|
|
(21), (22) Заявка: 2007141199/04, 05.04.2006
(24) Дата начала отсчета срока действия патента:
05.04.2006
(30) Конвенционный приоритет:
07.04.2005 JP 2005-110702
(43) Дата публикации заявки: 20.05.2009
(46) Опубликовано: 20.08.2010
(56) Список документов, цитированных в отчете о поиске:
Howard D. Hartough et al. “Aminomethylation of Thiophene. II. The Intermediate N-(2-Thenyl)-formaldimines and their Reactions” THE JOURNAL OF THE AMERICAN CHEMICAL SOCIETY, 1948, Vol. LXX, 4013-4017. SU 407905 A1, 10.12.1973. JP 5286936 A, 02.11.1993.
(85) Дата перевода заявки PCT на национальную фазу:
07.11.2007
(86) Заявка PCT:
JP 2006/307682 20060405
(87) Публикация PCT:
WO 2006/109811 20061019
Адрес для переписки:
129090, Москва, ул.Б.Спасская, 25, стр.3, ООО “Юридическая фирма Городисский и Партнеры”, пат.пов. Е.Е.Назиной
|
(72) Автор(ы):
ТАНАКА Казуюки (JP), ТАКАНО Наоюки (JP), СЕКО Синзо (JP)
(73) Патентообладатель(и):
СУМИТОМО КЕМИКАЛ КОМПАНИ, ЛИМИТЕД (JP)
|
(54) СПОСОБ ПОЛУЧЕНИЯ ПРОИЗВОДНОГО ТИАЗОЛА
(57) Реферат:
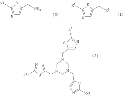
Изобретение относится к способу получения производного тиазола, представленного формулой (3), включающему стадии взаимодействия соединения, представленного формулой (1), с аммиаком и формальдегидом с получением производного гексагидротриазина, представленного формулой (2), и с последующим взаимодействием с гидроксиламином в кислых условиях

где X1 представляет атом водорода или атом галогена, Х2 представляет атом галогена. Также изобретение относится к способу получения производного тиазола, представленного формулой (3), включающего взаимодействие производного гексагидротриазина, представленного формулой (2), с гидроксиламином в кислых условиях. 2 н. и 6 з.п. ф-лы.
Изобретение относится к способу получения производного тиазола.
Предпосылки создания изобретения
Производное тиазола, представленное формулой (3)

в которой Х1 представляет атом водорода или атом галогена, примером которого является 2-хлор-5-(аминоэтил)тиазол, является соединением, используемым в качестве полуфабриката для лекарственных и агрохимических средств (см., например, JP 7-14916 В). Известно несколько способов его получения. Например, (а) способ, включающий взаимодействие соединения, представленное формулой (1)

в которой Х1 определен выше и Х2 представляет атом галогена, с гексаметилентетрамином с последующим гидролизом (см., например JP 4-234864 А и JP 4-21674 А); (b) способ, включающий взаимодействие соединения, представленного указанной выше формулой (1), реагирует с фталимидом калия с последующим разложением гидразином (см., например, JP 4-234864 А); (с) способ, включающий взаимодействие соединения, представленного указанной выше формулой (1), с формамидом с последующим гидролизом (см., например, JP 5-286936 А); и (d) способ, включающий взаимодействие соединения, представленного указанной выше формулой (1), с аммиаком (см., например JP 4-234864 А и JP 2000-143648 А).
Во всех вышеуказанных способах от (а) до (d) выходы целевого производного тиазола, представленного формулой (3), являются низкими, и с промышленной точки зрения эти способы неудовлетворительны. Хотя способ (d) выгоднее способов (а)-(с), поскольку он использует более дешевый аммиак, необходимо дальнейшее его усовершенствование, т.к. даже в присутствии 20 молей или большего количества аммиака на моль соединения, представленного вышеуказанной формулой (1), в качестве побочного продукта образуется соединение, представленное формулой (4)

в которой Х1 определен выше, вследствие чего выход целевого производного тиазола низок, представленного формулой (3).
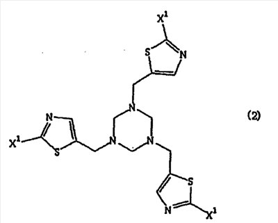
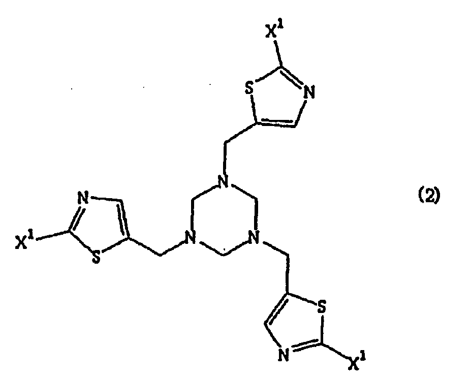
В интенсивных исследованиях был разработан промышленно выгодный способ получения производного тиазола, представленного формулой (3), с использованием недорогого аммиака и с подавлением образования соединения, представленного формулой (4), в качестве побочного продукта. В результате авторы настоящего изобретения обнаружили, что целевое производное тиазола, представленное формулой (3), можно получать, подавляя образование соединения, представленного формулой (4), в качестве побочного продукта, посредством реакции, в которой участвуют соединение, представленное формулой (1), аммиак и формальдегид, который также недорог и легко доступен, с получением производного гексагидротриазина, представленного формулой (2)

в котором Х1 определен выше, с последующей реакцией полученного соединения, представленного формулой (2), с гидроксиламином в кислых условиях.
Настоящее изобретение относится к способу получения производного тиазола, представленного формулой (3)

в которой Х1 представляет атом водорода или атом галогена, включающий стадии взаимодействия соединения, представленного формулой (1)

в которой Х1 определен выше и Х2 представляет атом галогена, аммиака и формальдегида с получением производного гексагидротриазинового соединения, представленного формулой (2)

в которой Х1 определен выше, и последующей реакции полученного производного гексагидротриазина, представленного формулой (2), с гидроксиламином и т.п. в кислых условиях.
Наилучший способ осуществления изобретения
Сначала следует объяснить стадию реакции с участием соединения, представленного формулой (1)

в которой Х1 представляет атом водорода или атом галогена и Х2 представляет атом галогена, которое в дальнейшем сокращенно обозначено как «соединение (1)», с аммиаком и формальдегидом с получением производного гексагидротриазина, представленного формулой (2)

в которой Х1 определен выше, которое в дальнейшем сокращенно обозначено как «соединение (2)».
В формуле соединения (1) Х1 представляет атом водорода или атом галогена и Х2 представляет атом галогена. Примеры атома галогена включают атом хлора, атом брома, атом иода и т.д.
Примеры соединения (1) включают 5-(хлорметил)тиазол, 2-хлор-5-(хлорметил)тиазол, 2-хлор-5-(бромметил)тиазол, 2-бром-5-(бромметил)тиазол, 2-хлор-5-(иодметил)тиазол, 2-бром-5-(иодметил)тиазол, 2-иод-5-(иодметил)тиазол и т.д.
Соединение (1) можно получать в соответствии с известным способом, описанным, например, в JP 4-234864 А.
Соединение (1) может находиться в форме свободного соединения или соли присоединения кислоты. Примеры кислоты для соли присоединения кислоты включают неорганические кислоты, такие как соляная (хлористоводородная), бромистоводородная, серная кислота, хлорная кислота и т.д., и органические кислоты, такие как уксусная кислота, метансульфоновая кислота, трифторметансульфоновая кислота, п-толуолсульфоновая кислота и т.д.
В качестве аммиака можно использовать газообразный аммиак или жидкий аммиак. В качестве альтернативы можно использовать водный аммиак. Кроме того, можно использовать раствор аммиака, растворенного в органическом растворителе, способном растворять аммиак, таком как метанол. С точки зрения облегчения выполнения способа и увеличения выхода предпочтительно использовать раствор аммиака в органическом растворителе.
Количество аммиака, которое можно использовать, обычно составляет 1-30 молей, предпочтительно 2-15 молей, более предпочтительно 2-10 молей на моль соединения (1). Когда в качестве соединения (1) используют соль присоединения кислоты, количество аммиака, которое можно использовать, можно определить, принимая в расчет количество кислоты в соли присоединения кислоты.
В качестве формальдегида можно использовать газообразный формальдегид. Однако с точки зрения облегчения выполнения способа предпочтительно использовать параформальдегид или формалин, более предпочтительно параформальдегид. Количество формальдегида, которое можно использовать, обычно составляет 1-10 молей, предпочтительно 1-8 молей, более предпочтительно 1-5 молей на моль соединения (1). Кроме того, в предпочтительном варианте относительное количество аммиака (на одно и то же количество соединения (1)), которое можно использовать, превосходит относительное количество формальдегида.
Температуру реакции обычно устанавливают в интервале 15-100°С, предпочтительно 20-90°С, и реакцию обычно проводят в условиях атмосферного давления или в условиях повышенного давления при 0,5 МПа (манометрическое давление) или более низком.
Реакцию можно проводить без растворителя, но предпочтительнее ее проводить в растворителе, инертном для этой реакции. Примеры растворителя включают спиртовые растворители, такие как метанол, этанол, н-пропанол, изопропанол и т.д., ароматические углеводородные растворители, такие как толуол, ксилол и т.д., галогенированные углеводородные растворители, такие как хлорбензол, дихлорбензол и т.д., алифатические углеводородные растворители, такие как гексан, гептан, циклогексан и т.д., простые эфиры в качестве растворителей, такие как диэтиловый эфир, тетрагидрофуран, диоксан и т.д., апротонные полярные растворители, такие как ацетонитрил, пропионитрил, диметилсульфоксид, N,N-диметилацетамид и т.д., вода и им подобные. Эти растворители можно использовать по отдельности или в комбинации друг с другом. Предпочтительны спиртовые растворители или вода; более предпочтителен спиртовой растворитель. Количество используемого растворителя обычно составляет 1 до 10 мас. частей на 1 мас. часть соединения (1).
Реакцию проводят, смешивая аммиак и формальдегид и приводя в контакт с соединением (1); порядок их смешения специально не ограничивают. Например, можно смешать соединение (1), аммиак и формальдегид и провести реакцию при предварительно установленной температуре или предварительно смешать соединение (1) и формальдегид и к ним добавить аммиак для реакции с ними. В качестве альтернативы заранее смешивают аммиак и формальдегид и к ним добавляют соединение (1) для реакции с ними. Альтернативно соединение (1) и аммиак можно одновременно добавлять к формальдегиду для реакции с ними или соединение (1) и формальдегид можно одновременно добавлять к аммиаку для реакции с ними.
При необходимости реакцию можно проводить в присутствии четвертичной соли аммония, такой как триэтилбензиламмонийхлорид, три-н-октилметиламмонийхлорид, триметилдециламмонийхлорид, тетраметиламмонийбромид, тетра-н-бутиламмонийбромид и т.д., или катализаторы межфазового переноса, такие как краун-эфир и т.д.
В этой реакции, по-видимому, сначала образуется нестабильное промежуточное метилениминное соединение, представленное формулой (5)

в которой Х1 определен выше, а затем происходит тримеризация метилениминного производного, представленного формулой (5), с образованием производного гексагидротриазинового (2).
После завершения реакции образуется реакционная смесь, содержащая производное гексагидротриазина (2), и производное гексагидротриазина (2) можно выделить, например, концентрированием реакционной смеси. В качестве альтернативы производное гексагидротриазина (2) можно выделить в форме кристаллов посредством охлаждения реакционной смеси во время или после ее концентрирования. В качестве альтернативы гексагидротриазиновое соединение (2) можно выделить экстракцией, добавляя воду и гидрофобный органический растворитель к реакционной смеси во время или после ее концентрирования, и концентрированием получающегося органического слоя. В качестве альтернативы гексагидротриазиновое соединение (2) можно выделить как соль присоединения кислоты, такую как гидрохлорид, сульфат и т.д.
Примеры гидрофобного органического растворителя включают галогенированные углеводородные растворители, такие как хлорбензол, дихлорбензол и т.д., сложноэфирные растворители, такие как этилацетат, бутилацетат и т.д., кетонные растворители, такие как метилэтилкетон, метилизубутилкетон и т.д., ароматические углеводородные растворители, такие как толуол, ксилол и т.д. и им подобные. Эти растворители можно использовать по отдельности или в комбинации друг с другом. Количество растворителя, которое следует использовать, специально не ограничивают.
В качестве альтернативы реакционную смесь или органический слой, содержащие гексагидротриазиновое соединение (2), можно использовать на следующей стадии для получения соединения тиазола формулы (3), описанного ниже, без выделения гексагидротриазинового соединения (2) из реакционной смеси.
Примеры таким образом получаемого гексакидротриазинового соединения (2) включают 1,3,5-трис[(тиазол-5-ил)метил]-1,3,5-гексагидротриазин, 1,3,5-трис[(2-хлортиазол-5-ил)метил]-1,3,5-гексагидротриазин, 1,3,5-трис[(2-бромтиазол-5-ил)метил]-1,3,5-гексагидротриазин и т.д.
Кроме того, следует объяснить стадию взаимодействия полученого производного гексакидротриазина (2) с гидроксиламином в кислых условиях с образованием производного тиазола, представленного формулой (3)

в которой Х1 определен выше, которое в дальнейшем сокращенно обозначено как «производное тиазола (3)».
Эта стадия взаимодействия производного гексагидротриазина (2) с гидроксиламином в кислых условиях для получения производного тиазола (3); обычно она проводится посредством приведения в контакт и смешивания гексагидротриазинового соединения (2) и гидроксиламина в кислых условиях.
В качестве гидроксиламина можно использовать его свободное соединение или соль присоединения кислоты, такую как гидрохлорид гидроксиламина (NH2OH·HCl) и сульфат гидроксиламина (NH2OH·H2SO4). В качестве такого гидроксиламина можно использовать коммерчески доступный гидроксиламин. Кроме того, такой гидроксиламин можно использовать в его непосредственной форме или в форме раствора, такого как водный раствор.
Количество такого гидроксиламина, которое следует использовать, обычно составляет 1-30 молей, предпочтительно 1-15 молей, более предпочтительно 1-10 молей на моль гексагидротриазинового соединения (2).
Производное гексагидротриазина (2) и гидроксиламин приводят в контакт и смешивают в кислых условиях обычно в водном растворе или в смешанном растворителе – вода и органический растворитель. Количество воды или смешанного растворителя, состоящего из воды и органического растворителя, которое следует использовать, обычно составляет 0,5-20 частей по массе на 1 часть по массе гексагидротриазинового соединения (2). Когда используют смесь воды и органического растворителя, соотношение смешиваемых воды и органического растворителя специально не ограничивают. Примеры органического растворителя включают ароматические углеводородные растворители, такие как толуол, ксилол и т.д., галогенированные углеводородные растворители, такие как хлорбензол, дихлорбензол и т.д., простые эфиры в качестве растворителей, такие как диэтиловый эфир, диизопропиловый эфир, метил-трет-бутиловый эфир, тетрагидрофуран и т.д., спиртовые растворители, такие как метанол, этанол, изопропанол и т.д. и им подобные.
Примеры кислоты, которую следует использовать, когда гидроксиламин реагирует в кислых условиях, включают минеральные (неорганические) кислоты, такие как хлористоводородная (соляная) кислота, серная кислота, фосфорная кислота и т.д., и органические карбоновые кислоты, такие как уксусная кислота, пропионовая кислота, лимонная кислота и т.д. Предпочтительны минеральные (неорганические) кислоты и более предпочтительны соляная (хлористоводородная) кислота или серная кислота. Количество кислоты, которое следует использовать, специально не ограничивают, при условии, что гидроксиламин и производное гексагидротриазина (2) можно привести в контакт и смешать в кислых условиях.
Гидроксиламин можно добавлять к производному гексагидротриазина (2) или производному гексагидротриазина (2) можно добавлять к гидроксиламину. Температура, при которой реагирует гидроксиламин, обычно находится в интервале 0-100°С, предпочтительно 0-50°С.
После того как гидроксиламин прореагирует с производным гексагидротриазина (2) в кислых условиях и, при необходимости, реакционная смесь будет выдержана в течение установленного времени, можно получить раствор соли присоединения кислоты и соединения тиазола (3), затем можно выделить соль присоединения кислоты и соединения тиазола (3), например, концентрированием этого раствора.
Когда гидроксиламин реагирует с производным гексагидротриазина (2) в кислых условиях, вместе с солью присоединения кислоты и производным тиазола (3) образуется формальдоксим как реакционный продукт реакции гидроксиламина и формальдегида или его тример. Поэтому предпочтительно проводить экстракцию вышеуказанного раствора, содержащего соль присоединения кислоты и производное тиазола (3), при добавлении основания и, при необходимости, гидрофобного органического растворителя в основных (щелочных) условиях для разделения на органический слой, содержащий соединение тиазола (3), и водный слой, содержащий формальдоксим или его тример. При концентрировании получающегося органического слоя можно выделить более чистое производное тиазола (3). Выделенное производное тиазола (3) можно превратить в соль присоединения кислоты, такую как гидрохлорид, реакцией с кислотой, такой как соляная (хлористоводородная) кислота. Примеры основания включают гироксиды щелочных металлов, такие как гидроксид натрия и т.д., и основание используют в таком количестве, чтобы рН водного слоя при вышеуказанной экстракционной обработке находился в интервале 8-14, предпочтительно 10-14. Примеры гидрофобного органического растворителя включают ароматические углеводородные растворители, такие как толуол, ксилол и т.д., галогенированные углеводородные растворители, такие как хлорбензол, дихлорберзол и т.д., сложноэфирные растворители, такие как этилацетат и бутилацетат, и кетоновые растворители, такие как метилэтилкетон, метилизобутилкетон и т.д. и им подобные. Эти растворители можно использовать по отдельности или в комбинации друг с другом. Количество растворителя, которое следует использовать, специально не ограничивают.
Кроме того, водный раствор, содержащий аддитивную соль кислоты и производное тиазола (3), получают при смешивании органического слоя, содержащего производное тиазола (3), полученного при вышеуказанной экстракционной процедуре, с водным раствором кислоты с последующим разделением смеси на слои. Соль присоединения кислоты и производное тиазола (3) можно выделить посредством концентрирования водного раствора, содержащего соль присоединения кислоты и производное тиазола (3) в непосредственной форме, или посредством частичного концентрирования водного раствора. В качестве альтернативы для осаждения кристаллов соли присоединения кислоты и производное тиазола (3) к водному раствору, содержащему соль присоединения кислоты и производное тиазола (3), можно добавить слабый растворитель, который плохо растворяет соль присоединения кислоты и производное тиазола (3). Примеры водного раствора кислоты включают водный раствор соляной (хлористоводородной) кислоты, серной кислоты, уксусной кислоты, метансульфоновой кислоты и т.д. Этот водный раствор используют в таком количестве, чтобы рН водного слоя при экстракции обычно находился в интервале 2,5-5,5, предпочтительно 3-5. Кроме того, когда получающийся водный раствор, содержащий аддитивную соль кислоты и производное тиазола (3), окрашен, этот водный раствор можно подвергнуть обесцвечиванию, например, добавлением обесцвечивающего агента, такого как активированный уголь, к этому водному раствору.
Примеры полученного таким образом производного тиазола (3) включают 5-(аминометил)тиазол, 2-хлор-5-(аминометил)тиазол, 2-бром-5-(аминометил)тиазол и т.д.
Примеры
Следующие примеры дополнительно объясняют настоящее изобретение более подробно, но не ограничивают предмет настоящего изобретения. Все проценты и части даны по массе, если не указано иначе. Для анализа использовали метод высокоэффективной жидкостной хроматографии (ЖХ).
Пример 1
В автоклав из нержавеющей стали загрузили 3,69 части параформальдегида (с содержанием 92%), 21,8 части 12,8% раствора аммиака в метаноле, 1,4 части метанола и 6,96 части 2-хлор-5-(хлорметил)тиазола (с содержанием 97,6%), и смесь реагировала при перемешивании при внутренней температуре 40°С в течение 3 часов, затем при 50°С в течение 3 часов, затем еще 1 час при 70°С. Полученную реакционную смесь, содержащую 1,3,5-трис[(2-хлортиазол-5-ил)метил]-1,3,5-гексагидротриазин, охлаждали до внутренней температуры 50°С и концентрировали при пониженном давлении. К полученному концентрированному остатку добавили 24,4 части воды, и смесь сконцентрировали при пониженном давлении. К полученному концентрированному остатку добавили 28,4 части толуола для проведения экстракции при внутренней температуре 70°С, в результате чего получили 36,5 части толуольного слоя, содержащего 1,3,5-трис[(2-хлортиазол-5-ил)метил]-1,3,5-гексагидротриазин, и водный слой. К толуольному слою добавили 10,4 части воды, а затем в течение 2,5 часов добавили 13,9 части водного раствора гидроксиламинсульфата (с содержанием сульфата 23,8%). К этой смеси в течение 2 часов добавили 4,2 части 35% соляной (хлористоводородной) кислоты, поддерживая внутреннюю температуру в интервале 20-30°С. Смесь перемешивали при этой температуре в течение 30 минут и подвергли разложению. К смеси добавили 20,9 части 27% водного раствора гидроксида натрия для доведения рН до 13,6, полученную смесь разделили на слои для получения органического слоя и водного слоя. Водный слой экстрагировали три раза толуолом и полученные толуольные слои объединили с органическим слоем, полученным ранее. После промывки объединенного органического слоя 2,3 частями 14% водного раствора гидроксида натрия к нему добавили 9,1 части воды и 3,6 части 35% по массе соляной (хлористоводородной) кислоты для доведения рН до 4,6. Слои разделили, и 18,1 части полученного водного слоя сконцентрировали в условиях пониженного давления, в результате чего получили 14,7 части концентрированного остатка. К этому концентрированному остатку добавили воду с получением 15,7 части (с содержанием 41,8%) водного раствора, содержащего гидрохлорид 2-хлор-5-(аминометил)тиазола. Выход гидрохлорида 2-хлор-5-(аминометил)тиазола составил 87,6% (в расчете на 2-хлор-5-(хлорметил)тиазол), а выход бис[(2-хлортиазол-5-ил)метил]амина составил 0,1% (в расчете на 2-хлор-5-(хлорметил)тиазол).
Ссылочный пример 1
В стеклянный автоклав загрузили 29,3 части 2-хлор-5-(хлорметил)тиазола (с содержанием 95,7%), 15,8 части параформальдегида (с содержанием 95%) и 87,3 части 13% раствора аммиака в метаноле, и смесь реагировала при перемешивании и при внутренней температуре 70°C в течение 3 часов. Максимальное значение внутреннего давления (манометрического давления) во время реакции составляло 0,08 МПа. После завершения реакции реакционная смесь, содержащая 2-хлор-5-(метилиденаминометил)тиазол, охладили до внутренней температуры 5°С, а выпавшее твердое вещество собрали фильтрованием. Собранное твердое вещество высушили при пониженном давлении, в результате чего получили 21,9 части 1,3,5-трис[(2-хлортиазол-5-ил)метил]-1,3,5-гексагидротриазина.
Масс-спектр (полевая десорбция): m/z 480 при моноизотропном пике (изотопная картина Cl×3).
3Н-ЯМР (CDCL3, 270 МГц, /ppm)
3,50 (широкий синглет, 2Н), 3,82 (синглет, 2Н), 7,33 (синглет, 1Н)
13С-ЯМР (CDCL3, 68 МГц, /ppm)
48,85, 72,34, 138,73, 139,29, 151,71
Пример 2
В колбу добавили 5 частей 1,3,5-трис[(2-хлортиазол-5-ил)метил]-1,3,5-гексагидротриазина, 15 частей толуола и 3,2 части 35% соляной (хлористоводородной) кислоты, смесь перемешивали 30 минут при внутренней температуре 60°С. Смесь охладили до внутренней температуры 35°С и добавили 18,3 части водного раствора гидроксиламинсульфата (с содержанием сульфата 14%). К смеси добавили 13,2 части 27% водного раствора гидроксида натрия для доведения рН до 12,2 и разделили слои для получения толуольного слоя, содержащего 2-хлор-5-(аминометил)тиазол, и водного слоя. Полученный водный слой экстрагировали два раза 15 частями толуола, полученные толуольные слои объединили с полученным ранее толуольным слоем, содержащим 2-хлор-5-(аминометил)тиазол, в результате чего получили 49,4 части (с содержанием 8,5%) толуольного раствора, содержащего 2-хлор-5-(аминометил)тиазол. Выход 2-хлор-5-(аминометил)тиазола составил 95,1% (в расчете на 1,3,5-трис[(2-хлортиазол-5-ил)метил]-1,3,5-гексагидротриазин).
Пример 3
В колбу добавили 28 частей 1,3,5-трис[(2-хлортиазол-5-ил)метил]-1,3,5-гексагидротриазина, 126 частей толуола, 30,2 части воды и 18,1 части 35% соляной (хлористоводородной) кислоты и смесь перемешивали 30 минут при внутренней температуре 25°С. К смеси добавили 59,2 части водного раствора гидроксиламинсульфата (с содержанием сульфата 24%) и смесь перемешивали 30 минут при внутренней температуре 25°С. К смеси добавили 84 части 27% водного раствора гидроксида натрия для доведения рН до 13 или большего значения и разделили слои, в результате чего получили органический слой, содержащий 2-хлор-5-(аминометил)тиазол, и водный слой. Полученный водный слой экстрагировали три раза толуолом и полученные толуольные слои объединили с ранее полученным органическим слоем, содержащим 2-хлор-5-(аминометил)тиазол. После промывки объединенного органического слоя 11,6 частями 14% водного раствора гидроксида натрия к нему добавили 41,9 части воды и 17,9 части 35% соляной (хлористоводородной) кислоты для доведения рН до 4,6. Затем разделили слои, в результате чего получили водный слой, содержащий гидрохлорид 2-хлор-5-(аминометил)тиазола. После концентрирования водного слоя для обесцвечивания добавили 0,3 части активированного угля. После отделения активированного угля фильтрованием добавили воду для получения 84,2 части (с содержанием 36,2%) водного раствора, содержащего гидрохлорид 2-хлор-5-(аминометил)тиазола. Выход гидрохлорида 2-хлор-5-(аминометил)тиазола составил 94,9% (в расчете на 1,3,5-трис[(2-хлортиазол-5-ил)метил]-1,3,5-гексагидротриазин).
Пример 4
В соответствии с такой же процедурой, как и в Примере 3, за исключением того, что использовали 17,1 части 50% серной кислоты вместо 18,1 части 35% соляной (хлористоводородной) кислоты, использованной в Примере 3, получили 85,3 части (с содержанием 35,7%) водного раствора, содержащего гидрохлорид 2-хлор-5-(аминометил)тиазола. Выход гидрохлорида 2-хлор-5-(аминометил)тиазола составил 94,4% (в расчете на 1,3,5-трис[(2-хлортиазол-5-ил)метил]-1,3,5-гексагидротриазин).
Пример 5
В колбу добавили 28 частей 1,3,5-трис[(2-хлортиазол-5-ил)метил]-1,3,5-гексагидротриазина, 126 частей толуола, 30,2 части воды и 59,2 части водного раствора гидроксиламинсульфата (с содержанием сульфата 24%) и по каплям 18,1 части 35% соляной (хлористоводородной) кислоты, поддерживая внутреннюю температуру в интервале от 20 до 30°С. Затем смесь 30 минут перемешивали при внутренней температуре 25°С. Далее добавили 85 частей 27% водного раствора гидроксида натрия для доведения рН до 13 или большего значения и разделили слои, в результате чего получили органический слой, содержащий 2-хлор-5-(аминометил)тиазол, и водный слой. Водный слой экстрагировали три раза толуолом и полученный толуольный слой объединили с полученным ранее органическим слоем. Объединенный органический слой промыли 11,5 частями 14% водного раствора гидроксида натрия. Затем добавили 41,8 части воды и 17,8 части 35% соляной (хлористоводородной) кислоты для доведения рН до 4,7. Разделили слои, сконцентрировали полученный водный слой и добавили 0,3 части активированного угля для обесцвечивания. После отделения активного угля фильтрованием добавили воду для получения 84,8 части (с содержанием 36,9%) водного раствора, содержащего гидрохлорид 2-хлор-5-(аминометил)тиазола. Выход гидрохлорида 2-хлор-5-(аминометил)тиазола составил 96,8% (в расчете на 1,3,5-трис[(2-хлортиазол-5-ил)метил]-1,3,5-гексагидротриазин).
Пример 6
В соответствии с такой же процедурой, как и в Примере 5, за исключением того, что использовали 17,1 части 50% серной кислоты вместо 18,1 части 35% соляной (хлористоводородной) кислоты, использованной в Примере 5, получили 85,1 части (с содержанием 35,7%) водного раствора, содержащего гидрохлорид 2-хлор-5-(аминометил)тиазола. Выход гидрохлорида 2-хлор-5-(аминометил)тиазола составил 95,2% (в расчете на 1,3,5-трис[(2-хлортиазол-5-ил)метил]-1,3,5-гексагидротриазин).
Пример 7
В колбу добавили 5 частей 1,3,5-трис[(2-хлортиазол-5-ил)метил]-1,3,5-гексагидротриазина, 15 частей толуола, 15 частей воды и 3,3 части 35% соляной (хлористоводородной) кислоты и смесь перемешивали 30 минут при внутренней температуре 60°С. После охлаждения смеси до внутренней температуры 25°С добавили 2,3 части гидрохлорида гидроксиламина (с содержанием 97%). К смеси добавили 11,6 частей 27% водного раствора гидроксида натрия для доведения рН до 12,3, разделили слои и получили 18,3 части (с содержанием 17,5%) толуольного раствора, содержащего 2-хлор-5-(аминометил)тиазол. Выход 2-хлор-5-(аминометил)тиазола составил 72% (в расчете на 1,3,5-трис[(2-хлортиазол-5-ил)метил]-1,3,5-гексагидротриазин).
Пример 8
В колбу добавили 5 частей 1,3,5-трис[(2-хлортиазол-5-ил)метил]-1,3,5-гексагидротриазина, 15 частей толуола и 3,3 части 35% соляной (хлористоводородной) кислоты, смесь перемешивали 30 минут при внутренней температуре 60°С. После охлаждения смеси до внутренней температуры 25°С добавили 10,6 части водного раствора гироксиламинсульфата (с содержанием сульфата 24%). К смеси добавили 12,4 части 27% водного раствора гидроксида натрия для доведения рН до 12,3, разделили слои и получили 18,9 части (с содержанием 18,5%) толуольного раствора, содержащего 2-хлор-5-(аминометил)тиазол. Выход 2-хлор-5-(аминометил)тиазола составил 75,8% (в расчете на 1,3,5-трис[(2-хлортиазол-5-ил)метил]-1,3,5-гексагидротриазин).
Пример 9
В соответствии с такой же процедурой, как и в Примере 8, за исключением того, что использовали 9 частей водного раствора гидрохлорида гидроксиламина (с содержанием гидрохлорида 24%) вместо 10,6 части водного раствора гидроксиламинсульфата (с содержанием сульфата 24%), использованного в Примере 8, получили 18,6 части (с содержанием 17,5%) толуольного раствора, содержащего 2-хлор-5-(аминометил)тиазол. Выход 2-хлор-5-(аминометил)тиазола составил 70,2% (в расчете на 1,3,5-трис[(2-хлортиазол-5-ил)метил]-1,3,5-гексагидротриазин).
Пример 10
В колбу добавили 5 частей 1,3,5-трис[(2-хлортиазол-5-ил)метил]-1,3,5-гексагидротриазина, 15 частей толуола и 3,2 части 35% соляной (хлористоводородной) кислоты, смесь перемешивали 30 минут при внутренней температуре 60°С. После охлаждения раствора до внутренней температуры 35°С добавили 18,3 части водного раствора, содержащего гидроксиламинсульфат (с содержанием сульфата 14%). К смеси добавили 13,2 части 27% водного раствора гидроксида натрия для доведения рН до 12,2, разделили слои и получили 18,3 части (с содержанием 17,3%) толуольного раствора, содержащего 2-хлор-5-(аминометил)тиазол. Выход 2-хлор-5-(аминометил)тиазола составил 71,6% (в расчете на 1,3,5-трис[(2-хлортиазол-5-ил)метил]-1,3,5-гексагидротриазин).
Сравнительный пример 1
В автоклав из нержавеющей стали загрузили 15,7 части 2-хлор-5-(хлорметил)тиазола (с содержанием 95,7%) и 25,4 части 24% раствора аммиака в метаноле, смесь реагировала при перемешивании и при внутренней температуре 70°С в течение 3 часов. Максимальное значение внутреннего давления (манометрического давления) при реакции составляло 0,28 МПа. После переноса полученной реакционной смеси в другую колбу, причем для смыва и ополаскивания было добавлено около 15 частей метанола, смесь сконцентрировали при пониженном давлении и получили 26,1 части концентрированного остатка. К этому концентрированному остатку добавили метанол для получения 228 частей раствора, содержащего 2-хлор-5-(аминометил)тиазол. Выход 2-хлор-5-(аминометил)тиазола составил 41,4% (в расчете на 2-хлор-5-(хлорметил)тиазол), и выход бис[(2-хлортиазол-5-ил)метил]амина составил 24,5% (в расчете на 2-хлор-5-(хлорметил)тиазол).
Промышленная применимость
В соответствии с настоящим изобретением можно промышленно выгодно производить соединение тиазола, которое является полуфабрикатом фармакологических и агрохимических средств, при подавленном образовании побочного продукта.
Формула изобретения
1. Способ получения производного тиазола, представленного формулой (3)
 в которой Х1 представляет атом водорода или атом галогена, включающий стадии взаимодействия соединения, представленного формулой (1)
 в которой X1 определен выше и X2 представляет атом галогена, с аммиаком и формальдегидом с получением производного гексагидротриазина, представленного формулой (2)
 в которой X’ определен выше, с последующим взаимодействием полученного производного гексагидротриазина, представленного формулой (2), с гидроксиламином в кислых условиях.
2. Способ по п.1, в котором количество используемого гидроксиламина составляет 1-10 моль на 1 моль производного гексагидротриазина, представленного формулой (2).
3. Способ по п.1, в котором формальдегид находится в форме параформальдегида или формалина.
4. Способ по п.1, в котором количество формальдегида, которое следует использовать, составляет 1-10 моль на 1 моль соединения, представленного формулой (1).
5. Способ по п.1, в котором количество используемого аммиака составляет 2-10 моль на 1 моль соединения, представленного формулой (1).
6. Способ по п.1, в котором после реакции производного гексагидротриазина, представленного формулой (2), с гидроксиламином реакционную смесь экстрагируют гидрофобным органическим растворителем в основных (щелочных) условиях для отделения органического слоя, содержащего соединение тиазола, представленного формулой (3).
7. Способ получения производного тиазола, представленного формулой (3)
 в которой X1 определен выше, включающий взаимодействие производного гексагидротриазина, представленного формулой (2)
 в которой X1 определен выше, с гидроксиламином в кислых условиях.
8. Способ по п.7, в котором после реакции производного гексагидротриазона, представленного формулой (2), с гидроксиламином реакционную смесь экстрагируют гидрофобным органическим растворителем в основных (щелочных) условиях для отделения органического слоя, содержащего соединение тиазола, представленного формулой (3).
|
|