|
|
(21), (22) Заявка: 2006146677/04, 07.06.2005
(24) Дата начала отсчета срока действия патента:
07.06.2005
(30) Конвенционный приоритет:
07.06.2004 US 60/577,196
(43) Дата публикации заявки: 20.07.2008
(46) Опубликовано: 20.08.2010
(56) Список документов, цитированных в отчете о поиске:
US 2003/203888 A1, 30.10.2003. WO 03/055887 A, 10.07.2003. US 5744598 A, 28.04.1998. US 5864035 A, 26.01.1999. US 2003/050296 A1, 13.03.2003. RU 2001118842 A, 10.12.2003. WO 01/40232 A, 07.06.2001. RU 2002117287 A, 20.12.2003. RU 2002123618 A, 10.03.2004. RU 98111943 A, 27.03.2000.
(85) Дата перевода заявки PCT на национальную фазу:
09.01.2007
(86) Заявка PCT:
IL 2005/000602 20050607
(87) Публикация PCT:
WO 2005/120573 20051222
Адрес для переписки:
129090, Москва, ул. Б.Спасская, 25, стр.3, ООО “Юридическая фирма Городисский и Партнеры”, пат.пов. Е.Е.Назиной
|
(72) Автор(ы):
ШЕРЦ Авигдор (IL), БРЭНДИС Александр (IL), САЛОМОН Йорам (IL), ЭРЕН Дорон (IL), КОЭН Авраам (IL)
(73) Патентообладатель(и):
ЙЕДА РИСЕРЧ ЭНД ДИВЕЛОПМЕНТ КО.ЛТД. (IL)
|
(54) КАТИОННЫЕ ПРОИЗВОДНЫЕ БАКТЕРИОХЛОРОФИЛЛА И ИХ ПРИМЕНЕНИЕ
(57) Реферат:
Настоящее изобретение относится к катионным тетрациклическим и пентациклическим производным бактериохлорофилла (Bch1) формулы I, II и III, где М представляет собой 2Н или двухвалентный атом металла, выбранный из группы, включающей Pd, Ni, Cu и Zn; R1, R’2 и R6, каждый независимо, представляют собой Y-R8, -NR9R’9 или -N+R9R’9R”9 A–; Y представляет собой О; R2 представляет собой Н или СООСН3; R3 представляет собой Н или СООСН3; R4 представляет собой -СОСН3, -СН(СН3)=NR9 или -CH(CH3)=N+R9R’9A–; R5 представляет собой =O; R7, R8, R9, R’9 и R”9, каждый независимо, представляют собой (а) Н; (b) С1алкил; (с) С2-С6алкил, замещенный одной или несколькими функциональными группами, выбранными из группы, включающей OR или COOR; положительно заряженную группу, выбранную из катиона, полученного из N-содержащей группы или ониевой группы, выбранной из -S+(RR’), -P+(RR’R”), -As+(RR’R”); основную группу, которая преобразуется в положительно заряженную группу в физиологических условиях, выбранную из NRR’, PRR’, -C(=NR)- NR’R” или N-содержащего гетероарильного радикала, где каждый R, R’ и R” независимо представляет собой Н или С1-С2алкил, или два из R, R’ и R” вместе с атомом азота образуют 3-7 членное насыщенное кольцо, необязательно содержащее атом О или N и необязательно дополнительно замещенное на дополнительном атоме N; (d) С2-С4алкил, содержащий один гетероатом и/или одну гетероциклическую группу; (е) С2-С6алкил, содержащий один гетероатом и/или одну гетероциклическую группу, и замещенный одной или двумя функциональными группами, как определено выше в (с); (f) остаток аминокислоты или моносахарида; А– представляет собой физиологически приемлемый анион; m равно 0 или 1; и его фармацевтически приемлемые соли и оптические изомеры; при условии, что, когда в формуле I R2 и R3 оба представляют собой Н, R4 не представляет собой -C(CH3)=NR9; и, кроме того, при условии, что производное бактериохлорофилла формулы I, II или III содержит, по крайней мере, одну положительно заряженную группу и/или, по крайней мере, одну основную группу, которая преобразуется в положительно заряженную группу в физиологических условиях. Также изобретение относится к фармацевтической композиции на основе производного бактериохлорофилла формулы I, II и III для фотодинамической терапии опухолей, для уничтожения клеток или инфекционных агентов, содержащих бактерии и вирусы, к способу фотодинамической терапии опухоли, способу диагностики опухоли и к способу уничтожения клеток или инфекционных агентов, содержащих бактерии и вирусы. Технический результат: получены новые производные бактериохлорофилла, полезные при фотодинамической терапии опухолей. 12 н. и 65 з.п. ф-лы, 21 ил., 5 табл.
 

Область изобретения
Настоящее изобретение относится к новым водорастворимым катионным производным бактериохлорофилла, к их получению и их применению в in vivo способах фотодинамической терапии и диагностики опухолей и различных сосудистых заболеваний, таких как старческая дегенерация желтого пятна, а также в in vivo и exvivo способах уничтожения вирусов и микроорганизмов.
Определения и аббревиатуры: AMD: старческая дегенерация желтого пятна; Bchl: бактериохлорофилл (пентациклический 7,8,17,18-тетрагидропорфирин с пентаизоциклическим кольцом, центральным атомом Mg, фитильной или геранилгеранильной группой в положении 173, COOCH3 группой в положении 132, атомом H в положении 132, метильными группами в положениях 2, 7, 12, 18, ацетильной группой в положении 3 и этильной группой в положении 8); Bchlorin: бактериохлорин (7,8,17,18-тетрагидропорфирин); Bphe: бактериофеофитин (Bchl, в котором центральный атом магния замещен двумя атомами H); Bpheid: бактериофеофорбид (C-172-свободная карбоновая кислота, которая является производным Bphe); Pd-Bpheid: Pd-бактериофеофорбид (C-172-свободная карбоновая кислота, которая является производным Bphe с центральным атомом Pd); PDT: фотодинамическая терапия; Родобактериохлорин: Bchlorin содержит группу -CH2CH2COOH в положении 17, COOH в положении 13, метильные группы в положениях 2, 7, 12, 18 и этильные группы в положениях 3 и 8.
В описании используется IUPAC нумерация производных Bchl. В соответствии с этой номенклатурой природные Bchl несут два сложных эфира карбоновой кислоты в положениях 132 и 172, при этом они этерифицированы в положениях 133 и 173.
Фотодинамическая терапия (PDT) представляет собой консервативный способ лечения злокачественных опухолей и других заболеваний, при котором сначала вводят нетоксичный фотосенсибилизирующий агент (лекарственный препарат, который активируется под воздействием света), который усваивается и удерживается в опухоли или другой ткани, подвергаемой обработке, а затем проводят безопасное облучение светом с определенной длиной волны, что генерирует цитотоксические активные виды кислорода (синглетный кислород) in situ. Этот способ является более селективным, чем обычная химиотерапия и радиотерапия, вследствие избирательного накопления фотоактивируемых соединений в опухолевых тканях и благодаря контролируемой подаче светового излучения на опухоль, что приводит к пространственно ограниченным фотодинамическим эффектам.
В качестве основных фотосенсибилизирующих агентов в клинической практике используют порфирины. Оптимальное тканевое проникновение под действием света возникает между 650-800 нм, но порфимер натрия (Photofrin®, товарный знак Axcan Pharma Inc.), впервые в мире одобренный агент фотодинамической терапии, который получен из гематопорфирина-IX обработкой кислотами, и получивший одобрение FDA для лечения желудочных и эндобронхиальных немелкоклеточных злокачественных опухолей легкого, слабо абсорбирует только при около 620 нм и представляет собой комплекс и неразделимую смесь мономеров, димеров и высших олигомеров. Кроме того, Photofrin® и другие испытанные фотосенсибилизирующие агенты имеют некоторые недостатки, которые ограничивают их применение, включая главным образом: (1) относительно слабую абсорбцию в видимой области спектра, что ограничивает лечение поверхностных опухолей; (2) накопление и длительное удержание сенсибилизирующего вещества в кожном покрове пациента, что приводит к длительной (от нескольких дней до месяцев) фототоксичности кожи; и (3) небольшая или даже отсутствие разницы между действием PDT в отношении облученной опухолевой и не опухолевой тканей. Эти недостатки и специфические проблемы привели к большому количеству работ, посвященных синтезу индивидуальных чистых соединений, так называемых сенсибилизирующих веществ “второго поколения генерации”, которые абсорбируют при большой длине волны, имеют достаточно определенную структуру и обладают большей разницей между их удержанием в клетках опухоли и их удержанием в кожном покрове или других нормальных тканях.
При поиске подходящих светочувствительных молекул или фотосенсибилизирующих веществ, бактериохлорофилл, по-видимому, обладает некоторыми преимуществами по сравнению с Photofrin®, наиболее распространенным фотосенсибилизирующим веществом PDT. При облучении бактериохлорофилл может вызывать более глубокое проникновение света в ткань, таким образом, являясь более эффективным для широкого круга опухолей. Таким образом, спектр, фотофизика и фотохимия природных Bchl делает их оптимальными образующимися на свету молекулами с очевидными преимуществами над другими фотосенсибилизирующими агентами, используемыми в настоящее время или тестированными для лечения PDT. В частности, эти молекулы имеют очень высокий коэффициент экстинкции при большой длине волны ( max=760-780 нм, =(4-10)·104 M-1см-1) и более глубоко проникают в ткани. Также они порождают активные виды кислорода (ROS) при высоком квантовом выходе (в зависимости от центрального металла).
Эффективность биологического поглощения и PDT с помощью производных Bchl, не содержащих металла, исследовали с целью воздействия сродства сенсибилизирующих веществ на опухолевую клеточную часть. Основным в данном подходе является использование высоко липофильных веществ, что, с одной стороны, может повысить кумуляцию лекарственного препарата в клетках опухоли, но, с другой стороны, может затруднить его доставку к клеткам опухоли. Кроме того, это может предотвратить кумуляцию значительных уровней фототоксичного препарата в неопухолевых тканях в течение пролонгированного периода после введения лекарственного препарата.
В заявленных ранее патентах США 5726169, 5955585 и 6147195 авторами изобретения применялся различный подход. Синтезировали высокоэффективные антиваскулярные сенсибилизирующее вещества, которые после введения не вытекали из кровотока и имели короткий срок жизни в крови. Было сделано предположение о существовании характерной разницы между сосудами с нормальной и патологической тканями, такой как опухоли или другие ткани с неоваскуляризацией, что могло бы способствовать относительно селективному разрушению патологической ткани. Таким образом, была поставлена задача синтезировать производные Bchl, которые являются более полярными и, следовательно, имеют лучшую возможность задерживаться в сосудистом компоненте, где они привносят первоначальный фотодинамический эффект. При воздействии на активный участок остатка 17-пропионовой кислоты природного Bchl обеспечиваются конъюгаты с различными остатками, такими как аминокислоты, пептиды или белки, которые усиливают гидрофильность сенсибилизирующего вещества. Проводили исследование васкулярной целевой активности этих производных, бактериохлорофилл-серина, а также его быстроту выведения из кровотока и всего организма животного, недостаточность кожной фототоксичности и высокий лечебный потенциал (Rosenbach-Belkin et al, 1996; Zilberstein et al., 1997; Zilberstein et al., 2001). Тем не менее, эти Mg-содержащие соединения показали неприемлемость для фармацевтического применения вследствие их низкой стабильности при длительном хранении.
В поздних публикациях заявителей PCT WO 00/33833 и соответствующем патенте США 6569846 для повышения стабильности производных Bchl центральный атом Mg замещали на Pd. Этот тяжелый атом ранее показывал явное усиление способности окисления макроцикла Bchl и в то же время значительное повышение скорости межсистемного взаимопересечения (ISC) молекулы до их триплетного состояния. Замещение металла выполняли путем непосредственного введения Pd2+ иона в молекулу Bpheid, как описано в WO 00/33833. Первое Pd-замещенное производное Bchl, палладий-бактериофеофорбид или Pd-Bpheid (Tookad®, товарный знак Steba Biotech), показывал высокую эффективность против различных твердых опухолей в доклинических исследованиях (Schreiber et al., 2002; Gross et al., 2003; Koudinova et al., 2003; WO 03/094695), даже против опухолей, содержащих резистентные опухолевые клетки (Preise et al., 2003). Антиваскулярная активность Pd-Bpheid способна разрушать ткань предстательной железы на моделях собак, не воздействуя на функции мочевого пузыря (Chen et al., 2002). Фаза I/II клинических испытаний подтверждает, что Pd-Bpheid является безопасным для применения в фотодинамической терапии рака предстательной железы у пациентов, которым не помогла радиотерапия (Elhilali, 2004), и вызывает снижение некроза и PSA (специфический антиген простаты) васкуляризированной железистой ткани в простате пациента, подвергаемого лечению дозами терапевтического излучения и лекарственного препарата (Trachtenberg, 2003).
Из-за своей низкой растворимости в водных растворах для клинического использования Pd-Bpheid требуется применение солюбилизирующих агентов, таких как Cremophor, высокие дозы которого могут вызвать побочные эффекты. Это привело авторов изобретения к разработке нового семейства производных Bchl, описанных в PCT/IL 03/00973 (WO 2004/045492), состоящих из макроцикла Bchlorin, содержащего двух- или трехвалентный центральный атом металла и по крайней мере два анионных остатка. Эти анионные соединения Bchl можно вводить внутривенно после солюбилизации в водных растворах без добавления или с добавлением эксципиентов. Их короткий период нахождения в кровотоке в сочетании с относительно быстрым действием и высокоэффективной антиваскулярной активностью демонстрирует возможность их использования в качестве антиваскулярных агентов PDT. Более того, одно из этих анионных производных Bchl в настоящее время проходит доклинические исследования при PDT старческой дегенерации желтого пятна (AMD) и при опухолях печени, например гепатомы.
В DE 10154436 описаны пиробактериофеофорбидные соединения для применения при фотодинамической терапии, в которых по крайней мере одна из кетогрупп в положении 3a или 131 порфириновой системы модифицирована до соответствующего имина.
В WO 03/028629 описаны производные хлорофилла, которые могут содержать положительно заряженные группы аммония или иминия, для фотодинамической терапии или диагностики.
В WO 03/028628 описаны тетрапиррольные макроциклы, которые замещены по крайней мере одной функциональной группой, содержащей карбаматную группу формулы -OCON< или -OCON=C<, и которые необязательно содержат положительно заряженные группы аммония или иминия, для фотодинамической терапии или диагностики. Хотя общие формулы, представленные в указанных публикациях, включают производные бактериохлорофилла, необходимо отметить, что ни конкретные производные бактериохлорофилла не описаны, ни способы получения производных бактериохлорофилла в описаниях не анализируются.
Существует большая потребность в разработке новых производных бактериохлорофилла, которые были бы стабильными и могли бы иметь повышенную аффинность по отношению к эндотелиальным клеткам, для применения в фотодинамической терапии и, в частности, в васкулярной целевой фототерапии (VTP).
Краткое изложение изобретения
Настоящее изобретение относится, в одном из аспектов, к производному бактериохлорофилла, содержащему по крайней мере одну положительно заряженную группу и/или по крайней мере одну основную группу, которая преобразуется в положительно заряженную группу в физиологических условиях, при условии, что указанное производное бактериохлорофилла не имеет функциональной группы, содержащей карбаматную группу, и, когда производное бактериохлорофилла представляет собой пиробактериофеофорбид, по крайней мере одна основная группа, которая преобразуется в положительно заряженную группу в физиологических условиях, не представляет собой группу имина в положении 3a или 131 молекулы бактериохлорофилла.
В другом аспекте настоящее изобретение далее относится к фармацевтическим композициям, содержащим, как указано выше, производное Bchl и фармацевтически приемлемый носитель, и эти композиции могут быть использованы для фотодинамической терапии (PDT), в частности для васкулярно-целевой PDT, например для PDT опухолей, а также могут иметь не связанное с онкологией применение при лечении старческой дегенерации желтого пятна (AMD), сердечно-сосудистых заболеваний и кожных заболеваний, таких как акне и псориаз. Кроме того, композиции могут применяться для уничтожения инфекционных агентов, включая грамотрицательные или грамположительные бактерии и вирусы in vivo или in vitro, а также для диагностических целей.
Кроме того, настоящее изобретение относится к усовершенствованному способу фотодинамической терапии, использующей фотосенсибилизирующее вещество, где усовершенствование заключается в использовании в качестве фотосенсибилизирующего вещества производного Bchl по изобретению. В соответствии с данным аспектом изобретение относится к способу лечения с помощью PDT, который включает введение нуждающемуся в лечении субъекту эффективного количества производного Bchl по изобретению с последующим местным облучением.
В одном из вариантов воплощения изобретения способ лечения с помощью PDT включает введение нуждающемуся в лечении опухоли субъекту эффективного количества производного Bchl по изобретению с последующим местным облучением.
В другом варианте воплощения изобретения способ лечения с помощью PDT включает введение страдающему старческой дегенерацией желтого пятна субъекту эффективного количества производного Bchl по изобретению с последующим местным облучением.
В следующем варианте воплощения настоящее изобретение относится к способу профилактики или снижения рестеноза при использовании стента, включающему введение страдающему сердечно-сосудистым заболеванием субъекту, подвергшемуся коронарной кардиографии, эффективного количества производного Bchl по изобретению с последующим местным облучением.
Далее изобретение относится к усовершенствованному способу диагностики опухолей, использующей фотосенсибилизирующее вещество, где усовершенствование заключается в использовании в качестве фотосенсибилизирующего вещества производного Bchl по изобретению. В соответствии с данным аспектом изобретение относится к способу диагностики опухолей, который включает введение субъекту, у которого подозревают наличие опухоли, эффективного количества производного Bchl по изобретению с последующим местным облучением, например пертурбация с электромагнитным излучением различных длин волн, включая короткие (например, рентгеновские лучи), средние (например, УФ-излучение/видимая область света/около ИК-излучение), что дает излучение оптической частоты, и длинные (например, радиоизлучение), что дает возможность сигналов, например, ядерного или электронного парамагнитного резонанса.
Изобретение далее относится к усовершенствованному способу уничтожения клеток или инфекционных агентов, включая бактерии и вирусы, использующему фотосенсибилизирующее вещество, где усовершенствование заключается в использовании в качестве фотосенсибилизирующего вещества производного Bchl по изобретению. В соответствии с данным аспектом изобретение относится к способу стерилизации биологических продуктов, например крови, который включает добавление к указанному биологическому продукту, например крови, эффективного количества производного Bchl по изобретению с последующим облучением.
Краткое описание фигур
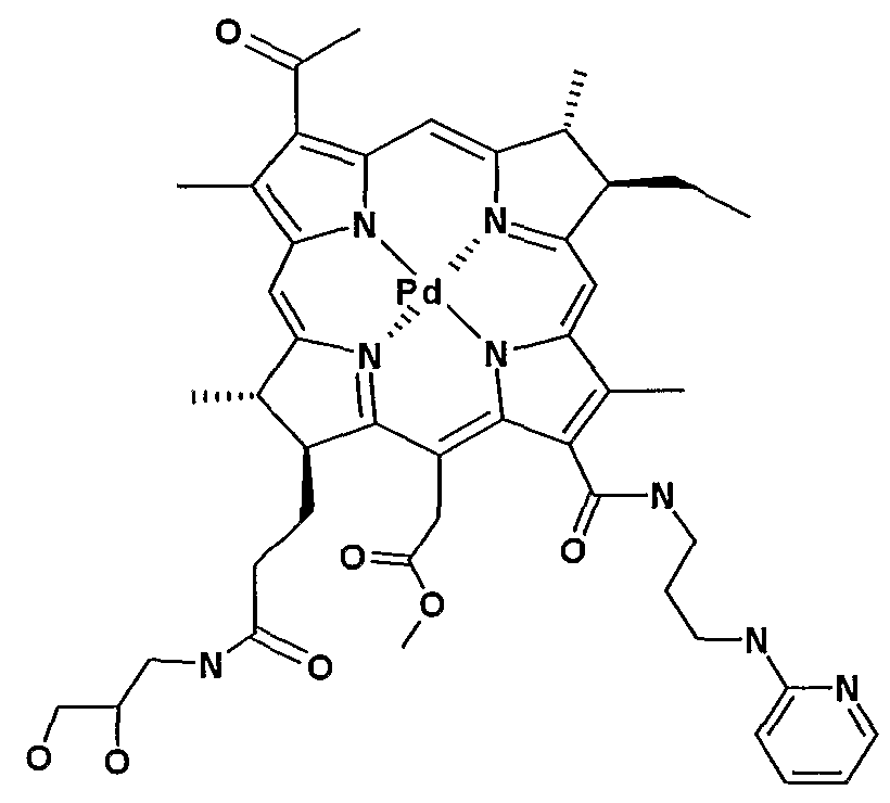
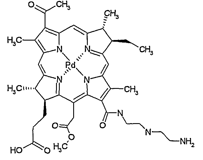
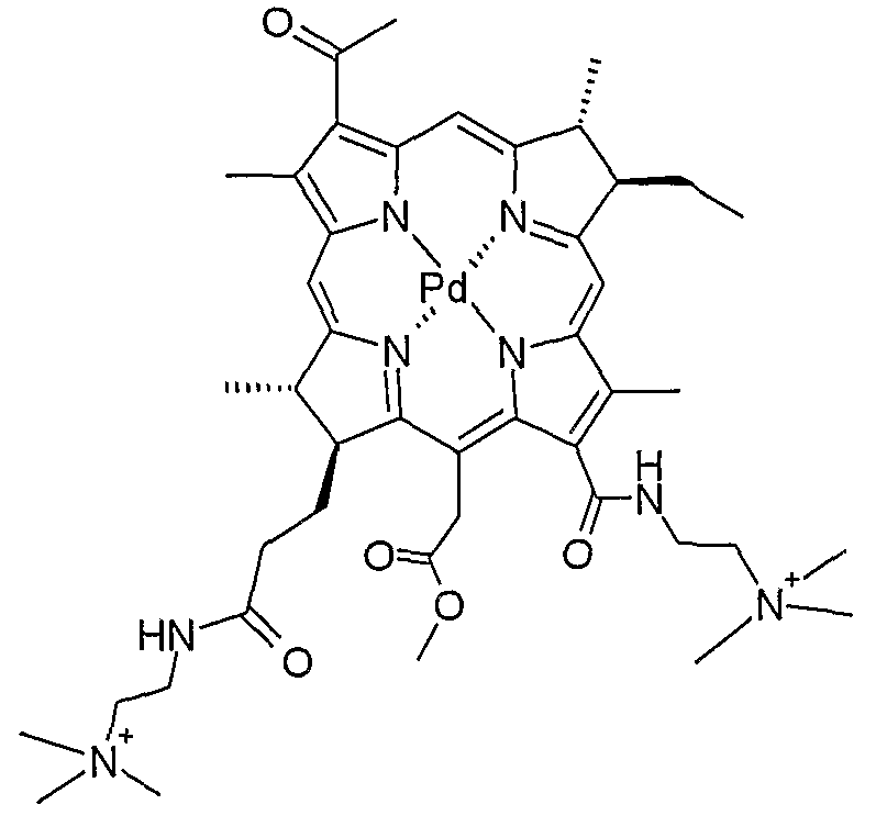
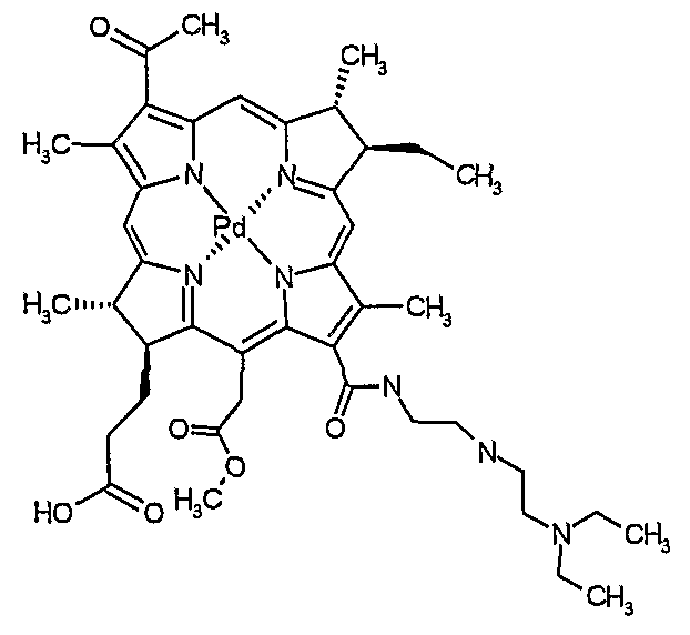
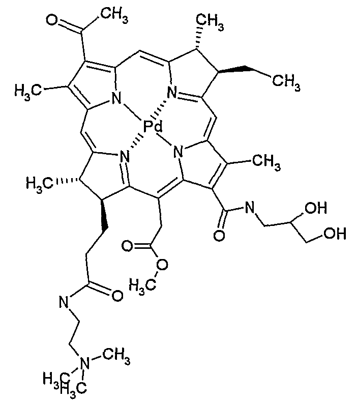
Различные исследованные соединения представлены в следующем описании чертежей с помощью жирных линий и подчеркиванием. Их полное определение приведено в списке соединений в начале химической части, в примерах и далее в приложении.
На фиг.1 представлен спектр флуоресценции соединения 5 в метаноле.
На фиг.2 – спектр соединения 5 в физиологическом растворе с фосфатным буфером (PBS) с повышающимися концентрациями человеческого сывороточного альбумина (HSA). ( ex=520 нм).
На фиг.3A-3C – графики, показывающие фототоксичность соединений 5, 7, 9 и 11 в отношении эндотелиальных клеток H5V. На фиг.3А: фототоксичность через 90 минут инкубации клеток с повышающимися концентрациями соединений 5 и 11. На фиг.3B: фототоксичность после 2-часовой инкубации с повышающимися концентрациями соединений 5, 7 и 9. На фиг.3C: фототоксичность после 1-10 минут инкубации с соединением 5 (50 мкМ). Клетки инкубировали в темноте с указанными концентрациями соединений, промывали и облучали в течение 10 минут (открытые формы на фиг.3A-B, закрытая форма на фиг.3C) или хранили в темноте (контроль затемненности, закрытые формы на фиг.3A-B). Измерения выполняли трижды, и показаны характерные эксперименты.
На фиг.4 представлен график, показывающий фармакокинетику соединения 5 в крови крыс Wistar. Проводили внутривенную (i.v.) инъекцию соединения 5 (0,6 мг/кг), образцы крови собирали у одной и той же крысы через 0, 5, 10, 15, 20, 30, 45 минут и 1, 2, 6, 24 часов после инъекции и записывали спектр флуоресценции. Каждый момент времени представляет собой среднее значение от трех крыс ± STD.
На фиг.5A-5B показано биораспределение соединения 5 у крысы Wistar. Через 30 минут (фиг.5A) или 24 часа (фиг.5B) после введения внутривенной инъекцией соединения 5 (0,6 мг/кг) крыс умерщвляли, записывали спектр флуоресценции указанных органов и тканей, и фармакокинетические данные обрабатывали.
На фиг.6A-6C представлены фотографии, демонстрирующие локальный эффект PDT у мышей с ксенотрансплантатом глиомы C6 и подвергнутых внутривенной инъекции с помощью соединения 5. Самца мыши Nude CD1 обрабатывали 0,3 мг/кг соединения 5 и в течение 15 минут облучали лазером с длиной волны 755 нм (80 МВт/см2). На фиг.6A: фотографии локализации опухоли у животного, подвергнутого PDT, на 0, 4, 14, 21 и 32 день. На фиг.6B: фотографии локализация опухоли контрольной мыши в темноте (обработанной путем инъекции соединения 5, но не облученной) (n=3) на 0 и 10 день; на фиг.6C: фотографии локализации опухоли контрольной мыши на свету (обработанной физиологическим раствором в объемном эквиваленте, равном объему раствора соединения 5 и подвергнутой облучению) (n=2) на 0 и 10 день.
На фиг.7 показана вероятность выживания мыши с ксенотрансплантатом глиомы C6, подвергаемой PDT с помощью соединения 5. Мышей с ксенотрансплантатами глиомы C6 (n=17) подвергали внутривенной инъекции соединения 5 (0,3 мг/г) и сразу облучали в течение 15 минут с интенсивностью, равной 80 МВт/см2 (полная подвергаемая лечению группа, n=12, прямоугольники). Контрольные группы: неподвергаемые лечению мыши с опухолью (n=2, круги), контроль в темноте (n=3, ромбы), контроль на свету (n=2, треугольники). * вероятность объема опухоли <2 мл.
На фиг.8A-8D представлены графики, показывающие фототоксичность отрицательно заряженного производного бактериохлорофилла (см. пример 22) и соединения 5 в отношении грамположительных и грамотрицательных бактерий. Грамположительные (St. albus, фиг.8A, 8B) и грамотрицательные (E.coli, фиг.8C, 8D) бактерии инкубировали в течение 1 часа с указанными концентрациями отрицательно заряженного производного бактериохлорофилла (фиг.8A, 8C) или с соединением 5 (фиг.8B, 8D) и облучали в течение 15 минут с интенсивностью 70 МВт/см2. Бактериальную выживаемость определяли путем подсчета колонии клеток. Измерения выполняли трижды и проводили общепринятые исследования.
На фиг.9A-9E представлены графики, показывающие биораспределение соединений 28, 32, 10, 36 и 75 соответственно в нескольких органах мыши Nude с ксенотрансплантатом гипернефроидной опухоли почки (RCC). Крыс подвергали инъекции раствора исследуемого соединения в изотоническом манните (1,5 мг/кг) в разные моменты времени.
Подробное описание изобретения
Настоящее изобретение разработано в результате обнаружения авторами настоящего изобретения того, что доклинические исследования Tookad® (Pd-Bpheid) и водорастворимых анионных производных Bchl (описанные в WO 2004/045492) продемонстрировали их высокую эффективность при PDT некоторых твердых опухолей, таких как меланома, глиома, ксенотрансплантаты простаты человека, нормальная простата собаки и DS саркома у экспериментальных образцов животных (Chen et al., 2002; Schreiber et al., 2002; Gross et al., 2003; Kelleher et al., 2003; Koudinova et al., 2003; Mazor et al., 2003; Plaks et al, 2004), и показали, что эндотелиальные клетки, внеклеточный матрикс и, возможно, тромбоциты являются вероятными кандидатами для первичного фотодинамического воздействия.
Что касается вышеуказанных производных Bchl, то не было найдено доказательств прямого действия реакционно-активных видов кислорода (ROS), образующихся в процессе облучения, на опухолевые клетки (Gross et al., 2003). Поэтому полагают, что наблюдаемая высокая скорость терапии указывает на то, что фотодинамическое поражение эндотелия опухоли может быть достаточным для вызывания полного опухолевого ответа. Следуя этому наблюдению, авторы изобретения исследовали, каким образом усилить сродство фотосенсибилизирующего вещества по отношению к эндотелиальным клеткам и, в частности, к неоэндотелиальным клеткам, которые являются характерными для опухоли и других связанных с сосудами заболеваний. Подходящие цели определялись как отрицательные заряды с высокой плотностью на эндотелии, включая эндотелиальное окно, окаймленные ямки, плазмалемма proper и везикулы (Simionescu et al. 1981; Ghinea и Simionescu, 1985; Hamblin et al., 1999), рецепторы фактора роста фибропласта (Segev et al., 2002), эндотелиальный гликокаликс (высоко гидратированные ячейки мембраносвязанных отрицательно заряженных протеогликанов, гликозаминогликанов, гликобелков и гликолипидов, некоторые содержащие сульфоновые группы), и ангиогенные эндотелиальные клетки (Thurston et al., 1998; Dellian et al., 2000). Кроме того, последние публикации отмечают повышенную экспозицию анионных фосфолипидов на поверхности опухолевого эндотелия, например лимфома Ходжкина, немелкоклеточный рак легкого человека, фибросаркома у мышей, рак молочной железы человека и меланома (Ran et al., 2002). Повышенное число анионных локализаций в эндотелии ставит привлекательную задачу для опухолевой терапии.
Настоящее изобретение относится, в широком аспекте, к производному бактериохлорофилла, содержащему по крайней мере одну положительно заряженную группу и/или по крайней мере одну основную группу, которая преобразуется в положительно заряженную группу в физиологических условиях, при условии, что производное бактериохлорофилла не содержит функциональную группу, включающую карбаматную группу, и, когда производное бактериохлорофилла представляет собой пиробактериофеофорбид, по крайней мере одна основная группа, которая преобразуется в положительно заряженную группу в физиологических условиях, не представляет собой иминогруппу в положении 3a или 131 молекулы бактериохлорофилла.
В одном из вариантов воплощения производное бактериохлорофилла по изобретению содержит по крайней мере одну положительно заряженную группу, более предпочтительно катион, полученный из N-содержащей группы.
В предпочтительном варианте воплощения по крайней мере одна положительно заряженная группа представляет собой катион, полученный из N-содержащей группы, такой как, но этим не ограничивающийся, аммоний -N+(RR’R”), гидразиний -(R)N-N+(R’R”), аммонийокси O N+(RR’)-, иминий >C=N+(RR’), амидиний -C(=RN)-N+R’R” или гуанидиний -(R)N-C(=NR)-N+R’R” группа, где R, R’ и R”, каждый независимо, представляют собой H, гидрокарбил или гетероциклил, или два из R, R’ и R” вместе с атомом N, к которому они присоединены, образуют 3-7-членное насыщенное кольцо, необязательно содержащее один или несколько гетероатомов, выбранных из группы, включающей О, S или N, и необязательно дополнительно замещенное на дополнительном атоме N. Следует учесть, что положительно заряженная N-содержащая группа может быть концевой группой, группой в гидрокарбильной цепи молекулы Bchl или частью насыщенного кольца, в котором N является протонированным, как определено в данном документе. Кроме того, как определено в данном документе, по крайней мере одна положительно заряженная группа также может представлять собой катион, полученный из N-содержащего гетероароматического радикала.
В одном из предпочтительных вариантов воплощения изобретения производное бактериохлорофилла содержит аммонийную группу формулы -N+(RR’R”), где каждый из R, R’ и R”, независимо, представляет собой H, гидрокарбил, предпочтительно С1-С25алкил, более предпочтительно С1-С10– или С1-С6алкил, или гетероциклил. Аммонийная группа -N+(RR’R”) может представлять собой вторичную аммонийную группу, где любые два из радикалов R, R’ или R” представляют собой H, третичную аммонийную группу, где только один из R, R’ или R” представляет собой H, или четвертичный аммоний, где ни один из R, R’ или R” не представляет собой H. Аммонийная группа может быть концевой группой или группой в гидрокарбильной, предпочтительно алкильной, цепи. Предпочтительно аммонийная группа представляет собой четвертичную аммонийную группу, где R, R’ и R”, каждый независимо, представляют собой С1-С6алкил.
В другом предпочтительном варианте воплощения производное бактериохлорофилла содержит циклическую аммонийную группу формулы -N+(RR’R”), где два из R, R’ и R” вместе с атомом N образуют 3-7-членное насыщенное кольцо, необязательно содержащее дополнительный гетероатом, выбранный из группы, включающей атом О, S и N, и необязательно дополнительно замещенное дополнительным атомом N, как определено в данном документе. Примеры таких циклических аммонийных групп включают азиридиний, пирролидиний, пиперидиний, пиперазиний, морфолиний, тиоморфолиний, азепиний и тому подобное.
В следующем варианте воплощения производное бактериохлорофилла по изобретению содержит катион, полученный из N-гетероароматического соединения, которое может представлять собой моно- или полициклическое соединение, которое может дополнительно содержать O, S или дополнительные атомы N, как указано здесь далее.
В другом варианте воплощения производное бактериохлорофилла по изобретению содержит ониевую группу, не содержащую N, такую как, но ими не ограничивающуюся, фосфоний [-P+(RR’R”)], арсоний [-As+(RR’R”)], оксоний [-O+(RR’)], сульфоний [-S+(RR’)], селеноний [-Se+(RR’)], теллуроний [-Te+(RR’)], стибоний [-Sb+(RR’R”)] или висмутоний [-Bi+(RR’R”)] группу, где каждый из R, R’ и R”, независимо, представляет собой H, гидрокарбил или гетероциклил. В предпочтительных вариантах воплощения R, R’ и R” представляют собой H, С1-С6алкил, такой как метил, этил, пропил, изопропил, н-бутил, изобутил, втор-бутил, пентил или гексил, арильную группу, предпочтительно фенил, или аралкильную группу, такую как бензил и фенетил.
В другом варианте воплощения производное бактериохлорофилла по изобретению содержит по крайней мере одну основную группу, которая преобразуется в положительно заряженную группу в физиологических условиях. Используемый здесь термин “физиологические условия” относится к условиям в различных тканях и клеточном компартменте организма.
В одном из вариантов воплощения основная группа представляет собой аминогруппу формулы -N(RR’), где каждый из R и R’ независимо представляет собой H, гидрокарбил или гетероциклил. Аминогруппа -N(RR’) может представлять собой вторичный амино, где только один из R и R’ представляет собой H, или третичный амино, где ни один из R и R’ не представляет собой H, или представляет собой циклический амино, где R и R’ вместе с атомом N образуют 3-7-членное насыщенное кольцо, необязательно содержащее дополнительный гетероатом, выбранный из группы, включающей атом O, S и N, и, необязательно, дополнительно замещенный на дополнительном атоме N, как определено в данном документе. Следует учесть, что основная аминогруппа может быть концевой группой, группой в гидрокарбильной цепи молекулы или частью N-содержащего 3-7 членного насыщенного кольца, такого как азиридин, пирролидин, пиперидин, пиперазин, морфолин, тиоморфолин, азепин и тому подобное.
Другие основные группы, которые преобразуются в положительно заряженную группу в физиологических условиях и могут использоваться в соответствии с изобретением, будут определены в описании далее.
В другом варианте воплощения производное бактериохлорофилла по изобретению содержит как по крайней мере одну положительно заряженную группу, так и по крайней мере одну основную группу, которая преобразуется в положительно заряженную группу в физиологических условиях.
Производное бактериохлорофилла по изобретению может представлять собой производное природного бактериохлорофилла, такого как бактериохлорофилл a или b, или синтетического неприродного производного бактериохлорофилла, включая соединения, в которых модификации были осуществлены в макроцикле, с центральным атомом металла и/или на периферии. Центральный атом Mg может отсутствовать или быть заменен на другой атом металла, такой как двухвалентный Pd, Pt, Co, Sn, Ni, Cu, Zn или Mn или трехвалентный Fe, Mn, Co, Au, Al, Gd, Er, Yb или Cr. В соответствии с настоящим изобретением центральный атом металла предпочтительно отсутствует или он представляет собой Pd.
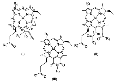
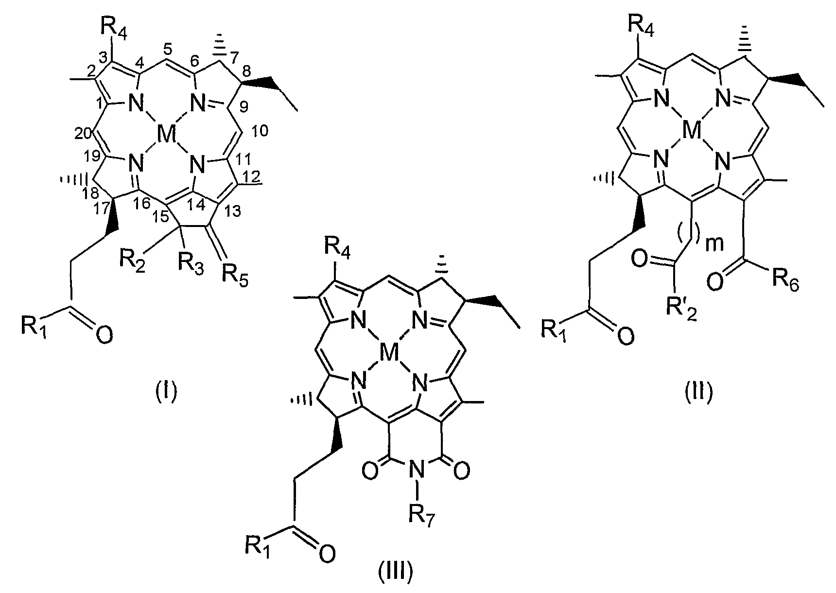
В одном из предпочтительных вариантов воплощения изобретения настоящее изобретение относится к производному бактериохлорофилла формулы I, II или III:

где
M представляет собой 2H, двухвалентный атом металла, выбранный из группы, включающей Pd, Pt, Co, Sn, Ni, Cu, Zn и Mn, или трехвалентный атом металла, выбранный из группы, включающей Fe, Mn, Co, Au, Al, Gd, Er, Yb и Cr;
R1, R’2 и R6, каждый независимо, представляют собой Y-R8, -NR9R’9 или -N+R9R’9R”9 A–;
Y представляет собой O или S;
R2 представляет собой H, OH или COOR9;
R3 представляет собой H, OH, С1-С12алкил или C1-С12алкокси;
R4 представляет собой -CH=CR9R’9, -CH=CR9Hal, -CH=CH-CH2-NR9R’9, -CH=CH-CH2-N+R9R’9R”9A–, -CHO, -CH=NR9, -CH=N+R9R’9A–, -CH2-OR9, -CH2-SR9, -CH2-Hal, -CH2-R9, -CH2-NR9R’9, -CH2-N+R9R’9R”9A–, -CH2-CH2R9, -CH2-CH2Hal, -CH2-CH2OR9, -CH2-CH2SR9, -CH2-CH2-NR9R’9, -CH2-CH2-N+R9R’9R”9A–, -COCH3, C(CH3)=CR9R’9, -C(CH3)=CR9Hal, -C(CH3)=NR9, -CH(CH3)=N+R9R’9A–, -CH(CH3)-Hal, -CH(CH3)-OR9, -CH(CH3)-SR9, -CH(CH3)-NR9R’9, -CH(CH3)-N+R9R’9R’9A– или -C CR9;
R5 представляет собой =O, =S, =N-R9, =N+R9R’9A–, =CR9R’9 или =CR9-Hal;
R7, R8, R9, R’9 и R”9, каждый независимо, представляют собой
(a) H;
(b) C1-С25гидрокарбил;
(c) С1-С25гидрокарбил, предпочтительно С1-С25алкил, более предпочтительно С1-С10– или С1-С6алкил, замещенный одной или несколькими функциональными группами, выбранными из группы, включающей галоген, нитро, оксо, OR, SR, эпокси, эпитио, -CONRR’, -COR, COOR”, -OSO3R, -SO3R”, -SO2R, -NHSO2R, -SO2NRR’, =N-OR, -(CH2)n-CO-NRR’, -O-(CH2)n-OR, -O-(CH2)n-O-(CH2)n-R, -OPO3RR’, -PO2HR и -PO3R”R”, где R и R’, каждый независимо, представляют собой H, гидрокарбил или гетероциклил, и R” представляет собой гидрокарбил или гетероциклил;
(d) С1-С25гидрокарбил, предпочтительно С1-С25алкил, более предпочтительно С1-C10– или С1-С6алкил, замещенный одной или несколькими функциональными группами, выбранными из группы, включающей положительно заряженные группы, отрицательно заряженные группы, основные группы, которые преобразуются в положительно заряженные группы в физиологических условиях, и кислотные группы, которые преобразуются в отрицательно заряженные группы в физиологических условиях;
(e) С1-С25гидрокарбил, предпочтительно С1-С25алкил, более предпочтительно С1-С10– или С1-С6алкил, содержащий один или несколько гетероатомов и/или одну или несколько карбоциклических или гетероциклических групп;
(f) C1-С25гидрокарбил, предпочтительно С1-С25алкил, более предпочтительно С1-С10– или С1-С6алкил, содержащий один или несколько гетероатомов и/или одну или несколько карбоциклических или гетероциклических групп, и замещенный одной или несколькими функциональными группами, как определено выше в (c) и (d);
(g) С1-С25гидрокарбил, предпочтительно С1-С25алкил, более предпочтительно С1-С10– или С1-С6алкил, замещенный остатком аминокислоты, пептида, белка, моносахарида, олигосахарида или полисахарида; или
(h) остаток аминокислоты, пептида, белка, моносахарида, олигосахарида или полисахарида;
R8, кроме того, может представлять собой H+ или катион R+ 10, когда R1, R’2 и R6, каждый независимо, представляют собой Y-R8;
R+ 10 представляет собой металл, аммонийную группу или органический катион;
A– представляет собой физиологически приемлемый анион;
m равно 0 или 1; и
его фармацевтически приемлемые соли и оптические изомеры;
при условии, что, когда в формуле I R2 и R3 оба представляют собой H, R5 не представляет собой =N-R9 и/или R4 не представляет собой -C(CH3)=NR9; и, кроме того, при условии, что производное бактериохлорофилла формулы I, II или III содержит по крайней мере одну положительно заряженную группу и/или по крайней мере одну основную группу, которая преобразуется в положительно заряженную группу в физиологических условиях.
Как определено в данном документе, A– представляет собой физиологически приемлемый анион, такой как хлорид, бромид, иодид, перхлорат, сульфат, фосфат, или органический анион, такой как ацетат, бензоат, каприлат, цитрат, лактат, малонат, манделат, мезилат, оксалат, пропионат, сукцинат, тозилат и тому подобное.
Термин “галоген” относится к фтору, хлору, брому или иоду.
Термин “C1-С25гидрокарбил”, как определено для R7, R8, R9, R’9 и R”9, представляет собой прямой или разветвленный, насыщенный или ненасыщенный, ациклический или циклический, включая ароматический, гидрокарбильный радикал, содержащий 1-25 атомов углерода, предпочтительно от 1 до 20, более предпочтительно от 1 до 6 атомов углерода.
В одном из предпочтительных вариантов воплощения изобретения С1-С25гидрокарбил представляет собой прямой или разветвленный С1-С25алкильный радикал, предпочтительно C1-C10 и более предпочтительно С1-С6алкил, например метил, этил, н-пропил, изопропил, бутил, изобутил, трет-бутил, пентил и гексил.
В другом варианте воплощения алкильная группа включает 10 атомов углерода или более, например -C10H21, -C15H31, -C16H33, -C17H35, -C18H37, -C20H41 и тому подобное. Когда R1 представляет собой -OR8, тогда R8 может также представлять собой геранилгеранил (2,6-диметил-2,6-октадиенил) или фитил (2,6,10,14-тетраметил-гексадец-14-ен-16-ил) радикал, алкенильные группы, которые находятся в положении 173 природного хлорофилла или бактериохлорофилльного соединения.
В другом варианте воплощения С1-С25гидрокарбил представляет собой прямой или разветвленный C2-С25алкенильный или алкинильный радикал, предпочтительно включающий 2-6 атома углерода, например винил, проп-2-ен-1-ил, бут-3-ен-1-ил, пент-4-ен-1-ил, гекс-5-ен-1-ил, этинил, пропаргил и тому подобное.
Кроме того, в другом варианте воплощения С1-С25гидрокарбил представляет собой C3-С25моноциклический или полициклический циклоалкил, предпочтительно C3-C14-, более предпочтительно C3-С7циклоалкил, такой как циклопропил, циклобутил, циклопентил, циклогексил и циклогептил.
В следующем варианте воплощения С1-С25гидрокарбил представляет собой моноциклический или полициклическим арильный радикал, предпочтительно C6-C18, более предпочтительно C6-С14арил, такой как фенил, нафтил, карбазолил, антрил, флуоренил, инданил и фенантрил.
В следующем варианте воплощения С1-С25гидрокарбил представляет собой аралкильный радикал, где арильный радикал представляет собой предпочтительно C6-C18-, более предпочтительно C6-С14арил, такой как фенил или нафтил, и представляет собой более предпочтительно бензил или фенетил.
Используемый здесь термин “карбоциклическая группа” относится к моноциклическому или полициклическому соединению, содержащему только атомы углерода в кольце(ах). Карбоциклическая группа может быть насыщенной, то есть представляет собой циклоалкил, как указано выше, или ненасыщенной, то есть представляет собой циклоалкенил, или ароматической, то есть представляет собой арил, как указано выше.
Используемый здесь термин “алкокси” относится к группе (C1-C25)алкил-O-, где С1-С25алкил является таким, как указано выше. Примеры алкокси включают метокси, этокси, н-пропокси, изопропокси, бутокси, изобутокси, трет-бутокси, пентокси, гексокси, -OC15H31, -OC16H33, -OC17H35, -OC18H37 и тому подобное. Используемый здесь термин “арилокси” относится к группе (C6-C18)арил-O-, где C6-С18арил является таким, как указано выше, например фенокси и нафтокси.
Используемые здесь термины “гетероарил”, или “гетероциклическая группа”, или “гетероароматический”, или “гетероциклил” означают радикал, производный от моно- или полициклического гетероароматического кольца, содержащего от одного до трех гетероатомов, выбранных из группы, включающей O, S и N. Конкретные примеры включают пирролил, фурил, тиенил, пиразолил, имидазолил, оксазолил, тиазолил, пиридил, хинолинил, пиримидинил, 1,3,4-триазинил, 1,2,3-триазинил, 1,3,5-триазинил, бензофурил, изобензофурил, индолил, имидазо[1,2-a]пиридил, бензимидазолил, бензтиазолил и бензоксазолил.
Любой “карбоциклил”, “арил” или “гетероарил” может быть замещен одним или несколькими радикалами, такими как галоген, C6-С14арил, С1-С25алкил, нитро, OR, SR, -COR, -COOR, -SO3R, -SO2R, -NHSO2R, -NRR’, -(CH2)n-NR-COR’ и -(CH2)n-CO-NRR’. Следует учесть, что когда полициклическое гетероароматическое кольцо является замещенным, то замещения могут быть в любом карбоциклическом и/или гетероциклическом кольцах.
Используемое здесь выражение “положительно заряженная группа” означает катион, полученный из N-содержащей группы или из не содержащей N ониевой группы.
Используемое здесь выражение “катион, полученный из N-содержащей группы” включает, например, но ими не ограничивается, аммоний -N+(RR’R”), гидразиний -(R)N-N+(R’R”), аммонийокси O N+(RR’)-, иминий >C=N+(RR’), амидиний -C(=RN)-N+R’R” или гуанидиний -(R)N-C(=NR)-N+R’R” группу, где R, R’ и R”, каждый независимо, представляют собой H, гидрокарбил, предпочтительно С1-С6алкил, как определено в данном документе, фенил, или бензил, или гетероциклил, или в группе аммония один из R, R’ и R” может представлять собой OH, или два из R, R’ и R” в группе аммония или R и R’ в группах гидразиния, аммонийокси, иминия, амидиния или гуанидиния, вместе с атомом N, к которому они присоединены, образуют 3-7-членное насыщенное кольцо, необязательно содержащее один или несколько гетероатомов, выбранных из группы, включающей O, S или N, и, необязательно, дополнительно замещенное на дополнительном атоме N, или указанный катион представляет собой производное от соединения, содержащего один или несколько атомов N в гетероароматическом кольце.
В одном более предпочтительном варианте воплощения производное бактериохлорофилла содержит группу аммония формулы -N+(RR’R”), где каждый из R, R’ и R” независимо представляет собой H или необязательно замещен гидрокарбилом или гетероциклилом, как определено в данном документе, или один из них может представлять собой OH. Группа аммония, -N+(RR’R”), может представлять собой вторичный аммоний, где любые два из радикалов R, R’ или R” представляют собой H; третичный аммоний, где только один из R, R’ или R” представляет собой H; или четвертичный аммоний, где каждый из R, R’ или R” представляет собой необязательно замещенный гидрокарбил или гетероциклильную группу, как определено в данном документе. Когда один из R, R’ или R” представляет собой OH, группа представляет собой группу гидроксиламмония. Предпочтительно группа аммония представляет собой четвертичную группу аммония, где R, R’ и R”, каждый, представляют собой С1-С6алкил, такой как метил, этил, пропил, бутил, гексил. Как указано выше, группа аммония может быть концевой группой в молекуле или может находиться в алкильной цепи молекулы.
В группах гидразиния -(R)N-N+(R’R”), амидиния -C(=NR)-N+R’R” и гуанидиния -(R)N-C(=NR)-N+R’R”, R, R’ и R”, каждый, может независимо представлять собой H или гидрокарбил, или гетероциклил, или R’ и R” вместе с атомом N, к которому они присоединены, образуют 3-7-членное насыщенное кольцо, как определено в данном документе. Примеры таких групп включают группы, где R представляет собой H, и R’ и R”, каждый, представляет собой С1-С6алкил, такой как метил, этил, пропил, бутил, гексил.
В группах аммонийокси О N+(RR’)- и иминия >C=N+(RR’), R и R’, каждый, может независимо представлять собой H или гидрокарбил, предпочтительно С1-С6алкил или гетероциклил, или R и R’ вместе с атомом N, к которому они присоединены, образуют 3-7-членное насыщенное кольцо, как определено в данном документе.
В другом предпочтительном варианте воплощения производное бактериохлорофилла содержит циклическую аммонийную группу формулы -N+(RR’R”), где два из R, R’ и R” вместе с атомом N образуют указанное ниже 3-7-членное насыщенное кольцо.
Как определено в данном документе, “3-7-членное насыщенное кольцо”, образованное двумя из R, R’ и R” вместе с атомом N, к которому они присоединены, может представлять собой кольцо, включающее только N, такое как, азиридин, пирролидин, пиперидин, пиперазин или азепин, или может содержать дополнительный гетероатом, выбранный из O и S, такой как морфолин или тиоморфолин. Дополнительный атом N в пиперазиновом кольце может быть необязательно замещен алкилом, например C1-С6алкилом, который может быть замещен галогеном, OH или амино. Ониевые группы, производные от указанных насыщенных колец, включают азиридиний, пирролидиний, пиперидиний, пиперазиний, морфолиний, тиоморфолиний и азепиний.
Как определено в данном документе, “катион, полученный из N-содержащего гетероароматического радикала”, означает катион, полученный из N-гетероароматического соединения, которое может представлять собой моно- или полициклическое соединение, необязательно содержащее O, S или дополнительные атомы N. Кольцо, из которого получают катион, должно содержать по крайней мере один атом N и быть ароматическим, однако другое(ие) кольцо(а), если они имеются, должны быть частично насыщенными. Примеры N-гетероароматических катионов включают пиразолий, имидазолий, оксазолий, тиазолий, пиридиний, пиримидиний, хинолиний, изохинолиний, 1,2,4-триазиний, 1,3,5-триазиний и пуриний.
По крайней мере одна положительно заряженная группа может также представлять собой не содержащую азот ониевую группу, такую группу как, но ими не ограничивающуюся, фосфоний [-P+(RR’R”)], арсоний [-As+(RR’R”)], оксоний [-O+(RR’)], сульфоний [-S+(RR’)], селеноний [-Se+(RR’)], теллуроний [-Te+(RR’)], стибоний [-Sb+(RR’R”)], или висмутоний [-Bi+(RR’R”)], где каждый из R, R’ и R” независимо представляет собой H, гидрокарбил или гетероциклил, предпочтительно C1-С6алкил, такой как метил, этил, пропил, бутил, пентил или гексил, или арил, предпочтительно фенил.
Примеры фосфониевой группы формулы -P+(RR’R”) включают группы, где R, R’ и R”, каждый, представляет собой метил, этил, пропил, бутил или фенил, или R представляет собой метил, этил, пропил, бутил или гексил, и R’ и R”, оба, представляют собой фенил. Примеры арсониевой группы формулы -As+(RR’R”) включают группы, где R, R’ и R”, каждый, представляют собой метил, этил, пропил, бутил или фенил. Примеры сульфониевой группы формулы -S+(RR’) включают группы, где R и R’, каждый, представляют собой метил, этил, пропил, бутил, фенил, бензил, фенетил, или замещенную гидрокарбильную группу.
Как определено в данном документе, “основная группа, которая преобразуется в положительно заряженную группу в физиологических условиях”, представляет собой по крайней мере теоретически любую основную группу, которая будет образовывать в физиологических условиях положительно заряженную группу, как определено в данном документе. Можно отметить, что используемые здесь физиологические условия относятся не только к сыворотке крови, но и к другим тканям и клеточным компартментам в организме.
Примеры таких N-содержащих основных групп включают, но ими не ограничиваются, любую аминогруппу, которая будет образовывать аммонийную группу, любую иминовую группу, которая будет образовывать иминиевую группу, любую гидразиновую группу, которая будет образовывать гидразиниевую группу, любую аминооксигруппу, которая будет образовывать аммонийоксигруппу, любую амидиновую группу, которая будет образовывать амидиниевую группу, любую гуанидиновую группу, которая будет образовывать гуанидиниевую группу, все, как определены в данном документе. Другие примеры включают фосфино- и меркаптогруппы.
Таким образом, производное бактериохлорофилла по изобретению может содержать по крайней мере одну основную группу, которая преобразуется в положительно заряженную группу в физиологических условиях, такую как -NRR’, -C(=NR)-NR’R”, -NR-NR’R”, -(R)N-C(=NR)-NR’R”, O NR-, или >C=NR, где каждый из R, R’ и R” независимо представляет собой H, гидрокарбил, предпочтительно С1-С25алкил, более предпочтительно С1-С10– или С1-С6алкил, или гетероциклил, или два из R, R’ и R” вместе с атомом N образуют 3-7-членное насыщенное кольцо, необязательно содержащее атом O, S или N, и необязательно дополнительно замещенное на дополнительном атоме N, или основную группу, представляющую собой N-содержащий гетероароматический радикал.
3-7-членное насыщенное кольцо может представлять собой азиридин, пирролидин, пиперидин, морфолин, тиоморфолин, азепин или пиперазин, необязательно замещенные на дополнительном атоме N С1-С6алкилом, необязательно замещенным галогеном, гидроксилом или амино, и N-содержащий гетероароматический радикал может представлять собой пиразолил, имидазолил, оксазолил, тиазолил, пиридил, хинолинил, изохинолинил, пиримидил, 1,2,4-триазинил, 1,3,5-триазинил или пуринил.
Как определено в данном документе, R+ 10 может представлять собой аммоний, катион металла, предпочтительно щелочного или щелочноземельного металла, такого как Na, K, Li, Ca, Ba, или органический катион, как определено в данном документе для “катиона, полученного из N-содержащей группы”.
Как определено в данном документе, “отрицательно заряженная группа” представляет собой анион, полученный из кислоты, и включает карбоксилат (COO–), тиокарбоксилат (COS–), сульфонат (SO3 –) и фосфонат (PO3 2-), и “кислотная группа, преобразованная в отрицательно заряженную группу в физиологических условиях” включает группы карбоновой (-COOH), тиокарбоновой (-COSH), сульфоновой (-SO3H) и фосфоновой (-PO3H2) кислот. Производные бактериохлорофилла с этими радикалами, описанные в WO 2004/045492 тем же заявителем, включены здесь полностью в качестве ссылки.
Как определено в данном документе, R7, R8, R9 и R’9, каждый независимо, могут представлять собой С1-С25гидрокарбил, необязательно содержащий один или несколько гетероатомов, карбоциклическую или гетероциклическую группы. Например, C1-С25гидрокарбил может представлять собой прямой или разветвленный С1-С25алкил или C2-С25алкенил, которые могут быть прерваны одним или несколькими гетероатомами, выбранными из O, S и/или N, и/или могут быть прерваны и/или замещены одним или несколькими карбоциклическими, например C3-С7циклоалкильной или С6-С14арильной, или гетероциклическими группами, как указано выше.
Как определено в данном документе, С1-С25гидрокарбил, определенный для R7, R8, R9 и R’9, необязательно может быть замещен одной или несколькими функциональными группами, выбранными из галогена, нитро, оксо, OR, SR, эпокси, эпитио, азиридин, -CONRR’, -COR, COOR, -OSO3R, -SO3R, -SO2R, -NHSO2R, -SO2NRR’ -NRR’, =N-OR, =N-NRR’, -C(=NR)-NRR’, -NR-NRR’, -(R)N-C(=NR)-NRR’, O NR-, >C=NR, -(CH2)n-NR-COR’, -(CH2)n-CO-NRR’, -O-(CH2)n-OR, -O-(CH2)n-O-(CH2)n-R, -PRR’, -OPO3RR’, -PO2HR, -PO3RR’; одной или несколькими отрицательно заряженными группами, такими как COO–, COS–, -OSO3 –, -SO3 –, -OPO3R–, -PO2H–, -PO3 2- и -PO3R–; и/или одной или несколькими положительно заряженными группами, такими как -P+(RR’R”), -As+(RR’R”), -O+(RR’), -S+(RR’), -Se+(RR’), -Te+(RR’), -Sb+(RR’R”), -Bi+(RR’R”), O N+(RR’)-, >C=N+(RR’), -N+(RR’R”), -(R)N-N+(RR’R”), -(R)N-C(=HN)-N+RR’R”, -C(=NH)-N+(RR’R”), или N-гетероароматическим катионом, таким как пиразолий, имидазолий, оксазолий, тиазолий, пиридиний, хинолиний, пиримидиний, 1,2,4-триазиний, 1,3,5-триазиний и пуриний; где n равно целому числу от 1 до 6, R, R’ и R”, каждый независимо, представляют собой H, гидрокарбил или гетероциклил, или два из R, R’ и R” вместе с атомом N, к которому они присоединены, образуют 3-7-членное насыщенное кольцо, необязательно содержащее один или несколько гетероатомов, выбранных из группы, включающей O, S или N, и необязательно дополнительно замещенное на дополнительном атоме N. C1-С25гидрокарбил, определенный для R7, R8, R9 и R’9, также может быть замещен остатком моно-, олиго- или полисахарида, такого как гликозил, или аминокислоты, пептида или белка. Кроме того, R8, R9 и R’9, каждый, могут независимо представлять собой остаток моно-, олиго- или полисахарида, такого как гликозил, или аминокислоты, пептида или белка.
В группах OR и SR, когда R представляет собой H, указанные группы представляют собой группы гидрокси и меркапто соответственно и, когда R является иным, чем H, представляют собой сложные эфиры и сульфиды. Когда R и R’ представляют собой H, группа -PRR’ представляет собой фосфиногруппу. Когда R представляет собой H, группа -COR представляет собой формильную группу -CHO альдегида и, когда R является иным, чем H, представляет собой остаток кетона, такой как алкилкарбонил и арилкарбонил группы. Группа COOR, когда R не представляет собой H, представляет собой сложноэфирную группу карбоновой кислоты, такую как алкоксикарбонил и арилоксикарбонил группы. Аналогично, когда R и R’ являются иными, чем H, сложные эфиры представлены группами -OSO3R, -SO3R, -SO2R, -OPO3RR’, -PO2HR и -PO3RR’.
В одном из предпочтительных вариантов воплощения изобретения R1 в соединении формулы I, или R1 и R6 в соединении формулы II, представляют собой группу -OR8, где R8 представляет собой C1-С6алкил, замещенный положительно заряженной концевой функциональной группой, более предпочтительно группой -N+RR’R”, наиболее предпочтительно -N+(CH3)3.
В одном из вариантов воплощения изобретения R7, R8, R9 и/или R’9 могут представлять собой остаток аминокислоты, пептида или белка. В одном из предпочтительных вариантов воплощения изобретения R1 в положении 173 представляет собой -OR8, где R8 представляет собой остаток аминокислоты, содержащий свободную гидроксигруппу, такой как серин, треонин или тирозин, или алкил, например метил, сложный эфир, или пептид, содержащий такую аминокислоту или ее производное, указанную гидроксилированную аминокислоту или ее производные или пептид, связанный с -COO– группой производного Bchl посредством его гидроксигруппы. Примеры таких производных аминокислоты и пептидов включают метиловый эфир L-серина, метиловый эфир L-тирозина и метиловый эфир серилсерина.
В другом предпочтительном варианте воплощения группа -NR9R’9 представляет собой остаток аминокислоты, содержащий свободную аминогруппу, такой как аргинин и лизин, или содержащий их пептид, или производное алкилового сложного эфира указанной аминокислоты или пептида, связанного с -CO в положении 133 и/или 173 молекулы Bchl посредством амидной связи. В этих соединениях атом N группы -NR9R’9 является производным свободной аминогруппы аминокислоты.
В следующем варианте воплощения C1-С25гидрокарбильная группа может быть замещена остатком аминокислоты и, если концевая аминогруппа аминокислоты является свободной, остаток аминокислоты может быть источником положительно заряженной группы в физиологических условиях.
R+ 10 может представлять собой моновалентный или двухвалентный катион, производный щелочного или щелочноземельного металла, такого как K+, Na+, Li+, NH4 +, Ca+, более предпочтительно K+; или представляет собой катион, производный амина.
Используемый здесь термин “катионное производное бактериохлорофилла” означает бактериохлорофилл, содержащий одну или несколько положительно заряженных групп и/или одну или несколько основных групп, которые преобразуются в положительно заряженные группы в физиологических условиях. Молекула бактериохлорофилла также может содержать нейтральные группы, и/или одну или несколько отрицательно заряженных групп, и/или одну или несколько кислотных групп, которые преобразуются в отрицательно заряженные группы в физиологических условиях. Суммарный заряд молекулы бактериохлорофилла не имеет значения.
В более предпочтительном варианте воплощения производное бактериохлорофилла по настоящему изобретению представляет собой родобактериохлорин формулы II:

где
M представляет собой 2H, двухвалентный атом металла, выбранный из группы, включающей Pd, Pt, Co, Sn, Ni, Cu, Zn и Mn, или трехвалентный атом металла, выбранный из группы, включающей Fe, Mn, Co, Au, Al, Gd, Er, Yb и Cr;
R1, R’2 и R6, каждый независимо, представляют собой Y-R8, -NR9R’9 или -N+R9R’9R”9A–;
Y представляет собой O или S;
R4 представляет собой -CH=CR9R’9, -CH=CR9Hal, -CH=CH-CH2-NR9R’9, -CH=CH-CH2-N+R9R’9R”9A–, -CHO, -CH=NR9, -CH=N+R9R’9A–, -CH2-OR9, -CH2-SR9, -CH2-Hal, -CH2-R9, -CH2-NR9R’9, -CH2-N+R9R’9R”9A–, -CH2-CH2R9, -CH2-CH2Hal, -CH2-CH2OR9, -CH2-CH2SR9, -CH2-CH2-NR9R’9, -CH2-CH2-N+R9R’9R”9A–, -COCH3, -C(CH3)=CR9R’9, -C(CH3)=CR9Hal, -C(CH3)=NR9, -CH(CH3)=N+R9R’9A–, -CH(CH3)-Hal, -CH(CH3)-OR9, -CH(CH3)-SR9, -CH(CH3)-NR9R’9, -CH(CH3)-N+R9R’9R’9A–, или -C CR9;
R8, R9, R’9 и R”9, каждый независимо, представляют собой
(a) H;
(b) C1-С25гидрокарбил;
(c) C1-С25гидрокарбил, замещенный одной или несколькими функциональными группами, выбранными из группы, включающей галоген, нитро, оксо, OR, SR, эпокси, эпитио, -CONRR’, -COR, COOR”, -OSO3R, -SO3R”, -SO2R, -NHSO2R, -SO2NRR’, =N-OR, -(CH2)n-CO-NRR’, -O-(CH2)n-OR, -O-(CH2)n-O-(CH2)n-R, -OPO3RR’, -PO2HR и -PO3R”R”, где R и R’, каждый независимо, представляют собой H, гидрокарбил или гетероциклил и R” представляет собой гидрокарбил или гетероциклил;
(d) C1-С25гидрокарбил, замещенный одной или несколькими функциональными группами, выбранными из группы, включающей положительно заряженные группы, отрицательно заряженные группы, основные группы, которые преобразуются в положительно заряженные группы в физиологических условиях, и кислотные группы, которые преобразуются в отрицательно заряженные группы в физиологических условиях;
(e) С1-С25гидрокарбил, содержащий один или несколько гетероатомов и/или одну или несколько карбоциклических или гетероциклических групп;
(f) C1-С25гидрокарбил, содержащий один или несколько гетероатомов и/или одну или несколько карбоциклических или гетероциклических групп и замещенный одной или несколькими функциональными группами, как определено выше в (c) и (d);
(g) C1-С25гидрокарбил, замещенный остатком аминокислоты, пептида, белка, моносахарида, олигосахарида или полисахарида; или
(h) остаток аминокислоты, пептида, белка, моносахарида, олигосахарида или полисахарида;
R8 может дополнительно представлять собой H+ или катион R+ 10, когда R1, R’2 и R6, каждый независимо, представляют собой Y-R8;
R+ 10 представляет собой металл, аммоний или органический катион,
A– представляет собой физиологически приемлемый анион;
m равно 0 или 1; и
его фармацевтически приемлемые соли и оптические изомеры;
при условии, что производное бактериохлорофилла формулы II содержит по крайней мере одну положительно заряженную группу и/или по крайней мере одну основную группу, которая преобразуется в положительно заряженную группу в физиологических условиях.
В одном из предпочтительных вариантов воплощения изобретения R8, R9, R’9 или R”9, как определено в (a) выше, представляет собой C1-С25гидрокарбил, предпочтительно C1-С6алкил, незамещенный или замещенный одной или несколькими функциональными группами, выбранными из группы, включающей галоген, нитро, оксо, OR, SR, эпокси, эпитио, азиридин, -CONRR’, -COR, COOR, -COSR, -OSO3R, -SO3R, -SO2R, -NHSO2R, -SO2NRR’, -NRR’, =N-OR, =N-NRR’, -C(=NR)-NR’R”, -NR-NR’R”, O NR-, >C=NR, -C(=NR)-N+RR’, -(R)N-C(=NR)-N+RR’, -(CH2)n-NR-COR’, -(CH2)n-CO-NRR’, -O-(CH2)n-OR, -O-(CH2)n-O-(CH2)n-R, -PRR’, -OPO3RR’, -PO2HR, -PO3RR’; отрицательно заряженную группу, такую как COO–, COS–, -SO3 –, -OSO3 –, -PO3 2-, -OPO3R–, -PO2H– и -PO3R–; положительно заряженную группу, такую как -P+(RR’R”), -As+(RR’R”), -O+(RR’), -S+(RR’), -Se+(RR’), -Te+(RR’), -Sb+(RR’R”), -Bi+(RR’R”), О N+(RR’)-, >C=N+(RR’), -N+(RR’R”), -(R)N-N+(RR’), -(R)N-C(=NR)-N+RR’R”, -C(=NR)-N+(RR’R”), и N-гетероароматический катион, такой как пиразолий, имидазолий, оксазолий, тиазолий, пиридиний, хинолиний, изохинолиний, пиримидиний, 1,2,4-триазиний, 1,3,5-триазиний и пуриний; где n равно целому числу от 1 до 6, R, R’ и R”, каждый независимо, представляют собой H, гидрокарбил или гетероциклил, или два из R, R’ и R” вместе с атомом N, к которому они присоединены, образуют 3-7-членное насыщенное кольцо, необязательно содержащее один или несколько гетероатомов, выбранных из группы, включающей O, S или N, и необязательно дополнительно замещенное на дополнительном атоме N; или C1-С25гидрокарбил может быть замещен или не замещен остатком моно-, олиго- или полисахарида, такого как глюкозамин, или остатком аминокислоты, пептида или белка.
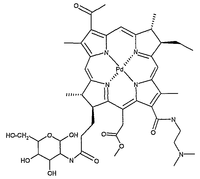
В предпочтительных вариантах воплощения производное Bchl по изобретению представляет собой родобактериохлорин формулы II, где M представляет собой 2H или Pd; R’2 представляет собой -OR8, где R8 представляет собой C1-С6алкил, предпочтительно метил; R4 представляет собой -COCH3; R1 представляет собой OH, -NR9R’9 или -NR9-CH2-CH(OH)-CH2OH; R6 представляет собой -NR9R’9 или -NR9-CH2-CH(OH)-CH2OH; R9 представляет собой H или C1-С6алкил; и R’9 представляет собой C1-С25гидрокарбил, замещенный по крайней мере одной положительно заряженной группой и/или по крайней мере одной основной группой, которая преобразуется в положительно заряженную группу в физиологических условиях.
В более предпочтительных вариантах воплощения в вышеуказанных соединениях R9 представляет собой H и R’9 представляет собой C1-С25алкил, предпочтительно C1-C10-, более предпочтительно C1-С6алкил, замещенный по крайней мере одной положительно заряженной группой -N+RR’R” или по крайней мере одной основной группой -NRR’, и необязательно прерванный группой -N(R”)-, где R и R’, каждый независимо, представляют собой H, C1-С6алкил, необязательно замещенный NR”R”, или гетероциклил, такой как пиридил, или R и R’ вместе с атомом N образуют 6-членное кольцо, дополнительно содержащее атом O, S или N, и R” представляет собой H или C1-С6алкил.
В одном из предпочтительных вариантов воплощения настоящее изобретение относится к производному бактериохлорофилла формулы II, где M представляет собой 2H или Pd; R’2 представляет собой -OR8, где R8 представляет собой C1-С6алкил, предпочтительно метил; R4 представляет собой -COCH3; R1 представляет собой OH и R6 представляет собой группу -NHR’9, выбранную из группы, включающей
(i) -NH-(CH2)n-NRR’ или -NH-(CH2)n-N+RR’R”;
(ii) -NH-(CH2)n-N(R”)-(CH2)n-NRR’;
(iii) 
(iv) и
(V) 
где
X представляет собой O, S или NR;
R, R’ и R”, каждый независимо, представляют собой H или C1-С6алкил;
n равно целому числу от 1 до 10, предпочтительно от 2 до 6; и
m равно целому числу от 1 до 6, предпочтительно от 1 до 3.
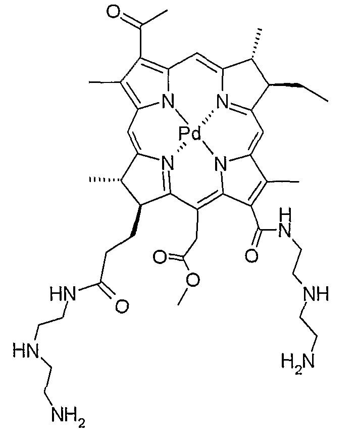
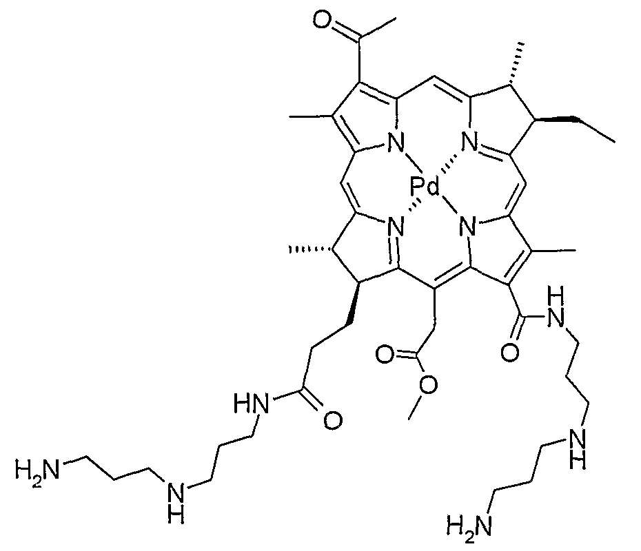
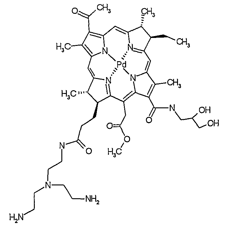
Примеры таких производных бактериохлорофилла представлены здесь конкретными соединениями 12 и 24–32.
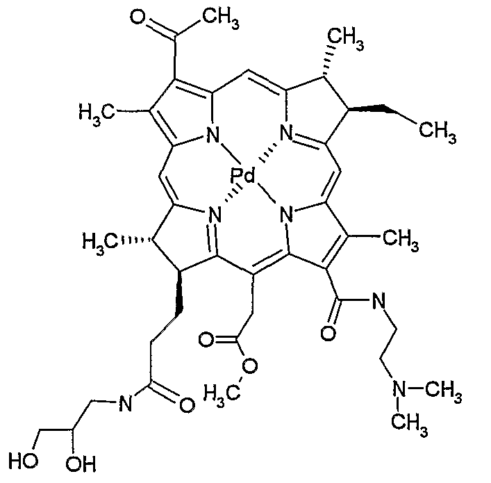
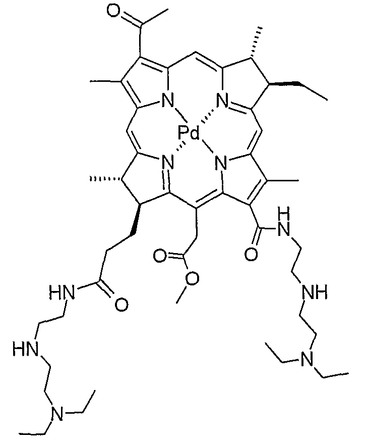
В другом предпочтительном варианте воплощения настоящее изобретение относится к производному бактериохлорофилла формулы II, где M представляет собой 2H или Pd; R’2 представляет собой -OR8, где R8 представляет собой C1-С6алкил, предпочтительно метил; R4 представляет собой -COCH3; и R1 и R6 оба одинаковы и представляют собой группу -NHR’9, как указано выше. Примеры таких производных бактериохлорофилла представлены описанными здесь соединениями 4–11 и 33–45.
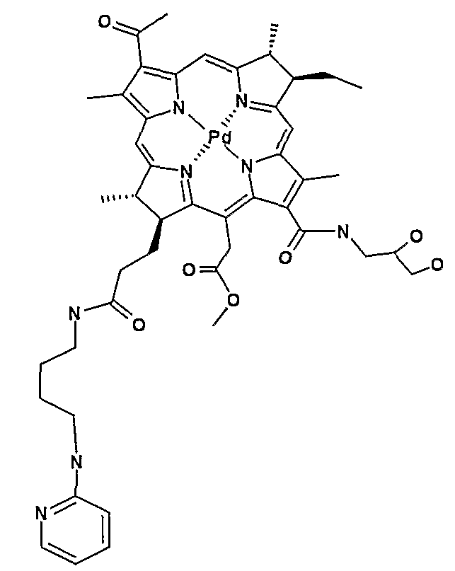
В следующем предпочтительном варианте воплощения настоящее изобретение относится к производному бактериохлорофилла формулы II, где M представляет собой 2H или Pd; R’2 представляет собой -OR8, где R8 представляет собой C1-С6алкил, предпочтительно метил; R4 представляет собой -COCH3; R1 представляет собой -NH-CH2-CH(OH)-CH2OH и R6 представляет собой группу -NHR’9, как указано выше. Примеры таких производных бактериохлорофилла представлены описанными здесь соединениями 48, 50, 55, 57, 59–64, 71 и 72.
В другом предпочтительном варианте воплощения настоящее изобретение относится к производному бактериохлорофилла формулы II, где M представляет собой 2H или -Pd; R’2 представляет собой -OR8, где R8 представляет собой C1-С6алкил, предпочтительно метил; R4 представляет собой -COCH3; R6 представляет собой -NH-CH2-CH(OH)-CH2OH и R1 представляет собой группу -NHR’9, как указано выше. Примеры таких производных бактериохлорофилла представлены описанными здесь соединениями 46, 47, 49, 51–54, 56, 58, 73 и 74.
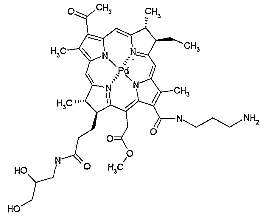
В еще одном предпочтительном варианте воплощения настоящее изобретение относится к производному бактериохлорофилла формулы II, где M представляет собой 2H или Pd; R’2 представляет собой -OR8, где R8 представляет собой C1-С6алкил, предпочтительно метил; R4 представляет собой -COCH3; R6 представляет собой -NH-CH2-CH2-NRR’; и
R1 выбран из группы, включающей
-NH-(CH2)n-OH;
-NH-CH(OH)-CH3;
-NH-(CH2)n-NR-(CH2)n-OH; и
-гликозиламино;
где R и R’, каждый независимо, представляют собой H, метил или этил; и n равно 2 или 3.
Примеры таких производных бактериохлорофилла представлены описанными здесь соединениями 65–70 и 75.
Соединения 4, 6, 8 и 10 и подобные соединения по изобретению, содержащие основную группу, могут быть получены способом, показанным на схеме I, где Bpheid (соединение 2) или Pd-Bpheid (соединение 3) подвергают взаимодействию с N-гидроксисукцинимидом (NHS) в присутствии DCC, и полученный Bpheid-NHS или Pd-Bpheid-NHS подвергают взаимодействию с алкилендиамином формулы NH2-(CH2)n-NH2.
Соединения 5, 7, 9, 11 и 12 и подобные соединения по изобретению, содержащие положительно заряженную группу, могут быть получены способом, показанным на схеме I, путем взаимодействия вышеописанного 131,173-аминоалкиламида с соответствующим галогенидом R-Hal, например CH3I. Очисткой продукта с помощью ВЭЖХ могут быть получены различные соли, в зависимости от буфера, используемого для элюирования. Таким образом, цитратные соли могут быть получены элюированием с буфером цитрата, фосфатные соли могут быть получены элюированием с помощью фосфатного буфера, ацетатные соли могут быть получены элюированием с помощью уксусной кислоты и так далее.
В другом предпочтительном варианте воплощения производное Bchl по изобретению представляет собой родобактериохлорин формулы II, где M представляет собой Pd, R’2 представляет собой -OR8, где R8 представляет собой C1-С6алкил, предпочтительно метил, R4 представляет собой -COCH3, и R1 и/или R6 представляют собой -NR9R’9, где R9 представляет собой H и R’9 представляет собой C1-С25гидрокарбил, предпочтительно C1-С25алкил, более предпочтительно C1-С10алкил, замещенный группой гуанидино или гуанидиния. В более предпочтительном варианте воплощения по изобретению R1 и R6 представляют собой группу формулы -NH-(CH2)n-C(=NH)-NH2 или -NH-(CH2)n-C(=NH)-N+(R)3A–, более предпочтительно -NH-(CH2)n-C(=NH)-N(CH3)3 +A–, где n равно целому числу от 1 до 10, предпочтительно 2, 3 или 6. Примеры таких соединений представляют собой 131,173-гуанидиноэтиламид и 131,173-триметилгуанидинийэтиламид, описанные здесь соединения 14 и 14a соответственно. Производные гуанидина могут быть получены, как описано на схеме I, путем взаимодействия 131,173-аминоалкиламида с 1-амидинопиразолом и производным гуанидиния путем дополнительного взаимодействия с метилгалогенидом.
В другом предпочтительном варианте воплощения производное Bchl по изобретению представляет собой родобактериохлорин формулы II, где M представляет собой H или Pd, R’2 представляет собой -OR8, где R8 представляет собой C1-С6алкил, предпочтительно метил, R4 представляет собой -COCH3, и R1 и/или R6 представляют собой -NR9R’9, где R9 представляет собой H и R’9 представляет собой C1-С25гидрокарбил, предпочтительно C1-С25алкил, более предпочтительно C1-С10алкил, замещенный группой сульфония. В более предпочтительном варианте воплощения по изобретению R1 и R6 представляют собой группу формулы -NH-(CH2)n-S+(R)2A–, более предпочтительно -NH-(CH2)n-S(CH3)+ 2A–, где n равно целому числу от 1 до 10, предпочтительно 2, 3 или 6. Примером таких соединений является 131,173-диметилсульфонийэтиламид, описанное здесь соединение 15. Это производное сульфония может быть получено путем взаимодействия Bpheid или Pd-Bpheid с диацетатом S,S-диметилцистеамина.
В другом предпочтительном варианте воплощения производное Bchl по изобретению представляет собой родобактериохлорин формулы II, где M представляет собой H или Pd, R’2 представляет собой -OR8, где R8 представляет собой C1-С6алкил, предпочтительно метил, R4 представляет собой -COCH3, и R1 и/или R6 представляют собой -NR9R’9, где R9 представляет собой H и R’9 представляет собой C1-С25гидрокарбил, предпочтительно C1-С25алкил, более предпочтительно C1-С10алкил, замещенный группой фосфино или фосфония. В более предпочтительном варианте воплощения по изобретению R1 и R6 представляют собой группу формулы -NH-(CH2)n-P(R)2, более предпочтительно -NH-(CH2)n-P(CH3)2 или NH-(CH2)n-P+(R)3A–, более предпочтительно -NH-(CH2)n-P+(CH3)3A–, где n равно целому числу от 1 до 10, предпочтительно 2, 3 или 6. Примеры таких соединений представляют собой 131,173-диметилфосфиноэтиламид, описанное здесь соединение 18 и 131,173-триметилфосфонийэтиламид, описанное здесь соединение 17. Производное фосфино получено путем взаимодействия Bpheid-NHS с (2-аминоэтил)диметилфосфином, и производное фосфония может быть получено любым способом взаимодействия производного фосфино с алкилгалогенидом, например метилиодидом, или путем взаимодействия 131,173-производного гидроксиэтиламида (соединение 16) с триметилфосфином.
В другом предпочтительном варианте воплощения производное Bchl по изобретению представляет собой родобактериохлорин формулы II, где M представляет собой H или Pd, R’2 представляет собой -OR8, где R8 представляет собой C1-С6алкил, предпочтительно метил, R4 представляет собой -COCH3, и R1 и/или R6 представляют собой -NR9R’9, где R9 представляет собой H и R’9 представляет собой C1-С25гидрокарбил, предпочтительно C1-С25алкил, более предпочтительно C1-С10алкил, замещенный группой арсино или арсония. В более предпочтительном варианте воплощения по изобретению R1 и R6 представляют собой группу формулы -NH-(CH2)n-As(R)2, более предпочтительно -NH-(CH2)n-As(CH3)2 или NH-(CH2)n-As+(R)3A–, более предпочтительно -NH-(CH2)n-As+(CH3)3A–, где n равно целому числу от 1 до 10, предпочтительно 2, 3 или 6. Примером является 131,173-триметиларсонийэтиламид, описанное здесь соединение 19, полученное путем взаимодействия 131,173-производного гидроксиэтиламида (соединение 16) с триметиларсином.
В другом предпочтительном варианте воплощения производное Bchl по изобретению представляет собой родобактериохлорин формулы II, где M представляет собой 2H или Pd, R’2 представляет собой -OR8, где R8 представляет собой C1-С6алкил, предпочтительно метил, R4 представляет собой -C(CH3)=NR9, и R1 и/или R6 представляют собой -NR’9R”9, где R’9 представляет собой H и R9 и R”9 представляют собой C1-С25гидрокарбил, предпочтительно C1-С25алкил, более предпочтительно C1-С10алкил, замещенный по крайней мере одной концевой аминогруппой или положительно заряженной группой, более предпочтительно концевой группой аммония формулы -N+(RR’R”)A–, где R, R’ и R” представляют собой предпочтительно один и тот же C1-С6алкил, предпочтительно метил, и A– представляет собой анион. В более предпочтительном варианте воплощения по изобретению R4 представляет собой группу формулы -C(CH3)=N-(CH2)n-NH2 или -C(CH3)=N-(CH2)n-N(R)3 +A и R1 и R6 представляют собой группу формулы -NH-(CH2)n-NH2 или NH-(CH2)n-N(R)3 +A–, более предпочтительно -NH-(CH2)n-N(CH3)3 +A–, где n равно целому числу от 1 до 10, предпочтительно 2, 3 или 6. Примерами таких соединений являются описанные здесь соединения 20, 21, 22 и 23.
В другом предпочтительном варианте воплощения по изобретению производное Bchl представляет собой бактериохлорофилл формулы I:

где
M представляет собой 2H или атом металла, выбранный из двухвалентного Pd, Pt, Co, Sn, Ni, Cu, Zn или Mn и трехвалентного Fe, Mn, Co, Au, Al, Gd, Er, Yb или Cr;
R1 представляет собой -NR9R’9 или Y-R8; Y представляет собой O или S;
R2 представляет собой H, OH или COOR9;
R3 представляет собой H, OH или C1-С12алкил или алкокси;
R4 представляет собой -CH=CR9R’9, -CH=CR9Hal, -CH=CH-CH2-NR9R’9, -CH=CH-CH2-N+R9R’9R”9A–, -CHO, -CH=NR9‘, -CH=N+R9R’9A–, -CH2-OR9, -CH2-SR9, -CH2-Hal, -CH2-R9, -CH2-NR9R9, -CH2-N+R9R’9R”9A–, -CH2-CH2R9, -CH2-CH2Hal, -CH2-CH2OR9, -CH2-CH2SR9, -CH2-CH2-NR9R’9, -CH2-CH2-N+R9R’9R”9A–, -COCH3, C(CH3)=CR9R’9, -C(CH3)=CR9Hal, -C(CH3)=NR9, -CH(CH3)=N+R9R’9A–, -CH(CH3)-Hal, -CH(CH3)-OR9, -CH(CH3)-SR9, -CH(CH3)-N+R9R’9, -CH(CH3)-N+R9R’R’9A– или -C CR9;
R5 представляет собой =О, =S, =N-R9, =CR9R’9 или =CR9-Hal;
R8, R9 и R’9, каждый независимо, представляют собой H или выбраны из группы, включающей
(a) C1-С25гидрокарбил; C1-С25гидрокарбил, содержащий один или несколько гетероатомов, карбоциклические или гетероциклические группы; C1-С25гидрокарбил, замещенный одной или несколькими функциональными группами, включая одну или несколько положительно заряженных групп, одну или несколько отрицательно заряженных групп, одну или несколько основных групп, которые преобразуются в положительно заряженные группы в физиологических условиях, или одну или несколько кислотных групп, которые преобразуются в отрицательно заряженные группы в физиологических условиях; или C1-С25гидрокарбил, содержащий один или несколько гетероатомов, карбоциклические или гетероциклические группы и замещенный одной или несколькими функциональными группами, как определено в данном документе выше;
(b) остаток аминокислоты, пептида, белка или моно- или поликарбогидрата;
(c) когда R1 представляет собой Y-R8, R8 может дополнительно представлять собой H+ или катион R+ 10, где катион R+ 10 представляет собой металл, аммоний или органический катион;
при условии, что, когда R2 и R3 оба представляют собой H, R5 не представляет собой =N-R9 и/или R4 не представляет собой -C(CH3)=NR9; и молекула бактериохлорофилла содержит по крайней мере одну положительно заряженную группу и/или по крайней мере одну основную группу, которая преобразуется в положительно заряженную группу в физиологических условиях.
В более предпочтительном варианте воплощения изобретение относится к производному Bchl формулы I, где M представляет собой Pd, R2 представляет собой -COOCH3, R3 представляет собой H, R4 представляет собой -COCH3, R5 представляет собой =О и R1 представляет собой -OR8, где R8 представляет собой остаток аминокислоты, содержащий гидроксигруппу, предпочтительно серин, или его производное, предпочтительно алкил, более предпочтительно метил, сложный эфир или пептид, содержащий указанную аминокислоту или его производное, в котором остаток аминокислоты свободной аминогруппы может быть квартенизирован в виде группы триметиламмония. Примером такого производного формулы I является описанное здесь соединение 13.
Соединения по изобретению, также обозначаемые иногда здесь терминами “пигменты” и “сенсибилизирующие вещества”, обладают достаточно высокой полярностью для растворимости в воде и вводятся в водные растворы без добавления поверхностно-активных веществ. Эти соединения образуют небольшие агрегаты в растворах H2O/PBS, однако подвергаются мономеризации в присутствии альбумина сыворотки, путем адсорбирции на белке (Mazor et al, 2003). Таким образом, направленная миграция соединений в и из различных клеток зависит от альбумина сыворотки.
В одном из вариантов воплощения в данном документе и на его основе показаны биораспределение и фармакокинетика для предпочтительного соединения 5, и допускается, что это и другие производные по изобретению остаются в кровотоке, и в течение очень короткого промежутка времени. Кроме того, как показано в данном документе на фиг.3C, соединение 5 достигает очень высокой эффективности PDT за менее чем 5 минут инкубации с эндотелиальными клеточными культурами. Таким образом, производные по изобретению представляют собой хорошие сенсибилизирующие вещества для васкулярно-целевой PDT. Обработка ксенотрансплантатов глиомы C6 у мыши, как показано в данном документе на фиг.6 и 7, показывает, что соединение 5 является фотодинамически активным и вызывает эрадикацию опухоли при в 10 раз меньших концентрациях, чем Pd-Bpheid (описанный в WO 00/33833) или отрицательно заряженный Pd 31-оксо-15-метоксикарбонилметил-родобактериохлорин 131-(2-сульфоэтил)амид дикалийная соль (описанный в WO 2004/045492). Предлагаемый протокол с соединением 5 рассматривает короткий промежуток времени выведения лекарственного препарата (фиг.4). На основе их высокой фототоксичности и селективного действия в отношении опухолевой сосудистой системы эти соединения могут использоваться для лечения опухоли, а также других нарушений ткани на основе реваскуляризаци, и также против грамположительных и грамотрицательных бактерий.
Таким образом, в другом аспекте настоящее изобретение относится к фармацевтической композиции, содержащей производное Bchl по изобретению или его фармацевтически приемлемую соль и фармацевтически приемлемый носитель.
В предпочтительном варианте воплощения фармацевтическая композиция содержит производное Bchl формулы I, II или III, указанное здесь, более предпочтительно производное формулы II, несущее четвертичную группу аммония, наиболее предпочтительно соединение 5.
Новые соединения Bchl по изобретению обладают такими же характеристиками оптического поглощения и фотофизическими характеристиками, что и отрицательно заряженный Pd-Bchls, описанный в PCT/IL 03/00973 (WO 2004/045492), и очень похожими на Pd-Bpheid (WO 00/33833), и, таким образом, оставаясь в обрабатываемой ткани, они являются ожидаемо эффективными фотодинамическими агентами. Таким образом, они могут быть использованы в качестве фотосенсибилизирующих веществ и в качестве терапевтических и диагностических агентов при различных показаниях.
В одном из вариантов воплощения соединения по изобретению используются в области онкологии для лечения с помощью PDT предраковых состояний и некоторых видов рака, например, но ими не ограничиваясь, меланомы, опухоли простаты, головного мозга, толстой кишки, яичника, молочной железы, возникающего из рака молочной железы рака грудной стенки, злокачественных опухолей кожи, легкого, пищевода и мочевого пузыря и других гормон-чувствительных опухолей. Соединения используются для лечения первичных, а также метастатических опухолей.
В другом варианте воплощения соединения по изобретению используются в неонкологических областях. Помимо эффективной деструкции нежелательных клеток, таких как неоплазмы и опухоли, с помощью PDT, соединения по изобретению также могут использоваться против пролифелирующих клеток и бактерий. Пролифелирующие клетки и кровеносные сосуды являются основной причиной атеросклероза, артрита, псориаза и дегенерации желтого пятна. Кроме того, соединения могут использоваться в лечении незлокачественных опухолей, таких как доброкачественная гипертрофия простаты.
В одном из предпочтительных вариантов воплощения изобретения соединения по изобретению могут использоваться в PDT для лечения сердечно-сосудистых заболеваний, главным образом закупоривания сосудов и тромбоза коронарной артерии, интимальной гиперплазии, рестеноза и атеросклеротических бляшек. В более предпочтительном варианте воплощения соединения по изобретению используются для профилактики или снижения рестеноза у субъекта со стентом, страдающего сердечно-сосудистым заболеванием, который подвергался коронарной ангиографии. В другом предпочтительном варианте воплощения соединения по изобретению могут использоваться в способе для лечения атеросклероза путем деструкции атеросклеротических бляшек в пораженном кровеносном сосуде.
В другом предпочтительном варианте воплощения соединения по изобретению могут использоваться в PDT для лечения дерматологических заболеваний, расстройств и состояний, таких как акне, рубцующегося акне, псориаза, эпидермофития стопы, бородавок, старческого кератоза и капиллярной гемангиомы (мальформация малых кровеносных сосудов, связующих вены с артериями (капилляры), локализованных в верхних слоях кожи).
В другом предпочтительном варианте воплощения соединения по изобретению могут использоваться в PDT для лечения офтальмических заболеваний, расстройств и состояний, таких как корнеальная и хориоидальная реваскуляризация и более предпочтительно старческая дегенерация желтого пятна (AMD).
В следующем предпочтительном варианте воплощения соединения по изобретению могут использоваться в PDT для уничтожения микроорганизмов, включая вирусы, грибы и бактерии в образцах и живых тканях. Например, они могут использоваться для стерилизации биологических продуктов, таких как кровь и плазма крови для переливания, с последующим облучением для деструкции инфекционных агентов. Как показано в данном документе, соединение 5 является активным агонистом как грамположительных, так и грамотрицательных бактерий (фиг.8).
Новые водорастворимые производные Bchl по изобретению сенсибилизируют эндотелиальные и/или неопластические клетки или другие патологические ткани и приводят к их деструкции путем облучения или in vivo или ex vivo видимым светом с соответствующей длиной волны. Полагают, что энергия фотоактивации передается к эндогенному кислороду и превращает его в синглетный кислород и/или другие активные виды кислорода (ROS), такой как супероксид и гидроксильные радикалы, которые считаются важными для цитотоксического эффекта. Кроме того, фотоактивированные формы некоторых из этих новых BChl флуоресцируют, чья флуоресценция может помочь в локализации опухолей или других участков, к которым вводят BChl.
По причине их относительно короткого времени нахождения в кровотоке соединения по изобретению являются пригодными, в частности, для васкулярно-целевой PDT (VTP), как описано предварительно для Pd-Bpheid (Tookad®, товарный знак Steba Biotech) авторами иобретения и другими (WO 03/094695; Borle et al. 2003) и авторами изобретения для бактериохлорофилл-серина (Zilberstein et al., 2001). В VTP противоопухолевая активность производного бактериохлорофилла не зависит от непосредственной фотоинтоксикации отдельных эндотелиальных клеток, а от реакции сосудистой ткани на VTP-инсульт. Таким образом, в отношении Tookad авторы изобретения показали, что фотосенсибилизация Tookad путем облучения с помощью чрескожного вводимого волоконного световода вскоре после внутривенной инъекции приводит к окислительному повреждению опухоли сосудов и истощению кислорода, вызывая прекращение кровоснабжения и эрадикации опухоли.
В данном аспекте изобретение также относится к применению соединения по изобретению в комбинированной гипертермии и PDT для лечения опухолей, как описано ранее (Kelleher et al., 2003).
Положительные заряды соединений по изобретению в значительной степени усиливают абсорбцию новых Bchl эндотелием опухоли, как известно в данной области для других положительно заряженных лекарственных препаратов, используемых для терапии или для получения изображения опухолей (Dellian et al., 2000; Hashizume et al., 2000; Campbell et al., 2002). Повышенное сродство резко снижает концентрацию, необходимую для вызывания поражения эндотелиальных клеток за очень короткий промежуток времени инкубации, что необходимо для васкулярной целевой PDT. Таким образом, эти соединения способствуют образованию видов активного кислорода (ROS) при излучении, что является ограниченным для внутренних сосудов и, таким образом, вызывает селективную реакцию патологических сосудов, например, представленных в опухолях и старческой дегенерации желтого пятна.
Производные Bchl по настоящему изобретению имеют высокое сродство к сывороточному альбумину. Значительное в процентном выражении количество молекул соединения нековалентно связано с сывороточным альбумином в плазме. Таким образом, после очистки и перед инъекцией они дают возможность взаимодействовать с сывороточным альбумином при соотношении ~1:1 в водном растворе.
Для получения фармацевтических композиций Bchl по изобретению может быть лиофилизирован, например, с помощью маннита, и сухой порошок растворен в насыщенном солевом растворе или любом другом фармацевтически приемлемом водном растворе для инъекции внутривенно пациенту (в кровь, затем соединение абсорбируется на сывороточном альбумине) или для применения на объекте исследования in vitro. Получение композиций выполняют хорошо известными в данной области способами, например кратко изложенным в Remington: The Science и Practice of Pharmacy, Mack Publishing Co., Easton, Pa, 1990.
Для диагностических целей производные Bchl могут использоваться в чистом виде или могут быть помечены радиоизотопом или другими средствами обнаружения, такими как парамагнитный металл, хорошо известный в данной области. В одном из вариантов воплощения производное Bchl является радиоактивно-меченным стандартными способами, например использованием 67Ga, 111In, 201Tl, 99mTc, и вводятся пациенту предпочтительно путем внутривенно инъекции. Изображение очага злокачественной опухоли можно получить стандартными способами в течение определенного промежутка времени после введения.
Количество вводимого производного Bchl для PDT терапии будет устанавливаться квалифицированным врачом в соответствии с накопленной при использовании в PDT других производных практикой и будет зависеть от выбора используемого в качестве активного компонента производного, условия для введения, способа введения, возраста и состояния пациента, и мнения врача.
Длина волны облучающего света предпочтительно выбирается путем подбора максимального поглощения фотосенсибилизирующего вещества Bchl. Соответствующая длина волны для любого соединения может быть легко определена по его спектру поглощения. В предпочтительном варианте воплощения используется сильный световой источник, более предпочтительно лазеры с длиной волны 720-790 нм.
Также настоящее изобретение относится к слиянию белков, таких как сывороточный альбумин, рекомбинантный сывороточный альбумин, включая человеческий сывороточный альбумин и химерные структуры человеческого сывороточного альбумина (как описано в Tuan et al. 2002), гормоны, факторы роста или их производные, антитела, пептиды, которые связывают специфически рецепторы клеток-мишеней, в частности рецепторы эндотелиальных клеток и нутриенты, например тирозин, с группой Bchl, с целью увеличения их времени удерживания в опухоли и обрабатываемых участках. Обладание максимальным оптическим поглощением производных Bchl в ближней ИК-области спектра предусматривает наибольшую глубину проникновения при сохранении убиквитарности природной системы.
Замещение иона Mg на другие ионы металла предполагает оптимизацию внутренней и метаболической стабильности группы Bchl и ее межсистемного взаимопересечения до возбужденного триплетного состояния, таким образом также расширяя возможности для новых способов диагностики.
Комбинация положительно заряженных периферических групп и/или специфических антител неоэндотелия и/или пептидов, обладающих высоким сродством с неоэндотелиальными клетками, будет избирательно нацеливать группы Bchl на опухолевый или обрабатываемый участок. В результате предполагается резкое повышение отношения концентрации фотосенсибилизирующего вещества в сосудистом компоненте злокачественной ткани к его концентрации в нормальной ткани, где клетки более рассредоточены, таким образом обеспечивая усиление действия PDT в локализации опухоли. Это способствует эффективному использованию малых доз, меньших, чем пороговый уровень повреждения нормальной ткани, таким образом упрощает необходимость четко определенного облучения в пространстве.
В одном наиболее предпочтительном варианте воплощения настоящего изобретения объектом лечения с помощью сенсибилизирующих веществ по изобретению являются патологические кровеносные сосуды, в частности кровеносные сосуды твердых опухолей, старческая дегенерация желтого пятна, рестеноз, острое воспаление или атеросклероз (Dougherty and Levy, 2003), вследствие существенной разницы в чувствительности нормальных и патологических кровеносных сосудов для предлагаемых протоколов PDT, описанных в настоящем документе.
Производные Bchl по изобретению могут дополнительно использоваться в фотодинамической терапии в качестве адъюванта для используемой для лечения заболевания, расстройства или состояния другой общепринятой терапии, делая ее более эффективной. Например, они могут использоваться интраоперационно совместно с хирургией, помогая предотвратить рецидив появления злокачественной опухоли на большом участке поверхности, такой как плевра (покрывающая легкое) и перитонеальная полость (покрывающая брюшную полость), обычные участки распространения некоторых видов злокачественной опухоли, в интраоперационном лечении рецидивной карциномы головы и шеи, или после ангиопластики бедренной артерии для предотвращения рестеноза. Также соединения могут использоваться в интраоперационной PDT диагностики опухоли, например опухолей головного мозга.
Другой возможностью применения по изобретению является использование соединений по изобретению в PDT больших твердых опухолей путем интерстициональной терапии, способ, который включает подачу оптоволоконного кабеля непосредственно в опухоли, используя иглы, управляемые компьютерной томографией (CT). Это может быть особенно полезно в областях, которые нуждаются в радикальном хирургическом вмешательстве, например головы и шеи.
Количество вводимого соединения и путь введения будут определяться в соответствии с видом заболевания, степенью заболевания, возрастом и состоянием здоровья пациента, однако будет значительно меньше, чем обычно используемая доза Photofrin II® (около 5-40 мг HpD/кг веса тела) или Tookad® (около 2-10 мг/кг веса тела).
Фармацевтические композиции по изобретению вводятся пациенту обычными способами, используемыми при PDT, например системно, в частности путем инъекции, более предпочтительно путем внутривенной инъекции, локально непосредственной инъекцией в твердую опухоль или местно для лечения кожных заболеваний и состояний.
Изобретение далее проиллюстрировано с помощью следующих неограничивающих примеров.
ПРИМЕРЫ
Для удобства и лучшего понимания раздел примеров поделен на два подраздела: (I) химическая часть, описывающая синтез катионных и основных Bchl производных и промежуточных соединений 4–75, и (II) биологическая часть, описывающая биологическую активность новых производных Bchl.
I Химическая часть
В примерах данного документа, производные по изобретению (4–75) и промежуточные соединения (1–3) представлены соответствующими им жирными и подчеркнутыми арабскими цифрами в соответствии со следующим списком соединений и приложением. Формулы некоторых соединений показаны на схемах 1 и 2 и в приложении в конце описания, непосредственно перед списком литературы.
Список соединений
1. Бактериохлорофилл (Bchl)
2. Бактериофеофорбид (Bpheid)
3. Pd-Бактериофеофорбид (Pd-Bpheid)
4. 31-оксо-15-метоксикарбонилметил-родобактериохлорин 131,173-ди(2-аминоэтил)амид [пример 1]
5. дицитратная соль 31-оксо-15-метоксикарбонилметил-родобактериохлорин 131,173-ди(2-N3-триметиламмонийэтил)амида [пример 2]
6. 31-оксо-15-метоксикарбонилметил-родобактериохлорин 131,173-ди(3-аминопропил)амид [пример 3]
7. дицитратная соль 31-оксо-15-метоксикарбонилметил-родобактериохлорин 131,173-ди(3-N3-триметиламмонийпропил)амида [пример 4]
8. 31-оксо-15-метоксикарбонилметил-родобактериохлорин 131,173-ди(6-аминогексил)амид [пример 5]
9. дицитратная соль 31-оксо-15-метоксикарбонилметил-родобактериохлорин 131,173-ди(6-N3-триметиламмонийгексил)амида [пример 6]
10. 31-оксо-15-метоксикарбонилметил-родобактериохлорин 131,173-ди(2-аминоэтил)амид палладия [пример 7]
11. дифосфатная соль 31-оксо-15-метоксикарбонилметил-родобактериохлорин 131,173-ди(2-N3-триметиламмонийэтил)амида палладия [пример 8]
12. хлоридная соль 31-оксо-15-метоксикарбонилметил-родобактериохлорин 13′-(2-N3-триметиламмонийэтил)амида палладия [пример 9]
13. иодидная соль метилового эфира О-[Pd-Bpheid]-[N3-триметиламмоний-2-метил]серина [пример 11]
14. 31-оксо-15-метоксикарбонилметил-родобактериохлорин 131,173-ди(2-гуанидиноэтил)амид палладия [пример 12]
14a. 31-оксо-15-метоксикарбонилметил-родобактериохлорин 131,173-ди(2-триметилгуанидинийэтил)амид палладия [пример 12]
15. цитратная соль 31-оксо-15-метоксикарбонилметил-родобактериохлорин 131-(2-S2-диметилсульфонийэтил)амида Pd [пример 13]
16. 31-оксо-15-метоксикарбонилметил-родобактериохлорин 131,173-ди(2-гидроксиэтил)амид [пример 14]
17. дицитратная соль 31-оксо-15-метоксикарбонилметил-родобактериохлорин 131,173-ди(2-P3-триметилфосфонийэтил)амида [пример 15]
18. 31-оксо-15-метоксикарбонилметил-родобактериохлорин 131,173-ди(2-диметилфосфиноэтил)амид [пример 16]
19. дицитратная соль 31-оксо-15-метоксикарбонилметил-родобактериохлорин 131,173-ди(2-As3-триметиларсонийэтил)амида [пример 17]
20. 31-(аминоэтилимино)-15-метоксикарбонилметил-родобактериохлорин 131,173-ди(2-аминоэтил)амид
21. 31-(аминоэтилимино)-15-метоксикарбонилметил-родобактериохлорин 131,173-ди(2-аминоэтил)амид палладия
22. 31-(триметиламмонийэтилимино)-15-метоксикарбонилметил-родобактериохлорин 131,173-ди(2-триметиламмонийэтил)амид
23. 31-(триметиламмонийэтилимино)-15-метоксикарбонилметил-родобактериохлорин 131,173-ди(2-триметиламмонийэтил)амид палладия
Продукты и способы
(i) Bpheid, 2, получали, как описано ранее (Wasielewski и Svec, 1980).
(ii) Палладий бактериофеофорбид (Pd-Bpheid, 3, либо получали, как описано ранее (WO 00/33833), либо приобретали у Steba Biotech Ltd. через Negma-Lerads, France.
(iii) Диамины (этилендиамин, 1,3-пропилендиамин, 1,6-гексилендиамин) и триметилфосфин (1M раствор) приобретали у Aldrich (USA); N-гидроксисукцинимид (NHS) приобретали у Sigma (USA); 1,3-дициклогексилкарбодиимид (DCC) и гидрохлорид 1-амидинопиразола приобретали у Fluka (Switzerland); триметиларсин приобретали у Sterm. (2-Аминоэтил)диметилфосфин получали в соответствии с Suzuki et al. (1994) и Kinoshita et al. (1981). S,S-Диметилцистеамин диацетат получали в соответствии с US 3793370.
(iv) Обычно использовали препараты и растворители аналитической степени чистоты, за исключением тех случаев, когда осуществляли ВЭЖХ, где применяли растворители со степенью чистоты для ВЭЖХ.
(v) ТСХ: пластинки с силикагелем (Kieselgel-60, Merck, Germany); хлороформ-метанол (4:1, объем/объем).
(vi) Спектр 1H ядерного магнитного резонанса (ЯМР) регистрировали на приборе Avance DPX 250 (Bruker, France) и представляли в м.д. ( ) в отсчете от тетраметилсилана, с пиками остаточного растворителя в качестве внутреннего стандарта.
(vii) Коэффициенты затухания Pd-производных определяли путем корреляции концентрации Pd (используя пламенную фотометрию с PdCl2 в качестве стандарта) с оптической плотностью исследуемого раствора при определенной длине волны.
(viii) Масс-спектр электрораспылительной ионизации (ESI-МС) регистрировали на носителе спектрометра LCZ (Micromass, England).
(ix) Масс-спектрометрию с индуктивно связанной плазмой (ICP-МС) выполняли для определения концентраций Pd, используя аппарат ELAN-6000 (Perkin Elmer, CT).
(x) Спектр оптического поглощения (УФ и видимая часть спектра) различных комплексов регистрировали с помощью спектрофотометров Genesis-2 (Milton Roy, England) и V-570 (JASCO, Japan).
(xi) ВЭЖХ осуществляли, используя прибор LC-900 (JASCO, Japan), оборудованный датчиком с диодной матрицей UV-915.
Химические примеры
Пример 1
31-Оксо-15-метоксикарбонилметил-родобактериохлорин 131,173-ди(2-аминоэтил)амид (соединение 4)
Как показано на схеме I, для синтеза соединения 4 (производное родобактериохлорина, в котором отсутствует центральный атом металла), Bpheid 2 сначала активировали по C-173 карбоновой кислоты с помощью N-гидроксисукцинимида (NHS) следующим образом: 50 мг Bpheid (соединение 2), 80 мг NHS и 65 мг 1,3-дициклогексилкарбодиимида (DCC) перемешивали в метилхлориде в течение ночи при комнатной температуре. Затем растворитель упаривали при пониженном давлении, сухой остаток растворяли в хлороформе (приблизительно 50 мл), отфильтровывали от нерастворимого вещества и после упаривания растворителя получали продукт, Bpheid-173-(1-оксисукцинимид). Конверсия составляла около 95% (ТСХ).
Для разрыва изоциклического кольца Bpheid в смеси хлороформа и метанола (2:1, объем:объем) растворяли восемь мг (8 мг) Bpheid-173-(1-оксисукцинимид) и добавляли этилендиамин (1 мл). Для присоединения этилендиамина как по 131, так и по 173 положениям реакционную смесь обрабатывали аргоном в течение 10 минут и перемешивали при комнатной температуре в течение ночи в темноте. Затем реакционную смесь упаривали досуха в вакууме, повторно растворяли в хлороформе (50 мл) и промывали один раз водой (около 50 мл) для удаления следов этилендиамина. Раствор хлороформа, содержащий продукт, собирали и упаривали, получая таким образом соединение 4.
ESI-МС (+): 713,89 (M+1), 357,56 ([M+2]/2).
Оптическое поглощение в хлороформе, (относительное поглощение): 753 (1,00), 522 (0,28), 354 (1,05) нм.
Пример 2
Дицитратная соль 31-оксо-15-метоксикарбонилметил-родобактериохлорин 131,173-ди(2-N3-триметиламмонийэтил)амида (соединение 5)
Соединение 5 получали из соединения 4, как показано на схеме I. Диизопропилэтиламин (DIEA) (27 мкл) и метилиодид (30 мкл, CH3I) добавляли к раствору 4 (3 мг) в 2 мл хлороформа. Реакционную смесь обрабатывали аргоном в течение 10 минут и перемешивали в течение ночи при комнатной температуре в темноте. Продукт экстрагировали дважды водой (около 50 мл). Водный слой собирали и упаривали и продукт очищали с помощью ВЭЖХ (ВЭЖХ JASCO, Japan). Колонка: C-8 250×20 (YMC, Japan). Растворитель A: 0,05M цитратный буфер, pH 4,0. Растворитель B: ацетонитрил. Профиль элюирования указанного в заголовке соединения 5 в виде соли дицитрата описан в таблице 1.1 Спектр флуоресценции соединения 5 в метаноле показан на фиг.1.
| Таблица 1 |
| Градиентный профиль очистки соединения 5 |
| Время (мин) |
Поток (мл/мин) |
A% |
B% |
| 0 |
5 |
100 |
0 |
| 15 |
5 |
0 |
100 |
| 17 |
5 |
0 |
100 |
| 22 |
5 |
100 |
0 |
| 30 |
0,2 |
100 |
0 |
ESI-МС (+): 990,12 (M-цитрат).
ЯМР в MeOH-d4: 9,33 (5-H, с), 8,92 (10-H, с), 8,75 (20-H, с), 5,35 и 4,95 (151-CH2, ушир.), 4,0-4,4 (7,8,17,18-H, м), 3,80 (153-Me, ушир.с), 3,52 (21-Me, с), 3,19 (121-Me, с), 3,09 (32-Me, с), 1,92-2,41, 1,60-1,75 (171, 172-CH2, м), 2,19 (81-CH2, м), 1,91 (71-Me, д), 1,61 (181-Me, д), 1,09 (82-Me, т), 3,62, 3,05 (CH2‘s NHCH2CH2NMe3), 3,39 и 3,02 (Me’s NHCH2CH2NMe3).
Оптическое поглощение в воде, (относительное поглощение): 753 (1,00), 519 (0,30), 354 (1,25) нм. Коэффициент разделения октанол/вода составляет 40/60.
Пример 3
31-Оксо-15-метоксикарбонилметил-родобактериохлорин 131,173-ди(3-аминопропил)амид (соединение 6)
Соединение 6 получали, как описано в примере 1 выше, путем взаимодействия Bpheid-173-(1-оксисукцинимид) с 1,3-пропилендиамином.
ESI-МС (+): 813,86 (M+NH2CH2CH2CH2NH2), 739,74 (M).
Оптическое поглощение в хлороформе, (относительное поглощение): 753 (1,00), 522 (0,29), 354 (1,22) нм.
Пример 4
Дицитратная соль 31-оксо-15-метоксикарбонилметил-родобактериохлорин 131,173-ди(3-N3-триметиламмонийпропил)амида (соединение 7)
Соединение 7 получали из соединения 6 путем взаимодействия с DIEA и CH3I, как описано в примере 2 выше.
ESI-МС (+): 413,62 ([M-2×цитрат]/2). Коэффициент разделения октанол/вода составляет 50/50.
Оптическое поглощение в воде, (относительное поглощение): 753 (1,00), 519 (0,29), 354 (1,21) нм.
Пример 5
31-Оксо-15-метоксикарбонилметил-родобактериохлорин 131,173-ди(6-аминогексил)амид (соединение 8)
Соединение 8 получали, как описано в примере 1 выше, путем взаимодействия Bpheid-173-(1-оксисукцинимид) с 1,6-гексилендиамин. Характеристики соединения 8:
ESI-МС (+): 826,20 (M+2), 413,62 ([M+2]/2)
Пример 6
Дицитратная соль 31-оксо-15-метоксикарбонилметил-родобактериохлорин 131,173-ди(6-N3-триметиламмонийгексил)амида (соединение 9)
Соединение 9 получали из соединения 8 путем взаимодействия с DIEA и CH3I, как описано в примере 2 выше.
ESI-МС (+): 455,89 ([M-2×цитрат]/2). Коэффициент разделения октанол/вода составляет 75/25.
Оптическое поглощение в воде, (относительное поглощение): 753 (1,00), 519 (0,30), 354(1,31) нм.
Пример 7
31-Оксо-15-метоксикарбонилметил-родобактериохлорин 131,173-ди(2-аминоэтил)амид Pd (соединение 10)
Соединение 10 получали путем взаимодействия Pd-Bpheid-173-(1-оксисукцинимид) с этилендиамином, как описано в примере 1 выше.
ESI-МС (+): 817,59 (M+1), 409,26 ([M+2]/2)
Оптическое поглощение в MeOH (относительное поглощение): 747 (1,00), 516 (0,13), 384 (0,41), 330 (0,50) нм.
Пример 8
Дифосфатная соль 31-оксо-15-метоксикарбонилметил-родобактериохлорин 131,173-ди(2-N3-триметиламмонийэтил)амида Pd (соединение 11)
Соединение 11 получали из соединения 10 путем взаимодействия с DIEA и CH3I, как описано в примере 2 выше, но используя в качестве растворителя A на стадии очистки ВЭЖХ фосфатный буфер (0,05M, pH 5,0).
ESI-МС (+): 451,38 ([M-2×фосфат]/2).
Оптическое поглощение в воде, (относительное поглощение): 747 (1,00), 516 (0,13), 384 (0,41), 330 (0,50) нм.
Пример 9
Хлоридная соль 31-оксо-15-метоксикарбонилметил-родобактериохлорин 131-(2-N3-триметиламмонийэтил)амида Pd (соединение 12)
Как показано на схеме I, соединение 3, Pd-Bpheid (10 мг), перемешивали с гидрохлоридной солью хлорида 2-N3-триметиламмоний-этиламина (15 мг) в ДМФ (2 мл) в присутствии триэтиламина (0,5 мл) в атмосфере аргона при комнатной температуре в течение ночи, таким образом разрывая изоциклическое кольцо молекулы Bpheid. Затем реакционную смесь упаривали досуха и продукт экстрагировали ацетонитрилом. После упаривания растворителя соединение 12 очищали с помощью ВЭЖХ в условиях, аналогичных описанных для очистки соединения 5 в примере 2.
ESI-МС (+): 839 (M-Cl + Na-H), 817,82 (M-Cl) m/z.
Оптическое поглощение в воде, (относительное поглощение): 747 (1,00), 516 (0,13), 384 (0,41), 330 (0,50) нм.
Пример 10
Метиловый эфир О-[Pd-Bpheid]серина
Это соединение синтезировали в соответствии со способом, описанным в патенте США 6333319, следующим образом: соединение 3, Pd-Bpheid (50 мг), метиловый эфир N-тритил-1-серина (200 мг), DCC (16 мг, 0,08 ммоль) и N-диметиламинопиридин (DMAP) (10 мг) растворяли в 20 мл дихлорметана и перемешивали в течение ночи при комнатной температуре в атмосфере инертного газа (аргона). Полученный сложный эфир очищали хроматографией на колонке с силикагелем, используя хлороформ в качестве элюента. Тритил-защитную группу удаляли добавлением трифторуксусной кислоты к раствору хлороформа (до конечной концентрации, равной 1 об.%) в течение 1-3 минут, реакционную смесь промывали водой, сушили над безводным сульфатом натрия и упаривали досуха. Продукт с удаленной защитной группой очищали на колонке с силикагелем следующим образом: сначала основной побочный продукт удаляли элюированием 5% ацетоном в хлороформе и затем продукт, метиловый эфир О-[Pd-Bpheid]серина, элюировали с помощью 2% метанола в хлороформе.
H-ЯМР в CDCl3: 9,21 (с, 1H, H- ), 8,54 (с, 1H, H- ), 8,48 (с, 1H, H- ), 5,93 (с, 1H, H-10), 4,37 (м, 2H, H-3,8), 4,22 (м, 1H, Ser-CH), 4,10 (м, 2H, H-4,7), 3,88 (с, 3H, CH3-10b), 3,67 (с, 3H, Ser-OCH3), 3,63 (м, 2H, Ser-CH2), 3,48 (с, 3H, CH3-1a), 3,39 (с, 3H, CH3-5a), 3,09 (с, 3H, CH3-2b), 2,48 (м, 1H, Ser-OH), 2,15-2,30 (м, 4H, CH2-7a,7b), 2,11 (м, 2H, CH2-4a), 1,78 (д, 3H, CH3-3a), 1,68 (д, 3H, CH3-8a), 1,08 (т, 3H, CH3-4b).
Пример 11
Иодидная соль метилового эфира О-[Pd-Bpheid]-[N3-триметиламмоний-2-метил]серина (соединение 13)
Метиловый эфир О-[Pd-Bpheid]серина, полученный в примере 10 выше, (4 мг) растворяли в хлороформе (3 мл) и перемешивали с метилиодидом (35 мкл) и DIEA (30 мкл) в течение ночи при комнатной температуре. Продукт 13 получали упариванием реакционной смеси и очисткой на колонке с силикагелем с помощью смеси хлороформ-метанол (3:1, объем:объем) в качестве элюента.
ESI-МС (+): 872,75 (M-I) m/z.
Оптическое поглощение в воде, (относительное поглощение): 747 (1,00), 516 (0,13), 384 (0,41), 330 (0,50) нм.
Пример 12
31-Оксо-15-метоксикарбонилметил-родобактериохлорин 131,173-ди(2-гуанидиноэтил)амид Pd (соединение 14)
Как показано на схеме I, 31-оксо-15-метоксикарбонилметил-родобактериохлорин 131,173-ди(2-аминоэтил)амид Pd, соединение 10 (8 мг), смешивали с DIEA (30 мкл) и 1-амидинопиразолом (6 мг) в смеси хлороформ-метанол (1:1, 15 мл). После перемешивания при комнатной температуре в течение 20 часов реакционную смесь упаривали и указанное в заголовке соединение 14 очищали с помощью ВЭЖХ в условиях, аналогичных описанным для очистки соединения 4в примере 1.
ESI-МС (+): 451,69 ([M-2×цитрат]/2).
Путем взаимодействия соединения 14 с метилиодидом получали положительно заряженный 31-оксо-15-метоксикарбонилметил-родобактериохлорин 131,173-ди(2-триметилгуанидинийэтил)амид палладия (14a).
Пример 13
Цитратная соль 31-оксо-15-метоксикарбонилметил-родобактериохлорин 131-(2-S2-диметилсульфонийэтил)амида Pd (соединение 15)
Pd-Bpheid, соединение 3, (12 мг) перемешивали c диацетатом S,S-диметилцистеамина (20 мг) в ДМФ (2 мл) в присутствии триэтиламина (0,5 мл) и в атмосфере аргона. Реакционную смесь упаривали досуха и указанное в заголовке соединение 15 очищали с помощью ВЭЖХ в условиях, описанных для соединения 5 в примере 2.
ESI-МС (+): 844,78 (M-цитрат + Na-H), 820,62 (M-цитрат) m/z.
Пример 14
31-Оксо-15-метоксикарбонилметил-родобактериохлорин 131,173-ди(2-гидроксиэтил)амид (соединение 16)
Bpheid-173-(1-оксисукцинимид) (10 мг), полученный, как описано в примере 1, подвергали взаимодействию с этаноламином (1 мл) в смеси хлороформ-метанол (6 мл).
Реакционную смесь обрабатывали аргоном в течение 10 минут и перемешивали при комнатной температуре в течение ночи в темноте. Соединение 16 получали после очистки на колонке с силикагелем и элюирования смесью хлороформ-метанол (10:1, об./об.).
ESI-МС (+): 737,88 (M+Na), 715,42 (M+H) m/z.
Пример 15
Дицитратная соль 31-оксо-15-метоксикарбонилметил-родобактериохлорин 131,173-ди(2-P3-триметилфосфонийэтил)амида (соединение 17)
Соединение 16 (8 мг) растворяли в трифторуксусном ангидриде (1 мл) и спустя 30 минут смесь упаривали досуха. Сухой продукт растворяли в растворе триметилфосфина в тетрагидрофуране (0,5 мМ, 2 мл) и смесь перемешивали в атмосфере аргона при комнатной температуре в течение 24 часов. Реакционную смесь упаривали для удаления избыточного количества триметилфосфина и получали указанное в заголовке соединение 17 после очистки с помощью ВЭЖХ в условиях, описанных для очистки соединения 5 в примере 2.
ESI-МС (+): 438,54 ([M-2×цитрат]/2+Na-H), 416,46 ([M-2×цитрат]/2) m/z.
Пример 16
31-Оксо-15-метоксикарбонилметил-родобактериохлорин 131,173-ди(2-диметилфосфиноэтил)амид (соединение 18)
Bpheid-173-(1-оксисукцинимид) (10 мг), полученный, как описано в примере 1, подвергали взаимодействию с (2-аминоэтил)диметилфосфином (200 мг) в хлороформе (5 мл) при комнатной температуре в течение ночи. Указанное в заголовке соединение 18 очищали на колонке с силикагелем и элюировали смесью хлороформ-ацетон (15:1, об./об.).
ESI-МС (+): 825,34 (M+Na), 803,88 (M+H) m/z.
Обработка соединения 18 метилиодидом в присутствии DIEA давала продукт, содержащий группу четвертичного фосфония, который после очистки ВЭЖХ был идентичен полученному в примере 15 выше соединению 17.
Пример 17
Дицитратная соль 31-оксо-15-метоксикарбонилметил-родобактериохлорин 131,173-ди(2-As3-триметиларсонийэтил)амида (соединение 19)
Соединение 16 (8 мг) растворяли в ангидриде трифторуксусной кислоты (1 мл) и спустя 30 минут смесь упаривали досуха. Сухой продукт растворяли в растворе триметиларсина в тетрагидрофуране (0,5 мМ раствор, 2 мл; получен из чистого реагента, номер по каталогу 33-3750, Strem) и смесь перемешивали в атмосфере аргона при 45°C в течение 3 дней. Затем смесь упаривали для удаления избыточного количества триметиларсина и указанный в заголовке продукт 19 очищали с помощью ВЭЖХ в условиях, описанных для очистки соединения 5 в примере 2.
ESI-МС (+): 1133,94 ([M-цитрат]+Na-H), 460,40 ([M-2×цитрат]/2) m/z.
Пример 18
Ацетат (соль) 31-оксо-15-метоксикарбонилметил-родобактериохлорин-131-(2-N3-триметиламмонийэтил)амида палладия (соединение 24)
Хлоридная соль этого соединения описана в примере 9 (соединение 12).
Для получения указанного в заголовке соединения, 20 мг Pd-Bpheid, соединение 3 (28 мкмоль), 24 мг гидрохлорида хлорида (2-аминоэтил)триметиламмония (137 мкмоль) и аскорбат натрия (1 мкмоль) перемешивали при комнатной температуре в 1 мл дегазированной в вакууме смеси 1:1 триэтиламина в ДМФ в атмосфере аргона. Наконец, реакционную смесь упаривали в вакууме при комнатной температуре, добавляли 1 мл воды и продукт помещали на колонку Sep-Pak RP-18 (Waters), промывали сначала 20 мл воды, затем 10 мл 10%-ного раствора ацетонитрила в воде, затем элюировали 50%-ным раствором ацетонитрила в воде и упаривали. Во избежание окисления все работы выполняли в стерильной камере с перчатками в атмосфере азота.
Структурная формула: C40H54N6O6Pd+1CH3COO–
Молекулярная масса: 821,3+59,0
Продукт анализировали с помощью ВЭЖХ и идентичность подтверждали с помощью МС.
Время удерживания: 13,05 минут.
МС(+): m/z=821
Спектр в УФ и видимой области: 756 нм, 532 нм, 386 нм, 328 нм
Пример 19
31-Оксо-15-метоксикарбонилметил-родобактериохлорин-131-(2-N2-диметиламиноэтил)амид палладия (соединение 25)
При комнатной температуре в течение 2 часов в атмосфере аргона перемешивали 20 мг Pd-Bpheid, соединение 3, (28 мкмоль) и 1 мл (8,66 ммоль) N,N-диметилэтилендиамина (95%). В конце реакции смесь разбавляли 3 мл воды и нейтрализовали ледяной уксусной кислотой. Продукт очищали с помощью препаративной ВЭЖХ, колонка С-18, подвижная фаза: A=0,2% уксусная кислота в воде. B=0,2% уксусная кислота в ацетонитриле. Градиент: 20% B (0-6 мин) до 95% B (30-33 мин). Скорость потока: 4 мл/мин.
Структурная формула: C39H50N6O6Pd+1CH3COOH
Молекулярная масса: 803,3+60,0
Продукт анализировали с помощью ВЭЖХ и идентичность подтверждали с помощью МС.
Время удерживания: 14,46 минут.
МС(+): m/z=803
Спектр в УФ и видимой области (MeOH): 748 нм, 521 нм, 384 нм, 332 нм
Пример 20
31-Оксо-15-метоксикарбонилметил-родобактериохлорин-131-(3-N2-диметиламинопропил)амид палладия (соединение 26)
При комнатной температуре в течение 2 часа в атмосфере аргона перемешивали 20 мг Pd-Bpheid, соединение 3, (28 мкмоль) и 1 мл (7,88 ммоль) 3-диметиламино-1-пропиламина (99%). В конце реакции смесь разбавляли 5 мл воды и нейтрализовали ледяной уксусной кислотой. Продукт очищали с помощью препаративной ВЭЖХ, колонка С-18, подвижная фаза: А=0,2% уксусная кислота в воде. B=0,2% уксусная кислота в ацетонитриле. Градиент: 20% B (0-6 мин) до 95% B (30-33 мин). Скорость потока: 4 мл/мин.
Структурная формула: C40H52N6O6Pd+1CH3COOH
Молекулярная масса: 817,30+60,0
Продукт анализировали с помощью ВЭЖХ и идентичность подтверждали с помощью МС.
Время удерживания: 14,26 минут.
МС(+): m/z=817
Спектр в УФ и видимой области (MeOH): 749 нм, 516 нм, 380 нм, 334 нм
Пример 21
31-Оксо-15-метоксикарбонилметил-родобактериохлорин-131-(2-[(2-аминоэтил)амино]этил)амид палладия (соединение 27)
При комнатной температуре в течение 3 часов в атмосфере аргона перемешивали 20 мг Pd-Bpheid, соединение 3, (28 мкмоль) и 2 мл (18,35 ммоль) диэтилентриамина (99%). Смесь разбавляли 5 мл воды и нейтрализовали ледяной уксусной кислотой. Продукт очищали с помощью препаративной ВЭЖХ, колонка С-18, подвижная фаза: A=0,2% уксусная кислота в воде. B=0,2% уксусная кислота в ацетонитриле. Градиент: 20% B (0-6 мин) до 95% B (30-33 мин). Скорость потока: 4 мл/мин.
Структурная формула: C39H51N7O6Pd+2CH3COOH
Молекулярная масса: 818,3+120,1
Продукт анализировали с помощью ВЭЖХ и идентичность подтверждали с помощью МС.
Время удерживания: 12,91 минут.
МС(+): m/z=818.
Спектр в УФ и видимой области (MeOH): 752 нм, 519 нм, 380 нм, 334 нм.
Пример 22
31-Оксо-15-метоксикарбонилметил-родобактериохлорин-131-([2-бис(2-аминоэтил)амино]этил)амид палладия (соединение 28)
При комнатной температуре в атмосфере аргона в течение 90 минут перемешивали 20 мг (28 мкмоль) Pd-Bpheid, соединение 3, с 1 мл (6,7 ммоль) трис-(2-аминоэтил)амина в 1 мл N-метил-2-пирролидона. Продукт очищали с помощью ВЭЖХ на колонке С-18. Подвижная фаза: A=0,2% уксусная кислота в воде. B=0,2% уксусная кислота в ацетонитриле. Градиент: 20% B (0-6 мин) до 95% B (30-33 мин). Скорость потока: 4 мл/мин.
Структурная формула: C41H56N8O6Pd+3CH3COOH
Молекулярная масса: 861,4+180,1
Продукт анализировали с помощью ВЭЖХ и идентичность подтверждали с помощью МС.
МС(+): m/z=861.
Спектр в УФ и видимой области (MeOH): 750 нм, 516 нм, 354 нм.
Пример 23
31-Оксо-15-метоксикарбонилметил-родобактериохлорин-131-(2-морфолино-N-этил)амид палладия (соединение 29)
При комнатной температуре в течение 4 часов в атмосфере аргона перемешивали 20 мг Pd-Bpheid, соединение 3, (28 мкмоль) и 1 мл (7,5 ммоль) N-(2-аминоэтил)морфолина (98%). В конце реакции смесь разбавляли 3 мл воды и нейтрализовали ледяной уксусной кислотой. Продукт очищали с помощью препаративной ВЭЖХ, колонка С-18, подвижная фаза: А=0,2% уксусная кислота в воде. B=15 0,2% уксусная кислота в ацетонитриле. Градиент: 20% B (0-6 мин) до 95% B (30-33 мин). Скорость потока: 4 мл/мин.
Структурная формула: C41H52N6O7Pd+1CH3COOH
Молекулярная масса: 845,3+60,0
Продукт анализировали с помощью ВЭЖХ и идентичность подтверждали с помощью МС.
Время удерживания: 15,68 минут.
МС(+): m/z=845.
Спектр в УФ и видимой области (MeOH): 749 нм, 516 нм, 383 нм, 331 нм.
Пример 24
31-Оксо-15-метоксикарбонилметил-родобактериохлорин-131-(2-пиперазино-N-этил)амид палладия (соединение 30)
При комнатной температуре в течение 19 часов в атмосфере аргона перемешивали 20 мг Pd-Bpheid, соединение 3, (28 мкмоль) и 0,5 мл (3,7 ммоль) 1-(2-аминоэтил)пиперазина (97%). В конце реакции смесь разбавляли 1 мл воды и нейтрализовали ледяной уксусной кислотой. Продукт очищали с помощью препаративной ВЭЖХ, колонка С-18, подвижная фаза: А=0,2% уксусная кислота в воде. B=0,2% уксусная кислота в ацетонитриле. Градиент: 30% B (0-6 мин) до 95% B (30-33 мин). Скорость потока: 4 мл/мин.
Структурная формула: C41H53N7O6Pd+2CH3COOH
Молекулярная масса: 844,3+120,1
Продукт анализировали с помощью ВЭЖХ и идентичность подтверждали с помощью МС.
Время удерживания: 14,37 минут.
МС(+): m/z=844
Спектр в УФ и видимой области (MeOH): 747 нм, 516 нм, 380 нм, 330 нм
Пример 25
31-Оксо-15-метоксикарбонилметил-родобактериохлорин-131-(2-[(2-N2-диэтиламиноэтил)амино]этил)амид палладия (соединение 31)
При комнатной температуре в течение 4 часов в атмосфере аргона перемешивали 20 мг Pd-Bpheid, соединение 3, (28 мкмоль) и 1 мл (2,66 ммоль) N,N-диэтилдиэтилентриамина (98%). В конце реакции смесь разбавляли 1 мл воды и нейтрализовали ледяной уксусной кислотой. Продукт очищали с помощью препаративной ВЭЖХ, колонка С-18, подвижная фаза: А=0,2% уксусная кислота в воде. B=0,2% уксусная кислота в ацетонитриле. Градиент: 30% B (0-6 мин) до 95% B (30-33 мин). Скорость потока: 4 мл/мин.
Структурная формула: C43H59N7O6Pd+2CH3COOH
Молекулярная масса: 874,4+120,1
Продукт анализировали с помощью ВЭЖХ и идентичность подтверждали с помощью МС.
Время удерживания: 13,77 минут.
МС(+): m/z=874
Спектр в УФ и видимой области (MeOH): 742 нм, 513 нм, 380 нм, 330 нм
Пример 26
31-Оксо-15-метоксикарбонилметил-родобактериохлорин-131-(3-[(3-аминопропил)амино]пропил)амид палладия (соединение 32)
При комнатной температуре в течение 2 часов в атмосфере аргона перемешивали Pd-Bpheid, 3, (30 мг, 420 мкмоль) и бис(3-аминопропил)амин (3 мл, 20,61 ммоль). После завершения реакции (ТСХ) реакционную смесь разбавляли водой (100 мл) и раствор экстрагировали н-бутанолом (дважды, со 100 и 50 мл соответственно) в делительной воронке. Экстракт бутанола промывали три раза 50 мл воды. Фазовое разделение улучшали добавлением 10-мл частей 25% водного раствора NaCl. Экстракт бутанола сушили с помощью MgSO4 и упаривали при пониженном давлении. Твердое вещество повторно растворяли в 10% водной уксусной кислоте (10 мл) и продукт осаждали добавлением в десять раз большего объема ацетона. Осажденную фазу повторно растворяли в 0,5% водной уксусной кислоте (13 мл) и лиофилизировали.
Структурная формула: C41H53N7O6Pd+2CH3COOH
Молекулярная масса: 846,5+120,1
Продукт анализировали с помощью ВЭЖХ и идентичность подтверждали с помощью МС.
Время удерживания: 13,63 минут.
МС(+): m/z=846
Спектр в УФ и видимой области (MeOH): 752 нм, 519 нм, 380 нм, 334 нм.
Пример 27
Диацетатная соль 31-оксо-15-метоксикарбонилметил-родобактериохлорин-131,173-ди(2-N3-триметиламмонийэтил)амида палладия (соединение 33)
Дифосфатная соль данного соединения описана в примере 8 (соединение 11).
Для получения указанного в заголовке соединения 101 мг Pd-Bpheid, соединение 3, (141 мкмоль) и 10 мл этилендиамина (148 ммоль) перемешивали при комнатной температуре в течение 2 часов в атмосфере аргона. Затем в реакционную смесь добавляли 659 мг раствора связующего реагента гексафторфосфата бром-трис-пирролидинофосфония (PyBroP) (1,4 ммоль) в 2,3 мл хлороформа. Смесь перемешивали в течение еще 2 часов при комнатной температуре в атмосфере аргона. Затем реакционную смесь охлаждали и избыточное количество связующего реагента удаляли добавлением 5 мл воды. Смесь разбавляли 250 мл хлороформа и промывали 200 мл воды. Органическую фазу сушили над MgSO4, фильтровали и упаривали. Получали приблизительно 245 мг соединения 10.
Соединение 10 (245 мг) растворяли в 90 мл хлороформа. Реакционную смесь дегазировали с помощью аргона в течение около 5 минут перед введением диизопропилэтиламина (DIEA) (2,6 мл, 14,88 ммоль). После перемешивания в течение 5 минут в реакционную смесь добавляли CH3I (2 мл, 31,8 ммоль). Пропускали струю аргона с небольшой скоростью в течение еще 2 минут. Реакцию перемешивали при комнатной температуре в темноте в течение ночи.
После окончания этого промежутка времени для удаления непрореагировавшего CH3I через реакционный раствор пропускали умеренный поток аргона. Растворитель упаривали и оставшийся продукт растворяли в 350 мл воды и промывали (4×100 мл) этилацетатом. Водный раствор концентрировали упариванием воды до окончательного объема, равного 150 мл.
Продукт очищали 50-мл частями водного раствора на колонке Sep-Pack, сначала предварительно промытой 120 мл воды и 200 мл 1% водной уксусной кислоты, элюированием 5 мл ацетонитрила, содержащим 2% уксусную кислоту. Ацетонитрильные растворы некоторых разделений объединяли и растворитель упаривали. Очищенный продукт повторно растворяли в 3 мл воды и лиофилизировали.
Формула: C45H66N8O5Pd + 2 CH3COO–
Молекулярная масса: 904,4+118,1
Продукт анализировали с помощью ВЭЖХ и идентичность подтверждали с помощью МС.
Время удерживания: 11,35 мин.
МС (+): m/z=904
Спектр в УФ и видимой области (MeOH): 747 нм, 514 нм, 382 нм, 330 нм
Пример 28
31-Оксо-15-метоксикарбонилметил-родобактериохлорин-131,173-ди(3-аминопропил)амид палладия (соединение 34)
При комнатной температуре в атмосфере аргона в течение 75 минут перемешивали 20 мг Pd-Bpheid, соединение 3, (28 мкмоль) и 2 мл (23,7 ммоль) только что перегнанного 1,3-диаминопропана. После этого в реакционный сосуд добавляли 138,8 мг раствора PyBroP (297 мкмоль) в 200 мкл хлороформа. Смесь перемешивали в течение еще 30 минут при комнатной температуре в атмосфере аргона. Затем реакцию охлаждали и избыточное количество связующего реагента удаляли добавлением 1 мл воды. Смесь разбавляли 50 мл хлороформа и промывали 2×100 мл воды. Органическую фазу сушили над MgSO4, фильтровали и упаривали. Конечный продукт очищали с помощью препаративной ВЭЖХ, колонка С-18, подвижная фаза: А=0,2% уксусная кислота в воде. В=0,2% уксусная кислота в ацетонитриле. Градиент: 20% B (0-6 мин) до 95% B (30-33 мин). Скорость потока: 4 мл/мин.
Структурная формула: C41H54N8O5Pd+2CH3COOH
Молекулярная масса: 845,4+120,1
Продукт анализировали с помощью ВЭЖХ и идентичность подтверждали с помощью МС.
Время удерживания: 10,81 минут.
МС(+): m/z=845
Спектр в УФ и видимой области (MeOH): 745 нм, 514 нм, 380 нм, 330 нм
Пример 29
31-Оксо-15-метоксикарбонилметил-родобактериохлорин-131,173-ди(4-аминобутил)амид палладия (соединение 35)
В течение 1 часа в атмосфере аргона при 30°C перемешивали 20 мг Pd-Bpheid, соединение 3, (28 мкмоль) и 2 мл (19,7 ммоль) 1,4-диаминобутана. После этого в реакционный сосуд добавляли 133,4 мг раствора PyBroP (286 мкмоль) в 200 мкл хлороформа. Смесь перемешивали в течение еще 60 минут при 30°C в атмосфере аргона. Затем реакцию охлаждали и избыточное количество связующего реагента удаляли добавлением 1 мл воды. Избыточное количество амина упаривали и продукт очищали с помощью препаративной ВЭЖХ, колонка С-18, подвижная фаза: А=0,2% уксусная кислота в воде. B=0,2% уксусная кислота в ацетонитриле. Градиент: 20% B (0-6 мин) до 95% B (30-33 мин). Скорость потока: 4 мл/мин.
Структурная формула: C43H58N8O5Pd+2CH3COOH
Молекулярная масса: 873,2+120,1
Продукт анализировали с помощью ВЭЖХ и идентичность подтверждали с помощью МС.
Время удерживания: 5,11 минут.
МС(+): m/z=873
Спектр в УФ и видимой области (MeOH): 748 нм, 516 нм, 384 нм, 332 нм
Пример 30
31-Оксо-15-метоксикарбонилметил-родобактериохлорин-131,173-ди(2-аминоэтил)амид палладия (соединение 10)
При комнатной температуре в течение 40 минут в атмосфере аргона перемешивали 20 мг Pd-Bpheid, соединение 3, (28 мкмоль) и 2 мл (29,6 ммоль) этилендиамина. После этого в реакционный сосуд добавляли 136,8 мг раствора PyBroP (293 мкмоль) в 200 мкл хлороформа. Смесь перемешивали в течение еще 2 часа при комнатной температуре в атмосфере аргона. Затем реакцию охлаждали и избыточное количество связующего реагента удаляли добавлением 2 мл воды. Реакционную смесь разбавляли 50 мл хлороформа и промывали дважды 100 мл воды. Растворитель упаривали и конечный продукт очищали с помощью препаративной ВЭЖХ, колонка С-18, подвижная фаза: А=0,2% уксусная кислота в воде. B=0,2% уксусная кислота в ацетонитриле. Градиент: 20% B (0-6 мин) до 95% B (30-33 мин). Скорость потока: 4 мл/мин.
Структурная формула: C39H50N8O5Pd+2CH3COOH
Молекулярная масса: 817,3+120,1
Продукт анализировали с помощью ВЭЖХ и идентичность подтверждали с помощью МС.
Время удерживания: 10,13 минут.
МС(+): m/z=817
Спектр в УФ и видимой области (MeOH): 750 нм, 516 нм, 384 нм, 332 нм
Пример 31
31-Оксо-15-метоксикарбонилметил-родобактериохлорин-131,173-ди(2-N2-диметиламиноэтил)амид палладия (соединение 36)
При комнатной температуре в течение 1 часа в атмосфере аргона перемешивали 20 мг Pd-Bpheid, соединение 3, (28 мкмоль) и 1,5 мл (13 ммоль) N,N-диметилэтилендиамина. После этого в реакционный сосуд добавляли 131 мг раствора PyBroP (281 мкмоль) в 170 мкл хлороформа. Смесь перемешивали в течение еще 2 часов при комнатной температуре в атмосфере аргона. Затем реакцию охлаждали и избыточное количество связующего реагента удаляли добавлением 1 мл воды. Реакционную смесь разбавляли 50 мл этилацетата и промывали дважды 100 мл воды. Растворитель упаривали и конечный продукт очищали с помощью препаративной ВЭЖХ, C-18 колонка, подвижная фаза: А=0,2% уксусная кислота в воде. B=0,2% уксусная кислота в ацетонитриле. Градиент: 20% B (0-6 мин) до 95% B (30-33 мин). Скорость потока: 4 мл/мин.
Структурная формула: C43H58N8O5Pd+2CH3COOH
Молекулярная масса: 873,2+120,1
Продукт анализировали с помощью ВЭЖХ и идентичность подтверждали с помощью МС.
Время удерживания: 6,56 минут
МС(+): m/z=873
Спектр в УФ и видимой области (MeOH): 748 нм, 516 нм, 384 нм, 332 нм
Пример 32
31-Оксо-15-метоксикарбонилметил-родобактериохлорин-131,173-ди(3-N2-диметиламинопропил)амид палладия (соединение 37)
При комнатной температуре в течение 1 часа в атмосфере аргона перемешивали 20 мг Pd-Bpheid, соединение 3, (28 мкмоль) и 1,5 мл (11,8 ммоль) 3-диметиламино-1-пропиламина. После этого в реакционный сосуд добавляли 130,6 мг раствора PyBroP (280 мкмоль) в 170 мкл хлороформа. Смесь перемешивали в течение еще 2 часов при комнатной температуре в атмосфере аргона. Затем реакцию охлаждали и избыточное количество связующего реагента удаляли добавлением 1 мл воды. Реакционную смесь разбавляли 50 мл этилацетата и промывали дважды 100 мл воды. Водные слои промывали 100 мл этилацетата. Оба органических слоя объединяли и упаривали. Конечный продукт очищали с помощью препаративной ВЭЖХ, колонка С-18, подвижная фаза: А=0,2% уксусная кислота в воде. В=0,2% уксусная кислота в ацетонитриле. Градиент: 20% B (0-6 мин) до 95% B (30-33 мин). Скорость потока: 4 мл/мин.
Структурная формула: C45H62N8O5Pd+2CH3COOH
Молекулярная масса: 901,2+120,1
Продукт анализировали с помощью ВЭЖХ и идентичность подтверждали с помощью МС.
Время удерживания: 12,9 минут.
МС(+): m/z=901
Спектр в УФ и видимой области (MeOH): 746 нм, 516 нм, 384 нм, 332 нм
Пример 33
31-Оксо-15-метоксикарбонилметил-родобактериохлорин-131,173-ди-(2-[(2-аминоэтил)амино]этил)амид палладия (соединение 38)
При комнатной температуре в течение 90 минут в атмосфере аргона перемешивали 20 мг Pd-Bpheid, соединение 3, (28 мкмоль) и 2 мл (18,3 ммоль) диэтилентриамина. После этого в реакционный сосуд добавляли 130 мг раствора PyBroP (279 мкмоль) в 700 мкл хлороформа. Смесь перемешивали в течение еще 90 минут при комнатной температуре в атмосфере аргона. Затем реакцию охлаждали и избыточное количество связующего реагента удаляли добавлением 1 мл воды. Реакционную смесь нейтрализовали ледяной уксусной кислотой и разбавляли водой. Продукт очищали с помощью препаративной ВЭЖХ, колонка С-18, подвижная фаза: А=0,2% уксусная кислота в воде. В=0,2% уксусная кислота в ацетонитриле. Градиент: 20% B (0-6 мин) до 95% B (30-33 мин). Скорость потока: 4 мл/мин.
Структурная формула: C43H60N10O5Pd+4CH3COOH
Молекулярная масса: 904,1+240,2
Продукт анализировали с помощью ВЭЖХ и идентичность подтверждали с помощью МС.
Время удерживания: 1,95 минут (совокупное)
МС(+): m/z=904
Спектр в УФ и видимой области (MeOH): 745 нм, 514 нм, 382 нм, 330 нм
Пример 34
31-Оксо-15-метоксикарбонилметил-родобактериохлорин-131,173-ди-(2-[(2-N2-диэтиламиноэтил)амино]этил)амид палладия (соединение 39)
При комнатной температуре в течение 4 часов в атмосфере аргона перемешивали 20 мг Pd-Bpheid, соединение 3, (28 мкмоль) и 1 мл (5,33 ммоль) N,N-диэтилдиэтилентриамина. После этого в реакционный сосуд добавляли 130 мг раствора PyBroP (279 мкмоль) в 500 мкл хлороформа. Смесь перемешивали в течение еще 2,5 часов при комнатной температуре в атмосфере аргона. Затем реакцию охлаждали и избыточное количество связующего реагента удаляли добавлением 1 мл воды. Реакционную смесь нейтрализовали ледяной уксусной кислотой и разбавляли в воде. Продукт очищали с помощью препаративной ВЭЖХ, колонка С-18, подвижная фаза: А=0,2% уксусная кислота в воде. В=0,2% уксусная кислота в ацетонитриле. Градиент: 20% B (0-6 мин) до 95% B (30-33 мин). Скорость потока: 4 мл/мин.
Структурная формула: C51H76N10O5Pd+4CH3COOH
Молекулярная масса: 1015,5+240,2
Продукт анализировали с помощью ВЭЖХ и идентичность подтверждали с помощью МС.
Время удерживания: 5,3-6,6 минут.
МС(+): m/z=1015
Спектр в УФ и видимой области (MeOH): 743 нм, 512 нм, 380 нм, 329 нм
Пример 35
31-Оксо-15-метоксикарбонилметил-родобактериохлорин-131,173-ди(2-морфолино-N-этил)амид палладия (соединение 40)
При комнатной температуре в течение 2 часов в атмосфере аргона перемешивали 20 мг Pd-Bpheid, соединение 3, (28 мкмоль) и 2 мл (15,2 ммоль) N-(2-аминоэтил)морфолина. После этого в реакционный сосуд добавляли 136 мг раствора PyBroP (291 мкмоль) в 700 мкл хлороформа. Смесь перемешивали в течение еще 2 часов при комнатной температуре в атмосфере аргона. Затем реакцию охлаждали и избыточное количество связующего реагента удаляли добавлением 1 мл воды. Реакционную смесь нейтрализовали ледяной уксусной кислотой и разбавляли в воде. Смесь растворяли в воде и промывали хлороформом, 3×100 мл. Органический растворитель упаривали и продукт очищали с помощью препаративной ВЭЖХ, C-18 колонка, подвижная фаза: А=0,2% уксусная кислота в воде. В=0,2% уксусная кислота в ацетонитриле. Градиент: 20% B (0-6 мин) до 95% B (30-33 мин). Скорость потока: 4 мл/мин.
Структурная формула: C47H62N8O7Pd+2CH3COOH
Молекулярная масса: 958,4+120,1
Продукт анализировали с помощью ВЭЖХ и идентичность подтверждали с помощью МС.
Время удерживания: 11,6 минут.
МС(+): m/z=958
Спектр в УФ и видимой области (MeOH): 745 нм, 513 нм, 381 нм, 330 нм.
Пример 36
31-Оксо-15-метоксикарбонилметил-родобактериохлорин-131,173-ди(2-пиперазино-N-этил)амид палладия (соединение 41)
При комнатной температуре в течение 22 часов в атмосфере аргона перемешивали 20 мг Pd-Bpheid, соединение 3, (28 мкмоль) и 1 мл (7,4 ммоль) N-(2-аминоэтил)пиперазина (97%). После этого в реакционный сосуд добавляли 130 мг раствора PyBroP (279 мкмоль) в 500 мкл хлороформа. Смесь перемешивали в течение еще 3,5 часов при комнатной температуре в атмосфере аргона. Затем реакционную смесь охлаждали и избыточное количество связующего реагента удаляли добавлением 1 мл воды. Реакционную смесь нейтрализовали с помощью ледяной уксусной кислоты и разбавляли водой. Продукт очищали с помощью препаративной ВЭЖХ, колонка С-18, подвижная фаза: А=0,2% уксусная кислота в воде. В=0,2% уксусная кислота в ацетонитриле. Градиент: 40% B 25 (0-6 мин) до 95% B (30-33 мин). Скорость потока: 4 мл/мин.
Структурная формула: C47H64N10O5Pd+4CH3COOH
Молекулярная масса: 955,5+240,2
Продукт анализировали с помощью ВЭЖХ и идентичность подтверждали с помощью МС.
Время удерживания: 11,4 минут.
МС(+): m/z=955
Спектр в УФ и видимой области (MeOH): 744 нм, 513 нм, 380 нм, 329 нм.
Пример 37
31-Оксо-15-метоксикарбонилметил-родобактериохлорин-131,173-ди-(3-[(3-аминопропил)амино]пропил)амид палладия (соединение 42)
Получение активного сложного эфира
Обычно, 25 мг Pd-Bpheid, соединение 3, (35 мкмоль) и 39,4 мг N-гидроксисукцинимида (HOSu или NHS) (342 мкмоль) растворяли в 1 мл безводного ДМФ в атмосфере аргона. В 500 мкл безводного ДМФ добавляли 31 мг 1,3-дициклогексилкарбодиимида (DCC) (150 мкмоль). Реакционную смесь перемешивали при комнатной температуре в течение ночи. Затем ДМФ упаривали и продукт очищали с помощью жидкостной хроматографии на SiO2 с помощью смеси 95% CHCl3:5% EtOH в качестве элюента. Затем растворитель упаривали с получением 55 мг активированного сложного эфира. Эксперименты показывают, что нет необходимости в выделении или очистке активированного сложного эфира.
20 мг Pd-Bpheid-OSu (24,7 мкмоль) перемешивали при комнатной температуре с 1 мл только что перегнанного бис(3-аминопропил)амина в течение 3 часов в атмосфере аргона. Затем реакционную смесь упаривали в вакууме при комнатной температуре. После упаривания к остатку добавляли 1 мл воды и продукт очищали с помощью препаративной ВЭЖХ на колонке C-18, подвижная фаза: А=0,1% уксусная кислота, pH 7,2, в воде. В=0,1% уксусная кислота, pH 7,2, в ацетонитриле. Градиент: 20% B (0-2 мин) до 90% B (20-22 мин). Скорость потока: 4 мл/мин.
Структурная формула: C47H68N10O5Pd+4CH3COOH
Молекулярная масса: 959,4+240,2
Продукт анализировали с помощью ВЭЖХ и идентичность подтверждали с помощью МС.
Время удерживания: 12,83 минут.
МС(+): m/z=959
Спектр в УФ и видимой области: 750 нм, 516 нм, 386 нм, 330 нм, 268 нм
Пример 38
31-Оксо-15-метоксикарбонилметил-родобактериохлорин-131,173-ди([2-бис(2-аминоэтил)амино]этил)амид палладия (соединение 43)
В течение 3 часов в атмосфере аргона при комнатной температуре 20 мг полученного в примере 38 выше Pd-Bpheid-OSu (24,7 мкмоль) перемешивали с 1 мл трис(2-аминоэтил)амина. Затем реакционную смесь упаривали в вакууме при комнатной температуре. Затем к остатку добавляли 1 мл воды и продукт очищали препаративной ВЭЖХ на колонке C-18 с силикагелем. Подвижная фаза: А=0,1% уксусная кислота, pH 7,2, в воде. В=0,1% уксусная кислота, pH 7,2, в ацетонитриле. Градиент: 20% B (0-2 мин) до 90% B (20-22 мин). Скорость потока: 4 мл/мин.
Структурная формула: C47H70N12O5Pd+6CH3COOH
Молекулярная масса: 989,4+360,3
Продукт анализировали с помощью ВЭЖХ и идентичность подтверждали с помощью МС.
Время удерживания: 114,15 минут.
МС(+): m/z=989
Спектр в УФ и видимой области: 750 нм, 516 нм, 386 нм, 332 нм
Пример 39
31-Оксо-15-метоксикарбонилметил-родобактериохлорин-131,173-ди(2-N-(2′-пиридил)аминоэтил)амид палладия (соединение 44)
1) 500 мг 2-хлорпиридина (4,40 ммоль) растворяли в 3,0 мл этилендиамина (44,0 ммоль) и смесь кипятили с обратным холодильником в течение 6 часов при 100°C. В конце реакции избыточное количество этилендиамина упаривали в вакууме при комнатной температуре. Продукт N-(2-пиридил)этилендиамин очищали на колонке с силикагелем 60 (0,040-0,063 мм). Подвижная фаза: метанол 90%, раствор аммиака 10%.
ТСХ анализ на пластинке с силикагелем 60 F254, подвижная фаза: метанол 90%, раствор аммиака 10%. Rf продукта = 0,43.
2) К 110 мг раствора N-(2-пиридил)этилендиамина (0,80 ммоль) в безводном диметилформамиде добавляли 30 мг Pd-Bpheid-OSu (0,037 ммоль, полученного в примере 38). Раствор перемешивали в течение 5 часов при комнатной температуре в атмосфере аргона.
Продукт очищали с помощью препаративной ВЭЖХ, используя колонку С-18. Подвижная фаза: А=0,2% уксусная кислота в воде. B=0,2% уксусная кислота в ацетонитриле. Градиент: 20% B (0-6 мин) до 95% B (30-33 мин). Скорость потока: 4 мл/мин.
Структурная формула: C49H56N10O5Pd+4CH3COOH
Молекулярная масса: 971,5+240,2
Продукт анализировали с помощью ВЭЖХ и идентичность подтверждали с помощью МС.
Время удерживания: 13,96 минут.
МС(+): m/z=971
Спектр в УФ и видимой области: 750 нм, 516 нм, 386 нм, 332 нм
Пример 40
31-Оксо-15-метоксикарбонилметил-родобактериохлорин-131,173-ди(2-N2-диэтиламиноэтил)амид палладия (соединение 45)
1) При комнатной температуре в течение 3 часов в атмосфере аргона 30 мг Pd-Bpheid, соединение 3, (42 мкмоль) перемешивали с 300 мкл 2-(диэтиламино)этиламина (2,11 ммоль). Продукт аминолиза исследовали с помощью ВЭЖХ-МС.
Время удерживания: 15,49 минут. МС(+): m/z=831
2) К вышеуказанной реакционной смеси добавляли 40 мг раствора PyBroP (0,086 ммоль) в 200 мкл ДМФ. Раствор перемешивали при комнатной температуре в течение 3 часов в атмосфере аргона.
Продукт очищали с помощью препаративной ВЭЖХ, используя колонку С-18. Подвижная фаза: А=0,2% уксусная кислота в воде. В=0,2% уксусная кислота в ацетонитриле. Градиент: 20% B (0-6 мин) до 95% B (30-33 мин). Скорость потока: 4 мл/мин.
Структурная формула: C47H66N8O5Pd+2CH3COOH
Молекулярная масса: 931,5+120,1
Продукт анализировали с помощью ВЭЖХ и идентичность подтверждали с помощью МС.
Время удерживания: 12,81 минут.
МС(+): m/z=931
Спектр в УФ и видимой области: 750 нм, 516 нм, 386 нм, 332 нм
Пример 41
Ацетатная соль 31-оксо-15-метоксикарбонилметил-родобактериохлорин-131-(2,3-дигидроксипропил)амид-173-(2-N3-триметиламмонийэтил)амида палладия (соединение 46)
1) В 1,0 мл N-метил-2-пирролидона (NMP) и 3-амино-1,2-пропандиола (405 мг, 4,45 ммоль) растворяли Pd-Bpheid, соединение 3, (100 мг, 0,140 ммоль). Раствор перемешивали в течение 3 часов при комнатной температуре в атмосфере аргона. Полученный продукт (аддукт Pd-Bpheid-аминопропандиола) очищали на колонке с силикагелем 60 (0,040-0,063 мм). Подвижная фаза: метанол 90% – раствор аммиака 10%.
ТСХ анализ на пластинке с силикагелем 60 F254, подвижная фаза: метанол 80%, раствор аммиака 20%. Rf продукта = 0,86.
Продукт исследовали с помощью ВЭЖХ-МС.
Время удерживания: 18,42 минут.
МС (+): m/z=805
2) В 1,5 мл NMP растворяли аддукт Pd-Bpheid-аминопропандиол (37 мг, 0,052 ммоль). Добавляли связующий реагент гексафторфосфат бензотриазол-N,N,N’,N’-тетраметилурония (HBTU) (200 мг, 0,52 ммоль), триэтиламин (110 мкл, 0,78 ммоль) и гидрохлорид хлорида (2-аминоэтил)триметиламмония (46 мг, 0,26 ммоль). Раствор перемешивали в течение 2 часов при комнатной температуре в атмосфере аргона. Продукт очищали с помощью ВЭЖХ, используя колонку RP-18. Подвижная фаза: А=0,2% уксусная кислота в воде. В=0,2% уксусная кислота в ацетонитриле. Градиент: 20% B (0-6 мин) до 95% B (30-33 мин). Скорость потока: 4 мл/мин.
Структурная формула: C43H61N7O7Pd+CH3COO–
Молекулярная масса: 892,4+59,0
Продукт анализировали с помощью ВЭЖХ и идентичность подтверждали с помощью МС.
Время удерживания: 13,34 минут.
МС(+): m/z=892
Пример 42
31-Оксо-15-метоксикарбонилметил-родобактериохлорин-131-(2,3-дигидроксипропил)амид-173-(2-аминоэтил)амид палладия (соединение 47)
1) Аминолиз Pd-Bpheid с 3-амино-1,2-пропандиолом и последующей очисткой выполняли, как описано в примере 42 для соединения 46.
2) В 300 мкл NMP растворяли 37 мг аддукта Pd-Bpheid-аминопропандиол (0,052 ммоль). Добавляли 22 мг PyBroP (0,046 ммоль), 10 мкл этилендиамина (0,155 ммоль). Раствор перемешивали в течение 1 часа при комнатной температуре в атмосфере аргона. Продукт очищали с помощью ВЭЖХ, используя колонку RP-18. Подвижная фаза: А=0,2% уксусная кислота в воде. В=0,2% уксусная кислота в ацетонитриле. Градиент: 20% B (0-6 мин) до 95% B (30-33 мин). Скорость потока: 4 мл/мин.
Структурная формула: C40H53N7O7Pd+CH3COOH
Молекулярная масса: 848,3+60,0
Продукт анализировали с помощью ВЭЖХ и идентичность подтверждали с помощью МС.
Время удерживания: 13,15 минут.
МС(+): m/z=848
Пример 43
31-Оксо-15-метоксикарбонилметил-родобактериохлорин-131-(2-аминоэтил)амид-173-(2,3-дигидроксипропил)амид палладия (соединение 48)
1) В течение 30 минут при комнатной температуре в атмосфере аргона в 1 мл (15 ммоль) этилендиамина перемешивали 30 мг Pd-Bpheid, соединение 3, (42 мкмоль). В конце избыточное количество этилендиамина упаривали в вакууме при комнатной температуре и затем раствор замораживали в жидком азоте и лиофилизировали для удаления следов этилендиамина.
2) Продукт аминолиза подвергали взаимодействию с 80 мг (0,17 ммоль) PyBroP, растворенного в 100 мкл хлороформа, и 80 мг (0,88 ммоль) 3-амино-1,2-пропандиола, растворенного в 2 мл NMP, при комнатной температуре в атмосфере аргона в течение 16 часов. Продукт очищали с помощью ВЭЖХ, используя колонку RP-18. Подвижная фаза: А=0,2% уксусная кислота в воде. В=0,2% уксусная кислота в ацетонитриле. Градиент: 20% B (0-6 мин) до 95% B (30-33 мин). Скорость потока: 4 мл/мин.
Структурная формула: C40H53N7O7Pd+CH3COOH
Молекулярная масса: 848,3+60,0
Продукт анализировали с помощью ВЭЖХ и идентичность подтверждали с помощью МС.
Время удерживания: 8,43 минут.
МС(+): m/z=848
Пример 44
31-Оксо-15-метоксикарбонилметил-родобактериохлорин-131-(2,3-дигидроксипропил)амид-173-(2-N2-диметиламиноэтил)амид палладия (соединение 49)
1) Аминолиз Pd-Bpheid с 3-амино-1,2-пропандиолом и последующую очистку выполняли, как описано для соединения 46 в примере 42.
2) В 300 мкл NMP растворяли аддукт Pd-Bpheid-аминопропандиол (25 мг, 0,031 ммоль). Добавляли HBTU (120 мг, 0,32 ммоль), N,N-диметилэтилендиамин (14 мг, 0,16 ммоль) и карбонат калия (88 мг). Добавляли буферный раствор до pH 7. Раствор перемешивали в течение 20 часов при комнатной температуре в атмосфере аргона. Продукт очищали с помощью ВЭЖХ, используя колонку RP-18. Подвижная фаза: А=0,2% уксусная кислота в воде. В=0,2% уксусная кислота в ацетонитриле. Градиент: 20% B (0-6 мин) до 95% B (30-33 мин). Скорость потока: 4 мл/мин.
Структурная формула: C42H57N7O7Pd+CH3COOH
Молекулярная масса: 876,3+60,0
Продукт анализировали с помощью ВЭЖХ и идентичность подтверждали с помощью МС.
Время удерживания: 14,74 минут
МС (+): m/z=876
Пример 45
31-Оксо-15-метоксикарбонилметил-родобактериохлорин-131-(2-N2-диметиламиноэтил)амид-173-(2,3-дигидроксипропил)амид палладия (соединение 50)
1) Аминолиз Pd-Bpheid с N,N-диметилэтилендиамином и последующую очистку выполняли, как описано для соединения 25 в примере 20.
2) Продукт аминолиза подвергали взаимодействию с 80 мг (0,17 ммоль) PyBroP, растворенного в 100 мкл хлороформа, и 80 мг (0,88 ммоль) 3-амино-1,2-пропандиола, растворенного в 2 мл NMP, при комнатной температуре в атмосфере аргона в течение 16 часов. Продукт очищали с помощью ВЭЖХ, используя колонку RP-18. Подвижная фаза: А=0,2% уксусная кислота в воде. В=0,2% уксусная кислота в ацетонитриле. Градиент: 20% B (0-6 мин) до 95% B (30-33 мин). Скорость потока: 4 мл/мин.
Структурная формула: C42H57N7O7Pd+CH3COOH
Молекулярная масса: 876,3+60,0
Продукт анализировали с помощью ВЭЖХ и идентичность подтверждали с помощью МС.
Время удерживания: 12,31 минут
МС(+): m/z=876
Пример 46
31-Оксо-15-метоксикарбонилметил-родобактериохлорин-131-(2,3-дигидроксипропил)амид-173-(2-[(2-аминоэтил)амино]этил)амид палладия (соединение 51)
1) Аминолиз Pd-Bpheid с 3-амино-1,2-пропандиолом и последующую очистку выполняли, как описано для 46 в примере 42.
2) В 400 мкл ДМФ растворяли 12 мг аддукта Pd-Bpheid-аминопропандиола (0,015 ммоль). Добавляли 34 мг HBTU (0,64 ммоль), 21 мкл триэтиламина (0,15 ммоль) и 16 мкл диэтилентриамина (0,15 ммоль). Раствор перемешивали в течение 5 часов при комнатной температуре в атмосфере аргона. Продукт очищали с помощью ВЭЖХ, используя колонку RP-18. Подвижная фаза: А=0,2% уксусная кислота в воде. В=0,2% уксусная кислота в ацетонитриле. Градиент: 20% B (0-6 мин) до 95% B (30-33 мин). Скорость потока: 4 мл/мин.
Структурная формула: C42H58N8O7Pd+2CH3COOH
Молекулярная масса: 891,4+120,1
Продукт анализировали с помощью ВЭЖХ и идентичность подтверждали с помощью МС.
Время удерживания: 12,42 минут
МС(+): m/z=891
Пример 47
31-Оксо-15-метоксикарбонилметил-родобактериохлорин-131-(2,3-дигидроксипропил)амид-173-(2-[(2-N2-диэтиламиноэтил)амино]этил)амид палладия (соединение 52)
1) Аминолиз Pd-Bpheid с 3-амино-1,2-пропандиолом и последующую очистку выполняли, как описано для 46 в примере 42.
2) В 1,0 мл NMP растворяли 20 мг аддукта Pd-Bpheid-аминопропандиола (0,025 ммоль). Добавляли 94 мг HBTU (0,25 ммоль), 52 мкл триэтиламина (0,375 ммоль) и 23 мкл N,N-диэтилдиэтилентриамина (0,125 ммоль). Раствор перемешивали в течение 3 часов при комнатной температуре в атмосфере аргона. Продукт очищали с помощью ВЭЖХ, используя колонку RP-18. Подвижная фаза: А=0,2% уксусная кислота в воде. В=0,2% уксусная кислота в ацетонитриле. Градиент: 20% B (0-6 мин) до 95% B (30-33 мин). Скорость потока: 4 мл/мин.
Структурная формула: C40H66N8O7Pd+2CH3COOH
Молекулярная масса: 947,5+120,1
Продукт анализировали с помощью ВЭЖХ и идентичность подтверждали с помощью МС.
Время удерживания: 11,70 минут.
МС(+): m/z=947
Пример 48
31-Оксо-15-метоксикарбонилметил-родобактериохлорин-131-(2,3-дигидроксипропил)амид-173-(2-морфолино-N-этил)амид палладия (соединение 53)
1) Аминолиз Pd-Bpheid с 3-амино-1,2-пропандиолом и последующую очистку выполняли, как описано для соединения 46 в примере 42.
2) В 800 мкл безводного ДМФ растворяли 50 мг аддукта Pd-Bpheid-аминопропандиола (0,07 ммоль). Добавляли 80 мг HOSu (0,70 ммоль) и 216 мг DCC (1,04 ммоль). Раствор перемешивали в течение 90 минут при комнатной температуре в атмосфере аргона. Продукт очищали с помощью ВЭЖХ, используя колонку RP-18. Подвижная фаза: А=0,2% уксусная кислота в воде. В=0,2% уксусная кислота в ацетонитриле. Градиент: 20% B (0-6 мин) до 95% B (30-33 мин). Скорость потока: 4 мл/мин.
3) В 200 мкл безводного ДМФ растворяли 7,0 мг Pd-Bpheid-аминопропандиол-OSu-активированного соединения (7,77×10-3 ммоль). Добавляли 25 мкл сухого N-метилморфолина (0,23 ммоль) и 30 мкл N-(2-аминоэтил)морфолина (0,23 ммоль). Раствор перемешивали в течение 75 минут при комнатной температуре в атмосфере аргона. Продукт очищали с помощью ВЭЖХ, используя колонку RP-18. Подвижная фаза: А=0,2% уксусная кислота в воде. В=0,2% уксусная кислота в ацетонитриле. Градиент: 20% B (0-6 мин) до 95% B (30-33 мин). Скорость потока: 4 мл/мин
Структурная формула: C44H59N7O8Pd+CH3COOH
Молекулярная масса: 918,4+60,0
Продукт анализировали с помощью ВЭЖХ и идентичность подтверждали с помощью МС.
Время удерживания: 13,05 минут
МС(+): m/z=918 20
Пример 49
31-Оксо-15-метоксикарбонилметил-родобактериохлорин-131-(2,3-дигидроксипропил)амид-173-(2-пиперазино-N-этил)амид палладия (соединение 54)
1) Аминолиз Pd-Bpheid с 3-амино-1,2-пропандиолом и последующую очистку выполняли, как описано для 46 в примере 42.
2) В 200 мкл безводного ДМФ растворяли 23 мг аддукта Pd-Bpheid-аминопропандиола (0,032 ммоль). Добавляли 5,55 мг HOSu (0,048 ммоль) и 10,85 мг DCC (0,048 ммоль). Раствор перемешивали в течение 22 часов при комнатной температуре в атмосфере аргона.
3) В реакционный сосуд со стадии 2) добавляли 4 мкл 1-(2-аминоэтил)пиперазин (0,03 ммоль) и 12 мкл триэтиламина (0,09 ммоль). Раствор перемешивали в течение 4 часов при комнатной температуре в атмосфере аргона. Продукт очищали с помощью ВЭЖХ, используя колонку RP-18. Подвижная фаза: А=0,2% уксусная кислота в воде. В=0,2% уксусная кислота в ацетонитриле. Градиент: 20% B (0-6 мин) до 95% B (30-33 мин). Скорость потока: 4 мл/мин.
Структурная формула: C44H60N8O7Pd+2CH3COOH
Молекулярная масса: 917,4+120,1
Продукт анализировали с помощью ВЭЖХ и идентичность подтверждали с помощью МС.
Время удерживания: 13,03 минут
МС(+): m/z=917.
Пример 50
31-Оксо-15-метоксикарбонилметил-родобактериохлорин-131-(2-[(2-аминоэтил)амино]этил)амид-173-(2,3-дигидроксипропил)амид палладия (соединение 55)
1) Аминолиз Pd-Bpheid с диэтилентриамином выполняли, как описано для соединения 27 в примере 22. Продукт очищали на колонке с силикагелем с подвижным раствором 80% метанола и 20% аммиака.
2) При комнатной температуре в атмосфере аргона в течение 16 часов продукт аминолиза Pd-Bpheid подвергали взаимодействию с 80 мг (0,17 ммоль) PyBroP, растворенного в 100 мкл хлороформа, и 80 мг (0,88 ммоль) 3-амино-1,2-пропандиола, растворенного в 2 мл NMP. Продукт очищали с помощью ВЭЖХ, используя колонку RP-18. Подвижная фаза: А=0,2% уксусная кислота в воде. В=0,2% уксусная кислота в ацетонитриле. Градиент: 20% B (0-6 мин) до 95% B (30-33 мин). Скорость потока: 4 мл/мин.
Структурная формула: C42H58N8O7Pd+2CH3COOH
Молекулярная масса: 890+120,1
Продукт анализировали с помощью ВЭЖХ и идентичность подтверждали с помощью МС.
Время удерживания: 11,90 минут.
МС(+): m/z=890
Пример 51
31-Оксо-15-метоксикарбонилметил-родобактериохлорин-131-(2,3-дигидроксипропил)амид-173-N-(2 -пиридил)аминоэтил)амид палладия (соединение 56)
1) Аминолиз Pd-Bpheid с 3-амино-1,2-пропандиолом и последующую очистку выполняли, как описано для соединения 46 в примере 42.
2) В 1,0 мл сухого NMP растворяли 19 мг продукта аминолиза Pd-Bpheid (0,024 ммоль). Добавляли 97 мг N-(2-пиридил)этилендиамина (0,142 ммоль), полученного, как описано в примере 40, 77 мг связующего реагента тетрафторбората О-(бензотриазол-1-ил)-N,N,N’,N’-тетраметилурония (TBTU) (0,24 ммоль) и 50 мкл триэтиламина (0,36 ммоль). Раствор перемешивали в течение 90 минут при комнатной температуре в атмосфере аргона. Продукт очищали с помощью ВЭЖХ, используя колонку RP-18. Подвижная фаза: А=0,2% уксусная кислота в воде. В=0,2% уксусная кислота в ацетонитриле. Градиент: 20% B (0-6 мин) до 95% B (30-33 мин). Скорость потока: 4 мл/мин.
Структурная формула: C45H56N8O7Pd+2CH3COOH
Молекулярная масса: 925,4+120,1
Продукт анализировали с помощью ВЭЖХ и идентичность подтверждали с помощью МС.
Время удерживания: 14,38 минут
МС(+): m/z=925
Пример продукт 52
31-Оксо-15-метоксикарбонилметил-родобактериохлорин-131-(2-N-(2′-пиридил)аминоэтил)амид-173-(2,3-дигидроксипропил)амид палладия
(соединение 57)
1) Полученный, как описано выше в примере 40, N-(2-пиридил)этилендиамин (200 мг) смешивали с 40 мг Pd-Bpheid в течение ночи при комнатной температуре в атмосфере аргона. Продукт очищали с помощью ВЭЖХ, используя колонку RP-18. Подвижная фаза: А=0,2% уксусная кислота в воде. В=0,2% уксусная кислота в ацетонитриле. Градиент: 20% B (0-6 мин) до 95% B (30-33 мин). Скорость потока: 4 мл/мин.
2) Продукт аминолиза Pd-Bpheid-2-(диаминоэтил)пиридина (35 мг, 0,042 ммоль) растворяли в 200 мкл безводного ДМФ. Добавляли 10 мг HOSu (0,086 ммоль) и 22 мг DCC (0,105 ммоль). Раствор перемешивали в течение 5 часов при комнатной температуре в атмосфере аргона.
Продукт анализировали с помощью ВЭЖХ и идентичность подтверждали с помощью МС. Время удерживания: 18,91 минут.
МС(+): m/z=949
2) В 300 мкл безводного диметилформамида растворяли 28 мг Pd-Bpheid-2-(диаминоэтил)пиридин-OSu-активированного сложного эфира (0,03 ммоль). Добавляли 28 мг 3-амино-1,2-пропандиола (0,31 ммоль) и 41 мкл триэтиламина. Раствор перемешивали в течение 14 часов при комнатной температуре в атмосфере аргона. Продукт очищали с помощью ВЭЖХ, используя колонку RP-18. Подвижная фаза: А=0,2% уксусная кислота в воде. В=0,2% уксусная кислота в ацетонитриле. Градиент: 20% B (0-6 мин) до 95% B (30-33 мин). Скорость потока: 4 мл/мин.
Структурная формула: C45H56N8O7Pd+2CH3COOH
Молекулярная масса: 925,4+120,1
Продукт анализировали с помощью ВЭЖХ и идентичность подтверждали с помощью МС.
Время удерживания: 14,53 минут
МС(+): m/z=925
Пример 53
31-Оксо-15-метоксикарбонилметил-родобактериохлорин-131-(2,3-дигидроксипропил)амид-173-([2-бис(2-аминоэтил)амино]этил)амид палладия (соединение 58)
1) Аминолиз Pd-Bpheid с 3-амино-1,2-пропандиолом и последующую очистку выполняли, как описано для соединения 46 в примере 42.
2) Все растворители дегазировали в вакууме. Очищенный аминодиол растворяли в 2 мл NMP и 200 мкл ДМСО. К раствору добавляли 100 мг (0,21 ммоль) PyBroP в 200 мкл хлороформа и 160 мкл (1 ммоль) жидкого трис(2-этиламино)амина. Соединения перемешивали в атмосфере аргона при комнатной температуре в течение 16 часов. Продукт очищали с помощью ВЭЖХ, используя колонку RP-18. Подвижная фаза: А=0,2% уксусная кислота в воде. В=0,2% уксусная кислота в ацетонитриле. Градиент: 20% B (0-6 мин) до 95% B (30-33 мин). Скорость потока: 4 мл/мин.
Структурная формула: C44H63N9O7Pd+3CH3COOH
Молекулярная масса: 933,2+180,2
Продукт анализировали с помощью ВЭЖХ и идентичность подтверждали с помощью МС.
Время удерживания: 10,86 минут
МС(+): m/z=933.
Пример 54
31-Оксо-15-метоксикарбонилметил-родобактериохлорин-131-([2-бис(2-аминоэтил)амин]этил)амид-173-(2,3-дигидроксипропил)амид палладия (соединение 59)
1) В 1 мл безводного ДМФ в атмосфере аргона растворяли 25 мг Pd-Bpheid, соединение 3, (35 мкмоль) и 39,4 мг HOSu (342 мкмоль). Добавляли 31 мг DCC (150 мкмоль), растворенного в 500 мкл безводного ДМФ. Реакционную смесь перемешивали при комнатной температуре в течение ночи. ДМФ упаривали и продукт очищали с помощью жидкостной хроматографии, используя SiO2 в качестве неподвижной среды и смесь 95% CHCl3:5% EtOH в качестве элюента. Продукт находился в первых четырех фракциях. Растворитель упаривали; получали 55 мг Pd-Bpheid-OSu.
2) В 1 мл безводного ДМФ растворяли 25 мг вышеуказанного продукта, Pd-Bpheid-OSu, (30 мкмоль). К этому раствору добавляли 13 мкл N,N-диизопропилэтиламина (DIPEA) (74 мкмоль). Реакционную смесь перемешивали в атмосфере аргона в течение пары минут. В реакционный сосуд добавляли 3-амино-1,2-пропандиол (97 мкл, 37 мкмоль) в 1 мл ДМФ. Реакционную смесь перемешивали при комнатной температуре в атмосфере инертного газа в течение 5 часов. Регистрировалось отсутствие продуктов аминолиза.
3) В реакционный сосуд со стадии 2) добавляли 200 мл (1,28 ммоль) трис(аминоэтил)амина. Реакционный сосуд продували аргоном. Смесь перемешивали в течение ночи при комнатной температуре. Продукт очищали путем разбавления реакционной смеси 30 мл воды и промыванием водного слоя 30 мл н-бутанола. Затем органический слой промывали 3×30 мл воды. Бутанол упаривали и продукт растворяли в 1,5 мл подкисленной воды и 300 мкл ацетонитрила. Раствор делили на аликвоты и лиофилизировали.
Структурная формула: C44H63N9O7Pd+3CH3COOH
Молекулярная масса: 933,2+180,2
Продукт анализировали с помощью ВЭЖХ и идентичность подтверждали с помощью МС.
Время удерживания: 12,46 минут
МС(+): m/z=934
Пример 55
31-Оксо-15-метоксикарбонилметил-родобактериохлорин-131-(3-аминопропил)амид-173-(2,3-дигидроксипропил)амид палладия (соединение 60)
1) В течение 60 минут при комнатной температуре в атмосфере аргона в 1 мл (11,8 ммоль) 1,3-диаминопропана перемешивали 30 мг Pd-Bpheid, соединение 3, (42 мкмоль). Затем избыточное количество амина упаривали в высоком вакууме в течение 16 часов.
2) Продукт растворяли в 1 мл ДМСО и 1 мл ДМФ и перемешивали со 100 мг (0,21 ммоль) раствора PyBroP в 500 мкл хлороформа и 100 мг 3-амино-1,2-пропандиола при комнатной температуре в атмосфере аргона в течение 16 часов. Очистку продукта выполняли осаждением водой с последующей очисткой ВЭЖХ, используя колонку RP-18. Подвижная фаза: А=0,2% уксусная кислота в воде. В=0,2% уксусная кислота в ацетонитриле. Градиент: 20% B (0-6 мин) до 95% B (30-33 мин). Скорость потока: 4 мл/мин.
Структурная формула: C41H55N7O7Pd+CH3COOH
Молекулярная масса: 861,2+60,0
Продукт анализировали с помощью ВЭЖХ и идентичность подтверждали с помощью МС.
Время удерживания: 13,06 минут
МС(+): m/z=861
Пример 56
31-Оксо-15-метоксикарбонилметил-родобактериохлорин-131-(4-аминобутил)амид-173-(2,3-дигидроксипропил)амид палладия (соединение 61)
1) 20 мг Pd-Bpheid, соединение 3, (28 мкмоль) и 0,5 мл (4,9 ммоль) 1,4-диаминобутана (99%) перемешивали при 30°C в течение 4 часов в атмосфере аргона, при этом в реакционный сосуд добавляли 1 мл воды и перемешивали в течение пары минут. Затем раствор лиофилизировали.
2) Продукт аминолиза Pd-Bpheid растворяли в 2 мл безводного ДМФ. К смеси добавляли 414 мг раствора (4,4 ммоль) 3-амино-1,2-пропандиола (97%) в 400 мкл безводного ДМФ. Реакционный сосуд продували аргоном. В реакционный сосуд добавляли 130 мг PyBroP (279 мкмоль) в 500 мкл хлороформа. Смесь перемешивали в течение еще 90 минут при 30°C в атмосфере аргона. Затем реакционную смесь охлаждали и избыточное количество связующего реагента удаляли добавлением 1 мл воды. Смесь разбавляли 100 мл воды. Продукт экстрагировали четыре раза хлороформом, 100 мл и 3×50 мл. Органические промывки объединяли и упаривали. Продукт очищали с помощью ВЭЖХ, используя колонку RP-18. Подвижная фаза: А=0,2% уксусная кислота в воде. В=0,2% уксусная кислота в ацетонитриле. Градиент: 20% B (0-6 мин) до 95% B (30-33 мин). Скорость потока: 4 мл/мин.
Структурная формула: C42H57N7O7Pd+CH3COOH
Молекулярная масса: 876,4+60,0
Продукт анализировали с помощью ВЭЖХ и идентичность подтверждали с помощью МС.
Время удерживания: 13,32 минут.
МС(+): m/z=876
Пример 57
31-Оксо-15-метоксикарбонилметил-родобактериохлорин-131-(2-N2-диэтиламиноэтил)амид-173-(2,3-дигидроксипропил)амид палладия (соединение 62)
1) В 300 мкл 2-(диэтиламиноэтил)амина (2,11 ммоль) растворяли 30 мг Pd-Bpheid, соединение 3, (0,042 ммоль). Раствор перемешивали в течение 3 часов при комнатной температуре в атмосфере аргона. Избыточное количество 2-(диэтиламиноэтил)амина упаривали в высоком вакууме.
Продукт исследовали с помощью ВЭЖХ-МС.
Время удерживания: 15,49 минут.
МС(+): m/z=831
2) К раствору продукта из части 1 добавляли 27 мг 3-амино-1,2-пропандиола (0,3 ммоль), 28 мг PyBroP (0,06 ммоль) и 300 мкл ДМФ. Раствор перемешивали в течение 2 часов при комнатной температуре в атмосфере аргона. Продукт очищали с помощью ВЭЖХ, используя колонку RP-18. Подвижная фаза: А=0,2% уксусная кислота в воде. В=0,2% уксусная кислота в ацетонитриле. Градиент: 20% B (0-6 мин) до 95% B (30-33 мин). Скорость потока: 4 мл/мин.
Структурная формула: C44H61N7O7Pd+CH3COOH
Молекулярная масса: 906,4+60,0
Продукт анализировали с помощью ВЭЖХ и идентичность подтверждали с помощью МС.
Время удерживания: 13,93 минут.
МС(+): m/z=904
Пример 58
31-Оксо-15-метоксикарбонилметил-родобактериохлорин-131-(2-N-этиламиноэтил)амид-173-(2,3-дигидроксипропил)амид палладия (соединение 63)
1) В течение 60 минут при комнатной температуре в атмосфере аргона 30 мг Pd-Bpheid, соединение 3, (42 мкмоль) перемешивали в 1 мл (9,5 ммоль) N-этилэтилендиамина. Затем избыточное количество амина упаривали в высоком вакууме.
2) Затем продукт растворяли в 800 мкл ДМФ и перемешивали с 70 мг (0,77 ммоль) раствора 3-амино-1,2-пропандиола в 200 мкл ДМФ и 70 мг (0,15 ммоль) раствора PyBroP в 200 мкл хлороформа при комнатной температуре в атмосфере аргона в течение 2 часов. Продукт очищали с помощью ВЭЖХ, используя колонку RP-18. Подвижная фаза: А=0,2% уксусная кислота в воде. В=0,2% уксусная кислота в ацетонитриле. Градиент: 20% B (0-6 мин) до 95% B (30-33 мин). Скорость потока: 4 мл/мин.
Структурная формула: C42H57N7O7Pd+CH3COOH
Молекулярная масса: 875,2+60,0
Продукт анализировали с помощью ВЭЖХ и идентичность подтверждали с помощью МС.
Время удерживания: 13,16 минут.
МС(+): m/z=875
Пример 59
31-Оксо-15-метоксикарбонилметил-родобактериохлорин-131-(3-N-метиламинопропил)амид-173-(2,3-дигидроксипропил)амид палладия (соединение 64)
1) В течение 120 минут при комнатной температуре в атмосфере аргона 30 мг Pd-Bpheid, соединение 3, (42 мкмоль) перемешивали в 1 мл (9,6 ммоль) N-метил-1,3-пропандиамина. Затем избыточное количество амина упаривали в высоком вакууме.
2) Затем продукт растворяли в 800 мкл ДМФ и перемешивали с 80 мг (0,88 ммоль) раствора 3-амино-1,2-пропандиола в 200 мкл ДМФ и 75 мг (0,16 ммоль) раствора PyBroP в 200 мкл хлороформа при комнатной температуре в атмосфере аргона в течение 2 часов. Продукт очищали с помощью ВЭЖХ, используя колонку RP-18. Подвижная фаза: А=0,2% уксусная кислота в воде. В=0,2% уксусная кислота в ацетонитриле. Градиент: 20% B (0-6 мин) до 95% B (30-33 мин). Скорость потока: 4 мл/мин.
Структурная формула: C42H57N7O7Pd+CH3COOH
Молекулярная масса: 875,2+60,0
Продукт анализировали с помощью ВЭЖХ и идентичность подтверждали с помощью МС.
Время удерживания: 12,93 минут.
МС(+): m/z=875
Пример 60
31-Оксо-15-метоксикарбонилметил-родобактериохлорин-131-(2-N2-диметиламиноэтил)амид-173-(2-гидроксиэтил)амид палладия (соединение 65)
1) При комнатной температуре в течение 1 часа в атмосфере аргона перемешивали 300 мг Pd-Bpheid, соединение 3, (420 мкмоль), 655 мг PyBroP (1260 мкмоль), 30,78 мкл этаноламина (504 мкл), 0,6 мл ДМФ и 0,1 мл триэтиламина. Реакционную смесь упаривали в вакууме, продукт очищали с помощью водно-хлороформной экстракции. Содержащую продукт хлороформную фазу сушили над безводным MgSO4, фильтровали и упаривали.
2) После упаривания добавляли 460 мкл N,N-диметилэтилендиамина (4,2 ммоль) и реакционную смесь перемешивали при комнатной температуре в течение 1 часа в атмосфере аргона. Продукт очищали с помощью экстракции водой и н-бутанолом. Содержащую продукт н-бутанольную фазу сушили (безводный MgSO4), фильтровали и упаривали.
Структурная формула: C41H55N7O6Pd+CH3COOH
Молекулярная масса: 848,2+60,0
Продукт анализировали с помощью ВЭЖХ и идентичность подтверждали с помощью МС.
МС(+): m/z (наиболее сильный) = 846
Спектр в УФ и видимой области: 750 нм, 516 нм, 386 нм, 332 нм, 264 нм
Пример 61
31-Оксо-15-метоксикарбонилметил-родобактериохлорин-131-(2-N2-диметиламиноэтил)амид-173-(3-гидроксипропил)амид палладия (соединение 66)
1) Аминолиз Pd-Bpheid выполняли, как описано для соединения 25 в примере 20.
2) Затем весь продукт, полученный на стадии 1 выше, растворяли в 6 мл ДМФ. 1 мл раствора подвергали взаимодействию с 20 мкл (0,26 ммоль) 3-амино-1-пропанола, 70 мг (0,15 ммоль) PyBroP и 20 мкл (0,18 ммоль) N-метилморфолина. Смесь перемешивали в течение 90 минут при комнатной температуре в атмосфере аргона. Продукт очищали с помощью ВЭЖХ, используя колонку RP-18. Подвижная фаза: А=0,2% уксусная кислота в воде. В=0,2% уксусная кислота в ацетонитриле. Градиент: 20% B (0-6 мин) до 95% B (30-33 мин). Скорость потока: 4 мл/мин.
Структурная формула: C42H57N7O6Pd+CH3COOH
Молекулярная масса: 859,3+60,0
Продукт анализировали с помощью ВЭЖХ и идентичность подтверждали с помощью МС.
Время удерживания: 15,38 минут.
МС(+): m/z=859
Пример 62
31-оксо-15-метоксикарбонилметил-родобактериохлорин-131-(2-N2-диметиламиноэтил)амид-173-(2-гидроксипропил)амид палладия (соединение 67)
1) Аминолиз Pd-Bpheid выполняли, как описано для соединения 25 в примере 20.
2) Затем продукт растворяли в 6 мл ДМФ. 1 мл раствора подвергали взаимодействию с 20 мкл (0,25 ммоль) 1-амино-2-пропанола, 70 мг (0,15 ммоль) PyBroP и 20 мкл (0,18 ммоль) N-метилморфолина. Смесь перемешивали в течение 90 минут при комнатной температуре в атмосфере аргона. Продукт очищали с помощью ВЭЖХ, используя колонку RP-18. Подвижная фаза: А=0,2% уксусная кислота в воде. В=0,2% уксусная кислота в ацетонитриле. Градиент: 20% B (0-6 мин) до 95% B (30-33 мин). Скорость потока: 4 мл/мин.
Структурная формула: C42H57N7O6Pd+CH3COOH
Молекулярная масса: 859,3+60,0
Продукт анализировали с помощью ВЭЖХ и идентичность подтверждали с помощью МС.
Время удерживания: 14,82 минут.
МС(+): m/z=859
Пример 63
31-Оксо-15-метоксикарбонилметил-родобактериохлорин-131-(2-N2-диметиламиноэтил)амид-173-((R)-2-гидроксипропил)амид палладия (соединение 68)
Синтез соединения 68 выполняли аналогично синтезу соединения 67, описанному в примере 63 выше, используя оптический R изомер аминоспирта.
Структурная формула: C42H57N7O6Pd+CH3COOH
Молекулярная масса: 859,3+60,0
Продукт анализировали с помощью ВЭЖХ и идентичность подтверждали с помощью МС.
Время удерживания: 15,52 минут.
МС(+): m/z=859.
Пример 64
31-Оксо-15-метоксикарбонилметил-родобактериохлорин-131-(2-N2-диметиламиноэтил)амид-173-((S)-2-гидроксипропил)амид палладия (соединение 69)
Синтез соединения 69 выполняли аналогично синтезу соединения 67, описанному в примере 63 выше, используя оптический S изомер аминоспирта.
Структурная формула: C42H57N7O6Pd+CH3COOH
Молекулярная масса: 859,3+60,0
Продукт анализировали с помощью ВЭЖХ и идентичность подтверждали с помощью МС.
Время удерживания: 15,50 минут.
МС(+): m/z=859.
Пример 65
31-Оксо-15-метоксикарбонилметил-родобактериохлорин-131-(2-N2-диметиламиноэтил)амид-173-(2-(2-гидроксиэтиламино)этил)амид палладия (соединение 70)
1) Аминолиз Pd-Bpheid выполняли, как описано для соединения 25 в примере 20.
2) Затем продукт растворяли в 6 мл ДМФ. 1 мл раствора подвергали взаимодействию с N-(2-гидроксиэтил)этилендиамином (20 мкл, 0,17 ммоль), 70 мг (0,15 ммоль) PyBroP и 20 мкл (0,18 ммоль) N-метилморфолина. Смесь перемешивали в течение 90 минут при комнатной температуре в атмосфере аргона. Продукт очищали с помощью ВЭЖХ, используя колонку RP-18. Подвижная фаза: А=0,2% уксусная кислота в воде. В=0,2% уксусная кислота в ацетонитриле. Градиент: 20% B (0-6 мин) до 95% B (30-33 мин). Скорость потока: 4 мл/мин.
Структурная формула: C43H60N8O6Pd+2CH3COOH
Молекулярная масса: 889,2+120,1
Продукт анализировали с помощью ВЭЖХ и идентичность подтверждали с помощью МС.
Время удерживания: 13,34 минут.
МС(+): m/z=888.
Пример 66
31-Оксо-15-метоксикарбонилметил-родобактериохлорин-131-(3-N-(2′-пиридил)аминопропил)амид-173-(2,3-дигидроксипропил)амид палладия (соединение 71)
1) 500 мг 2-Хлорпиридина (8,73 ммоль) растворяли в 3,6 мл 1,3-диаминопропана (44 ммоль). Добавляли 100 мг карбоната калия и 200 мкл ДМФ. Соединение кипятили с обратным холодильником в течение 22 часов при 102°C. Продукт, N-(2-пиридил)пропилендиамин, очищали на силикагеле 60 (0,040-0,063 мм). Подвижная фаза: метанол 90%, раствор аммиака 10%. Продукт представлял собой бесцветное масло. ТСХ анализ на пластинке с силикагелем 60 F254. Подвижная фаза: метанол 90%, раствор аммиака 10%. Rf продукта = 0,38.
2) 20 мг Pd-Bpheid, соединение 3, (28 мкмоль) растворяли в 300 мл NMP и добавляли 125 мг (0,83 ммоль) N-(2-пиридил)пропилендиамина. Раствор перемешивали в течение 23 часов при комнатной температуре в атмосфере аргона. Продукт аминолиза очищали на силикагеле 60 (0,040-0,063 мм). Подвижная фаза: метанол 90%, раствор аммиака 10%.
Продукт исследовали с помощью ВЭЖХ-МС.
Время удерживания: 8,02 минут.
МС(+): m/z=864.
3) Продукт аминолиза Pd-Bpheid (30 мг; 0,023 ммоль) растворяли в 400 мкл NMP. Добавляли 90 мг HBTU (0,24 ммоль), 50 мкл триэтиламина (0,35 ммоль) и 20 мг 3-амино-1,2-пропандиола (0,23 ммоль). Раствор перемешивали в течение 4 часов при комнатной температуре в атмосфере аргона. Продукт очищали с помощью ВЭЖХ, используя колонку RP-18. Подвижная фаза: А=0,2% уксусная кислота в воде. В=0,2% уксусная кислота в ацетонитриле. Градиент: 20% B (0-6 мин) до 95% B (30-33 мин). Скорость потока: 4 мл/мин.
Структурная формула: C46H58N8O7Pd+2 CH3COOH
Молекулярная масса: 941,4+120,1
Продукт анализировали с помощью ВЭЖХ и идентичность подтверждали с помощью МС.
Время удерживания: 18,89 минут.
МС(+): m/z=941.
Пример 67
31-Оксо-15-метоксикарбонилметил-родобактериохлорин-131-(4-N-(2′-пиридил)аминобутил)амид-173-(2,3-дигидроксипропил)амид палладия (соединение 72)
1) В 8,8 мл 1,4-диаминобутана (88 ммоль) растворяли 0,835 мл 2-хлорпиридина (8,8 ммоль). Смесь кипятили с обратным холодильником в течение 4 часов при 128°C. Продукт очищали на силикагеле 60 (0,040-0,063 мм). Подвижная фаза: метанол 90%, раствор аммиака 10%. Продукт представлял собой бесцветное масло. ТСХ анализ на пластинке с силикагелем 60 F254. Подвижная фаза: метанол 90%, раствор аммиака 10%.
Бутилдиамин: Rf=0, Rf продукта=0,42.
2) В 700 мкл NMP растворяли 30 мг Pd-Bpheid, соединение 3, (42 мкмоль) и добавляли 80 мг (0,48 ммоль) N-(2-пиридил)бутилендиамина. Раствор перемешивали в течение 15 часов при комнатной температуре в атмосфере аргона. Продукт очищали с помощью ВЭЖХ, используя колонку RP-18. Подвижная фаза: А=0,2% уксусная кислота в воде. В=0,2% уксусная кислота в ацетонитриле. Градиент: 20% B (0-6 мин) до 95% B (30-33 мин). Скорость потока: 4 мл/мин.
Продукт анализировали с помощью ВЭЖХ и идентичность подтверждали с помощью МС.
Время удерживания: 22,36 минут.
МС(+): m/z=877.
3) В 400 мкл NMP и 100 мкл воды растворяли 17 мг продукта аминолиза Pd-Bpheid (0,019 ммоль). Добавляли 9 мг HOSu (0,077 ммоль), 17 мг N-(3-диметиламинопропил)-N-этилкарбодиимида (EDC) (0,87 ммоль) и 5 мкл раствора аммиака. Через 16 часов добавляли 200 мг 3-амино-1,2-пропандиола (2,2 ммоль). Раствор перемешивали в течение 2 часов при комнатной температуре в атмосфере аргона. Продукт очищали с помощью препаративной ВЭЖХ, используя колонку RP-18. Подвижная фаза: А=0,2% уксусная кислота в воде. В=0,2% уксусная кислота в ацетонитриле. Градиент: 20% B (0-6 мин) до 95% B (30-33 мин). Скорость потока: 4 мл/мин.
Структурная формула: C47H60N8O7Pd+2CH3COOH
Молекулярная масса: 949,5+120,1
Продукт анализировали с помощью ВЭЖХ и идентичность подтверждали с помощью МС.
Время удерживания: 15,79 минут.
МС(+): m/z=949
Пример 68
31-Оксо-15-метоксикарбонилметил-родобактериохлорин-131-(2,3-дигидроксипропил)амид-173-(3-N-(2 -пиридил)аминопропил)амид палладия (соединение 73)
1) Аминолиз с 3-амино-1,2-пропандиолом и последующую очистку выполняли, как описано для соединения 46 в примере 42.
2) В 800 мкл NMP растворяли 32 мг продукта аминолиза Pd-Bpheid (0,04 ммоль). Добавляли 152 мг HBTU (0,4 ммоль), 56 мкл триэтиламина и 60 мг N-(2-пиридил)пропилендиамина (полученного, как описано выше для соединения 72). Раствор перемешивали в течение 16 часов при комнатной температуре в атмосфере аргона. Продукт очищали с помощью ВЭЖХ, используя колонку RP-18. Подвижная фаза: А=0,2% уксусная кислота в воде. В=0,2% уксусная кислота в ацетонитриле. Градиент: 20% B (0-6 мин) до 95% B (30-33 мин). Скорость потока: 4 мл/мин.
Структурная формула: C46H58N8O7Pd+2CH3COOH
Молекулярная масса: 939,4+120,1
Продукт анализировали с помощью ВЭЖХ и идентичность подтверждали с помощью МС.
Время удерживания: 15,28 минут.
МС(+): m/z=939
Пример 69
31-Оксо-15-метоксикарбонилметил-родобактериохлорин-131-(2,3-дигидроксипропил)амид-173-(4-N-(2′-пиридил)аминобутил)амид палладия (соединение 74)
1) Аминолиз с 3-амино-1,2-пропандиолом и последующую очистку выполняли, как описано для соединения 46 в примере 42.
2) В 600 мкл NMP растворяли 25 мг продукта аминолиза Pd-Bpheid (0,031 ммоль). Добавляли 120 мг HBTU (0,31 ммоль), 45 мкл триэтиламина и 50 мг N-(2-пиридил)бутилендиамина (полученного, как описано выше для соединения 72). Раствор перемешивали в течение 20 часов при комнатной температуре в атмосфере аргона. Продукт очищали с помощью ВЭЖХ, используя колонку RP-18. Подвижная фаза: А=0,2% уксусная кислота в воде. В=0,2% уксусная кислота в ацетонитриле. Градиент: 20% B (0-6 мин) до 95% B (30-33 мин). Скорость потока: 4 мл/мин.
Структурная формула: C47H60N8O7Pd+2CH3COOH
Молекулярная масса: 953,5+120,1
Продукт анализировали с помощью ВЭЖХ и идентичность подтверждали с помощью МС.
Время удерживания: 15,43 минут.
МС(+): m/z=953
Пример 70
31-Оксо-15-метоксикарбонилметил-родобактериохлорин-131-(2-N2-диметиламиноэтил)амид-173-(гликозил)амид палладия (соединение 75)
1) В 4 мл безводного ДМФ в атмосфере аргона растворяли 300 мг Pd-Bpheid, соединение 3, (420 мкмоль) и 476 мг HOSu (4,14 ммоль). Добавляли 435,5 мг DCC (2,1 ммоль), растворенного в 2 мл безводного ДМФ. Реакцию перемешивали при комнатной температуре в течение ночи. ТСХ (92% CHCl3:8% MeOH) показала отсутствие непрореагировавшего Pd-Bpheid.
2) 926 мг гидрохлорида гликозиламина, 98%, (4,28 ммоль) и 2190 мкл DIPEA (12,6 ммоль) добавляли в предыдущий реакционный сосуд, содержащий активный сложный эфир, Pd-Bpheid-OSu. Реакционную смесь перемешивали в атмосфере аргона при комнатной температуре в течение 24 часов. ТСХ (8% CHCl3: 92% MeOH) показала отсутствие непрореагировавших остатков активного сложного эфира в реакционном сосуде.
3) В реакционный сосуд со стадии (2) добавляли 3 мл N,N-диметилэтилендиамина (26 ммоль) и перемешивали в течение ночи при комнатной температуре в атмосфере аргона. ВЭЖХ-МС показывала, что описанный продукт и его основание Шиффа являются главными продуктами. Реакционную смесь разбавляли 100 мл воды и промывали 4×50 мл н-бутанола. Для достижения разделения было необходимо добавлять при каждой промывке небольшой объем водного насыщенного NaCl. Органические слои объединяли и промывали 50 мл воды. Затем бутанол упаривали и оставшееся основание Шиффа гидролизовали, используя разбавленную уксусную кислоту. Упаренный продукт разбавляли в 60 мл воды, содержащей 1% уксусную кислоту. Подкисленный раствор перемешивали в течение 1 часа в атмосфере аргона при комнатной температуре. ВЭЖХ-МС показывала полное удаление основания Шиффа.
Структурная формула: C45H61N7O9Pd+CH3COOH
Молекулярная масса: 948,4+60,0
Продукт анализировали с помощью ВЭЖХ и идентичность подтверждали с помощью МС.
Время удерживания: 13,81 минут.
МС(+): m/z=948
Пример 71
Взаимодействие дикатионного соединения 5 с человеческим сывороточным альбумином (HSA)
Фотодинамическое действие различных производных Bchl критически зависит как от биодоступности их мономерных (димерных) форм, так и от направленной миграции через клетки, что может явно изменяться при связывании с сывороточным альбумином.
Раствор соединения 5 в PBS (3,2×10-4 M, 100 мкл) смешивали с различными количествами человеческого сывороточного альбумина (0,1, 0,5, 1, 2 и 5 мг). Агрегация при высоких концентрациях соединения 5 в водных растворах отражена разделением оригинального мономерного пика при 747 нм на два новых пика при 720 и 760 нм. Состояние агрегации отслеживали спектрофотометрически по уровню концентрации альбумина при комнатной температуре в 0,1 мм кювете. Значения интенсивности поглощения при пиковых длинах волн брали за показатель агрегации.
Добавление альбумина вызывало дезагрегацию сенсибилизирующего вещества 5 в PBS (фиг.2). Спектр поглощения растворов, содержащих повышенные количества альбумина, совпадал со спектром мономерного красящего вещества 5 в метаноле.
II Биологическая часть
Вещества и способы
(i) Клеточная культура. Эндотелиальные клетки мыши H5V культивировали в виде монослоев в среде Игла, модифицированной по способу Дульбекко (DMEM)/F12, содержащий 25 мМ HEPES, pH 7,4, 10% фетальную сыворотку (FCS), глутамин (2 мм), пенициллин (0,06 мг/мл) и стрептомицин (0,1 мг/мл) (далее указывается как “культурная среда”). Клетки выращивали при 37°C в 8% CO2-увлажненной атмосфере.
(ii) Бактериальные культуры. Бактерии штаммов St.albus и E.coli XL-1 культивировали в жидкой среде LB (E.coli в LB, содержащей 12,5 мкг тетрациклина/мл) до окончательной плотности OD600 нм = 0,5-0,9 (1 OD = 8×108 бактерий/мл). Бактерии центрифугировали (4000×g, 5 мин) и ресуспендировали в PBS.
(iii) Получение сенсибилизирующего вещества для экспериментов in vitro. Исходные растворы соединений 5, 7, 9 и 11 получали путем растворения сухого соединения непосредственно в культурной среде до желаемой концентрации, перед использованием.
(iv) Исследование на фототоксичность.
(a) Клетки. Для определения фотодинамического действия клетки культивировали в 96-луночных планшетах (40×103/лунка) и инкубировали в темноте в культурной среде, содержащей повышенную концентрацию сенсибилизирующих веществ 5, 7, 9 и 11, за промежуток времени от 1 минуты до 8 часов. Несвязанное сенсибилизирующее вещество удаляли промыванием клеток один раз свежей культурной средой. Планшеты облучали при комнатной температуре, с нижней стороны, в течение 10 минут (650< <800 нм, 12 J/см2). Источником света была галогеновая лампа 100 Вт (Osram, Germany) оборудованная <650 нм экраном и 4-см водяным фильтром. Культуры помещали в инкубатор для культур и клеточную выживаемость определяли через 24 часа после облучения, с помощью исследования жизнеспособности нейтральным красным. Клеточную выживаемость подсчитывали в виде процентного содержания красителя, аккумулированного в необработанных контрольных клетках. Трижды проводили определения и демонстрировали репрезентативные эксперименты. Использовали три вида контрольных групп: (i) контроль на свету: клетки в отсутствие красящих веществ; (ii) контроль в темноте: клетки обработанные красителями, но хранившиеся в темноте; и (iii) необработанные клетки, хранившиеся в темноте.
(b) Бактерии. Для определения фотодинамического действия бактерии разбавляли до аликвот по 300 мкл, содержащих около 107 бактерий, и инкубировали с повышающимися концентрациями сенсибилизирующего вещества в пластиковых пробирках в темноте в течение 1 часа при комнатной температуре и затем облучали при 70 МВт/см2 в течение 15 минут. Затем образцы культур обрабатываемых бактерий высевали при различных разбавлениях (50-200 бактерий/планшет) на LB агар и культивировали в течение 24 часов при 37°C для определения выживаемости бактерий путем подсчета колоний. Определения проводили трижды и демонстрировали репрезентативные эксперименты.
(v) Животные. Самца мыши Nude CD1 (28-32 г) и самцов крысы Wistar (250-300 г) содержали с открытым доступом к корму и воде в состоящем из отделов сооружении для животных в соответствии с рекомендациями Weizmann Institute of Science, Rehovot, Israel.
(vi) Анестезия. Мышь анестезировали путем внутрибрюшинной инъекции смеси (85:15, об./об.) 80 мкл кетамина (100 мг/мл, Rhone-Merieux, France) и ксилазина (2%, Vitamed, Israel). Крыс анестезировали газом (2% изофлуран в 98% O2).
(vii) Имплантат опухоли. Монослои культивированных клеток глиомы C6 соскабливали в насыщенном солевом растворе, центрифугировали при 250 г в течение 5 минут, ресуспендировали в насыщенном солевом растворе и подкожно инъецировали (2×106 клеток/мышь) в спину мыши Nude CD1. Опухоли достигали диаметра для обработки, равного 6-8 мм, в течение 2 недель. Мышь умерщвляли (в соответствии с рекомендациями Weizmann Institute of Science), когда опухоли достигали диаметра 15 мм.
(viii) Получение сенсибилизирующего вещества для инъекции. Маточные растворы соединений 5 и 11 получали перед использованием путем растворения сухого соединения непосредственно в PBS до необходимой концентрации для инъекции.
(ix) Фармакокинетика. Анастезированных крыс Wistar (n=3 на каждый момент времени) инъецировали внутривенно соединением 5 по изобретению (0,6 мг/кг). Брали образцы крови (~100-200 мкл) на 0, 5, 10, 15, 20, 30, 45, 60, 120, 360 и 480 минуте после инъекции, перемещали и взвешивали в предварительно взвешенных 2-мл пробирках, содержащих 10 мкл гепарина, и тщательно смешивали. Контрольные образцы крови собирали у трех необработанных крыс и соответствующим образом обработанных. Пробирки, содержащие образцы крови, вновь взвешивали для определения точной массы образца. Затем образцы крови замораживали в жидком азоте и лиофилизировали. Лиофилизированные образцы экстрагировали метанолом (1 мл каждый), встряхивали и центрифугировали. Супернатант собирали и анализировали с помощью измерений флуоресценции (Spectrofluorimeter SLM-8000, Aminco USA). Спектр флуоресценции регистрировали в области 650-850 нм, с возбуждением при 520 нм. В качестве пустого контроля использовали флуоресценцию метанола и необработанные экстракты крови. Получали калибровочную кривую с известными концентрациями сенсибилизирующего вещества.
(x) Биораспределение. Крыс Wistar (n=2) анастезировали и в ягодичную вену инъецировали соединение 5 по изобретению (0,6 мг/кг). Контрольную группу (n=2) не обрабатывали сенсибилизирующим веществом. Через 30 минут и через 24 часа после инъекции крыс (одна для каждого момента времени) умерщвляли и образцы помеченных органов или тканей (сердце, печень, легкое, селезенка, почки, головной мозг, яички, кожа, мышцы и жир) собирали и взвешивали в предварительно взвешенных сосудах, сразу замораживали на сухом льду и хранили при -20°С в темноте до проведения исследования. Для исследования каждый образец размораживали, повторно взвешивали и гомогенизировали (Polytron, Kinematica GmbH или Ultra-Turrax) в ледяной воде. Затем сосуды замораживали в жидком азоте и лиофилизировали. Лиофилизированные образцы экстрагировали метанолом (5-10 мл) в количественном эквиваленте к весу ткани и затем встряхивали и центрифугировали. Супернатант собирали и анализировали и флуоресценцию измеряли, как описано в (ix) выше. В качестве контроля использовали флуоресценцию метанола и экстракты ткани контрольных животных.
(xi) Протокол PDT. Мышь Nude CD1 с глиомой C6 (n=17) анастезировали и соединение 5 (0,3 мг/кг) инъцировали через хвостовую вену. Область опухоли немедленно облучали (интервал времени между вводом лекарственного препарата и облучением (DLTI)=0) чрескожно в течение 15 минут с помощью 755 нм диодного лазера (CeramOptec, Germany) с облучающей дозой, равной 80 МВт/см2 (диаметр светового поля – 14 мм). После облучения мышь (n=12) помещали обратно в клетку. Ответную реакцию на опухоль (используя локальный некроз на 8 день после PDT в качестве конечной точки) регистрировали фотографическим способом и определяли объем опухоли (Gleave et al., 1992). Ответную реакцию рассматривали как частичную в тех случая, когда только часть облученной опухоли становилась некротической. Мышь считалась выздоровевшей, если у нее не было опухоли через 90 дней после обработки. Продолжающийся рост опухоли после PDT расценивали как отсутствие ответной реакции. Мышь умерщвляли, когда диаметр опухоли достигал 15 мм. Использовали следующие контрольные группы: (i) неподвергнутая облучению контрольная группа (n=3) – мышь с опухолью, которой внутривенно инъецировали сенсибилизирующее вещество, но не облучали; (ii) подвергнутая облучению контрольная группа (n=2) – мышь с опухолью, которой не осуществляли внутривенную инъекцию сенсибилизирующего вещества, но которую облучали; (iii) необработанная контрольная группа (n=2) – мышь с опухолью, которой не осуществляли инъекцию сенсибилизирующего вещества и не облучали.
Пример 72
Цитофототоксичность соединений 5, 7, 9 и 11 в отношении эндотелиальных клеток
Фототоксичность соединений 5, 7, 9 и 11 в отношении эндотелиальный клеток мыши H5V определяли, как описано в части (iv)(a) выше. Клетки инкубировали с повышающимися концентрациями (0,001, 0,01, 0,1, 1 или 10 мкМ) соединений в течение 1, 6, 60, 90, 120, 240 и 480 минут, промывали и затем облучали или хранили в темноте. Результаты показаны на фиг.3A-3C: фототоксичность соединений 5 и 11 через 90 минут инкубации показана на фиг.3А; фототоксичность соединений 5, 7 и 9 через 2 часа инкубации показана на фиг.3B; и фототоксичность соединения 5 (10 мкМ) после инкубации в течение 1-10 минут показана на фиг.3C. Как показано на фигурах, сенсибилизирующие вещества быстро действуют, их фототоксичность является концентрация- и светозависимой, и их LD50 равно примерно такой как (3 и ~0,2 мкМ после ~3 мин и 2 часов предварительной инкубации соответственно). Не наблюдали токсичности при хранении в темноте для исследуемой области концентрации.
Пример 73
Фармакокинетика и биораспределение соединения 5
Фармакокинетику и биораспределение сенсибилизирующего вещества 5 определяли у крыс Wistar in vivo, как описано в частях (ix) и (x) выше.
Результаты фармакокинетики, отраженные на фиг.4, показали клиренс около 60% сенсибилизирующего вещества 5 в течение 30 минут после внутривенной инъекции (0,6 мг/кг). Кинетика клиренса показывает биокомпартментное распределение через 24 часа после внутривенного введения. Результаты биораспределения, как отображено на фиг.5A-5B, показывают, что через 30 минут после инъекции уровни сенсибилизирующего вещества 5 являются относительно высокими в крови, почках и легких (фиг.5A), а через 24 часа после инъекции уровни сенсибилизирующего вещества падают до почти фонового уровня в крови, однако значительные уровни вещества были все-таки обнаружены в почках, печени и селезенке (фиг.5B).
Пример 74
Фотодинамическая обработка ксенотрансплантатов глиомы C6 у мышей Nude CD1 с помощью соединения 5
На основании фармакокинетических данных, описанных выше в примере 20, протокол обработки для соединения 5 начинался до 15-минутного облучения непосредственно после инъекции сенсибилизирующего вещества, используя специальный медицинский лазер, соответствующий пиковой абсорбции соединения 5 (CeramOptec, Germany, 755 нм). Для исследования эффективности лекарственного препарата самца мыши Nude CD1 (n=12) обрабатывали дозой 0,3 мг/кг соединения 5 и светом с интенсивностью 80 МВт/см2. На 1 день после обработки у всех животных в группе, обработанной светом и лекарственным препаратом (одновременно), появлялись воспаление и отек. На фиг.6A показаны фотографии локализации опухоли PDT-обработанной мыши на 0, 4, 14, 21 и 32 день. Появление опухоли наблюдали на 4 день, а некроз опухоли наблюдали на 14 день. На 21 день наблюдали расплющивание опухоли с коркой, покрывающей рану. На 32 день рана заживлялась, и животное излечивалось. На фиг.6B-6C представлены фотографии локализации опухоли мыши, инъецированной соединением 5, но не облученной, и мыши, инъецированной физиологическим раствором и облученной, соответственно. Некроз опухоли не наблюдался в обоих случаях.
На фиг.7 показана кривая выживаемости Kaplan-Meier, демонстрирующая 80% выживаемость мыши, обработанной соединением 5 и облученной (обработка, квадраты).
Пример 75
Фототоксичность соединения 5 в отношении грамположительных и грамотрицательных бактерий
Фототоксичность положительно заряженного соединения 5 исследовали в отношении грамположительных бактерий St. albus и грамотрицательных бактерий E.coli в сравнении с отрицательно заряженнной дикалийной солью Pd 31-оксо-15-метоксикарбонилметил-родобактериохлорин 131-(2-сульфоэтил)амида (описанной в PCT/IL03/00973). Бактерии инкубировали с повышающимися концентрациями сенсибилизирующего вещества в течение 1 часа и облучали или хранили в темноте. Результаты, отображенные на фиг.8A-8D, показывают, что положительно заряженное сенсибилизирующее соединение 5 было фототоксичным в отношении как грамположительных St. albus (фиг.8B) (Kd 0,02 мкМ), так и грамотрицательных E.coli (фиг.8D) (Kd 1,7 мкМ) бактерий, тогда как отрицательно заряженное сенсибилизирующее вещество предшествующего уровня техники было эффективным в отношении грамположительных St. albus (фиг.8A) (Kd 0,3 мкМ), но не в отношении грамотрицательных E.coli (фиг.8C). Наблюдали около 100% гибель E.coli с 10 мкМ соединения 5 (фиг.8D). Грамположительные бактерии St. albus проявляли в 100 раз большую чувствительность к соединению 5, чем грамотрицательные E.coli. При инкубировании бактерий и обработке с аналогичным уровнем концентрации сенсибилизирующих веществ без облучения (неподвергнутые облучению контрольные группы) фототоксичность не наблюдали.
Пример 76
Исследование фототоксичности
Использовали вещества и способы, описанные в биологической части выше.
Клетки H5V (40×103/лунка) культивировали в 96-луночных планшетах в течение 24 часов до ~80% конфлюэнтности. Для определения фототоксичности культурную среду заменяли на 100 мкл/лунка среду в отсутствие или присутствии от 10-8 до 10-6M сенсибилизирующего вещества и инкубировали в темноте в течение 15 минут или 3 часов в инкубаторе для выращивания культуры. Затем планшеты (PDT группа) помещали на освещенный участок при комнатной температуре и облучали со стороны днища в течение 10 минут (800> >650 нм, 12 J/см2). После облучения среду загружали новой культурной средой. Затем культуры помещали в инкубатор для выращивания культуры и через 24 часа определяли выживаемость клеток, используя описанное ниже исследование выживаемости с нейтральным красным.
Использовали следующие контрольные группы:
1. Подвергнутая облучению контрольная группа: клетки облучали в отсутствие сенсибилизирующего вещества.
2. Неподвергнутая облучению контрольная группа: клетки обрабатывали сенсибилизирующим веществом, но хранили в темноте.
Необработанные клетки хранили в темноте без какой-либо обработки.
Следующие 24 часа после PDT культурную среду в лунках заменяли на 100 мкл свежей среды, содержащей 40 мкг/мл нейтрального красного. Планшет инкубировали в течение 1,5 часов в темноте в инкубаторе для выращивания культуры. Среду аспирировали и клетки промывали 100 мкл раствора, содержащего 1% CaCl2 и 0,5% формальдегида, который удалял включенный краситель и связывал клетки с субстратом. Затем краситель экстрагировали из клеток в супернатант при добавлении 100 мкл 1% ледяной уксусной кислоты в 50% этаноле. Через 1-2 минуты при комнатной температуре определяли оптическую плотность лунок в спектрофотометре с микропланшетом, используя 570 нм фильтр. После вычитания контрольных проб спектр оптической плотности вычисляли как среднее значение трех измерений. Клеточную выживаемость подсчитывали как процентное содержание красителя, аккумулированного в необработанной контрольной группе. Для определения клеточной выживаемости величину определяли в зависимости от концентрации сенсибилизирующего вещества. Затем эти кривые использовали для подсчета значений LD50.
После синтеза вышеописанные в примерах 23-75 соединения очищали, разделяли на равные аликвоты и лиофилизировали для хранения (высушивали при -20°C). Точное содержание вещества определяли с помощью детектора с ВЭЖХ-диодной матрицей и действие PDT оценивали за две инкубации, как описано в экспериментальной части. Результаты представлены в таблицах 1-3 ниже:
| Таблица 1 |
| Соединение |
IC50 (мкМ) 3 часа |
IC50 (мкМ) 15 минут |
| 24 |
1,2 |
2,4 |
| 25 |
0,75 |
1,1 |
| 26 |
0,45 |
1,0 |
| 27 |
0,45 |
1,5 |
| 28 |
0,38 |
1,3 |
| 29 |
1,9 |
1,9 |
| 30 |
0,61 |
1,7 |
| 31 |
0,60 |
2,6 |
| 32 |
0,25 |
0,60 |
Все полученные по изобретению соединения показывают лучшую растворимость по сравнению с Pd-Bpheid, 3. Для большей части соединений необходимо только низкое процентное содержание Cremophor в изотоническом манните для образования 100% мономерного раствора при 2 мг/мл, хотя для некоторых соединений для получения аналогичного мономерного раствора требуются низкие концентрации пропиленгликоля или PEG-400 (обе добавки признаны весьма безопасными для применения). При недостатке Cremophor для образования мономерного раствора цвиттерионная природа этих соединений может быть способствующим фактором.
Синтез соединений 25–32 является намного более простым, чем синтез первоначального монокатиона, взятого в качестве ссылки и воспроизведенного в данном документе как соединение 24. Примечательной является PDT активность соединений 26, 28 и 32 (например, соединение 32 является приблизительно в 4-5 раз более активным, чем соединение 24 в течение обеих инкубаций).
| Таблица 2 |
| Соединение |
IC50 (мкМ) 3 часа |
IC50 (мкМ) 15 минут |
| 33* |
0,45 |
0,75 |
| 34 |
0,20 |
0,48 |
| 35 |
0,21 |
1,23 |
| 10 |
0,24 |
0,74 |
| 36 |
0,15 |
0,37 |
| 37 |
0,21 |
0,75 |
| 38 |
0,16 |
0,44 |
| 39 |
1,10 |
2,44 |
| 40 |
0,35 |
0,70 |
| 41 |
0,46 |
1,13 |
| 42 |
0,28 |
0,68 |
| 43 |
0,18 |
0,60 |
| 44 |
0,17 |
1,41 |
| 45 |
0,18 |
0,20 |
Синтез соединений 34–45 является намного более простым, чем синтез первоначального монокатиона, взятого в качестве ссылки и воспроизведенного в данном документе как соединение 33. Примечательной является PDT активность соединений 34, 36, 38 и 45 (например, соединение 36 является более активным в течение 15 минут инкубации, чем соединение 33 за 3 часа).
| Таблица 3 |
| Соединение |
IC50 3 часа (мкМ) |
IC50 15 минут (мкМ) |
| 46 |
0,60 |
1,33 |
| 47 |
0,25 |
0,45 |
| 48 |
0,20 |
0,60 |
| 49 |
0,57 |
1,15 |
| 50 |
0,17 |
0,47 |
| 51 |
0,40 |
0,78 |
| 52 |
0,89 |
0,83 |
| 53 |
0,90 |
2,00 |
| 54 |
0,27 |
0,75 |
| 55 |
0,43 |
1,07 |
| 56 |
0,32 |
0,79 |
| 57 |
0,60 |
1,33 |
| 58 |
0,37 |
0,64 |
| 59 |
0,19 |
0,45 |
| 60 |
0,24 |
0,62 |
| 61 |
0,21 |
0,69 |
| 62 |
0,19 |
0,63 |
| 63 |
0,21 |
0,66 |
| 64 |
0,17 |
0,56 |
| 65 |
0,22 |
0,43 |
| 66 |
0,20 |
0,55 |
| 67 |
0,18 |
0,50 |
| 68(R) |
0,16 |
0,50 |
| 69(S) |
0,16 |
0,50 |
| 70 |
0,16 |
0,55 |
| 73 |
0,30 |
0,38 |
| 74 |
0,29 |
0,74 |
| 75 |
0,16 |
0,50 |
Все соединения вышеуказанной таблицы по сравнению с Pd-Bpheid, 3, демонстрируют лучшую растворимость. Для большей части соединений необходимо только низкое процентное содержание пропиленгликоля или PEG-400 для образования 100% мономерного раствора при 2 мг/мл. Хотя для синтеза большей части соединений необходимы два или три химических преобразования, большинство соединений может быть получено реакцией в одном сосуде с минимальной очисткой промежуточного соединения и выделениями в чистом виде (в представленных здесь примерах препаративная ВЭЖХ используется в большом количестве взаимодействий в процессе стадий получения промежуточных соединений и окончательной очистки, просто для удобства). Простые экстракты и осажденные вещества также успешно использовались для очистки этих соединений, таким образом избегая необходимости в дорогой и кропотливой крупномасштабной очистки ВЭЖХ.
Пример 77
Биораспределение соединений
Животные представляли собой мышь Nude CD1, вынашивающую ксенотрансплантаты RCC. Использовали трех животных для каждого момента времени. В экспериментах использовали соединения 28, 32, 10, 36 и 75.
Анастезию выполняли с помощью кетамин:ксилазин (85:15, об./об.).
Анастезированных животных подвергали инъекции с помощью раствора исследуемых соединений (2 мг/мл) в изотоническом манните с дозой, равной 1,5 мг/кг. Трех животных умерщвляли в каждый момент времени и собирали образцы крови, сердца, легкого, печени, почек, кишечного тракта, селезенки, мышечной ткани, кожи, опухоли и головного мозга. Использовали промежутки времени, равные 5 мин, 15 мин, 30 мин, 1 час, 2 часа, 6 часов, 24 часа, 48 часов, 72 часа, 5 дней и 7 дней после инъекции. Образцы точно взвешивали, растворяли в концентрированной азотной кислоте и исследовали на содержание палладия с помощью ICPMS.
Результаты представлены на приложенных к данному документу графиках (фиг.9A-9E).


Приложение – таблица соединений 24-75
соединения |
Названия соединений |
Химическая структура |
| 24 |
Ацетатная соль 31-оксо-15-метоксикарбонилметил-родобактериохлорин-131-(2-N3-триметиламмонийэтил)амида палладия |
 |
| 25 |
31-Оксо-15-метоксикарбонилметил-родобактериохлорин-131-(2-N2-диметиламиноэтил)амид палладия |
 |
| 26 |
31-Оксо-15-метоксикарбонилметил-родобактериохлорин-131-(3-N2-диметиламиноэтил)амид палладия |
 |
| 27 |
31-Оксо-15-метоксикарбонилметил-родобактериохлорин-131-(2-[(2-аминоэтил)амино]этил)амид палладия |
 |
| 28 |
31-Оксо-15-метоксикарбонилметил-родобактериохлорин-131-([2-бис(2-аминоэтил)амино]этил)амид палладия |
 |
| 29 |
31-Оксо-15-метоксикарбонилметил-родобактериохлорин-131-(2-морфолино-N-этил)амид палладия |
 |
| 30 |
31-Оксо-15-метоксикарбонилметил-родобактериохлорин-131-(2-пиперазино-N-этил)амид палладия |
 |
| 31 |
31-Оксо-15-метоксикарбонилметил-родобактериохлорин-131-(2-[(2-N2-диэтиламиноэтил)амино]этил)амид палладия |
 |
| 32 |
31-Оксо-15-метоксикарбонилметил-родобактериохлорин-131-(3-[(3-аминопропил)амино]пропил)амид палладия |
 |
| 33 |
Диацетатная соль 31-оксо-15-метоксикарбонилметил-родобактериохлорин-131,173-ди(2-N3-триметиламмонийэтил)амида палладия |
 |
| 34 |
31-Оксо-15-метоксикарбонилметил-родобактериохлорин-131,173-ди(3-аминопропил)амид палладия |
 |
| 35 |
31-Оксо-15-метоксикарбонилметил-родобактериохлорин-131,173-ди(4-аминобутил)амид палладия |
 |
| 10 |
31-Оксо-15-метоксикарбонилметил-родобактериохлорин-131,173-ди(2-аминоэтил)амид палладия |
 |
| 36 |
31-оксо-15-метоксикарбонилметил-родобактериохлорин-131,173-ди(2-N2-диметиламиноэтил)амид палладия |
 |
| 37 |
31-оксо-15-метоксикарбонилметил-родобактериохлорин-131,173-ди(3-N2-диметиламинопропил)амид палладия |
 |
| 38 |
31-Оксо-15-метоксикарбонилметил-родобактериохлорин-131,173-ди-(2-[(2-аминоэтил)амино]этил)амид палладия |
 |
| 39 |
31-Оксо-15-метоксикарбонилметил-родобактериохлорин-131,173-ди-(2-[(2-N2-диэтиламиноэтил)амино]этил)амид палладия |
 |
| 40 |
31-Оксо-15-метоксикарбонилметил-родобактериохлорин-131,173-ди(2-морфолино-N-этил)амид палладия |
 |
| 41 |
31-оксо-15-метоксикарбонилметил-родобактериохлорин-131,173-ди(2-пиперазино-N-этил)амид палладия |
 |
| 42 |
31-Оксо-15-метоксикарбонилметил-родобактериохлорин-131,173-ди-(3-[(3-аминопропил)амино]пропил)амид палладия |
 |
| 43 |
31-Оксо-15-метоксикарбонилметил-родобактериохлорин-131,173-ди([2-бис(2-аминоэтил)амино]этил)амид палладия |
 |
| 44 |
31-Оксо-15-метоксикарбонилметил-родобактериохлорин-131,173-ди(2-N-(2′-пиридил)аминоэтил)амид палладия |
 |
| 45 |
31-Оксо-15-метоксикарбонилметил-родобактериохлорин-131,173-ди(2-N2-диэтиламиноэтил)амид палладия |
 |
| 46 |
Ацетатная соль 31-Оксо-15-метоксикарбонилметил-родобактериохлорин-131-(2,3-дигидроксипропил)амид-173-(2-N3-триметиламмонийэтил)амида палладия |
 |
| 47 |
31-Оксо-15-метоксикарбонилметил-родобактериохлорин-131-(2,3-дигидроксипропил)амид-173-(2-аминоэтил)амид палладия |
 |
| 48 |
31-Оксо-15-метоксикарбонилметил-родобактериохлорин-131-(2-аминоэтил)амид-173-(2,3-дигидроксипропил)амид палладия |
 |
| 49 |
31-Оксо-15-метоксикарбонилметил-родобактериохлорин-131-(2,3-дигидроксипропил)амид-173-(2-N2-диметиламиноэтил)амид палладия |
 |
| 50 |
31-Оксо-15-метоксикарбонилметил-родобактериохлорин-131-(2-N2-диметиламиноэтил)амид-173-(2,3-дигидроксипропил)амид палладия |
 |
| 51 |
31-Оксо-15-метоксикарбонилметил-родобактериохлорин-131-(2,3-дигидроксипропил)амид-173-(2-[(2-аминоэтил)амино]этил)амид палладия |
 |
| 52 |
31-Оксо-15-метоксикарбонилметил-родобактериохлорин-131-(2,3-дигидроксипропил)амид-173-(2-[(2-N2-диэтиламиноэтил)амино]этил)амид палладия |
 |
| 53 |
31-Оксо-15-метоксикарбонилметил-родобактериохлорин-131-(2,3-дигидроксипропил)амид-173-(2-морфолино-N-этил)амид палладия |
 |
| 54 |
31-Оксо-15-метоксикарбонилметил-родобактериохлорин-131-(2,3-дигидроксипропил)амид-173-(2-пиперазино-N-этил)амид палладия |
 |
| 55 |
31-Оксо-15-метоксикарбонилметил-родобактериохлорин-131-(2-[(2-аминоэтил)амино]этил)амид-173-(2,3-дигидроксипропил)амид палладия |
 |
| 56 |
31-Оксо-15-метоксикарбонилметил-родобактериохлорин-131-(2,3-дигидроксипропил)амид-173-(2-N-(2′-пиридил)аминоэтил)амид палладия |
 |
| 57 |
31-Оксо-15-метоксикарбонилметил-родобактериохлорин-131-(2-N-(2′-пиридил)аминоэтил)амид-173-(2,3-дигидроксипропил)амид палладия |
 |
| 58 |
31-Оксо-15-метоксикарбонилметил-родобактериохлорин-131-(2,3-дигидроксипропил)амид-173-([2-бис(2-аминоэтил)амино]этил)амид палладия |
 |
| 59 |
31-Оксо-15-метоксикарбонилметил-родобактериохлорин-131-([2-бис(2-аминоэтил)амин]этил)амид-173-(2,3-дигидроксипропил)амид палладия |
 |
| 60 |
31-Оксо-15-метоксикарбонилметил-родобактериохлорин-131-(3-аминопропил)амид-173-(2,3-дигидроксипропил)амид палладия |
 |
| 61 |
31-Оксо-15-метоксикарбонилметил-родобактериохлорин-131-(4-аминобутил)амид-173-(2,3-дигидроксипропил)амид палладия |
 |
| 62 |
31-Оксо-15-метоксикарбонилметил-родобактериохлорин-131-(2-N2-диэтиламиноэтил)амид-173-(2,3-дигидроксипропил)амид палладия |
 |
| 63 |
31-Оксо-15-метоксикарбонилметил-родобактериохлорин-131-(2-N-этиламиноэтил)амид-173-(2,3-дигидроксипропил)амид палладия |
 |
| 64 |
31-Оксо-15-метоксикарбонилметил-родобактериохлорин-131-(3-N-метиламинопропил)амид-173-(2,3-дигидроксипропил)амид палладия |
 |
| 65 |
31-Оксо-15-метоксикарбонилметил-родобактериохлорин-131-(2-N2-диметиламиноэтил)амид-173-(2-гидроксиэтил)амид палладия |
 |
| 66 |
31-Оксо-15-метоксикарбонилметил-родобактериохлорин-131-(2-N2-диметиламиноэтил)амид-173-(3-гидроксипропил)амид палладия |
 |
| 67 |
31-Оксо-15-метоксикарбонилметил-родобактериохлорин-131-(2-N2-диметиламиноэтил)амид-173-(2-гидроксипропил)амид палладия |
 |
| 68 |
31-Оксо-15-метоксикарбонилметил-родобактериохлорин-131-(2-N2-диметиламиноэтил)амид-173-((R)-2-гидроксипропил)амид палладия |
 |
| 69 |
31-Оксо-15-метоксикарбонилметил-родобактериохлорин-131-(2-N2-диметиламиноэтил)амид-173-((S)-2-гидроксипропил)амид палладия |
 |
| 70 |
31-Оксо-15-метоксикарбонилметил-родобактериохлорин-131-(2-N2-диметиламиноэтил)амид-173-(2-(2-гидроксиэтиламино)этил)амид палладия |
 |
| 71 |
31-Оксо-15-метоксикарбонилметил-родобактериохлорин-131-(3-N-(2′-пиридил)аминопропил)амид-173-(2,3-дигидроксипропил)амид палладия |
 |
| 72 |
31-Оксо-15-метоксикарбонилметил-родобактериохлорин-131-(4-N-(2′-пиридил)аминобутил)амид-173-(2,3-дигидроксипропил)амид палладия |
 |
| 73 |
31-Оксо-15-метоксикарбонилметил-родобактериохлорин-131-(2,3-дигидроксипропил)амид-173-(3-N-(2′-пиридил)аминопропил)амид палладия |
 |
| 74 |
31-Оксо-15-метоксикарбонилметил-родобактериохлорин-131-(2,3-дигидроксипропил)амид-173-(4-N-(2′-пиридил)аминобутил)амид палладия |
 |
| 75 |
31-Оксо-15-метоксикарбонилметил-родобактериохлорин-131-(2-N2-диметиламиноэтил)амид-173-(гликозил)амид палладия |
 |
Ссылочная литература
Borle, F, Radu A, Monnier P, van den Bergh H, Wagnieres, G. (2003). Evaluation of the photosensitizer tookad for photodynamic therapy on the syrian golden hamster cheek pouch model: Light dose, drug dose and drug-light interval effects. Photochem Photobiol, 78(4): 377-383.
Campbell RB, Fukumura D, Brown EB, Mazzola LM, Izumi Y, Jain RK, Torchilin VP, Munn LL. (2002). Cationic charge determines the distribution of liposomes between the vascular and extravascular compartments of tumors. Cancer Res 62(23): 6831-6836.
Chen, Q, Huang, Z, Luck, D, Beckers, J, Brun, PH, Wilson, BC, Scherz, A, Salomon, Y, and Hetzel, FW. (2002) Preclinical studies in normal canine prostate of a novel palladium-bacteriopheophorbide (WST09) photosensitizer for photodynamic therapy of prostate cancers. Photochem Photobiol, 76: 438-445.
Dellian M, Yuan F, Trubetskoy VS, Torchilin VP, Jain RK. (2000). Vascular permeability in a human tumor xenografts; molecular charge dependence. Br J Cancer 82:1513-1518.
Dougherty, T.J. and J.G. Levy (2003). Photodynamic therapy (PDT) and clinical applications. Biomedical Photonics Handbook. V. Tuan. Boca Raton, CRC Press LLC. 38: 1-38.
Elhilali, M. (2004). Results of a phase I/II trial of WST09-mediated photodynamic therapy (WST09-PDT) for recurrent localized prostate cancer following failed external beam radiation therapy (EBRT). XlXth EAU CONGRESS, Workshop 1 “Vascular targeted photodynamic therapy for the treatment of prostate cancer: first clinical results with palladium bacteriopheophorbide (WST09)”, VIENNA.
Ghinea, N. and N. Simionescu (1985). Anionized and cationized hemeundecapeptides as probes for cell-surface charge and permeability studies – differentiated labeling of endothelial plasmalemmal vesicles. J Cell Biol 100(2): 606-612.
Gleave ME, Hsieh JT, Wu HC, von Eschenbach AC, Chung LW. (1992). Serum prostate specific antigen levels in mice bearing human prostate LNCaP tumors are determined by tumor volume and endocrine and growth factors. Cancer Res. 52:1598-1605.
Gross, S., Gilead, A., Scherz, A., Neeman, M., and Salomon, Y. (2003) Monitoring photodynamic therapy of solid tumors online by BOLD-contrast MRI. Nat Med, 9:1327-1331.
Hamblin MR, Rajadhyaksha M, Momma T, Soukos NS, Hasan T. (1999). In vivo fluorescence imaging of the transport of charged chlorin e6 conjugates in a rat orthotopic prostate tumour. Br J Cancer 81(2): 261-268.
Hashizume H, Baluk P, Morikawa S, McLean JW, Thurston G, Roberge S, Jain RK, McDonald DM. (2000). Openings between defective endothelial cells explain tumor vessel leakiness. Am J Pathol 156(4): 1363-1380.
Kelleher, DK, Thews, O, Scherz, A, Salomon, Y, and Vaupel, P. (2003) Combined hyperthermia and chlorophyll-based photodynamic therapy: tumour growth and metabolic microenvironment. Br J Cancer, 89: 2333-2339.
Kinoshita, I, Kashiwabara, K, Fujita, J, Matsumoto, K, and Ooi, S. (1981). Preparation, resolution, and adsorption and circular dichroism spectra of [Co(en)n{NH2CH2CH2P(CH3)2}3-n]3+ and the related complexes, and the absolute configuration of (+)589-fac-[Co{NH2CH2CH2P(CH3)2}3]3+ determined by X-Ray analysis.” Bull. Chem. Soc. Jpn. 54:2683-2690.
Koudinova, N.V., Pinthus, J.H., Brandis, A., Brenner, O., Bendel, P., Ramon, J., Eshhar, Z., Scherz, A., and Salomon, Y. (2003) Photodynamic therapy with Pd-bacteriopheophorbide (TOOKAD): Successful in vivo treatment of human prostatic small cell carcinoma xenografts. Int J Cancer, 104: 782-789.
Krammer B. (2001) Vascular effects of photodynamic therapy Anticancer Res. 21(6B):4271-7
Mazor, O, Kostenich, G, Brandis, A, Orenstein, A, Salomon, Y, and Scherz, A. (2003) Selective tumor vascular destruction of colon carcinoma xenografts by the hydrophilic Pd-bacteriochlorophyll derivative, WST11 9th International Photodynamic Association, May 20-23, Miyazaki, Japan, Book of Abstracts, p. 19.
Plaks, V, Koudinova, N, Nevo, U, Pinthus, JH, Kanety, H, Eshhar, Z, Ramon, J, Scherz, A, Neeman, M, and Salomon, Y. (2004) Photodynamic Therapy of Established Prostatic Adenocarcinoma with TOOKAD: A Biphasic Apparent Diffusion Coefficient Change as Potential Early MRI Response Marker. Neoplasia, In press.
Preise D, Mazor O, Koudinova N, Liscovitch M, Scherz A, Salomon Y. (2003). Bypass of tumor drug resistance by antivascular therapy. Neoplasia 5(6): 475-480.
Ran S, Downes A, Thorpe PE. (2002). Increased exposure of anionic phospholipids on the surface of tumor blood vessels. Cancer Res 62:6132-6140.
Rosenbach-Belkin V, Chen L, Fiedor L, Tregub I, Paviotsky F, Brumfeld V, Salomon Y, Scherz A. (1996). Serine conjugates of chlorophyll and bacteriochlorophyll: photocytotoxicity in vitro and tissue distribution in mice bearing melanoma tumors. Photochem Photobiol 64:174-181.
Schreiber, S., Gross, S., Brandis, A., Harmelin, A., Rosenbach-Belkin, V., Scherz, A:, and Salomon, Y. (2002) Local photodynamic therapy (PDT) of rat C6 glioma xenografts with Pd-bacteriopheophorbide leads to decreased metastases and increase of animal cure compared with surgery. Int J Cancer, 99: 279-285.
Segev A, Aviezer D, Safran M, Gross Z, Yayon A. (2002). Inhibition of vascular smooth muscle cell proliferation by a novel fibroblast growth factor receptor antagonist. Cardiovasc Res 53(1): 232-241.
Simionescu, N, Simionescu M, Palade GE. (1981). Differentiated microdomains on the luminal surface of the cappilary endothelium. I. Preferential distribution of anionic sites. J Cell Biol 90(3): 605-613.
Suzuki, T., Rude, M., Simonsen, K.P., Morooka, M., Tanaka, H., Ohba, S., Galsbol, F., and Fujita, J. (1994). Preparation and characterization of Iridium(III) complexes containing (2-aminoethyl)dimethylphosphine (edmp). Structures of fac-[Ir(edmp)3]Cl3·5H2O and trans(Cl,Cl), cis(P,P)-[IrCl2(edpp)2]BF4 and comparisons of their properties with those of the Cobalt(III) and Rhodium(III) analogs.” Bull. Chem. Soc. Jpn, 67:1013-1023.
Thurston G, McLean JW, Rizen M, Baluk P, Haskell A, Murphy TJ, Hanahan D, McDonald DM. (1998). Cationic liposomes target angiogenic endothelial cells in tumors and chronic inflammation in mice. J Clin Invest 101: 1401-1413.
Trachtenberg, J. (2003). Initial Phase I/II Trial of WST09-PDT Photodynamic Therapy Following Failed External Beam for Prostate Cancer. CapCure Retreat, Washington DC.
Tuan, V. et al. (2002). Pharmaceutical strategies utilizing recombinant human serum albumin. Pharm Res 19: 569-577.
Wasielewski M. R. and Svec, W. A. (1980). “Synthesis of Covalently Linked Dimeric Derivatives of Chlorophyll a, Pyrochlorophyll a, Chlorophyll b, and Bacteriochlorophyll a.” J. Org. Chem. 45: 1969-1974.
Zilberstein J, Bromberg A, Frantz A, Rosenbach-Belkin V, Kritzmann A, Pfefermann R, Salomon Y, Scherz A. (1997). Light-dependent oxygen consumption in bacteriochlorophyll-serine-treated melanoma tumors: on-line determination using a tissue-inserted oxygen microsensor. Photochem Photobiol 65(6): 1012-1019.
Zilberstein J, Schreiber S, Bloemers MC, Bendel P, Neeman M, Schechtman E, Kohen F, Scherz A, Salomon Y. (2001). Antivascular treatment of solid melanoma tumors with bacteriochlorophyll-serine-based photodynamic therapy. Photochem Photobiol 73(3): 257-266.
Формула изобретения
1. Производное бактериохлорофилла формулы I, II или III:
 
 где M представляет собой 2Н или двухвалентный атом металла, выбранный из группы, включающей Pd, Ni, Cu и Zn; R1, R’2 и R6, каждый независимо, представляют собой Y-R8, -NR9R’9 или -N+R9R’9R”9 A–; Y представляет собой O; R2 представляет собой Н или СООСН3; R3 представляет собой Н или СООСН3; R4 представляет собой -СОСН3, -СН(СН3)=NR9 или -CH(CH3)=N+R9R’9A–; R5 представляет собой =O; R7, R8, R9, R’9 и R”9, каждый независимо, представляют собой (a) Н; (b) С1алкил; (c) С2-С6алкил, замещенный одной или несколькими функциональными группами, выбранными из группы, включающей OR или COOR; положительно заряженную группу, выбранную из катиона, полученного из N-содержащей группы или ониевой группы, выбранной из -S+(RR’), -P+(RR’R”), -As+(RR’R”); основную группу, которая преобразуется в положительно заряженную группу в физиологических условиях, выбранную из NRR’, PRR’, -C(=NR)-NR’R” или N-содержащего гетероарильного радикала, где каждый R, R’ и R” независимо представляет собой Н или С1-С2алкил, или два из R, R’ и R” вместе с атомом азота образует 3-7-членное насыщенное кольцо, необязательно содержащее атом О или N и необязательно дополнительно замещенное на дополнительном атоме N; (d) С2-С4алкил, содержащий один гетероатом и/или одну гетероциклическую группу; (e) С2-С6алкил, содержащий один гетероатом и/или одну гетероциклическую группу, и замещенный одной или двумя функциональными группами, как определено выше в (с); (f) остаток аминокислоты или моносахарида; А– представляет собой физиологически приемлемый анион; m равно 0 или 1; и его фармацевтически приемлемые соли и оптические изомеры; при условии, что, когда в формуле I R2 и R3 оба представляют собой Н, R4 не представляет собой -С(СН3)=NR9; и, кроме того, при условии, что производное бактериохлорофилла формулы I, II или III содержит, по крайней мере, одну положительно заряженную группу и/или, по крайней мере, одну основную группу, которая преобразуется в положительно заряженную группу в физиологических условиях.
2. Производное бактериохлорофилла по п.1 формулы I, II или III, содержащее, по крайней мере, одну положительно заряженную группу.
3. Производное бактериохлорофилла по п.2, где указанная, по крайней мере, одна положительно заряженная группа представляет собой катион, полученный из N-содержащей группы.
4. Производное бактериохлорофилла по п.3, где указанный катион, полученный из N-содержащей группы представляет собой – -N+(RR’R”) или -C(=NR)-N+RR’R”, где R, R’ и R”, каждый независимо, представляют собой Н или С1алкил.
5. Производное бактериохлорофилла по п.4, где указанный катион представляет собой концевую группу.
6. Производное бактериохлорофилла по п.1, содержащее, по крайней мере, одну основную группу, преобразующуюся в положительно заряженную группу в физиологических условиях.
7. Производное бактериохлорофилла по п.1, где указанное 3-7-членное насыщенное кольцо выбрано из морфолина или пиперазина, и указанный N-содержащий гетероароматический радикал представляет собой пиридил.
8. Производное бактериохлорофилла формулы I, II или III по любому из пп.1-7, где R7, R9 и R’9, каждый независимо, представляют собой C1-С6алкил с прямой или разветвленной цепью, необязательно содержащий один гетероатом, выбранный из N или О и/или одну гетероциклическую группу.
9. Производное бактериохлорофилла формулы II:
 где М представляет собой 2Н или двухвалентный атом металла, выбранный из группы, включающей Pd, Cu или Zn; R1, R’2 и R6, каждый независимо, представляют собой Y-R8, -NR9R’9 или -N+R9R’9R”9A–; Y представляет собой О; R4 представляет собой -СОСН3, -C(CH3)=NR9 или -CH(CH3)=N+R9R’9A–; R8, R9, R’9 и R”9, каждый независимо, представляют собой (a) Н; (b) С1алкил; (c) С2-С3алкил, замещенный одной или несколькими функциональными группами, выбранными из группы, включающей OR или COOR; положительно заряженную группу, выбранную из катиона, полученного из N-содержащей группы или ониевой группы, выбранной из -S+(RR’), -P+(RR’R”), -As+(RR’R”); основную группу, которая преобразуется в положительно заряженную группу в физиологических условиях, выбранную из NRR’, PRR’, -C(=NR)-NR’R” или N-содержащего гетероарильного радикала, где каждый R, R’ и R” независимо представляет собой Н или С1-С2алкил, или два из R, R’ и R” вместе с атомом азота образует 3-7-членное насыщенное кольцо, необязательно содержащее атом О или N и необязательно дополнительно замещенное на дополнительном атоме N; (d) С2-С4алкил, содержащий один гетероатом и/или одну гетероциклическую группу; (e) С2-С6алкил, содержащий один гетероатом и/или одну гетероциклическую группу, и замещенный одной или двумя функциональными группами, как определено выше в (с); (f) остаток аминокислоты или моносахарида; А– представляет собой физиологически приемлемый анион; m равно 0 или 1; и его фармацевтически приемлемые соли и оптические изомеры; при условии, что, когда в формуле II содержит, по крайней мере, одну положительно заряженную группу и/или по крайней мере одну основную группу, которая преобразуется в положительно заряженную группу в физиологических условиях.
10. Производное бактериохлорофилла по п.9, где М представляет собой 2Н.
11. Производное бактериохлорофилла по п.9, где М представляет собой Pd, Ni, Cu или Zn.
12. Производное бактериохлорофилла по п.9, содержащее, по крайней мере, одну положительно заряженную группу.
13. Производное бактериохлорофилла по п.12, где указанная, по крайней мере, одна положительно заряженная группа представляет собой катион, полученный из N-содержащей группы.
14. Производное бактериохлорофилла по п.13, где указанный катион, полученный из N-содержащей группы, представляет собой -N+(RR’R”) или -C(=RN)-N+RR’R”, где R, R’ и R”, каждый независимо, представляют собой Н или С1алкил.
15. Производное бактериохлорофилла по п.14, где указанный катион представляет собой концевую группу.
16. Производное бактериохлорофилла по п.12, где указанная, по крайней мере, одна положительно заряженная группа представляет собой ониевую группу, выбранную из группы, включающей -S+(RR’), -P+(RR’R”) и -As+(RR’R”), где R, R’ и R”, каждый независимо, представляют собой Н или С1алкил.
17. Производное бактериохлорофилла по п.9, содержащее, по крайней мере, одну основную группу, преобразующуюся в положительно заряженную группу в физиологических условиях, выбранную -NRR’, -PRR’, -C(=NR)-NR’R” или N-содержащего гетероциклического радикала, где каждый из R, R’ и R” независимо представляет собой Н, С1-С2алкил, или два из R, R’ и R” вместе с атомом N образуют 3-7-членное насыщенное кольцо, необязательно содержащее атом О или N, и, необязательно, дополнительно замещенное на дополнительном атоме N.
18. Производное бактериохлорофилла по п.17, где указанное 3-7-членное насыщенное кольцо выбрано из морфолина или пиперазина, и указанный N-содержащий гетероароматический радикал представляет собой пиридил.
19. Производное бактериохлорофилла по п.9, где М представляет собой 2Н или двухвалентный атом металла Pd, Ni, Cu или Zn; R’2 представляет собой -OR8, где R8 представляет собой C1-С6алкил, предпочтительно метил; R4 представляет собой -СОСН3; R1 представляет собой ОН, -NR9R’9 или -NR9-CH2-CH(OH)-CH2OH; R6 представляет собой -NR9R’9 или -NR9-CH2-CH(OH)-CH2OH; R9 представляет собой Н или С1-С2алкил; и R’9 представляет собой С2-С4алкил, замещенный одной положительно заряженной группой и/или, по крайней мере, одной основной группой, которая преобразуется в положительно заряженную группу в физиологических условиях.
20. Производное бактериохлорофилла по п.19, где R9 представляет собой Н и R’9 представляет собой С2-С4алкил, замещенный одной положительно заряженной группой -N+RR’R” или, по крайней мере, одной основной группой -NRR’ и, необязательно, может быть прерван -N(R”)-группой, где R и R’, каждый независимо, представляют собой Н, C1-С2алкил, необязательно, замещенный NR”R”, или R и R’ вместе с атомом N образуют 6-членное кольцо, дополнительно содержащее атом О или N, и R” представляет собой Н.
21. Производное бактериохлорофилла по п.20, где R1 представляет собой ОН и R6 представляет собой -NHR’9 группу, выбранную из группы, включающей: (i) -NH-(CH2)n-NRR’ или -NH-(CH2)n-N+RR’R”; (ii)-NH-(CH2)n-N(R”)-(CH2)n-NRR’; (iii) ; (iv) ; и (v) , где X представляет собой О или NR; R, R’ и R”, каждый независимо, представляют собой Н или C1-С2алкил; n равно целому числу от 2 до 4; и m равно целому числу от 1 до 3.
22. Производное бактериохлорофилла по п.21, выбранное из соединений, указанных здесь как соединения 12 и 24-32: хлоридная соль 31-оксо-15-метоксикарбонилметил-родобактериохлорин-131-(2-N3-триметиламмонийэтил)амида палладия (соединение 12) ацетатная соль 31-оксо-15-метоксикарбонилметил-родобактериохлорин-13l-(2-N3-триметиламмонийэтил)амида палладия (соединение 24) 31-оксо-15-метоксикарбонилметил-родобактериохлорин-131-(2-N2-диметиламиноэтил)амид палладия (соединение 25) 31-оксо-15-метоксикарбонилметил-родобактериохлорин-131-(3-N2-диметиламинопропил)амид палладия (соединение 26) 31-оксо-15-метоксикарбонилметил-родобактериохлорин-131-(2-[(2-аминоэтил)амино]этил)амид палладия (соединение 27) 31-оксо-15-метоксикарбонилметил-родобактериохлорин-131-([2-бис(2-аминоэтил)амино]этил)амид палладия (соединение 28) 31-оксо-15-метоксикарбонилметил-родобактериохлорин-131-(2-морфолино-N-этил)амид палладия (соединение 29) 3l-оксо-15-метоксикарбонилметил-родобактериохлорин-131-(2-пиперазино-Т-этил)амид палладия (соединение 30) 31-оксо-15-метоксикарбонилметил-родобактериохлорин-131-(2-[(2-N2-диэтиламиноэтил)амино]этил)амид палладия (соединение 31) 31-оксо-15-метоксикарбонилметил-родобактериохлорин-131-(3-[(3-аминопропил)амино]пропил)амид палладия (соединение 32).
23. Производное бактериохлорофилла по п.20, где R1 и R6 оба одинаковы и представляют собой группу -NHR’9, выбранную из группы, включающей (i) -NH-(CH2)n-NRR’ или -NH-(CH2)n-N+RR’R”; (ii)-NH-(CH2)n-N(R”)-(CH2)n-NRR’; (iii) ; (iv) ; и (v) , где X представляет собой О или NR; R, R’ и R”, каждый независимо, представляют собой Н или C1-С2алкил; n равно целому числу от 2 до 4; и m равно целому числу от 1 до 3.
24. Производное бактериохлорофилла по п.23, выбранное из соединений, указанных здесь как соединения 4-11 и 33-45 и 82-84: 31-оксо-15-метоксикарбонилметил-родобактериохлорин-131,173-ди(2-аминоэтил)амид (соединение 4) дицитратная соль 31-оксо-15-метоксикарбонилметил-родобактериохлорин-131,173-ди(2-N3-триметиламмонийэтил)амида (соединение 5) 31-оксо-15-метоксикарбонилметил-родобактериохлорин-131,173-ди(3-аминопропил)амид (соединение 6) дицитратная соль 31-оксо-15-метоксикарбонилметил-родобактериохлорин-131,173-ди(3-N3-триметиламмонийпропил)амида (соединение 7) 31-оксо-15-метоксикарбонилметил-родобактериохлорин-131,173-ди(6-аминогексил)амид (соединение 8) дицитратная соль 3l-оксо-15-метоксикарбонилметил-родобактериохлорин-131,173-ди(6-N3-триметиламмонийгексил)амида (соединение 9) 31-оксо-15-метоксикарбонилметил-родобактериохлорин-131,173-ди(2-аминоэтил)амид палладия (соединение 10) дифосфатная соль 31-оксо-15-метоксикарбонилметил-родобактериохлорин-131,173-ди(2-N3-триметиламмонийэтил)амида палладия (соединение 11) диацетатная соль 31-оксо-15-метоксикарбонилметил-родобактериохлорин-131,173-ди(2-N3-триметиламмонийэтил)амида палладия (соединение 33) 31-оксо-15-метоксикарбонилметил-родобактериохлорин-131,173-ди(3-аминопропил)амид палладия (соединение 34) 31-оксо-15-метоксикарбонилметил-родобактериохлорин-131,173-ди(4-аминобутил)амид палладия (соединение 35) 31-оксо-15-метоксикарбонилметил-родобактериохлорин-131,173-ди(2-N2-диметиламиноэтил)амид палладия (соединение 36) 31-оксо-15-метоксикарбонилметил-родобактериохлорин-13,173-ди(3-N-диметиламинопропил)амид палладия (соединение 37) 31-оксо-15-метоксикарбонилметил-родобактериохлорин-131,173-ди-(2-[(2-аминоэтил)амино]этил)амид палладия (соединение 38) 31-оксо-15-метоксикарбонилметил-родобактериохлорин-131,173-ди-(2-[(2-N2-диэтиламиноэтил)амино]этил)амид палладия (соединение 39) 31-оксо-15-метоксикарбонилметил-родобактериохлорин-131,173-ди(2-морфолино-N-этил)амид палладия (соединение 40) 31-оксо-15-метоксикарбонилметил-родобактериохлорин-131,173-ди(2-пиперазино-N-этил)амид палладия (соединение 41) 31-оксо-15-метоксикарбонилметил-родобактериохлорин-131,173-ди-(3-[(3-аминопропил)амино]пропил)амид палладия (соединение 42) 31-оксо-15-метоксикарбонилметил-родобактериохлорин-131,173-ди([2-бис(2-аминоэтил)амино]этил)амид палладия (соединение 43) 31-оксо-15-метоксикарбонилметил-родобактериохлорин-131,173-ди(2-N-(2′-пиридил)аминоэтил)амид палладия (соединение 44) 31-оксо-15-метоксикарбонилметил-родобактериохлорин-131,173-ди(2-N2-диэтиламиноэтил)амид палладия (соединение 45) 31-оксо-15-метоксикарбонилметил-родобактериохлорин-131,173-ди(2-аминоэтил)амид никеля (соединение 82) 31-оксо-15-метоксикарбонилметил-родобактериохлорин-131,173-ди(2-аминоэтил)амид цинка (соединение 83) 31-оксо-15-метоксикарбонилметил-родобактериохлорин-131,173-ди(2-аминоэтил)амид меди (соединение 84).
25. Производное бактериохлорофилла по п.20, где R1 представляет собой -NH-CH2-CH(OH)-CH2OH и R6 представляет собой -NHR’9 группу, выбранную из группы, включающей (i) -NH-(CH2)n-NRR’ или -NH-(CH2)n-N+RR’R”; (ii)-NH-(CH2)n-N(R”)-(CH2)n-NRR’; (iii) ; (iv) ; и (v) , где X представляет собой О или NR; R, R’ и R”, каждый независимо, представляют собой Н или C1-С2алкил; n равно целому числу от 2 до 4; и m равно целому числу от 1 до 3.
26. Производное бактериохлорофилла по п.25, выбранное из соединений, указанных здесь как соединения 48, 50, 55, 57, 59-64, 71 и 72: 3l-оксо-15-метоксикарбонилметил-родобактериохлорин-131-(2-аминоэтил)амид-173-(2,3-дигидроксипропил)амид палладия (соединение 48) 31-оксо-15-метоксикарбонилметил-родобактериохлорин-131-(2-N2-диметиламиноэтил)амид-173-(2,3-дигидроксипропил)амид палладия (соединение 50) 31-оксо-15-метоксикарбонилметил-родобактериохлорин-131-(2-[(2-аминоэтил)амино]этил)амид-173-(2,3-дигидроксипропил)амид палладия (соединение 55) 3l-оксо-15-метоксикарбонилметил-родобактериохлорин-131-(2-N-(2′-пиридил)аминоэтил)амид-173-(2,3-дигидроксипропил)амид палладия (соединение 57) 31-оксо-15-метоксикарбонилметил-родобактериохлорин-131-([2-бис(2-аминоэтил)амин]этил)амид-173-(2,3-дигидроксипропил)амид палладия (соединение 59) 31-оксо-15-метоксикарбонилметил-родобактериохлорин-131-(3-аминопропил)амид-173-(2,3-дигидроксипропил)амид палладия (соединение 60) 31-оксо-15-метоксикарбонилметил-родобактериохлорин-131-(4-аминобутил)амид-173-(2,3-дигидроксипропил)амид палладия (соединение 61) 31-оксо-15-метоксикарбонилметил-родобактериохлорин-131-(2-N2-диэтиламиноэтил)амид-173-(2,3-дигидроксипропил)амид палладия (соединение 62) 31-оксо-15-метоксикарбонилметил-родобактериохлорин-131-(2-N-этиламиноэтил)амид-173-(2,3-дигидроксипропил)амид палладия (соединение 63) 31-оксо-15-метоксикарбонилметил-родобактериохлорин-131-(3-N-метиламинопропил)амид-173-(2,3-дигидроксипропил)амид палладия (соединение 64) 31-оксо-15-метоксикарбонилметил-родобактериохлорин-131-(3-N-(2′-пиридил)аминопропил)амид-173-(2,3-дигидроксипропил)амид палладия (соединение 71) 31-оксо-15-метоксикарбонилметил-родобактериохлорин-131-(4-N-(2′-пиридил)аминобутил)амид-173-(2,3-дигидроксипропил)амид палладия (соединение 72).
27. Производное бактериохлорофилла по п.20, где R6 представляет собой -NH-СН2-СН(ОН)-СН2ОН и R1 представляет собой -NHR’9 группу, выбранную из группы, включающей (i) -NH-(CH2)n-NRR’ или -NH-(CH2)n-N+RR’R”; (ii)-NH-(CH2)n-N(R”)-(CH2)n-NRR’; (iii) ; (iv) ; и (v) , где X представляет собой О или NR; R, R’ и R”, каждый независимо, представляют собой Н или C1-С2алкил; n равно целому числу от 2 до 4; и m равно целому числу от 1 до 3.
28. Производное бактериохлорофилла по п.27, выбранное из соединений, указанных здесь как соединения 46, 47, 49, 51-54, 56, 58, 73 и 74: 31-оксо-15-метоксикарбонилметил-родобактериохлорин-131-(2,3-дигидроксипропил)амид-173-(2-триметиламмонийэтил)амид палладия (соединение 46) 31-оксо-15-метоксикарбонилметил-родобактериохлорин-131-дигидроксипропил)амид-173-(2-аминоэтил)амид палладия (соединение 47) 31-оксо-15-метоксикарбонилметил-родобактериохлорин-131-(2,3-дигидроксипропил)амид-173-(2-N2-диметиламиноэтил)амид палладия (соединение 49) 31-оксо-15-метоксикарбонилметил-родобактериохлорин-131-(2,3-дигидроксипропил)амид-173-(2-[(2-аминоэтил)амино]этил)амид палладия (соединение 51) 31-оксо-15-метоксикарбонилметил-родобактериохлорин-131-дигидроксипропил)амид-173-(2-[(2-N2-диэтиламиноэтил)амино]этил)амид палладия (соединение 52) 31-оксо-15-метоксикарбонилметил-родобактериохлорин-131-(2,3-дигидроксипропил)амид-173-(2-морфолино-N-этил)амид палладия (соединение 53) 31-оксо-15-метоксикарбонилметил-родобактериохлорин-131-(2,3-дигидроксипропил)амид-173-(2-пиперазино-N-этил)амид палладия (соединение 54) 31-оксо-15-метоксикарбонилметил-родобактериохлорин-131-(2,3-дигидроксипропил)амид-173-(2-N-(2′-пиридил)аминоэтил)амид палладия (соединение 56) 31-оксо-15-метоксикарбонилметил-родобактериохлорин-131-(2,3-дигидроксипропил)амид-173-([2-бис(2-аминоэтил)амино]этил)амид палладия (соединение 58) 31-оксо-15-метоксикарбонилметил-родобактериохлорин-131-(2,3-дигидроксипропил)амид-173-(3-N-(2′-пиридил)аминопропил)амид палладия (соединение 73) 31-оксо-15-метоксикарбонилметил-родобактериохлорин-131-(2,3-дигидроксипропил)амид-173-(4-N-(2′-пиридил)аминобутил)амид палладия (соединение 74).
29. Производное бактериохлорофилла по п.9, где М представляет собой 2Н или Pd; R’2 представляет собой -OR8, где R8 представляет собой метил; R4 представляет собой -СОСН3; R6 представляет собой -NH-CH2-CH2-NRR’; и R1 выбран из группы, включающей -NH-(CH2)n-OH; -NH-СН(ОН)-СН3; -NH-(CH2)n-NR-(CH2)n-OH; и -гликозиламино; где R и R’, каждый независимо, представляет собой Н, метил или этил; и n равно 2 или 3.
30. Производное бактериохлорофилла по п.29, выбранное из соединений, указанных здесь как соединения 65-70 и 75: 31-оксо-15-метоксикарбонилметил-родобактериохлорин-131-(2-N2-диметиламиноэтил)амид-173-(2-гидроксиэтил)амид палладия (соединение 65) 31-оксо-15-метоксикарбонилметил-родобактериохлорин-131-(2-N2-диметиламиноэтил)амид-173-(3-гидроксипропил)амид палладия (соединение 66) 31-оксо-15-метоксикарбонилметил-родобактериохлорин-131-(2-N2-диметиламиноэтил)амид-173-(2-гидроксипропил)амид палладия (соединение 67) 31-оксо-15-метоксикарбонилметил-родобактериохлорин-131-(2-N2-диметиламиноэтил)амид-173-((R)-2-гидроксипропил)амид палладия (соединение 68) 31-оксо-15-метоксикарбонилметил-родобактериохлорин-131-(2-N2-диметиламиноэтил)амид-173-((S)-2-гидроксипропил)амид палладия (соединение 69) 31-оксо-15-метоксикарбонилметил-родобактериохлорин-131-(2-N2-диметиламиноэтил)амид-173-(2-(2-гидроксиэтиламино)этил)амид палладия (соединение 70) 31-оксо-15-метоксикарбонилметил-родобактериохлорин-131-(2-N2-диметиламиноэтил)амид-173-(гликозил)амид палладия (соединение 75).
31. Производное бактериохлорофилла формулы II по п.9, где М представляет собой Pd, R’2 представляет собой -OR8, где R8 представляет собой метил, R4 представляет собой -СОСН3, и R1 и/или R6 представляют собой -NR9R’9, где R9 представляет собой Н и R’9 представляет собой C1-С2алкил, замещенный группой гуанидино или гуанидиния.
32. Производное бактериохлорофилла по п.31, где R1 и R6 представляют собой группу формулы -NH-(CH2)n-C(=NH)-NH2 или -NH-(CH2)n-C(=NH)-N+(R)3A–, где R представляет собой метил, n равно 2 или 3, и А– представляет собой анион.
33. Производное бактериохлорофилла по п.32, выбранное из указанных здесь соединений 14 и 14а: 31-оксо-15-метоксикарбонилметил-родобактериохлорин-131,173-ди(2-гуанидиноэтил)амид палладия (соединение 14) 31-оксо-15-метоксикарбонилметил-родобактериохлорин-131,173-ди(2-триметилгуанидинийэтил)амид палладия (соединение 14а).
34. Производное бактериохлорофилла формулы II по п.9, где М представляет собой Pd, R’2 представляет собой -OR8, где R8 представляет собой метил, R4 представляет собой -СОСН3, и R1 и/или R6 представляют собой -NR9R’9, где R9 представляет собой Н и R’9 представляет собой С2алкил, замещенный сульфониевой группой.
35. Производное бактериохлорофилла по п.34, где R1 и R6 представляют собой группу формулы -NH-(CH2)n-S+(R)2A–, более предпочтительно -NH-(CH2)n-S(CH3)+ 2A–, где n равно 2 и А– представляет собой анион.
36. Производное бактериохлорофилла по п.35, представленное указанным здесь соединением 15: цитратная соль 31-оксо-15-метоксикарбонилметил-родобактериохлорин-131-(2-S2-диметилсульфонийэтил)амида палладия (соединение 15).
37. Производное бактериохлорофилла формулы II по п.9, где М представляет собой Н, R’2 представляет собой -OR8, где R8 представляет собой метил, R4 представляет собой -СОСН3, и R1 и/или R6 представляют собой -NR9R’9, где R9 представляет собой Н и R’9 представляет собой С2алкил, замещенный группой фосфино или фосфония.
38. Производное бактериохлорофилла по п.37, где R1 и R6 представляют собой группу формулы -NH-(CH2)n-P(R)2, более предпочтительно -NH-(СН2)n-Р(СН3)2, или -NH-(CH2)n-P+(R)3A–, более предпочтительно -NH-(CH2)n-P+(CH3)3A–, где n равно 2 и А– представляет собой противоанион.
39. Производное бактериохлорофилла по п.38, выбранное из указанных здесь соединений 17 и 18: дицитратная соль 31-оксо-15-метоксикарбонилметил-родобактериохлорин-13l,173-ди(2-P3-триметилфосфонийэтил)амида (соединение 17) 31-оксо-15-метоксикарбонилметил-родобактериохлорин-131,173-ди(2-диметилфосфиноэтил)амид (соединение 18).
40. Производное бактериохлорофилла формулы II по п.9, где М представляет собой Н, R’2 представляет собой -OR8, где R8 представляет собой C1-С6алкил, предпочтительно метил, R4 представляет собой -СОСН3, и R1 и/или R6 представляют собой -NR9R’9, где R9 представляет собой Н и R’9 представляет собой С2алкил, замещенный группой арсония.
41. Производное бактериохлорофилла по п.40, где R1 и R6 представляют собой группу формулы NH-(CH2)n-As+(R)3A–, более предпочтительно -NH-(CH2)n-As+(CH3)3A–, где n равно 2 и А– представляет собой противоанион.
42. Производное бактериохлорофилла по п.41, представленное определенным здесь соединением 19: дицитратная соль 31-оксо-15-метоксикарбонилметил-родобактериохлорин-131,173-ди(2-As3-триметиларсонийэтил)амида (соединение 19).
43. Производное бактериохлорофилла формулы II по п.9, где М представляет собой 2Н или Pd, R’2 представляет собой -OR8, где R8 представляет собой метил, R4 представляет собой -C(CH3)=NR9, и R1 и/или R6 представляют собой -NR’9R”9, где R’9 представляет собой Н и R9 и R”9 представляют собой С1-С2алкил, замещенный, по крайней мере, одной концевой аминогруппой.
44. Производное бактериохлорофилла по п.43, где R4 представляет собой -C(CH3)=N-(CH2)n-NH2, R1 и R6 оба представляют собой -NH-(CH2)n-NH2, и n равно 2.
45. Производное бактериохлорофилла по п.44, выбранное из определенных здесь соединений 20 и 21: 31-(аминоэтилимино)-15-метоксикарбонилметил-родобактериохлорин-131,173-ди(2-аминоэтил)амид (соединение 20) 31-(аминоэтилимино)-15-метоксикарбонилметил-родобактериохлорин-131,173-ди(2-аминоэтил)амид палладия (соединение 21).
46. Производное бактериохлорофилла формулы II по п.9, где М представляет собой 2Н или Pd, R’2 представляет собой -OR8, где R8 представляет собой метил, R4 представляет собой -С(СН3)=NR9, и R1 и/или R6 представляют собой -NR’9R”9, где R’9 представляет собой Н и R9 и R”9 представляют собой С1-С2алкил, замещенный, по крайней мере, одной положительно заряженной группой.
47. Производное бактериохлорофилла по п.46, где указанная положительно заряженная группа представляет собой аммонийную концевую группу формулы -N+(RR’R”)A–, где R, R’ и R” каждый представляют собой метил, и А– представляет собой анион.
48. Производное бактериохлорофилла по п.47, где R4 представляет собой -C(CH3)=N-(CH2)n-N(R)3 +A–, R1 и R6 представляют собой -NH-(CH2)n-N(CH3)3 +A–, где n равно 2, и А– представляет собой анион.
49. Производное бактериохлорофилла по п.48, выбранное из определенных здесь соединений 22 и 23: 31-(триметиламмонийэтилимино)-15-метоксикарбонилметил-родобактериохлорин-131,173-ди(2-триметиламмонийэтил)амид (соединение 22) 31-(триметиламмонийэтилимино)-15-метоксикарбонилметил-родобактериохлорин-131,173-ди(2-триметиламмонийэтил)амид палладия (соединение 23).
50. Производное бактериохлорофилла по п.1 формулы I:
 где М представляет собой 2Н или двухвалентный атом Pd; R1 представляет собой Y-R8, -NR9R’9, Y представляет собой О; R2 представляет собой Н или СООСН3; R3 представляет собой Н или СООСН3; R4 представляет собой -СОСН3; R5 представляет собой =O; R8, R9 и R’9 каждый независимо, представляют собой (a) Н; (b) С2-С3алкил, замещенный одной или несколькими функциональными группами, выбранными из группы, включающей OR или COOR; положительно заряженную группу, выбранную из катиона, полученного из N-содержащей группы; основную группу NRR’, которая преобразуется в положительно заряженную группу в физиологических условиях, где каждый R, R’ и R” независимо представляет собой Н или метил, и его фармацевтически приемлемые соли.
51. Производное бактериохлорофилла по п.50, где М представляет собой 2Н, R2 представляет собой Н, R3 представляет собой СООСН3, и R1 представляет собой NR9R’9.
52. Производное бактериохлорофилла по п.51, где R1 представляет собой -NH-(CH2)n-N(R)2 или -NH-(CH2)n-N+(R)3, R представляет собой Н или метил, и n равно 2.
53. Производное бактериохлорофилла по п.52, выбранное из соединений 76 и 77: бактерофиофорбид (Bpheid)173-(2-аминоэтил)амид (соединение 76); йодидная соль бактерофиофорбид 173-(2-N3-триметиламмонийметил)амида (соединение 77).
54. Производное бактериохлорофилла формулы I по п.50, где М представляет собой Pd, R2 представляет собой Н, R3 представляет собой СООСН3, R1 представляет собой -NR9R’9.
55. Производное бактериохлорофилла по п.54, где R1 представляет собой O-R8 и R8 представляет собой С3алкил, замещенный группой COOR и группой аммония -N+(RR’R”), где R, R’ и R” каждый представляют собой метил.
56. Производное бактериохлорофилла по п.55, которое представляет собой соединение, определенное здесь как соединение 13: йодидная соль метилового эфира O-[Pd-бактерофиофорбид173]-[N3-триметиламмоний-2-метил]серина.
57. Производное бактериохлорофилла по п.1 формулы III:
 где М представляет собой 2Н или двухвалентный атом Pd; R1 представляет собой Y-R8; Y представляет собой О; R4 представляет собой -СОСН3; R5 представляет собой =O; R7 представляет собой С3алкил, замещенный одной функциональной группой, выбранной из катиона, полученного из N-содержащей группы или основной группы NRR’, которая преобразуется в положительно заряженную группу в физиологических условиях; R8 метил; и его фармацевтически приемлемые соли.
58. Производное бактериохлорофилла по п.57, где R7 представляет собой (CH2)n-N(R)2 или (CH2)n-N+(R)3, R представляет собой Н или метил, и n равно 3.
59. Производное бактериохлорофилла по п.58, выбранное из соединений 78, 79, 80 и 81: метиловый эфир бактериопурпурин N-(2-N2-аминопропил)имида (соединение 78); ацетат метилового эфира бактериопурпурин N-(2-N2-триметиламмонийпропил)имида (соединение 79); метиловый эфир N-(2-N2-аминопропил)имида палладия (соединение 80); ацетат метилового эфира бактериопурпурин N-(2-N2-триметиламмонийпропил)имида палладия (соединение 81).
60. Фармацевтическая композиция для фотодинамической терапии, содержащая производное бактериохлорофилла формулы I, II или III по любому из пп.1-59 и фармацевтически приемлемый носитель.
61. Фармацевтическая композиция для фотодинамической терапии, содержащая производное бактериохлорофилла формулы II по любому из пп.9-49 и фармацевтически приемлемый носитель.
62. Фармацевтическая композиция по п.60 для васкулярно-целевой фотодинамической терапии (VTP).
63. Фармацевтическая композиция по п.60 для фотодинамической терапии опухолей.
64. Фармацевтическая композиция по п.63 для фотодинамической терапии злокачественных опухолей, включая первичные и метастатические опухоли.
65. Фармацевтическая композиция по п.64 для фотодинамической терапии меланомы, рака простаты, мозга, головы, шеи, толстой кишки, яичников, груди, грудной клетки, проявившегося вследствие рака груди, кожи, легких, пищевода или мочевого пузыря или каких-либо иных гормон-чувствительных опухолей.
66. Фармацевтическая композиция по п.63 для фотодинамической терапии доброкачественной гипертрофии простаты.
67. Фармацевтическая композиция для диагностики опухоли, содержащая производное бактериохлорофилла формулы I, II или III по любому из пп.1-59 и фармацевтически приемлемый носитель.
68. Фармацевтическая композиция для диагностики опухоли, содержащая производное бактериохлорофилла формулы II по любому из пп.9-49 и фармацевтически приемлемый носитель.
69. Фармацевтическая композиция для уничтожения клеток или инфекционных агентов, содержащих бактерии и вирусы, содержащая производное бактериохлорофилла формулы I, II или III по любому из пп.1-59 и фармацевтически приемлемый носитель.
70. Фармацевтическая композиция по п.69 для in vitro уничтожения клеток или инфекционных агентов, содержащих бактерии и вирусы в биологическом продукте, при облучении светом указанного продукта.
71. Фармацевтическая композиция по п.70, где указанный биологический продукт представляет собой кровь.
72. Способ фотодинамической терапии опухоли, включающий (a) введение пациенту, которому необходимо такое лечение, производного бактериохлорофилла по любому из пп.1-59; и (b) облучение места локализации опухоли.
73. Способ по п.72, где указанный пациент, которому необходимо такое лечение, страдает меланомой, раком простаты, мозга, головы, шеи, толстой кишки, яичников, груди, грудной клетки, проявившимся вследствие рака груди, кожи, легких, пищевода или мочевого пузыря или какими-либо иными гормон-чувствительными опухолями.
74. Способ диагностики опухоли, включающий (a) введение субъекту, у которого предполагается наличие опухоли, соединения формулы I, II или III по любому из пп.1-59; (b) облучение субъекта стандартными способами; и (c) измерение флуоресценции в предполагаемой области, где более высокая флуоресценция указывает на участки опухолей.
75. Способ фотодинамической терапии, использующий фотосенсибилизирующее вещество, где указанное фотосенсибилизирующее вещество представляет собой производное бактериохлорофилла формулы I, II или III по любому из пп.1-59.
76. Способ диагностики опухоли, преимущество которого достигается за счет использования фотосенсибилизирующего вещества – производного бактериохлорофилла формулы I, II или III по любому из пп.1-59.
77. In vitro способ уничтожения клеток или инфекционных агентов, содержащих бактерии и вирусы, преимущество которого достигается за счет использования фотосенсибилизирующего вещества – производного бактериохлорофилла формулы I, II или III по любому из пп.1-59 по любому из пп.1-67.
РИСУНКИ
|
|