|
|
(21), (22) Заявка: 2007115161/04, 23.09.2005
(24) Дата начала отсчета срока действия патента:
23.09.2005
(30) Конвенционный приоритет:
24.09.2004 EP 04022755.5
(43) Дата публикации заявки: 10.11.2008
(46) Опубликовано: 20.08.2010
(56) Список документов, цитированных в отчете о поиске:
WO 03/055491 А1, 10.07.2003.
(85) Дата перевода заявки PCT на национальную фазу:
24.04.2007
(86) Заявка PCT:
EP 2005/010311 20050923
(87) Публикация PCT:
WO 2006/032518 20060330
Адрес для переписки:
101000, Москва, М.Златоустинский пер., 10, кв.15, “ЕВРОМАРКПАТ”, пат.пов. И.А.Веселицкой, рег. 11
|
(72) Автор(ы):
БОЙД Эдуард (GB), БРУКФИЛД Фредерик (GB), ЖОРЖ Ги (DE), ГОЛЛЕР Бернхард (DE), ХЮНШ Забине (DE), РЮГЕР Петра (DE), РЮТ Маттиас (DE), ШАЙБЛИХ Штефан (DE), ШЮЛЛЬ Кристине (DE), ФОН-ДЕР-ЗАЛ Вольфганг (DE), УОРН Джастин (GB), ВАЙГАНД Штефан (DE)
(73) Патентообладатель(и):
Ф.ХОФФМАНН-ЛЯ РОШ АГ (CH)
|
(54) НОВЫЕ ПРОИЗВОДНЫЕ ФТАЛАЗИНОНА В КАЧЕСТВЕ ИНГИБИТОРОВ КИНАЗЫ АВРОРА-А
(57) Реферат:
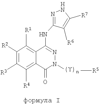
Описываются соединения формулы I:

их фармацевтически приемлемые соли, где R1-R7, Y и n указаны в формуле изобретения. Соединения обладают ингибирующим действием в отношении тирозинкиназы аврора А. Описывается также лекарственное средство на основе соединения формулы (I). Средство может использоваться для контроля или профилактики заболеваний, таких как рак. 2 н. и 15 з.п. ф-лы, 2 табл.
Текст описания приведен в факсимильном виде.                                                                                                                                                                                                       
Формула изобретения
1. Соединение формулы I:
 формула I где R1, R2, R3 и R4 независимо представляют собой R8-X-, гетероциклил-Т2-, где гетероциклил обозначает насыщенное 5-6-членное моноциклическое кольцо, содержащее 1 или 2 гетероатома, независимо выбранных из N и О, которое необязательно может быть замещено C1-С6-алкилом, водород, галоген, нитро, -ОН, -NH2, -NH-C(O)H, -С(O)ОН, -C(O)NH2, -C(O)NH-O-С1-С6-алкил, -С(O)N(С1-С6-алкил)-O-С1-С6-алкил или С1-С6-алкил, необязательно замещенный один или два раза галогеном, гидрокси или С1-С6-алкокси; R8 представляет собой С3-С7-циклоалкил-Т1-, морфолинил-Т2-, ацетилпиперазинил-Т2-, галогенфенил-Т3-, пиридинил-Т4-, который может быть необязательно замещен С1-С6-алкилом, или С1-С6-алкил, необязательно замещенный один или два раза галогеном; X представляет собой -C(O)NH-, -С(O)N(С1-С6-алкил)-, N(C1-C6-алкил)С(О)-, -NHC(O)-, -NHC(O)N(С1-С6-алкил)-, -S(O)2NH-, S(O)2N(C1-C6-алкил)-, -S(O)2-, -С(O)O-, -С(О)-, -NH-, -N(С1-С6-алкил)-, -О- или -S-, и Т1, Т2, Т3 и Т4 независимо представляют собой простую связь или C1-C5-алкилен; R5 представляет собой С1-С6-алкил, необязательно замещенный один или три раза галогеном или С1-С6-алкокси, гетероарил, представляющий собой 5-6-членное моноциклическое ароматическое кольцо, содержащее 1 или 2 гетероатома, независимо выбранных из N и S, которое необязательно может быть замещено С1-С6-алкилом, или фенил, который необязательно замещен один или два раза галогеном, -NO2, -С(O)ОН, -C(O)NH2, -C(O)NH-С1-С6-алкилом, -NH2, -NHC(O)-фенилом, -NHC(O)-С1-С6-алкилом, -N(C1-С6-алкил)С(O)-С1-С6-алкилом, -NHC(O)O-C1-C6-алкилом, -N(C1-C6-алкил)С(O)O-С1-С6-алкилом, -NH-S(O)2-С1-С6-алкилом, -S(O)2-C1-C6-алкилом, -NH-фенилом, -О-фенилом, -S(O)-фенилом, фенилом, который необязательно может быть замещен С1-С6-алкилом, гетероциклилом, представляющим собой насыщенное 5-6-членное моноциклическое кольцо, содержащее 1 или 2 гетероатома, независимо выбранных из N и О, С3-С7-циклоалкилом, С1-С6-алкилом, C1-С6-алкокси или С1-С61алкилсульфанилом, причем указанные алкильные или алкокси группы могут быть необязательно замещены три раза галогеном; нафтил, бензо[1,3]диоксол-5-ил, С3-С7-циклоалкил, который необязательно может быть замещен С1-С6-алкилом, или С2-С6-алкенил; Y представляет собой C1-C5-алкилен, С1-С5-алкилен-С(O)- или С1-С5-алкилен-СН(ОН)-; n обозначает 0 или 1; R6 представляет собой водород; R7 представляет собой водород, С1-С6-алкил или С3-С7-циклоалкил; и все его фармацевтически приемлемые соли.
2. Соединения по п.1, где R1, R2, R3 и R4 независимо представляют собой R8-X-, водород, галоген, -ОН, -NH2, -С(O)ОН, -C(O)NH2, -С(O)NH-O-С1-С6-алкил, -C(O)N(C1-C6-алкил)-O-С1-С6-алкил или C1-С6-алкил, необязательно замещенный один или два раза галогеном, гидрокси или С1-С6-алкокси; X представляет собой -C(O)NH-, -С(O)N(С1-С6-алкил)-, -N(C1-C6-алкил)С(О)-, -NHC(O)-, -NHC(O)N(С1-С6-алкил)-, -S(O)2NH-, -S(O)2N(C1-С6-алкил)-, -S(O)2-, -C(O)O-, -C(O)-, -NH-, -N(С1-С6-алкил)-, -О- или -S-; R5 представляет собой C1-С6-алкил, необязательно замещенный три раза галогеном, пиридил, метилтиазолил или фенил, который необязательно замещен один или два раза галогеном, -NO2, -NH2, -NHC(O)-C1-C6-алкилом, -S(O)2-С1-С6-алкилом, С1-С6-алкокси или С1-С6-алкилсульфанилом, причем алкоксигруппа замещена три раза галогеном; и Y представляет собой С1-С6-алкилен.
3. Соединения по п.1, где R1, R2, R3 и R4 независимо представляют собой R8-Х-, гетероциклил-Т2-, где гетероциклил обозначает насыщенное 5-6-членное моноциклическое кольцо, содержащее 1 или 2 гетероатома, независимо выбранных из N и О, которое необязательно может быть замещено С1-С6-алкилом, водород, галоген, нитро, -ОН, -NH2, -NH-C(O)H, -С(O)ОН, -C(O)NH2, -C(O)NH-O-С1-С6-алкил или С1-С6-алкил, необязательно замещенный один или два раза гидрокси или С1-С6-алкокси; X представляет собой -C(O)NH-, -С(O)N(С1-С6-алкил)-, -N(C1-C6-алкил)С(О)-, -NHC(O)-, -NHC(O)N(С1-С6-алкил)-, -S(O)2NH-, -S(O)2N(C1-С6-алкил)-, -S(O)2-, -C(O)-, -NH-, -N(С1-С6-алкил)-, -О- или -S-; Т1, Т2, Т3 и Т4 независимо представляют собой простую связь или С1-С5-алкилен; R5 представляет собой С1-С6-алкил, необязательно замещенный один или три раза галогеном или С1-С6-алкокси, гетероарил, представляющий собой 5-6-членное моноциклическое ароматическое кольцо, содержащее 1 или 2 гетероатома, независимо выбранных из N и S, которое необязательно может быть замещено С1-С6-алкилом, или фенил, который необязательно замещен один или два раза галогеном, -NO2, -С(O)ОН, -C(O)NH-C1-C6-алкилом, -NH2, -NHC(O)-С1-С6-алкилом, -N(С1-С6-алкил)С(O)-С1-С6-алкилом, -NHC(O)O-C1-С6-алкилом, -N(C1-С6-алкил)С(O)O-С1-С6-алкилом, -NH-S(O)2-С1-С6-алкилом, S-(О)2-С1-С6-алкилом, -NHC(O)-фенилом, -NH-фенилом, -О-фенилом, -S(O)-фенилом, фенилом, гетероциклилом, представляющим собой насыщенное 5-6-членное моноциклическое кольцо, содержащее 1 или 2 гетероатома, независимо выбранных из N и О, С3-С7-циклоалкилом, С1-С6-алкилом, С1-С6-алкокси или С1-С6-алкилсульфанилом, причем указанные алкильные или алкоксигруппы необязательно замещены три раза галогеном; нафтил, бензо[1,3]диоксол-5-ил, С3-С7-циклоалкил или С2-С6-алкенил; и R6 представляет собой водород.
4. Соединения по п.1, где R1 представляет собой водород; R2, R3 и R4 независимо представляют собой R8-Х-, гетероциклил-Т2-, где гетероциклил обозначает насыщенное 5-6-членное моноциклическое кольцо, содержащее 1 или 2 гетероатома, независимо выбранных из N и О, которое необязательно может быть замещено С1-С6-алкилом, водород, галоген, нитро, -ОН, -NH2, -NH-C(O)H, -С(O)ОН, -C(O)NH2, -C(O)NH-O-C1-С6-алкил или С1-С6-алкил, необязательно замещенный один или два раза гидрокси или С1-С6-алкокси; X представляет собой -C(O)NH-, -С(O)N(С1-С6-алкил)-, -N(C1-C6-алкил)С(О)-, -NHC(O)-, -NHC(О)N(C1-C6-алкил)-, -S(O)2NH-, S(O)2N(C1-C6-алкил)-, -S(O)2-, -С(О)-, -NH-, -N(С1-С6-алкил)-, -О- или -S-; Т1, Т2, Т3 и Т4 независимо представляют собой простую связь или С1-С5-алкилен; R5 представляет собой С1-С6-алкил, необязательно замещенный один или три раза галогеном или С1-С6-алкокси, гетероарил, представляющий собой 5-6-членное моноциклическое ароматическое кольцо, содержащее 1 или 2 гетероатома, независимо выбранных из N и S, которое необязательно может быть замещено С1-С6-алкилом, или фенил, который необязательно замещен один или два раза галогеном, -NO2, -С(O)ОН, -C(O)NH-C1-С6-алкилом, -NH2, -NHC(O)-C1-С6-алкилом, -N(C1-C6-алкил)C(O)-C1-С6-алкилом, -NHC(O)O-C1-С6-алкилом, -N(C1-С6-алкил)С(O)O-С1-С6-алкилом, -NH-S(O)2-C1-С6-алкилом, -S(O)2-С1-С6-алкилом, -NHC(O)-фенилом, -NH-фенилом, -О-фенилом, -S(O)-фенилом, фенилом, гетероциклилом, представляющим собой насыщенное 5-6-членное моноциклическое кольцо, содержащее 1 или 2 гетероатома, независимо выбранных из N и О, С3-С7-циклоалкилом, С1-С6-алкилом, С1-С6-алкокси или C1-C6-алкилсульфанилом, причем указанные алкильные и алкоксигруппы необязательно замещены три раза галогеном; нафтил, бензо[1,3]диоксол-5-ил, С3-С7-циклоалкил или С2-С6-алкенил; и R6 представляет собой водород.
5. Соединения по п.1, где R1, R2 и R4 представляют собой водород; R3 представляет собой R8-Х-, гетероциклил-Т2-, где гетероциклил обозначает насыщенное 5-6-членное моноциклическое кольцо, содержащее 1 или 2 гетероатома, независимо выбранных из N и О, которое необязательно может быть замещено С1-С6-алкилом, галоген, -ОН, -С(O)ОН, -C(O)NH2, -С(O)NH-O-С1-С6-алкил или С1-С6-алкил, необязательно замещенный один раз гидрокси или С1-С6-алкокси; X представляет собой -С(O)N(С1-С6-алкил)-, -N(С1-С6-алкил)С(O)-, -NHC(O)-, NHC(O)N(С1-С6-алкил)-, -S(O)2NH-, -S(O)2N(С1-С6-алкил)-, -S(O)2-, -ОС(О)-, -С(О)-, -NH-, -N(С1-С6-алкил)-, -О- или -S-; Т1, Т2, Т3 и Т4 независимо представляют собой простую связь или С1-С5-алкилен; R5 представляет собой C1-С6-алкил или фенил; Y представляет собой C1-C5-алкилен; n обозначает 0 или 1; R6 представляет собой водород, и R7 представляет собой C1-С6-алкил или С3-С7-циклоалкил.
6. Соединения по п.5, представляющие собой 7-фтор-2-изопропил-4-(5-метил-1Н-пиразол-3-иламино)-2Н-фталазин-1-он; 2-изопропил-4-(5-метил-1Н-пиразол-3-иламино)-7-морфолино-2Н-фталазин-1-он; 2-бензил-4-(5-метил-1Н-пиразол-3-иламино)-7-морфолино-2Н-фталазин-1-он; 2-изопропил-7-(4-метилпиперазин-1-ил)-4-(5-метил-2Н-пиразол-3-иламино)-2Н-фталазин-1-он; 2-изопропил-4-(5-метил-1Н-пиразол-3-иламино)-7-диметиламино-2Н-фталазин-1-он; трет-бутиловый эфир [3-изопропил-1-(5-метил-2Н-пиразол-3-иламино)-4-оксо-3,4-дигидрофталазин-6-ил]метилкарбаминовой кислоты; 2-изопропил-4-(5-метил-1Н-пиразол-3-иламино)-7-метокси-2Н-фталазин-1-он; 2-изопропил-4-(5-метил-1Н-пиразол-3-иламино)-7-(пиридин-2-илметокси)-2Н-фталазин-1-он; 2-изопропил-4-(5-метил-1Н-пиразол-3-иламино)-7-(пиридин-3-илметокси)-2Н-фталазин-1-он; 2-изопропил-4-(5-метил-1Н-пиразол-3-иламино)-7-(пиридин-4-илметокси)-2Н-фталазин-1-он; 2-изопропил-4-(5-метил-1Н-пиразол-3-иламино)-7-(2-морфолин-4-илэтокси)-2Н-фталазин-1-он; 7-гидрокси-2-изопропил-4-(5-метил-1Н-пиразол-3-иламино)-2Н-фталазин-1-он; 2-бензил-7-метокси-4-(5-метил-1Н-пиразол-3-иламино)-2Н-фталазин-1-он; 2-изопропил-4-(5-метил-1Н-пиразол-3-иламино)-7-метилсульфанил-2Н-фталазин-1-он; 2-изопропил-7-метансульфонил-4-(5-метил-1Н-пиразол-3-иламино)-2Н-фталазин-1-он; 2-изопропил-4-(5-метил-1Н-пиразол-3-иламино)-7-(2-морфолин-4-илэтилсульфанил)-2Н-фталазин-1-он; 2-изопропил-7-[метил-(2-морфолин-4-илэтил)амино]-4-(5-метил-1Н-пиразол-3-иламино)-2Н-фталазин-1-он; 2-изопропил-4-(5-метил-1Н-пиразол-3-иламино)-7-(метилпиридин-4-илметиламино)-2Н-фталазин-1-он; 2-изопропил-4-(5-метил-1Н-пиразол-3-иламино)-7-(метилпиридин-3-илметиламино)-2Н-фталазин-1-он; 2-изопропил-4-(5-метил-1Н-пиразол-3-иламино)-7-(метилпиридин-2-илметиламино)-2Н-фталазин-1-он; N-[3-изопропил-1-(5-метил-1Н-пиразол-3-иламино)-4-оксо-3,4-дигидрофталазин-6-ил]-N-метилацетамид; 3-изопропил-1-[3-изопропил-1-(5-метил-1Н-пиразол-3-иламино)-4-оксо-3,4-дигидрофталазин-6-ил]-1-метилмочевина; этиловый эфир [3-изопропил-1-(5-метил-1Н-пиразол-3-иламино)-4-оксо-3,4-дигидрофталазин-6-ил]метилкарбаминовой кислоты; N-[3-изопропил-1-(5-метил-1Н-пиразол-3-иламино)-4-оксо-3,4-дигидрофталазин-6-ил]ацетамид; 7-[(4-фторбензил)метиламино]-2-изопропил-4-(5-метил-1Н-пиразол-3-иламино)-2Н-фталазин-1-он; N-[3-изопропил-1-(5-метил-1Н-пиразол-3-иламино)-4-оксо-3,4-дигидрофталазин-6-ил]-N-метилметансульфонамид; 2-изопропил-4-(5-метил-1Н-пиразол-3-иламино)-7-(2-морфолин-4-илэтиламино)-2Н-фталазин-1-он; 2-изопропил-7-метиламино-4-(5-метил-1Н-пиразол-3-иламино)-2Н-фталазин-1-он; 1-[3-изопропил-1-(5-метил-1Н-пиразол-3-иламино)-4-оксо-3,4-дигидрофталазин-6-ил]-3-метилмочевина; 4-(5-циклопропил-2Н-пиразол-3-иламино)-7-диметиламино-2-изопропил-2Н-фталазин-1-он; N-[3-изопропил-1-(5-метил-1Н-пиразол-3-иламино)-4-оксо-3,4-дигидрофталазин-6-ил]метансульфонамид; 2-изопропил-7-метоксиметил-4-(5-метил-1Н-пиразол-3-иламино)-2Н-фталазин-1-он; 2-бензил-7-метоксиметил-4-(5-метил-1Н-пиразол-3-иламино)-2Н-фталазин-1-он; 2-изопропил-7-(4-метилпиперазин-1-илметил)-4-(5-метил-1Н-пиразол-3-иламино)-2Н-фталазин-1-он; 2-изопропил-4-(5-метил-1Н-пиразол-3-иламино)-7-морфолин-4-илметил-2Н-фталазин-1-он; 3-изопропил-1-(5-метил-1Н-пиразол-3-иламино)-4-оксо-3,4-дигидрофталазин-6-карбоновая кислота; 2-изопропил-4-(5-метил-1Н-пиразол-3-иламино)-7-(морфолин-4-карбонил)-2Н-фталазин-1-он; диэтиламид 3-изопропил-1-(5-метил-1Н-пиразол-3-иламино)-4-оксо-3,4-дигидрофталазин-6-карбоновой кислоты; метоксиамид 3-изопропил-1-(5-метил-1Н-пиразол-3-иламино)-4-оксо-3,4-дигидрофталазин-6-карбоновой кислоты; изопропиламид 3-изопропил-1-(5-метил-1Н-пиразол-3-иламино)-4-оксо-3,4-дигидрофталазин-6-карбоновой кислоты; циклопропилметиловый эфир 3-изопропил-1-(5-метил-1Н-пиразол-3-иламино)-4-оксо-3,4-дигидрофталазин-6-карбоновой кислоты; 7-(4-ацетилпиперазин-1-карбонил)-2-изопропил-4-(5-метил-1Н-пиразол-3-иламино)-2Н-фталазин-1-он; метиловый эфир 3-изопропил-1-(5-метил-1Н-пиразол-3-иламино)-4-оксо-3,4-дигидрофталазин-6-карбоновой кислоты; 7-гидроксиметил-2-изопропил-4-(5-метил-1Н-пиразол-3-иламино)-2Н-фталазин-1-он; 6-гидроксиметил-2-изопропил-4-(5-метил-1Н-пиразол-3-иламино)-2Н-фталазин-1-он; амид 3-изопропил-1-(5-метил-1Н-пиразол-3-иламино)-4-оксо-3,4-дигидрофталазин-6-карбоновой кислоты; 2-изопропил-4-(5-метил-1Н-пиразол-3-иламино)-7-пиперидин-1-ил-2Н-фталазин-1-он и 2-изопропил-4-(5-метил-1Н-пиразол-3-иламино)-7-пирролидин-1-ил-2Н-фталазин-1-он.
7. Соединения по п.1, где R1, R2, R3 представляют собой водород; R4 представляет собой R8-Х-, морфолино-Т2-; R8 представляет собой С1-С6-алкил; X представляет собой -N(С1-С6-алкил)-; Т2 представляет собой простую связь; R5 представляет собой С1-С6-алкил; n обозначает 0, и R6 представляет собой водород.
8. Соединения по п.7, представляющие собой 2-изопропил-4-(5-метил-1Н-пиразол-3-иламино)-8-морфолино-2Н-фталазин-1-он и 2-изопропил-4-(5-метил-1Н-пиразол-3-иламино)-8-диметиламино-2Н-фталазин-1-он.
9. Соединения по п.1, где R1, R3 и R4 представляют собой водород; R2 представляет собой R8-Х-, морфолино-Т2-, галоген, -NH2 или C1-C6-алкил, необязательно замещенный один раз гидрокси или С1-С6-алкокси; R8 представляет собой С1-С6-алкил; X представляет собой -N(С1-С6-алкил)- или -О-; Т2 представляют собой простую связь; R5 представляет собой С1-С6-алкил; n обозначает 0, и R6 представляет собой водород.
10. Соединения по п.9, представляющие собой 6-фтор-2-изопропил-4-(5-метил-1Н-пиразол-3-иламино)-2Н-фталазин-1-он; 2-изопропил-4-(5-метил-1Н-пиразол-3-иламино)-6-морфолино-2Н-фталазин-1-он; 2-изопропил-4-(5-метил-1Н-пиразол-3-иламино)-6-диметиламино-2Н-фталазин-1-он; 2-изопропил-6-метокси-4-(5-метил-1Н-пиразол-3-иламино)-2Н-фталазин-1-он; 2-изопропил-6-метоксиметил-4-(5-метил-2Н-пиразол-3-иламино)-2Н-фталазин-1-он; 6-гидроксиметил-2-изопропил-4-(5-метил-1Н-пиразол-3-иламино)-2Н-фталазин-1-он, и 6-амино-4-(5-метил-1Н-пиразол-3-иламино)-2-фенил-2Н-фталазин-1-он.
11. Соединения по п.1, где R1, R2, R3 и R4 представляют собой водород; R5 представляет собой С1-С6-алкил, необязательно замещенный один или три раза галогеном или С1-С6-алкокси, гетероарил, выбранный из пиридина и С1-С6-алкилтиазола, или фенил, который необязательно замещен один или два раза галогеном, -NO2, -С(O)ОН, -C(O)NH-C1-С6-алкилом, -NH2, -NHC(O)-C1-С6-алкилом, -N(C1-С6-алкил)С(O)-С1-С6-алкилом, -NHC(O)O-С1-С6-алкилом, -NH-S(O)2-C1-С6-алкилом, -S(O)2-С1-С6-алкилом, -NHC(O)-фенилом, -NH-фенилом, -О-фенилом, -S(O)-фенилом, фенилом, который необязательно может быть замещен С1-С6-алкилом, гетероциклилом, выбранным из морфолинила, пирролидинила и пиперидинила, С3-С7-циклоалкилом, С1-С6-алкилом, C1-С6-алкокси или C1-C6-алкилсульфанилом, причем указанные алкильные и алкоксигруппы необязательно замещены три раза галогеном; нафтил, бензо[1,3]диоксол-5-ил, С3-С7циклоалкил, который необязательно может быть замещен C1-С6-алкилом, или С2-С6-алкенил; и R6 представляет собой водород.
12. Соединения по п.11, представляющие собой 4-(5-метил-1Н-пиразол-3-иламино)-2-фенил-2Н-фталазин-1-он; 2-бензил-4-(5-метил-1Н-пиразол-3-иламино)-2Н-фталазин-1-он; 2-метил-4-(5-метил-1Н-пиразол-3-иламино)-2Н-фталазин-1-он; 2-изобутил-4-(5-метил-1Н-пиразол-3-иламино)-2Н-фталазин-1-он; 4-(5-метил-1Н-пиразол-3-иламино)-2-(2,2,2-трифторэтил)-2Н-фталазин-1-он; 4-(5-метил-1Н-пиразол-3-иламино)-2-n-толил-2Н-фталазин-1-он; 2-(4-фторфенил)-4-(5-метил-1Н-пиразол-3-иламино)-2Н-фталазин-1-он; 2-(4-трет-бутилфенил)-4-(5-метил-1Н-пиразол-3-иламино)-2Н-фталазин-1-он; 2-(4-метоксифенил)-4-(5-метил-1Н-пиразол-3-иламино)-2Н-фталазин-1-он; 4-(1Н-пиразол-3-иламино)-2-n-толил-2Н-фталазин-1-он; 2-(4-метоксибензил)-4-(5-метил-1Н-пиразол-3-иламино)-2Н-фталазин-1-он; 2-(3-метоксибензил)-4-(5-метил-1Н-пиразол-3-иламино)-2Н-фталазин-1-он; 2-(2,5-дифторбензил)-4-(5-метил-1Н-пиразол-3-иламино)-2Н-фталазин-1-он; 2-(4-метансульфонилбензил)-4-(5-метил-2Н-пиразол-3-иламино)-2Н-фталазин-1-он; 2-(3,4-дифторбензил)-4-(5-метил-1Н-пиразол-3-иламино)-2Н-фталазин-1-он; 4-(5-метил-1Н-пиразол-3-иламино)-2-(2-метилтиазол-4-илметил)-2Н-фталазин-1-он; 4-(5-метил-2Н-пиразол-3-иламино)-2-пиридин-4-илметил-2Н-фталазин-1-он; 4-(5-метил-2Н-пиразол-3-иламино)-2-пиридин-3-илметил-2Н-фталазин-1-он; 2-(2-фторбензил)-4-(5-метил-1Н-пиразол-3-иламино)-2Н-фталазин-1-он; 2-(4-фторбензил)-4-(5-метил-1Н-пиразол-3-иламино)-2Н-фталазин-1-он; 2-(3,5-дифторбензил)-4-(5-метил-1Н-пиразол-3-иламино)-2Н-фталазин-1-он; 4-(5-метил-2Н-пиразол-3-иламино)-2-пиридин-2-илметил-2Н-фталазин-1-он; 2-изопропил-4-(5-метил-1Н-пиразол-3-иламино)-2Н-фталазин-1-он; 3-[4-(5-метил-1Н-пиразол-3-иламино)-1-оксо-1Н-фталазин-2-илметил]бензойная кислота; 4-(5-метил-1Н-пиразол-3-иламино)-2-(4-трифторметилфенил)-2Н-фталазин-1-он; 2-(4-хлорфенил)-4-(5-метил-1Н-пиразол-3-иламино)-2Н-фталазин-1-он; 4-(5-метил-1Н-пиразол-3-иламино)-2-м-толил-2Н-фталазин-1-он; 4-(5-метил-1Н-пиразол-3-иламино)-2-(4-нитробензил)-2Н-фталазин-1-он; 2-(4-аминобензил)-4-(5-метил-1Н-пиразол-3-иламино)-2Н-фталазин-1-он; N-{4-[4-(5-метил-1Н-пиразол-3-иламино)-1-оксо-1Н-фталазин-2-илметил]фенил}ацетамид; N-{4-[1-оксо-4-(1Н-пиразол-3-иламино)-1Н-фталазин-2-илметил]фенил} ацетамид; 2-[2-(4-метоксифенил)-2-оксоэтил]-4-(5-метил-1Н-пиразол-3-иламино)-2Н-фталазин-1-он; 2-[2-(3-метоксифенил)-2-оксоэтил]-4-(5-метил-1Н-пиразол-3-иламино)-2Н-фталазин-1-он; 4-(5-метил-1Н-пиразол-3-иламино)-2-[2-оксо-2-(4-трифторметоксифенил)этил]-2Н-фталазин-1-он; 2-(2-бензо[1,3]диоксол-5-ил-2-оксоэтил)-4-(5-метил-1Н-пиразол-3-иламино)-2Н-фталазин-1-он; 4-(5-метил-1Н-пиразол-3-иламино)-2-[2-оксо-2-(4-трифторметилфенил)этил]-2Н-фталазин-1-он; 4-(5-метил-1Н-пиразол-3-иламино)-2-(2-оксо-2-фенилэтил)-2Н-фталазин-1-он; 2-аллил-4-(5-метил-1Н-пиразол-3-иламино)-2Н-фталазин-1-он; 2-циклопропилметил-4-(5-метил-1Н-пиразол-3-иламино)-2Н-фталазин-1-он; 4-(5-метил-1Н-пиразол-3-идамино)-2-(4-метилсульфанилбензил)-2Н-фталазин-1-он; 2-(2-гидрокси-2-фенилэтил)-4-(5-метил-1Н-пиразол-3-иламино)-2Н-фталазин-1-он; 2-(4-трет-бутил-2-хлорфенил)-4-(5-метил-1Н-пиразол-3-иламино)-2Н-фталазин-1-он; 2-[4-(2-метилпропан-2-сульфонил)фенил]-4-(5-метил-1Н-пиразол-3-иламино)-2Н-фталазин-1-он; 2-(4-бензолсульфинилфенил)-4-(5-метил-1Н-пиразол-3-иламино)-2Н-фталазин-1-он; N-этил-N-{4-[4-(5-метил-1Н-пиразол-3-иламино)-1-оксо-1Н-фталазин-2-ил]фенил}ацетамид; этиловый эфир{4-[4-(5-метил-1Н-пиразол-3-иламино)-1-оксо-1Н-фталазин-2-ил]фенил}карбаминовой кислоты; этиловый эфир метил-{4-[4-(5-метил-1Н-пиразол-3-иламино)-1-оксо-1Н-фталазин-2-ил]фенил}карбаминовой кислоты; изопропиловый эфир метил-{4-[4-(5-метил-1Н-пиразол-3-иламино)-1-оксо-1Н-фталазин-2-ил]фенил}карбаминовой кислоты; изопропиловый эфир {4-[4-(5-метил-1Н-пиразол-3-иламино)-1-оксо-1Н-фталазин-2-ил]фенил}карбаминовой кислоты; 4-(5-метил-1Н-пиразол-3-иламино)-2-(4-нитрофенил)-2Н-фталазин-1-он; 2-(4-циклогексилфенил)-4-(5-метил-1Н-пиразол-3-иламино)-2Н-фталазин-1-он; 4-(5-метил-1Н-пиразол-3-иламино)-2-пиридин-4-ил-2Н-фталазин-1-он; 2-(3-трет-бутилфенил)-4-(5-метил-1Н-пиразол-3-иламино)-2Н-фталазин-1-он; 2-(2-метоксиэтил)-4-(5-метил-2Н-пиразол-3-иламино)-2Н-фталазин-1-он; 2-(2-метокси-1-метилэтил)-4-(5-метил-2Н-пиразол-3-иламино)-2Н-фталазин-1-он; 2-(4-трет-бутилциклогексил)-4-(5-метил-1Н-пиразол-3-иламино)-2Н-фталазин-1-он; 2-(4-изопропилфенил)-4-(5-метил-2Н-пиразол-3-иламино)-2Н-фталазин-1-он; 2-(4-втор-бутилфенил)-4-(5-метил-2Н-пиразол-3-иламино)-2Н-фталазин-1-он; 2-бифенил-4-ил-4-(5-метил-1Н-пиразол-3-иламино)-2Н-фталазин-1-он; 2-(2′-метилбифенил-4-ил)-4-(5-метил-1Н-пиразол-3-иламино)-2Н-фталазин-1-он; 4-(5-метил-1Н-пиразол-3-иламино)-2-(3-трифторметилфенил)-2Н-фталазин-1-он; 4-(5-метил-1Н-пиразол-3-иламино)-2-(4-феноксифенил)-2Н-фталазин-1-он; 4-(5-метил-1Н-пиразол-3-иламино)-2-нафтален-2-ил-2Н-фталазин-1-он; 2-(2-хлорфенил)-4-(5-метил-1Н-пиразол-3-иламино)-2Н-фталазин-1-он; N-метил-4-[4-(5-метил-1Н-пиразол-3-иламино)-1-оксо-1Н-фталазин-2-ил]-бензамид; N-{4-[4-(5-метил-1Н-пиразол-3-иламино)-1-оксо-1Н-фталазин-2-ил]фенил}ацетамид; 2-метокси-N-{4-[4-(5-метил-1Н-пиразол-3-иламино)-1-оксо-1Н-фталазин-2-ил]фенил}ацетамид; 2,2-диметил-]N-{4-[4-(5-метил-1Н-пиразол-3-иламино)-1-оксо-1Н-фталазин-2-ил]фенил}пропионамид; N-{4-[4-(5-метил-1Н-пиразол-3-иламино)-1-оксо-1Н-фталазин-2-ил]фенил}бензамид; N-{4-[4-(5-метил-1Н-пиразол-3-иламино)-1-оксо-1Н-фталазин-2-ил]фенил}метансульфонамид; 4-(5-метил-1Н-пиразол-3-иламино)-2-(4-фениламинофенил)-2Н-фталазин-1-он; 4-(5-метил-1Н-пиразол-3-иламино)-2-(4-морфолин-4-илфенил)-2Н-фталазин-1-он; 4-(5-метил-1Н-пиразол-3-иламино)-2-(4-пирролидин-1-илфенил)-2Н-фталазин-1-он; 4-(5-метил-2Н-пиразол-3-иламино)-2-(4-пиперидин-1-илфенил)-2Н-фталазин-1-он; 2-(2-хлор-4-трифторметилфенил)-4-(5-метил-1Н-пиразол-3-иламино)-2Н-фталазин-1-он, и 2-(4-аминофенил)-4-(5-метил-1Н-пиразол-3-иламино)-2Н-фталазин-1-он.
13. Соединения по п.1, где R1 и R4 представляют собой водород; R2 и R3 независимо представляет собой водород, галоген, нитро, -ОН, -NH2, -NH-C(O)H; R5 представляет собой фенил, который замещен С1-С6-алкилом; n обозначает 0; R6 представляет собой водород, и R7 представляет собой С1-С6-алкил.
14. Соединения по п.1, где R1 и R4 представляют собой водород; R2 и R3 независимо представляют собой водород, галоген, нитро, -NH2, -NH; R5 представляет собой фенил, который замещен в пара-положении трет-бутилом, трифторметилом или трифторметокси; n обозначает 0; R6 представляет собой водород и R7 представляет собой водород, С1-С6-алкил или С3-С7-циклоалкил.
15. Соединения по п.14, представляющие собой N-[3-(4-трет-бутилфенил)-1-(5-метил-2Н-пиразол-3-иламино)-4-оксо-3,4-дигидрофталазин-6-ил]формамид; 7-амино-2-(4-трет-бутилфенил)-4-(5-метил-2Н-пиразол-3-иламино)-2Н-фталазин-1-он; 2-(4-трет-бутилфенил)-4-(5-метил-2Н-пиразол-3-иламино)-7-нитро-2Н-фталазин-1-он; 2-(4-трет-бутилфенил)-4-(5-метил-2Н-пиразол-3-иламино)-6-нитро-2Н-фталазин-1-он; 6-амино-2-(4-трет-бутилфенил)-4-(5-метил-2Н-пиразол-3-иламино)-2Н-фталазин-1-он; 6-бром-2-(4-трет-бутилфенил)-4-(5-метил-2Н-пиразол-3-иламино)-2Н-фталазин-1-он; 2-(4-трет-бутилфенил)-4-(5-циклопропил-1Н-пиразол-3-иламино)-2Н-фталазин-1-он; 2-(4-трет-бутилфенил)-4-(1Н-пиразол-3-иламино)-2Н-фталазин-1-он, и 4-(5-метил-1Н-пиразол-3-иламино)-2-(4-трифторметоксифенил)-2Н-фталазин-1-он.
16. Лекарственное средство, обладающее ингибирующим действием в отношении тирозинкиназы АВРОРЫ А, содержащее соединение по любому из пп.1-15 в качестве активного ингредиента вместе с фармацевтически приемлемыми адъювантами.
17. Лекарственное средство по п.16 для лечения рака.
РИСУНКИ
|
|