Патент на изобретение №2397162
|
||||||||||||||||||||||||||||||||||||||||||||||||||||||||||||||||||||||||||||||||||||||||||||||||||||||||||||||||||||||||||||||||||||||||||||||||||||||||||||||||||||||||||||||||||||||||||||||||||||||||||||||||||||||||||||||||||||||||||||||||||||||||||||||||||||||||||||||||||||||||||||||||||||||||||||||||||||||||||||||||||||||||||||||||||||||||||||||||||||||||||||||||||||||||||||||||||||||||||||||||||||||||||||||||||||||||||||||||||||||||||||||||||||||||||
(54) ПРОИЗВОДНЫЕ [1,2,4]-ДИТИАЗОЛИ(ДИ)НА, ИНДУКТОРЫ ГЛУТАТИОН-S-ТРАНСФЕРАЗЫ И NADPH: ХИНОН-ОКСИДОРЕДУКТАЗЫ ДЛЯ ПРОФИЛАКТИКИ И ЛЕЧЕНИЯ НЕБЛАГОПРИЯТНЫХ СОСТОЯНИЙ, СВЯЗАННЫХ С ЦИТОТОКСИЧНОСТЬЮ В ЦЕЛОМ И АПОПТОЗОМ В ЧАСТНОСТИ
(57) Реферат:
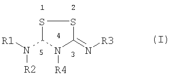
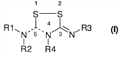
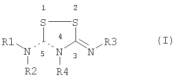
Изобретение относится к соединениям общей формулы (I):
в которой пунктирные линии предоставляют одинарные или двойные связи и значения радикалов R1, R2, R3, R4 описаны в п.1 формулы изобретения. Изобретение также относится к применению и фармацевтической композиции для профилактики и лечения нейродегенеративных заболеваний и других заболеваний, в которых решающую роль играют обусловленные свободными радикалами дистрофия клетки и/или гибель клетки (апоптоз) на основе указанных соединений. Технический результат – получение новых соединений и фармацевтической композиции на их основе, которые могут найти применение в медицине для профилактики и лечения нейродегенеративных заболеваний. 4 н. и 2 з.п. ф-лы.
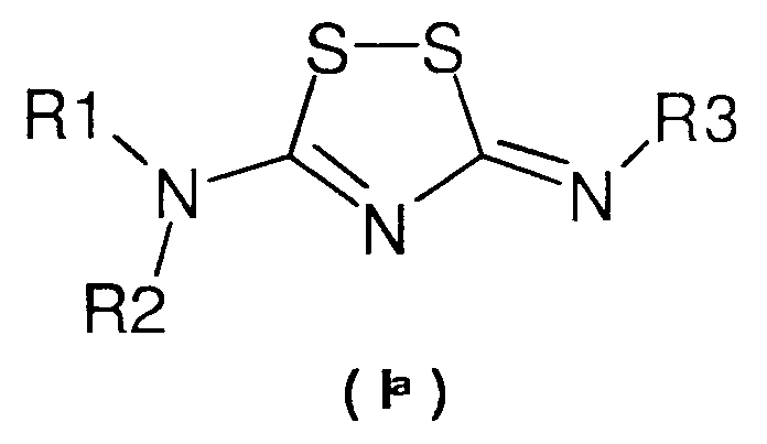
Настоящее изобретение относится к производным 5-имино-5Н-[1,2,4]-дитиазол-3-ил-амина и [1,2,4]-дитиазолидин-3,5-диилиден-диамина в качестве индукторов глутатион-S-трансферазы (GST) и NADPH:хинон-оксидоредуктазы (NQO), к способам получения этих соединений и к новым промежуточным соединениям, полезным в синтезе упомянутых производных [1,2,4]-дитиазоли(ди)на. Изобретение также относится к применению соединения, раскрываемого в этой заявке, для получения (производства) лекарственного средства, дающего благоприятный (положительный) эффект. Положительный эффект раскрыт в этой заявке или очевиден специалисту в данной области из описания и известных знаний в данной области. Изобретение также относится к применению соединения изобретения для получения (производства) лекарственного средства для лечения или предупреждения заболевания или состояния. Конкретнее, изобретение относится к новому применению для лечения заболевания или состояния, раскрытому в этой заявке или очевидному для специалиста в данной области из описания и известных знаний в данной области. В вариантах осуществления изобретения конкретные соединения со специфическим механизмом действия, раскрытые в этой заявке, применяют для получения лекарственного средства, полезного для профилактики и лечения неблагоприятных состояний, связанных с цитотоксичностью в целом и апоптозом в частности. Апоптоз сильно связан с морфогенезом и гистогенезом в процессе развития, и вовлечен в поддержание гомеостаза и в био-защиту (защитную реакцию), и представляет собой гибель клетки, имеющую важную роль в поддержании продолжительности жизни индивидуума. Когда процесс гибели, регулируемый генами, нарушен врожденно или после рождения, апоптоз является чрезмерно индуцированным или ингибированным, что вызывает функциональные нарушения в различных органах и, соответственно, заболевания. Лекарства, показывающие ингибирующую активность в отношении апоптоза, могут быть использованы в качестве средств профилактики и лечения заболеваний, которые, как полагают, обусловлены активизацией апоптоза. Целью настоящего изобретения было разработать анти-апоптические соединения с механизмами действия, отличающимися от любых механизмов действия, известных в данной области. Неожиданно было обнаружено, что производные [1,2,4]-дитиазоли(ди)на являются индукторами глутатион-S-трансферазы (GST), NADPH:хинон-оксидоредуктазы (NQO) и других ферментов при контролировании (регулировании) «антиоксидант-респонсивного элемента» (ARE). Полное регулирование активности таких ферментов может иметь положительные эффекты в лечении нейродегенеративных заболеваний и других заболеваний, в которых решающую роль играют обусловленные свободными радикалами дистрофия клетки и/или гибель клетки. Изобретение относится к соединениям общей формулы (I): в которой пунктирные линии между атомом углерода номер 5 и соседними с ним атомами азота представляют одинарную или двойную связи, при условии, что одна из этих двух связей представляет собой одинарную связь и другая представляет собой двойную связь, и при условии, что, когда двойная связь находится между атомом углерода номер 5 и атомом азота номер 4, R4 отсутствует, и, когда двойная связь находится между атомом углерода номер 5 и атомом азота в экзо-положении, R2 отсутствует, R1, R2, R3 и R4 независимо представляют собой разветвленную или неразветвленную алкильную (С1-4)группу, необязательно содержащую атомы серы или сульфоксидные, амидные, кетонные, тиокетонные или сульфоновые группы и необязательно замещенную галогеном, цианогруппой, моно- или диалкил(С1-4)аминогруппой, трифторметилом, (С1-4)алкоксигруппой или гидроксилом, либо R1 и R2 вместе с атомом азота, к которому они присоединены, образуют 4-8-членную кольцевую систему, в которой могут присутствовать другие (замещенные) гетероатомы, выбранные из N, O и S, и где указанная кольцевая система может быть необязательно замещена разветвленным или неразветвленным алкилом(С1-4), галогеном, цианогруппой, моно- или диалкил(С1-4)аминогруппой, трифторметилом, (С1-4)алкоксигруппой или гидроксилом или где указанная кольцевая система содержит амидные, кетонные, тиокетонные, сульфоновые или сульфоксидные функциональные группы, R3 представляет собой водород, разветвленную или неразветвленную алкильную(С1-4) группу, необязательно содержащую атомы серы или сульфоксидные, амидные, кетонные, тиокетонные или сульфоновые группы и необязательно замещенную галогеном, цианогруппой, моно- или диалкил(С1-4)аминогруппой, трифторметилом, (С1-4)алкоксигруппой, S-алкилом(С1-4), SH или гидроксилом, либо R3 представляет собой арильную группу, необязательно замещенную разветвленным или неразветвленным алкилом(С1-4), арилом, алкил(С1-4)арилом, группой SH, S-алкилом(С1-4), галогеном, цианогруппой, моно- или диалкил(С1-4)аминогруппой, группой CF3, группой OCF3, группой SCF3, нитрогруппой, гидроксигруппой или (С1-4)алкоксигруппой, и их таутомерам, стереоизомерам и N-оксидам, а также к фармацевтически приемлемым солям, гидратам и сольватам упомянутых соединений формулы (I) и их таутомеров, стереоизомеров и N-оксидов. Такие соединения являются новыми и являются индукторами глутатион-S-трансферазы (GST), NADPH:хинон-оксидоредуктазы (NQO). Изобретение относится к рацематам, смесям диастереомеров, а также к индивидуальным стереоизомерам соединений, имеющих формулу (I). В описании заместителей сокращение ‘алкил(C1-4)’ означает ‘метил, этил, н-пропил, изопропил, н-бутил, 2-бутил, изобутил или 2-метил-н-пропил’. ‘Арил’ означает фурил, тиенил, пирролил, оксазолил, тиазолил, имидазолил, пиразолил, изоксазолил, изотиазолил, пиридил, пиридазинил, пиримидинил, пиразинил, 1,3,5-триазинил, фенил, индазолил, индолил, индолизинил, изоиндолил, бензи[b]фуранил, бензо[b]тиофенил, бензимидазолил, бензтиазолил, пуринил, хинолинил, изохинолил, хинолил, фталазинил, хиназолинил, хиноксалинил, 1,8-нафтиридинил, птеридинил, нафтил или азуленил, предпочтительно фенил, пиридил или нафтил. ‘Необязательно замещенный’ означает, что группа может быть или может не быть дополнительно замещенной одной или несколькими группами, которые указаны. Пролекарства соединений, упомянутых выше, входят в объем настоящего изобретения. Пролекарства представляют собой терапевтические средства, которые являются неактивными сами по себе, но которые превращаются в одно или более активных метаболитов. Пролекарства представляют собой био-обратимые производные молекул лекарства, которые обычно используют для преодоления некоторых барьеров для проявления (извлечения) пользы родительской молекулы лекарства. Такие барьеры включают растворимость, проницаемость, стабильность, пресистемный метаболизм и ограничения в достижении мишени, но не ограничиваются этим (Medicinal Chemistry: Principles and Practice, 1994, ISBN 0-85186-494-5, Ed.: F.D. King, p.215; J. Stella, «Prodrugs as therapeutics», Expert Opin. Ther. Patents, 14(3), 277-280, 2004; P. Ettmayer et al., «Lessons learned from marketed and investigational prodrugs», J. Med. Chem., 47, 2393-2404, 2004). Пролекарства, то есть соединения, которые при введении людям любым известным путем включаются в обмен, превращаясь в соединения, имеющие формулу (I), являются частью изобретения. В особенности это относится к соединениям с первичными или вторичными амино- или гидроксигруппами. Такие соединения могут быть подвергнуты реакционному взаимодействию с органическими кислотами, что дает соединения, имеющие формулу (I), в которой присутствует дополнительная группа, которая легко удаляется после введения, например амидин, енамин, основание Манниха, гидроксиметиленовое производное, О-(ацилоксиметилен-карбамат)-производное, карбамат, сложный эфир, амид или енаминон, но которые не ограничены этим. N-оксиды соединений, упомянутые выше, входят в объем настоящего изобретения. Третичные амины могут приводить или могут не приводить к N-оксидным метаболитам. Степень, в которой происходит N-окисление, варьируется от следовых количеств до почти количественного превращения. N-оксиды могут быть более активными, чем их соответствующие третичные амины, или менее активными. Тогда как N-оксиды легко восстанавливаются до их соответствующих третичных аминов посредством химического средства, в организме человека это происходит в различной степени. Некоторые N-оксиды подвергаются почти количественному восстановительному превращению в соответствующие третичные амины, в других случаях превращение является едва обнаруживаемой реакцией или даже полностью отсутствует. (M.H.Bickel: «The pharmacology and Biochemistry of N-oxides», Pharmaco-logical Reviews, 21(4), 325-355, 1969). Изобретение в особенности относится к соединениям общей формулы (Ia): в которой R1 и R2 независимо представляют собой разветвленную или неразветвленную алкильную(С1-4) группу, необязательно содержащую атомы серы или сульфоксидные, амидные, кетонные, тиокетонные или сульфоновые группы и необязательно замещенную галогеном, цианогруппой, моно- или диалкил(С1-4)аминогруппой, трифторметилом, (С1-4)алкоксигруппой или гидроксилом, либо R1 и R2 вместе с атомом азота, к которому они присоединены, образуют 4-8-членную кольцевую систему, в которой могут присутствовать другие (замещенные) гетероатомы, выбранные из N, O и S, и где указанная кольцевая система может быть необязательно замещена разветвленным или неразветвленным алкилом(С1-4), галогеном, цианогруппой, моно- или диалкил(С1-4)аминогруппой, трифторметилом, (С1-4)алкоксигруппой или гидроксилом или где указанная кольцевая система содержит амидные, кетонные, тиокетонные, сульфоновые или сульфоксидные функциональные группы, R3 представляет собой водород, разветвленную или неразветвленную алкильную(С1-4) группу, необязательно содержащую атомы серы или сульфоксидные, амидные, кетонные, тиокетонные или сульфоновые группы и необязательно замещенную галогеном, цианогруппой, моно- или диалкил(С1-4)аминогруппой, трифторметилом, (С1-4)алкоксигруппой, S-алкилом(С1-4), SH или гидроксилом, либо R3 представляет собой арильную группу, необязательно замещенную разветвленным или неразветвленным алкилом(С1-4), арилом, алкил(С1-4)арилом, группой SH, S-алкилом(С1-4), галогеном, цианогруппой, моно- или диалкил(С1-4)аминогруппой, группой CF3, группой OCF3, группой SCF3, нитрогруппой, гидроксигруппой или (С1-4)алкоксигруппой. В большей степени изобретение относится к соединениям общей формулы (Ia), в которой: R1 и R2 независимо представляют собой разветвленную или неразветвленную алкильную(С1-4) группу или R1 и R2 вместе с атомом азота, к которому они присоединены, образуют 5-6-членную кольцевую систему, в которой могут присутствовать атомы кислорода, и, где указанная кольцевая система может быть необязательно замещена разветвленным или неразветвленным алкилом(С1-4), R3 представляет собой арильную группу, необязательно замещенную разветвленным или неразветвленным алкилом(С1-4), арилом, алкил(С1-4)арилом, группой SH, S-алкилом(С1-4), галогеном, цианогруппой, моно- или диалкил(С1-4)аминогруппой, группой CF3, группой OCF3, группой SCF3, нитрогруппой, гидроксигруппой или (С1-4)алкоксигруппой. В еще большей степени изобретение относится к соединениям общей формулы (Ia), в которой: R1 и R2 независимо представляют собой метильную группу или R1 и R2 вместе с атомом азота, к которому они присоединены, образуют 5-6-членную кольцевую систему, в которой может присутствовать один атом кислорода, и где указанная кольцевая система может быть необязательно замещена метильной группой, R3 представляет собой фенильную или пиридильную группу, необязательно замещенную разветвленным или неразветвленным алкилом(С1-4), бензилом, группой SH, группой SCH3, галогеном, цианогруппой, группой CF3, группой OCF3, группой SCF3, нитрогруппой, гидроксигруппой или метоксигруппой. Также в особенности изобретение относится к соединениям общей формулы (Ib) в которой R1, R3 и R4 независимо представляют собой разветвленную или неразветвленную алкильную(С1-4) группу, необязательно содержащую атомы серы или сульфоксидные, амидные, кетонные, тиокетонные или сульфоновые группы и необязательно замещенную галогеном, цианогруппой, моно- или диалкил(С1-4)аминогруппой, трифторметилом, (С1-4)алкоксигруппой или гидроксилом, или арильную группу, необязательно замещенную разветвленным или неразветвленным алкилом(С1-4), арилом, алкил(С1-4)арилом, группой SH, S-алкилом(С1-4), галогеном, цианогруппой, моно- или диалкил(С1-4)аминогруппой, группой CF3, группой OCF3, группой SCF3, нитрогруппой, гидроксигруппой или (С1-4)алкоксигруппой. И в большей степени изобретение относится к соединениям общей формулы (Ib), в которой: R1, R3 и R4 независимо представляют собой разветвленную или неразветвленную алкильную(С1-4) группу или арильную группу, необязательно замещенную разветвленным или неразветвленным алкилом(С1-4), арилом, алкил(С1-4)арилом, галогеном, группой CF3, группой OCF3, группой SCF3, нитрогруппой, гидроксигруппой или метоксигруппой. В еще большей степени изобретение относится к соединениям общей формулы (Ib), в которой: R1, R3 и R4 независимо представляют собой метильную группу или фенильную группу, необязательно замещенную разветвленным или неразветвленным алкилом(С1-4), галогеном, группой CF3, группой OCF3, гидроксигруппой или метоксигруппой. ОБЩИЕ ОСОБЕННОСТИ СИНТЕЗА Соединения с общими формулами (Ia) или (Ib) могут быть получены в соответствии с тремя способами (схемы А.1, В.1 и С.1): Выбор конкретных методов синтеза зависит от факторов, известных специалистам в данной области, таких как совместимость функциональных групп с используемыми реагентами, возможность использовать защитные группы, катализаторы, активирующие реагенты и реагенты для реакции сочетания, и структурные особенности, конечного соединения, которое получают. Фармацевтически приемлемые соли могут быть получены при использовании стандартных методов, хорошо известных в данной области, например, путем смешения соединения настоящего изобретения с подходящей кислотой, например с неорганической кислотой, такой как хлористоводородная кислота, или с органической кислотой. Соединения изобретения общей формулы (I), а также их соли представляют собой индукторы глутатион-S-трансферазы (GST), NADPH:хинон-оксидоредуктазы (NQO) и других ферментов при регулировании «антиоксидант-респонсивного элемента» (ARE). Полное контролирование (регулирование) активности этих ферментов может иметь положительные эффекты в лечении нейродегенеративных заболеваний и других заболеваний, в которых решающую роль играют обусловленные свободными радикалами дистрофия клетки и/или гибель клетки (апоптоз). Соединения изобретения являются активными при дозах в диапазоне 0,1-100 мг/кг после перорального введения и являются полезными для профилактики и лечения неблагоприятных состояний, связанных с апоптозом. Вышеупомянутые состояния представляют собой, например, нейродегенеративные нарушения, такие как, например, ишемический инсульт, травматическое повреждение мозга, острый диссеминированный энцефаломиелит, боковой амиотрофический склероз (ALS), пигментная дегенерация сетчатки, легкое когнитивное ухудшение, болезнь Альцгеймера, псевдоцирроз печени Пика, старческое слабоумие, синдром прогрессирующего супрануклеарного паралича, подкорковое слабоумие, болезнь Вильсона(-Коновалова), множественный инфаркт, артериосклеротическое слабоумие, СПИД-сопутствующее слабоумие, дегенерация мозжечка, синдромы спиноцеребеллярной дегенерации сетчатки, атаксия Фридрейха, атаксия-телеангиэктазия, повреждение головного мозга, связанное с эпилепсией, травма спинного мозга, синдром усталых ног, болезнь Хантингтона и болезнь Паркинсона, дегенерация полосатого тела (Striatum nigrum), церебральный васкулит, митохондриальные энцефало-миопатии, неврональный цероид-липофусциноз, спинальная мышечная атрофия (болезни Верднига-Гоффманна), лизосомные болезни накопления с вовлечением центральной нервной системы, лейкодистрофии, нарушения цикла образования мочевины, печеночные энцефалопатии, почечные энцефалопатии, метаболические энцефалопатии, порфирия, бактериальный и вирусный менингит и менингоэнцефалит, прионовые болезни, отравление/интоксикация нейротоксическими соединениями, синдром Гиллайна Барре, хронические воспалительные невропатии, полимиозит, дерматомиозит, повреждение головного мозга, вызванное радиационным облучением; синдром раздраженной толстой кишки и воспалительные заболевания кишечника, гранулематозный энтерит и язвенный колит, заболевание брюшной полости, пилоригастрит (гастрит привратника желудка) Helicobacter и другие инфекционные гастриты, некротизирующий энтероколит, псевдомембранозный энтероколит, энтероколит, вызванный радиационным облучением, лимфоцитарный гастрит, реакция «трансплантат против хозяина», острый и хронический панкреатит; заболевания печени, такие как, например, алкогольный гепатит, вирусный гепатит, метаболический гепатит, аутоиммунный гепатит, гепатит, вызванный радиационным облучением, цирроз печени, гемолитический уремический синдром, гломерулонефрит, люпуснефрит, вирусные заболевания, такие как фульминантный гепатит; заболевания суставов, такие как травма и остеоартрит; иммуносупрессию или иммунодефицит, в частности аутоиммунные заболевания, такие как идиопатическая воспалительная миопатия, хроническая нейтропения, тромбоцитопеническая тромбогемолитическая пурпура, ревматоидный артрит, идиопатическая тромбоцитопеническая пурпура, аутоиммунные гемолитические синдромы, антифосфолипидные синдромы, миокардит, рассеянный склероз и его диагностические под-классификации: ремиттирующее течение рассеянного склероза, вторичный прогрессирующий рассеянный склероз, первичный прогрессирующий рассеянный склероз, прогрессирующий рецидивирующий рассеянный склероз, острый рассеянный склероз, доброкачественный рецидивирующий рассеянный склероз или бессимптомный рассеянный склероз, нейрооптикомиелит (синдром Девика), лимфоцитарный гипофизит, зоб диффузный тиреотоксический, Аддисонова болезнь, гипопаратиреоидизм, диабет 1 типа, системная эритематозная волчанка, вульгарный пемфигус, буллезный пемфигоид, псориатический артрит, эндометриоз, аутоиммунный орхит, аутоиммунная эректильная дисфункция, саркоидоз, гранулематоз Вегенера, аутоиммунная глухота, синдром Шегрена-Ларссона, аутоиммунный увеоретинит, интерстициальный цистит, синдром Гудпасчера и фибромиальгия; миелодисплазии, такие как апластическая анемия; дерматологические заболевания, включающие пемфигус вульгарный, дерматомиозит, атопический дерматит, пурпуру Шенлейна-Геноха, акне, системный склероз, себорейный кератоз, кожный мастоцитоз, хронический пролиферативный дерматит, дискератоз, склеродерму, интерстициальный гранулематозный дерматит, псориаз, бактериальные инфекции кожи, грибковые болезни кожи, лепру, кожный лейшманиоз, витилиго, токсический эпидермальный некролиз, синдром Стивена Джонсона, аденому сальных желез, алопецию, фотоповреждение кожи, болезнь белых пятен, глубокие раны кожи, недержание пигмента, тепловое повреждение кожи, экзантематозный пустулез, лихеноидный дерматоз, кожный аллергический васкулит, цитотоксический дерматит; заболевания внутреннего уха, такие как, например, вызванные акутравмой гибель клеток слухового волоска и потеря слуха, вызванные аминогликозидом, гибель клеток слухового волоска и потеря слуха, потеря слуха, вызванная ототоксическим лекарством, перилимфатический свищ, холестеатома, улитковая или вестибулярная ишемия, болезнь Меньера, потеря слуха, вызванная радиационным облучением, потеря слуха, вызванная бактериальными или вирусными инфекциями, и идиопатическая потеря слуха; после трансплантации: реакцию «трансплантат против хозяина», острое и хроническое отторжение трансплантированных органов: сердца, легкого, почки, кожи, роговицы, костного мозга или печени; заживление раны и реакцию отторжения пересаженной ткани. ФАРМАЦЕВТИЧЕСКИЕ ПРЕПАРАТЫ Соединения изобретения могут быть переведены в формы, подходящие для введения посредством обычных способов при использовании вспомогательных веществ, таких как жидкий или твердый материал-носитель. Фармацевтические композиции изобретения могут быть введены внутрь (энтерально), перорально, парентерально (внутримышечно или внутривенно), ректально или локально (местно). Они могут быть введены в форме растворов, порошков, таблеток, капсул (в том числе микрокапсул), мазей (кремов или гелей) или суппозиториев. Подходящие эксципиенты для таких составов представляют собой фармацевтически обычно применяемые жидкие или твердые наполнители и разбавители, растворители, эмульгаторы, смазывающие вещества, ароматизирующие вещества, красители и/или вещества для буферного раствора. Часто используемые вспомогательные вещества, которые могут быть указаны, представляют собой карбонат магния, диоксид титана, лактозу, маннит и другие сахара или сахарные спирты (альдиты), тальк, белок молока (лактопротеин), желатин, крахмал, целлюлозу и ее производные, животные и растительные масла, такие как масло печени рыб, подсолнечное масло, арахисовое или кунжутное масло, полиэтиленгликоль и растворители, такие как, например, стерильная вода и одно- или многоатомные спирты, такие как глицерин. Соединения настоящего изобретения, как правило, вводят в виде фармацевтических композиций, которые представляют собой важные и новые варианты осуществления изобретения вследствие присутствия соединений, в особенности конкретных соединений со специфическим механизмом действия, раскрытых в этой заявке. Типы фармацевтических композиций, которые могут быть использованы, включают таблетки, жевательные таблетки, капсулы, растворы, растворы для парентерального введения, суппозитории, суспензии и другие типы, раскрытые в этой заявке или очевидные для специалиста в данной области из описания или из известных знаний в данной области, но не ограничиваются этим. В вариантах осуществления изобретения, обеспечивают фармацевтическую упаковку или набор, включающий один или более контейнеров, наполненных одним или более ингредиентами фармацевтической композиции изобретения. В комплекте с таким(и) контейнером(ами) могут быть различные изложенные на бумаге сведения, такие как инструкции для применения, или примечание в форме, принятой правительственным учреждением, которое регламентирует производство, применение или продажу фармацевтической продукции, где примечание отражает одобрение этого учреждения на производство, применение или продажу для введения человеку или животному. ФАРМАКОЛОГИЧЕСКИЕ СПОСОБЫ Спектрофотометрическое определение индукции EC 2.5.1.18 (GST) Клетки крыс PC-12 инкубируют в течение 24 часов с тестовым соединением. Активность GST измеряют при использовании 1-хлор-2,4-динитробензола (CDNB) и глутатина (GSH) в качестве субстратов (подложек). Фермент катализирует реакцию, превращающую эти субстраты в S-(2,4-динитрофенил)глутатион – продукт, который определяют спектрофотометрически при 340 нм. Действие тестового соединения выражают как рЕС50: отрицательный логарифм молярной концентрации соединения, которая вызывает 50% индукцию ферментной активности. Также определяют максимальный процент ферментативной индукции (смотри Drukarch et al. «Anethole dithiolethione prevents oxidative damage in gluthathione-depleted astrocytes», Eur. J. Pharmacol., 329, 259-262, 1997). Спектрофотометрическое определение индукции EC 1.6.99.2 (NQO) Клетки крыс PC-12 инкубируют в течение 24 часов с тестовым соединением. Активность NAD(P)H: оксидоредуктазы (NQO, EC 1.6.99.2) измеряют при использовании менадиона (витамина К3) в качестве субстрата и MTT в качестве индикаторного соединения. Образование формазана из МТТ определяют спектрофотометрически при 540 нм. Процент стимулирования (PS) вычисляют относительно максимального действия эталонного соединения D3T. Регистрируют максимальный процент (уровень) стимулирования с концентрацией, которая вызвала этот максимальный процент и значение рЕА50 (отрицательный логарифм молярной концентрации соединения, которая вызвала половину максимальной индукции ферментативной активности, равную эталонному соединению D3T) (смотри Murphy et al., «Enhanced NAD(P)H: Quinone reductase activity defences in neuronal cells prevents free radical-mediated damage», J. Neurochem., 71, 69-77, 1998 and Prochaska et al., Analytical Biochemistry, 169, 328-336, 1988). ДОЗА Эффективность соединений изобретения в качестве индукторов глутатион-S-трансферазы (GST), NADPH:хинон-оксидоредуктазы (NQO) определяют так, как описано выше. Из измеренной эффективности для данного соединения формулы (I) можно оценить теоретическую самую низкую эффективную дозу. При концентрации соединения, вдвое большей, измеренное значение ферментативной активности ЕС50, вероятно, будет удвоенным. Перевод этой концентрации в мг соединения на кг веса больного дает самую низкую теоретическую эффективную дозу, при допущении идеальной (полной) биодоступности (биологической усвояемости). Фармакокинетические, фармакодинамические и другие учитываемые факторы могут изменить дозу, конкретно вводимую, в сторону большего или меньшего значения. Целесообразно вводимая дозировка составляет 0,001-1000 мг/кг, предпочтительно 0,1-100 мг/кг, веса тела больного. ЛЕЧЕНИЕ Термин «лечение», используемый в этой заявке, относится к любому виду лечения состояния или заболевания млекопитающего, предпочтительно человека, и включает: (1) предупреждение возникновения заболевания или состояния у субъекта, который может быть предрасположен к этому заболеванию, но еще не был продиагностирован на его наличие, (2) ингибирование заболевания или состояния, то есть остановку/задержку его развития, (3) купирование заболевания или состояния, то есть достижение регрессии (возвращения) состояния, или (4) снятие состояний, вызванных заболеванием, то есть прекращение проявлений симптомов заболевания. ПРИМЕРЫ ПРИМЕР 1: ВЕЩЕСТВА И СПОСОБЫ Все реакции, в которых участвуют соединения, чувствительные к влаге, проводят в атмосфере сухого азота. Все другие коммерчески доступные химические вещества используют без дополнительной очистки. Реакции контролируют, используя тонкослойную хроматографию (TLC) на пластмассовых пластинках, покрытых силикагелем (силикагель Merck 60 F254), c указанным элюентом. Соединения визуализируют посредством УФ-света (254 нм) или посредством I2. Флэш хроматография представляет собой очистку при использовании указанного элюента и силикагеля Acros (0,030-0,075 мм). Спектры ядерного магнитного резонанса (1Н ЯМР) определяют в указанном растворителе. Константы взаимодействия J приведены в Гц. Формы пиков в спектрах ЯМР обозначают символами ‘q’ (квартет), ‘dq’ (двойной квартет), ‘bs’ (широкий синглет) и ‘m’ (мультиплет). ПРИМЕР 2: Синтезы конкретных соединений со специфическим механизмом действия ПУТЬ СИНТЕЗА А: Используемые тиокарбамоилхлориды являются или доступными коммерчески или посредством способов, описанных в публикации Gordeler et al., Chem.Ber., 103(1970)3393 and von Braun et al., Berichte Deutsche Chem. Ges., 36(1903)2274. Соединение А2: Методика А (схема А.1) стадии i+ii: 12,3 граммов (99 ммоль) N,N-диметилтиокарбамоилхлорида растворяют в 60 мл ацетонитрила. При перемешивании в реакционную смесь добавляют раствор 9,9 граммов (99 ммоль) изотиоцианата калия (KSCN) в 180 мл ацетонитрила. Затем смесь нагревают до температуры кипения, после чего кипячение с обратным холодильником продолжают в течение трех минут. Потом реакционную смесь добавляют к перемешиваемому раствору 13,5 граммов (90 ммоль) 4-н-бутил-анилина в 100 мл ацетонитрила. Последнюю смесь перемешивают в течение короткого времени, после чего растворитель удаляют в вакууме. Добавляют воду, в присутствии которой остаточное масло превращается в твердое вещество. Смесь твердое вещество/вода превращают в суспензию, после чего ее фильтруют. Остаток промывают водой, потом небольшим количеством изопропанола, после чего его оставляют сохнуть. Выход сырого продукта 24,4 грамма (92%). Перекристаллизация из изопропанола (приблизительно 200 мл) дает 16,7 граммов (63%) соответствующего дитиобиурета, температура плавления (t.пл.) 89,5-91°С. 1Н ЯМР (90 МГц, d6-DMSO) Методика А1 (схема А.1) стадии iii+iv: 11,8 граммов (40 ммоль) предварительно приготовленного дитиобурета растворяют в 300 мл спирта. При перемешивании добавляют раствор, содержащий 13,5 граммов иода (53,2 ммоль) и 16,7 иодида калия (100 ммоль) в 20 мл воды, до тех пор, пока совсем не исчезнет окрашивание йодом. Раствору дают постоять, при этом образуются кристаллы. Смесь фильтруют, остаток промывают спиртом, изопропанолом и петролейным эфиром, что дает 13,4 граммов (80%) соли йодистоводородной кислоты. Стадия iv: 10,5 граммов последнего вещества суспендируют в воде (250 мл) и при перемешивании добавляют 14 мл 2н. раствора КОН. По истечении 1,5 часов суспензию фильтруют, остаток промывают водой, небольшим количеством изопропанола и петролейным эфиром, что дает 6,5 граммов. Последнее количество перекристаллизовывают из 100 мл лигроина, что дает 3,3 грамма (45%) чистого продукта А2 в виде свободного основания. Температура плавления (t.пл.) 81-82,5°С. 1Н ЯМР (90 МГц, CDCl3) Соединение А19: Методика А (схема А.1) стадии i-iv: 2 грамма (16,3 ммоль) диметилтиокарбамоилхлорида и 1,58 граммов KNCS (16,3 ммоль) суспендируют в ацетонитриле и нагревают до температуры кипения с обратным холодильником в течение 2 минут, используя струйную воздушную сушилку (фен). К получающейся в результате горячей смеси добавляют 1,97 граммов (16,3 ммоль) (2,6)-диметиланилина в 10 мл ацетонитрила. По истечении 1 часа смесь фильтруют и фильтрат концентрируют. Получающееся в результате масло, содержащее дитиобиурет, растворяют в 40 мл этанола и добавляют раствор 6,7 граммов иода и 8,4 граммов йодида калия в 20 мл воды до тех пор, пока раствор не изменит свой цвет. Перемешивание продолжают в течение 1 часа, после чего реакционную смесь фильтруют, остаток промывают водой, 2М раствором КОН и опять водой. Потом остаток промывают диэтиловым эфиром и оставляют сохнуть, что дает 2,2 грамма (49%) свободного основания А19 в виде желтоватого твердого вещества. Температура плавления (t.пл.) 236,3-239,2°С (DSC – метод дифференциальной сканирующей калориметрии). 1Н ЯМР (200 МГц, d6-DMSO) В соответствии с синтезом, приведенным выше, получают соединения А1-А22 (таблица А), общей формулы (1а):
(во всех случаях соединения получают в виде свободных оснований, за исключением А1, которое получают в виде соли йодистоводородной кислоты (моно-гидройодида). Используемые сокращения обозначают: Ме = метил; Ph = фенил; Et = этил; But = бутил; i-Pr = изо-пропил;) ПУТЬ СИНТЕЗА В: Соединение В4: Методика В (схема В.1) стадии i+ii: 10 граммов (56 ммоль) тиокарбонилдиимидазола растворяют в тетрагидрофуране (THF) (400 мл). Добавляют 4,78 граммов (56 ммоль) пиперидина и перемешивают при 50°С в течение 3 часов. Смесь частично концентрируют и потом смешивают с 500 мл 7н. раствора NH3 в метаноле, после чего ее помещают в герметизированный сосуд на всю ночь при 45°С. При комнатной температуре реакционную смесь частично концентрируют, после этого ее охлаждают. Осадок, содержащий производное тиомочевины, собирают и сушат, что дает 1,3 г (16%) в виде серого твердого вещества. Методика В (схема В.1) стадии iii+iv: 1 грамм (6,85 ммоль) производного мочевины предыдущей стадии растворяют в 40 мл ацетонитрила, после чего добавляют 500 мг порошкообразного КОН и смесь перемешивают в течение 30 минут при комнатной температуре. Потом добавляют 1,02 грамма (6,85 ммоль) 2-метилфенилизотиоцианата и реакционную смесь перемешивают в течение 2 часов. Смесь фильтруют и фильтрат концентрируют. Получающееся в результате масло растворяют в этаноле (40 мл) и добавляют раствор 6,7 граммов йода и 8,4 граммов йодида калия в 20 мл воды до тех пор, пока раствор не изменит свой цвет. Перемешивание продолжают в течение 1 часа, после этого реакционную смесь фильтруют, остаток промывают водой, 2М раствором КОН и вновь водой. Потом остаток промывают диэтиловым эфиром и оставляют сохнуть, что дает 781 миллиграмм (39%) свободного основания В4 в виде не совсем белого твердого вещества. Температура плавления (t.пл.) 104,3-112,2°С (DSC – метод дифференциальной сканирующей калориметрии). 1Н ЯМР (200 МГц, d6-DMSO) В соответствии с синтезом, приведенным выше, получают соединения В1-В16 (таблица В), общей формулы (1а):
(во всех случаях соединения получают в виде свободных оснований) ПУТЬ СИНТЕЗА С: Соединение С10: Методика С (схема С.1) стадия i: При перемешивании 3,4 грамма (32,6 ммоль) растворяют в 100 мл ацетонитрила, после чего добавляют 1,3 грамма (32,6 ммоль) порошкообразного NaOH. Перемешивание продолжают в течение 3 часов. Затем добавляют 5 граммов (32,6 ммоль) 4-фторфенилизотиоцианата, после этого смеси дают прореагировать в течение всей ночи. Добавляют воду и трет-бутил-метиловый эфир (TBME), а также 5 мл концентрированной хлористоводородной кислоты. После взбалтывания/встряхивания двухфазной смеси органический слой отделяют и концентрируют в вакууме. Остаток перемещают в толуол и фильтруют. Выделяется маслянистое вещество и его удаляют из фильтрата. Фильтрат концентрируют в вакууме, остаток перемещают в TBME и 1М раствор NaOH. Водный слой промывают посредством TBME три раза. Затем водный слой подкисляют концентрированной хлористоводородной кислотой, после чего экстрагируют посредством TBME (3Ч). Объединенные органические фракции концентрируют в вакууме, что дает 2,5 грамма (30%) производного дитиобиурета в виде желтого твердого вещества. Методика С1 (схема С.1) стадия ii: 2,5 грамма (9,7 ммоль) дитиобиурета, приготовленного на стадии i, растворяют в 80 мл дихлорметана, к этому добавляют по каплям раствор 0,5 мл (9,8 ммоль, плотность = 3,119 г/мл) брома в 20 мл дихлорметана. Реакционную смесь перемешивают в течение 30 минут и образованный осадок отфильтровывают. Остаток промывают дихлорметаном и TBME и затем оставляют сохнуть в вакууме, что дает 1,8 граммов оранжевого твердого вещества. Последнее суспендируют в дихлорметане и обрабатывают посредством 4,21 мл (30 ммоль, 3 экв., плотность = 0,72 г/мл) триэтиламина, при этом все перемешивают в течение 30 минут. Реакционную смесь промывают водой (3×), после этого органический слой концентрируют в вакууме. Остаток перекристаллизовывают дважды из этанола, что дает 275 мг (11%) желтого продукта С10. Температура плавления (t.пл.) 81,2-84,4°С (DSC – метод дифференциальной сканирующей калориметрии). 1Н ЯМР (200 МГц, CDCl3) В соответствии с синтезом, приведенным выше, получают соединения С1-С11, общей формулы (1b) (таблица А):
(во всех случаях соединения получают в виде свободных оснований) Конкретные соединения со специфическим механизмом действия, синтез которых описан выше, предназначены для дополнительной более подробной иллюстрации изобретения, и, следовательно, полагают, что они не ограничивают объем изобретения никаким образом. Другие варианты осуществления изобретения будут очевидны специалистам в данной области из рассмотрения описания и практического использования изобретения, раскрытого в этой заявке. Таким образом подразумевается, что описание и примеры следует рассматривать только в качестве иллюстрации, а подлинные объем и сущность изобретения определяются посредством пунктов формулы изобретения. ПРИМЕР 3: СОСТАВ С СОЕДИНЕНИЕМ А10 Для перорального (p.o.) введения: к желаемому количеству (0,5-5 мг) твердого соединения А10 в стеклянной колбе добавляют несколько стеклянных шариков и твердое вещество измельчают путем встряхивания/перемешивания в течение 2 минут. После добавления 1 мл раствора 1% метилцеллюлозы в воде и 2 (об./об.) полоскамера 188 (Lutrol F68) соединение суспендируют путем встряхивания/перемешивания в течение 10 минут. рН доводят до 7 посредством нескольких капель водного раствора NaOH (0,1н.). Остающиеся частицы в суспензии дополнительно суспендируют при использовании ультразвуковой бани. Для внутрибрюшинного (i.p.) введения: к желаемому количеству (0,5-15 мг) твердого соединения А10 в стеклянной колбе добавляют несколько стеклянных шариков и твердое вещество измельчают путем встряхивания/перемешивания в течение 2 минут. После добавления 1 мл раствора 1% метилцеллюлозы и 5% маннита в воде соединение суспендируют путем встряхивания/перемешивания в течение 10 минут. В конце рН доводят до 7. ПРИМЕР 4: РЕЗУЛЬТАТЫ ФАРМАКОЛОГИЧЕСКИХ ТЕСТОВ Некоторые данные по ферментативной индукции, полученные в соответствии с протоколами, приведенными выше, показаны в таблице ниже.
Формула изобретения
1. Соединения общей формулы (I)
их фармакологически приемлемые соли упомянутых соединений формулы (I). 2. Применение соединений общей формулы (I) 3. Фармацевтическая композиция для профилактики и лечения нейродегенеративных заболеваний и других заболеваний, в которых решающую роль играют обусловленные свободными радикалами дистрофия клетки и/или гибель клетки (апоптоз), содержащая, в дополнение к фармацевтически приемлемому носителю и/или, по меньшей мере, одному фармацевтически приемлемому вспомогательному веществу, фармакологически активное количество, по меньшей мере, одного соединения, заявленного в п.1, или его соли, в качестве активного ингредиента. 4. Соединение по п.1, или его соль для применения в качестве лекарственного средства для профилактики и лечения нейродегенеративных заболеваний и других заболеваний, в которых решающую роль играют обусловленные свободными радикалами дистрофия клетки и/или гибель клетки (апоптоз). 5. Применение соединения по п.1 для получения фармацевтической композиции для профилактики и лечения нейродегенеративных заболеваний и других заболеваний, в которых решающую роль играют обусловленные свободными радикалами дистрофия клетки и/или гибель клетки (апоптоз). 6. Применение по п.2 или 5, где упомянутые нейродегенеративные заболевания представляют собой ишемический инсульт, травматическое повреждение мозга, боковой амиотрофический склероз (ALS), легкое когнитивное нарушение, болезнь Альцгеймера, старческое слабоумие, травму спинного мозга, синдром усталых ног, болезнь Хантингтона и болезнь Паркинсона, синдром раздраженной толстой кишки и воспалительные заболевания кишечника, гранулематозный энтерит (болезнь Крона) и язвенный колит, цирроз печени, ревматоидный артрит, рассеянный склероз, диабет 1 типа, реакцию «трансплантат против хозяина», острое и хроническое отторжение трансплантированных органов: сердца, легкого, почки, кожи, роговицы, костного мозга или печени; и реакцию отторжения ткани.
|
||||||||||||||||||||||||||||||||||||||||||||||||||||||||||||||||||||||||||||||||||||||||||||||||||||||||||||||||||||||||||||||||||||||||||||||||||||||||||||||||||||||||||||||||||||||||||||||||||||||||||||||||||||||||||||||||||||||||||||||||||||||||||||||||||||||||||||||||||||||||||||||||||||||||||||||||||||||||||||||||||||||||||||||||||||||||||||||||||||||||||||||||||||||||||||||||||||||||||||||||||||||||||||||||||||||||||||||||||||||||||||||||||||||||||








(миллионных долей (м.д.)): 0,93 (т, 3Н), 1,15-2,05 (м, 4Н), 2,61 (т, 3Н), 3,35 (с, 6Н), 7,18 (д, 2Н), 7,55 (д, 2Н), 9,79 (с, 2Н). 


