|
|
(21), (22) Заявка: 2007141161/04, 06.04.2006
(24) Дата начала отсчета срока действия патента:
06.04.2006
(30) Конвенционный приоритет:
07.04.2005 EP 05102742.3
(43) Дата публикации заявки: 20.05.2009
(46) Опубликовано: 20.08.2010
(56) Список документов, цитированных в отчете о поиске:
Vader J. et al, J. of Labelled Compounds and Radiopharmaceuticals, v.34, no.9, p.845-869. US 4145434 A, 20.03.1979. US 6002632 A, 11.01.1977. RU 2211837 C2, 10.09.2000. RU 96102419 A, 20.05.1998. RU 93050126 A, 20.06.1996.
(85) Дата перевода заявки PCT на национальную фазу:
07.11.2007
(86) Заявка PCT:
EP 2006/061409 20060406
(87) Публикация PCT:
WO 2006/106136 20061012
Адрес для переписки:
129090, Москва, ул.Б.Спасская, 25, стр.3, ООО “Юридическая фирма Городисский и Партнеры”, пат.пов. Е.Е.Назиной
|
(72) Автор(ы):
КЕМПЕРМАН Герардус Йоханнес (NL), ВАН ДЕР ЛИНДЕН Якобус Йоханнес Мария (NL), РИДЕР Майкл Р. (US)
(73) Патентообладатель(и):
Н.В. ОРГАНОН (NL)
|
(54) ПРОМЕЖУТОЧНЫЕ СОЕДИНЕНИЯ ДЛЯ ПОЛУЧЕНИЯ ТРАНС-5-ХЛОР-2-МЕТИЛ-2,3,3f,12b-ТЕТРАГИДРО-1Н-ДИБЕНЗ[2,3:6,7]-ОКСЕПИНО[4,5-c]ПИРРОЛА
(57) Реферат:
Изобретение относится к новым аминокислотным производным формулы I или формулы II:
 
способам их получения и их использованию в качестве промежуточных продуктов в способе получения транс-5-хлор-2-метил-2,3,3а,12b-тетрагидро-1Н-дибенз[2,3:6,7]оксепино[4,5-с]пиррола (азенапина), обладающего действием ЦНС-депрессанта, а также антигистаминным и антисеротоническим действием. Использование промежуточных соединений I и II позволяет значительно повысить выход азенапина. 6 н. и 6 з.п. ф-лы.
Настоящее изобретение относится к новым аминокислотным производным, к способам их получения и к применению аминокислотных производных для получения транс-5-хлор-2-метил-2,3,3a,12b-тетрагидро-1H-дибенз[2,3:6,7]оксепино[4,5-c]пиррола.
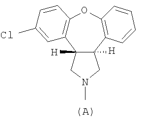
Транс-5-хлор-2-метил-2,3,3a,12b-тетрагидро-1H-дибенз[2,3:6,7]оксепино[4,5-c]пиррол, широко известный как азенапин, представляет собой соединение, обладающее активностью ЦНС-депресанта, а также обладающее антигистаминной и антисеротониновой активностью (см. патент США 4145434 на имя van den Burg). Были рассмотрены фармакологический профиль азенапина, его кинетика и метаболизм, и первые испытания его безопасности и эффективности для человека на добровольцах и пациентах с шизофренией (см. DeBoeretal., Drugs of the Future, 18(12), 1117-1123,1993). Было установлено, что малеатная соль азенапина, известная как Org 5222, представляет собой антагонист норадреналина и допамина с широким спектром действия и высокой активностью. Азенапин демонстрирует потенциальную антипсихотическую активность и может быть полезным для лечения депрессии (см. Международную Патентную Заявку WO 99/32108). Был описан фармацевтический препарат, подходящий для сублингвального или буккального введения азенапина малеата (см. Международную Патентную Заявку WO 95/23600). Азенапин малеат в настоящее время является объектом клинических исследований, что предполагает необходимость крупномасштабного синтеза этого лекарственного средства.
Общая методика получения азенапина описана в Патенте США 4145434. Были описаны физико-химические свойства лекарственного средства, Org 5222, (Funke et al., Arzneim.-Forsch/Drug.Res., 40, 536-539, 1990). Также были описаны дополнительные способы синтеза для получения Org 5222 и его радиомеченных производных (Vader et al., J. Labelled Соmр. Radiopharm., 34, 845-869, 1994).
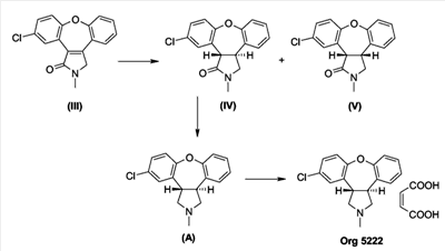
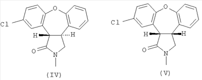
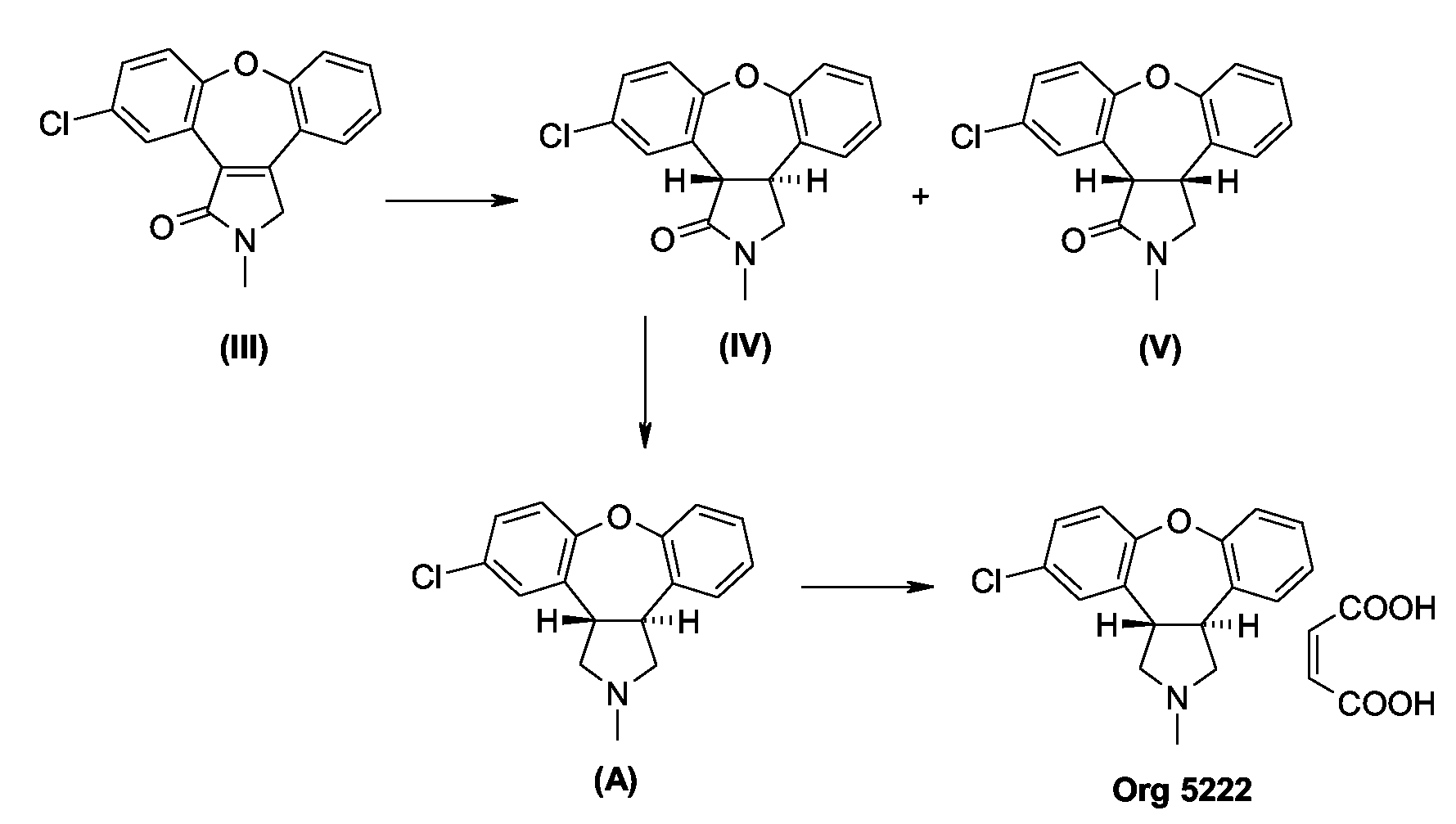
Последние стадии известного способа получения азенапина (A) показаны на Схеме I. В этом способе двойную связь в енамиде, 11-хлор-2,3-дигидро-2-метил-1H-дибенз[2,3:6,7]-оксепино[4,5-c]пиррол-1-оне, восстанавливают путем обработки магнием в метаноле/толуоле с получением смеси желаемого транс-изомера, транс-11-хлор-2,3,3a,12b-тетрагидро-2-метил-1Н-дибенз[2,3:6,7]оксепино[4,5-c]пиррол-1-она (IV), и нежелательного цис-изомера, цис-11-хлор-2,3,3a,12b-тетрагидро-2-метил-1H-дибенз[2,3:6,7]-оксепино[4,5-c]пиррол-1-она (V), в соотношении 1:4.
Схема I

Как показано на Схеме II, нежелательное соотношение продуктов можно исправить путем последующей частичной изомеризации нежелательного цис-изомера (V) с преобразованием в транс-изомер (IV) с использованием 1,5-диазабицикло[4.3.0]нон-5-ена (DBN), с получением в результате термодинамически равновесного соотношения транс-изомера (IV) и цис-изомера (V), равного 1:2. Разделение транс-изомера (IV) и цис-изомера (V) осуществляют при помощи хроматографии на силикагеле. Цис-изомер (V) можно снова изомеризовать с использованием DBN с получением в результате 1:2 смеси соединения (IV) и соединения (V), из которой транс-изомер (IV) снова выделяют хроматографией. После еще одного повторения этого цикла в килограммовом масштабе перекристаллизация трех объединенных фракций транс-изомера (IV) дает транс-11-хлор-2,3,3a,12b-тетрагидро-2-метил-1H-дибенз[2,3:6,7]оксепино[4,5-c]пиррол-1-он (IV) с общим выходом примерно 38%, исходя из енамида (III).
Схема II

Недостаток способа, описанного выше, в том, что он требует больших трудозатрат и большого периода времени, тогда как конечный выход транс-соединения (IV) очень скромный. Поэтому существует необходимость в улучшенном способе получения транс-изомера (IV).
Повсеместно в настоящем описании соединения, представленные структурными формулами, где пара связей обозначена сплошными и штрихованными клиньями, как показано, например, в соединении (IV) на Схеме I, или пара связей обозначена сплошными клиньями, как показано, например, в соединении (V) на Схеме I, относятся к “транс” или “цис” диастереоизомерам соответственно. Каждое из соединений может существовать в виде отдельного энантиомера, имеющего абсолютную стереохимическую конфигурацию, показанную клинообразными связями, или имеющего противоположную абсолютную конфигурацию, или в виде смеси энантиомеров (например, рацемат), имеющих относительную стереохимическую конфигурацию, показанную клинообразными связями.
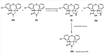
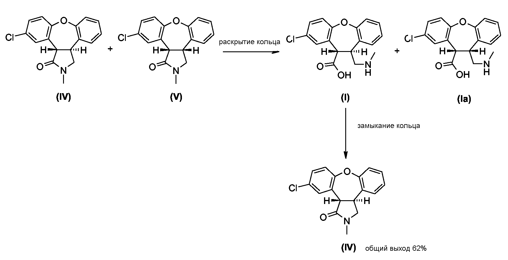
Настоящее изобретение обеспечивает способ (Схема III), в котором смесь лактамов, транс-11-хлор-2,3,3a,12b-тетрагидро-2-метил-1H-дибенз[2,3:6,7]-оксепино[4,5-c]пиррол-1-она (IV) и цис-11-хлор-2,3,3a,12b-тетрагидро-2-метил-1H-дибенз[2,3:6,7]-оксепино[4,5-c]пиррол-1-она (V), обрабатывают в спиртовом растворе, включающем избыточное количество сильного щелочного основания с получением, таким образом, смеси транс-8-хлор-10,11-дигидро-11-[(метиламино)-метил]-дибенз[b,f]оксепин-10-карбоновой кислоты (I) и цис-8-хлор-10,11-дигидро-11-[(метиламино)метил]-дибенз[b,f]оксепин-10-карбоновой кислоты (Ia). Реакция раскрытия кольца является стереоселективной, которая в результате дает 10:1 соотношение транс-изомера (I) и цис-изомера (Ia). Транс-аминокислотное производное (I) затем выделяют и циклизуют с получением транс-11-хлор-2,3,3a,12b-тетрагидро-2-метил-1H-дибенз[2,3:6,7]оксепино[4,5-c]пиррол-1-она (IV) с сохранением транс-стереохимии. Исходя из енамидного производного (III) выход транс-изомера (IV) составляет примерно 62%.
Схема III

Исходным веществом для реакции раскрытия кольца может быть смесь транс-изомера (IV) и цис-изомера (V). Альтернативно, исходным веществом может быть чистый цис-изомер (V). Смесь изомеров (IV), (V) можно получить из соединения (III) в соответствии со Схемой I, представленной выше, или ее можно получить в несколько стадий синтеза, как описано в Примере 8.
Гидролиз лактамов (IV), (V) можно осуществить в спиртовом растворе при температуре кипения с обратным холодильником в присутствии стехиометрического избытка сильного щелочного основания. Предпочтительные основания включают гидроксиды щелочных металлов, такие как гидроксид калия или гидроксид натрия, которые используют в 2-20-кратном или в 10-20-кратном молярном избытке в расчете на количество изомеров (IV), (V). Полезные спирты включают C1-C6 алканолы, включая метанол, этанол, н-пропанол, 2-пропанол, н-бутанол и их смеси. Использование более высококипящих спиртов, таких как н-пропанол и н-бутанол, как оказалось, обеспечивает меньшее время реакции для реакции раскрытия кольца.
По завершении реакции раскрытия кольца добавляют воду и этанол и затем осуществляют экстракцию с целью удаления побочных продуктов. Аминокислотные производные (I), (Ia) экстрагируют в водно-спиртовую фазу и подкисляют до pH = 1 при помощи соляной кислоты. Последующее испарение спиртовых растворителей обеспечивает селективную кристаллизацию аминокислотного производного, транс-8-хлор-10,11-дигидро-11-[(метиламино)метил]-дибенз[b,f]оксепин-10-карбоновой кислоты (I), в виде гидрохлоридной соли.
Транс-8-хлор-10,11-дигидро-11-[(метиламино)метил]-дибенз[b,f]оксепин-10-карбоновую кислоту (I) можно получить в виде кристаллического цвиттериона, т.е. свободного основания, когда pH понижают до 6, а не до 1. Кроме того, цвиттерион транс-8-хлор-10,11-дигидро-11-[(метиламино)метил]-дибенз[b,f]оксепин-10-карбоновой кислоты (I) можно получить из гидрохлоридной соли растворением в смеси метанола и воды, нейтрализацией до pH 6 при помощи раствора аммиака или гидроксида натрия и выпариванием метанола с получением свободного основания (I) в виде твердого вещества.
Реакцию замыкания кольца (циклизацию) аминокислотного производного (I) с получением транс-лактамового производного (IV) (см. Схему III) можно осуществить с использованием гидрохлоридной соли или цвиттерионной формы путем нагревания суспензии аминокислоты (I) в растворителе, включающем такой ароматический растворитель как толуол или ксилол, либо с использованием добавки, либо без нее, для увеличения скорости этой реакции. Подходящие добавки представляют собой силикагель, оксид алюминия, гидроксид натрия и ацетат натрия. Предпочтительным растворителем для осуществления циклизации является толуол; предпочтительными добавками являются гидроксид натрия и ацетат натрия. Ацетат натрия является наиболее предпочтительным, поскольку обеспечивает максимально быстрое время реакции.
В альтернативном способе циклизации аминокислотное производное (I) преобразовывают в активированную кислотную форму, такую как хлорангидрид кислоты, которая после нейтрализации основанием самопроизвольно циклизуется в желаемый лактам (IV).
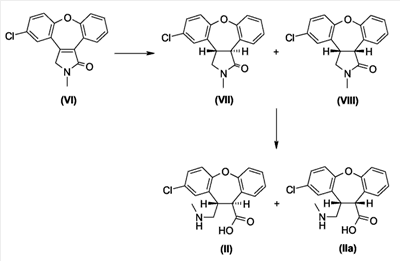
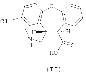
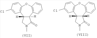
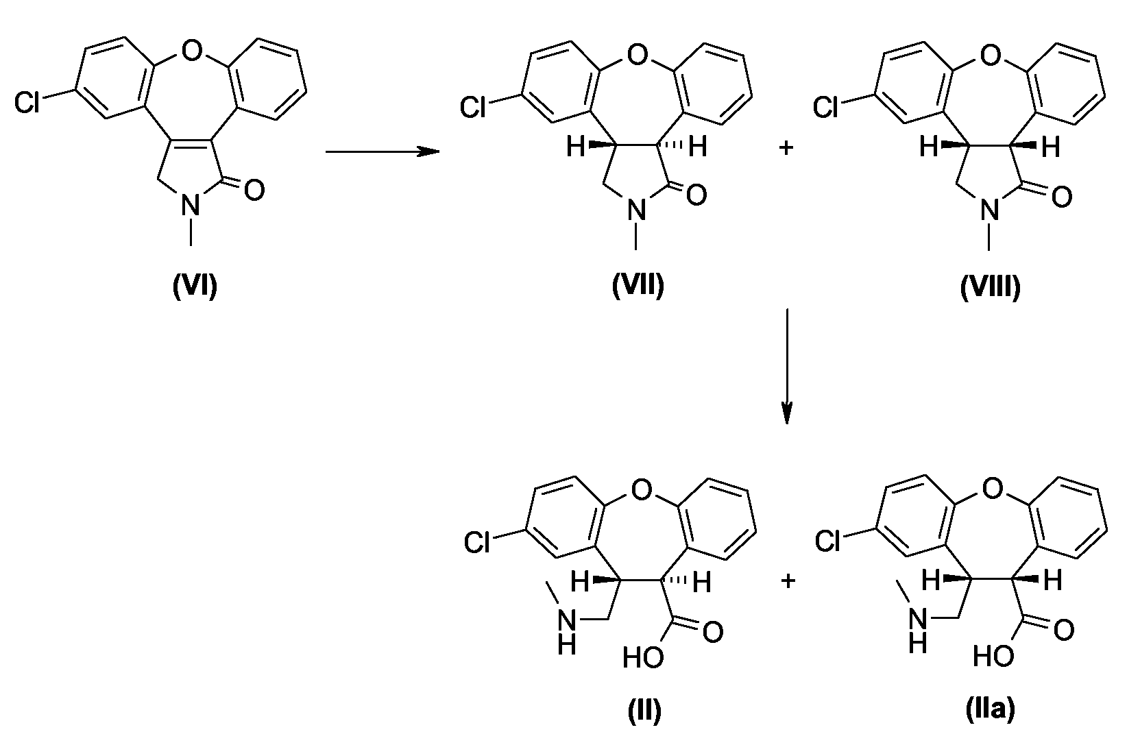
Следующий аспект настоящего изобретения относится к способу (Схема IV) получения транс-2-хлор-10,11-дигидро-11-[(метиламино)метил]-дибенз[b,f]оксепин-10-карбоновой кислоты (II), которая представляет собой региоизомер аминокислотного производного (I), показанного на Схеме III. Способ включает следующие стадии: (a) восстановление енамида, 5-хлор-2,3-дигидро-2-метил-1H-дибенз[2,3:6,7]-оксепино[4,5-c]пиррол-1-она (VI), с получением смеси лактамов, транс-5-хлор-2,3,3a,12b-тетрагидро-2-метил-1H-дибенз[2,3:6,7]оксепино[4,5-c]пиррол-1-она (VII), и цис-5-хлор-2,3,3a,12b-тетрагидро-2-метил-1H-дибенз[2,3:6,7]оксепино[4,5-c]пиррол-1-она (VIII); (b) гидролиз лактамов (VII), (VIII) обработкой в спиртовом растворе избыточным количеством сильного (щелочного) основания с получением, таким образом, смеси аминокислотного производного (II) и его соответствующего изомера, цис-2-хлор-10,11-дигидро-11-[(метиламино)метил]дибенз[b,f]оксепин-10-карбоновой кислоты (IIa); и (c) очистку аминокислотного производного (II) из смеси. Циклизация аминокислотного производного (II) в желаемый лактам (VII), который представляет собой региоизомер лактама (IV), показанный на Схеме I выше, и последующее восстановление амидной группы лактама дает азенапин (A).
Схема IV

Енамид, 5-хлор-2,3-дигидро-2-метил-1H-дибенз[2,3:6,7]оксепино[4,5-c]пиррол-1-он (VI), можно, например, получить в несколько стадий синтеза исходя из 4-хлорфенола и метил 2-бромфенилацетата, как описано в Примере 9.
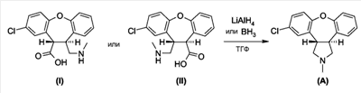
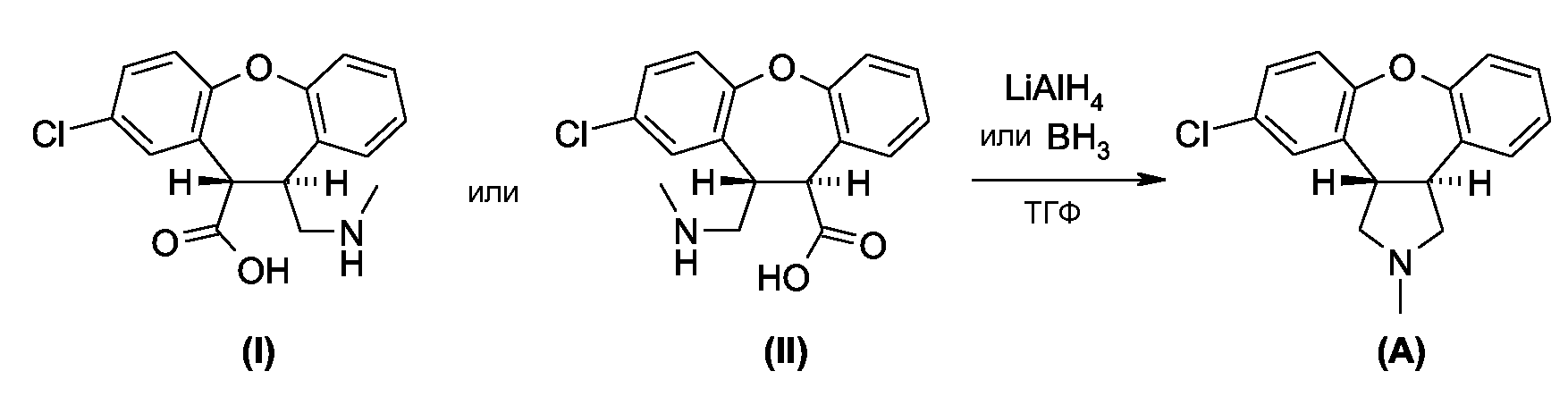
Другой аспект настоящего изобретения обеспечивает альтернативный способ получения азенапина (A), как показано на Схеме V. Способ предусматривает обработку аминокислотного производного (I) или (II) восстановителем, таким как боран или литийалюминийгидрид, необязательно в сочетании с кислотой Льюиса, такой как хлорид алюминия. Эта реакция, которую проводят в одном реакционном сосуде, обеспечивает азенапин (A) с типичным выходом 70%.
Схема V

Еще один аспект настоящего изобретения обеспечивает транс-аминокислотные производные формул (I) или (II), как показано на Схемах III-V, или энантиомер каждого транс-аминокислотного производного, имеющий противоположную абсолютную конфигурацию, или рацемическую смесь каждого транс-аминокислотного производного, или их соль. Подходящие соли включают соли щелочных металлов, такие как соли натрия, калия или лития, или соли, полученные из сочетания с органическим основанием, такие как триметиламин, триэтиламин и т.п. Другие подходящие соли включают кислотно-аддитивные соли, которые можно получить обработкой свободных соединений (I) или (II) минеральной кислотой, такой как соляная кислота или бромистоводородная кислота, или органической кислотой, такой как малеиновая кислота, уксусная кислота, метансульфоновая кислота и т.п.
Подходящие кислотно-аддитивные соли азенапина (A) можно получить при помощи обработки минеральной кислотой, такой как соляная кислота, бромистоводородная кислота, фосфорная кислота и серная кислота, или органической кислотой, такой как, например, аскорбиновая кислота, лимонная кислота, винная кислота, молочная кислота, малеиновая кислота, малоновая кислота, фумаровая кислота, гликолевая кислота, янтарная кислота, пропионовая кислота, уксусная кислота и метансульфоновая кислота. Предпочтительной кислотно-аддитивной солью азенапина является малеатная соль, т.е. Org 5222.
ПРИМЕРЫ
Представленные ниже Примеры являются иллюстративными, а не ограничивающими и представляют конкретные варианты воплощения настоящего изобретения. В каждом из представленных ниже Примеров соединения Org 5222, азенапин (A), и все цис- и транс-предшественники, например соединения (I), (II), (IV), (V), (VII) и (VIII), являются рацематами, и пары клинообразных сплошных связей или сплошных и штрихованных связей, используемые в их структурных формулах, показывают относительную стереохимическую конфигурацию.
Общие способы
Для большей части Примеров спектры ЯМР записывали на Bruker DPX 400. Химические сдвиги 1H-ЯМР ( ) указаны в миллионных долях (м.д.) и соотнесены с TMS, взятым в качестве внутреннего стандарта, с использованием следующих аббревиатур: с (синглет), д (дублет), дд (двойной дублет) и м (мультиплет). Масс-спектры записывали на PE SCIEX API 165. ГХ хроматограммы записывали на HP6890N с использованием колонки Restek RTX.
Пример 1. Получение транс-11-хлор-2,3,3a,12b-тетрагидро-2-метил-1H-дибенз[2,3:6,7]оксепино[4,5-c]пиррол-1-она (IV) по Схеме II
A. Смесь транс- (IV) и цис-11-хлор-2,3,3a,12b-тетрагидро-2-метил-1H-дибенз[2,3:6,7]оксепино[4,5-c]пиррол-1-она (V)
В атмосфере N2 к перемешиваемой суспензии магния (1,75 грамм, 71,87 ммоль) в толуоле (175 мл) добавляли иод (4,95 г, 18 ммоль). В течение 20 минут добавляли раствор 11-хлор-2,3-дигидро-2-метил-1H-дибенз[2,3;6,7]оксепино[4,5-c]пиррол-1-она (III) (25 грамм, 84 ммоль; см. Vaderet al. выше) в метаноле (175 мл). Реакционную смесь перемешивали в течение 35 минут. Затем в течение 2 часов добавляли 3 порции магния (1 г, 41,06 ммоль), а затем одну большую порцию магния (2 г, 82,12 ммоль). Добавляли воду (600 мл) и 36% раствор соляной кислоты (65 мл), поддерживая температуру ниже 40°C. Добавляли толуол (50 мл), слои разделяли и водный слой экстрагировали толуолом (2 × 100 мл). Объединенные толуольные слои промывали водой (200 мл), сушили над сульфатом магния, фильтровали и упаривали. Получали смесь транс-11-хлор-2,3,3a,12b-тетрагидро-2-метил-1H-дибенз[2,3:6,7]оксепино[4,5-с]-пиррол-1-она (IV) и цис-11-хлор-2,3,3a,12b-тетрагидро-2-метил-1H-дибенз[2,3:6,7]оксепино[4,5-c]пиррол-1-она (V) (25,5 г, ~100%) в соотношении (IV):(V) = 1:4 согласно данным 1H-ЯМР и ГХ.
B. Хроматографическая (силикагель) очистка соединения (IV)
5-Диазабицикло[4,3,0]нон-5-ен (DBN, 1,6 л) добавляли к толуолу (400 л), содержащему смесь цис-изомера (V) и транс-изомера (IV) (всего 10 кг), и реакционную смесь перемешивали в течение 1 часа при 20°C. Добавляли воду (200 л) и pH водного слоя доводили до pH 4 при помощи уксусной кислоты (примерно 1,0 л). Перемешивание продолжали в течение 15 минут и, если это необходимо, добавляли уксусную кислоту для доведения pH до 4,0 (± 0,2). Слои разделяли. Толуольный слой промывали водой (200 л), концентрировали до объема 25 л и очищали при помощи хроматографии на силикагеле (100 кг) с использованием толуола (115 л) и толуол:этилацетата 95:5 об./об. (900 л). Фракции собирали и фракции, содержащие исключительно соединение транс-11-хлор-2,3,3a,12b-тетрагидро-2-метил-1H-дибенз[2,3:6,7]оксепино[4,5-c]пиррол-1-он (IV), объединяли и концентрировали до объема 50 л. Фракции, содержащие цис-11-хлор-2,3,3a,12b-тетрагидро-2-метил-1H-дибенз[2,3:6,7]оксепино[4,5-c]пиррол-1-он (V) или смеси транс-11-хлор-2,3,3a,12b-тетрагидро-2-метил-1H-дибенз[2,3:6,7]оксепино[4,5-c]пиррол-1-она (IV) и цис-11-хлор-2,3,3a,12b-тетрагидро-2-метил-1H-дибенз[2,3:6,7]оксепино[4,5-c]пиррол-1-она (V), объединяли.
С. Повторная изомеризация с использованием DBN
Объединенные фракции, содержащие цис-изомер (V), изомеризовали снова с использованием DBN в толуоле, и последующую очистку хроматографией, как описано выше, повторяли два раза. Фракции, содержащие исключительно транс-11-хлор-2,3,3a,12b-тетрагидро-2-метил-1H-дибенз[2,3:6,7]оксепино[4,5-c]пиррол-1-он (IV), объединяли и упаривали в вакууме с получением 4,9 кг (49% м/м) неочищенного транс-11-хлор-2,3,3a,12b-тетрагидро-2-метил-1H-дибенз[2,3:6,7]-оксепино[4,5-c]пиррол-1-она (IV). Перекристаллизация из метанола давала транс-11-хлор-2,3,3a,12b-тетрагидро-2-метил-1H-дибенз[2,3:6,7]оксепино[4,5-c]пиррол-1-он (IV) (3,8 кг, 38%); т.пл. 150,6°C.
1Н-ЯМР (400,13 МГц, CDCl3 относительно TMS) 3,03 (д, 3Н), 4,03 (м, 1Н), 3,53-3,65 (м, 2Н), 3,82 (м, 1Н), 7,01-7,28 (м, 6Н), 7,87 (дд, 1Н).
Пример 2. Получение транс-8-хлор-10,11-дигидро-11-[(метиламино)метил]-дибенз[b,f]оксепин-10-карбоновой кислоты (I)
К раствору цис-11-хлор-2,3,3a,12b-тетрагидро-2-метил-1H-дибенз[2,3:6,7]оксепино[4,5-c]пиррол-1-она (V) (2 грамм, 6,7 ммоль) в этаноле (20 мл) добавляли гидроксид калия (3,8 г, 67 ммоль). Реакционную смесь нагревали до температуры кипения с обратным холодильником в течение 5 часов. Реакционную смесь упаривали и добавляли воду (50 мл). Водную фазу промывали диэтиловым эфиром (2 × 25 мл). Водную фазу подкисляли концентрированной соляной кислотой до pH в пределах от 5 до 6 с образованием смолистого осадка. Добавляли этилацетат (25 мл), который медленно растворял смолу, и в результате происходило образование тонких кристаллов продукта. Кристаллы фильтровали и сушили с получением транс-8-хлор-10,11-дигидро-11-[(метиламино)-метил]-дибенз[b,f]оксепин-10-карбоновой кислоты (I) (1,1 г, 52%); т.пл. 154,4°C.
1Н-ЯМР (399,87 МГц в MeOD относительно TMS) 2,09 (c, 3Н), 2,45 и 2,66 (2×м, 2Н), 3,23 (с, 1Н), 3,50 (м, 1Н), 3,92 (д, 1Н), 6,96-7,20 (м, 6Н).
Пример 3. Получение гидрохлорида транс-8-хлор-10,11-дигидро-11-[(метиламино)метил]-дибенз[b,f]оксепин-10-карбоновой кислоты (I).HCl
Гидроксид калия (333,8 г, 6,30 моль) добавляли к смеси цис-11-хлор-2,3,3a,12b-тетрагидро-2-метил-1H-дибенз[2,3:6,7]оксепино[4,5-c]пиррол-1-она (V) и транс-11-хлор-2,3,3a,12b-тетрагидро-2-метил-1H-дибенз[2,3:6,7]оксепино[4,5-c]пиррол-1-она (IV) (105 г, 351 ммоль, транс/цис соотношение 1:3), растворенной в этаноле (1050 мл). Смесь нагревали до температуры кипения с обратным холодильником в течение 18 часов. Часть этанола (500 мл) выпаривали и добавляли воду (1,5 л). Водную фазу экстрагировали толуолом (2 × 750 мл). К водной фазе затем добавляли толуол (500 мл) и концентрированную соляную кислоту для доведения pH до 1. В процессе добавления соляной кислоты температура повышалась до 75°C. Водный слой отделяли и при охлаждении происходило образование кристаллов гидрохлорида транс-8-хлор-10,11-дигидро-11-[(метиламино)метил]-дибенз[b,f]оксепин-10-карбоновой кислоты. Кристаллы собирали фильтрованием и сушили с получением (I).HCl (84 г, 68%); т.пл. 215°C (разл.).
1Н-ЯМР (399,87 МГц в MeOD относительно TMS) 2,65 (c, 3Н), 3,30 (c, 2Н), 3,95 (м, 1Н), 4,32 (д, 1Н), 7,11-7,38 (м, 6Н).
Пример 4. Получение транс-11-хлор-2,3,3a,12b-тетрагидро-2-метил-1H-дибенз[2,3:6,7]оксепино[4,5-c]пиррол-1-она (IV)
Способ A
Гидрохлорид транс-8-хлор-10,11-дигидро-11-[(метиламино)метил]-дибенз[b,f]-оксепин-10-карбоновой кислоты (I).HCl (55,5 г) и силикагель (55 г) суспендировали в ксилоле (550 мл). Суспензию нагревали до температуры кипения с обратным холодильником в течение 1 ночи. Реакционную смесь охлаждали до 65°C и добавляли этилацетат (550 мл). Силикагели отфильтровывали и промывали этилацетатом (550 мл). Органическую фазу упаривали. Неочищенный продукт растворяли в метаноле (750 мл). Метанол частично выпаривали, при этом происходила кристаллизация продукта. После охлаждения до 5°C в течение 3 часов получали продукт фильтрованием. Получали транс-11-хлор-2,3,3a,12b-тетрагидро-2-метил-1H-дибенз[2,3:6,7]оксепино[4,5-c]пиррол-1-он (IV) (47,8 г, 86%); т.пл. 150,6°C.
1Н-ЯМР (400,13 МГц, в CDCl3 относительно TMS) 3,03 (д, 3Н), 4,03 (м, 1Н), 3,53-3,65 (м, 2Н), 3,82 (м, 1Н), 7,01-7,28 (м, 6Н), 7,87 (дд, 1Н).
Способ В
Гидрохлорид транс-8-хлор-10,11-дигидро-11-[(метиламино)метил]-дибенз[b,f]-оксепин-10-карбоновой кислоты (I).HCl (50 г, 142 ммоль) суспендировали в дихлорметане (1 л) и N,N-диметилформамиде (50 мл). К полученной суспензии добавляли тионилхлорид (50 мл, 84 ммоль). Через 30 минут происходило образование прозрачного раствора. Этот раствор добавляли по каплям к охлажденной смеси метанола (1 л) и триэтиламина (158, 1150 ммоль). Добавляли дополнительное количество триэтиламина (35 мл) для доведения pH до 8. Органическую фазу промывали 1 н. раствором соляной кислоты (1 л) и насыщенным солевым раствором (2×1 л). Органическую фазу затем промывали насыщенным раствором бикарбоната натрия (1 л). Органическую фазу сушили при помощи сульфата магния и упаривали. Неочищенный продукт (40,7 г) кристаллизовали из метанола (100 мл). Получали [4,5-c]пиррол-1-он (IV) (32 г, 75%).
1Н-ЯМР (399,87 МГц в CDCl3 относительно TMS) 3,03 (д, 3Н), 4,03 (м, 1Н), 3,53-3,65 (м, 2Н), 3,82 (м, 1Н), 7,01-7,28 (м, 6Н), 7,87 (дд, 1Н).
Пример 5. Получение азенапина, транс-5-хлор-2,3,3a,12b-тетрагидро-2-метил-1H-дибенз[2,3:6,7]оксепино[4,5-c]пиррола (A)
В первый реакционный сосуд, содержащий тетрагидрофуран (2,4 мл), при 0°C добавляли хлорид алюминия (167 мг, 1,26 ммоль). К полученной суспензии медленно добавляли литийалюминийгидрид (3,77 ммоль). Во второй реакционный сосуд, содержащий ТГФ (4 мл), добавляли гидрохлорид транс-8-хлор-10,11-дигидро-11-[(метиламино)метил]-дибенз[b,f]оксепин-10-карбоновой кислоты (I).HCl (0,4 г, 1,26 ммоль). При -10°C содержимое первого реакционного сосуда добавляли во второй реакционный сосуд. Через 30 минут реакционную смесь гасили водой и экстрагировали толуолом. Толуол высушивали при помощи сульфата магния и выпаривали. Получали неочищенный транс-5-хлор-2,3,3a,12b-тетрагидро-2-метил-1H-дибенз[2,3:6,7]-оксепино[4,5-c]пиррол (A) почти с количественным выходом и чистотой 63%.
1Н-ЯМР (400,13 МГц, в CDCl3 относительно TMS) 2,54 (с, 3Н), 3,15 (м, 2Н), 3,25 и 3,61 (2×м, 4Н), 7,01-7,36 (м, 7Н).
Пример 6. Получение азенапина, транс-5-хлор-2,3,3a,12b-тетрагидро-2-метил-1H-дибенз[2,3:6,7]оксепино[4,5-c]пиррола (A)
Хлорид алюминия (6,9 кг) добавляли по порциям к тетрагидрофурану (100 л) при 0°C. Перемешивание продолжали и добавляли 10% раствор литийалюминийгидрида в тетрагидрофуране (35,0 л), поддерживая температуру ниже 10°C. Смесь охлаждали до 0°C и перемешивали в течение 15 минут. К смеси добавляли раствор транс-11-хлор-2,3,3a,12b-тетрагидро-2-метил-1H-дибенз[2,3:6,7]оксепино[4,5-c]пиррол-1-она (IV) (10,0 кг) в тетрагидрофуране (100 л), поддерживая при этом температуру ниже 15°C. Добавляли тетрагидрофуран (5 л), перемешивание продолжали в течение 1 часа при 10°C и добавляли 0,6 н. раствор гидроксида натрия (100 л), поддерживая температуру ниже 10°C. Перемешивание продолжали в течение 15 минут при 20°C и добавляли толуол (150 л) и воду (100 л). Перемешивание продолжали в течение 15 минут при 20°C и солевой слой отделяли. Солевой слой экстрагировали толуолом (2 × 50 л). Объединенные фильтраты разделяли и водный слой экстрагировали толуолом (50 л). Объединенные органические слои упаривали в вакууме при 70°C с получением транс-5-хлор-2,3,3a,12b-тетрагидро-2-метил-1H-дибенз[2,3:6,7]оксепино[4,5-c]пиррола (A) (9,4 кг, 99%).
1Н-ЯМР (400,13 МГц, в CDCl3 относительно TMS) 2,54 (с, 3Н), 3,15 (м, 2Н), 3,25 и 3,61 (2×м, 4Н), 7,01-7,36 (м, 7Н).
Пример 7. Получение азенапина малеата (Org 5222)
Свободное основание транс-5-хлор-2,3,3a,12b-тетрагидро-2-метил-1H-дибенз[2,3:6,7]оксепино[4,5-c]-пиррола (A) (1,23 кг) растворяли в этаноле (2 л) при 60°C. Добавляли активированный уголь (74 г); после перемешивания в течение 30 минут при 60°C активированный уголь отфильтровывали и промывали этанолом (1,2 л). Фильтрат нагревали до 65°C и поддерживали при этой температуре в течение 15 минут, пока добавляли нагретый (60°C) раствор малеиновой кислоты (554 г) в этаноле (3,5 л). Раствор охлаждали и вносили затравку для кристаллизации при 15°C. После 2 часов перемешивания при 15°C суспензию охлаждали до -10°C и кристаллы отфильтровывали, промывали холодным этанолом и сушили.
1Н-ЯМР (400,13 МГц, в CDCl3 относительно TMS) 3,14 (с, 3Н), 3,93 (м, 2Н), 3,79 и 4,08 (2×м, 4Н), 6,24 (с, 2Н, винильные протоны малеиновой кислоты), 7,16-7,34 (м, 7Н); масс-спектрометрия m/z 286,1, 229, 220, 201, 194, 166 и 44.
Пример 8. Получение смеси транс-11-хлор-2,3,3a,12b-тетрагидро-2-метил-1H-дибенз[2,3:6,7]оксепино[4,5-c]-пиррол-1-он (IV) и соответствующего цис-изомера (V)
A. Метиловый эфир (E и Z)-2-(5-хлор-2-феноксифенил)-3-гидроксиакриловой кислоты
Раствор метилового эфира (5-хлор-2-феноксифенил)-уксусной кислоты (167 г, 605 ммоль) и метилформиата (173 мл, 2,8 моль) в трет-бутилметиловом эфире охлаждали до -10°C. К этому раствору добавляли по порциям трет-бутоксид калия (115 г, 1,03 моль) так, чтобы температура оставалась ниже 0°C. Через 30 минут реакцию гасили добавлением 4 н. водного раствора соляной кислоты (400 мл). Органический слой отделяли и промывали водой (3 × 350 мл) и насыщенным солевым раствором (350 мл). Органические фракции объединяли и концентрировали досуха и использовали без очистки. Продукт состоял на 90% из E-изомера, как показывал анализ ЯМР.
1Н-ЯМР (400 МГц, CDCl3) 3,6 (с, 3Н, Е метильная группа; Z метил при 3,7), 6,8 (д, 1Н), 6,9 (м, 2Н), 7,0 (т, 1Н), 7,2 (м, 3Н), 7,3 (м, 2Н), 11,8 (д, 1Н, Е гидрокси протон; Z гидрокси протон при 4,7).
B. Метиловый эфир 8-хлор-дибенз[b,f]оксепин-10-карбоновой кислоты
Суспензию метилового эфира 2-(5-хлор-2-феноксифенил)-3-гидроксиакриловой кислоты (210 г, 691 ммоль) нагревали в пирофосфорной кислоте (420 г) до 60°C. Через два часа реакционную смесь охлаждали до 20°C и добавляли гексан (250 мл), толуол (500 мл) и воду (500 мл) для гашения реакции. Органический слой отделяли и промывали насыщенным водным раствором бикарбоната натрия (500 мл) и насыщенным солевым раствором (500 мл). Органическую фракцию концентрировали и полученное масло кристаллизовали из н-бутанола (500 мл; 20°C в течение одного часа и -10°C в течение двух часов), с получением указанного в заголовке соединения в виде кристаллов не совсем белого цвета (172 г, выход 85% для стадий A и B).
1Н-ЯМР (400 МГц, CDCl3) 3,9 (с, 3Н), 7,1-7,2 (м, 3Н), 7,3 (м, 2Н), 7,4 (т, 1Н), 7,6 (д, 1Н), 8,0 (с, 1Н).
С. Метиловый эфир транс-8-хлор-11-нитрометил-10,11-дигидро-дибензo[b,f]оксепин-10-карбоновой кислоты
В 5-л 3-горлую круглодонную колбу добавляли метиловый эфир 8-хлор-дибенз[b,f]-оксепин-10-карбоновой кислоты (305 г, 1,06 моль, 1 экв.) с последующим добавлением ТГФ (1,25 л) и трет-бутилтетраметилгуанидина (27 г, 0,15 моль, 0,14 экв.). К этому раствору добавляли нитрометан (576 г, 9,45 моль, 8,9 экв.) в ТГФ (0,5 л), поддерживая при этом температуру ниже 30°C. Полученную смесь перемешивали при комнатной температуре до завершения реакции, по данным ВЭЖХ (в течение ночи, < 3% исходного вещества). По завершении реакции добавляли метил-трет-бутиловый эфир (1,25 л), воду (0,6 л) и 1 н. раствор HCl (0,6 л), слои разделяли и водный слой экстрагировали второй раз MTBE (1 л). Объединенные органические слои промывали 1 н. раствором HCl (2 × 0,6 л) и насыщенным раствором хлорида натрия (0,6 л). После добавления толуола (2 л) органическую фракцию концентрировали в вакууме до объема меньше, чем 2 л, добавляли толуол (1 л) и смесь концентрировали до минимального объема. Добавление ТГФ (0,5 л) давало указанное в заголовке соединение в виде слегка окрашенного раствора, который использовали без дополнительной очистки (368 г, 1,06 моль, теоретический). % Площади по данным ВЭЖХ анализа: 45% толуола, 48% транс-нитроэфира, 6% цис-нитроэфира, 1% исходного вещества. Условия ВЭЖХ: колонка- 3,5 мкм Zorbax SB-Фенил, 3 мм × 150 мм; растворитель – градиент от 55% воды (0,1% HOCl4)/45% метанола (0,1% HOCl4) в течение 10 минут до 100% метанола (0,1% HOCl4) в течение 10 минут и удерживание в течение 2 минут; скорость потока 0,5 мл/минута; детекция при 210 нм.
D. Метиловый эфир 11-аминометил-8-хлор-10,11-дигидродибензo[b,f]оксепин-10-карбоновой кислоты и 11-хлор-2,3,3a,12b-тетрагидро-1H-дибенз-[2,3:6,7]оксепино[4,5-с]пиррол-1-он
Водную суспензию губчатого никелевого катализатора A7000 (111,74 г/60 мл, содержащую примерно 60,36 г катализатора в расчете на сухое вещество) промывали добавлением ТГФ (40 мл), перемешивали и надосадочную жидкость сливали. Суспензию катализатора затем загружали в 1500-мл перемешиваемый автоклав Hastelloy-C при помощи ТГФ (200 мл). Сосуд герметично закрывали, продували водородом и нагнетали давление водорода около 50 ф/кв.дюйм. Смесь перемешивали при 1100 об/мин при комнатной температуре и добавляли раствор метилового эфира транс-8-хлор-11-нитрометил-10,11-дигидро-дибензo[b,f]оксепин-10-карбоновой кислоты (~ 369 г, 1,06 моль в 500 мл ТГФ), разбавленный до 850 мл при помощи ТГФ при скорости около 3,1 мл/минут в течение около 4,5 часов. Температура реакционной смеси повышалась в результате экзотермической реакции, но ее поддерживали в пределах от 20 до 32°C применением внешней охлаждающей водяной бани. Общее давление в реакторе поддерживали при 50 – 60 ф/кв.дюйм подачей водорода, по мере необходимости, через регулятор давления из резервуара высокого давления известного объема. По завершении добавления исходного вещества систему добавок при помощи ТГФ (2 × 25 мл) промывали в реакторе. Полученную в результате реакционную смесь перемешивали при комнатной температуре при давлении водорода около 60 ф/кв.дюйм в течение ночи. После того как водород выпускали, реакционную смесь осторожно фильтровали в вакууме и лепешку промывали при помощи ТГФ (внимание: следует принять меры предосторожности во избежание высушивания слоя катализатора на воздухе) с получением смеси указанных в заголовке соединений (1,06 моль, теоретически) в виде раствора в ТГФ. Это вещество использовали без дополнительной очистки. % Площади согласно данным ВЭЖХ анализа: объединенные фильтрат и промывки (1266 г) не содержали исходного вещества и состояли из смеси ожидаемого аминоэфира и цис- и транс-лактамов. Условия ВЭЖХ: те же, что и на стадии C выше.
E. Транс-11-хлор-2,3,3a,12b-тетрагидро-2-метил-1H-дибенз[2,3:6,7]-оксепино[4,5-c]пиррол-1-он (IV) и соответствующий цис-изомер (V)
В 5-л 3-горлую круглодонную колбу, снабженную механической мешалкой, добавляли ТГФ (1,0 л) с последующим гидрированием продукта стадии D (1,06 моль в около 0,8 л ТГФ). Содержимое сосуда затем охлаждали до 0°C. Затем добавляли по порциям твердый трет-бутоксид калия (178 г, 1,59 моль, 1,5 экв.), поддерживая при этом температуру ниже 5°C. Полученную темную суспензию перемешивали при температуре ниже 5°C до тех пор, пока аминоэфир не был полностью израсходован, согласно данным ВЭЖХ. Затем медленно добавляли диметилсульфат (170 мл, 1,8 моль, 1,7 экв.), поддерживая при этом температуру ниже 5°C с получением оранжевой суспензии. Содержимое сосуда перемешивали при температуре ниже 5°C до тех пор, пока реакция не была завершена, согласно данным ВЭЖХ (< 5% дес-метиллактама), в этот момент добавляли гидроксид аммония (0,5 л) в воде (1,0 л) для разложения какого-либо оставшегося диметилсульфата. Смесь постепенно нагревали до комнатной температуры и перемешивали в течение ночи. Добавляли этилацетат (0,5 л) и слои разделяли. Полученный водный слой содержал твердые частицы продукта, которые экстрагировали в этилацетат (2,5 л, 0,5 л) при повышенной температуре (55°C). Объединенные органические слои концентрировали в вакууме до объема менее 1 л; добавляли октан (0,25 л) и полученную суспензию нагревали до 50°C с последующим охлаждением до 0°C. Суспензию фильтровали, промывали октаном и сушили в вакууме при 50°C с получением преимущественно цис-изомера (V) (215,7 г, выход 68%, исходя из оксепинового эфира). % Площади по данным ВЭЖХ анализа: 1,6% неизвестное вещество, 98,4% цис-изомер (V) и следовые количества транс-изомера (IV). Фильтрат, полученный в результате описанного выше выделения, концентрировали в вакууме. Добавляли MTBE и смесь нагревали до температуры кипения с обратным холодильником. Полученную суспензию охлаждали до комнатной температуры, фильтровали и сушили с получением смеси цис- и транс-изомеров, (V) и (IV), соответственно (28,9 г, выход 9%). % Площади по данным ВЭЖХ анализа: 7,9% цис-изомера (V), 92,1% транс-изомера (IV). Фильтрат, полученный в результате описанного выше второго выделения, концентрировали в вакууме, добавляли MTBE (500 мл) и октан (50 мл) и смесь нагревали до температуры кипения с обратным холодильником. Полученную суспензию охлаждали до 0°C, фильтровали и сушили с получением смеси цис- и транс-изомеров, (V) и (IV), соответственно (12,2 г, 4% выход). % Площади по данным ВЭЖХ анализа: 4,8% цис-изомера (V), 2,4% неизвестного вещества, 92,7% транс-изомера (IV). Условия ВЭЖХ: те же, что и на стадии C выше. Общий выход указанных в заголовке соединений составил 256,8 г, 81% исходя из метилового эфира транс-8-хлор-11-нитрометил-10,11-дигидро-дибензo[b,f]-оксепин-10-карбоновой кислоты (стадия C).
Пример 9. Получение азенапина через лактам транс-5-хлор-2,3,3a,12b-тетрагидро-2-метил-1H-дибенз[2,3:6,7]оксепино[4,5-c]пиррол-1-он (VII).
A: [2-(4-Хлор-фенокси)фенил]уксусная кислота (IX)
Метил 2-бромфенилацетат (47,0 грамм, 216,3 ммоль) и 4-хлорфенол (27,8 грамм, 215,8 ммоль) растворяли в диоксане (790 мл) при нагревании до 50°C. К полученному раствору добавляли, при перемешивани в инертной атмосфере азота, карбонат цезия (141 грамм, 432,2 ммоль) и хлорид меди (I) (18,56 г, 86,2 ммоль). В конце к зеленой суспензии добавляли N,N-диметилглицин (4,46 грамм, 43,2 ммоль). Реакционную смесь нагревали при 110°C (температура кипения с обратным холодильником) в течение 4 дней при перемешивании. Реакционную смесь фильтровали через дикалит, который промывали диоксаном (40 мл). Диоксан удаляли в вакууме, и оставалось масло коричневого цвета. К полученному маслу добавляли этилацетат (100 мл) и pH полученной смеси доводили до 1 добавлением 1 M HCl (300 мл). Органическую фазу промывали насыщенным солевым раствором (300 мл), сушили над сульфатом магния и затем концентрировали в вакууме с получением 57,2 грамм (206 ммоль; 95%) метилового эфира, [2-(4-хлорфенокси)фенил]уксусной кислоты в виде масла коричневого цвета. Масло растворяли в метаноле (250 мл), после чего добавляли KOH (16,2 грамм; 1,4 экв.). Полученный раствор нагревали в течение 3 часов при 60°C. Реакционную смесь охлаждали и метанол (200 мл) удаляли в вакууме. К остатку добавляли воду (100 мл) и pH доводили до 1 добавлением 1M HCl (25 мл). Полученные в результате кристаллы отфильтровывали и сушили в вакууме при 40°C с получением 47,3 грамм (180 ммоль; 87%) [2-(4-хлорфенокси)фенил]уксусной кислоты (IX).

B: Метил-N-[2-(4-хлор-2-феноксифенил)-1-этоксил]-N-метилглицинат (X)
[2-(4-хлорфенокси)фенил]уксусную кислоту (IX) (47,3 грамм; 180 ммоль) суспендировали в толуоле (140 мл) при 48°C. К этой суспензии добавляли диметилформамид (4,0 мл) и SOCl2 (19,8 мл; 271 ммоль; 1,5 экв.) в толуоле (18 мл). Через 10 минут реакционную смесь концентрировали в вакууме и два раза подвергали отгонке с толуолом с получением [2-(4-хлорфенокси)-фенил]ацетилхлорида в виде масла коричневого цвета. Масло суспендировали в толуоле (75 мл). К суспензии добавляли при 5°C раствор метилового эфира саркозина (30,3 грамм 217 ммоль) и триэтиламин (57 мл) в смеси диметилформамида (236 мл) и толуола (47 мл). Полученную коричневатую суспензию перемешивали в течение 2 часов при комнатной температуре. К реакционной смеси добавляли воду (750 мл) и смесь экстрагировали два раза этилацетатом (500 мл). Органическую фазу промывали насыщенным солевым раствором (700 мл) и сушили над сульфатом магния. Растворитель удаляли в вакууме с получением метил-N-[2-(4-хлор-2-феноксифенил)-1-этоксил]-N-метилглицината (X) (61,3 грамм, 202 ммоль) в виде масла коричневого цвета.

C: 3-[2-(4-Хлорфенокси)фенил]-1-метилпирролидин-2,4-дион (XI)
К суспензии трет-BuOK (21,7 грамм; 193 ммоль) в толуоле (240 мл) добавляли в атмосфере азота при 20°C раствор соединения (X) (61,3 грамм), полученного на стадии (B), в толуоле (240 мл). Полученную суспензию перемешивали в течение ночи. К суспензии коричневого цвета добавляли воду (750 мл). Раствор экстрагировали 3 раза этилацетатом (3 × 300 мл). Объединенные органические фазы промывали водой (200 мл). pH водной фазы доводили при помощи HCl до рН 1. Полученные кристаллы перемешивали в течение 3 часов, а затем отфильтровывали. Кристаллы сушили в вакууме при 40°C с получением 40,2 грамм (127 ммоль, 72%) 3-[2-(4-хлорфенокси)фенил]-1-метилпирролидин-2,4-диона (XI). Чистота по данным ГХ: 96%.

D: 5-Хлор-2,3-дигидро-2-метил-1H-дибенз[2,3:6,7]оксепино[4,5-c]пиррол-1-он (VI)
P2O5 (90 грамм) добавляли по порциям к H3PO4 (90 грамм), поддерживая при этом температуру ниже 140°C. Смесь нагревали при 115°C в течение 1,5 часа, после чего сразу добавляли 3-[2-(4-хлорфенокси)фенил]-1-метилпирролидин-2,4-дион (XI) (30 грамм; 95 ммоль). Полученную смесь перемешивали в течение 4 дней при температуре 115°C-130°C, добавляя еще P2O5 (всего добавляли 5 порций по 5 грамм каждая). Смесь выливали в воду (200 мл) и образовавшийся в результате осадок перемешивали в течение ночи. Смесь экстрагировали дихлорметаном (250 мл) и промывали насыщенным NaHCO3 (pH = 7). После сушки над сульфатом магния растворитель удаляли в вакууме. Полученный в результате неочищенный продукт растворяли в метаноле (520 мл) при 70°C. После удаления части метанола выпариванием продукт кристаллизовался. Смесь перемешивали в течение ночи при -12°C. Кристаллы фильтровали и сушили с получением 5-хлор-2,3-дигидро-2-метил-1H-дибенз[2,3;6,7]оксепино[4,5-c]пиррол-1-она (VI) (16,4 грамм, 55 ммоль; 58%), чистота по данным ГХ составляла 92%.
1Н-ЯМР (400 МГц, CDCl3) 3,2 (с, 3Н), 4,3 (с, 1Н), 3,8 (м, 1Н), 7,2-7,4 (м, 6Н), 8,2 (дд, 1Н).
E: транс-5-Хлор-2,3,3a,12b-тетрагидро-2-метил-1H-дибенз[2,3:6,7]оксепино[4,5-c]пиррол-1-он (VII) и цис-5-хлор-2,3,3a,12b-тетрагидро-2-метил-1H-дибенз[2,3:6,7]оксепино[4,5-c]пиррол-1-он (6) (VIII)
В атмосфере N2 к перемешиваемой суспензии магния (1,22 грамм, 50 ммоль) в толуоле (82 мл) добавляли иод (3,0 грамм, 11 ммоль). В течение 20 минут добавляли раствор 5-хлор-2,3-дигидро-2-метил-1H-дибенз[2,3:6,7]оксепино[4,5-c]пиррол-1-она (VI) (16,4 грамм, 55 ммоль) в метаноле (57 мл). Реакционную смесь перемешивали в течение 35 минут. Затем в течение 2 часов добавляли 3 порции магния (2 × 500 мг, 41,06 ммоль), а затем одну большую порцию магния (4 × 500 мг, 82,12 ммоль). Добавляли воду (600 мл) и концентрированную соляную кислоту (65 мл), поддерживая при этом температуру ниже 40°C. Добавляли толуол (50 мл), слои разделяли и водный слой экстрагировали два раза толуолом (100 мл). Объединенные толуольные слои промывали водой (200 мл), сушили над сульфатом магния, фильтровали и упаривали. Получали смесь транс-5-хлор-2,3,3a,12b-тетрагидро-2-метил-1H-дибенз[2,3:6,7]оксепино[4,5-c]пиррол-1-она (VII) и цис-5-хлор-2,3,3a,12b-тетрагидро-2-метил-1H-дибенз[2,3:6,7]оксепино[4,5-c]пиррол-1-она (6) (VIII) (13,6 грамм, 82%) в соотношении (VII):(VIII) = 3:7 согласно данным 1H-ЯМР и ГХ.
1Н-ЯМР (400 МГц, CDCl3) 2,9 (с, 3Н, цис), 3,0 (с, сН, транс), 4,0 (м, 1Н), 3,53-3,65 (м, 2Н), 3,8 (м, 1Н), 7,0 (д, 1Н, транс), 7,15-7,28 (м, 6Н), 7,4 (дд, 1Н, цис), 7,9 (дд, 1Н, транс).
F: гидрохлорид транс-2-Хлор-10,11-дигидро-11-[(метиламино)метил]-дибенз[b,f]оксепин-11-карбоновой кислоты (II)
Смесь лактамов (VII) и (VIII) (13,6 грамм, 45 ммоль, транс/цис соотношение 1:2,3), полученную, как описано для стадии E, растворяли в этаноле (140 мл). К этому раствору добавляли гидроксид калия (43 грамм, 811 ммоль), после чего смесь нагревали до температуры кипения с обратным холодильником в течение 18 часов. Часть этанола (60 мл) выпаривали и добавляли воду (200 мл). Водную фазу экстрагировали два раза толуолом (100 мл). Затем к водной фазе добавляли толуол (100 мл) с последующим добавлением концентрированной соляной кислоты для доведения pH до 1. В процессе добавления соляной кислоты температура повышалась до 75°C. Водный слой отделяли и продукт кристаллизовали охлаждением. Кристаллы собирали фильтрованием и сушили с получением гидрохлорида транс-2-хлор-10,11-дигидро-10-[(метиламино)метил]-дибенз[b,f]оксепин-11-карбоновой кислоты (II) (3,75 грамм, 10,6 ммоль, 22%). Т.пл.: 203,1°C.
1Н-ЯМР (400 МГц, MeOD): 2,6 (c, 3Н), 3,3 (c, 2Н), 3,9 (м, 1Н), 4,4 (д, 1Н), 7,10-7,36 (м, 6Н).
G: транс-5-Хлор-2,3,3a,12b-тетрагидро-2-метил-1H-дибенз[2,3:6,7]оксепино[4,5-c]пиррол-1-он (VII)
К суспензии гидрохлорида транс-2-хлор-10,11-дигидро-11-[(метиламино)метил]дибенз[b,f]оксепин-11-карбоновой кислоты (II) (2,00 грамм, 5,65 ммоль) в толуоле (15 мл) добавляли ацетат натрия (0,55 грамм, 6,70 ммоль). Суспензию нагревали в течение 2 часов при температуре кипения с обратным холодильником. Смесь фильтровали и фильтрат концентрировали в вакууме при 50°C с получением масла коричневого цвета (1,49 грамм, 4,97 ммоль, 89%), которое представляло собой смесь транс (VII) и цис (VIII) в соотношении (VII):(VIII) = 8:2, согласно данным 1H-ЯМР и ГХ. Кристаллизация из метанола (20 мл) давала чистый транс-5-хлор-2,3,3a,12b-тетрагидро-2-метил-1H-дибенз[2,3:6,7]оксепино[4,5-c]пиррол-1-он (VII) с выходом 0,80 грамм (2,67 ммоль, 47%).
Т.пл.: 148,4°C.
1Н-ЯМР (400 МГц, CDCl3) 3,1 (с, 3Н, транс), 4,2 (м, 1Н), 3,53-3,65 (м, 2Н), 3,8 (м, 1Н), 7,0 (д, 1Н), 7,15-7,28 (м, 5Н), 7,8 (дд, 1Н).
H: Азенапин: транс-5-хлор-2,3,3a,12b-тетрагидро-2-метил-1H-дибенз[2,3:6,7]оксепино[4,5-c]пиррол (A)
Хлорид алюминия (65,7 мг) добавляли по порциям к тетрагидрофурану (5 мл) при 0°C. При перемешивании медленно добавляли 10% раствор литийалюминийгидрида в тетрагидрофуране (1,35 мл), поддерживая при этом температуру ниже 10°C. Смесь охлаждали до 0°C и перемешивали в течение 15 минут. К смеси добавляли раствор транс-5-хлор-2,3,3a,12b-тетрагидро-2-метил-1H-дибенз[2,3:6,7]оксепино[4,5-c]пиррол-1-она (VII) (0,40 грамм) в тетрагидрофуране (4 мл), поддерживая при этом температуру ниже 15°C. Перемешивание продолжали в течение 2 часов при 10°C, после чего добавляли 0,5 н. раствор тартрата натрия (15 мл), поддерживая при этом температуру ниже 10°C. Перемешивание продолжали в течение 15 минут при 20°C. Солевой слой экстрагировали два раза смесью толуол:этилацетат (8:2) (25 мл). Объединенные органические слои сушили над сульфатом магния, фильтровали и упаривали в вакууме с получением 0,36 грамм (94%) транс-5-хлор-2,3,3a,12b-тетрагидро-2-метил-1H-дибенз[2,3:6,7]оксепино[4,5-c]пиррола (A).
1Н-ЯМР (400 МГц, CDCl3): 2,6 (с, 3Н), 3,1 (м, 2Н), 3,2 (м, 2Н), 3,6 (м, 2Н), 7,01-7,36 (м, 7Н).
Формула изобретения
1. Транс-аминокислотное производное формулы I или формулы II,
 или энантиомер каждого транс-аминокислотного производного, имеющий противоположную абсолютную конфигурацию, или рацемическая смесь каждого транс-аминокислотного производного или их соль.
2. Транс-аминокислотное производное, выбранное из транс-8-хлор-10,11-дигидро-11-[(метиламино)метил]-дибенз[b,f]оксепин-10-карбоновой кислоты, транс-2-хлор-10,11-дигидро-11-[(метиламино)метил]-дибенз[b,f]оксепин-10-карбоновой кислоты, или его соль.
3. Способ получения транс-аминокислотного производного формулы I,
 включающий взаимодействие смеси лактамов формулы IV и формулы V,  с основанием в присутствии спирта.
4. Способ получения транс-аминокислотного производного формулы II,
 включающий взаимодействие смеси лактамов формулы VII и формулы VIII,
 с основанием в присутствии спирта.
5. Способ по п.3 или 4, где основание представляет собой щелочное основание, которое присутствует в стехиометрическом количестве, а спирт представляет собой С1-С6 алканол.
6. Способ по п.3 или 4, где основание представляет собой гидроксид калия, а спирт представляет собой этанол.
7. Способ получения азенапина формулы А,
 или его соли, включающий: (а) циклизацию транс-аминокислотного производного формулы I или формулы II,
 или его соли с получением лактама формулы IV или формулы VII,
 (b) восстановление карбонильной группы лактама формулы IV или формулы VII с получением азенапина формулы А; и (c) необязательно, преобразование азенапина формулы А в его соль.
8. Способ по п.7, где циклизация включает нагревание транс-аминокислотного производного формулы I или формулы II в растворителе.
9. Способ по п.7, где циклизация включает нагревание транс-аминокислотного производного формулы I или формулы II в растворителе и в присутствии ацетата натрия.
10. Способ по п.7, где циклизация включает активирование фрагмента карбоксильной кислоты транс-аминокислотного производного формулы I или формулы II и обработку активированной карбоновой кислоты основанием.
11. Способ получения азенапина формулы А,
 или его соли, включающий: (а) обработку транс-аминокислотного производного формулы I или формулы II,
 или его соли восстановителем с получением азенапина формулы А, и (b) необязательно, преобразование азенапина в его соль.
12. Способ по п.11, где восстановитель представляет собой боран или литийалюминийгидрид.
|
|