высокое количество катализатора затвердевания для достижения высокой скорости затвердевания композиции для покрытия.
Примерами подходящих соединений с тиоловой функциональной группой являются тетракис(3-меркаптопропионат) пентаэритрита, трис(3-меркаптопропионат) триметилолпропана, Capcure® 3/800, 1-додекантиол и додецил-3-меркаптопропионат.
По существу, соединение с тиоловой функциональной группой присутствует в количестве 0,05-25 вес.% или в количестве 0,5-20 вес.%, в расчете на массу твердой полиоловой смолы.
Как было указано выше, молярное отношение изоцианатных групп к тиоловым группам в композиции для покрытия в соответствии с изобретением находится между 1:0,0001 и 1:0,4. Альтернативно, молярное отношение изоцианатных групп к тиоловым группам находится между 1:0,0003 и 1:0,25. Предпочтительный диапазон составляет между 1:0,0006 и 1:0,20.
По существу, композицию для покрытия в соответствии с изобретением используют в качестве многокомпонентной композиции. Это означает, что, по существу, полиол и полиизоцианатный кросс-линкер хранят в отдельных емкостях. Изделия смешивают перед нанесением.
Полиол может быть диспергирован в воде в ходе или после приготовления полиола, как омечено выше. В конкретном варианте выполнения изобретения, также возможно хранить и поставлять полиол в основном в неводной форме и диспергировать полиол непосредственно перед формированием композиции для покрытия. В еще одном варианте выполнения, можно диспергировать полиол в воде после того, как он было смешан, по меньшей мере, с одним или всеми другими компонентами композиции для покрытия. Детали данных вариантов выполнения общеизвестны и могут, например, быть выведены из международной заявки на патент WO 00/59977.
Следует понимать, что полиолы с различными типами полимерных или олигомерных основных цепей, как описано выше, могут быть использованы как таковые, или в виде смесей или гибридов.
Ввиду возможного гидролиза изоцианатных групп полиизоцианатный кросс-линкер, по существу, хранят в безводных условиях до формирования водной композиции для покрытия.
Соединение с тиоловой функциональной группой может быть добавлено в композицию для покрытия в виде отдельного компонента, но оно также может быть заранее перемешано с полиолом или другими отдельными компонентами, например с разбавителем или с необязательно присутствующим катализатором затвердевания. Если в композиции для покрытия присутствует катализатор на основе металла, можно заранее перемешать соединение, содержащее тиоловую функциональную группу, с катализатором затвердевания на основе металла и затем добавить заранее приготовленную смесь к полиолу. Заранее приготовленная смесь катализатора и соединения с тиоловой функциональной группой может быть добавлена к полиолу до или после формирования водной дисперсии полиола. Это, в частности, приводит к благоприятному развитию эффекта в соответствии с настоящим изобретением, то есть улучшенному балансу скорости затвердевания, внешнего вида и жизнеспособности.
Заранее приготовленная смесь катализатора и соединения с тиоловой функциональной группой может быть обеспечена в виде смеси соединений как таковых, в виде раствора в подходящем органическом растворителе или в водном носителе, то есть в виде водного раствора или дисперсии. Подходящее соединение с тиоловой функциональной группой содержит ионные или неионные стабилизирующие группы, как описано выше, если оно обеспечено в водном носителе.
Несмотря на то что авторы изобретения не намерены ограничиваться любой теорией, считается, что взаимодействие между соединением с тиоловой функциональной группой и катализатором на основе металла приводит к временной частичной дезактивации катализатора. Также возможно, что полиол содержит тиоловые функциональные группы. В этом случае соединение с тиоловой функциональной группой не формирует отдельный компонент.
Необязательные компоненты
В одном варианте выполнения композиция для покрытия в соответствии с изобретением также содержит катализатор затвердевания на основе металла. Подходящие металлы включают цинк, кобальт, марганец, цирконий, висмут и олово. Предпочтительно композиция для покрытия включает катализатор на основе олова. Известными примерами катализаторов на основе олова являются дилаурат диметилолова, диверсатат диметилолова, диолеат диметилолова, дилаурат дибутилолова, дилаурат диоктилолова и октоат олова.
Когда композиция для покрытия согласно изобретению содержит катализатор на основе металла, предпочтительно молярное отношение атомов металла катализатора к тиоловым функциональным группам находится между 1:0,5 и 1:250, или между 1:0,8 и 1:150, или между 1:1 и 1:100.
Композиция для покрытия в соответствии с изобретением может дополнительно содержать другие компоненты и добавки, традиционно присутствующие в композициях для покрытия, такие как пигменты, наполнители, красители, диспергаторы пигментов, эмульгаторы (поверхностно-активные вещества), агенты, контролирующие реологические свойства, агенты разравнивания, матирующие агенты, коалесцирующие агенты, увлажняющие вещества, агенты против образования дефектов, противовспенивающие агенты, биоциды, пластификаторы, УФ-поглотители, светостабилизаторы и агенты, маскирующие запах.
Также в композицию для покрытия в соответствии с изобретением могут быть включены активные разбавители, такие как водорастворимые одно- или (предпочтительно) многоатомные спирты. Примеры одноатомных спиртов включают гексилгликоль, бутоксиэтанол, 1-метокси-2-пропанол, 1-этокси-2-пропанол, 1-пропокси-2-пропанол, 1-бутокси-2-пропанол, 2-метоксибутанол, 1-изобутокси-2-пропанол, монометиловый эфир дипропиленгликоля, диацетоновый спирт, метанол, этанол, пропанол, изопропанол, бутанол, 2-бутанол, пентанол, гексанол, бензиловый спирт и их смеси. Примеры многоатомных спиртов включают этиленгликоль, диэтиленгликоль, пропиленгликоль, изомерные бутандиолы, полиэтиленоксидгликоли или полипропиленоксидгликоли, 1,1,1-триметилолпропан, 1,2,3-триметилолпропан, пентаэритрит, глицерин и их смеси.
Изобретение также относится к набору для приготовления водорастворимой композиции для покрытия, содержащему
a) модуль связующего вещества, содержащий полиол,
b) модуль кросс-линкера, содержащий полиизоцианат и
c) модуль добавки, содержащий соединение с тиоловой функциональной группой.
Модуль кросс-линкера b), или модуль добавки c), или оба могут дополнительно содержать катализатор затвердевания на основе металла.
В альтернативном варианте выполнения набор включает
a) модуль связующего вещества, содержащий полиол и соединение с тиоловой функциональной группой и
b) модуль кросс-линкера, содержащий полиизоцианат.
В предпочтительной версии данной альтернативы модуль связующего вещества дополнительно содержит катализатор затвердевания на основе металла, или набор дополнительно содержит модуль добавки c), содержащий катализатор затвердевания на основе металла.
Подходящий набор включает средства отмеривания для облегчения смешивания компонентов в необходимых соотношениях. В одном варианте выполнения, модули набора содержат компоненты в необходимых соотношениях, то есть модули обеспечены в множестве емкостей, которые содержат компоненты в необходимых количествах для формирования композиции для покрытия в соответствии с изобретением.
Альтернативно, количество компонентов может быть обеспечено в соотношениях, отклоняющихся от необходимых соотношений для композиции для покрытия, и дополнительно обеспечено средство отмеривания, такое как емкость для смешивания, имеющая видимые обозначения необходимых объемов модулей, для формирования композиции для покрытия в соответствии с изобретением. Необходимые объемы также могут быть обозначены на так называемой мерной палочке, обычной в лакокрасочной промышленности. Вариации и сочетания средств отмеривания будут легко определены специалистом.
Композиция для покрытия в соответствии с изобретением может дополнительно содержать одну или более других известных смол для покрытия, например эпоксидные смолы, фенольные смолы, нитрат целлюлозы, поливинилбутиральные смолы и т.д. Если требуется, в другие смолы для покрытия могут быть введены функциональные гидроксил-реакционно-способные группы, выбранные из группы изоцианатных, эпокси, ацетальных, карбоксильных, ангидридных и алкоксисилановых групп. Кроме того, включены смеси данных групп в одном соединении. Композиция для покрытия может также содержать аминосмолу. В зависимости от наличия дополнительных функциональных групп композиция для покрытия может дополнительно содержать другие известные катализаторы затвердевания, например третичные амины или сульфоновые кислоты, такие как п-толуолсульфоновые кислоты и додецилбензолсульфоновые кислоты.
Основная часть содержания летучих веществ композиции для покрытия в соответствии с настоящим изобретением состоит из воды. Однако композиция для покрытия может содержать один или более органических растворителей, с оговоркой, что содержание летучих органических веществ (VOC) готовой к применению композиции для покрытия не превышает 540 г/л, предпочтительно оно не превышает 420 г/л. В качестве подходящих органических растворители могут быть отмечены диметилдипропиленгликоль, метиловый эфир диацетонового спирта, этилацетат, бутилацетат, этилгликольацетат, бутилгликольацетат, 1-метокси-2-пропилацетат, бутилпропионат, этоксиэтилпропионат, толуол, ксилол, метилэтилкетон, метилизобутилкетон, метилизоамилкетон, этиламилкетон, диоксолан, N-метил-2-пирролидон, диметилкарбонат, пропиленкарбонат, бутиролактон, капролактон и их смеси.
Композиция для покрытия, в частности, подходит в качестве прозрачного и/или цветного наружного покрытия. Композиция в соответствии с изобретением также подходит для применения в качестве наполнителя, основного покрытия, грунта и связующего вещества.
Композиция для покрытия может быть нанесена на многие субстраты, такие как металл, древесина, бумага, картон, гипс, бетон, стекло, пластмасса и другие синтетические материалы, включая какой-либо другой слой покрытия. Другой слой покрытия может состоять из композиции для покрытия в соответствии с настоящим изобретением или он может состоять из другой композиции для покрытия. Композиции для покрытия особенно полезны в качестве прозрачного слоя в многослойном лаковом покрытии, таком как прозрачный наружный слой на цветном и/или придающем эффект грунте.
Композиция для покрытия в соответствии с настоящим изобретением может быть успешно использована в различных областях применения, таких как окраска и повторная окраска автомобилей и крупных транспортных средств, таких как грузовые автомобили, автобусы, железнодорожное оборудование, самолеты и суда и другие стальные и бетонные конструкции.
Могут быть использованы любые известные способы для нанесения композиции для покрытия на субстрат. Неограничивающими примерами таких способов нанесения являются намазывание (например, кистью, валиком, подушечкой для краски или ракелем), распыление (например, воздушное распыление, безвоздушное распыление, распыление с подогревом, распыление с двухкомпонентным краскораспылителем и электростатическое распыление), окрашивание обливанием (например, погружение, нанесение покрытия наливом, нанесение покрытия валиком и нанесение покрытия обратным валиком) и электроосаждение.
Слои покрытия, приготовленные из композиции в соответствии с настоящим изобретением, могут сохнуть и затвердевать между 0 и 160°C, или между 5 и 80°C, или между 10 и 60°C. Затвердевание при повышенной температуре может быть выполнено в печи. Альтернативно, затвердевание можно поддерживать инфракрасным и/или близким излучением. Перед затвердеванием при повышенной температуре наносимая композиция для покрытия может необязательно быть подвергнута фазе удаления воздуха.
Изобретение дополнительно описано и проиллюстрировано посредством следующих примеров.
Используемые материалы:
| BYK346: |
увлажняющее вещество, доступное от BYK-Chemie GmbH, Везель, Германия |
| DBTDL в 2-бутаноле: |
раствор 2 вес.% дилаурат дибутилолова в 2-бутаноле |
| DBTDL в Proglyde DMM: |
раствор 4 вес.% дилаурата дибутилолова в диметиловом эфире дипропиленгликоля |
| PTMP: |
тетракис (3-меркаптопропионат) пентаэритрита |
| Desmodur N 3600: |
полиизоцианатный кросс-линкер, основанный на изоцианурате 1,6-диизоцианатогексана, доступный от Bayer |
| Desmodur N 3400: |
полиизоцианатный кросс-линкер, основанный на уретдионе 1,6-диизоцианатогексана, доступный от Bayer |
| Bayhydur N 3100: |
гидрофильный модифицированный полиизоцианатный кросс-линкер, основанный на изоцианурате 1,6-диизоцианатогексана, доступный от Bayer |
| Bayhydur LS 2150: |
гидрофильный модифицированный полиизоцианатный кросс-линкер, основанный на изоцианурате изофорондиизоцианата, доступный от Bayer |
| EB acetate: |
бутилгликольацетат |
| EEP |
2-этоксиэтилпропионат |
| Dowanol PMA: |
метоксипропилацетат от Dow |
| Autowave® |
водорастворимая композиция грунта от Akzo Nobel Car Refinishes |
Общие способы
Средний размер данных частиц определяли при помощи динамического рассеивания света дисперсией, разбавленной до содержания твердой фазы приблизительно 0,1 вес.%. Вязкость определяли вискозиметром Brookfield (LV-4; 60 оборотов в минуту). Содержание твердой фазы рассчитывали из потери веса образца, нагреваемого до 140°C в течение 30 минут. Значение Mn измеряли с помощью ГПХ с полистиролом в качестве стандарта.
Инфракрасные спектры измеряли на спектрофотометре Biorad FTS-60 или на инструменте Bruker Vector 22. Инфракрасные спектры измеряли с использованием устройства ATR однократного отражения Golden Gate. Все инфракрасные спектры регистрировали между 4 000 см-1 и 600 см-1 при разрешении 2 см-1.
Стадию высыхания накладываемых слоев покрытия определяли вручную с различением 10 стадий высыхания:
1. Еще влажное покрытие легко стирается большим пальцем.
2. При касании покрытия большим пальцем могут быть оттянуты нити краски.
3. Покрытие способно к сцеплению, но легко повреждается до субстрата при легком трении большим пальцем.
4. Легкое трение большим пальцем оставляет прозрачный след.
5. Легкое трение большим пальцем почти не оставляет следа. Пучок ваты, брошенный на краску, можно сдуть. Покрытие является высохшим от пыли.
6. Легкое трение большим пальцем не оставляет никакого следа. При легком трении или надавливании кистью руки ощущается липкий эффект.
7. При легком трении или надавливании кистью руки не наблюдается никакой липкости. Покрытие является нелипнущим.
8. Сильное нажатие большим пальцем оставляет постоянный след.
9. След от сильного нажатия большим пальцем исчезает по истечении 1-2 минут. Покрытие является высохшим от прикосновения.
10. Покрытие почти не может, или не совсем может быть повреждено путем царапания (человеческим) ногтем. Покрытие является полностью затвердевшим.
Отчетливость изображения (DOI) пленок прозрачного покрытия определяли с помощью ATI измерителя DOI через один день после нанесения прозрачного покрытия. Более высокие значения DOI указывают на лучший внешний вид пленки.
Приготовление полиэфирполиола 1
6-литровую колбу с 4 горлышками оснастили мешалкой переменной скорости, термопарами в сочетании с регулятором, дистилляционной колонкой, конденсатором, впускным и выпускным отверстиями для азота и колбонагревателем. В колбу залили смесь, состоящую из:
385,1 г изофталевой кислоты
42,9 г 5-(натрийсульфо)изофталевой кислоты
852,5 г 1,4-циклогександиметанола
1 265,0 г триметилолпропана
50,0 г деминерализованной воды
0,5 г Fascat 4100.
После деаэрации колбу внесли в атмосферу азота. Содержимое колбы нагревали до 150°C, после чего температуру постепенно увеличивали до 200°C в течение 2 часов. Воду отгоняли. В колбе поддерживали температуру 200°C, пока не получали прозрачный реакционный расплав. Смесь охлаждали до 140°C, после чего добавляли следующие компоненты:
385,1 г изофталевой кислоты и
1 195,8 г себациновой кислоты
После того как температуру реакционной смеси постепенно увеличивали до 195°C, смесь держали при данной температуре и воду отгоняли, пока не был получен прозрачный расплав реакции. После того как реакционную смесь охладили до 140°C, добавили следующие компоненты:
345,3 г изофталевой кислоты и
111,0 г метоксиполиэтиленоксидгликоля (Mn=750).
Реакционную смесь постепенно нагревали до 215°C и хранили при данной температуре до получения кислотного числа ниже 7 мг KOH/г.
Конечный продукт имел кислотное число 6,4 мг KOH/г, опытное OH-число 199 мг KOH/г, содержание OH-групп 4,9 и Mn=1771.
Приготовление дисперсии полиэфира 1 из полиэфирполиола 1, описанного выше
2 л колбу, оснащенную мешалкой, термометром, обратным холодильником и капельной воронкой, заполняли 500 г полиэфирполиола 1.
Содержимое колбы нагревали до 110°C, при данной температуре добавляли:
1,5 г N,N-диметилэтаноламина (что соответствует 30% степени нейтрализации групп карбоновой кислоты) и затем в течение 3 часов 425,9 г деминерализованной воды, после чего температуру постепенно уменьшали от 100°C до 30°C.
Свойства полученной таким образом водорастворимой дисперсии полиэфира были следующими: pH 7,0, размер частиц 126 нм, вязкость 0,78 Па·сек, содержание нелетучих веществ 54 весовых %.
Приготовление полиэфирполиола 2
3-литровую колбу с 4 горлышками оснастили мешалкой переменной скорости, термопарами в сочетании с регулятором, дистилляционной колонкой, конденсатором, впускным и выпускным отверстиями для азота и колбонагревателем. В колбу залили смесь, состоящую из:
275,42 г ангидрида гексагидрофталевой кислоты
28,20 г 5-(натрийсульфо)изофталевой кислоты
473,98 г 1,4-циклогександиметанола
661,17 г триметилолпропана
58,75 г деминерализованной воды
1,25 г Fascat 4100.
После деаэрации колбу внесли в атмосферу азота. Содержимое колбы нагревали до 150°C, после чего температуру постепенно увеличивали до 200°C в течение 1,5 часов. Воду отгоняли. В колбе поддерживали температуру 200°C, пока не получали прозрачный реакционный расплав. Смесь охлаждали до 140°C, после чего добавляли следующие компоненты:
550,85 г ангидрида гексагидрофталевой кислоты
319,08 г себациновой кислоты
187,19 г метоксиполиэтиленоксидгликоля (Mn=750).
Температуру реакционной смеси постепенно увеличивали до 220°C и держали ее при данной температуре, пока не получали кислотное число приблизительно 10 мг KOH/г.
Конечный продукт имел кислотное число 9,1 мг KOH/г, опытное OH-число 190 мг KOH/г, содержание OH-групп 4,3 и Mn=2295.
Приготовление дисперсии полиэфира 2 из полиэфирполиола 2, описанного выше
Колбу, оснащенную мешалкой, термометром, обратным холодильником и капельной воронкой, заполняли 431,3 г полиэфирполиола 2.
Содержимое колбы нагревали до 90°C, при данной температуре добавляли:
5,0 г N,N-диметилэтаноламина (что соответствует 80% степени нейтрализации групп карбоновой кислоты) и затем в течение 3 часов 590,6 г деминерализованной воды, после чего температуру постепенно уменьшали от 90°C до 30°C.
Свойства полученной таким образом водорастворимой дисперсии полиэфира были следующими: pH 8,4, размер частиц 78 нм, вязкость 0,12 Па·сек, содержание нелетучих веществ 42 весовых %.
Приготовление полиакрилатполиола 1
Бак реактора, оборудованный мешалкой, конденсатором, термопарой и устройством впуска азота, заполняли 218 г бутилгликоля и нагревали до 140°C при потоке азота 5 л в час. Затем в реактор непрерывно добавляли смесь 162 г н-бутилакрилата, 142 г стирола, 152 г метилметакрилата, 208 г гидроксиэтилакрилата, 21 г лаурилметакрилата и 22 г Trigonox® 42S. Во время добавления температуру содержимого реактора поддерживали при 140°C. По истечении 165 минут дозирования, когда добавили приблизительно 75 весовых % мономера и инициатора, добавление остановили. В данной первой фазе был сформирован гидрофобный акриловый полимер без кислотных функциональных групп.
Приготовленную заранее смесь 11 г 2-акриламидо-2-метилпропансульфоновой кислоты, 5 г 2-(диметиламино)этанола и 18 г бутилгликоля смешивали с 13 г акриловой кислоты. Затем данную смесь добавляли к остающейся части смеси мономера и инициатора. Получающуюся смесь гомогенизировали. Затем смесь загружали в реактор в течение 75 минут, температуру в реакторе поддерживали при 140°C. В данной второй фазе формируются полимеры с кислотной функциональной группой.
После завершения добавления мономера оборудование для дозирования промывали 21 г бутилгликоля, который затем добавляли к содержимому реактора. Загрузку реактора держали при 140°C в течение 15 минут. Затем добавляли раствор 1 г Trigonox® 42 S в 6 г бутилгликоля двумя равными частями с временным интервалом 15 минут. После того как смесь продержали при 140°C в течение еще 30 минут, содержимое реактора охладили до комнатной температуры.
Полиакрилатполиол имел гидроксильное число 140 мг KOH/г в твердом состоянии, средневесовую молекулярную массу 16800 и среднечисловую молекулярную массу 5200. Содержание объединенных карбоновой кислоты/карбоксилата составляло 0,225 ммоль/г твердом состоянии, содержание объединенных сульфоновой кислоты/сульфоната составляло 0,075 ммоль/г твердом состоянии. Содержание твердой фазы в растворе составляло 72,1% по весу.
Приготовление дисперсии полиакрилатполиола 1
В стеклянный реактор, оборудованный мешалкой, впускным отверстием для азота и конденсатором, загружали 440 г раствора полиакрилатполиола 1, описанного выше, и нагревали до 130°C при потоке азота 10 л в час. Затем при пониженном давлении отгоняли приблизительно 25 весовых % бутилгликоля для получения концентрированного раствора смолы. Содержимое реактора постепенно, в течение 20 минут, добавляли во второй реактор, содержащий 548 г деминерализованной воды и 12 г диметаноламина, предварительно нагретого до 50-55°C. В ходе добавления концентрированного раствора смолы температуру во втором реакторе увеличили до приблизительно 60°C. Получили белую водную эмульсию, которую перемешивали при 55-60°C в течение 60 минут. В конечном итоге эмульсию охлаждали до комнатной температуры и фильтровали. Дисперсия полиакрилата имела содержание твердой фазы 39,4 весовых %, средний размер частиц 98 нм и вязкость 100 мПа·с при 23°C.
Композиции для покрытия A и 1-4 были приготовлены из ингредиентов, как показано в Таблице 1; количество ингредиентов дано в весовых частях:
| Таблица 1 |
 |
A |
1 |
2 |
3 |
4 |
| Компонент A |
 |
 |
 |
 |
 |
| Дисперсия полиэфирполиола 1 |
10,00 |
10,00 |
10,00 |
10,00 |
10,00 |
| BYK 346 |
0,16 |
0,16 |
0,16 |
0,16 |
0,16 |
| DBTDL в 2-бутаноле |
0,21 |
0,21 |
0,21 |
0,21 |
0,21 |
| PTMP |
0,00 |
0,10 |
0,25 |
0,50 |
1,00 |
| Компонент B |
 |
 |
 |
 |
 |
| Desmodur N 3600 |
4,28 |
4,28 |
4,28 |
4,28 |
4,28 |
| Dowanol PMA |
2,96 |
2,96 |
2,96 |
2,96 |
2,96 |
| Компонент C |
 |
 |
 |
 |
 |
| Вода |
1,79 |
1,79 |
1,79 |
1,79 |
1,79 |
| Молярное отношение NCO:SH |
1:0 |
1:0,035 |
1:0,085 |
1:0,171 |
1:0,34 |
Композиции для покрытия в соответствии с Таблицей 1 были приготовлены следующим образом: Компонент A перемешивали электрической мешалкой при 600 оборотах в минуту, добавляли Компонент B, перемешивание продолжали в течение 2 минут и добавляли Компонент C. Конечную композицию перемешивали в течение еще 2 минут. Композиция A представляет собой сравнительную композицию, которая представляет уровень техники водорастворимой композиции для покрытия, содержащей полиол и полиизоцианатный кросс-линкер в соответствии с WO 01/81441. Композиции 1-4 представляют композиции для покрытия в соответствии с изобретением.
Скорость затвердевания композиций для покрытия A и 1-4:
Затвердевание композиций A и 1-4 отслеживали путем наблюдения сигнала изоцианата при 2275 см-1 в их инфракрасных спектрах. Для измерения инфракрасных спектров 60 мкм пленку композиции для покрытия наносили на кристалл golden gate через 15 минут после приготовления композиции. Пленки становились высохшими от прикосновения в пределах 10 минут. Спектры измеряли при комнатной температуре каждые 7 минут. На фигуре 1 высота сигнала изоцианата построена в зависимости от времени. Следует отметить, что увеличение высоты сигнала изоцианата в первой фазе затвердевания можно объяснить увеличением содержания изоцианата вследствие испарения растворителя и воды.
На фигуре 1 показано, что уменьшение содержания изоцианата в ходе затвердевания композиций для покрытия 3 и 4 происходит быстрее, чем в случае композиции A, уменьшение содержания изоцианата в композиции 2 фактически равно таковому в композиции A в то время, как уменьшение содержания изоцианата в композиции 1 происходит немного медленнее, чем таковое в композиции A.
Так как уменьшение содержания изоцианата указывает на скорость затвердевания водорастворимых композиций для покрытия, содержащих полиол и полиизоцианатный кросс-линкер, можно заключить, что скорость затвердевания композиций для покрытия 2-4 в соответствии с изобретением является такой же или более высокой, чем скорость затвердевания сравнительной композиции A для покрытия, не содержащей соединения с тиоловой функциональной группой.
Жизнеспособность композиций для покрытия A и 1-4:
Уменьшение содержания изоцианата в композициях A и 1-4 после смешивания, то есть жизнеспособность, определяли путем наблюдения сигнала изоцианата при 2275 см-1 в их инфракрасных спектрах. Для измерения инфракрасных спектров несколько капель композиции помещали на алмазный кристалл ИК-спектрометра сразу после смешивания и немедленно закрывали металлическим колпачком, изолированным резиновым кольцом. Спектры измеряли каждые 5 минут до максимального времени 150 минут. На фигуре 2 высота сигнала изоцианата построена в зависимости от времени. Высота сигнала изоцианата первого измерения каждой композиции была установлена в относительное значение 100 на фигуре 2.
На фигуре 2 отчетливо видно, что уменьшение содержания изоцианата после смешивания композиций для покрытия 1-4 происходит медленнее, чем в сравнительной композиции A для покрытия. Так как уменьшение содержания изоцианата определяет жизнеспособность водорастворимых композиций для покрытия, содержащих полиол и полиизоцианатный кросс-линкер, жизнеспособность композиций для покрытия 1-4 в соответствии с изобретением выше, чем жизнеспособность композиции A, не содержащей соединения с тиоловой функциональной группой.
Формирование углекислого газа в композициях для покрытия A и 1-4:
Увеличение содержания углекислого газа в композициях A и 1-4 после смешивания, то есть жизнеспособность, определяли путем наблюдения сигнала углекислого газа при 2334 см-1 в их инфракрасных спектрах. Измерение спектров инфракрасного излучения выполняли, как описано выше для определения уменьшения изоцианата жизнеспособности. На фигуре 3 высота сигнала углекислого газа построена в зависимости от времени.
На фигуре 3 отчетливо видно, что количество углекислого газа, сформированного в композиции A, выше, чем в композициях 1-4. Формирование углекислого газа является одной из основных причин дефектов пленки и плохого внешнего вида водорастворимых композиций для покрытия, содержащих полиол и полиизоцианатный кросс-линкер. В связи с этим можно заключить, что композиции для покрытия 1-4 в соответствии с изобретением имеют более высокий потенциал для хорошего внешнего вида, чем композиция A, не содержащая соединения с тиоловой функциональной группой.
Композиции для покрытия B и 5-8
Сравнительная композиция B для покрытия и композиции 5-8 в соответствии с изобретением приготовили из ингредиентов, как показано в Таблице 2; количество ингредиентов дано в весовых частях.
Композиции для покрытия в соответствии с Таблицей 2 были приготовлены следующим образом: Компонент A перемешивали электрической мешалкой при 600 оборотах в минуту, добавляли Компонент B, перемешивание продолжали в течение 2 минут и добавляли Компонент C. Конечную композицию перемешивали в течение еще 2 минут.
| Таблица 2 |
 |
B |
5 |
6 |
7 |
8 |
| Компонент A |
 |
 |
 |
 |
 |
| Дисперсия полиэфиорполиола 2 |
75 |
75 |
75 |
75 |
75 |
| Вода |
10 |
10 |
10 |
10 |
10 |
| Byk 346 |
1 |
1 |
1 |
1 |
1 |
| PTMP |
0 |
0,75 |
1,5 |
3 |
0 |
| 1-мераптододекан |
0 |
0 |
0 |
0 |
2,5 |
| Компонент B |
 |
 |
 |
 |
 |
| Desmodur N 3400 |
8,45 |
8,45 |
8,45 |
8,45 |
8,45 |
| Bayhydur N 3100 |
10,85 |
10,85 |
10,85 |
10,85 |
10,85 |
| Bayhydur LS 2150 |
19,88 |
19,88 |
19,88 |
19,88 |
19,88 |
| Dowanol PMA |
3,5 |
3,5 |
3,5 |
3,5 |
3,5 |
| EB ацетат |
10,5 |
10,5 |
10,5 |
10,5 |
10,5 |
| Компонент C |
 |
 |
 |
 |
 |
| Вода |
32 |
32 |
32 |
32 |
32 |
| Молярное отношение NCO:SH |
1:0 |
1:0,046 |
1:0,092 |
1:0,184 |
1:0,093 |
Предварительно покрытые алюминиевые панели покрывали слоем Autowave®, водорастворимым грунтом, который наносили и сушили в соответствии с предписаниями в технической документации поставщика.
В первой серии композиции для прозрачных покрытий из Таблицы 2 наносили распылением сразу после приготовления на загрунтованных панелях. Толщина сухого слоя прозрачных покрытий находилась в диапазоне 40-50 мкм. После нанесения прозрачных покрытий панели подвергали удалению воздуха в течение десяти минут при комнатной температуре. Затем панелям давали затвердеть в термостате в течение 45 минут при 60°C. После охлаждения до комнатной температуры стадию высыхания прозрачных покрытий определяли вручную. DOI определяли по прошествии одного дня.
Во второй серии композиции для прозрачных покрытий из Таблицы 2 наносили аналогичным способом, как в и первой серии; однако композиции для прозрачных покрытий оставляли на 60 минут перед нанесением и давали затвердеть в термостате в течение 30 минут при 60°C. Результаты сведены в Таблице 3.
| Таблица 3 |
| нанесены сразу после смешивания |
стадия высыхания по истечении 45 мин/60°C |
DOI |
нанесены по истечении 60 после смешивания |
стадия высыхания 30 мин/60°C |
DOI |
| B |
6-7 |
85 |
B |
4 |
85 |
| 5 |
9 |
86 |
4 |
6 |
85 |
| 6 |
8-9 |
84 |
5 |
6 |
85 |
| 7 |
9-10 |
81 |
6 |
8-9 |
83 |
| 8 |
6-7 |
87 |
7 |
6-7 |
85 |
Из Таблицы 3 можно сделать вывод, что композиции для прозрачных покрытий в соответствии с изобретением проявляют улучшенную скорость затвердевания по сравнению со сравнительной композицией B для прозрачных покрытий. Внешний вид прозрачных покрытий в соответствии с изобретением находится на равном уровне и может в некоторых случаях превосходить внешний вид сравнительного прозрачного покрытия. Улучшенная скорость затвердевания также очевидна, когда прозрачные оболочки наносят по истечении одного часа после смешивания, что указывает на то, что преимущества не получены за счет жизнеспособности. Композиции из Таблицы 2 не содержат катализатор затвердевания для реакции присоединения между гидроксилом и изоцианатом, такой как дилаурат дибутилолова. Выгодный эффект в соответствии с настоящим изобретением также наблюдается в отсутствие такого катализатора затвердевания.
Композиции для покрытия C, D и 9
Сравнительные композиции для покрытия C и D и композиция для покрытия 9 в соответствии с изобретением были приготовлены из ингредиентов, как показано в Таблице 4; количество ингредиентов дано в весовых частях. Композиции для покрытия были приготовлены, как описано выше для композиций 5-8. DBTDL в Proglyde DMM и соединение с тиоловой функциональной группой были предварительно смешаны перед добавлением к компоненту A.
| Таблица 4 |
 |
C |
D |
9 |
| Компонент A |
 |
 |
 |
| Дисперсия полиэфирполиола 2 |
110 |
110 |
110 |
| Byk 346 |
1,46 |
1,46 |
1,46 |
| DBTDL в Proglyde DMM |
0,89 |
3,56 |
3,56 |
| PTMP |
0 |
0 |
0 |
| 1-меркаптододекан |
0 |
0 |
1,82 |
| Компонент B |
 |
 |
 |
| Desmodur N 3400 |
12,20 |
12,20 |
12,20 |
| Bayhydur N 3100 |
15,60 |
15,60 |
15,60 |
| Bayhydur LS 2150 |
28,60 |
28,60 |
28,60 |
| Dowanol PMA |
15 |
15 |
15 |
| ацетат EB |
5 |
5 |
5 |
| Компонент C |
 |
 |
 |
| Вода |
57,7 |
55 |
52,4 |
| Молярное отношение NCO:SH |
1:0 |
1:0 |
1:0,047 |
Композиции для прозрачных покрытий C, D и 9 были нанесены распылением на грунт сразу после приготовления, как описано выше для композиций 5-8. Прозрачным покрытиям позволяли затвердеть при комнатной температуре. В Таблице 5 сведены полученные результаты:
| Таблица 5 |
 |
Стадия высыхания по истечении 4 ч |
Стадия высыхания по истечении 5 ч |
Стадия высыхания по истечении 6 ч |
DOI |
DOI (1 ч) |
| c |
4 |
6-7 |
7 |
86 |
84 |
| D |
9 |
10 |
10 |
84 |
65 |
| 9 |
8 |
9 |
9-10 |
87 |
81 |
Из Таблицы 5 может сделать вывод, что скорость высыхания может быть увеличена путем увеличения количества катализатора затвердевания в композиции (сравнительные примеры C и D), даже без резкого ухудшения внешнего вида. Однако в дальнейшем тесте сравнительную композицию D и композицию 9 наносили повторно спустя один час после смешивания компонентов и позволяли затвердеть при 60°C в течение 20 минут. По истечении одного часа жизнеспособности сравнительная композиция D образует прозрачное покрытие, имеющее более низкое значение DOI, то есть худший внешний вид, чем у прозрачного покрытия, приготовленного из композиции 9 в соответствии с изобретением. Таким образом, улучшение скорости затвердевания сравнительной композиции D достигнуто за счет жизнеспособности, тогда как композиция 9 обеспечивает хороший баланс жизнеспособности, скорости затвердевания и внешнего вида. В частности, примечательно, что композиция для покрытия 9 в соответствии с изобретением также имеет хорошую жизнеспособность, несмотря на то, что она содержит амин (присутствует в дисперсии полиэфирполиола 2), катализатор на основе олова, полиизоцианат и полиэфирполиол и соединение с тиоловой функциональной группой. Из идеи US 4788083, обсуждаемого выше, можно было бы ожидать, что такая композиция имеет малую жизнеспособность вследствие разблокирования амином катализатора на основе олова.
Композиции для покрытия E-G и 10-14
Сравнительные композиции для покрытия E-G и композиции для покрытия 10-14 в соответствии с изобретением были приготовлены из ингредиентов, как показано в Таблице 6; количество ингредиентов дано в весовых частях. Композиции для покрытия были приготовлены, как описано выше для композиции 9. Следует отметить, что в данном случае использовали 2 вес.% раствор DBTDL в Proglyde DMM.
| Таблица 6 |
 |
E |
F |
10 |
G |
11 |
12 |
13 |
14 |
| Компонент A |
 |
 |
 |
 |
 |
 |
 |
 |
| Дисперсия полиакрилатполиола 1 |
75 |
75 |
75 |
75 |
75 |
75 |
75 |
75 |
| Byk 346 |
1 |
1 |
1 |
1 |
1 |
1 |
1 |
1 |
| 2 вес.% раствор |
1,25 |
2,5 |
2,5 |
5 |
5 |
5 |
5 |
5 |
| DBTDL в Proglyde DMM PTMP |
0 |
0 |
0,4 |
0 |
0,77 |
0 |
0 |
0 |
| 1-додекантиол |
0 |
0 |
0 |
0 |
0 |
0,64 |
1,28 |
0,13 |
| Компонент B |
 |
 |
 |
 |
 |
 |
 |
 |
| Desmodur N 3400 |
4,37 |
4,37 |
4,37 |
4,37 |
4,37 |
4,37 |
4,37 |
4,37 |
| Bayhydur N 3100 |
5,17 |
5,17 |
5,17 |
5,17 |
5,17 |
5,17 |
5,17 |
5,17 |
| Bayhydur LS 2150 |
20,6 |
20,6 |
20,6 |
20,6 |
20,6 |
20,6 |
20,6 |
20,6 |
| EEP |
19,6 |
19,6 |
19,6 |
19,6 |
19,6 |
19,6 |
19,6 |
19,6 |
| ацетат EB |
5,1 |
5,1 |
5,1 |
5,1 |
5,1 |
5,1 |
5,1 |
5,1 |
| Компонент C |
 |
 |
 |
 |
 |
 |
 |
 |
| вода |
24,6 |
24,6 |
24,6 |
24,6 |
24,6 |
24,6 |
24,6 |
24,6 |
| Моль SH на 1 моль NCO |
0 |
0 |
0,036 |
0 |
0,070 |
0,035 |
0,070 |
0,007 |
Сравнительные композиции для прозрачного покрытия E-G и композиции для покрытия 10-14 в соответствии с изобретением были нанесены распылением на грунт непосредственно после приготовления, как описано выше для композиций 5-8. После удаления воздуха панели размещали в камере для вулканизации, имеющей температуру 60°C. По истечении 15 минут в камере для вулканизации вручную определяли липкость теплых прозрачных покрытий. Данную процедуру повторяли с промежутками приблизительно 5 минут. Когда панели становились нелипкими на ощупь, что соответствует стадии 8 высыхания, определенной выше, панели удаляли из камеры для вулканизации. Время, требуемое для достижения данной стадии высыхания, занесено в Таблицу 7 ниже. В Таблице 7 также приведен внешний вид пленки протестированных прозрачных оболочек.
Примеры E и F демонстрируют, что скорость затвердевания композиции для покрытия может быть увеличена при использовании большего количества катализатора. Однако увеличение скорости затвердевания получено за счет ухудшенного внешнего вида пленки. Пример 10 отличается от Примера F только наличием соединения, содержащего функциональную тио группу. Прозрачная оболочка из Примера 10 в соответствии с изобретением демонстрирует улучшенный баланс внешнего вида пленки и скорости затвердевания. Сравнительный Пример G показывает, что скорость затвердевания может быть дополнительно увеличена при использовании еще большего количества катализатора, что приводит к еще более сильному ухудшению внешнего вида пленки. Примеры 11-14 демонстрируют, что даже с добавлением самого большого количества катализатором может быть получено улучшение баланса скорости затвердевания и внешнего вида. Принимая во внимание, что данное улучшение также отчетливо видно для тетрафункционального PTMP, с монофункциональным 1-додекантиолом могут быть достигнуты еще лучшие результаты. Примеры 12-14 демонстрируют эффект изменения количеств соединения с тиоловой функциональной группой. Хотя улучшение баланса скорости затвердевания и внешнего вида присутствует при всех уровнях соединения с тиоловой функциональной группой, в данном случае оптимальные результаты были получены с промежуточным уровнем Примера 12.
Формула изобретения
1. Водорастворимая композиция для покрытия, содержащая a) полиол, b) полиизоцианатный сшиватель и c) соединение с тиоловой функциональной группой, в которой молярное отношение изоцианатных групп к тиоловым группам находится между 1:0,0001 и 1:0,4.
2. Композиция для покрытия по п.1, в которой соединение с тиоловой функциональной группой присутствует в диапазоне 0,05-25 мас.% в расчете на массу твердой полиоловой смолы.
3. Композиция для покрытия по п.1 или 2, в которой соединение с тиоловой функциональной группой выбрано из тетракис (3-меркаптопропионата) пентаэритрита, трис(3-меркаптопропионата) триметилолпропана, соединения формулы Т[(С3Н6О)nCH2CHXHCH2YH]3, где Т обозначает триол, такой как триметилолпропан или глицерин, n представляет собой целое число между 0 и 10, Х и Y представляет собой кислород или серу, при условии, что Х и Y не равны, додекантиола и додецил 3-меркаптпропионата.
4. Композиция для покрытия по п.1, в которой полиол выбран из полиэфирполиола, полиакрилатполиола, полиуретанполиола и их смесей.
5. Композиция для покрытия по п.1, в которой композиция для покрытия содержит катализатор затвердевания на основе металла.
6. Композиция для покрытия по п.5, в которой катализатор затвердевания на основе металла представляет собой катализатор на основе олова.
7. Композиция для покрытия по п.5 или 6, в которой молярное отношение атомов металла к тиоловым функциональным группам находится между 1:0,5 и 1:250.
8. Применение композиции для покрытия по любому из предшествующих пунктов в качестве прозрачного или пигментированного наружного покрытия.
9. Применение композиции для покрытия по п.8, где композицию для покрытия наносят как прозрачное покрытие в многослойном лаковом покрытии.
10. Применение композиции для покрытия по любому из предшествующих пп.1-7 в качестве основного покрытия, наполнителя, грунта или связующего вещества.
11. Применение композиции для покрытия по любому из предшествующих пп.1-7 в окраске и повторной окраске автомобилей и крупных транспортных средств.
12. Набор для приготовления водорастворимой композиции для покрытия, содержащий a) компонент связующего вещества, содержащий полиол, b) компонент сшивателя, содержащий полиизоцианат и c) компонент добавки, содержащий соединение с тиоловой функциональной группой.
13. Набор по п.12, в котором компонент сшивателя b) дополнительно содержит катализатор затвердевания на основе металла.
14. Набор по п.12, в котором компонент добавки с) дополнительно содержит катализатор затвердевания на основе металла.
15. Набор для приготовления водорастворимой композиции для покрытия по любому из пп.1-7, содержащий a) компонент связующего вещества, содержащий полиол и соединение с тиоловой функциональной группой и b) компонент сшивателя, содержащий полиизоцианат.
16. Набор по п.15, в котором компонент связующего вещества дополнительно содержит катализатор затвердевания на основе металла.
17. Набор по п.15, дополнительно содержащий компонент добавки с), содержащий катализатор затвердевания на основе металла.
РИСУНКИ
|
|