|
|
(21), (22) Заявка: 2006137706/04, 24.03.2005
(24) Дата начала отсчета срока действия патента:
24.03.2005
(30) Конвенционный приоритет:
26.03.2004 JP 2004-093672
(43) Дата публикации заявки: 10.05.2008
(46) Опубликовано: 20.08.2010
(56) Список документов, цитированных в отчете о поиске:
WO 99/28321 A1, 10.06.1999. WO 02/04449 A2, 17.01.2002. RU 22217299 С2, 20.01.2004.
(85) Дата перевода заявки PCT на национальную фазу:
26.10.2006
(86) Заявка PCT:
JP 2005/005401 20050324
(87) Публикация PCT:
WO 2005/092893 20051006
Адрес для переписки:
103735, Москва, ул. Ильинка, 5/2, ООО “Союзпатент”, пат.пов. А.П.Агурееву
|
(72) Автор(ы):
КУРИМОТО Аюму (JP), ХАСИМОТО Казуки (JP), ИСОБЕ Ёсиаки (JP), БРОУ Стивен (GB), МИЛЛИЧИП Ян (GB), ВАДА Хироки (GB), БОННЕРТ Роджер (GB), МакИНАЛЛИ Томас (GB)
(73) Патентообладатель(и):
ДАЙНИППОН СУМИТОМО ФАРМА КО., ЛТД. (JP), АСТРАЗЕНЕКА АКТИЕБОЛАГ (SE)
|
(54) 9-ЗАМЕЩЕННОЕ ПРОИЗВОДНОЕ 8-ОКСОАДЕНИНА И ЛЕКАРСТВЕННОЕ СРЕДСТВО
(57) Реферат:
Настоящее изобретение относится к новым соединениям – 9-замещенным производного 8-оксоаденина общей формулы (I) и их фармацевтически приемлемым солям, обладающим интерферон-индуцирующим действием в отношении вирусов. Соединения могут быть использованы в качестве противовирусного и противоаллергического средства. В общей формуле (I):
,
кольцо А представляет собой фенил; n представляет собой целое число 0; Z1 представляет собой С1-С4алкиленовую группу незамещенную или замещенную гидроксильной группой; X2 представляет собой атом кислорода, атом серы, SO2, NR5, SO2NR5, NR5SO2 или NHCONH (в которой R5 представляет собой атом водорода, замещенную или незамещенную C1-С6алкильную группу, где заместители выбирают из гидроксильной группы, С1-С6-алкокси, амино, C1-С6-алкиламино, ди-С1-С6-алкиламино, 5-6-членной насыщенной циклоаминной группы, содержащей 1-2 атома азота возможно содержащей дополнительно атом кислорода и возможно замещенной оксогруппой, и тетразолильной группы); Y1, Y2 и Y3 каждый независимо представляет собой простую связь или С1-С4-алкиленовую группу; X представляет собой атом кислорода; R2 представляет собой атом водорода, С1-С4-алкильную группу необязательно замещенную аминогруппой, C1-С6-алкиламиногруппой или ди-С1-С6-алкиламиногруппой и R1 представляет собой атом водорода. 13 н. и 3 з. п. ф-лы, 32 табл.
Текст описания приведен в факсимильном виде.                                                                                                                                                                         
Формула изобретения
1. Производное 8-оксоаденина формулы (I):
, где кольцо А представляет собой фенил; n представляет собой целое число 0; Z1 представляет собой С1-С4алкиленовую группу незамещенную или замещенную гидроксильной группой; X2 представляет собой атом кислорода, атом серы, SO2, NR5, SO2NR5, NR5SO2 или NHCONH, где R5 представляет собой атом водорода, замещенную или незамещенную C1-С6алкильную группу, где заместители выбирают из гидроксильной группы, C1-С6-алкокси, амино, C1-С6-алкиламино, ди-С1-С6-алкиламино, 5-6-членной насыщенной циклоаминной группы, содержащей 1-2 атома азота, возможно содержащей дополнительно атом кислорода и возможно замещенной оксогруппой, и тетразолильной группы; Y1, Y2 и Y3 каждый независимо представляет собой простую связь или С1-С4-алкиленовую группу; X представляет собой атом кислорода; R2 представляет собой атом водорода, С1-С4-алкильную группу, необязательно замещенную аминогруппой, C1-С6-алкиламиногруппой или ди-С1-С6-алкиламиногруппой и R1 представляет собой атом водорода, или его фармацевтически приемлемая соль.
2. Производное 8-оксоаденина или его фармацевтически приемлемая соль по п.1, где Y3 в формуле (1) по п.1 представляет собой простую связь, метилен или этилен.
3. Производное 8-оксоаденина или его фармацевтически приемлемая соль по любому из пп.1 и 2, где группа представлена формулой (2) в формуле (1) по п.1:
, где кольцо A, R, n, Y3 и R2 имеют те же самые значения, как в формуле (1), является группой, имеющую формулу (3):
, в которой R, n и R2 имеют те же самые значения, как в формуле (1), и R3 представляет собой атом водорода.
4. Производное 8-оксоаденина или его фармацевтически приемлемая соль по п.3, где R2 представляет собой метильную группу.
5. Фармацевтическая композиция, обладающая интерферон-индуцирующим действием в отношении вирусов, содержащая эффективное количество производного 8-оксоаденина или его фармацевтически приемлемой соли по любому из пп.1-4, в качестве активного ингредиента.
6. Применение производного 8-оксоаденина или его фармацевтически приемлемой соли по любому из пп.1-4 в качестве активного ингредиента при производстве фармацевтической композиции, обладающей интерферон-индуцирующим действием в отношении вирусов.
7. Способ модулирования иммунной реакции, который включает введение пациенту эффективного количества производного 8-оксоаденина или его фармацевтически приемлемой соли по любому из пп.1-4.
8. Соединение или его фармацевтически приемлемая соль, выбранное из группы, состоящей из следующих соединений: 2-Бутокси-8-оксо-9-[2-(3-метоксикарбонилфенокси)этил]аденин, 2-Бутокси-8-оксо-9-[2-(3-метоксикарбонилметилфенокси)этил]аденин, 2-Бутокси-8-оксо-9-[2-(2-метоксикарбонилфенокси)этил]аденин, 2-Бутокси-8-оксо-9-[2-(2-метоксикарбонилметилфенокси)этил]аденин, 2-Бутокси-8-оксо-9-[2-(4-метоксикарбонилфенокси)этил]аденин, 2-Бутокси-8-оксо-9-[2-(4-метоксикарбонилметилфенокси)этил]аденин, 2-Бутокси-8-оксо-9-{2-[4-(2-метоксикарбонилэтил)фенокси]этил}аденин, 2-Бутокси-8-оксо-9-[4-(3-метоксикарбонилбензолсульфонамид)бутил]аденин, 2-Бутокси-8-оксо-9-[4-(3-метоксикарбонилметилбензолсульфонамид)бутил]аденин, 2-Бутокси-8-оксо-9-[4-(3-метоксикарбонилфениламинокарбониламино)бутил]аденин, 2-Бутокси-8-оксо-9-[4-(3-метоксикарбонилметилфениламинокарбониламино)бутил]аденин, Метил-[3-({[2-(6-амино-2-бутокси-8-оксо-7,8-дигидро-9Н-пурин-9-ил)этил]амино}метил)фенил]ацетат, [3-({[2-(6-Амино-2-бутокси-8-оксо-7,8-дигидро-9Н-пурин-9-ил)этил]амино}метил)фенил]уксусная кислота, Метил-3-({[3-(6-амино-2-бутокси-8-оксо-7,8-дигидро-9Н-пурин-9-ил)пропил]амино}метил)бензоат, 3-({[3-(6-амино-2-бутокси-8-оксо-7,8-дигидро-9Н-пурин-9-ил)пропил]амино}метил)бензойная кислота, Метил-4-({[3-(6-амино-2-бутокси-8-оксо-7,8-дигидро-9Н-пурин-9-ил)пропил]амино}метил)бензоат, 4-({[3-(6-Амино-2-бутокси-8-оксо-7,8-дигидро-9Н-пурин-9-ил)пропил]амино}метил)бензойная кислота, Метил-(3-{[[3-(6-амино-2-бутокси-8-оксо-9Н-пурин-9-ил)пропил](2-морфолин-4-илэтил)амино]метил}фенил)ацетат, Метил-[3-({[4-(6-амино-2-бутокси-8-оксо-7,8-дигидро-9Н-пурин-9-ил)бутил]амино}метил)фенил]ацетат, Этил-2-[2-(6-амино-2-бутокси-8-оксо-7,8-дигидро-9Н-пурин-9-ил)этокси]бензоат, 3-(Диметиламино)пропил-2-[2-(6-амино-2-бутокси-8-оксо-7,8-дигидро-9Н-пурин-9-ил)этокси]бензоат, Метил-3-[4-({[4-(6-амино-2-бутокси-8-оксо-7,8-дигидро-9Н-пурин-9-ил)бутил]амино}сульфонил)фенил]пропаноат, 3-[4-({[4-(6-Амино-2-бутокси-8-оксо-7,8-дигидро-9Н-пурин-9-ил)бутил]амино}сульфонил)фенил]пропановая кислота, Метил-(3-{[[4-(6-амино-2-бутокси-8-оксо-7,8-дигидро-9Н-пурин-9-ил)бутил](2-пирролидин-1-илэтил)амино]сульфонил}фенил)ацетат, (3-{[[4-(6-Амино-2-бутокси-8-оксо-7,8-дигидро-9Н-пурин-9-ил)бутил](2-пирролидин-1-илэтил)амино]сульфонил}фенил)уксусная кислота, Метил-(3-{[[4-(6-амино-2-бутокси-8-оксо-7,8-дигидро-9Н-пурин-9-ил)бутил](2-метоксиэтил)амино]сульфонил}фенил)ацетат, (3-{[[4-(6-Амино-2-бутокси-8-оксо-7,8-дигидро-9Н-пурин-9-ил)бутил](2-метоксиэтил)амино]сульфонил}фенил)уксусная кислота, Метил-(3-{[[4-(6-амино-2-бутокси-8-оксо-7,8-дигидро-9Н-пурин-9-ил)бутил](метил)амино]сульфонил}фенил)ацетат, (3-{[[4-(6-Амино-2-бутокси-8-оксо-7,8-дигидро-9Н-пурин-9-ил)бутил](метил)амино]сульфонил}фенил)уксусная кислота, Метил-[3-({[4-(6-амино-2-бутокси-8-оксо-7,8-дигидро-9Н-пурин-9-ил)бутил][3-(диметиламино)-2,2-диметилпропил]амино}сульфонил)фенил]ацетат, [3-({[4-(6-Амино-2-бутокси-8-оксо-7,8-дигидро-9Н-пурин-9-ил)бутил][3-(диметиламино)-2,2-диметилпропил]амино}сульфонил)фенил]уксусная кислота, Метил-[3-({[3-(6-амино-2-бутокси-8-оксо-7,8-дигидро-9Н-пурин-9-ил)пропил]амино}сульфонил)фенил]ацетат, Метил-(3-{[[4-(6-амино-2-бутокси-8-оксо-7,8-дигидро-9Н-пурин-9-ил)бутил](2-гидрокси-2-метилпропил)амино]сульфонил}фенил)ацетат, (3-{[[4-(6-Амино-2-бутокси-8-оксо-7,8-дигидро-9Н-пурин-9-ил)бутил](2-гидрокси-2-метилпропил)амино]сульфонил}фенил)уксусная кислота, Метил-[3-({[2-(6-амино-2-бутокси-8-оксо-7,8-дигидро-9Н-пурин-9-ил)этил]амино}сульфонил)фенил]ацетат, Метил-[3-({[4-(6-амино-2-бутокси-8-оксо-7,8-дигидро-9Н-пурин-9-ил)бутил][(2R)-2,3-дигидроксипропил]амино}сульфонил)фенил]ацетат, [3-({[4-(6-Амино-2-бутокси-8-оксо-7,8-дигидро-9Н-пурин-9-ил)бутил][(2R)-2,3-дигидроксипропил]амино}сульфонил)фенил]уксусная кислота, Метил-3-({[4-(6-амино-2-бутокси-8-оксо-7,8-дигидро-9Н-пурин-9-ил)бутил][3-(диметиламино)-2,2-диметилпропил]амино}сульфонил)бензоат, 3-({[4-(6-Амино-2-бутокси-8-оксо-7,8-дигидро-9Н-пурин-9-ил)бутил][3-(диметиламино)-2,2-диметилпропил]амино}сульфонил)бензойная кислота, Метил-(3-{[[4-(6-амино-2-бутокси-8-оксо-7,8-дигидро-9Н-пурин-9-ил)бутил](3-морфолин-4-илпропил)амино]метил}фенил)ацетат, (3-{[[4-(6-Амино-2-бутокси-8-оксо-7,8-дигидро-9Н-пурин-9-ил)бутил](3-морфолин-4-илпропил)амино]метил}фенил)уксусная кислота, Метил-[3-({[4-(6-амино-2-бутокси-8-оксо-7,8-дигидро-9Н-пурин-9-ил)бутил][3-(диметиламино)-2,2-диметилпропил]амино}метил)фенил]ацетат, [3-({[4-(6-Амино-2-бутокси-8-оксо-7,8-дигидро-9Н-пурин-9-ил)бутил][3-(диметиламино)-2,2-диметилпропил]амино}метил)фенил]уксусная кислота, Метил-[3-({[4-(6-амино-2-бутокси-8-оксо-7,8-дигидро-9Н-пурин-9-ил)бутил][3-(2-оксопирролидин-1-ил)пропил]амино}метил)фенил]ацетат, [3-({[4-(6-Амино-2-бутокси-8-оксо-7,8-дигидро-9Н-пурин-9-ил)бутил][3-(2-оксопирролидин-1-ил)пропил]амино}метил)фенил]уксусная кислота, Метил-(3-{[[4-(6-амино-2-бутокси-8-оксо-7,8-дигидро-9Н-пурин-9-ил)бутил](2-морфолин-4-илэтил)амино]метил}фенил)ацетат, (3-{[[4-(6-Амино-2-бутокси-8-оксо-7,8-дигидро-9Н-пурин-9-ил)бутил](2-морфолин-4-илэтил)амино]метил}фенил)уксусная кислота, Метил-(3-{[[3-(6-амино-2-бутокси-8-оксо-7,8-дигидро-9Н-пурин-9-ил)пропил](3-морфолин-4-илпропил)амино]метил}фенил)ацетат, Метил-[3-({[4-(6-амино-2-бутокси-8-оксо-7,8-дигидро-9Н-пурин-9-ил)бутил][2-(1H-тетразол-5-ил)этил]амино}метил)фенил]ацетат, Метил-(3-{[2-(6-амино-2-бутокси-8-оксо-7,8-дигидро-9Н-пурин-9-ил)этил]тио}фенил)ацетат, (3-{[2-(6-Амино-2-бутокси-8-оксо-7,8-дигидро-9Н-пурин-9-ил)этил]тио}фенил)уксусная кислота, Метил-(3-{[2-(6-амино-2-бутокси-8-оксо-7,8-дигидро-9Н-пурин-9-ил)этил]амино}фенил)ацетат, Метил-(3-{[3-(6-мино-2-бутокси-8-оксо-7,8-дигидро-9Н-пурин-9-ил)пропил]амино}фенил)ацетат, (3-{[3-(6-Амино-2-бутокси-8-оксо-7,8-дигидро-9Н-пурин-9-ил)пропил]амино}фенил)уксусная кислота, Метил-[3-({[3-(6-амино-2-бутокси-8-оксо-7,8-дигидро-9Н-пурин-9-ил)пропил]амино}метил)фенил]ацетат, ([3-({[3-(6-Амино-2-бутокси-8-метокси-9Н-пурин-9-ил)пропил]амино}метил)фенил]уксусная кислота, Метил-(3-{[[2-(6-амино-2-бутокси-8-оксо-7,8-дигидро-9Н-пурин-9-ил)этил](2-метоксиэтил)амино]метил}фенил)ацетат, (3-{[[2-(6-Амино-2-бутокси-8-метокси-9Н-пурин-9-ил)этил](2-метоксиэтил)амино]метил}фенил)уксусная кислота, Метил-(3-{[2-(6-амино-2-бутокси-8-оксо-7,8-дигидро-9Н-пурин-9-ил)этил]сульфонил}фенил)ацетат, Метил-(3-{[[2-(6-амино-2-бутокси-8-оксо-7,8-дигидро-9Н-пурин-9-ил)этил](метил)амино]метил}фенил)ацетат, (3-{[[2-(6-Амино-2-бутокси-8-оксо-7,8-дигидро-9Н-пурин-9-ил)этил](метил)амино]метил}фенил)уксусная кислота, Метил-4-[3-(6-амино-2-бутокси-8-оксо-7,8-дигидро-9Н-пурин-9-ил)-2-гидроксипропокси]бензоат, Метил-(3-{[[2-(6-амино-2-бутокси-8-оксо-7,8-дигидро-9Н-пурин-9-ил)этил](2-гидроксиэтил)амино]метил}фенил)ацетат, Метил-(3-{[[4-(6-амино-2-бутокси-8-оксо-7,8-дигидро-9Н-пурин-9-ил)бутил](2-гидроксиэтил)амино]метил}фенил)ацетат, 2-Бутокси-8-оксо-9-[2-(3-гидроксикарбонилфенокси)этил]аденин, 2-Бутокси-8-оксо-9-[2-(3-идроксикарбонилметилфенокси)этил]аденин, 2-Бутокси-8-оксо-9-[2-(2-метоксикарбонилфенокси)этил]аденин, 2-Бутокси-8-оксо-9-[2-(2-гидроксикарбонилметилфенокси)этил]аденин, 2-Бутокси-8-оксо-9-[2-(4-гидроксикарбонилфенокси)этил]аденин, 2-Бутокси-8-оксо-9-[2-(4-метоксикарбонилметилфенокси)этил]аденин, 2-Бутокси-8-оксо-9-{2-[4-(2-гидроксикарбонилэтил)фенокси]этил}аденин, 2-Бутокси-8-оксо-9-[4-(3-гидроксикарбонилбензолсульфонамид)бутил]аденин, 2-Бутокси-8-оксо-9-[4-(3-гидроксикарбонилметилбензолсульфонамид)бутил]аденин, 2-Бутокси-8-оксо-9-[4-(3-гидроксикарбонилфениламинокарбониламино)бутил]аденини 2-Бутокси-8-оксо-9-[4-(3-гидроксикарбонилметилфениламинокарбониламино)бутил]аденин.
9. Способ получения производного 8-оксоаденина по любому из пп.1-4 или 8, который включает бромирование соединения, представленного формулой (10):
, где кольцо A, n, R, R1, R2, X1, X2, Y1, Y2, Y3 и Z1 имеют те же самые значения, как в п.1, взаимодействие полученного продукта с алкоксидом металла и последующим гидролизом, или гидролизом полученного продукта.
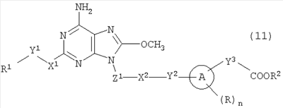
10. Соединение формулы (10):
, где кольцо A, n, R, R1, R2, X1, X2, Y1, Y2, Y3 и Z1 имеют те же самые значения, как в п.1.
11. Способ получения производного 8-оксоаденина, как описано в любом из пп.1-4, который включает гидролиз метоксигруппы в соединении, формулы (II):
, где кольцо А, n, R, R1, R2, X1, X2, Y1, Y2, Y3 и Z1 имеют те же самые значения, как в п.1.
12. Соединение формулы (II):
 где кольцо A, n, R, R1, R2, X1, X2, Y1, Y2, Y3 и Z1 имеют те же самые значения, как в п.1.
13. Метил-(3-{[[3-(6-амино-2-бутокси-8-оксо-7,8-дигидро-9Н-пурин-9-ил)пропил](3-морфолин-4-илпропил)амино]метил}фенил)ацетат или его фармацевтически приемлемая соль.
14. Фармацевтическая композиция, обладающая интерферон-индуцирующим действием в отношении вирусов, содержащая эффективное количество производного 8-оксоаденина или его фармацевтически приемлемой соли по любому из пп.13, в качестве активного ингредиента.
15. Производное 8-оксоаденина формулы (I) или его фармацевтически приемлемая соль по п.1, где R5 в NR5 представляет собой С1-С6алкил, замещенный 5-6-членной насыщенной циклоаминогруппой, содержащей 1-2 атома азота и необязательно один атом кислорода.
16. Производное 8-оксоаденина формулы (I) или его фармацевтически приемлемая соль по п.15, где 5-6-членная насыщенная циклоаминогруппа представляет собой морфолиновую или пиперазиниловую группу.
РИСУНКИ
|
|