|
|
(21), (22) Заявка: 2007139770/04, 27.03.2006
(24) Дата начала отсчета срока действия патента:
27.03.2006
(30) Конвенционный приоритет:
28.03.2005 JP 2005-090831 15.06.2005 JP 2005-174738 15.07.2005 JP 2005-206808 09.08.2005 JP 2005-230666
(43) Дата публикации заявки: 10.05.2009
(46) Опубликовано: 20.08.2010
(56) Список документов, цитированных в отчете о поиске:
ЕР 1437353 А1, 14.07.2004. WO 2004/091605 A1, 28.10.2004. RU 2186065 C1, 27.07.2002. Leardini R., ET AI, Tetrahedron Letters, vol.24, No.32, pp.3381-3382, 1983. WO 9843967 A1, 08.10.1998. EP 0129478 A2, 27.12.1984. US 2005032873 A1, 10.02.2005. A.S Bhanu Prasad, et al, Tetrahedron Letters, vol.48, No.22, 1992, pp.4623-4628.
(85) Дата перевода заявки PCT на национальную фазу:
29.10.2007
(86) Заявка PCT:
JP 2006/306127 20060327
(87) Публикация PCT:
WO 2006/104088 20061005
Адрес для переписки:
129090, Москва, ул. Б.Спасская, 25, стр.3, ООО “Юридическая фирма Городисский и Партнеры”, пат.пов. Е.Е.Назиной
|
(72) Автор(ы):
САИТОХ Акихито (JP), СУЗУКИ Йосиаки (JP), ЙОНЕЗАВА Кендзи (JP), КАВАМУРА Мицухиде (JP), КУСАНАГИ Такахико (JP), НАКАИ Такаси (JP)
(73) Патентообладатель(и):
ТОЯМА КЕМИКАЛ КО., ЛТД. (JP)
|
(54) СПОСОБ ПОЛУЧЕНИЯ 1-(3-(2-(1-БЕНЗОТИОФЕН-5-ИЛ)ЭТОКСИ) ПРОПИЛ)АЗЕТИДИН-3-ОЛА ИЛИ ЕГО СОЛЕЙ
(57) Реферат:
Изобретение относится к способу получения 1-(3-(2-(1-бензотиофен-5-ил)этокси)пропил)азетидин-3-ола или его солей, который включает использование в качестве исходного соединения производное (фенилтио)уксусной кислоты или его соли, представленные общей формулой:

где X1 представляет собой атом галогена,
и применим в качестве безопасного способа массового производства 1-(3-(2-(1-бензотиофен-5-ил)этокси)пропил)азетидин-3-ола или его солей, полезных в качестве лекарственного средства при заболеваниях центральной нервной системы и периферической нервной системы. Технический результат – обеспечивается высокий выход, безопасность для организма человека, низкие нагрузки на окружающую среду. 14 н. и 22 з.п. ф-лы, 1 табл.
ОБЛАСТЬ ТЕХНИКИ, К КОТОРОЙ ОТНОСИТСЯ ИЗОБРЕТЕНИЕ
Настоящее изобретение относится к новому способу получения 1-(3-(2-(1-бензотиофен-5-ил)этокси)пропил)азетидин-3-ола или его солей, применимых в качестве лекарственных средств при заболеваниях центральной нервной системы и периферической нервной системы.
ПРЕДПОСЫЛКИ СОЗДАНИЯ ИЗОБРЕТЕНИЯ
1-(3-(2-(1-Бензотиофен-5-ил)этокси)пропил)азетидин-3-ол или его соли обладают нервозащитным действием, действием, способствующим регенерации нерва, и действием на аксон и применимы в качестве лекарственных средств при заболеваниях центральной нервной системы и периферической нервной системы.
В качестве способов получения указанного соединения известны, например, (1) способ осуществления взаимодействия 5-(2-(3-хлорпропокси)этил)-1-бензотиофена с 3-азетидинолом или его солями, (2) способ подвергания 1-(3-(2-(1-бензотиофен-5-ил)этокси)пропионил)азетидин-3-ола, полученного из 3-(2-(1-бензотиофен-5-ил)этокси)пропионовой кислоты или ее солей, реакции восстановления борантетрагидрофурановым комплексом или подвергания его реакции восстановления боргидридом натрия в присутствии комплекса тетрагидрофурана с бортрифторидным комплексом и так далее (патентный документ 1).
Однако способ (1) имеет следующие недостатки: (A) низкий выход, (B) имеется необходимость в сложных методах очистки, таких как хроматография на колонке с силикагелем, (C) в результате экскретируется много отходов, и так далее.
Кроме того, способ (2) не может удовлетворять условиям промышленного способа производства производства, потому что имеет следующие недостатки: (A) в способе применяют в качестве реагентов комплекс тетрагидрофурана с бораном и комплекс тетрагидрофурана с трифторидом бора и так далее, которые вредны для человеческого организма, легковоспламеняемы, высокотоксичны и малостабильны, (B) в результате чего требуется осторожность в обращении и хранении указанных реагентов и специальное оборудование, и так далее.
Кроме того, в качестве способа получения 3-(2-(1-бензотиофен-5-ил)этокси)пропионовой кислоты или ее солей, применяемых в указанном выше способе (2), известны, например, следующие способы: (3) способ подвергания 2-(1-бензотиофен-5-ил)этанола реакции присоединения по Михаэлю с использованием трет-бутилакрилата, затем подвергания его де-трет-бутилированию, (4) способ подвергания 2-(1-бензотиофен-5-ил)этанола реакции присоединения по Михаэлю с использованием акрилонитрила, затем подвергания его гидролизу кислотой и так далее (патентный документ 1).
Однако способы (3) и (4) не могут удовлетворять условиям промышленного способа производства, потому что имеют следующие недостатки, в способе (3): (A) образуются побочные продукты в результате переэтерификации акриловой кислоты, (B) требуются специальные виды оборудования и обработки из-за выделения большого количества горючего изобутенового газа в ходе реакции де-трет-бутилирования, в способе (4): низкий выход гидролиза кислотой, и так далее.
В качестве способа получения 2-(1-бензотиофен-5-ил)этанола, используемого в указанных выше способах (3) и (4), известны, например, следующие способы: (5) способ подвергания 5-метил-1-бензотиофена бромированию N-бромсукцинимидом и взаимодействие с цианосоединениями с получением (1-бензотиофен-5-ил)ацетонитрила, затем подвергание гидролизу, затем подвергание реакции восстановления (непатентный документ 1, 2, 3), (6) способ осуществления взаимодействия 5-бром-1-бензотиофена с магнием с получением реактива Гриньяра, затем подвергание его взаимодействию с этиленоксидом (патентный документ 2), (7) способ подвергания 5-(1-бензотиофен)карбальдегида реакции Виттига с использованием метоксиметиленилида, затем подвергание его гидролизу с получением (1-бензотиофен-5-ил)ацетальдегида, затем подвергание его реакции восстановления (патентный документ 3) и так далее.
Однако способы (5)-(7) не могут удовлетворять условиям промышленного способа производства, потому что имеют следующие недостатки: (A) промежуточные соединения обладают раздражающим действием, (B) используется высокотоксичный реагент (цианосоединения), (C) используется канцерогенный реагент (этиленоксид), (D) используются легковоспламеняющиеся реагенты (бутиллитий, реактив Гриньяра), (E) процессы реакции сложны, и так далее.
С другой стороны, в качестве способов получения производного бензотиофенуксусной кислоты или его солей известны, например, следующие способы: (8) способ подвергания гидроксильной группы бензотиофенметанола галогенированию, затем подвергание его взаимодействию с цианосоединениями с получением бензотиофенацетонитрила, затем подвергание его гидролизу (непатентный документ 3), (9) способ подвергания 7-оксо-4,5,6,7-тетрагидробензотиофена, полученного из 3-бромтиофена, реакции Реформатского с использованием этилбромацетата, затем подвергание его ароматизации дегидрированием с использованием серы и подвергание его гидролизу, и так далее (непатентный документ 4).
Однако способы (8) и (9) не могут удовлетворять условиям промышленного способа производства, потому что имеют следующие недостатки: (A) промежуточные соединения обладают раздражающим действием, (B) используется высокотоксичный реагент (цианосоединения), (C) следовательно, требуются сложные виды обработки отходов, (D) существует много стадий процесса, (E) низкий выход, (F) требуется высокая температура реакции, (G) используются сложные процессы реакции и так далее.
Кроме того, в качестве способа получения производного 5-галоген-1-бензотиофена известны, например, следующие способы: (10) способ осуществления взаимодействия 4-галогентиофенола с диметилацеталем 2-галогенацетальдегида в присутствии основания с получением диметилацеталя 2-(4-галогенфенилтио)ацетальдегида, затем подвергание его реакции внутримолекулярной циклизации в присутствии полифосфорной кислоты и так далее (непатентный документ 5, патентный документ 4, патентный документ 5).
Однако способ (10) не может удовлетворять условиям промышленного способа производства производства, потому что имеет следующие недостатки: (A) требуются сложные методы выделения, такие как дистилляция или хроматография на колонке с силикагелем, и так далее, потому что полученные промежуточные соединения являются маслянистыми веществами, (B) требуются сложные виды обработки в процессе осуществления реакции циклизации с использованием фосфатного соединения, потому что образуются сложные побочные продукты, (C) требуются сложные методы, такие как дистилляция или хроматография на колонке с силикагелем и так далее, для отделения производных 5-галоген-1-бензотиофена от образовавшихся побочных продуктов, потому что их производные имеют низкие температуры плавления, (D) образуется большое количество жидких отходов, которые содержат соединения фосфора, требующие сложных процессов обработки, и так далее.
В качестве способа получения 4-галогентиофенола, используемого в указанном выше способе (10), известны, например, (11) способ подвергания тиоанизола галогенированию хлором или бромом, затем подвергание его деметилированию большим избытком хлора (патентный документ 6), (12) способ осуществления взаимодействия (4-галогенфенилтио)уксусной кислоты с сульфидом натрия в присутствии гидроксида натрия (патентный документ 7), (13) способ осуществления взаимодействия моногалогенбензола с монохлоридом серы в присутствии хлорида цинка с получением дигалогендифенилполисульфида, затем подвергание его реакции восстановления хлороводородной кислотой и цинком (патентный документ 8), (14) способ осуществления взаимодействия 1,4-дигалогенбензола с гидросульфидом натрия в 1-метил-2-пирролидоне (патентный документ 9) и так далее.
Однако способы (11)-(14) не могут удовлетворять условиям промышленного способа производства, потому что имеют следующие недостатки: (A) низкий выход, (B) образуются изомеры, (C) требуется высокая температура реакции, (D) используются реагенты, оказывающие большую нагрузку на окружающую среду, такие как хлор или сульфид, и так далее.
Далее, в качестве способа получения производного бензотиофена из производного (фенилтио)уксусной кислоты или его солей известны, например, следующие способы: (15) способ подвергания его реакции внутримолекулярной циклизации в присутствии кислоты Льюиса, затем подвергание его реакции восстановления, затем подвергания его реакции дегидратации и так далее (патентный документ 10).
Однако в данном способе структура полученного соединения ограничена.
[патентный документ 1]
Международная публикация 03/035647, брошюра
[патентный документ 2]
EP 0129478, бюллетень
[патентный документ 3]
Международная публикация 99/31056, брошюра
[патентный документ 4]
Международная публикация 02/100850, брошюра
[патентный документ 5]
Международная публикация 2005/012291, брошюра
[патентный документ 6]
JP H 08-143533, бюллетень
[патентный документ 7]
JP H 05-178816, бюллетень
[патентный документ 8]
JP H 05-140086, бюллетень
[патентный документ 9]
JP H 04-182463, бюллетень
[патентный документ 10]
Международная публикация 98/43,967, брошюра
[непатентный документ 1]
Journal of Medicinal Chemistry (J. Med. Chem.), 1991, Vol.34, p.65-73
[непатентный документ 2]
Journal of Medicinal Chemistry (J. Med. Chem.), 1997, Vol.40, p.1049-1062
[непатентный документ 3]
Nippon Kagaku Zashi, 1967, Vol.88, p.445-447
[непатентный документ 4]
Journal of Heterocyclic Chemistry (J. Heterocyclic Chem.), 1965, Vol.2, p.44-48
[непатентный документ 5]
Journal of Medicinal Chemistry (J. Med. Chem.), 2003, Vol.46, p.2446-2455
РАСКРЫТИЕ СУЩНОСТИ ИЗОБРЕТЕНИЯ
ЗАДАЧА, РЕШАЕМАЯ НАСТОЯЩИМ ИЗОБРЕТЕНИЕМ
Задачей настоящего изобретения является создание нового способа получения 1-(3-(2-(1-бензотиофен-5-ил)этокси)пропил)азетидин-3-ола и его солей, обеспечивающего безопасность для человеческого организма, низкие нагрузки на окружающую среду и возможность массового производства.
СПОСОБ РЕШЕНИЯ ЗАДАЧИ
В ходе интенсивных и последовательных исследований пришли к заключению, что в способе получения 1-(3-(2-(1-бензотиофен-5-ил)этокси)пропил)азетидин-3-ола или его солей из 2-(1-бензотиофен-5-ил)этанола, способ получения 3-(2-(1-бензотиофен-5-ил)этокси)пропионовой кислоты или ее солей отличается тем, что включает подвергание 2-(1-бензотиофен-5-ил)этанола реакции присоединения по Михаэлю с использованием акрилонитрила в присутствии основания, затем подвергание его взаимодействию со спиртом, представленным общей формулой [1]:

где R1 представляет собой атом водорода или незамещенную или замещенную алкильную, циклоалкильную или арильную группу,
в присутствии кислоты с получением сложноэфирного производного пропионовой кислоты, представленного общей формулой [2]:

где R1 имеет значения, определенные выше,
затем подвергание сложноэфирного производного пропионовой кислоты реакции гидролиза в присутствии основания;
причем указанное сложноэфирное производное пропионовой кислоты, представленное общей формулой [2]:

где R1 имеет значения, определенные выше,
является важным промежуточным соединением в получении 3-(2-(1-бензотиофен-5-ил)этокси)пропионовой кислоты или ее солей;
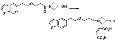
способ получения 1-(3-(2-(1-бензотиофен-5-ил)этокси)пропионил)азетидин-3-ола или его солей отличается тем, что включает превращение 3-(2-(1-бензотиофен-5-ил)этокси)пропионовой кислоты или ее солей в реакционно-способное производное, затем осуществление взаимодействия реакционно-способного производного с 3-азетидинолом или его солями в присутствии основания, и затем выкристаллизовывание кристаллов из реакционной смеси;
способ получения 1-(3-(2-(1-бензотиофен-5-ил)этокси)пропил)азетидин-3-ола или его солей отличается тем, что включает подвергание 1-(3-(2-(1-бензотиофен-5-ил)этокси)пропионил)азетидин-3-ола реакции восстановления с добавлением активатора в присутствии боргидрида щелочного металла; и
способ получения 1-(3-(2-(1-бензотиофен-5-ил)этокси)пропил)азетидин-3-ола или его солей отличается тем, что включает подвергание 2-(1-бензотиофен-5-ил)этанола реакции присоединения по Михаэлю с использованием акрилонитрила в присутствии основания, затем подвергание его взаимодействию со спиртом, представленным общей формулой [1]:

где R1 имеет значения, определенные выше,
в присутствии кислоты с получением сложноэфирного производного пропионовой кислоты, представленного общей формулой [2]:

где R1 имеет значения, определенные выше,
затем подвергание сложноэфирного производного пропионовой кислоты реакции гидролиза в присутствии основания с получением 3-(2-(1-бензотиофен-5-ил)этокси)пропионовой кислоты или ее солей, затем превращение ее в реакционно-способное производное, затем осуществление взаимодействия реакционно-способного производного с 3-азетидинолом или его солями в присутствии основания с получением 1-(3-(2-(1-бензотиофен-5-ил)этокси)пропионил)азетидин-3-ола, затем подвергание его реакции восстановления с добавлением активатора в присутствии боргидрида щелочного металла.
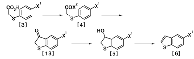
Кроме того, в способе получения 2-(1-бензотиофен-5-ил)этанола, являющегося исходным материалом, способ получения производного 5-галоген-1-бензотиофена, представленного общей формулой [6]:

где X1 представляет собой атом галогена,
отличается тем, что включает осуществление взаимодействия производного (фенилтио)уксусной кислоты или его солей, представленных общей формулой [3]:

где X1 имеет значения, определенные выше,
с галогенирующим агентом с получением галогенангидрида, представленного общей формулой [4]:

где X2 представляет собой атом галогена, X1 имеет значения, определенные выше,
затем подвергание полученного галогенангидрида реакции внутримолекулярной циклизации в присутствии кислоты Льюиса, затем подвергание его реакции восстановления с получением производного дигидробензотиофена, представленного общей формулой [5]:

где X1 имеет значения, определенные выше,
и подвергание производного дигидробензотиофена реакции дегидратации в присутствии кислотного катализатора;
причем указанное производное дигидробензотиофена, представленное общей формулой [5]:

где X1 имеет значения, определенные выше,
является важным промежуточным соединением в способе получения производного 5-галоген-1-бензотиофена, представленного общей формулой [6]:

где X1 имеет значения, определенные выше;
производное 5-галоген-1-бензотиофена, представленное общей формулой [6]:

где X1 имеет значения, определенные выше,
может быть получено по простой методике с высокой чистотой, кристаллизацией и выделением кристаллов указанного производного дигидробензотиофена, представленного общей формулой [5]:

где X1 имеет значения, определенные выше,
затем подвергание кристаллов реакции дегидратации;
способ получения производного бензотиофена или его солей, представленных общей формулой [9]:

где R2 и R3, одинаковые или разные, представляют собой незамещенную или замещенную алкилоксикарбонильную, циклоалкилоксикарбонильную или аралкилоксикарбонильную группу или цианогруппу,
отличается тем, что включает связывание производного бензотиофена, представленного общей формулой [7]:

где X1 имеет значения, определенные выше,
в присутствии основания и палладиевого катализатора с производным малоновой кислоты или его солями, представленными общей формулой [8]

где R2 и R3 имеют значения, определенные выше;
способ получения производного бензотиофенуксусной кислоты или его солей, представленных общей формулой [10]:

где R4 представляет собой атом водорода или незамещенную или замещенную алкильную, циклоалкильную или аралкильную группу,
отличается тем, что включает осуществление взаимодействия производного бензотиофена или его солей, представленных общей формулой [9]:

где R2 и R3 имеют значения, определенные выше,
с кислотой или основанием, подвергание производного бензотиофена или его солей реакции декарбоксилирования, если это необходимо;
производное бензотиофена, представленное общей формулой [9]:

где R2 и R3 имеют значения, определенные выше,
является важным промежуточным соединением в способе получения производного бензотиофенуксусной кислоты или его солей, представленных общей формулой [10]:

где R4 имеет значения, определенные выше;
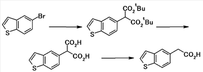
способ получения 2-(1-бензотиофен-5-ил)этанола отличается тем, что включает подвергание производного бензотиофенуксусной кислоты или его солей, представленных общей формулой [11]:

где R4 имеет значения, определенные выше,
реакции гидролиза, если это необходимо, затем подвергание его реакции восстановления с добавлением активатора в присутствии боргидрида щелочного металла; и
способ получения 2-(1-бензотиофен-5-ил)этанола отличается тем, что включает осуществление взаимодействия производного (фенилтио)уксусной кислоты или его солей, представленных общей формулой [3]:

где X1 имеет значения, определенные выше,
с галогенирующим агентом с получением галогенангидрида, представленного общей формулой [4]:

где X1 и X2 имеют значения, определенные выше,
затем подвергание полученного галогенангидрида реакции внутримолекулярной циклизации в присутствии кислоты Льюиса, затем подвергание его реакции восстановления с получением производного дигидробензотиофена, представленного общей формулой [5]:

где X1 имеет значения, определенные выше,
затем подвергание производного дигидробензотиофена реакции дегидратации в присутствии кислотного катализатора с получением производного 5-галоген-1-бензотиофена, представленного общей формулой [6]:

где X1 имеет значения, определенные выше,
затем связывание производного 5-галоген-1-бензотиофена с производным малоновой кислоты или его солями, представленными общей формулой [8]:

где R2 и R3 имеют значения, определенные выше,
в присутствии основания и палладиевого катализатора с получением производного бензотиофена или его солей, представленных общей формулой [12]:

где R2 и R3 имеют значения, определенные выше,
затем осуществление взаимодействия производного бензотиофена с кислотой или основанием, подвергание его реакции декарбоксилирования, если это необходимо, с получением производного бензотиофенуксусной кислоты или его солей, представленных общей формулой [11]:

где R4 имеет значения, определенные выше,
затем подвергание производного бензотиофенуксусной кислоты или его солей реакции гидролиза, если это необходимо, затем подвергание его реакции восстановления с добавлением активатора в присутствии боргидрида щелочного металла.
Далее, способ получения 1-(3-(2-(1-бензотиофен-5-ил)этокси)пропил)азетидин-3-ола или его солей отличается тем, что включает осуществление взаимодействия производного (фенилтио)уксусной кислоты или его солей, представленных общей формулой [3]:

где X1 имеет значения, определенные выше,
с галогенирующим агентом с получением галогенангидрида, представленного общей формулой [4]:

где X1 и X2 имеют значения, определенные выше,
затем подвергание полученного галогенангидрида реакции внутримолекулярной циклизации в присутствии кислоты Льюиса, затем подвергание его реакции восстановления с получением производного дигидробензотиофена, представленного общей формулой [5]:

где X1 имеет значения, определенные выше,
затем подвергание производного дигидробензотиофена реакции дегидратации в присутствии кислотного катализатора с получением производного 5-галоген-1-бензотиофена, представленного общей формулой [6]:

где X1 имеет значения, определенные выше,
затем связывание производного 5-галоген-1-бензотиофена с производным малоновой кислоты или его солями, представленными общей формулой [8]:

где R2 и R3 имеют значения, определенные выше,
в присутствии основания и палладиевого катализатора с получением производного бензотиофена или его солей, представленных общей формулой [12]:

где R2 и R3 имеют значения, определенные выше,
затем осуществление взаимодействия производного бензотиофена с кислотой или основанием, подвергание его реакции декарбоксилирования, если это необходимо, с получением производного бензотиофенуксусной кислоты или его солей, представленных общей формулой [11]:

где R4 имеют значения, определенные выше,
затем подвергание производного бензотиофенуксусной кислоты или его солей реакции гидролиза, если это необходимо, затем подвергание его реакции восстановления с добавлением активатора в присутствии боргидрида щелочного металла с получением 2-(1-бензотиофен-5-ил)этанола, затем подвергание 2-(1-бензотиофен-5-ил)этанола реакции присоединения по Михаэлю с использованием акрилонитрила в присутствии основания, затем подвергание его взаимодействию со спиртом, представленным общей формулой [1]:

где R1 имеет значения, определенные выше,
в присутствии кислоты с получением сложноэфирного производного пропионовой кислоты, представленного общей формулой [2]:

где R1 имеет значения, определенные выше,
затем подвергание сложноэфирного производного пропионовой кислоты реакции гидролиза в присутствии основания с получением 3-(2-(1-бензотиофен-5-ил)этокси)пропионовой кислоты или ее солей, затем превращение 3-(2-(1-бензотиофен-5-ил)этокси)пропионовой кислоты или ее солей в реакционно-способное производное, затем осуществление взаимодействия полученного реакционно-способного производного с 3-азетидинолом или его солями в присутствии основания с получением 1-(3-(2-(1-бензотиофен-5-ил)этокси)пропионил)азетидин-3-ола, и затем подвергание 1-(3-(2-(1-бензотиофен-5-ил)этокси)пропионил)азетидин-3-ола реакции восстановления с добавлением активатора в присутствии боргидрида щелочного металла.
ЭФФЕКТ ИЗОБРЕТЕНИЯ
Способ получения 1-(3-(2-(1-бензотиофен-5-ил)этокси)пропил)-3-азетидинола или его солей по настоящему изобретению имеет следующие характеристики: (1) обеспечивается высокий выход, (2) не требуется хроматография на колонке с силикагелем, (3) небольшое содержание отходов, (4) не используются реагенты, которые вредны и создают проблемы, связанные со стабильностью, и так далее, причем данный способ применим в промышленном производстве.
Способ получения 3-(2-(1-бензотиофен-5-ил)этокси)пропионовой кислоты или ее солей по настоящему изобретению имеет следующие характеристики: (1) небольшое количество побочных продуктов, (2) отсутствуют воспламеняющиеся газы, (3) обеспечивается высокий выход и так далее, причем данный способ применим в промышленном производстве.
Способ получения производного бензотиофенуксусной кислоты или его солей, представленных общей формулой [10] по настоящему изобретению, имеет следующие характеристики: (1) в ходе процесса не используются раздражающие промежуточные соединения, (2) не используются высокотоксичные реагенты (цианосоединения), (3) не требуются сложные виды обработки отходов, (4) число стадий процесса мало, (5) обеспечивается высокий выход, (6) не требуется высокая температура реакций, (7) реакционные процессы просты и так далее, причем данный способ применим как промышленный способ производства.
Способ получения производных 5-галоген-1-бензотиофена, представленных общей формулой [6] по настоящему изобретению, имеет следующие характеристики: (1) небольшое количество побочных продуктов, (2) очистка может быть выполнена простым методом, таким как экстракция и кристаллизация, (3) следовательно, не требуются сложные методы очистки, такие как дистилляция или хроматография на колонке с силикагелем, и так далее, причем данный способ применим в промышленном производстве.
НАИЛУЧШИЙ СПОСОБ ОСУЩЕСТВЛЕНИЯ ИЗОБРЕТЕНИЯ
Далее настоящее изобретение описывается более подробно.
В данном описании, если не указано иное, термин “атом галогена” означает атом фтора, атом хлора, атом брома или атом иода;
термин “алкильная группа” означает неразветвленную или разветвленную C1-12алкильную группу, например метил, этил, пропил, изопропил, бутил, втор-бутил, изобутил, трет-бутил, пентил, изопентил, гексил, гептил, октил или тому подобное;
термин “циклоалкильная группа” означает C3-8циклоалкильную группу, например циклопропил, циклобутил, циклопентил, циклогексил или тому подобное;
термин “аралкильная группа” означает apC1-6алкильную группу, например бензил, дифенилметил, тритил, фенетил, нафтилметил или тому подобное;
термин “алкоксигруппа” означает неразветвленную или разветвленную C1-6алкилоксигруппу, например метокси, этокси, пропокси, изопропокси, бутокси, изобутокси, втор-бутокси, трет-бутокси, пентилокси, изопентилокси или тому подобное;
термин “алкилоксикарбонильная группа означает неразветвленную или разветвленную C1-12алкилоксикарбонильную группу, например метоксикарбонил, этоксикарбонил, 1,1-диметилпропоксикарбонил, изопропоксикарбонил, 2-этилгексилоксикарбонил, трет-бутоксикарбонил, трет-пентилоксикарбонил или тому подобное;
термин “циклоалкилоксикарбонильная группа” означает C3-8циклоалкилоксикарбонильную группу, например циклопропоксикарбонил, циклобутоксикарбонил, циклопентилоксикарбонил, циклогексилоксикарбонил или тому подобное;
термин “аралкилоксикарбонильная группа” означает apC1-6алкилоксикарбонильную группу, например бензилоксикарбонил, фенетилоксикарбонил или тому подобное;
термины “арильная группа” означают группу, например фенил, нафтил или тому подобное;
термин “алкенильная группа означает C2-12алкенильную группу, например винил, пропенил, бутенил, пентенил, гексенил, гептенил, октенил или тому подобное, соответственно.
Алкильная, циклоалкильная и арильная группы R1 могут быть замещенными по меньшей мере одной группой, выбранной из атома галогена, гидроксильной группы, нитрогруппы, алкильной группы, циклоалкильной группы, алкоксигруппы, алкенильной группы и арильной группы или тому подобного.
Алкилоксикарбонильная, циклоалкилоксикарбонильная и аралкилоксикарбонильная группы R2 и R3 могут быть замещенными по меньшей мере одной группой, выбранной из атома галогена, гидроксильной группы, нитрогруппы, алкильной группы, циклоалкильной группы, алкоксигруппы, алкенильной группы и арильной группы или тому подобного.
Алкильная, циклоалкильная и аралкильная группы R4 могут быть замещенными по меньшей мере одной группой, выбранной из атома галогена, гидроксильной группы, нитрогруппы, алкильной группы, циклоалкильной группы, алкоксигруппы, алкенильной группы и арильной группы или тому подобного.
В настоящем изобретении предпочтительными способами получения являются следующие способы.
Для получения 3-(2-(1-бензотиофен-5-ил)этокси)пропионовой кислоты или ее солей способом получения, включающим подвергание 2-(1-бензотиофен-5-ил)этанола реакции присоединения по Михаэлю в присутствии основания с использованием акрилонитрила, затем осуществление взаимодействия его со спиртом, представленным общей формулой [1]:

где R1 имеет значения, определенные выше,
в присутствии кислоты с получением сложноэфирного производного пропионовой кислоты, представленного общей формулой [2]:

где R1 имеет значения, определенные выше,
и подвергание сложноэфирного производного пропионовой кислоты реакции гидролиза в присутствии основания, способ получения, в котором R1 представляет собой атом водорода или алкильную группу, является предпочтительным, способ получения, в котором R1 представляет собой атом водорода, метильную группу, этильную группу или пропильную группу, является более предпочтительным, и способ получения, в котором R1 представляет собой атом водорода или этильную группу, является еще более предпочтительным.
Способ получения, в котором используемая кислота представляет собой неорганическую кислоту, является предпочтительным, и способ получения, в котором используемая кислота представляет собой серную кислоту или хлороводород, является более предпочтительным.
В случае, когда кислотой является хлороводород, предпочтительным является способ получения, в котором R1 представляет собой атом водорода.
В случае, когда кислотой является серная кислота, предпочтительным является способ получения, в котором R1 представляет собой этильную группу.
Для получения 1-(3-(2-(1-бензотиофен-5-ил)этокси)пропил)азетидин-3-ола или его солей способом, включающим подвергание 1-(3-(2-(1-бензотиофен-5-ил)этокси)пропионил)азетидин-3-ола реакции восстановления с добавлением активатора в присутствии боргидрида щелочного металла, способ получения, в котором используемый боргидрид щелочного металла представляет собой боргидрид натрия, является предпочтительным.
Способ получения, в котором используемый активатор представляет собой протонную кислоту, такую как серная кислота и хлороводород и так далее, является предпочтительным, и способ получения, в котором используемый активатор представляет собой серную кислоту, является более предпочтительным.
В случае, когда активатор представляет собой серную кислоту, способ получения, в котором объем используемой серной кислоты составляет 0,5-0,6 моль на моль боргидрида щелочного металла, серную кислоту добавляют при 0-30°C от 10 минут до 6 часов и последующую реакцию проводят при 30-70°C, является предпочтительным.
Для получения производного дигидробензотиофена, представленного общей формулой [5]:

где X1 имеет значения, определенные выше,
способом получения, включающим осуществление взаимодействия производного (фенилтио)уксусной кислоты или его солей, представленных общей формулой [3]:

где X1 имеет значения, определенные выше,
с галогенирующим агентом с получением галогенангидрида, представленного общей формулой [4]:

где X1 и X2 имеют значения, определенные выше,
затем подвергание полученного галогенангидрида реакции внутримолекулярной циклизации в присутствии кислоты Льюиса, затем подвергание его реакции восстановления, способ получения, в котором X1 представляет собой атом хлора, атом брома или атом иода, является предпочтительным, способ получения, в котором X1 представляет собой атом брома или атом иода, является более предпочтительным, и способ получения, в котором X1 представляет собой атом брома, является еще более предпочтительным.
Для получения производного 5-галоген-1-бензотиофена, представленного общей формулой [6]:

где X1 имеет значения, определенные выше,
способом получения, включающим подвергание производного дигидротиофена, представленного общей формулой [5]:

где X1 имеет значения, определенные выше,
реакции дегидратации в присутствии кислотного катализатора, способ получения, в котором X1 представляет собой атом хлора, атом брома или атом иода, является предпочтительным, способ получения, в котором X1 представляет собой атом брома или атом иода, является более предпочтительным, и способ получения, в котором X1 представляет собой атом брома, является еще более предпочтительным.
Для выделения способом выкристаллизации кристаллов производного дигидробензотиофена, представленного общей формулой [5], является предпочтительным способ выделения кристаллизацией его из алифатического углеводорода, такого как гексан и циклогексан и так далее, способ выделения кристаллизацией его из гексана и циклогексана является более предпочтительным, и способ выделения кристаллизацией его из циклогексана является еще более предпочтительным.
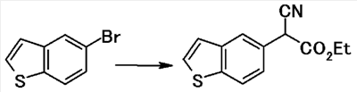
Для получения производного бензотиофена или его солей, представленных общей формулой [9]:

где R2 и R3 имеют значения, определенные выше,
способ получения, включающий подвергание производного бензотиофена, представленного общей формулой [7]:

где X1 имеет значения, определенные выше,
реакции связывания с производным малоновой кислоты или его солями, представленными общей формулой [8a] в присутствии палладиевого катализатора и основания:

где R3a представляет собой незамещенную или замещенную алкилоксикарбонильную, циклоалкилоксикарбонильную или аралкилоксикарбонильную группу; R2 имеет значения, определенные выше,
является предпочтительным, способ получения, в котором R2 представляет собой алкилоксикарбонильную группу, аралкилоксикарбонильную группу или цианогруппу; R3a представляет собой алкилоксикарбонильную группу или аралкилоксикарбонильную группу, является более предпочтительным, способ получения, в котором R2 представляет собой C1-4алкилоксикарбонильную группу, apC1-4алкилоксикарбонильную группу или цианогруппу, R3a представляет собой C1-4алкилоксикарбонильную группу или apC1-4алкилоксикарбонильную группу, является еще более предпочтительным.
Способ получения, в котором X1 представляет собой атом хлора, атом брома или атом иода, является предпочтительным, и способ получения, в котором X1 представляет собой атом брома или атом иода, является более предпочтительным.
Способ получения, в котором X1 присоединен в 4- или 5-положении бензотиофенового цикла, является предпочтительным, и способ получения, в котором X1 присоединен в 5-положении бензотиофенового цикла, является более предпочтительным.
Для получения производного бензотиофенуксусной кислоты или его солей, представленных общей формулой [10]:

где R4 имеет значения, определенные выше,
способ получения, включающий осуществление взаимодействия производного бензотиофена или его солей, представленных общей формулой [9a]:

где R2 и R3a имеют значения, определенные выше,
с кислотой или основанием, подвергание его реакции декарбоксилирования, если это необходимо, является предпочтительным, способ получения, в котором R2 представляет собой алкилоксикарбонильную группу, аралкилоксикарбонильную группу или цианогруппу, R3a представляет собой алкилоксикарбонильную группу или аралкилоксикарбонильную группу, является более предпочтительным, и способ получения, в котором R2 представляет собой C1-4алкилоксикарбонильную группу, apC1-4алкилоксикарбонильную группу или цианогруппу, R3a представляет собой C1-4алкилоксикарбонильную группу или apC1-4алкилоксикарбонильную группу, является еще более предпочтительным.
Способ получения, в котором группа, представленная общей формулой:

где R2 и R3a имеют значения, определенные выше, присоединена в 4- или 5-положении бензотиофенового цикла, является предпочтительным, и способ получения, в котором указанная группа присоединена в 5-положении бензотиофенового цикла, является более предпочтительным.
Способ получения, в котором группа, представленная общей формулой:

где R4 имеет значения, определенные выше, присоединена в 4- или 5-положении бензотиофенового цикла, является предпочтительным, и способ получения, в котором указанная группа присоединена в 5-положении бензотиофенового цикла, является более предпочтительным.
Способ получения, в котором R4 представляет собой атом водорода или незамещенную или замещенную алкильную, циклоалкильную или аралкильную группу, является предпочтительным, способ получения, в котором R4 представляет собой атом водорода, алкильную группу или аралкильную группу, является предпочтительным, и способ получения, в котором R4 представляет собой атом водорода, C1-4алкильную группу или apC1-4 алкильную группу, является более предпочтительным.
В качестве предпочтительных соединений для указанного сложноэфирного производного пропионовой кислоты, представленного общей формулой [2]:

где R1 имеет значения, определенные выше,
служат следующие соединения.
Соединение, в котором R1 представляет собой атом водорода или алкильную группу, является предпочтительным, соединение, в котором R1 представляет собой атом водорода, метильную группу, этильную группу или пропильную группу, является более предпочтительным, и соединение, в котором R1 представляет собой атом водорода или этильную группу, является еще более предпочтительным.
В качестве предпочтительных соединений для указанного производного дигидробензотиофена, представленного общей формулой [5]:

где X1 имеет значения, определенные выше,
служат следующие соединения.
Соединение, в котором X1 представляет собой атом хлора, атом брома или атом иода, является предпочтительным, соединение, в котором X1 представляет собой атом брома или атом иода, является более предпочтительным, и соединение, в котором X1 представляет собой атом брома, является еще более предпочтительным.
В качестве предпочтительных соединений для указанного производного бензотиофена или его солей, представленных общей формулой [9]:

где R2 и R3 имеют значения, определенные выше,
служат следующие соединения.
Соединение, в котором R2 представляет собой алкилоксикарбонильную, циклоалкилоксикарбонильную или аралкилоксикарбонильную группу или цианогруппу, является предпочтительным, соединение, в котором R2 представляет собой алкилоксикарбонильную группу, аралкилоксикарбонильную группу или цианогруппу, является более предпочтительным, и соединение, в котором R2 представляет собой C1-4алкилоксикарбонильную группу, apC1-4алкилоксикарбонильную группу или цианогруппу, является еще более предпочтительным.
Соединение, в котором R3 представляет собой алкилоксикарбонильную, циклоалкилоксикарбонильную или аралкилоксикарбонильную группу, является предпочтительным, соединение, в котором R3 представляет собой алкилоксикарбонильную группу или аралкилоксикарбонильную группу, является более предпочтительным, и соединение, в котором R3 представляет собой C1-4алкилоксикарбонильную группу или apC1-4алкилоксикарбонильную группу, является еще более предпочтительным.
Соединение, в котором группа, представленная общей формулой:

где R2 и R3 имеют значения, определенные выше,
присоединена в 4- или 5-положении бензотиофенового цикла, является предпочтительным, и соединение, в котором указанная группа присоединена в 5-положении бензотиофенового цикла, является более предпочтительным.
В качестве типичных соединений общей формулы [9] или их солей по настоящему изобретению указаны, например, следующие соединения.
В таблице Et представляет собой этильную группу, tBu представляет собой трет-бутильную группу.
Далее разъясняются способы получения по настоящему изобретению.
[Способ получения 1]

где X1 и X2 имеют значения, определенные выше.
Соединение общей формулы [5] может быть получено превращением соединения общей формулы [3] или его солей в галогенангидрида, затем подверганием полученного галогенангидрида реакции внутримолекулярной циклизации в присутствии кислоты Льюиса, затем подверганием его реакции восстановления.
Соединение общей формулы [5] может быть легко превращено в соединение общей формулы [6] подверганием его реакции дегидратации в присутствии кислотного катализатора.
Соединение общей формулы [3] или его соли, например, могут быть легко получены и с хорошим выходом, осуществлением взаимодействия тиофенола с хлоруксусной кислотой в присутствии основания с получением (фенилтио)уксусной кислоты, затем подверганием (фенилтио)уксусной кислоты реакции галогенирования или осуществлением взаимодействия 4-галогентиофенола с хлоруксусной кислотой в присутствии основания.
Кроме того, соль соединения общей формулы [3], особо не ограничивают, но предлагают, например, соли со щелочным металлом, такие как натрий, калий, цезий и тому подобное;
соли со щелочноземельным металлом, такие как кальций, магний и тому подобное;
аммониевые соли;
и соли с азотсодержащим органическим основанием, таким как триметиламин, триэтиламин, трибутиламин, N,N-диизопропилэтиламин, пиридин, N-метилпиперидин, N-метилморфолин, диэтиламин, дициклогексиламин и тому подобное.
Данный способ получения объясняется ниже более подробно.
Реакция внутримолекулярной циклизации:
Соединение общей формулы [13] может быть получено осуществлением взаимодействия соединение общей формулы [3] или его солей с галогенирующим агентом с получением галогенангидрида, затем подверганием полученного галогенангидрида реакции внутримолекулярной циклизации в присутствии кислоты Льюиса.
Данную реакцию обычно осуществляют в присутствии растворителя, причем используемый растворитель, если он не оказывает вредного влияния на реакцию, особо не ограничивают, но предлагают, например, алифатические галогенированные углеводороды, такие как дихлорметан, хлороформ, дихлорэтан и тому подобное;
нитросоединения, такие как нитрометан, нитробензол и тому подобное;
и дисульфид углерода и тому подобное, причем указанные растворители могут быть использованы в смеси.
В качестве предпочтительных растворителей предлагаются алифатические галогенированные углеводороды, причем дихлорметан является более предпочтительным.
Количество используемого растворителя особо не ограничивают, но предпочтительно оно равно 1-50-кратному объему по массе (об./масс.) соединения общей формулы [3] или его солей, и более предпочтительно оно равно 3-15-кратному указанному объему (об./масс.).
В качестве галогенирующего агента, используемого в данной реакции, предлагаются, например, оксихлорид фосфора, оксибромид фосфора, трихлорид фосфора, пентахлорид фосфора, тионилхлорид, тионилбромид и оксалилхлорид, и тионилхлорид является предпочтительным.
Количество используемого галогенирующего агента различно в зависимости от вида галогенирующего агента, но, например, в случае тионилхлорида, оно может быть равно или превышать 0,5 моль на моль соединения общей формулы [3] или его солей, и предпочтительно составляет 1-2 моль.
В качестве кислоты Льюиса, используемой в данной реакции, предлагаются, например, хлорид алюминия, бромид алюминия, трифторид бора, тетрахлорид титана, хлорид железа, хлорид олова, хлорид ртути, серная кислота и тому подобное, и хлорид алюминия является предпочтительным.
Количество используемой кислоты Льюиса может быть равно или превышать 1 моль на моль соединения общей формулы [3] или его солей, и предпочтительно составляет 1-5 моль.
Температуру реакции особо не ограничивают, но она находится в интервале от
-20°C до температуры, равной или превышающей точку кипения растворителя, и предпочтительно составляет 0-70°C.
Время реакции особо не ограничивают, но оно находится в интервале от 10 минут до 50 часов и предпочтительно составляет от 30 минут до 20 часов.
Соединение общей формулы [13], полученное описанным выше образом, может быть выделено и очищено, но предпочтительно переходить к следующей реакции без выделения.
Реакция восстановления:
Соединение общей формулы [5] может быть получено подверганием соединения общей формулы [13] реакции восстановления. Данную реакцию обычно осуществляют в присутствии растворителя, причем используемый растворитель, если он не оказывает вредного влияния на реакцию, особо не ограничивают, но предлагают, например, алифатические галогенированные углеводороды, такие как дихлорметан, хлороформ, дихлорэтан и тому подобное;
простые эфиры, такие как тетрагидрофуран, 1,2-диметоксиэтан, бис(2-метоксиэтиловый) эфир, диоксан и тому подобное;
амиды, такие как N,N-диметилформамид, N,N-диметилацетамид, 1-метил-2-пирролидон и тому подобное;
сульфоксиды, такие как диметилсульфоксид и тому подобное;
спирты, такие как метанол, этанол, пропанол, 2-пропанол, бутанол и тому подобное;
нитрилы, такие как ацетонитрил и тому подобное;
сложные эфиры, такие как метилацетат, этилацетат и тому подобное;
нитросоединения, такие как нитрометан, нитробензол и тому подобное;
ароматические углеводороды, такие как бензол, толуол, ксилол и тому подобное;
и воду и тому подобное, причем указанные растворители могут быть использованы в смеси.
В качестве предпочтительных растворителей предлагаются смешанные растворители из алифатических галогенированных углеводородов и спиртов, и смешанный растворитель из дихлорметана и метанола является более предпочтительным.
Количество используемого растворителя особо не ограничивают, но предпочтительно оно равно 1-50-кратному объему по массе соединения общей формулы [13], и более предпочтительно оно равно 3-15-кратному указанному объему (об./масс.).
В качестве восстановителя, используемого в данной реакции, предлагаются, например, щелочной металл, такой как литий, натрий, калий и тому подобное;
щелочноземельный металл, такой как магний, кальций и тому подобное;
металл, такой как цинк, алюминий, хром, титан, железо, самарий, селен, гидросульфит натрия и тому подобное, и соли указанных металлов;
гидрид металла, такой как диизобутилалюминийгидрид, триалкилалюминийгидрид, соединение гидрида станнила, гидросилан и тому подобное;
комплексное соединение боргидрида, такое как боргидрид натрия, боргидрид лития, боргидрид калия и тому подобное;
комплексное соединение гидрида алюминия, такое как литийалюминийгидрид и тому подобное;
и боран и алкилборан, и тому подобное.
В качестве предпочтительного восстановителя прелагается комплексное соединение боргидрида, и боргидрид натрия является более предпочтительным.
Количество используемого восстановителя различно в зависимости от вида восстановителя, но, например, в случае комплексного соединения боргидрида оно может быть равно или превышать 0,25 моль на моль соединения общей формулы [13], и более предпочтительно оно равно 0,25-2 моль.
Температуру реакции особо не ограничивают, но она находится в интервале от
-20°C до температуры, равной или превышающей точку кипения растворителя, и предпочтительно составляет 0-70°C.
Время реакции особо не ограничивают, но оно находится в интервале от 10 минут до 50 часов, и предпочтительно составляет от 30 минут до 20 часов.
Соединение общей формулы [5], полученное описанным выше образом, может быть использовано, как оно есть, в следующей реакции без выделения, но предпочтительно выделять его выкристаллизацией кристалла.
Способ кристаллизации из алифатических углеводородов, таких как гексан, циклогексан и тому подобное, является предпочтительным, способ кристаллизации из гексана или циклогексана является более предпочтительным, и способ кристаллизации из циклогексана является еще более предпочтительным.
Реакция дегидратации:
Соединение общей формулы [6] может быть получено подверганием соединения общей формулы [5] реакции дегидратации в присутствии кислотного катализатора.
Данную реакцию обычно осуществляют в присутствии растворителя, причем используемый растворитель, если он не оказывает вредного влияния на реакцию, особо не ограничивают, но предлагают, например, алифатические углеводороды, такие как гексан, циклогексан и тому подобное;
ароматические углеводороды, такие как бензол, толуол, ксилол и тому подобное;
алифатические галогенированные углеводороды, такие как дихлорметан, хлороформ, дихлорэтан и тому подобное;
простые эфиры, такие как тетрагидрофуран, 1,2-диметоксиэтан, бис(2-метоксиэтиловый) эфир, диоксан и тому подобное;
амиды, такие как N,N-диметилформамид, N,N-диметилацетамид, 1-метил-2-пирролидон и тому подобное;
сульфоксиды, такие как диметилсульфоксид и тому подобное;
сложные эфиры, такие как метилацетат, этилацетат и тому подобное;
кетоны, такие как ацетон, 2-бутанон и тому подобное;
спирты, такие как метанол, этанол, пропанол, 2-пропанол, бутанол и тому подобное;
нитрилы, такие как ацетонитрил и тому подобное;
алифатические карбоновые кислоты, такие как уксусная кислота, пропионовая кислота и тому подобное;
и воду и тому подобное; причем указанные растворители могут быть использованы в смеси.
В качестве предпочтительных растворителей предлагаются кетоны, и ацетон является более предпочтительным.
Количество используемого растворителя особо не ограничивают, но предпочтительно оно равно 1-50-кратному объему по массе соединения общей формулы [5], и более предпочтительно оно равно 1-10-кратному указанному объему (об./масс.).
В качестве кислотного катализатора, используемого в данной реакции, предлагаются, например, кислоты Бренстеда, такие как хлороводородная кислота, серная кислота, метансульфоновая кислота, трифторметансульфоновая кислота, п-толуолсульфоновая кислота, дихлоруксусная кислота и тому подобное;
и кислота Льюиса, такая как хлорид алюминия, трифторид бора, трихлорид бора и тому подобное, и п-толуолсульфоновая кислота является предпочтительной.
Количество используемого кислотного катализатора может быть равно или превышать 0,0001 моль на моль соединения общей формулы [5], и предпочтительно составляет 0,001-1 моль.
Температуру реакции особо не ограничивают, но она находится в интервале от
-20°C до температуры, равной или превышающей точку кипения растворителя, и предпочтительно составляет 0-70°C.
Время реакции особо не ограничивают, но оно находится в интервале от 10 минут до 50 часов, и предпочтительно составляет от 30 минут до 20 часов.
[Способ получения 2]

где R2, R3 и X1 имеют значения, определенные выше.
Соединение общей формулы [8] или его соли, например, диэтилмалонат, ди(трет-бутил)малонат, этилцианоацетат, трет-бутилцианоацетат, малононитрил и тому подобное, коммерчески доступны.
Соединение общей формулы [9] или его соли может быть получено подверганием соединения общей формулы [7] реакции связывания с соединением общей формулы [8] или его солями в присутствии основания и палладиевого катализатора, в присутствии или в отсутствие лиганда, в присутствии или в отсутствие восстановителя.
Данную реакцию обычно осуществляют в присутствии растворителя, причем используемый растворитель, если он не оказывает вредного влияния на реакцию, особо не ограничивают, но предлагают, например, алифатические углеводороды, такие как гексан, циклогексан и тому подобное;
галогенированные углеводороды, такие как дихлорметан, хлороформ, дихлорэтан и тому подобное;
простые эфиры, такие как тетрагидрофуран, 1,2-диметоксиэтан, бис(2-метоксиэтиловый) эфир, диоксан и тому подобное;
ароматические углеводороды, такие как бензол, толуол, ксилол и тому подобное;
амиды, такие как N,N-диметилформамид, N,N-диметилацетамид, 1-метил-2-пирролидон и тому подобное;
сульфоксиды, такие как диметилсульфоксид и тому подобное;
сложные эфиры, такие как этилацетат, бутилацетат и тому подобное;
кетоны, такие как ацетон, 2-бутанон и тому подобное;
спирты, такие как метанол, этанол, пропанол, бутанол, 2-пропанол, 2-метил-2-пропанол и тому подобное;
и нитрилы, такие как ацетонитрил и тому подобное, и указанные растворители могут быть использованы в смеси.
Количество используемого растворителя особо не ограничивают, но предпочтительно оно равно 1-20-кратному объему по массе соединения общей формулы [7], и более предпочтительно оно равно 1-10-кратному указанному объему (об./масс.).
В качестве основания, используемого в данной реакции, предлагаются, например, алкоксид металла, такой как метоксид натрия, этоксид натрия, трет-бутоксид калия и трет-бутоксид натрия и тому подобное;
неорганическое основание, такое как гидроксид натрия, гидроксид калия, карбонат натрия, карбонат калия, карбонат цезия, карбонат бария, фосфат натрия, фосфат калия, гидрид натрия и гидрид калия и тому подобное;
органическое основание, такое как триэтиламин, N,N-диизопропилэтиламин, пиридин и тому подобное.
Количество используемого основания может быть равно или превышать 1 моль на моль соединения общей формулы [7], предпочтительно равно 2-10 моль, и более предпочтительно равно 2-4 моль.
В качестве палладиевого катализатора, используемого в данной реакции, предлагаются, например, металлический палладий, такой как палладий на углероде, палладиевая чернь и тому подобное;
неорганическая соль палладия, такая как хлорид палладия;
органическая соль палладия, такая как ацетат палладия;
органопалладиевый комплекс, такой как тетракис(трифенилфосфин)палладий(0), хлорид бис(трифенилфосфин)палладия(II), 1,1′-хлорид бис(дифенилфосфино)ферроценпалладия(II), трис(дибензилиденацетон)дипалладий(0) и тому подобное;
и органопалладиевый комплекс на полимере, такой как бис(ацетат)трифенилфосфинпалладий(II), нанесенный на полимер, ди(ацетат)дициклогексилфосфинпалладий(II), нанесенный на полимер, и тому подобное.
Количество используемого палладиевого катализатора особо не ограничивают, но предпочтительно оно равно 0,0001-1 моль на моль соединения общей формулы [7], и более предпочтительно оно равно 0,005-0,1 моль.
В качестве лиганда, используемого, если требуется, в данной реакции, предлагаются например, триалкилфосфины, такие как триметилфосфин, три(трет-бутил)фосфин и тому подобное;
трициклоалкилфосфины, такие как трициклогексилфосфин и тому подобное;
триарилфосфины, такие как трифенилфосфин, тритолилфосфин и тому подобное;
триалкилфосфиты, такие как триметилфосфит, триэтилфосфит, трибутилфосфит и тому подобное;
трициклоалкилфосфиты, такие как трициклогексилфосфит и тому подобное;
триарилфосфиты, такие как трифенилфосфит и тому подобное;
соль имидазолия, такая как 1,3-бис(2,4,6-триметилфенил)имидазолийхлорид и тому подобное;
дикетоны, такие как ацетилацетон, октафторацетилацетон и тому подобное;
амины, такие как триметиламин, триэтиламин, трипропиламин, триизопропиламин и тому подобное;
1,1′-бис(дифенилфосфино)ферроцен
и 2,2-бис(дифенилфосфино)-1,1′-бинафтил и тому подобное.
Количество используемого лиганда особо не ограничивают, но предпочтительно оно равно 0,0001-2 моль на моль соединения общей формулы [7], и более предпочтительно оно равно 0,005-0,2 моль.
В качестве восстановителя, используемого, если требуется, в данной реакции, предлагаются, например, комплексное соединение боргидрида, такое как боргидрид лития, боргидрид натрия, боргидрид кальция, триацетоксинатрийборгидрид, натрийцианоборгидрид и тому подобное.
Количество используемого восстановителя особо не ограничивают, но предпочтительно оно равно 0,0001-1 моль на моль соединения общей формулы [7], и более предпочтительно оно равно 0,01-0,1 моль.
Количество соединения общей формулы [8] составляет 1-5 моль на моль соединения общей формулы [7], и более предпочтительно оно равно 1-2 моль.
Данная реакция может быть осуществлена при 0-200°C, и предпочтительно при 50-150°С от 1 минуты до 24 часов.
Соединение общей формулы [9] или его соли, полученное описанным выше образом, может быть использовано, как оно есть, в следующей реакции без выделения.
[Способ получения 3]

где R2, R3 и R4 имеют значения, определенные выше.
Соединение общей формулы [10] или его соли могут быть получены осуществлением взаимодействия соединения общей формулы [9] или его солей с кислотой или основанием в присутствии или в отсутствие воды, в присутствии или в отсутствие спирта, подверганием его реакции декарбоксилирования, если это необходимо.
Данную реакцию обычно осуществляют в присутствии растворителя, причем используемый растворитель, если он не оказывает вредного влияния на реакцию, особо не ограничивают, но предлагают, например, алифатические углеводороды, такие как гексан, циклогексан и тому подобное;
галогенированные углеводороды, такие как дихлорметан, хлороформ, дихлорэтан и тому подобное;
простые эфиры, такие как тетрагидрофуран, 1,2-диметоксиэтан, бис(2-метоксиэтиловый) эфир, диоксан и тому подобное;
ароматические углеводороды, такие как бензол, толуол, ксилол и тому подобное;
амиды, такие как N,N-диметилформамид, N,N-диметилацетамид, 1-метил-2-пирролидон и тому подобное;
сульфоксиды, такие как диметилсульфоксид и тому подобное;
сложные эфиры, такие как этилацетат, бутилацетат и тому подобное;
кетоны, такие как ацетон, 2-бутанон и тому подобное;
спирты, такие как метанол, этанол, пропанол, бутанол, 2-пропанол, 2-метил-2-пропанол и тому подобное;
гликоли, такие как этиленгликоль, пропиленгликоль, диэтиленгликоль и тому подобное;
нитрилы, такие как ацетонитрил и тому подобное,
и воду и тому подобное, причем указанные растворители могут быть использованы в смеси.
Количество используемого растворителя особо не ограничивают, но предпочтительно оно равно 1-50-кратному объему по массе соединения общей формулы [9] или его соли, и более предпочтительно оно равно 1-15-кратному указанному объему (об./масс.).
В качестве кислоты, используемой в данной реакции, предлагаются неорганическая кислота, такая как хлороводородная кислота, серная кислота, фосфорная кислота, хлороводород, бромоводород и тому подобное;
органическая карбоновая кислота, такая как уксусная кислота, трихлоруксусная кислота, трифторуксусная кислота и тому подобное,
и органическая сульфоновая кислота, такая как метансульфоновая кислота, п-толуолсульфоновая кислота и тому подобное.
Количество используемой кислоты может быть равно или превышать 0,001 моль на моль соединения общей формулы [9] или его солей, и предпочтительно составляет 0,01-5 моль.
Кроме того, кислота может быть использована в качестве растворителя.
Кроме того, в качестве основания, используемого в данной реакции, предлагаются, например, алкоксид металла, такой как метоксид натрия, этоксид натрия, трет-бутоксид калия и трет-бутоксид натрия и тому подобное;
неорганическое основание, такое как гидроксид натрия, гидроксид калия, гидроксид бария, карбонат натрия, карбонат калия и тому подобное,
и органическое основание, такое как триэтиламин, N,N-диизопропилэтиламин, пиридин и тому подобное.
Количество используемого основания равно 2-10 моль на моль соединения общей формулы [9] или его солей, и предпочтительно составляет 2-5 моль.
Количество воды, используемой, если требуется, в данной реакции, особо не ограничивают, но предпочтительно оно равно 0,5-5-кратному объему по массе соединения общей формулы [9] или его солей, чтобы обеспечить выполнение водой функции растворителя.
В качестве спирта, используемого, если требуется, в данной реакции, предлагаются например, первичные спирты, такие как метанол, этанол, пропанол, бутанол и тому подобное,
и гликоли, такие как этиленгликоль, пропиленгликоль, диэтиленгликоль и тому подобное.
Количество используемого спирта особо не ограничивают, но предпочтительно оно равно 0,5-5-кратному объему по массе соединения общей формулы [9] или его солей, чтобы обеспечить выполнение спиртом функции растворителя.
Данная реакция может быть осуществлена при 0-200°C, и предпочтительно при 20-150°С в интервале времени от 1 минуты до 24 часов.
Реакцию декарбоксилирования, которая может быть проведена, если это необходимо, осуществляют нагреванием.
В качестве кислоты, используемой, если требуется, в данной реакции, предлагаются, например, неорганическая кислота, такая как хлороводородная кислота, серная кислота, фосфорная кислота, хлороводород, бромоводород и тому подобное;
органическая карбоновая кислота, такая как уксусная кислота, трихлоруксусная кислота, трифторуксусная кислота и тому подобное,
и органическая сульфоновая кислота, такая как метансульфоновая кислота, п-толуолсульфоновая кислота и тому подобное.
Количество используемой кислоты может быть равно или превышать 0,001 моль на моль соединения общей формулы [9] или его солей, и предпочтительно составляет 0,01-5 моль.
Кроме того, кислота может быть использована в качестве растворителя.
Данная реакция может быть осуществлена, если это необходимо, в сосуществующем растворителе.
Причем используемый растворитель, если он не оказывает вредного влияния на реакцию, особо не ограничивают, но предлагают, например, алифатические углеводороды, такие как гексан, циклогексан и тому подобное;
галогенированный углеводород, такой как дихлорметан, хлороформ, дихлорэтан и тому подобное;
простые эфиры, такие как тетрагидрофуран, 1,2-диметоксиэтан, бис(2-метоксиэтиловый) эфир, диоксан и тому подобное;
ароматические углеводороды, такие как бензол, толуол, ксилол и тому подобное;
амиды, такие как N,N-диметилформамид, N,N-диметилацетамид, 1-метил-2-пирролидон и тому подобное;
сульфоксиды, такие как диметилсульфоксид и тому подобное;
сложные эфиры, такие как этилацетат, бутилацетат и тому подобное;
кетоны, такие как ацетон, 2-бутанон и тому подобное;
спирты, такие как метанол, этанол, пропанол, бутанол, 2-пропанол, 2-метил-2-пропанол и тому подобное;
гликоли, такие как этиленгликоль, пропиленгликоль, диэтиленгликоль и тому подобное;
нитрилы, такие как ацетонитрил и тому подобное,
и воду и тому подобное, причем указанные растворители могут быть использованы в смеси.
Данная реакция может быть осуществлена при 50-200°C, и предпочтительно при 50-150°С от 1 минуты до 24 часов.
[Способ получения 4]

где R4 имеет значения, определенные выше.
2-(1-Бензотиофен-5-ил)этанол соединения формулы [15] может быть получен подверганием соединения общей формулы [11] или его солей реакции гидролиза, если это необходимо, и превращением его в (1-бензотиофен-5-ил)уксусную кислоту или ее соли соединения формулы [14], затем подверганием (1-бензотиофен-5-ил)уксусной кислоты или ее солей реакции восстановления с добавлением активатора в присутствии боргидрида щелочного металла.
Данную реакцию обычно осуществляют в присутствии растворителя, причем используемый растворитель, если он не оказывает вредного влияния на реакцию, особо не ограничивают, но предлагают, например, простые эфиры, такие как тетрагидрофуран, 1,2-диметоксиэтан, бис(2-метоксиэтиловый) эфир, диоксан и тому подобное, и тетрагидрофуран является предпочтительным.
Кроме того, указанные растворители могут быть смешаны с растворителем из галогенированных углеводородов, таким как дихлорметан, хлороформ и тому подобное,
и могут быть использованы ароматические углеводороды, такие как бензол, толуол, ксилол и тому подобное,
и алифатические углеводороды, такие как гексан, циклогексан, октан и тому подобное, и смешанные растворители.
Количество используемого растворителя особо не ограничивают, но предпочтительно оно равно 1-20-кратному объему по массе соединения формулы [14] или его солей, и предпочтительно равно 2-10-кратному указанному объему (об./масс.).
В качестве боргидрида щелочного металла, используемого в данной реакции, предлагаются, например, боргидрид натрия, боргидрид лития, боргидрид калия и тому подобное, и боргидрид натрия является предпочтительным.
Количество используемого боргидрида щелочного металла может быть равно или превышать 1 моль на моль соединения формулы [14] или его солей, предпочтительно равно 1-10 моль, и более предпочтительно равно 1-2 моль.
В качестве активатора, используемого в данной реакции, предлагаются, например, протонная кислота, такая как серная кислота, хлороводород, трифторуксусная кислота и тому подобное, и серная кислота и хлороводород являются предпочтительными.
Количество используемого активатора различно в зависимости от вида активатора, но, например, в случае серной кислоты оно предпочтительно равно 0,5-1 моль на моль боргидрида щелочного металла, и более предпочтительно оно равно 0,5-0,6 моль.
Кроме того, время добавления активатора различно в зависимости от вида активатора, но в случае серной кислоты оно предпочтительно находится в интервале от 10 минут до 6 часов, и более предпочтительно оно находится в интервале от 30 минут до 2 часов.
Кроме того, активатор может быть растворен в подходящем растворителе и может быть добавлен в растворенном виде.
Температуру реакции особо не ограничивают, но она может находится в интервале от -20 до 150°C, и предпочтительно составляет 0-80°C.
Кроме того, процесс с добавлением активатора при 0-30°C и последующей реакцией при 40-80°C, является более предпочтительным, потому что может быть подавлено образование побочных продуктов.
Кроме того, время реакции особо не ограничивают, но оно находится в интервале от 10 минут до 50 часов, и предпочтительно составляет 1-20 часов.
Кроме того, реакция гидролиза соединения общей формулы [11] или его солей, которая может быть осуществлена, если это необходимо, может быть выполнена сама по себе, например, соединение формулы [14] или его соли могут быть получены подверганием их реакции гидролиза в присутствии основания.
Данную реакцию обычно осуществляют в присутствии растворителя, причем используемый растворитель, если он не оказывает вредного влияния на реакцию, особо не ограничивают, но предлагают, например, алифатические углеводороды, такие как гексан, циклогексан и тому подобное;
ароматические углеводороды, такие как бензол, толуол, ксилол и тому подобное;
галогенированные углеводороды, такие как дихлорметан, хлороформ и тому подобное;
простые эфиры, такие как тетрагидрофуран, 1,2-диметоксиэтан, бис(2-метоксиэтиловый) эфир, диоксан и тому подобное;
сульфоксиды, такие как диметилсульфоксид и тому подобное;
спирты, такие как метанол, этанол, пропанол, бутанол, 2-пропанол, трет-бутанол и тому подобное,
и воду и тому подобное, и указанные растворители могут быть использованы в смеси.
В качестве предпочтительных растворителей предлагаются смешанный растворитель из ароматических углеводородов, таких как бензол, толуол и ксилол, и спиртов, и смешанный растворитель из спиртов и воды, причем смешанный растворитель из толуола и метанола и смешанный растворитель из метанола и воды являются предпочтительными.
Количество используемого растворителя особо не ограничивают, но предпочтительно оно равно 0,5-10-кратному объему по массе соединения общей формулы [11] или его солей, и более предпочтительно оно равно 0,5-5-кратному указанному объему (об./масс.).
В качестве основания, используемого в данной реакции, предлагаются, например, алкоксид металла, такой как метоксид натрия, этоксид натрия, трет-бутоксид калия, трет-бутоксид натрия и тому подобное,
и неорганическое основание, такое как гидроксид натрия, гидроксид калия, гидроксид бария, карбонат натрия, карбонат калия и тому подобное.
В качестве предпочтительного основания предлагается неорганичекое основание, и гидроксид натрия и гидроксид калия являются предпочтительными.
Количество используемого основания может быть равно или превышать 1 моль на моль соединения общей формулы [11] или его солей, и предпочтительно составляет 1-3 моль.
Данную реакцию предпочтительно выполняют добавлением воды.
Количество добавляемой воды может быть равно или превышать 1 моль на моль соединения общей формулы [11] или его солей, предпочтительно равно 0,1-10-кратному указанному объему (об./масс.), и более предпочтительно оно равно 0,3-2-кратному указанному объему (об./масс.), чтобы обеспечить выполнение водой функции растворителя.
Температуру реакции особо не ограничивают, но она может находиться в интервале от 0°C до температуры, равной или превышающей точку кипения растворителя, и предпочтительно составляет 10-40°C.
Время реакции особо не ограничивают, но оно может находится в интервале от 10 минут до 50 часов, и предпочтительно составляет 1-24 часа.
Соединение формулы [14] или его соли, полученные описанным выше образом, могут быть выделены из реакционной смеси после окончания реакции обычным образом.
Например, после окончания реакции они могут быть выделены подкислением разбавленной хлороводородной кислотой, экстракцией органическим растворителем, таким как толуол, с последующим удалением растворителя.
Кроме того, они могут быть выделены в виде соли добавлением основания в экстракт.
Что касается соли соединения формулы [14], то соль особо не ограничивают, но предлагают, например, соли со щелочным металлом, таким как натрий, калий, цезий и тому подобное;
соли со щелочноземельным металлом, таким как кальций, магний и тому подобное;
аммониевые соли,
и соли с азотсодержащим органическим основанием, таким как триметиламин, триэтиламин, трибутиламин, N,N-диизопропилэтиламин, пиридин, N-метилпиперидин, N-метилморфолин, диэтиламин, дициклогексиламин и тому подобное.
В качестве предпочтительной соли предлагается соль щелочного металла, такого как натрий и калий, и натриевая соль является предпочтительной.
[Способ получения 5]

где R1 имеет значения, определенные выше.
3-(2-(1-Бензотиофен-5-ил)этокси)пропионовая кислота соединения формулы [17] или ее соли могут быть получены подверганием соединения формулы [15] реакции присоединения по Михаэлю с использованием акрилонитрила в присутствии основания с получением соединения формулы [16], затем подверганием соединения формулы [16] взаимодействию со спиртом общей формулы [1] в присутствии кислоты, затем превращением его в соединение общей формулы [2] и подверганием соединения общей формулы [2] реакции гидролиза в присутствии основания.
Данный способ получения объясняется ниже более подробно.
Реакция присоединения по Михаэлю:
Соединение формулы [16] может быть получено подверганием соединения формулы [15] реакции присоединения по Михаэлю с использованием акрилонитрила в присутствии основания.
Данную реакцию обычно осуществляют в присутствии растворителя, причем используемый растворитель, если он не оказывает вредного влияния на реакцию, особо не ограничивают, но предлагают, например, алифатические углеводороды, такие как гексан, циклогексан и тому подобное;
ароматические углеводороды, такие как бензол, толуол, ксилол и тому подобное;
галогенированные углеводороды, такие как дихлорметан, хлороформ и тому подобное;
простые эфиры, такие как тетрагидрофуран, 1,2-диметоксиэтан, бис(2-метоксиэтиловый) эфир, диоксан и тому подобное;
сульфоксиды, такие как диметилсульфоксид и тому подобное;
и третичные спирты, такие как трет-бутанол, трет-амиловый спирт и тому подобное, и указанные растворители могут быть использованы в смеси.
В качестве предпочтительных растворителей предлагаются одиночный растворитель из ароматических углеводородов и смешанный растворитель из ароматических углеводородов, простых эфиров и третичных спиртов, причем одиночный растворитель из ароматических углеводородов, смешанный растворитель из ароматических углеводородов и простых эфиров и смешанный растворитель из ароматических углеводородов и третичных спиртов являются предпочтительными, а толуол, смешанный растворитель из толуола и тетрагидрофурана, смешанный растворитель из толуола и трет-бутанола и смешанный растворитель из толуола и трет-амилового спирта являются более предпочтительными.
Количество используемого растворителя особо не ограничивают, но предпочтительно оно равно 0,5-10-кратному объему по массе соединения формулы [15], и более предпочтительно оно равно 0,5-3-кратному указанному объему (об./масс.).
Кроме того, в качестве добавки к указанным растворителям могут быть подмешаны первичные спирты, такие как небольшое количество метанола и этанола и тому подобное;
вторичные спирты, такие как 2-пропанол и тому подобное;
и вода и тому подобное.
Количество используемой добавки равно или меньше 0,5-кратного объема по массе соединения формулы [15], и более предпочтительно оно равно или меньше 0,1-кратного указанного объема (об./масс.).
В качестве основания, используемого в данной реакции, предлагаются, например, органическое основание, такое как 1,8-диазабицикло[5.4.0]ундец-7-ен (DBU), гидроксид тетраметиламмония, гидроксид бензилтриметиламмония и тому подобное;
алкоксид металла, такой как метоксид натрия, этоксид натрия, трет-бутоксид калия, трет-бутоксид натрия и тому подобное;
неорганическое основание, такое как гидроксид натрия, гидроксид калия, гидрид натрия и тому подобное.
В качестве предпочтительного основания предлагаются органическое основание и алкоксид металла, и более предпочтительными являются гидроксид бензилтриметиламмония и трет-бутоксид калия.
Количество используемого основания может быть равно или превышать 0,0001 моль на моль соединения формулы [15], и более предпочтительно оно равно 0,01-0,1 моль.
Кроме того, данная реакция может быть осуществлена в присутствии катализатора.
В качестве катализатора, если он требуется, предлагают обычно известную соль четвертичного аммония, предпочтительно тетрабутиламмонийбромид, бензилтриметиламмонийхлорид и бензилтриметиламмонийбромид.
Количество используемого катализатора может быть равно или превышать 0,0001 моль на моль соединения формулы [15], и более предпочтительно оно равно 0,01-0,1 моль.
В случае использования основания, например, неорганического основания, такого как гидроксид натрия и гидроксид калия и тому подобное, предпочтительно выполнять данную реакцию в присутствии катализатора.
Количество акрилонитрила, используемого в данной реакции, может быть равно или превышать 1 моль на моль соединения формулы [15], и более предпочтительно оно равно 1-2 моль.
Температуру реакции особо не ограничивают, но она может находится в интервале от 0°C до температуры, равной или превышающей точку кипения растворителя, и предпочтительно составляет 0-35°C.
Время реакции особо не ограничивают, но оно может находится в интервале от 1 минуты до 24 часов и предпочтительно составляет от 30 минут до 4 часов.
Соединение формулы [16], полученное описанным выше образом, может быть использовано, как оно есть, в следующей реакции без выделения.
Реакция этерификации:
Соединение общей формулы [2] может быть получено подверганием соединения формулы [16] взаимодействию со спиртом общей формулы [1] в присутствии кислоты.
В качестве кислоты, используемой в данной реакции, предлагаются, например, неорганическая кислота, такая как хлороводородная кислота, серная кислота, хлороводород, бромоводород и тому подобное,
и органическая сульфоновая кислота, такая как метансульфоновая кислота, п-толуолсульфоновая кислота и тому подобное.
В качестве предпочтительной кислоты предлагается неорганическая кислота, и серная кислота и хлороводород являются более предпочтительными.
Количество используемой кислоты различно в зависимости от количества используемого растворителя, но может быть равно или превышать 1 моль на моль соединения формулы [16] и предпочтительно оно равно 2-10 моль.
В качестве спирта, общей формулы [1], используемого в данной реакции, предлагаются алкиловые спирты с неразветвленной цепью, такие как метанол, этанол, пропанол, бутанол, пентанол и тому подобное;
алкиловые спирты с разветвленной цепью, такие как изобутанол и тому подобное;
замещенные алкиловые спирты, такие как метоксиэтанол, хлорэтанол, циклогексанэтанол и тому подобное;
и аралкиловые спирты, такие как бензиловый спирт, фенетиловый спирт и тому подобное.
В качестве предпочтительного спирта предлагаются алкиловые спирты с неразветвленной цепью, и метанол, этанол, пропанол и бутанол являются более предпочтительными.
Количество используемого спирта может быть равно или превышать 1 моль на моль соединения формулы [16], предпочтительно равно 0,5-10-кратному указанному объему (об./масс.), и более предпочтительно оно равно 0,5-5-кратному указанному объему (об./масс.), чтобы обеспечить выполнение спиртом функции растворителя.
В данной реакции в случае использования неорганической кислоты, такой как серная кислота и хлороводород и тому подобное, и органической сульфоновой кислоты, такой как метансульфоновая кислота и тому подобное, предпочтительно осуществлять реакцию добавлением воды.
Количество добавляемой воды может быть равно или превышать 1 моль на моль соединения формулы [16], предпочтительно равно 1-10 моль, и более предпочтительно оно равно 1-6 моль.
Данная реакция может быть осуществлена в присутствии растворителя.
В качестве используемого растворителя предлагают, хотя особо этим не ограничивают, такой же растворитель, как для реакции присоединения по Михаэлю.
Температуру реакции особо не ограничивают, но она может находится в интервале от 0°C до температуры, равной или превышающей точку кипения растворителя, и предпочтительно составляет 20-150°C.
Время реакции особо не ограничивают, но оно может находится в интервале от 10 минут до 50 часов, и предпочтительно составляет от 1-24 часов.
Соединение общей формулы [2], полученное описанным выше образом, может быть использовано, как оно есть, в следующей реакции без выделения.
Реакция гидролиза:
Соединение общей формулы [17] или его соли могут быть получены гидролизом соединения формулы [2] в присутствии основания.
Данную реакцию обычно осуществляют в присутствии растворителя, причем используемый растворитель, если он не оказывает вредного влияния на реакцию, особо не ограничивают, но предлагают, например, алифатические углеводороды, такие как гексан, циклогексан и тому подобное;
ароматические углеводороды, такие как бензол, толуол, ксилол и тому подобное;
галогенированные углеводороды, такие как дихлорметан, хлороформ и тому подобное;
простые эфиры, такие как тетрагидрофуран, 1,2-диметоксиэтан, диоксан и тому подобное;
сульфоксиды, такие как диметилсульфоксид и тому подобное;
спирты, такие как метанол, этанол, пропанол, бутанол, 2-пропанол, трет-бутанол и тому подобное;
и воду и тому подобное, причем указанные растворители могут быть использованы в смеси.
В качестве предпочтительных растворителей предлагаются смешанный растворитель из растворителя, используемого в реакции этерификации, и спиртов и смешанный растворитель из спиртов и воды, и смешанный растворитель из толуола и метанола и смешанный растворитель из метанола и воды являются более предпочтительными.
Количество используемого растворителя особо не ограничивают, но предпочтительно оно равно 0,5-10-кратному объему по массе соединения общей формулы [2], и более предпочтительно оно равно 0,5-3-кратному указанному объему (об./масс.).
В качестве основания, используемого в данной реакции, предлагаются, например, алкоксид металла, такой как метоксид натрия, этоксид натрия, трет-бутоксид калия, трет-бутоксид натрия и тому подобное, и неорганическое основание, такое как гидроксид натрия, гидроксид калия, гидроксид бария, карбонат натрия, карбонат калия и тому подобное.
В качестве предпочтительного основания предлагается неорганическое основание, и гидроксид натрия и гидроксид калия являются предпочтительными.
Количество используемого основания может быть равно или превышать 1 моль на моль соединения общей формулы [2], и более предпочтительно оно равно 1-3 моль.
Данную реакцию предпочтительно выполняют с добавлением воды.
Количество добавляемой воды может быть равно или превышать 1 моль на моль соединения общей формулы [2], предпочтительно равно 0,1-10-кратному указанному объему (об./масс.), и более предпочтительно оно равно 0,3-2-кратному указанному объему (об./масс.), чтобы обеспечить выполнение водой функции растворителя.
Температуру реакции особо не ограничивают, но она может находится в интервале от 0°C до температуры, равной или превышающей точку кипения растворителя, и предпочтительно составляет 10-40°C.
Время реакции особо не ограничивают, но оно может находится в интервале от 10 минут до 50 часов и предпочтительно составляет 1-24 часов.
Соединение формулы [17] или его соли, полученные описанным выше образом, могут быть выделены из реакционной смеси после окончания реакции обычным образом.
Например, после окончания реакции они могут быть выделены подкислением разбавленной хлороводородной кислотой с последующим экстрагированием органическим растворителем, таким как толуол, и удалением растворителя.
Кроме того, они могут быть выделены в виде соли добавлением основания в экстракт.
Что касается соли соединения формулы [17], то соль особо не ограничивают, но предлагают, например, соли со щелочным металлом, таким как натрий, калий, цезий и тому подобное;
соли со щелочноземельным металлом, таким как кальций, магний и тому подобное;
аммониевую соль,
и соли с азотсодержащим органическим основанием, таким как триметиламин, триэтиламин, трибутиламин, N,N-диизопропилэтиламин, пиридин, N-метилпиперидин, N-метилморфолин, диэтиламин, дициклогексиламин и тому подобное.
В качестве предпочтительной соли предлагается соль со щелочным металлом, таким как натрий и калий и тому подобное, и натриевая соль является более предпочтительной.
[Способы получения 6]

1-(3-(2-(1-Бензотиофен-5-ил)этокси)пропионил)азетидин-3-ол соединения формулы [18] может быть получен превращением соединения формулы [17] или его солей в реакционно-способное производное, затем подверганием реакционно-способного производного амидированию взаимодействием с 3-азетидинолом или его солями в присутствии основания.
Данный способ получения объясняется ниже более подробно.
Превращение в реакционно-способное производное:
Соединение формулы [17] или его солей может быть превращено в реакционно-способное производное осуществлением взаимодействия его с активатором.
В качестве реакционно-способного производного предлагаются, например, галогенангидрида, ангидрида, активированный амид и активированный сложный эфир и тому подобное, и галогенангидрида является предпочтительным.
В качестве способа превращения соединения в реакционно-способное производное предлагаются, например, превращение в галогенангидрида с использованием галогенирующего агента, такого как тионилхлорид, оксалилхлорид, трихлорид фосфора, пентахлорид фосфора и тому подобное;
превращение в ангидрида конденсацией с галогенангидридом кислоты, таким как этилхлороформиат, изобутилхлороформиат, пивалоилхлорид и тому подобное;
превращение в активированный амид с использованием конденсации с имидазолом и активированного агента амидирования, такого как карбонилдиимидазол и тому подобное,
и превращение в активированный сложный эфир конденсацией с п-нитрофенолом, 2-меркаптобензотиазолом и тому подобным.
В качестве способа превращения в реакционно-способное производное предпочтительным является превращение в галогенангидрида с использованием галогенирующего агента, и более предпочтительным является превращение в хлорангидрида с использованием тионилхлорида.
Количество активатора, используемого при указанном превращении, различно в зависимости от вида активатора, но, например, в случае тионилхлорида оно может быть равно или превышать 0,5 моль на моль соединения формулы [17] или его солей, и предпочтительно составляет 1-2 моль.
Данную реакцию обычно осуществляют в присутствии растворителя, причем используемый растворитель, если он не оказывает вредного влияния на реакцию, особо не ограничивают, но предлагают, например, алифатические углеводороды, такие как гексан, циклогексан и тому подобное;
ароматические углеводороды, такие как бензол, толуол, ксилол и тому подобное;
галогенированные углеводороды, такие как дихлорметан, хлороформ и тому подобное;
простые эфиры, такие как тетрагидрофуран, 1,2-диметоксиэтан, бис(2-метоксиэтиловый) эфир, диоксан и тому подобное;
амиды, такие как N,N-диметилформамид, N,N-диметилацетамид, 1-метил-2-пирролидон и тому подобное;
сульфоксиды, такие как диметилсульфоксид и тому подобное;
сложные эфиры, такие как метилацетат, этилацетат и тому подобное;
кетоны, такие как ацетон, 2-бутанон и тому подобное,
и нитрилы, такие как ацетонитрил и тому подобное, и указанные растворители могут быть использованы в смеси.
В качестве предпочтительных растворителей предлагаются ароматические углеводороды, такие как бензол, толуол и ксилол и тому подобное, и простые эфиры, такие как тетрагидрофуран, 1,2-диметоксиэтан, бис(2-метоксиэтиловый) эфир, диоксан и тому подобное, и толуол и 1,2-диметоксиэтан являются предпочтительными.
Количество используемого растворителя особо не ограничивают, но предпочтительно оно равно 1-20-кратному объему по массе соединения формулы [17] или его солей, и более предпочтительно оно равно 1-10-кратному указанному объему (об./масс.).
Температуру реакции особо не ограничивают, но предпочтительно она равна от -60 до 150°C, и более предпочтительно она равна от -30 до 120°C.
Время реакции особо не ограничивают, но оно находится в интервале от 10 минут до 50 часов, и предпочтительно составляет от 30 минут до 20 часов.
Реакционно-способное производное соединения формулы [17] или его солей, полученное описанным выше образом, может быть выделено и очищено, но предпочтительно переходить к следующей реакции без выделения.
Реакция амидирования:
Соединение формулы [18] может быть получено осуществлением взаимодействия раствора реакционно-способного производного соединения формулы [17] или его солей, описанных выше, с 3-азетидинолом или его солями в присутствии основания.
В качестве основания, используемого в данной реакции, предлагаются, например, органическое основание, такое как триэтиламин, диизопропилэтиламин, 1,8-диазабицикло[5.4.0]ундец-7-ен (DBU), пиридин и тому подобное;
и неорганическое основание, такое как гидроксид натрия, гидроксид калия, карбонат натрия, карбонат калия, гидрокарбонат натрия, гидрокарбонат калия и тому подобное.
В качестве предпочтительного основания предлагается неорганичекое основание, причем гидроксид натрия является более предпочтительным.
Количество используемого основания может быть равно или превышать 1 моль на моль соединения формулы [17] или его солей, и предпочтительно составляет 1-10 моль.
Количество 3-азетидинола или его солей может быть равно или превышать 1 моль на моль соединения формулы [17] или его солей, и предпочтительно составляет 1-2 моль.
Кроме того, является предпочтительным использование 3-азетидинол или его солей в водном растворе.
Количество воды, содержащей растворенные 3-азетидинол или его соли, особо не ограничивают, но предпочтительно оно равно 1-20-кратному объему по массе соединения формулы [17] или его солей, и предпочтительно равно 1-10-кратному указанному объему (об./масс.).
Температуру реакции особо не ограничивают, но предпочтительно она равна от -60 до 100°C, и более предпочтительно она равна от -30 до 50°C.
Время реакции особо не ограничивают, но оно находится в интервале от 10 минут до 50 часов, и предпочтительно составляет от 30 минут до 20 часов.
После окончания реакции соединение формулы [18], полученное описанным выше образом, может быть выделено и очищено кристаллизацией из реакционной смеси с выполнением видов обработки, таких как нейтрализация реакционной смеси и разбавление водой, если это необходимо, с последующей операцией подогрева и охлаждения.
[Способ получения 7]

1-(3-(2-(1-Бензотиофен-5-ил)этокси)пропил)азетидин-3-ол соединения формулы [19] или его соли могут быть получены подверганием соединения формулы [18] реакции восстановления с добавлением активатора, такого как протонная кислота, метилирующего агента и силилирующего агента и тому подобного в присутствии боргидрида щелочного металла.
Данную реакцию обычно осуществляют в присутствии растворителя, причем используемый растворитель, если он не оказывает вредного влияния на реакцию, особо не ограничивают, но предлагают, например, простые эфиры, такие как тетрагидрофуран, 1,2-диметоксиэтан, бис(2-метоксиэтиловый) эфир, диоксан и тому подобное, и тетрагидрофуран является более предпочтительным.
Кроме того, указанные растворители могут быть использованы в смеси галогенированных углеводородов, таких как дихлорметан, хлороформ и тому подобное;
ароматических углеводородов, таких как бензол, толуол, ксилол и тому подобное;
и алифатических углеводородов, таких как гексан, циклогексан, октан и тому подобное.
Количество используемого растворителя предпочтительно равно 1-20-кратному объему по массе соединения формулы [18], и более предпочтительно оно равно 3-10-кратному указанному объему (об./масс.).
В качестве боргидрида щелочного металла, используемого в данной реакции, предлагаются, например, боргидрид натрия, боргидрид лития, боргидрид калия и тому подобное, и предпочтительным является боргидрид натрия.
Количество боргидрида щелочного металли предпочтительно равно 1-10 моль на моль соединения формулы [18], и более предпочтительно оно равно 2-3 моль.
В качестве активатора, используемого в данной реакции, предлагаются, например, протонная кислота, такая как серная кислота, хлороводород, трифторуксусная кислота и тому подобное,
метилирующий агент, такой как диметилсульфат и тому подобное,
и силилирующий агент, такой как триметилсилилхлорид и тому подобное.
В качестве предпочтительного активатора предлагается протонная кислота, такая как серная кислота, хлороводород и тому подобное, и серная кислота является более предпочтительной.
Количество используемого активатора различно в зависимости от вида активатора, но, например, в случае серной кислоты оно предпочтительно равно 0,5-1 моль на моль боргидрида щелочного металла, и более предпочтительно оно равно 0,5-0,6 моль.
Кроме того, время добавления активатора различно в зависимости от вида активатора, но в случае серной кислоты оно предпочтительно находится в интервале от 10 минут до 6 часов, и более предпочтительно оно находится в интервале от 30 минут до 4 часов.
Кроме того, активатор может быть растворен в подходящем растворителе и может быть добавлен в растворенном виде.
Кроме того, в случае, когда количество боргидрида щелочного металла составляет 2,0-2,2 моль на моль соединения формулы [18] и количество серной кислоты составляет 0,5-0,6 моль на моль боргидрида щелочного металла, и время добавления серной кислоты по каплям составляет 1-4 часа, могут быть получены соединение формулы [19] или его соли, имеющие высокую чистоту, благодаря дополнительному подавлению образования побочных продуктов.
Температуру реакции особо не ограничивают, но она может находится в интервале от -20 до 150°C, и предпочтительно составляет 0-70°C.
После добавления активатора при 0-30°C является предпочтительным осуществление взаимодействия при 30-70°C, и более предпочтительным после добавления активатора при 0-30°C является осуществление взаимодействия при 40-60°C.
Время реакции особо не ограничивают, но оно может находится в интервале от 10 минут до 50 часов, и предпочтительно составляет 1-20 часов.
В настоящем изобретении в качестве предпочтительного способа получения предлагается следующий способ:
способ получения суспендированием соединения формулы [18] в эфире (3-10-кратный указанный объем (об./масс.)), добавлением боргидрида щелочного металла (2-3 моль), добавлением активатора при 0-30°C и затем осуществлением взаимодействия при 30-70°С в течение 1-20 часов является предпочтительным, способ получения суспендированием соединения формулы [18] в эфире (3-10-кратный указанный объем (об./масс.)), добавлением боргидрида натрия (2-3 моль), добавлением протонной кислоты (0,5-1 моль на моль боргидрида натрия) при 0-30°C и затем осуществлением взаимодействия при 30-70°С в течение 1-20 часов является более предпочтительным, и способ получения суспендированием соединения формулы [18] в тетрагидрофуране (3-10-кратный указанный объем (об./масс.)) добавлением боргидрида натрия (2,0-2,2 моль), добавлением серной кислоты (0,5-0,6 моль на моль боргидрида натрия), добавлением серной кислоты при 0-30°С в течение 1-4 часов, и затем осуществлением взаимодействия при 40-60°С в течение 1-20 часов является еще более предпочтительным.
После окончания реакции соединение формулы [19] или его соли, полученные описанным выше образом, могут быть выделены обычным образом.
Например, после окончания реакции они могут быть выделены добавлением 6,0 моль/л хлороводородной кислоты для разложения избыточного восстановителя, охлаждением до комнатной температуры, затем подщелачиванием реакционной смеси водным раствором гидроксида натрия, экстрагированием органическим растворителем, таким как этилацетат, и затем удалением растворителя из экстракта.
Кроме того, они могут быть выделены в виде соли добавлением кислоты в экстракт.
Что касается соли соединения формулы [19], то соль, если она обычно известна как соль по основной группе, такой как аминогруппа, особо не ограничивают, но предлагают, например, соли минеральной кислоты, такой как хлороводородная кислота, бромоводородная кислота, азотная кислота, серная кислота и тому подобное,
соли органической карбоновой кислоты, такой как муравьиная кислота, уксусная кислота, лимонная кислота, щавелевая кислота, фумаровая кислота, малеиновая кислота, янтарная, малоновая кислота, винная кислота, аспарагиновая кислота, трихлоруксусная кислота, трифторуксусная кислота и тому подобное,
и соли сульфоновой кислоты, такой как метансульфоновая кислота, бензолсульфоновая кислота, толуолсульфоновая кислота, мезитиленсульфоновая кислота, нафталинсульфоновая кислота и тому подобное.
В качестве предпочтительной соли предлагается фармакологически приемлемая соль, и соль малеиновой кислоты является более предпочтительной.
Если у соединения по настоящему изобретению существуют изомер (например, оптический изомер), гидрат, сольват и различные виды кристаллических форм, все они охватываются настоящим изобретением.
Кроме того, если у соединения, используемого в способе получения, описанном выше, существуют изомер (например, оптический изомер), гидрат, сольват и различные виды кристаллических форм, все они могут быть использованы в способе получения по настоящему изобретению.
Примеры
Далее настоящее изобретение будет описано в следующих ссылочных примерах и примерах. Однако настоящее изобретение не ограничивается указанными примерами.
Отношения в элюентных смесях взяты по объему. При отсутствии конкретного указания носитель в хроматографии на колонке с силикагелем представляет собой B.W. силикагель, BW-127ZH или PSQ100B (продукт Fuji Silysia Chemical Ltd.).
Сокращения в примерах означают следующее: Me: метил, Et: этил, Pr: пропил, Bu: бутил, tBu: трет-бутил, ДМСО-d6: диметилсульфоксид-d6.
Ссылочный пример 1

К водной (275 мл) суспензии 546 г тиофенола добавляли по каплям водный (550 мл) раствор 585 г гидроксида калия при температуре не выше 20°C. Затем к смеси добавляли по каплям водный (825 мл) раствор 492 г хлоруксусной кислоты и смесь перемешивали при 80-90°С в течение 3 часов. После охлаждения реакционной смеси рН доводили до 1,5 хлороводородной кислотой и добавляли к смеси 1650 мл дихлорметана и 550 мл воды. Органический слой отделяли и добавляли к ней безводный сульфат магния. Отфильтровывали нерастворимый материал и к фильтрату добавляли 5,95 г хлорида железа(III), после чего добавляли по каплям 832 г брома при 5-10°C и смесь перемешивали при комнатной температуре в течение 5 часов. После охлаждения реакционного раствора до 5°C к ней добавляли по каплям водный (825 мл) раствор 187 г сульфита натрия и рН доводили до 1,2 хлороводородной кислотой. После перемешивания при 5-10°С в течение 1 часа осадок собирали фильтрованием с получением твердого вещества. К полученному твердому веществу добавляли 2000 мл толуола и из смеси удаляли воду нагреванием и азеотропной перегонкой. Реакционную смесь охлаждали до 5°C в течение 2 часов. После перемешивания при той же температуре в течение 1 часа, кристаллический осадок собирали фильтрованием с получением 1108 г (4-бромфенилтио)уксусной кислоты в виде твердого вещества белого цвета.
1Н-ЯМР (CDCl3) значение: 3,65 (2H, с), 7,25-7,35 (2H, м), 7,40-7,50 (1H, м).
Ссылочный пример 2

К водному (600 мл) раствору 88,9 г гидроксида натрия добавляли 200 г 4-бромтиофенола и добавляли по каплям водный (300 мл) раствор 105 г хлоруксусной кислоты, и смесь перемешивали при 60-70°С в течение 1 часа. После охлаждения реакционной смеси до 40°C добавляли к ней 140 мл хлороводородной кислоты и 600 мл толуола и смесь затем нагревали до 80°C. Органический слой отделяли и медленно охлаждали до 5°C. После перемешивания при той же температуре в течение 1 часа кристаллический осадок собирали фильтрованием с получением 243 г (4-бромфенилтио)уксусной кислоты в виде твердого вещества белого цвета.
Значения химических сдвигов 1H-ЯМР-спектра в CDCl3 соответствовали значениям ссылочного примера 1.
Пример 1-1

К дихлорметановой (750 мл) суспензии 250 г (4-бромфенилтио)уксусной кислоты добавляли 2,5 мл N,N-диметилформамида и 132 г тионилхлорида и смесь затем кипятили с обратным холодильником в течение 1 часа. После охлаждения реакционной смеси до 20°C к ней добавляли по каплям дихлорметановую (1500 мл) суспензию 148 г хлорида алюминия при 5-15°C и смесь перемешивали при 15-25°С в течение 1,5 часов. Затем полученную реакционную смесь добавляли по каплям к смешанному раствору 1310 мл воды и 188 мл хлороводородной кислоты при охлаждении. Органический слой отделяли, добавляли к ней 1250 мл воды и доводили рН до 3,0 добавлением 5% водного раствора карбоната калия. Органический слой отделяли и охлаждали до 5°C. Добавляли к ней 15,3 г боргидрида натрия и 500 мл метанола и смесь перемешивали при 10-20°С в течение 2 часов. К реакционному раствору добавляли 750 мл воды, после чего доводили смесь до pH 7,0 добавлением уксусной кислоты и оставляли при комнатной температуре в течение ночи. К реакционному раствору добавляли 200 мл 5% водного раствора гидроксида калия и органический слой отделяли. К органическому слою добавляли 25,0 г активированного угля и смесь перемешивали при комнатной температуре. Отфильтровывали нерастворимый материал и отгоняли из фильтрата растворитель. К полученному остатку добавляли циклогексан, выпавшие в осадок кристаллы собирали фильтрованием с получением 194 г 5-бром-2,3-дигидро-1-бензотиофен-3-ола в виде твердого вещества бледно-красного цвета.
1Н-ЯМР (CDCl3) значение: 2,18 (1H, д, J=8,3 Гц), 3,30 (1H, дд, J=12,0, 4,4 Гц), 3,61 (1H, дд, J=12,0, 6,3 Гц), 5,30-5,40 (1H, м), 7,11 (1H, д, J=8,3 Гц), 7,35 (1H, дд, J=8,3, 2,0 Гц), 7,50 (1H, д, J=2,0 Гц).
Пример 1-2

К ацетоновому (600 мл) раствору 300 г 5-бром-2,3-дигидро-1-бензотиофен-3-ола добавляли 12,4 г моногидрата п-толуолсульфоновой кислоты и смесь затем кипятили с обратным холодильником в течение 2 часов. К реакционному раствору добавляли 15,0 г активированного угля и смесь перемешивали. Отфильтровывали нерастворимый материал и промывали его 300 мл ацетона. Фильтрат и промывные воды объединяли и к смеси добавляли по каплям 2700 мл воды при 5-15°C. Осадок собирали фильтрованием с получением 268 г 5-бром-1-бензотиофена в виде твердого вещества бледно-фиолетового цвета.
1Н-ЯМР (CDCl3) значение: 7,27 (1H, д, J=5,4 Гц), 7,44 (1H, дд, J=8,5, 1,9 Гц), 7,48 (1H, д, J=5,4 Гц), 7,74 (1H, д, J=8,5 Гц), 7,97 (1H, д, J=1,9 Гц).
Пример 2-1

(1) К 1,2-диметоксиэтановой (10 мл) суспензии 0,02 г трис(дибензилиденацетон)дипалладия(0) добавляли 0,11 г 10% (масс./масс.) смеси три(трет-бутил)фосфин/гексан, 1,76 г карбоната цезия, 0,50 г 5-бромбензотиофена и 0,45 г диэтилмалоната и смесь затем кипятили с обратным холодильником в течение 2 часов. К реакционной смеси добавляли воду и этилацетат, после чего доводили смесь до pH 2 добавлением 2 моль/л хлороводородной кислоты. Органический слой отделяли и сушили над безводным сульфатом магния, после чего отгоняли при пониженном давлении растворитель. Полученный остаток очищали с помощью хроматографии на колонке с силикагелем (элюент: гексан:этилацетат = 10:1) с получением 0,69 г диэтил 2-(1-бензотиофен-5-ил)малоната в виде твердого вещества белого цвета.
1Н-ЯМР (CDCl3) значение: 1,27 (6H, т, J=7,1 Гц), 4,1-4,3 (4H, м), 4,73 (1H, с), 7,33 (1H, д, J=5,4 Гц), 7,40 (1H, дд, J=8,3, 2,0 Гц), 7,45 (1H, д, J=5,4 Гц), 7,87 (1H, д, J=8,3 Гц), 7,87 (1H, д, J=2,0 Гц).
(2) К этиленгликолевой (1,0 мл) суспензии 0,25 г диэтил 2-(1-бензотиофен-5-ил)малоната добавляли 1,0 мл 40% (масс./масс.) водного раствора гидроксида калия и 0,3 мл воды и смесь затем кипятили с обратным холодильником в течение 2 часов. К реакционной смеси добавляли воду и толуол и отделяли водный слой. Доводили рН до 2 с помощью 6 моль/л хлороводородной кислоты и добавляли к водному слою этилацетат. Органический слой отделяли и сушили над безводным сульфатом магния, после чего отгоняли при пониженном давлении растворитель. Полученный остаток суспендировали в 5 мл ксилола и добавляли к суспензии 0,01 г моногидрата п-толуолсульфоновой кислоты, и смесь затем кипятили с обратным холодильником в течение 30 минут. Отгоняли при пониженном давлении растворитель и к полученному остатку добавляли толуол и циклогексан. Осадок собирали фильтрованием с получением 0,02 г 2-(1-бензотиофен-5-ил)уксусной кислоты в виде твердого вещества бледно-желтого цвета.
1Н-ЯМР (CDCl3) значение: 3,76 (2H, с), 7,2-7,3 (1H, м), 7,29 (1H, д, J=5,4 Гц), 7,44 (1H, д, J=5,4 Гц), 7,73 (1H, с), 7,83 (1H, д, J=8,1 Гц).
Пример 2-2

(1) К 1,2-диметоксиэтановому (10 мл) раствору 0,11 г 10% (масс./масс.) три(трет-бутил)фосфин/гексана добавляли 0,02 г трис(дибензилиденацетон)дипалладия(0), 1,76 г карбоната цезия, 0,50 г 5-бромбензотиофена и 0,61 г трет-бутилмалоната и смесь затем кипятили с обратным холодильником в течение 2 часов. Затем добавляли к ней 0,02 г трис(дибензилиденацетон)дипалладия(0) и 0,11 г 10% (масс./масс.) три(трет-бутил)фосфин/гексана и затем кипятили с обратным холодильником в течение 1 часа. Полученную реакционную смесь добавляли к смешанному раствору 30 мл воды и 20 мл этилацетата и доводили рН до 3 добавлением 6 моль/л хлороводородной кислоты. Органический слой отделяли и сушили над безводным сульфатом магния, после чего отгоняли при пониженном давлении растворитель. Полученный остаток очищали с помощью хроматографии на колонке с силикагелем (элюент: гексан:этилацетат = 20:1) с получением 0,49 г ди(трет-бутил) 2-(1-бензотиофен-5-ил)малоната в виде твердого вещества белого цвета.
1Н-ЯМР (CDCl3) значение: 1,47 (18H, с), 4,55 (1H, с), 7,32 (1H, д, J=5,4 Гц), 7,39 (1H, дд, J=8,5, 1,7 Гц), 7,43 (1H, д, J=5,4 Гц), 7,84 (1H, д, J=1,7 Гц), 7,86 (1H, д, J=8,5 Гц).
(2) К толуоловому (2,5 мл) раствору 0,25 г ди(трет-бутил) 2-(1-бензотиофен-5-ил)малоната добавляли 0,01 г моногидрата п-толуолсульфоновой кислоты и затем кипятили с обратным холодильником в течение 1 часа. После охлаждения реакционной смеси осадок собирали фильтрованием с получением 0,14 г 2-(1-бензотиофен-5-ил)малоновой кислоты в виде твердого вещества белого цвета.
1Н-ЯМР (CDCl3) значение: 4,80 (1H, с), 7,3-7,5 (1H, м), 7,47 (1H, д, J=5,5 Гц), 7,77 (1H, д, J=5,5 Гц), 7,89 (1H, с), 7,97 (1H, д, J=8,3 Гц).
(3) К ксилоловой (2 мл) суспензии 0,10 г 2-(1-бензотиофен-5-ил)малоновой кислоты добавляли 4 мг моногидрата п-толуолсульфоновой кислоты и затем кипятили с обратным холодильником в течение 1 часа. Отгоняли при пониженном давлении растворитель и к полученному остатку добавляли циклогексан. Осадок собирали фильтрованием с получением 0,08 г 2-(1-бензотиофен-5-ил)уксусной кислоты в виде твердого вещества белого цвета.
Значения химических сдвигов 1H-ЯМР-спектра в CDCl3 соответствовали значениям примера 2-1 (2).
Пример 2-3

К толуоловому (3 мл) раствору 0,21 г этилцианоацетата добавляли 0,41 г трет-бутоксида калия, 0,30 г 5-бромбензотиофена и 0,02 г тетракис(трифенилфосфин)палладия(0) и затем кипятили с обратным холодильником в течение 7,5 часов. К реакционной смеси добавляли воду и доводили рН до 2 хлороводородной кислотой. Добавляли этилацетат и отфильтровывали нерастворимый материал. Органический слой отделяли, промывали водой и сушили над безводным сульфатом магния, после чего отгоняли при пониженном давлении растворитель. Полученный остаток очищали с помощью хроматографии на колонке с силикагелем (элюент: гексан:этилацетат = 5:1) с получением 0,16 г этил 2-(1-бензотиофен-5-ил)-2-цианоацетата в виде твердого вещества бледно-желтого цвета.
1Н-ЯМР (CDCl3) значение: 1,29 (3H, т, J=7,1 Гц), 4,25 (2H, м), 4,84 (1H, с), 7,37 (1H, д, J=5,4 Гц), 7,41 (1H, дд, J=8,5, 1,7 Гц), 7,54 (1H, д, J=5,4 Гц), 7,92 (1H, д, J=8,5 Гц), 7,94 (1H, д, J=1,7 Гц).
Пример 2-4

К толуоловой (25 мл) суспензии 0,16 г дихлорбис(трифенилфосфин)палладия(II) добавляли 0,12 г трифенилфосфина, 0,01 г боргидрида натрия, 5,79 г трет-бутоксида калия и 2,92 г этилцианоацетата и перемешивали при комнатной температуре в течение 10 минут. Добавляли 5,00 г 5-бромбензотиофена и 25 мл толуола и затем кипятили с обратным холодильником в течение 4 часов. Добавляли 0,14 г тетракис(трифенилфосфин)палладия(0) и затем кипятили с обратным холодильником в течение 2 часов. Затем к реакционному раствору добавляли 25 мл этанола, 2,82 г гидроксида натрия и 5 мл воды и затем кипятили с обратным холодильником в течение 6 часов. Добавляли 2,82 г гидроксида натрия и затем кипятили с обратным холодильником в течение 5 часов. К реакционной смеси добавляли 15 мл воды и 0,5 г активированного угля и отфильтровывали нерастворимый материал. Водный слой отделяли и к раствору добавляли 35 мл этанола. Доводили рН до 2 добавлением 15 мл хлороводородной кислоты. Добавляли к смеси 15 мл воды и перемешивали ее при 40°C. Добавляли 30 мл воды и перемешивали. Затем ее охлаждали. Осадок собирали фильтрованием с получением 3,38 г 2-(1-бензотиофен-5-ил)уксусной кислоты в виде твердого вещества бледно-желтого цвета.
Значения химических сдвигов 1H-ЯМР-спектра в CDCl3 соответствовали значениям примера 2-1 (2).
Пример 2-5

К 1,2-диметоксиэтановой (25 мл) суспензии 0,16 г дихлорбис(трифенилфосфин)палладия(II) добавляли 0,12 г трифенилфосфина, 0,01 г боргидрида натрия, 5,53 г трет-бутоксида калия и 3,48 г трет-бутилцианоацетата и перемешивали при комнатной температуре в течение 10 минут. Добавляли 5,00 г 5-бромбензотиофена и затем кипятили с обратным холодильником в течение 2 часов. После того как к реакционной смеси добавляли 15 мл воды, рН доводили до 1 добавлением 2 мл хлороводородной кислоты. Осадок собирали фильтрованием с получением 5,69 г трет-бутил 2-(1-бензотиофен-5-ил)-2-цианоацетата в виде твердого вещества бледно-желтого цвета.
1Н-ЯМР (CDCl3) значение: 1,45 (9H, с), 4,73 (1H, с), 7,36 (1H, д, J=5,6 Гц), 7,39 (1H, дд, J=8,5, 2,0 Гц), 7,52 (1H, д, J=5,6 Гц), 7,91 (1H, д, J=8,5 Гц), 7,9-8,0 (1H, м).
Пример 2-6

К 1,2-диметоксиэтановому (1,00L) раствору 250 г 5-бромбензотиофена добавляли 276 г трет-бутоксида калия и 174 г трет-бутилцианоацетата. Добавляли к смеси 8,23 г дихлорбис(трифенилфосфин)палладия(II) и 6,15 г трифенилфосфина при 80-85°C и затем кипятили с обратным холодильником в течение 2 часов. Затем к реакционной смеси добавляли 500 мл этиленгликоля, 250 мл воды и 263 г гидроксида калия и затем кипятили с обратным холодильником в течение 4 часов. К реакционной смеси добавляли 1,50 л воды и 12,5 г кизельгура (целлпур, продукт Advanced Minerals Company). После того как отфильтровывали нерастворимый материал, к фильтрату добавляли 250 мл толуола и отделяли водный слой. К водному слою добавляли 375 мл толуола и 375 мл этилацетата, рН доводили до 1 добавлением 505 мл хлороводородной кислоты и органический слой отделяли. Органический слой обрабатывали 12,5 г активированного угля. Отгоняли при пониженном давлении растворитель и добавляли толуол. Осадок собирали фильтрованием с получением 176 г 2-(1-бензотиофен-5-ил)уксусной кислоты в виде твердого вещества белого цвета.
Значения химических сдвигов 1H-ЯМР-спектра в CDCl3 соответствовали значениям примера 2-1 (2).
Пример 2-7

(1) К 1,2-диметоксиэтановому (3 мл) раствору 0,30 г 4-бромбензотиофена добавляли 0,33 г трет-бутоксида калия, 0,21 г трет-бутилцианоацетата, 0,01 г дихлорбис(трифенилфосфин)палладия(II) и 0,01 г трифенилфосфина и затем кипятили с обратным холодильником в течение 40 минут. Добавляли 0,33 г трет-бутоксида калия, 0,01 г дихлорбис(трифенилфосфин)палладия(II) и 0,01 г трифенилфосфина и затем кипятили с обратным холодильником в течение 30 минут. Реакционную смесь добавляли к смешанному раствору воды и этилацетата и доводили рН до 1 добавлением 6 моль/л хлороводородной кислоты. Органический слой отделяли и сушили над безводным сульфатом магния, после чего отгоняли при пониженном давлении растворитель. Полученный остаток очищали с помощью хроматографии на колонке с силикагелем (элюент: гексан:этилацетат = 5:1) с получением 0,26 г трет-бутил 2-(1-бензотиофен-4-ил)-2-цианоацетата в виде маслянистого вещества бледно-коричневого цвета.
1Н-ЯМР (CDCl3) значение: 1,42 (9H, с), 5,03 (1H, с), 7,39 (1H, т, J=7,8 Гц), 7,49 (1H, д, J=7,8 Гц), 7,54 (1H, д, J=5,6 Гц), 7,59 (1H, д, J=5,6 Гц), 7,92 (1H, д, J=7,8 Гц).
(2) К этиленгликолевому (1,0 мл) раствору 0,25 г трет-бутил 2-(1-бензотиофен-4-ил)-2-цианоацетата добавляли 1,0 мл 40% (масс./масс.) водного раствора гидроксида калия и 0,3 мл воды и перемешивали при 95-105°С в течение 1 часа. К реакционной смеси добавляли воду и толуол и отделяли водный слой. Доводили рН до 2 добавлением 6 моль/л хлороводородной кислоты и к смеси добавляли этилацетат. Органический слой отделяли и сушили над безводным сульфатом магния, после чего отгоняли при пониженном давлении растворитель. К полученному остатку добавляли циклогексан. Осадок собирали фильтрованием с получением 0,15 г 2-(1-бензотиофен-4-ил)уксусной кислоты в виде твердого вещества белого цвета.
1Н-ЯМР (CDCl3) значение: 3,95 (2H, с), 7,2-7,4 (2H, м), 7,41 (1H, д, J=5,5 Гц), 7,47 (1H, д, J=5,5 Гц), 7,82 (1H, д, J=7,8 Гц).
Пример 3-1

В 340 мл тетрагидрофурана суспендировали 50,2 г боргидрида натрия, в суспензию капали последовательно тетрагидрофурановый (340 мл) раствор 170 г (1-бензотиофен-5-ил)уксусной кислоты и 65,1 г серной кислоты и перемешивали при комнатной температуре в течение 2,5 часов. В полученную реакционную смесь добавляли по каплям 85 мл ацетона и перемешивали в течение 30 минут. Добавляли 510 мл воды и 680 мл толуола. Органический слой отделяли, добавляли 510 мл воды и доводили рН до 12 добавлением 48 мл 20% (масс./масс.) водного раствора гидроксида натрия. Органический слой отделяли и промывали водой с последующей отгонкой растворителя. Добавляли циклогексан и толуол. Осадок собирали фильтрованием с получением 135 г 2-(1-бензотиофен-5-ил)этанола в виде твердого вещества белого цвета.
1Н-ЯМР (CDCl3) значение: 1,41 (1H, т, J=6,0 Гц), 2,99 (2H, т, J=6,5 Гц), 3,8-4,0 (2H, м), 7,22 (1H, дд, J=8,3, 1,7 Гц), 7,30 (1H, д, J=5,4 Гц), 7,44 (1H, д, J=5,4 Гц), 7,6-7,7 (1H, м), 7,83 (1H, д, J=8,3 Гц).
Пример 3-2
В 5 мл 1,2-диметоксиэтана суспендировали 2,95 г боргидрида натрия, к суспензии добавляли по каплям 1,2-диметоксиэтановый (25 мл) раствор 10 г (1-бензотиофен-5-ил)уксусной кислоты и 11 мл 6,9 моль/л раствора хлороводород/1,2-диметоксиэтан и перемешивали при комнатной температуре в течение 1 часа. К полученной реакционной смеси добавляли по каплям 5 мл ацетона и перемешивали в течение 30 минут. Добавляли 20 мл воды, 30 мл толуола и 2 мл 2 моль/л хлороводородной кислоты. Затем, после того как рН доводили до 9,5 добавлением 20 мл 2 моль/л водного раствора гидроксида натрия, отделяли органический слой. Органический слой сушили над безводным сульфатом магния с последующей отгонкой растворителя. Добавляли циклогексан и толуол. Осадок собирали фильтрованием с получением 7,84 г 2-(1-бензотиофен-5-ил)этанола в виде твердого вещества белого цвета.
Пример 3-3
В 40 мл тетрагидрофурана суспендировали 4,72 г боргидрида натрия, к суспензии добавляли по каплям тетрагидрофурановый (60 мл) раствор 20 г (1-бензотиофен-5-ил)уксусной кислоты и 6,12 г серной кислоты. Раствор нагревали до 66°C, после чего отгоняли примерно 40 мл растворителя при нормальном давлении и перемешивали при той же температуре в течение 1 часа. После охлаждения к полученной реакционной смеси добавляли по каплям 10 мл ацетона и перемешивали в течение 30 минут. Добавляли 90 мл воды и 80 мл толуола. Органический слой отделяли, добавляли 60 мл воды и доводили рН до 13,6 добавлением 5 мл 5 моль/л водного раствора гидроксид натрия. Органический слой отделяли, промывали водой и затем отгоняли растворитель, и добавляли циклогексан и толуол. Осадок собирали фильтрованием с получением 16,5 г 2-(1-бензотиофен-5-ил)этанола в виде твердого вещества белого цвета.
Значения химических сдвигов 1H-ЯМР-спектра в CDCl3 соответствовали значениям примера 3-1.
Пример 4-1

(1) К толуоловой (5 мл) суспензии 0,23 г 40% (масс./масс.) водного раствора гидроксида бензилтриметиламмония добавляли 5,00 г 2-(1-бензотиофен-5-ил)этанола и добавляли по каплям 2,20 мл акрилонитрила при 0-5°C, и затем перемешивали при 0-20°С в течение 1 часа. К полученной реакционной смеси добавляли 0,125 мл хлороводородной кислоты. Добавляли 10 мл пропанола, 1,0 мл воды и 3,1 мл серной кислоты и затем кипятили с обратным холодильником в течение 6,5 часов. После охлаждения к реакционной смеси добавляли 10 мл воды и 10 мл толуола. Органический слой отделяли и сушили над безводным сульфатом магния. После того как отфильтровывали нерастворимый материал, отгоняли при пониженном давлении растворитель. Полученный остаток очищали с помощью хроматографии на колонке с силикагелем (элюент: гексан:этилацетат = 15:1-7:1) с получением 7,21 г пропил 3-(2-(1-бензотиофен-5-ил)этокси)пропионата в виде бесцветного маслянистого вещества.
1Н-ЯМР (CDCl3) значение: 0,91 (3H, т, J=7,4 Гц), 1,57-1,67 (2H, м), 2,58 (2H, т, J=6,4 Гц), 2,99 (2H, т, J=7,1 Гц), 3,71 (2H, т, J=7,1 Гц), 3,74 (2H, т, J=6,4 Гц), 4,02 (2H, т, J=6,7 Гц), 7,20 (1H, дд, J=8,2, 1,6 Гц), 7,28 (1H, д, J=5,6 Гц), 7,41 (1H, д, J=5,6 Гц), 7,60-7,70 (1H, м), 7,78 (1H, д, J=8,2 Гц).
(2) К метаноловому (12 мл) раствору 12,0 г пропил 3-(2-(1-бензотиофен-5-ил)этокси)пропионата добавляли водный (12 мл) раствор 2,76 г гидроксида калия и перемешивали при комнатной температуре в течение 1,5 часов. Из полученной реакционной смеси отгоняли при пониженном давлении растворитель и к остатку добавляли 36 мл толуола и 36 мл воды. Доводили рН до 1,9 добавлением 8 мл 6 моль/л хлороводородной кислоты. Органический слой отделяли, после чего отгоняли при пониженном давлении растворитель. Добавляли 12 мл толуола и 24 мл циклогексана. Осадок собирали фильтрованием с получением 8,91 г 3-(2-(1-бензотиофен-5-ил)этокси)пропионовой кислоты в виде твердого вещества белого цвета.
1Н-ЯМР (CDCl3) значение: 2,63 (2H, т, J=6,2 Гц), 3,00 (2H, т, J=7,1 Гц), 3,72 (2H, т, J=7,1 Гц), 3,74 (2H, т, J=6,2 Гц), 7,20 (1H, дд, J=8,4, 1,6 Гц), 7,27 (1H, дд, J=5,5, 0,6 Гц), 7,40 (1H, д, J=5,5 Гц), 7,65-7,70 (1H, м), 7,78 (1H, д, J=8,4 Гц).
Пример 4-2

(1) К толуоловой (5 мл) суспензии 5,00 г 2-(1-бензотиофен-5-ил)этанола добавляли 0,23 г 40% (масс./масс.) водного раствора гидроксида бензилтриметиламмония и 2,28 мл тетрагидрофурана и добавляли по каплям 2,20 мл акрилонитрила при 0-10°C, после чего перемешивали при той же температуре в течение 1,5 часов. К полученной реакционной смеси добавляли 0,1 мл хлороводородной кислоты, 10 мл бутанола и 5 мл 50% (масс./масс.) серной кислоты и затем кипятили с обратным холодильником в течение 15 часов. После охлаждения к реакционной смеси добавляли 15 мл воды. Органический слой отделяли и сушили над безводным сульфатом магния. После того как отфильтровывали нерастворимый материал, отгоняли при пониженном давлении растворитель. Полученный остаток очищали с помощью хроматографии на колонке с силикагелем (элюент: гексан:этилацетат = 10:1) с получением 6,65 г бутил 3-(2-(1-бензотиофен-5-ил)этокси)пропионата в виде бесцветного маслянистого вещества.
1Н-ЯМР (CDCl3) значение: 0,92 (3H, т, J=7,4 Гц), 1,30-1,45 (2H, м), 1,50-1,65 (2H, м), 2,57 (2H, т, J=6,3 Гц), 2,99 (2H, т, J=7,1 Гц), 3,71 (2H, т, J=7,1 Гц), 3,74 (2H, т, J=6,3 Гц), 4,06 (2H, т, J=6,7 Гц), 7,21 (1H, дд, J=8,3, 1,7 Гц), 7,28 (1H, дд, J=5,4, 0,7 Гц), 7,41 (1H, д, J=5,4 Гц), 7,65-7,70 (1H, м), 7,78 (1H, д, J=8,3 Гц).
(2) К метаноловому (5 мл) раствору 5,00 г бутил 3-(2-(1-бензотиофен-5-ил)этокси)пропионата добавляли водный (5 мл) раствор 1,10 г гидроксида калия и перемешивали при комнатной температуре в течение 2 часов. Из полученной реакционной смеси отгоняли при пониженном давлении растворитель и к остатку добавляли 30 мл толуола и 30 мл воды. Доводили рН до 1,6 добавлением 3,5 мл 6 моль/л хлороводородной кислоты. Органический слой отделяли, после чего отгоняли при пониженном давлении растворитель. Добавляли 15 мл толуола и 30 мл циклогексана. Осадок собирали фильтрованием с получением 3,60 г 3-(2-(1-бензотиофен-5-ил)этокси)пропионовой кислоты в виде твердого вещества белого цвета.
Значения химических сдвигов 1H-ЯМР-спектра в CDCl3 соответствовали значениям примера 4-1 (2).
Пример 4-3

(1) К толуоловой (5 мл) суспензии 5,00 г 2-(1-бензотиофен-5-ил)этанола добавляли 0,23 г 40% (масс./масс.) водного раствора гидроксида бензилтриметиламмония и 2,28 мл тетрагидрофурана и добавляли по каплям 2,22 мл акрилонитрила при 5°C и затем перемешивали при 0-15°С в течение 1,5 часов. К полученной реакционной смеси добавляли 0,13 мл хлороводородной кислоты, 10 мл метанола и 1,52 г воды. В полученную смесь вводили 9,47 г хлороводорода и затем кипятили с обратным холодильником в течение 4 часов. После охлаждения к реакционной смеси добавляли 15 мл воды и 10 мл толуола. Органический слой отделяли и сушили над безводным сульфатом магния. После того как отфильтровывали нерастворимый материал, отгоняли при пониженном давлении растворитель. Полученный остаток очищали с помощью хроматографии на колонке с силикагелем (элюент: гексан:этилацетат = 5:1) с получением 7,36 г метил 3-(2-(1-бензотиофен-5-ил)этокси)пропионата в виде бесцветного маслянистого вещества.
1Н-ЯМР (CDCl3) значение: 2,58 (2H, т, J=6,4 Гц), 2,99 (2H, т, J=7,1 Гц), 3,65 (3H, с), 3,71 (2H, т, J=7,1 Гц), 3,74 (2H, т, J=6,4 Гц), 7,20 (1H, дд, J=8,3, 1,7 Гц), 7,28 (1H, д, J=5,4 Гц), 7,41 (1H, д, J=5,4 Гц), 7,65-7,70 (1H, м), 7,78 (1H, д, J=8,3 Гц).
(2) К метаноловому (5 мл) раствору 5,00 г метил 3-(2-(1-бензотиофен-5-ил)этокси)пропионата добавляли водный (5 мл) раствор 1,27 г гидроксида калия и перемешивали при комнатной температуре в течение 2 часов. Из полученной реакционной смеси отгоняли при пониженном давлении растворитель и к остатку добавляли 30 мл толуола и 30 мл воды. Доводили рН до 1,0 добавлением 5 мл 6 моль/л хлороводородной кислоты. Органический слой отделяли, после чего отгоняли при пониженном давлении растворитель. Добавляли 11 мл толуола и 30 мл циклогексана. Осадок собирали фильтрованием с получением 4,51 г 3-(2-(1-бензотиофен-5-ил)этокси)пропионовой кислоты в виде твердого вещества белого цвета.
Значения химических сдвигов 1H-ЯМР-спектра в CDCl3 соответствовали значениям примера 4-1 (2).
Пример 4-4

К толуоловой (50 мл) суспензии 50,0 г 2-(1-бензотиофен-5-ил)этанола добавляли 2,35 г 40% (масс./масс.) водного раствора гидроксида бензилтриметиламмония и добавляли по каплям 17,9 г акрилонитрила при 8-15°C и перемешивали при 10-20°С в течение 1,5 часов. К полученной реакционной смеси добавляли 1,25 мл хлороводородной кислоты, 100 мл пропанола и 5,05 г воды. Добавляли по каплям 55,0 г серной кислоты и затем кипятили с обратным холодильником в течение 6 часов. После охлаждения к реакционной смеси добавляли 100 мл воды. Органический слой отделяли. Добавляли к нему 50 мл метанола и добавляли по каплям водный (50 мл) раствор 31,5 г гидроксида калия и затем перемешивали при комнатной температуре в течение 1,5 часов. К полученной реакционной смеси добавляли 75 мл толуола и 75 мл воды. Водный слой отделяли, добавляли к нему 100 мл толуола, рН доводили до 0,9 добавлением 6 моль/л хлороводородной кислоты и органический слой отделяли. После отгонки при пониженном давлении растворителя добавляли 50 мл толуола и 125 мл циклогексана. Осадок собирали фильтрованием с получением 59,6 г 3-(2-(1-бензотиофен-5-ил)этокси)пропионовой кислоты в виде твердого вещества белого цвета.
Значения химических сдвигов 1H-ЯМР-спектра в CDCl3 соответствовали значениям примера 4-1 (2).
Пример 4-5

К толуоловой (260 мл) суспензии 260 г 2-(1-бензотиофен-5-ил)этанола добавляли 43,8 г 2-пропанола и 1,64 г трет-бутоксида калия и перемешивали в течение 0,5 часов. После охлаждения реакционной смеси до 15°C к ней добавляли по каплям 116 г акрилонитрила и перемешивали при 15-25°С в течение 1 часа. К полученной реакционной смеси добавляли 6,5 мл хлороводородной кислоты, 520 мл метанола и 78,9 г воды. В полученную смесь вводили 310 г хлороводорода при 10-25°C и затем кипятили с обратным холодильником в течение 3 часов. После охлаждения к реакционной смеси добавляли 780 мл воды и 520 мл толуола и органический слой отделяли. К органическому слою добавляли по каплям 260 мл метанола и водный (260 мл) раствор 164 г гидроксида калия и перемешивали при 30-35°С в течение 2 часов. К полученной реакционной смеси добавляли 260 мл воды и отделяли водный слой. К водному слою добавляли 520 мл толуола и 260 мл воды и добавляли по каплям 234 мл хлороводородной кислоты, и органический слой отделяли. После того как из органического слоя отгоняли при пониженном давлении 390 мл растворителя, добавляли 1040 мл циклогексана. Осадок собирали фильтрованием с получением 326 г 3-(2-(1-бензотиофен-5-ил)этокси)пропионовой кислоты в виде твердого вещества белого цвета.
Значения химических сдвигов 1H-ЯМР-спектра в CDCl3 соответствовали значениям примера 4-1 (2).
Пример 4-6
К толуоловой (360 мл) суспензии 180 г 2-(1-бензотиофен-5-ил)этанола добавляли 4,22 г водного раствора 40% (масс./масс.) гидроксида бензилтриметиламмония и добавляли по каплям 8,04 г акрилонитрила при 30°C. После охлаждения реакционной смеси до 20°C к ней добавляли по каплям 53,6 г акрилонитрила и затем перемешивали при 15-25°С в течение 2 часов. К полученной реакционной смеси добавляли 27 мл хлороводородной кислоты и 180 мл метанола. В полученную смесь вводили 97 г хлороводорода при 10-25°C, перемешивали при 30-40°С в течение 30 минут и кипятили с обратным холодильником в течение 3 часов. После охлаждения к реакционной смеси добавляли 360 мл воды и органический слой отделяли. К органическому слою добавляли по каплям 180 мл метанола и водный (180 мл) раствор 113 г гидроксида калия и перемешивали при 30-35°С в течение 2 часов. К реакционной смеси добавляли 360 мл воды и отделяли водный слой. К водному слою добавляли 360 мл толуола и добавляли по каплям 151 мл хлороводородной кислоты, и органический слой отделяли. После того как из органического слоя отгоняли при нормальном давлении 126 мл растворителя, добавляли 1080 мл циклогексана. Осадок собирали фильтрованием с получением 222 г 3-(2-(1-бензотиофен-5-ил)этокси)пропионовой кислоты в виде твердого вещества белого цвета.
Значения химических сдвигов 1H-ЯМР-спектра в CDCl3 соответствовали значениям примера 4-1 (2).
Пример 5-1

В 15 мл 1,2-диметоксиэтана растворяли 10,0 г 3-(2-(1-бензотиофен-5-ил)этокси)пропионовой кислоты. Добавляли к раствору 0,1 мл N,N-диметилформамида и 5,23 г тионилхлорида и перемешивали при комнатной температуре в течение 1,5 часов. Данный реакционный раствор добавляли по каплям к смешанному раствору 50 мл воды, 7,19 г гидроксида натрия и 7,69 г 1/2 тартрата 3-азетидинола при 5-15°C и перемешивали при той же температуре в течение 2 часов. Затем добавляли 90 мл воды. Осадок собирали фильтрованием с получением 11,0 г 1-(3-(2-(1-бензотиофен-5-ил)этокси)пропионил)азетидин-3-ола в виде твердого вещества белого цвета.
1Н-ЯМР (CDCl3) значение: 2,25-2,35 (2H, м), 2,96 (2H, т, J=7,0 Гц), 3,65-3,80 (5H, м), 3,85-3,95 (1H, м), 4,05-4,15 (1H, м), 4,15-4,25 (1H, м), 4,40-4,50 (1H, м), 7,19 (1H, дд, J=8,3, 1,5 Гц), 7,27 (1H, д, J=5,4 Гц), 7,40 (1H, д, J=5,4 Гц), 7,62-7,66 (1H, м), 7,78 (1H, д, J=8,3 Гц).
Пример 5-2
В 116 мл толуола суспендировали 29,0 г 3-(2-(1-бензотиофен-5-ил)этокси)пропионовой кислоты. Добавляли к суспензии 0,6 мл N,N-диметилформамида и 14,5 г тионилхлорида и перемешивали при комнатной температуре в течение 2 часов. После этого отгоняли при пониженном давлении 62 мл растворителя. Данный реакционный раствор добавляли по каплям к смешанному раствору 87 мл воды, 13,9 г гидроксида натрия и 25,7 г 1/2 тартрата 3-азетидинола при 10-20°C, и смесь перемешивали при 20-25°С в течение 1 часа и оставляли в течение ночи. После охлаждения реакционного раствора рН доводили до 6 добавлением 7 мл уксусной кислоты. После перемешивания при 10-15°С в течение 1 часа, собирали фильтрованием осадок с получением 31,9 г 1-(3-(2-(1-бензотиофен-5-ил)этокси)пропионил)азетидин-3-ола в виде твердого вещества белого цвета.
Значения химических сдвигов 1H-ЯМР-спектра в CDCl3 соответствовали значениям примера 5-1.
Пример 5-3
В 75 мл 1,2-диметоксиэтана растворяли 50,0 г 3-(2-(1-бензотиофен-5-ил)этокси)пропионовой кислоты. Добавляли к раствору 26,1 г тионилхлорида и затем кипятили с обратным холодильником в течение 2 часов. После охлаждения данный реакционный раствор добавляли по каплям к смешанному раствору 125 мл воды, 20,0 г гидроксида натрия и 25,2 г гидрохлорида 3-азетидинола при -5-10°C и перемешивали при 0-15°С в течение 30 минут. Добавляли 75 мл воды, нагревали до 40°С и растворяли. После охлаждения осадок собирали фильтрованием с получением 56,5 г 1-(3-(2-(1-бензотиофен-5-ил)этокси)пропионил)азетидин-3-ола в виде твердого вещества белого цвета.
Значения химических сдвигов 1H-ЯМР-спектра в CDCl3 соответствовали значениям примера 5-1.
Пример 6-1

К суспензии 1,00 г 1-(3-(2-(1-бензотиофен-5-ил)этокси)пропионил)азетидин-3-ола в бис(2-метоксиэтиловом) эфире (5 мл) добавляли 0,37 г боргидрида натрия и затем охлаждали до 10°C. Добавляли по каплям 2,49 мл хлортриметилсилана при 5-10°С в течение 20 минут и перемешивали при комнатной температуре в течение 2,5 ч и при 40°С в течение 4 часов. После охлаждения добавляли по каплям 3,27 мл 6,0 моль/л хлороводородной кислоты и перемешивали при 70-75°С в течение 30 минут. К реакционной смеси добавляли воду и этилацетат и доводили рН до 10,0 добавлением 2,0 моль/л водного раствора гидроксида натрия. Органический слой отделяли, промывали последовательно водой и насыщенным водным раствором хлорида натрия. Добавляли безводный сульфат магния и активированный уголь. После того как отфильтровывали нерастворимый материал, отгоняли при пониженном давлении растворитель. К полученному остатку добавляли 0,36 г малеиновой кислоты и смесь отверждали из смешанного растворителя (5 мл) этилацетат:2-пропанол (4:1) с получением 0,72 г малеата 1-(3-(2-(1-бензотиофен-5-ил)этокси)пропил)азетидин-3-ола в виде бесцветного кристаллического вещества.
1Н-ЯМР (ДМСО-d6) значение: 1,65-1,75 (2H, м), 2,93 (2H, т, J=6,9 Гц), 3,14 (2H, т, J=7,4 Гц), 3,44 (2H, т, J=6,0 Гц), 3,63 (2H, т, J=6,9 Гц), 3,75-3,85 (2H, м), 4,15-4,25 (2H, м), 4,40-4,50 (1H, м), 6,06 (2H, с), 7,26 (1H, дд, J=8,3, 1,5 Гц), 7,41 (1H, д, J=5,4 Гц), 7,73 (1H, д, J=5,4 Гц), 7,70-7,75 (1H, м), 7,91 (1H, д, J=8,3 Гц).
Пример 6-2
К 1,2-диметоксиэтановой (5 мл) суспензии 1,00 г 1-(3-(2-(1-бензотиофен-5-ил)этокси)пропионил)азетидин-3-ол добавляли 0,37 г боргидрида натрия, после чего охлаждали до 10°C. Добавляли по каплям 2,49 мл хлортриметилсилана при 5-10°C и перемешивали при комнатной температуре в течение 2,5 ч и при 40°С в течение 4 часов. После охлаждения добавляли по каплям 3,27 мл 6,0 моль/л хлороводородной кислоты и перемешивали при 70-75°С в течение 30 минут. К реакционной смеси добавляли воду и этилацетат и доводили рН до 10,0 добавлением 2,0 моль/л водного раствора гидроксида натрия. Органический слой отделяли, промывали последовательно водой и насыщенным водным раствором хлорида натрия. Добавляли безводный сульфат магния и активированный уголь. После того как отфильтровывали нерастворимый материал, отгоняли при пониженном давлении растворитель. К полученному остатку добавляли 0,36 г малеиновой кислоты и смесь отверждали из смешанного растворителя (5 мл) этилацетат:2-пропанол (4:1) с получением 0,71 г малеата 1-(3-(2-(1-бензотиофен-5-ил)этокси)пропил)азетидин-3-ола виде бесцветного кристаллического вещества.
Значения химических сдвигов 1H-ЯМР-спектра в ДМСО-d6 соответствовали значениям примера 6-1.
Пример 6-3
К тетрагидрофурановой (5 мл) суспензии 1,00 г 1-(3-(2-(1-бензотиофен-5-ил)этокси)пропионил)азетидин-3-ола добавляли 0,37 г боргидрида натрия и добавляли по каплям тетрагидрофурановый (1 мл) раствор 0,75 мл трифторуксусной кислоты в течение 30 минут и затем кипятили с обратным холодильником в течение 2 часов. После охлаждения добавляли по каплям 3,27 мл 6,0 моль/л хлороводородной кислоты и затем кипятили с обратным холодильником в течение 1,5 часов. К реакционной смеси добавляли воду и этилацетат и отделяли водный слой. К водному слою добавляли этилацетат и доводили рН до 10,0 добавлением 20% (масс./масс.) водного раствора гидроксида натрия. Органический слой отделяли, промывали последовательно водой и насыщенным водным раствором хлорида натрия и сушили над безводным сульфатом магния. После того как отфильтровывали нерастворимый материал, отгоняли при пониженном давлении растворитель. К полученному остатку добавляли 0,36 г малеиновой кислоты и смесь отверждали из смешанного растворителя (5 мл) этилацетат:2-пропанол (4:1) с получением 0,62 г малеата 1-(3-(2-(1-бензотиофен-5-ил)этокси)пропил)азетидин-3-ола виде бесцветного кристаллического вещества.
Значения химических сдвигов 1H-ЯМР-спектра в ДМСО-d6 соответствовали значениям примера 6-1.
Пример 6-4
К тетрагидрофурановой (3 мл) суспензии 0,50 г 1-(3-(2-(1-бензотиофен-5-ил)этокси)пропионил)азетидин-3-ола добавляли 0,19 г боргидрида натрия и затем нагревали до 50°C. Добавляли по каплям тетрагидрофурановый (1 мл) раствор 0,46 мл диметилсульфата при 50-55°С в течение 10 минут и перемешивали при той же температуре в течение 2,5 часов. После охлаждения добавляли по каплям 1,64 мл 6,0 моль/л хлороводородной кислоты и затем кипятили с обратным холодильником в течение 1,5 часов. К реакционной смеси добавляли этилацетат и доводили рН до 10,0 добавлением 20% (масс./масс.) водного раствора гидроксида натрия. Органический слой отделяли, промывали последовательно водой и насыщенным водным раствором хлорида натрия и сушили над безводным сульфатом магния. После того как отфильтровывали нерастворимый материал, отгоняли при пониженном давлении растворитель. К полученному остатку добавляли 0,18 г малеиновой кислоты и смесь отверждали из смешанного растворителя (3,75 мл) этилацетат:2-пропанол (4:1) с получением 0,49 г малеата 1-(3-(2-(1-бензотиофен-5-ил)этокси)пропил)азетидин-3-ола виде бесцветного кристаллического вещества.
Значения химических сдвигов 1H-ЯМР-спектра в ДМСО-d6 соответствовали значениям примера 6-1.
Пример 6-5
К суспензии 1,00 г 1-(3-(2-(1-бензотиофен-5-ил)этокси)пропионил)азетидин-3-ола в бис(2-метоксиэтиловом) эфире (5 мл) добавляли 0,37 г боргидрида натрия, после чего охлаждали до 10°C. Добавляли по каплям 2,46 мл 4,0 моль/л раствора хлороводород/диоксан при 5-15°С в течение 12 минут и перемешивали при той же температуре в течение 30 минут, при комнатной температуре в течение 3 часов и при 35-40°С в течение 6 часов. После охлаждения добавляли по каплям 3,27 мл 6,0 моль/л хлороводородной кислоты и перемешивали при 65-70°С в течение 1,5 часов. К реакционной смеси добавляли воду и этилацетат и доводили рН до 10,0 добавлением 2,0 моль/л водного раствора гидроксида натрия. Органический слой отделяли, промывали последовательно водой и насыщенным водным раствором хлорида натрия. Добавляли безводный сульфат магния и активированный уголь. После того как отфильтровывали нерастворимый материал, отгоняли при пониженном давлении растворитель. К полученному остатку добавляли 0,36 г малеиновой кислоты и смесь отверждали из смешанного растворителя (5 мл) этилацетат:2-пропанол (4:1) с получением 0,86 г малеата 1-(3-(2-(1-бензотиофен-5-ил)этокси)пропил)азетидин-3-ола виде бесцветного кристаллического вещества.
Данные 1H-ЯМР в ДМСО-d6 соответствовали данным примера 6-1.
Пример 6-6
К 1,2-диметоксиэтановой (5 мл) суспензии 1,00 г 1-(3-(2-(1-бензотиофен-5-ил)этокси)пропионил)азетидин-3-ола добавляли 0,37 г боргидрида натрия, после чего охлаждали до 10°C. Добавляли по каплям 2,46 мл 4,0 моль/л раствора хлороводород/диоксан при 5-15°С в течение 10 минут и перемешивали при той же температуре в течение 1 часа, при комнатной температуре в течение 3,5 часов и при 35-40°С в течение 6 часов. После охлаждения добавляли по каплям 3,27 мл 6,0 моль/л хлороводородной кислоты и перемешивали при 65-70°С в течение 1,5 часов. К реакционной смеси добавляли воду и этилацетат и доводили рН до 10,0 добавлением 2,0 моль/л водного раствора гидроксида натрия. Органический слой отделяли, промывали последовательно водой и насыщенным водным раствором хлорида натрия. Добавляли безводный сульфат магния и активированный уголь. После того как отфильтровывали нерастворимый материал, отгоняли при пониженном давлении растворитель. К полученному остатку добавляли 0,36 г малеиновой кислоты и смесь отверждали из смешанного растворителя (5 мл) этилацетат:2-пропанол (4:1) с получением 0,93 г малеата 1-(3-(2-(1-бензотиофен-5-ил)этокси)пропил)азетидин-3-ола виде бесцветного кристаллического вещества.
Данные 1H-ЯМР в ДМСО-d6 соответствовали данным примера 6-1.
Пример 6-7
К 1,2-диметоксиэтановой (70 мл) суспензии 20,0 г 1-(3-(2-(1-бензотиофен-5-ил)этокси)пропионил)азетидин-3-ола добавляли 5,46 г боргидрида натрия, после чего охлаждали до 15°C. Добавляли по каплям 20,6 мл 7,0 моль/л раствора хлороводород/1,2-диметоксиэтан при 15-20°С в течение 40 минут и перемешивали при комнатной температуре в течение 1,5 часов и при 53-57°С в течение 4 часов. После охлаждения добавляли по каплям 65,5 мл 6,0 моль/л хлороводородной кислоты и перемешивали при 65-70°С в течение 1 часа. Реакционную смесь концентрировали при пониженном давлении, добавляли 100 мл воды и 100 мл этилацетата и доводили рН до 10,0 добавлением 5,0 моль/л водного раствора гидроксида натрия. После отделения органического слоя промывали его 50 мл воды и доводили рН до 1,0 добавлением 6,0 моль/л хлороводородной кислоты. Водный слой отделяли и добавляли к нему 50 мл этилацетата. Доводили рН до 10,0 добавлением 5,0 моль/л водного раствора гидроксида натрия. Органический слой отделяли и добавляли к нему безводный сульфат магния. После того как отфильтровывали нерастворимый материал, отгоняли при пониженном давлении растворитель. К полученному остатку добавляли 7,22 г малеиновой кислоты и смесь отверждали из смешанного растворителя (100 мл) этилацетат:2-пропанол (4:1) с получением 19,2 г малеата 1-(3-(2-(1-бензотиофен-5-ил)этокси)пропил)азетидин-3-ола виде бесцветного кристаллического вещества.
Пример 6-8
К тетрагидрофурановой (35,0 мл) суспензии 5,00 г 1-(3-(2-(1-бензотиофен-5-ил)этокси)пропионил)азетидин-3-ола добавляли 1,61 г боргидрида натрия и добавляли по каплям тетрагидрофурановый (15 мл) раствор 2,09 г серной кислоты при комнатной температуре в течение 30 минут, и перемешивали при 48-52°С в течение 7,5 часов. После охлаждения добавляли по каплям 16,4 мл 6,0 моль/л хлороводородной кислоты и затем кипятили с обратным холодильником в течение 1 часа. Реакционную смесь концентрировали при пониженном давлении, добавляли к остатку воду и этилацетат и доводили рН до 9,5 добавлением 5,0 моль/л водного раствора гидроксида натрия. Органический слой отделяли и промывали его насыщенным водным раствором хлорида натрия. Добавляли к нему безводный сульфат магния и активированный уголь. После того как отфильтровывали нерастворимый материал, отгоняли при пониженном давлении растворитель. К полученному остатку добавляли 1,81 г малеиновой кислоты и смесь отверждали из смешанного растворителя (25 мл) этилацетат:2-пропанол (4:1) с получением 4,82 г малеата 1-(3-(2-(1-бензотиофен-5-ил)этокси)пропил)азетидин-3-ола виде бесцветного кристаллического вещества.
Данные 1H-ЯМР в ДМСО-d6 соответствовали данным примера 6-1.
Пример 6-9
К тетрагидрофурановой (2,38 л) суспензии 340 г 1-(3-(2-(1-бензотиофен-5-ил)этокси)пропионил)азетидин-3-ола добавляли 110 г боргидрида натрия и добавляли по каплям тетрагидрофурановый (1,02 л) раствор 142 г серной кислоты при комнатной температуре в течение 1 часа, и перемешивали при 45-55°С в течение 5 часов. После охлаждения добавляли 170 мл ацетона и добавляли по каплям 204 мл 36% хлороводородной кислоты, и смесь перемешивали при комнатной температуре в течение 3 часов и оставляли в течение ночи. К реакционной смеси добавляли 1,02 л воды и отгоняли при пониженном давлении 3,34 л растворителя. После охлаждения добавляли 0,68 л этилацетата и добавляли по каплям водный (0,68 л) раствор 147 г гидроксида натрия при 14-22°C и смесь перемешивали при 7-15°С в течение 30 минут. Отфильтровывали нерастворимый материал, промывали 0,34 л этилацетата. Фильтрат и промывные воды объединяли, и органический слой отделяли и промывали 0,68 л воды. После добавления к органическому слою 2,04 л 2-пропанола отгоняли при пониженном давлении 3,01 л растворителя. Добавляли к остатку 1,02 л этилацетата и 34 г активированного угля и перемешивали в течение 20 минут. Отфильтровывали нерастворимый материал и промывали его 0,34 л этилацетата. Фильтрат и промывные воды объединяли, добавляли к ним 116 г малеиновой кислоты. После того как полученную реакционную смесь нагревали и растворяли, ее медленно охлаждали. Осадок собирали фильтрованием с получением 376 г малеата 1-(3-(2-(1-бензотиофен-5-ил)этокси)пропил)азетидин-3-ола виде бесцветного кристаллического вещества.
Данные 1H-ЯМР в ДМСО-d6 соответствовали данным примера 6-1.
Пример 6-10
К тетрагидрофурановой (250 мл) суспензии 50,0 г 1-(3-(2-(1-бензотиофен-5-ил)этокси)пропионил)азетидин-3-ола добавляли 13,6 г боргидрида натрия и добавляли по каплям 18,5 г серной кислоты при комнатной температуре в течение 3 часов и перемешивали при 45-55°С в течение 4,5 часов. После охлаждения добавляли 15 мл ацетона, добавляли по каплям 120 мл 6,0 моль/л хлороводородной кислоты и затем кипятили с обратным холодильником в течение 1 часа. К реакционной смеси добавляли 150 мл воды и отгоняли при пониженном давлении растворитель. Добавляли к остатку 200 мл этилацетата и добавляли по каплям водный (100 мл) раствор 43,9 г гидроксида натрия при 10-21°C. Органический слой отделяли, промывали добавлением 20% водного раствора хлорида водорода. Добавляли к нему 50,0 г целита и 5,0 г активированного угля, и смесь перемешивали в течение 20 минут. Отфильтровывали нерастворимый материал и промывали его 100 мл этилацетата. Фильтрат и промывные воды объединяли добавляли к ним 63 мл этилацетата, 75 мл 2-пропанола и 17,1 г малеиновой кислоты. После того как полученную реакционную смесь нагревали и растворяли, ее медленно охлаждали. Осадок собирали фильтрованием с получением 56,7 г малеата 1-(3-(2-(1-бензотиофен-5-ил)этокси)пропил)азетидин-3-ола виде бесцветного кристаллического вещества.
Данные 1H-ЯМР в ДМСО-d6 соответствовали данным примера 6-1.
ПРОМЫШЛЕННАЯ ПРИМЕНИМОСТЬ
Способ получения 1-(3-(2-(1-бензотиофен-5-ил)этокси)пропил)азетидин-3-ола и его солей по настоящему изобретению имеет следующие характеристики: (1) безопасность для организма человека, (2) низкие нагрузки на окружающую среду и (3) возможность массового производства и так далее, следовательно, способ получения 1-(3-(2-(1-бензотиофен-5-ил)этокси)пропил)азетидин-3-ола и его солей применим в промышленном производстве.
Формула изобретения
1. Способ получения 1-(3-(2-(1-бензотиофен-5-ил)этокси)пропил)азетидин-3-ола или его солей, отличающийся тем, что включает взаимодействие производного (фенилтио)уксусной кислоты или его солей, представленных общей формулой:
 где X1 представляет собой атом галогена, с галогенирующим агентом с получением галогенангидрида, представленного общей формулой:
 где Х2 представляет собой атом галогена; Х1 имеет значения, определенные выше, затем реакцию внутримолекулярной циклизации галогенангидрида в присутствии кислоты Льюиса, с последующей реакцией восстановления с получением производного дигидробензотиофена, представленного общей формулой:
 где X1 имеет значения, определенные выше, затем дегидратацию производного дигидробензотиофена в присутствии кислотного катализатора с получением производного 5-галоген-1-бензотиофена, представленного общей формулой:
 где X1 имеет значения, определенные выше, затем связывание производного 5-галоген-1-бензотиофена с производным малоновой кислоты или его солями, представленными общей формулой:
 где R2 и R3, одинаковые или разные, представляют собой незамещенную или замещенную алкилоксикарбонильную, циклоалкилоксикарбонильную или аралкилоксикарбонильную группу или цианогруппу, в присутствии основания и палладиевого катализатора с получением производного бензотиофена или его солей, представленных общей формулой:
 где R2 и R3 имеют такие же значения, как указанные выше, затем взаимодействие производного бензотиофена или его солей с кислотой или основанием, декарбоксилирование, если это необходимо, с получением производного бензотиофенуксусной кислоты или его солей, представленных общей формулой:
 где R4 представляет собой атом водорода или незамещенную или замещенную алкильную, циклоалкильную или аралкильную группу, затем гидролиз производного бензотиофенуксусной кислоты или его солей, если это необходимо, затем восстановление добавлением активатора в присутствии боргидрида щелочного металла с получением 2-(1-бензотиофен-5-ил)этанола, затем реакцию присоединения по Михаэлю 2-(1-бензотиофен-5-ил)этанола с использованием акрилонитрила в присутствии основания, взаимодействие со спиртом, представленным общей формулой:
 где R1 представляет собой атом водорода или незамещенную или замещенную алкильную, циклоалкильную или арильную группу, в присутствии кислоты с получением сложноэфирного производного пропионовой кислоты, представленного общей формулой:
 где R1 имеет значения, определенные выше, затем гидролиз сложноэфирного производного пропионовой кислоты в присутствии основания с получением 3-(2-(1-бензотиофен-5-ил)этокси)пропионовой кислоты или ее солей, затем превращение 3-(2-(1-бензотиофен-5-ил)этокси)пропионовой кислоты или ее солей в реакционноспособное производное, затем взаимодействие реакционноспособного производного с 3-азетидинолом или его солями в присутствии основания с получением 1-(3-(2-(1-бензотиофен-5-ил)этокси)пропионил)азетидин-3-ола, затем восстановление 1-(3-(2-(1-бензотиофен-5-ил)этокси)пропионил)азетидин-3-ола с добавлением активатора в присутствии боргидрида щелочного металла.
2. Способ получения 1-(3-(2-(1-бензотиофен-5-ил)этокси)пропил)азетидин-3-ола или его солей, отличающийся тем, что включает связывание производного 5-галоген-1-бензотиофена, представленного общей формулой:
 где X1 представляет собой атом галогена, с производным малоновой кислоты или его солями, представленными общей формулой:
 где R2 и R3, одинаковые или разные, представляют собой незамещенную или замещенную алкилоксикарбонильную, циклоалкилоксикарбонильную или аралкилоксикарбонильную группу или цианогруппу, в присутствии основания и палладиевого катализатора с получением производного бензотиофена или его солей, представленных общей формулой:
 где R2 и R3 имеют такие же значения, как указанные выше, затем взаимодействие производного бензотиофена или его солей с кислотой или основанием, декарбоксилирование, если это необходимо, с получением производного бензотиофенуксусной кислоты или его солей, представленных общей формулой:
 где R4 представляет собой атом водорода или незамещенную или замещенную алкильную, циклоалкильную или аралкильную группу, затем гидролиз производного бензотиофенуксусной кислоты или его солей, если это необходимо, затем восстановление с добавлением активатора в присутствии боргидрида щелочного металла с получением 2-(1-бензотиофен-5-ил)этанола, затем реакцию присоединения по Михаэлю 2-(1-бензотиофен-5-ил)этанола с использованием акрилонитрила в присутствии основания, затем взаимодействие со спиртом, представленным общей формулой:
 где R1 представляет собой атом водорода или незамещенную или замещенную алкильную, циклоалкильную или арильную группу, в присутствии кислоты с получением сложноэфирного производного пропионовой кислоты, представленного общей формулой:
 где R1 имеет значения, определенные выше, затем гидролиз сложноэфирного производного пропионовой кислоты в присутствии основания с получением 3-(2-(1-бензотиофен-5-ил)этокси)пропионовой кислоты или ее солей, затем превращение 3-(2-(1-бензотиофен-5-ил)этокси)пропионовой кислоты или ее солей в реакционноспособное производное, затем взаимодействие реакционноспособного производного с 3-азетидинолом или его солями в присутствии основания с получением 1-(3-(2-(1-бензотиофен-5-ил)этокси)пропионил)азетидин-3-ола, затем восстановление 1-(3-(2-(1-бензотиофен-5-ил)этокси)пропионил)азетидин-3-ола с добавлением активатора в присутствии боргидрида щелочного металла.
3. Способ получения 1-(3-(2-(1-бензотиофен-5-ил)этокси)пропил)азетидин-3-ола или его солей, отличающийся тем, что включает реакцию присоединения по Михаэлю 2-(1-бензотиофен-5-ил)этанола с использованием акрилонитрила в присутствии основания, затем взаимодействие со спиртом, представленным общей формулой:
 где R1 представляет собой атом водорода или незамещенную или замещенную алкильную, циклоалкильную или арильную группу, в присутствии кислоты с получением сложноэфирного производного пропионовой кислоты, представленного общей формулой:
 где R1 имеет значения, определенные выше, затем гидролиз сложноэфирного производного пропионовой кислоты в присутствии основания с получением 3-(2-(1-бензотиофен-5-ил)этокси)пропионовой кислоты или ее солей, затем превращение 3-(2-(1-бензотиофен-5-ил)этокси)пропионовой кислоты или ее солей в реакционноспособное производное, затем взаимодействие реакционноспособного производного с 3-азетидинолом или его солями в присутствии основания с получением 1-(3-(2-(1-бензотиофен-5-ил)этокси)пропионил)азетидин-3-ола, затем восстановление 1-(3-(2-(1-бензотиофен-5-ил)этокси)пропионил)азетидин-3-ола с добавлением активатора в присутствии боргидрида щелочного металла.
4. Способ получения производного 5-галоген-1-бензотиофена, представленного общей формулой:
 где Х1 представляет собой атом галогена, отличающийся тем, что включает взаимодействие производного (фенилтио)уксусной кислоты или его солей, представленных общей формулой:
 где X1 имеет значения, определенные выше, с галогенирующим агентом с получением галогенангидрида, представленного общей формулой:
 где X2 представляет собой атом галогена; Х1 имеет значения, определенные выше, затем реакцию внутримолекулярной циклизации полученного галогенангидрида в присутствии кислоты Льюиса, затем восстановление с получением производного дигидробензотиофена, представленного общей формулой:
 где X1 имеет значения, определенные выше, затем дегидратацию производного дигидробензотиофена в присутствии кислотного катализатора.
5. Способ получения по любому из пп.1-4, отличающийся тем, что включает выкристаллизовывание кристаллов производного дигидробензофенона, представленного общей формулой:
 где X1 представляет собой атом галогена, и выделение кристаллов.
6. Способ получения производного 5-галоген-1-бензотиофена, представленного общей формулой:
 где Х1 представляет собой атом галогена, отличающийся тем, что включает дегидратацию производного дигидробензофенона, представленного общей формулой:
 где X1 имеет значения, определенные выше, в присутствии кислотного катализатора.
7. Способ получения по п.4 или 6, где X1 представляет собой атом брома или атом иода.
8. Способ получения производного бензотиофена или его солей, представленных общей формулой:
 где R2 и R3, одинаковые или разные, представляют собой незамещенную или замещенную алкилоксикарбонильную, циклоалкилоксикарбонильную или аралкилоксикарбонильную группу или цианогруппу, отличающийся тем, что включает связывание производного бензотиофена, представленного общей формулой:
 где X1 представляет собой атом галогена, с производным малоновой кислоты или его солями, представленными общей формулой:
 где R2 и R3 имеют такие же значения, как указанные выше, в присутствии основания и палладиевого катализатора.
9. Способ получения производного бензотиофена по п.8, где X1 и группа, представленная общей формулой:
 присоединены в 4- или 5-положении бензотиофенового цикла.
10. Способ получения производного бензотиофена по п.8 или 9, где Х1 и группа, представленная общей формулой:
 присоединены в 5-положении бензотиофенового цикла.
11. Способ получения по пп.1 и 2, 8, где X1 представляет собой атом брома или атом иода.
12. Способ получения производного бензотиофенуксусной кислоты или его солей, представленных общей формулой:
 где R4 представляет собой атом водорода или незамещенную или замещенную алкильную, циклоалкильную или аралкильную группу, отличающийся тем, что включает взаимодействие производного бензотиофена или его солей, представленных общей формулой:
 где R2 и R3, одинаковые или разные, представляют собой незамещенную или замещенную алкилоксикарбонильную, циклоалкилоксикарбонильную или аралкилоксикарбонильную группу или цианогруппу, с кислотой или основанием, и декарбоксилирование, если это необходимо.
13. Способ получения производного бензотиофенуксусной кислоты или его солей по п.12, где группа, представленная общей формулой:
 и группа, представленная общей формулой:
 присоединены в 4- или 5-положении бензотиофенового цикла.
14. Способ получения производного бензотиофенуксусной кислоты или его солей по п.12 или 13, где группа, представленная общей формулой:
 и группа, представленная общей формулой:
 присоединены в 5-положении бензотиофенового цикла.
15. Способ получения производного бензотиофенуксусной кислоты или его солей, представленных общей формулой:
 где R4 представляет собой атом водорода или незамещенную или замещенную алкильную, циклоалкильную или аралкильную группу, отличающийся тем, что включает связывание производного бензотиофена, представленного общей формулой:
 где X1 представляет собой атом галогена, с производным малоновой кислоты или его солями, представленными общей формулой:
 где R2 и R3, одинаковые или разные, представляют собой незамещенную или замещенную алкилоксикарбонильную, циклоалкилоксикарбонильную или аралкилоксикарбонильную группу или цианогруппу, в присутствии основания и палладиевого катализатора с получением производного бензотиофена или его солей, представленных общей формулой:
 где R2 и R3 имеют такие же значения, как указанные выше, затем взаимодействие производного бензотиофена или его солей с кислотой или основанием, и декарбоксилирование, если это необходимо.
16. Способ получения производного бензотиофенуксусной кислоты или его солей по п.15, где X1 группа, представленная общей формулой:
 и группа, представленная общей формулой:
 присоединены в 4- или 5-положении бензотиофенового цикла.
17. Способ получения производного бензотиофенуксусной кислоты или его солей по п.15 или 16, где X1 группа, представленная общей формулой:
 и группа, представленная общей формулой:
 присоединены в 5-положении бензотиофенового цикла.
18. Способ получения по п.15, где X1 представляет собой атом брома или атом иода.
19. Способ получения по любому из пп.1 и 2, 8, 12 и 15, где R2 представляет собой незамещенную или замещенную алкилоксикарбонильную, циклоалкилоксикарбонильную или аралкилоксикарбонильную группу или цианогруппу; R3 представляет собой незамещенную или замещенную алкилоксикарбонильную, циклоалкилоксикарбонильную или аралкилоксикарбонильную группу.
20. Способ получения 2-(1-бензотиофен-5-ил)этанола, отличающийся тем, что включает гидролиз производного бензотиофенуксусной кислоты или его солей, представленных общей формулой:
 где R4 представляет собой атом водорода или незамещенную или замещенную алкильную, циклоалкильную или аралкильную группу, если это необходимо, и восстановление с добавлением активатора в присутствии боргидрида щелочного металла.
21. Способ получения 3-(2-(1-бензотиофен-5-ил)этокси)пропионовой кислоты или ее солей, отличающийся тем, что включает реакцию присоединения по Михаэлю 2-(1-бензотиофен-5-ил)этанола с использованием акрилонитрила в присутствии основания, затем взаимодействие со спиртом, представленным общей формулой:
 где R1 представляет собой атом водорода или незамещенную или замещенную алкильную, циклоалкильную или арильную группу, в присутствии кислоты с получением сложноэфирного производного пропионовой кислоты, представленного общей формулой:
 где R1 имеет значения, определенные выше, затем гидролиз сложноэфирного производного пропионовой кислоты в присутствии основания.
22. Способ получения 3-(2-(1-бензотиофен-5-ил)этокси)пропионовой кислоты или ее солей, отличающийся тем, что включает реакцию присоединения по Михаэлю 2-(1-бензотиофен-5-ил)этанола с использованием акрилонитрила в присутствии основания, затем взаимодействие со спиртом, представленным общей формулой:
 где R1 представляет собой атом водорода или незамещенную или замещенную алкильную, циклоалкильную или арильную группу, в присутствии кислоты с получением сложноэфирного производного пропионовой кислоты, представленного общей формулой:
 где R1 имеет значения, определенные выше, и гидролиз сложноэфирного производного пропионовой кислоты в присутствии основания, по любому из пп.1-3 и 21, где используемой кислотой является серная кислота или хлороводород.
23. Способ получения 3-(2-(1-бензотиофен-5-ил)этокси)пропионовой кислоты или ее солей, отличающийся тем, что включает реакцию присоединения по Михаэлю 2-(1-бензотиофен-5-ил)этанола с использованием акрилонитрила в присутствии основания, затем взаимодействие со спиртом, представленным общей формулой:
 где R1 представляет собой атом водорода или незамещенную или замещенную алкильную, циклоалкильную или арильную группу, в присутствии кислоты с получением сложноэфирного производного пропионовой кислоты, представленного общей формулой:
 где R1 имеет значения, определенные выше, и гидролиз сложноэфирного производного пропионовой кислоты в присутствии основания по любому из пп.1-3 и 21, где используемой кислотой является хлороводород, и R1 представляет собой атом водорода.
24. Способ получения 3-(2-(1-бензотиофен-5-ил)этокси)пропионовой кислоты или ее солей, отличающийся тем, что включает реакцию присоединения по Михаэлю 2-(1-бензотиофен-5-ил)этанола с использованием акрилонитрила в присутствии основания, затем взаимодействие со спиртом, представленным общей формулой:
 где R1 представляет собой атом водорода или незамещенную или замещенную алкильную, циклоалкильную или арильную группу, в присутствии кислоты с получением сложноэфирного производного пропионовой кислоты, представленного общей формулой:
 где R1 имеет значения, определенные выше, и гидролиз сложноэфирного производного пропионовой кислоты в присутствии основания по любому из пп.1-3 и 21, где используемой кислотой является серная кислота, и R1 представляет собой этильную группу.
25. Способ получения 1-(3-(2-(1-бензотиофен-5-ил)этокси)пропил)азетидин-3-ола или его солей, отличающийся тем, что включает восстановление 1-(3-(2-(1-бензотиофен-5-ил)этокси)пропионил)азетидин-3-ола с добавлением активатора в присутствии боргидрида щелочного металла.
26. Способ получения 1-(3-(2-(1-бензотиофен-5-ил)этокси)пропил)азетидин-3-ола или его солей, включающий восстановление 1-(3-(2-(1-бензотиофен-5-ил)этокси)пропионил)азетидин-3-ола с добавлением активатора в присутствии боргидрида щелочного металла, по любому из пп.1-3 и 25, где используемый активатор представляет собой по меньшей мере одно соединение, выбранное из протонной кислоты, метилирующего агента и силилирующего агента.
27. Способ получения 1-(3-(2-(1-бензотиофен-5-ил)этокси)пропил)азетидин-3-ола или его солей, включающий восстановление 1-(3-(2-(1-бензотиофен-5-ил)этокси)пропионил)азетидин-3-ола с добавлением активатора в присутствии боргидрида щелочного металла, по любому из пп.1-3 и 25, где используемый активатор представляет собой серную кислоту.
28. Способ получения 1-(3-(2-(1-бензотиофен-5-ил)этокси)пропил)азетидин-3-ола или его солей, включающий восстановление 1-(3-(2-(1-бензотиофен-5-ил)этокси)пропионил)азетидин-3-ола с добавлением активатора в присутствии боргидрида щелочного металла, по любому из пп.1-3 и 25, где используемый боргидрид щелочного металла представляет собой боргидрид натрия.
29. Способ получения 1-(3-(2-(1-бензотиофен-5-ил)этокси)пропил)азетидин-3-ола или его солей, включающий восстановление 1-(3-(2-(1-бензотиофен-5-ил)этокси)пропионил)азетидин-3-ола с добавлением активатора в присутствии боргидрида щелочного металла, по любому из пп.1-3 и 25, где количество используемой серной кислоты составляет 0,5-0,6 моль на моль боргидрида щелочного металла, причем способ отличается тем, что включает добавление серной кислоты при 0-30°С в течение от 10 мин до 6 ч, и затем взаимодействие при 30-70°С.
30. Производное дигидробензотиофена, представленное общей формулой:
 где X1 представляет собой атом галогена.
31. Производное дигидробензотиофена по п.30, где X1 представляет собой атом брома.
32. Производное бензотиофена или его соли, представленные общей формулой:
 где R2 и R3, одинаковые или разные, представляют собой (C1-4)алкилоксикарбонильную группу или цианогруппу.
33. Производное бензотиофена или его соли по п.32, где R2 представляет собой (С1-4)алкилоксикарбонильную группу или цианогруппу, и R3 представляет собой (С1-4)алкилоксикарбонильную группу.
34. Производное бензотиофена или его соли по п.32 или 33, где группа, представленная общей формулой:
 присоединена в 4- или 5-положении бензотиофенового цикла.
35. Производное бензотиофена или его соли по п.32 или 33, где группа, представленная общей формулой:
 присоединена в 5-положении бензотиофенового цикла.
36. Сложноэфирное производное пропионовой кислоты, представленное общей формулой:
 где R1 представляет собой атом водорода или (С1-4)алкильную группу.
|
|