|
|
(21), (22) Заявка: 2007127623/04, 10.01.2006
(24) Дата начала отсчета срока действия патента:
10.01.2006
(30) Конвенционный приоритет:
20.01.2005 IT MI2005A000062
(43) Дата публикации заявки: 27.02.2009
(46) Опубликовано: 20.08.2010
(56) Список документов, цитированных в отчете о поиске:
(85) Дата перевода заявки PCT на национальную фазу:
20.08.2007
(86) Заявка PCT:
EP 2006/000160 20060110
(87) Публикация PCT:
WO 2006/077034 20060727
Адрес для переписки:
191036, Санкт-Петербург, а/я 24, “НЕВИНПАТ”, пат.пов. А.В.Поликарпову
|
(72) Автор(ы):
ДАЛЛОРО Леонардо (IT), ЧЕЗАНА Альберто (IT), БУЦЦОНИ Роберто (IT), ДЖЕНОНИ Фаусто (IT), СПАНО Гвидо (IT), РИВЕТТИ Франко (IT)
(73) Патентообладатель(и):
Полимери Эуропа С.п.А. (IT)
|
(54) СПОСОБ ПОЛУЧЕНИЯ ФЕНОЛА
(57) Реферат:
Изобретение относится к способам (вариантам) получения фенола путем гидродеоксидирования полигидроксилированных производных бензола, а также путем селективного гидроксилирования бензола, в которых используется катализатор на основе многокомпонентных оксидов металлов, отличающийся тем, что указанные оксиды включают по меньшей мере одну активную фазу оксида, которая соответствует структуре шеелита, и материалы с кристаллической структурой, не являющейся шеелитом, или аморфной структурой, где кристаллическую структуру шеелита выбирают из следующих составов:
Bi(1-x/3)V(1-x)wNb(1-x)(1-w)MoO4,
Cu(1-z)ZnzW(1-y)MoyO4
где каждый из w, x, у и z составляет от 0 до 1,
и где материалы с кристаллической структурой, не являющейся шеелитом, или аморфной структурой выбирают из оксида церия или смеси оксид церия – оксид циркония. 2 н. и 21 з.п. ф-лы, 4 ил.
Изобретение относится к способу получения фенола путем гидродеоксидирования бензолдиолов водородом или посредством прямого окисления бензола.
Более конкретно, оно относится к способу получения фенола, в котором вышеупомянутые реакции проводят в присутствии катализатора на основе многокомпонентных оксидов металлов.
Фенол является промежуточным продуктом, имеющим большое значение и применяемым во многих отраслях промышленности, например в производстве поликарбонатов или других фенольных смол, волокон, моющих средств, антиоксидантов и во многих других областях.
В промышленном масштабе фенол получают исходя из кумола посредством многостадийного процесса, который начинается с бензола и пропилена и приводит к совместному образованию фенола и ацетона. Совместное получение ацетона может далее вызвать проблемы с его использованием, поскольку, как предполагают, рынок этого продукта развивается медленнее, чем рынок фенола.
Поэтому с целью упрощения существующего способа активно проводят исследования в поисках альтернативного коммерческого процесса.
Рассматриваемые в настоящее время направления исследований предлагают процессы как в жидкой, так и в газовой фазе.
Например, в патентах США 6573413 и 5110995 описан «одностадийный» способ в газовой фазе, исходя непосредственно из бензола и закиси азота (процесс Alphox). Одна из основных проблем этого способа связана с доступностью окислителя. Специальное получение закиси азота (N2O) в качестве окислителя исходя из аммиака фактически является обременительным, в то время как возможность использования N2O – побочного продукта производства адипиновой кислоты из фенола, по-видимому, является важным фактором экономической целесообразности процесса Alphox. Это, однако, требует сильной интеграции между этими двумя процессами, что неудобно для проведения независимого продвижения на товарном рынке.
Исследование альтернативных способов получения фенола, основанных на прямом окислении бензола при высокой температуре в газовой фазе посредством молекулярного кислорода или воздуха в присутствии различных катализаторов окисления, до сих пор не дало приемлемых результатов как в отношении присущей процессу безопасности, так и в отношении параметров процесса.
К сожалению, при используемых в этих процессах температурах также происходит значительное окисление бензольного кольца, которое приводит к образованию таких продуктов, как диоксид углерода, карбоновые кислоты или ангидриды, с вытекающей из этого потерей селективности (патент США 5981424; G.I.Panov САТТЕСН 4 (2000), 18-32; J. Plotkin, European Chemical News 25/09-1/10 2000, 59-62).
Другим недостатком прямого окисления в газовой фазе, в которую одновременно подают окислители (например, кислород) и углеводороды, является возможность попадания в пределы воспламеняемости или взрываемости смеси реагентов; часто эти пределы известны только приблизительно для условий промышленных установок в отношении температуры, давления, геометрических характеристик (P.Arpentier, F.Cavani, F.Trifiro, Технология каталитического окисления. Т.2. Аспекты безопасности. (The technology of catalytic oxidation, vol. 2, Safety aspects), Ed. Technip, 2001).
Патенты ЕР 0919531 и ЕР 0958861 описывают селективное окисление бензола без разрыва бензольного кольца, проводимое в жидкой фазе с использованием таких окислителей, как перекись водорода, в присутствии специфических растворителей и пригодных для этого каталитических систем. Эти способы, однако, не позволяют достичь высоких уровней производительности, поскольку их необходимо осуществлять при низких степенях превращения бензола, чтобы ограничить последующие реакции окисления фенола до побочных продуктов (пирокатехина и гидрохинона).
Например, в патентной заявке WO 03042146 указано, что на каждую тонну фенола одновременно получают 111 кг гидрохинона и пирокатехина (в смеси 55/45), при степени превращения бензола 12,2% и селективности по отношению к фенолу 90%. Эти побочные продукты получают в таком количестве, что рынок не может их поглотить, и, таким образом, их следует утилизовывать, что приводит к увеличению затрат на проведение процесса.
Другой способ получения фенола предусматривает в качестве исходных веществ бензолдиолы (диоксибензолы); эти соединения подвергают процессу гидродеоксидирования водородом, проводя процесс в присутствии воды и с катализатором на основе элементов VIB или VIII группы Периодической системы, как описано в Европейской патентной заявке ЕР 1411038.
Интегрированный способ получения фенола, описанный в итальянской патентной заявке ЕР 1424320 А1, в котором побочные продукты реакции – гидрохинон и пирокатехин – селективно превращают в фенол и рециклируют в потоки, участвующие в процессе, позволяет полностью устранить одновременное образование побочных продуктов, получая рост производительности по фенолу.
В настоящее время установлено, что фенол можно получить исходя как из полигидроксилированных производных бензола (например, бензолдиолов) посредством гидроксидеоксидирования в присутствии водорода, так и из бензола посредством окислительного гидроксилирования (называемого также прямым частичным окислением), проводимого в среде с недостатком реагентов, при работе в присутствии конкретных каталитических композиций.
Проведение реакции в среде с недостатком реагента означает, что реакцию проводят с дефицитом молекулярного кислорода или других окислителей по отношению к стехиометрии реакций.
Этих условий достигают, подавая кислород или другие окислители в реакцию в меньших количествах по сравнению со стехиометрическим количеством в расчете на вступающий в реакцию бензол или совсем не подавая их, как более ясно проиллюстрировано ниже.
Таким образом, предметом данного изобретения является способ получения фенола посредством гидродеоксидирования полигидроксилированных производных бензола или посредством селективного гидроксилирования бензола в условиях недостатка реагента, характеризующийся тем, что указанные реакции проводят в присутствии катализатора на основе многокомпонентных оксидов металлов, включающего по меньшей мере один металл, выбранный из групп VB, VIB, VIII, IB, ИВ, IVA, VA.
Возможность использования катализаторов по данному изобретению при окислительном гидроксилировании бензола в условиях недостатка реагента или при гидродеоксидировании полигидроксилированных производных бензола в присутствии водорода является еще более неожиданной, учитывая то, что обычные катализаторы окисления и восстановления неспособны осуществить описанные реакции, как показано приведенными сравнительными примерами.
В случае окислительного гидроксилирования в условиях недостатка реагента недостающий до стехиометрии кислород обеспечивает катализатор, который в то же время изменяет свой состав (стадия превращения бензола в фенол и стадия восстановления катализатора). В последующей фазе катализатор снова возвращается в свое первоначальное состояние посредством кислорода или другого окисляющего соединения (стадия повторного окисления катализатора). Стадии реакции и повторного окисления осуществляют циклически.
На стадии окисления бензола до фенола используют катализатор в частично или полностью окисленной форме, и в условиях реакции поддерживают дефицит кислорода или другого окисляющего агента.
На практике реакцию окисления бензола до фенола проводят в отсутствие молекулярного кислорода или других окисляющих агентов или путем подачи меньших количеств кислорода или других окислителей, чем количество, необходимое согласно стехиометрии участвующего в реакции бензола.
Из реакции (1), приведенной ниже, видно, что катализатор участвует в стехиометрии реакции, действуя также в качестве реагента, когда он находится в окисленном состоянии («catox») и способен предоставить часть своего кислорода, и впоследствии предполагает переход в восстановленное состояние («catred»).
Для того чтобы реакция была каталитической, необходимо, чтобы восстановленный катализатор был способен легко получать кислород от агента-окислителя (например, воздуха, кислорода, N2O и т.д.), чтобы снова превратиться на второй стадии (2) в более высокую степень окисления, способную инициировать новый цикл окисления.
Степень окисления катализатора в его окисленной форме может быть максимальной степенью окисления или промежуточной степенью окисления, оптимальной для приведения к максимуму желаемых параметров реакции (выходы, производительность и т.д.).

где «ох» представляет собой один из вышеуказанных окисляющих агентов.
В области реакций селективного каталитического окисления известно проведение реакции в условиях недостатка реагента (далее называемое «Окислительно-восстановительная технология» (RedOx – технология)) (Ind. Eng. Chem., 41(6), 1949, p.1227).
Этот подход был разработан как для реакций селективного окисления, так и для окислительной дегидрогенизации.
В частности, можно проследить историю RedOx – технологии для реакций селективного окисления, как описано во введении к данному патенту, до инженерных концепций, которые предполагали работу в периодическом режиме. Самые последние разработки таких технологий описаны в работах G.Emig и M.A.Liauw, Topics in Catalysis, vol.21, Nos. 1-3 (2002), pp.11-24, и P.Silveston, R.R.Hudgins, A.Renken, Catalysis Today 25 (1995) 91-112.
Процесс окисления бензола с применением RedOx-технологии осуществляют в реакторе, работающем при температурах в диапазоне от 150 до 700°С, предпочтительно от 200 до 600°С, еще более предпочтительно от 250 до 550°С, при давлении в диапазоне от 0,01 до 10 МПа (от 0,1 до 100 бар), предпочтительно от 0,1 до 3 МПа (от 1 до 30 бар) с объемными скоростями, имея в виду массовую объемную скорость в час, WHSV (г питающей смеси на г катализатора в час) в диапазоне от 0,01 до 1000 ч-1, предпочтительно от 1 до 100 ч-1, еще более предпочтительно от 2 до 50 ч-1.
Реакцию можно проводить в присутствии разбавителя (N2, СН4, Н2О, СО2 и т.д.). Каталитическую систему восстанавливают в регенераторе при температуре выше 100°С, восстанавливая, таким образом, степень окисления, более полезную для катализатора, и, возможно, устраняя по меньшей мере часть углеродистых отложений, образовавшихся в ходе реакции.
Окислительная среда, применяемая в этой секции, может состоять из кислорода, воздуха, подходящих смесей азота и кислорода, других окислителей, таких как, например, N2O и ее смеси. Возможно также присутствие разбавителей, таких как СО2, Н2О и т.д.
Реакцию окисления органического субстрата предпочтительно проводят за пределами диапазона взрываемости газообразной смеси реагентов для используемых диапазонов температуры, давления и соотношения кислород/воздух.
Реакцию гидроксилирования бензола по данному изобретению проводят предпочтительно в двух реакторах: один предназначен для проведения реакции, другой – для регенерации.
Таким образом можно отделить углеводород от окисляющего агента, получая таким образом различные преимущества по сравнению с окислением в газовой фазе, где одновременно подают субстрат и окисляющий агент.
В частности, разделение потока органических веществ и потока окислителя в реакторе позволяет обеспечить:
использование в качестве окисляющего агента воздуха вместо кислорода без воздействия азота, мешающего при разделении продукта;
более высокую селективность, поскольку отсутствует прямое взаимодействие между подаваемым органическим субстратом и молекулярным кислородом;
возможность подачи более концентрированных потоков без риска взрыва, благодаря разделению смеси воздух/окисляющий газ и углеводородов;
образование более концентрированного продукта на выходе из реактора;
оптимизацию выходов с помощью соответствующего регулирования условий реакции (состав и расход питания, частота повторного окисления катализатора, состояние окисления катализатора в начале и в конце реакционной стадии).
Процесс селективного гидроксилирования бензола обычно осуществляют в нескольких реакторах, по меньшей мере один из которых предназначен для регенерации катализатора; в этом случае по меньшей мере один реактор предназначен для регенерации катализатора, которую проводят либо посредством физического перемещения катализатора из реактора, где протекает реакция, в реактор регенерации, либо посредством обмена потоков между ними.
Если используют реакторы с псевдоожиженным слоем, стадии реакции и регенерации можно проводить в этом же оборудовании, в соответствии с существующим уровнем техники.
Реакторы с быстрым движением в псевдоожиженном слое, или реакторы типа разделительной колонны с перетоком можно с успехом использовать для проведения гидроксилирования при малых временах контакта.
Если фенол получают путем гидродеоксидирования полигидроксилированных производных бензола, например бензолдиолов, процесс проводят путем реакции полигидроксилированного производного бензола с водородом в паровой фазе при температуре 250-500°С, предпочтительно 300-450°С, при давлении 0,1-10 МПа (1-100 бар), предпочтительно в диапазоне 0,3-5 МПа (3-50 бар), и с объемной скоростью (WHSV – массовая часовая объемная скорость, кг бензолдиолов/ч/кг катализатора) 0,1-10 ч-1, предпочтительно 0,5-5 ч-1.
Вода является обычной реакционной средой для этой реакции, она фактически является оптимальным растворителем для реагентов и продуктов реакции и также является полностью инертной по отношению к ним обоим.
Вода также имеет то преимущество, что она обладает высокой теплоемкостью и, следовательно, имеет свойство ограничивать повышение температуры из-за энтальпии реакции деоксидирования. Наконец, вода является также особенно экономичной.
В процессе, использующем гидродеоксидирование бензолдиолов, можно превратить в фенол с высокой эффективностью и селективностью 1,2-бензолдиол (пирокатехин, далее сокращенно 1,2-БД), 1,3-бензолдиол (резорцин, далее 1,3-БД), 1,4-бензолдиол (гидрохинон, далее 1,4-БД) и их смеси.
Реакцию проводят в паровой фазе при температуре 250-500°С, предпочтительно 300-450°С, при давлении 0,1-10 МПа (1-100 бар), предпочтительно в диапазоне 0,3-5 МПа (3-50 бар), и при объемной скорости (WHSV – массовая часовая объемная скорость, кг бензолдиолов/ч/кг катализатора) 0,1-10 ч-1, предпочтительно 0,5-5 ч-1.
Питание реактора состоит из раствора бензолдиолов в воде с концентрацией 5-60 мас.%, предпочтительно 10-40 мас.%, и водорода при массовом соотношении с бензолдиолами 2-50, предпочтительно 5-30.
В варианте реализации данного изобретения реакцию проводят внутри адиабатического реактора с неподвижным слоем, содержащим катализатор, как описано выше, в который подают поток, содержащий водный раствор бензолдиолов с концентрацией в диапазоне от 5 до 60 мас.%, совместно с потоком водорода в таком количестве, чтобы отношение между общим количеством молей водорода и бензолдиола находилось в диапазоне от 2:1 до 50:1. Питающий поток испаряют и нагревают до температуры в диапазоне от 250 до 500°С, а давление поддерживают в диапазоне от 0,1 до 10 МПа (от 1 до 100 бар). Поток на выходе из реактора состоит из сырого реакционного материала, содержащего возможные остаточные бензолдиолы и полученный фенол в водном растворе, а также остаточный водород, который снова возвращают в процесс.
В другом варианте реализации данного изобретения реакцию осуществляют в двух или более адиабатических реакторах с неподвижным слоем, соединенных последовательно, с целью охлаждения потока на выходе из реактора перед входом в последующий реактор, так, чтобы ограничивать возрастание температуры в каждом реакторе, например, поддерживая его ниже 40°С. В этой форме реализации как воду, так и питающий поток водорода можно разделить между отдельными реакторами. Разделение особенно полезно, поскольку при этом избегают использования промежуточного теплообменника для охлаждения.
Обычно для поддержания роста температуры внутри каждого реактора в пределах 40°С достаточно двух реакторов, что позволяет получить более высокую селективность по фенолу.
На фиг.1 схематически изображено оборудование, пригодное для реализации способа в соответствии с описанной выше конфигурацией установки.
Возможно поддерживать работу реактора в течение нескольких сотен часов при наличии катализатора и при наиболее подходящих рабочих условиях, при степени превращения бензолдиолов и селективности по фенолу >85%.
Если реактор работает в течение более продолжительного времени, степень превращения имеет тенденцию снижаться, в то время как селективность остается очень высокой. В такой ситуации температуру реакции можно постепенно увеличивать в диапазоне 250-500°С, и можно поддерживать желаемую степень превращения.
Причиной снижения активности является отложение углеродистого материала на катализаторе при его использовании в реакции. Было установлено, что катализаторы, пригодные для целей данного изобретения, можно подвергать периодической регенерации без каких-либо особых проблем, в соответствии с тем, что известно в технике (температура 400÷550°С, давление 0,1÷0,3 МПа (1÷3 бар), смесями кислорода и азота в отношении 0,1÷20% об. и объемной скоростью 3000÷6000 ч-1, выраженной в литрах газовой смеси /ч/литры катализатора).
Каталитическая композиция по данному изобретению на основе многокомпонентных оксидов металлов, содержащая по меньшей мере один металл, выбранный из групп VB, VIB, VIII, IB, IIB, IVB, IVA, VA, предпочтительно включает по меньшей мере один элемент, выбранный из меди, ванадия, висмута, молибдена, ниобия, железа, вольфрама, цинка, никеля и их смесей, и, возможно, содержит сурьму и/или фосфор.
Активную фазу можно получить способами, известными в технике, включая осаждение, использование носителей или использование в любой форме смесей оксидов или смешанных оксидов (М.Campanati, G, Fornasari, А.Vaccari, Основы получения гетерогенных катализаторов (Fundamentals in the preparation of heterogeneous catalysts), Catalysts Today 77 (2003) 299-314).
Активную фазу предпочтительно наносят на носитель (например, оксид алюминия, диоксид кремния и т.д.) или формуют с использованием связующих и способов, известных в технике.
Катализатор можно соответствующим образом формовать, например, путем нанесения его на подложку, путем его компактирования (например, таблетированием, экструзией и т.д.) или же путем сушки при распылении, так, чтобы получить соответствующие формы и размеры катализатора для проведения конкретной реакции, в соответствии со способами, известными в технике. При необходимости можно применять вспомогательные продукты, такие как смазки на основе графита или стеариновой кислоты и т.д. Твердые предшественники активной фазы можно соответствующим образом формовать даже до окончательного обжига.
Для улучшения окислительно-восстановительных, кислотно-основных характеристик и емкости по кислороду катализатор может также включать дополнительные ионы металлов (легирующие агенты), такие как, например: ионы металлов, выбранных из группы, состоящей из щелочных металлов (Na, К) и щелочноземельных металлов (Mg, Са, Sr), из группы IVB (предпочтительно Ti, Zr, Hf) и VIIB, из ряда лантаноидов (La, Се, Sm, Gd, Dy, Yb) и из группы благородных металлов (например, Pt, Pd, Rh, Ru, Ir и их смеси).
Благородные металлы можно нанести на катализатор посредством обычных способов, таких как импрегнирование, ионный обмен, сушка при распылении и т.д., используя раствор соединения благородного металла. Соединения благородных металлов, которые можно использовать, включают соли, такие как галогениды, нитраты, ацетаты и сульфаты, или их растворы.
Ряд конкретных примеров металлосодержащих предшественников и их растворов, известных в технике и легкодоступных на рынке, включают, например:
Гексахлорплатиновую кислоту, гексахлорплатинат калия, хлорид тетраминплатины, нитрат тетраминплатины, гидроксид тетраминплатины, бис-ацетилацетонат палладия, тетрахлорпалладат натрия, хлорид тетраминпалладия, нитрат родия, трихлорид родия, трихлорид рутения, хлороиридат аммония.
Носитель, обработанный предшественником благородного металла, можно подвергнуть химической обработке, возможно попеременно с термической обработкой. Обычной химической обработкой является, например, восстановление металла, предварительно нанесенного на подложку путем пропитки соединением палладия – предшественником, раствором формиата натрия при 85-95°С, согласно существующему уровню техники.
Катализаторы предпочтительно содержат фазы активных оксидов по существу в кристаллической форме.
Особенно предпочтительными являются многокомпонентные составы оксидов металлов, содержащие по меньшей мере одну кристаллическую структуру, которая может соответствовать структуре шеелита.
Особенно предпочтительны кристаллические структуры, которые могут быть связаны со структурой шеелита, имеющие следующие общие составы:
Bi(1-x/3)V(1-x)wNb(1-x)(1-w)MoxO4
Cu(1-z)ZnzW(1-y)MoyO4
Кристаллическая структура, которая может соответствовать структуре шеелита, относится к фазе класса АВO4 со строением, изоморфным фазе, присутствующей в минерале шеелит (CaWO4).
Заряд различных ионов металлов А и В может изменяться в соответствии с характеристиками электронейтральности кристалла. Общая формула АВО4 может, таким образом, включать тройные оксиды металлов (от А+1В+7O4 до А+4В+4O4) или многокомпонентные оксиды металлов, заряды ионов которых удовлетворяют требованиям электронейтральности.
Описание, относящееся к кристаллическим материалам типа шеелита можно найти в R.W.G.Wickoff «Кристаллическая структура» («Crystal Structure»), т.2, второе издание, с.VIII а6 и таблица VIII а5; дополнительные указания можно получить из патента США 3843553 и патента США 3806470 Aykan et al. (DuPont 1974).
Таким образом, определенная кристаллическая структура, которая может соответствовать структуре шеелита, также предполагает включение в нее кристаллографических вариаций, полученных в результате соответствующих замещений ионов Са и W в классической структуре. Эти кристаллографические вариации предполагают вариации в расположении атомов в элементарной ячейке и, следовательно, в ее объеме.
Применение специалистами дифрактометрических методов позволяет выявить присутствие кристаллических структур, которые могут соответствовать структуре шеелита.
Более конкретно, присутствие такой кристаллической структуры можно выявить, используя метод дифракции рентгеновских лучей.
Дифракционные спектры, связанные с этими кристаллическими структурами, могут отличаться друг от друга либо из-за влияния различных объемов элементарной ячейки, либо из-за влияния изоморфных замещений; иногда также может быть обнаружено снижение симметрии решетки.
Для катализаторов, упомянутых в этом патенте, использовали автоматический порошковый дифрактометр Philips X’Pert /2 с геометрией Брэгга – Брентано, с применением излучения Сu К =1,5416 А и мощностью 1,6 кВт; используемый угловой диапазон составляет от 5 до 90° (2 ) с величиной шага 0,02° (2 ) и временами обнаружения 10 секунд на шаг.
Структуру шеелита можно распознать с помощью рентгеновской дифракции, используя различные способы, известные специалистам в данной области, в частности, можно использовать информацию, содержащуюся в базе данных PDF-2 (Powder Diffraction File, Файл данных по дифракции на порошках), изданной ICDD (The International Centre for Diffraction Data, Международный центр по дифракционным данным).
Материалы, имеющие структуру шеелита или которые могут коррелировать с ней, типа Bi(1-x/3)V(1-x)wNb(1-x)(1-w)MoxO4, можно идентифицировать с помощью дифрактограмм, приведенных в эталонных картах, например, 14-0688 (BiVO4; х=0, w=1), 85-629 (х=0, w=1), 85-630 (х=0,37, w=1), 85-631 (х=0,55; w=1) и 70-0031 (Bi3(FeO4)MoO4)2).
Материалы со структурой шеелита, или которые могут коррелировать с ней, типа Cu(1-z)ZnzW(1-y)MoyO4, можно идентифицировать с помощью кристаллограмм, содержащихся в эталонных картах, например, 88-0269 (шеелит с замещением на медь).
Было доказано, что присутствие других кристаллических фаз на основе оксидов дает существенные преимущества для получения фенола.
Катализатор может также содержать материалы с не являющейся шеелитом кристаллической или аморфной структурой, получающиеся, например, из некоторых используемых предшественников.
Катализатор может также преимущественно содержать материалы, также с не являющейся шеелитом кристаллической или аморфной структурой, способные увеличивать емкость накопления структурой кислорода (ЕНК, емкость накопления кислорода), такие как оксиды лантаноидов (LnOx), и в частности оксид церия или его смеси с другими оксидами, например оксид церия – оксид циркония.
Типичными оксидами или смесями оксидов могут быть таковые на основе лантана, церия, празеодима, неодима, европия, самария, гадолиния; оксиды лантаноидов (лантаноиды для краткости обозначены Ln, их оксиды LnOx) или их смеси также можно использовать в качестве носителя и/или в составе связующего.
В соответствии с вышеуказанным, катализатор может состоять не только из оксидных материалов со структурой шеелита; примерами нешеелитных компонентов могут быть ионы щелочных или щелочноземельных металлов, благородные металлы или их соединения в высокой степени окисления, или их смеси.
Из-за изменчивости активной фазы не существует конкретных ограничений в способах формования катализатора.
Ниже, для лучшего понимания данного изобретения и приведения вариантов его реализации, приведены несколько иллюстративных примеров, которые никоим образом не следует рассматривать как ограничивающие объем данного изобретения.
ПРИМЕРЫ
Примеры получения катализатора
Пример 1
Катализатор типа Bi(1-x/3)V(1-x)wNb(1-x)(1-w)MoxO4
A. 7,22 г метаванадата аммония [NH4VO3; состав по анализу >99,5%; ММ 116,98; CAS 7803-55-6] растворили при 80°С в 450 г деминерализованной воды и довели до рН 10 посредством 32% гидроксида аммония (окончательная масса раствора 340 г, из-за частичного испарения).
B. 17,2 г пентагидрата нитрата висмута [(ВiМО3)3·5Н2О; состав по анализу 98%; ММ 485,08; CAS 10035-06-0] растворили в растворе 500 г деминерализованной воды и 5,0 г 65% раствора азотной кислоты.
C. 195,4 г из 340 г раствора А смешали с раствором В. Растворитель испарили при 80°С при перемешивании на магнитной мешалке. Полученный таким образом твердый продукт высушили в печи при 120°С в течение 18 часов, затем прокалили при 500°С в течение 4 часов.
Мольное соотношение реагентов было таким, что:
х=0; w=1 в Bi(1-x/3)V(1-x)wNb(1-x)(1-w)MoxO4
Спектр дифракции рентгеновских лучей полученного таким образом материала имел типичные пики клиносбиванита (Clinosbivanite BiVO4, карточка 14-0688).
Пример 2
Катализатор типа Bi(1-x/3)V(1-x)wNb(1-x)(1-w)MoxO4
А. 4,74 г хлорида ниобия [NbCl4; состав по анализу 99,8%; ММ 270,16] поместили при перемешивании на магнитной мешалке в стакан, содержащий 50 г деминерализованной воды. Примерно через 5 минут всю эту смесь довели до рН 8 посредством 32% раствора гидроксида аммония. Осадок отфильтровали и тщательно промыли примерно 500 мл деминерализованной воды. Полученный таким образом осадок растворили при 90°С в растворе, содержащем 140 г деминерализованной воды и 16 г щавелевой кислоты.
B. Приготовили раствор, состоящий из 5,08 г тетрагидрата гептамолибдата аммония [(NH4)6Mo7O24·4H2O; состав по анализу 81,0 83,0% (МоO3); ММ 1235,86; CAS 12054-85-2] и 2,055 г метаванадата аммония (NH4VO3; состав по анализу >99,5%; ММ 116,97; CAS 780305506), растворенных в 400 г деминерализованной воды при 80°С, доведенной до рН 10 посредством 32% раствора гидроксида аммония.
C. Смешали растворы, полученные на стадиях А и В, и добавили третий раствор, состоящий из 50 г деминерализованной воды, 7 г 65% азотной кислоты и 26,35 г пентагидрата нитрата висмута [(ВiNО3·5Н2О; состав по анализу 98%; ММ 485,08; CAS 100035-06-0]. Растворитель испарили при 120°С при перемешивании на магнитной мешалке. Полученный таким образом твердый продукт высушили в печи при 120°С в течение 18 часов, а затем прокалили при 500°С в течение 4 часов.
Мольное соотношение реагентов было таким, что:
X=0,45; w=0,5 в Bi(1-x/3)V(1-x)wNb(1-x)(1-w)MoxO4.
Анализ полученного таким образом материала методом дифракции рентгеновских лучей показал кристаллическую структуру, которую можно приписать структурам, коррелирующим с разупорядоченными структурами шеелита, такими, как уже упомянутые структуры, присутствующие в смешанных оксидах висмута, железа и молибдена (например, Bi3(FeO4)(MoO4)2, карточка 70-0031). Рентгеновский анализ этого материала показывает также строение кристаллов, которое можно приписать таким структурам шеелита, как упомянутые в примере 1, примере 3 и примере 4.
Пример 3
Катализатор типа Bi(1-x/3)V(1-x)wNb(1-x)(1-w)MoxO4.
Приготовили раствор, состоящий из 3,0 г тетрагидрата гептамолибдата аммония [(NH4)6Mo7O24·4H2O; состав по анализу 81,0÷83,0% (MoO3); ММ 1235,86] и 5,38 г метаванадата аммония (NH4VO3; состав по анализу >99,5%; ММ 116,97), растворенных при 80°С в 400 г деминерализованной воды, доведенной до рН 10 посредством 32% раствора гидроксида аммония. Добавили раствор, состоящий из 60 г деминерализованной воды, 6 г 65% азотной кислоты и 27,83 г пентагидрата нитрата висмута [(ВiNО3)3·5Н2О; состав по анализу 98%; ММ 485,07]. Растворитель испарили при 80°С при перемешивании на магнитной мешалке. Полученный таким образом твердый продукт высушили в печи при 120°С в течение 66 часов, а затем прокалили при 500°С в течение 4 часов.
Мольное соотношение реагентов было таким, что:
х=0,27; w=1 в Bi(1-x/3)V(1-x)wNb(1-x)(1-w)MoxO4
Рентгенодифракционный анализ полученного таким образом материала показал строение кристаллов, которое можно приписать структурам шеелита, подобным приведенным в карточках 14-0688 (BiVO4; х=0; w=1); 85-629 (х=0,21; w=1); 85-630 (х=0,37; w=1); 85-631 (х=0,55; w=1).
Пример 4
Катализатор типа Bi(1-x/3)V(1-x)wNb(1-x)(1-w)MoxO4.
Приготовили раствор, состоящий из 5,08 г тетрагидрата гептамолибдата аммония [(NH4)6Mo7O24·4H2O; состав по анализу 81,0 83,0%(MoO3); ММ 1235,85] и 4,11 г метаванадата аммония (NН4VO3; состав по анализу >99,5%; ММ 116,97), растворенных при 80°С в 400 г деминерализованной воды, доведенный до рН 10 посредством 32% раствора гидроксида аммония. Добавили раствор, состоящий из 60 г деминерализованной воды, 6 г 65% азотной кислоты и 26,35 г пентагидрата нитрата висмута [(BiNO3·5H2O; состав по анализу 98%; ММ 485,07]. Растворитель испарили при 80°С при перемешивании на магнитной мешалке. Полученный таким образом твердый продукт высушили в печи при 120°С в течение 18 часов, а затем прокалили при 500°С в течение 4 часов.
Мольное соотношение реагентов было таким, что:
X=0,45; w=1 в Bi(1-x/3)V(1-x)wNb(1-x)(1-w)MoxO4.
Рентгеновский анализ полученного таким образом материала показал строение кристаллов, которое можно приписать структурам шеелита, таким как структуры, приведенные в карточках 14-0688 (BiVO4; х=0, w=1), 85-629 (х=0,21, w=1), 85-630 (х=0,37, w=1), 85-631 (х=0,55, w=1).
Пример 5
Катализатор типа Cu(1-z)ZnzW(1-y)MoyO4.
Приготовили раствор, состоящий из 60,15 г пентагидрата сульфата меди (CuSO4·5H2O; состав по анализу >99%; ММ 249,68; CAS 7758-99-8) в 1500 г деминерализованной воды, и этот раствор довели до кипения. Добавили второй раствор, полученный растворением 115 г дигидрата вольфрамата натрия (Na2WO4·2H2O; состав по анализу >99%; ММ 329,85; CAS 10213-10-2) в 1150 г деминерализованной воды. Суспензию перемешивали в течение 5 часов при 50°С и оставили ее при комнатной температуре в течение ночи. Твердое вещество отделили фильтрацией и промыли примерно 5 литрами деминерализованной воды. Твердое вещество высушили в печи при 120°С в течение 15 часов и прокалили при 600°С в течение 48 часов.
Рентгеновский анализ полученного таким образом материала показал строение кристалла, совпадающее со структурой замещенного шеелита, такой как показанный в карточке 88-0263 шеелит, замещенный медью – Cu(WO4). Для того чтобы ограничить образование фаз типа СuО, предпочтительно проводить осаждение с дефицитом ионов Сu.
Пример 6
Катализатор типа Cu(1-z)ZnzW(1-y)MOyO4/LnOx.
Приготовлен раствор, состоящий из 24,42 г паравольфрамата аммония [(NH4)10W12O41·H2O; состав по анализу 99,99%; ММ 3050,46; CAS 11120-25-5] и 400 г деминерализованной воды, при перемешивании при 70°С. Второй раствор получен путем растворения 22,4 г тригидрата нитрата меди (Сu(МО3)3·3Н2O; > 99%; ММ 241,60; CAS 10031-43-3) и 8,995 г гексагидрата нитрата церия (CeN3O9·6H2O; 99%; ММ 434,22; CAS 10294-41-4) в 150 г деминерализованной воды. Эти два раствора объединили и высушили при нагревании до 120°С при перемешивании. Смесь сушили при 120°С в течение 15 ч и прокаливали при 600°С в течение 48 ч.
Рентгеновский анализ полученного таким образом материала показывает строение кристаллов, соответствующее замещенным структурам шеелита, таким, как приведенный в карточке 88-0269 Cu-замещенный шеелит -Cu(WO4).
Следует заметить, что из-за явлений гидратации титр меди в предшественнике – нитрате меди следует считать примерно на 15% ниже, чем содержание ее в коммерческом продукте.
Пример 7
Катализатор типа Cu(1-z)ZnzW(1-y)MoyO4.
Приготовлен раствор, состоящий из 9,015 г пентагидрата сульфата меди (CuSO4·5H2O; состав по анализу >99%; ММ 249,68; CAS 7758-99-8) и 2,18 г моногидрата сульфата цинка (ZnSO4·H2O; состав по анализу >97,5%; ММ 179,45; CAS 7446-19-7) в 300 г воды. Смесь довели до кипения и затем добавили 230 г 10% раствора вольфрамата натрия в воде (CAS 10213-10-2). Смесь охладили до 50°С и выдерживали при этой температуре 4 часа. Осадок вызревал в течение ночи при комнатной температуре, затем его профильтровали, промыли, высушили при 120°С в течение 15 часов и прокалили при 600°С в течение 48 часов.
Для целей данного изобретения в качестве полезных примеров для сравнения были взяты типичные катализаторы окисления и восстановления, известные в технике.
Пример 8 (сравнительный)
Типичный пример окисления, в частности применяемый при подходе «RedOx технологии», описан R.M.Contractor et al. в Catalysis Today, 1 (1987) 49-58, для окисления бутана до малеинового ангидрида с катализаторами VPO. Как уже было упомянуто выше, этот процесс является, как указано в данном патенте, одной из RedOx-технологий, достигших наибольших успехов в промышленном масштабе. Здесь описан синтез активной фазы согласно методике, подобной описанной в вышеупомянутой статье.
90 мл изобутилового спирта и 60 мл бензилового спирта поместили в стеклянную колбу и добавили 15 г пентоксида ванадия (V2O5; состав по анализу >99,6+%; ММ 181,88; CAS 1314-62-1). Смесь нагрели на бане, кипятили с обратным холодильником в течение 4 часов при 130°С, а затем оставили на ночь при комнатной температуре. Затем добавили 21,8 г фосфорной кислоты (Н3РO4; титр 85%; CAS 766-38-2) и смесь нагревали до 130°С, при кипячении с обратным холодильником, еще в течение 4 часов. После охлаждения продукт отфильтровали и высушили на воздухе в течение 15 часов при 120°С. Часть высушенного образца прокалили при 400°С в течение 4 часов на воздухе.
Как указано в вышеприведенной статье, для получения оптимального катализатора существенно получить кристаллическую фазу (VO)2P2O7 посредством предшественника (VO)2Н2O(РО3ОН)2: эти две фазы были идентифицированы посредством дифракции рентгеновских лучей в прокаленном образце и в высушенном образце соответственно.
Пример 9 (сравнительный)
Для целей данного изобретения в качестве полезного примера для сравнения можно взять имеющийся на рынке катализатор восстановления. Можно использовать катализаторы на основе меди, нанесенные на оксид алюминия, например, такие как катализатор Т-4489, производимый и продаваемый Sud-Chemie Inc., описание которого можно найти в технико-коммерческой литературе, обеспечиваемой производителем.
ПРИМЕРЫ СВОЙСТВ КАТАЛИЗАТОРОВ
Гидроксилирование бензола: методика эксперимента при испытании катализатора.
Применение системы тестирования катализатора, которая позволяет провести эффективное, экономичное и систематическое исследование оптимальных условий реакции для каждого катализатора, представляет собой, для реакции, о которой идет речь, значительное усовершенствование относительно текущего состояния техники. В этом смысле основополагающая задача быстрого сравнения ряда катализаторов в широком диапазоне реакционных условий может иметь преимущества по отношению к количественной точности. При проведении испытаний в условиях с недостатком реагента, когда состояние окисления катализатора постоянно эволюционирует, быстрота измерений при испытании является основополагающей для точного описания поведения катализатора.
Масс-спектрометрический (МС) метод хорошо известен благодаря его способности к быстрому анализу и большой чувствительности по отношению к идентификации побочных продуктов, помимо всего прочего, для образцов с относительно ограниченным количеством одновременно присутствующих химических веществ.
Имеющиеся в продаже масс-спектрометры позволяют определять компоненты при содержании примерно одна часть на миллион (1 ррm) и могут достигать (это относится и к случаю экономичных моделей) предела определения до десяти частей на миллиард (10 ppb=0,01 ррm). Кроме того, при соединении масс-спектрометра с реактором, в котором температуру и поток можно контролировать и изменять в ходе проведения испытаний, можно исследовать широкий диапазон рабочих условий для каждого катализатора, обычно можно проанализировать 1÷60 (выбранных) масс в секунду; для более сложных приборов можно достичь и превысить даже 100 мас./с. Из этих соображений масс-спектрометр широко применяют в случаях, когда требуется комбинированный подход в сочетании с необходимостью также иметь возможность определения низких концентраций желаемого продукта и возможных побочных продуктов (например, патенты США 6440745, 6316616, 6323366).
Будучи сам по себе хорошо приспособлен к требованиям данного исследования, масс-спектрометр (МС) позволяет провести быструю и достаточно точную оценку селективности каталитического процесса в отношении максимизации желаемого продукта и минимизации побочных продуктов.
При используемом подходе для каждого катализатора можно модифицировать многочисленные рабочие условия (например, температуру, время контакта, парциальное давление, состояние окисления катализатора и т.д.), а результат можно оценить в реальном времени в ходе реакции.
Таким образом, используемое оборудование определяют как TTPC-MS (масс-спектрометрия при химических условиях, программируемых по температуре и времени).
Гидроксилирование бензола: рабочая процедура проведения испытания катализатора.
За исключением особо указанных случаев результаты относятся к испытаниям, проведенным при стандартных условиях, как описано ниже.
Реакцию проводят в паровой фазе в U-образном реакторе с неподвижным слоем катализатора (материал – кварц, общая длина=320 мм), две ветви которого имеют различные внутренние диаметры, чтобы получить как эффективный подогрев питающего потока, так и быстрый перенос, без повторного смешивания, продуктов к спектрометру (зона подачи: внутр.=4,0 мм, длина = 120 мм; зона десорбции продукта: внутр.=1,2 мм). Вблизи катализатора реактор снабжен с внешней стороны кожухом с тонкой термопарой ( внешн.=0,5 мм) К-типа.
Реактор помещен в трубчатую печь с электрическим подогревом, температуру в которой регулируют с помощью программирующего устройства.
Загрузка катализатора обычно составляет 0,2 г, он имеет размер 42-80 меш и расположен на слое кварцевой ваты.
Катализатор сначала выдерживают в потоке 25 мл/мин инертного газа (обычно N2, в некоторых случаях Не) при 120°С в течение по меньшей мере двух часов.
В конце этой фазы подают дополнительный поток N2 (обычно 25 мл/мин, но он также может изменяться в ходе испытания), предварительно продутый через бензол (обычно температуру поддерживают при 25°С, но эта температура также может изменяться в ходе испытания, чтобы изменить парциальное давление бензола).
При этих условиях (25 мл/мин N2, пропущенного через бензол при 25°С), при использовании системы насыщения, за каждый час проведения испытания подают около 0,7 г бензола, получая парциальное давление 0,06 и, следовательно, газовую объемную скорость 44000 ч-1 (GHSV: объемная скорость, выраженная в литрах газа, пропускаемого через реактор, на литр катализатора в час), если рассчитывать при реакционной температуре 550°С и считать среднюю объемную плотность катализатора равной 1 г/мл), при времени контакта = 0,08 с, массовой объемной скорости = 22 ч-1 (рассчитанной, как указано выше, по отношению ко всей питающей смеси на грамм катализатора в час).
При описанных условиях сигнал, соответствующий атомным единицам массы 78 (AMU 78), который можно приписать молекулярному иону бензола, подаваемому без протекания реакции, имеет при всех испытаниях значения ионного тока (I.C.) 3,0 Е-7>I.C.>1,5 Е-7. С этими значениями ионного тока могут быть связаны парциальные давления бензола, равные 0,06, соответствующие концентрации бензола в газовой фазе 6 об.%.
Нагревание реактора от температуры 120°С до максимальной температуры измерения, обычно 550°С, происходит со скоростью 11°С/мин, а затем поддерживают постоянную температуру.
Анализ проводят из газовой фазы, непрерывно, как в ходе нагревания, так и при изотермических условиях. Из-за проведения реакции в условиях недостатка реагента (недостаток/отсутствие окислителей в газовой фазе), время и скорость реакции при определенной температуре вносят свой вклад в определение состояния окисления катализатора; при этом состояние окисления поверхности катализатора является особенно важным для обеспечения реакционной способности.
Анализ продукта проводят при двух различных чувствительностях: сканирование от 1 до 80 AMU, диапазон усилителя интенсивности ионного тока (a.b.I.C.) 1Е-6 А, и сканирование от 1 до 180 AMU при a.b.I.C. 1Е-9 А. Эту методику (одновременное сканирование при различных чувствительностях) следует рассматривать как основополагающую для идентификации продуктов, которые не видны при низкой чувствительности. Описанный метод анализа позволяет осуществить полное сканирование в течение каждой минуты анализа.
Таким образом, полное сканирование с изменением температуры проводят приблизительно каждые 11°С. Затем испытание продолжают в изотермических условиях, регистрируя до 300 пар спектров.
Анализ проводят при непрерывном on line отборе проб непосредственно из газовой фазы, без хроматографического разделения.
Линию после реактора нагревают до постоянной температуры 120°С. Остаточное давление в линии контролируют посредством измерительного блока Pirani-Penning. Спектрометр МС и конечную часть линии откачивают с использованием двухступенчатого турбомолекулярного насоса от самого спектрометра до остаточного давления 133,3 Па (1 торр) в камере для отбора проб и примерно до 8,13×10-4 Па (6,1×10-6 торр) в масс-спектрометре МС. Измерительным инструментом является масс-спектрометр модели Thermostar, поставляемый BALZERS. Программа обработки данных обеспечена изготовителем прибора и позволяет отследить и получить до 63 масс, выбранных в течение некоторого периода времени (или до 300 масс при непрерывном сканировании). Таким образом, масс-спектр показывает все пики молекул и фрагментов продуктов реакции и непрореагировавших реагентов. Идентификация соединений, представляющих основной интерес, то есть бензола (атомные единицы массы AMU 78, 51, 52, 50, 39, 63, 77), фенола (AMU 94, 66), диоксида углерода (AMU 44, 28) и воды (AMU 18, 17) является достаточно достоверной, поскольку фрагменты молекул не накладываются. То, что пики методом наименьших квадратов на матрице I.C. для идентификации у каждого отдельного пика I.C. частей, принадлежащих различным соединениям.
В нашем случае, который следует рассматривать как исключение, продукты соответствующим образом коррелируют с отдельными I.C. или парой I.C. Например, фенол распознают и полуколичественно оценивают из I.C. с AMU 94, также его возможно определить из значения I.C. с AMU 66. Другими побочными продуктами реакции являются малеиновый ангидрид (AMU 26, 54, 28, 98), циклогексенон (AMU 68, 96), дибензофуран (168, 139, 84) и бензофуран (118, 89).
Все эти соединения были подтверждены методом газовой хроматографии с масс-спектрометрическим окончанием (GC-MS) на средних фракциях конденсата из газа-носителя, выходящего из реактора.
Интенсивность каждого значения AMU пропорциональна количеству фрагмента, к которому оно относится, и при окончательном анализе, если известна относительная интенсивность пиков фрагментов, типичных для продукта, о котором идет речь, пропорциональна парциальному давлению/концентрации этого продукта в анализируемой газовой фазе.
Для всех рассмотренных молекул показано, что молекулярный ион характеризуется большей интенсивностью, за исключением малеинового ангидрида, для которого ион с AMU 26 является более предпочтительным, чем молекулярный ион (относительное процентное содержание, ОС% AMU 98 8).
Для рассмотренных молекул, за исключением уже упомянутого малеинового ангидрида, интенсивность для молекулярного иона может прямо коррелировать (полуколичественно) с концентрацией продукта в газовой смеси.
Тем не менее определение относительных концентраций имеет полуколичественную природу из-за неопределенностей и неоднородностей, связанных с факторами, известными для существующего уровня техники, такими как эффективность ионизации, эффект разделения в струе (система отбора пробы имеет тенденцию обогащать анализируемую смесь тяжелыми продуктами) и т.д., которые трудно оценить количественно в рассматриваемых сложных газовых смесях для более точного определения.
Регенерацию катализатора после проведения эксперимента по определению активности катализатора проводят в том же реакторе, где проводили реакцию, без удаления катализатора. Рабочие условия следующие: диапазон температур от 350 до 550°С, давление = 0,1-0,12 МПа (1-1,2 бар), концентрация кислорода = 0,1-20% и газовая объемная скорость = 10000÷50000 ч-1. В частности, обработку активируют потоком чистого азота, к которому постепенно добавляют равный поток воздуха (примерно через 1 час), после чего поток азота постепенно уменьшают до полного его прекращения (примерно через 1 час). Обработку продолжают в течение времени от 1 до 10 часов. В конце регенерационной обработки реактор промывают азотом в течение 5 минут при той же температуре, а затем охлаждают при продувке до 120°С, после чего снова можно начинать реакционный цикл в условиях недостатка реагента, как описано выше.
Показано, что испытанные катализаторы являются стабильными по меньшей мере для двенадцати циклов реакция-регенерация.
Из приведенных выше соображений данные о катализаторах следует рассматривать как полуколичественные, и, следовательно, в примерах 10-20 указаны данные по активности, выраженные как значение ионного тока (I.C.) для конкретной температуры (соответствующей определенному циклу измерений); однако характеристики катализатора оценивают путем расчета степени превращения бензола и селективности превращения в фенол в соответствии с приведенными ниже формулами.
Для степени превращения >10%
Различие между интенсивностью сигнала бензола в присутствии и в отсутствие реакции является значительным, и, следовательно:
Степень превращения, % = С% = [(I.C. AMU 78 на входе) – (I.C. AMU 78 на выходе)] / (I.C. AMU 78 на входе)
Выход % = Y% = 100 · (I.C. AMU 94) / (I.C. AMU 78 на входе)
Селективность % = S% = 100 · Y% / C%
где
(I.C. AMU 78 на входе) = ионный ток атомной массы 78 (бензол) в отсутствие реакции.
(I.C. AMU 78 на выходе) = ионный ток атомной массы 78 (бензол) при наличии реакции.
(I.C. AMU 94) = ионный ток атомной массы 94 (полученный фенол).
Для степени превращения<10%
Величины степени превращения низки и, следовательно, их нельзя оценить из разницы интенсивностей характеристик пиков реагента при наличии и в отсутствие реакции; если помимо фенола единственными продуктами, образующимися в значительных количествах, являются продукты сгорания, то степень превращения определяют по диоксиду углерода:
(С6Н6+15/2 O2 6 СO2+3 Н2O)
и по фенолу:
(С6Н6+1/2 O2 С6Н5(ОН)
Таким образом, типичные значения реакционной способности оценивают следующим образом:
Степень превращения % = С% = 100 · [(I.C. AMU 94) + (I.C. AMU 44)] / 6] / (I.C. AMU 78 на входе)
где (I.C. AMU 44) = ионный ток единиц атомной массы 44 (полученный диоксид углерода).
Выход % и Селективность % оценивают, как и в предыдущем случае.
Примеры 10-20
Приведенные примеры были проведены в соответствии с описанной выше процедурой. Оценку таких параметров, как степень превращения, селективность и выход, проводили, как описано в предыдущем параграфе.
Используемые рабочие условия и оцениваемые характеристики катализатора приведены в таблицах.
Пример 10
Пример 11
Пример 12
Пример 13
Показано влияние изменения объемной скорости по отношению к испытаниям, проведенным в примере 12.
Пример 14
Пример 15
Данный пример показывает стабильность циклов окисления-восстановления (RedOx-циклов). Используют катализатор, полученный в Примере 5, но подвергнутый 12 циклам реакция-регенерация. В рамках проведенного полуколичественного анализа не было замечено необратимого старения (ухудшения качеств) катализатора.
Пример 16
Пример 17
Фиг.2 показывает тенденцию к изменению масс от AMU 90 до AMU 120 в ходе цикла измерений при эксперименте. Показана тенденция к максимальному получению фенола, и это является типичной картиной для проведения реакций в условиях недостатка реагентов.
Пример 18
Этот пример показывает стабильность циклов окисления восстановления. Использовали катализатор, полученный в примере 6, но подвергнутый одному циклу реакция-регенерация. В рамках проведенного полуколичественного анализа не было замечено необратимого ухудшения качества катализатора.
Показано также изменение селективности в зависимости от состояния окисления катализатора. Проведено сравнение данных, полученных на 34-м и 60-м циклах МС-анализа, что соответствует примерно 30′ реакции в условиях изотермического режима при 407°С. Эти значения могут коррелировать со снижением среднего состояния окисления катализатора.
Фиг.3 показывает тенденцию к изменению значений масс, соответствующих бензолу (AMU 78), фенолу (AMU 94) и СО2 (AMU 44) в ходе нагревания и в изотермических условиях при 407°С.Изменение спектра продуктов в изотермических условиях при 407°С указывает на возможное существование поверхностных, или усредненных, состояний окисления катализатора, которые дают оптимум для желаемой реакции.
Сравнительный пример 19
В этом случае оценивали степень превращения, выход и селективность по малеиновому ангидриду согласно формуле, сравнимой с формулами, приведенными выше:
Степень превращения % = С% = 100·[(I.C. AMU 98) · (1000/81) + (I.C. AMU 94)] + (I.C. AMU 44)/6]/(I.C. AMU 78)
Выход % = Y% = 100*(I.C. AMU 98)·(1000/81)/(I.C. AMU 78)
Селективность % = S% = 100 · Y%/C%
При полуколичественной оценке выхода и селективности по малеиновому ангидриду используют коэффициент умножения, равный 1000/81, поскольку пик молекулы малеинового ангидрида не является наиболее интенсивным и составляет около 8,1% от наиболее интенсивного пика при AMU 26 (NITS, Национальный Институт Технологии Стандартов, Программа поиска масс-спектров для масс-спектральной библиотеки NIST, MS Windows Version 1.6d, создана 07/27/1998). Предпочтительно не использовать пик при AMU 26, так как он подвержен сильным помехам со стороны азота (AMU 28), который используют в качестве газа-носителя.
Фиг.4 показывает изменения массы малеинового ангидрида (AMU 98), фенола (AMU 94), СO2 (AMU 44) и бензола (AMU 78) в ходе нагревания и в изотермических условиях при 550°С.
Этот пример показывает, что типичный катализатор окисления, пригодный, в частности, для редокс-технологии (получение малеинового ангидрида), приводит к продуктам окисления, которые отличаются от желаемого продукта (фенола).
Сравнительный пример 20
Этот пример показывает, что типичный катализатор гидрогенизации в используемых для проведения процесса рабочих условиях приводит к почти полному сгоранию присутствующих органических соединений.
ПРИМЕРЫ ПРИМЕНЕНИЯ КАТАЛИЗАТОРОВ
Гидродеоксидирование бензолдиолов: методика проведения испытания катализатора
Описанные в примерах испытания катализаторов проводили на лабораторном оборудовании, на котором можно исследовать рабочие условия, чтобы оптимизировать условия проведения испытаний. Оборудование и методика проведения испытаний описаны ниже.
Реакцию проводили в паровой фазе и под давлением в трубчатом реакторе с неподвижным слоем катализатора (материал = нержавеющая сталь AISI 316L, длина 180 мм, внутр.=11,5 мм, расположенный по оси кожух для термопары С внешн=3 мм).
Реактор помещают в трубчатую печь с электрическим обогревом. Загрузка катализатора составляет 5,0 г, он имеет размер <2 мм и расположен в реакторе между двумя слоями кварцевых гранул.
Реактор имеет конфигурацию с потоком, протекающим сверху вниз. Водный раствор бензолдиолов подают с помощью дозирующего насоса типа, используемого для ВЭЖХ, и подогревают перед введением в верхнюю часть реактора; затем раствор испаряют и смешивают с водородом непосредственно в реакторе, в слое кварца, расположенном перед катализатором, где он достигает реакционной температуры перед тем, как вступить в контакт с катализатором.
Расход водорода регулируют термическим массовым расходомером.
Давление в установке контролируют посредством регулирующего клапана, расположенного на выходе реактора.
В фазе активации катализатор нагревают до реакционной температуры в потоке водорода при давлении и расходе, установленных для данного эксперимента, и поддерживают при этих условиях в течение 1 часа. Затем начинают подавать воду при расходе, установленном для данного эксперимента, а через 30 минут воду замещают раствором бензолдиолов.
Смесь паров, поступающих из регулирующего давление клапана, конденсируют, и собирают необработанный реакционный материал. Этот конденсированный необработанный материал обычно разделяется на две фазы – органическую и водную, причем обе содержат фенол. Для анализа методом газовой хроматографии эти две фазы разбавляют и смешивают с общим растворителем, обычно трет-бутиловым спиртом, и добавляют внутренний стандарт, обычно н-октанол.
Регенерацию катализатора после проведения эксперимента по определению каталитической активности проводят в том же реакторе, который использовали для проведения реакции, без удаления самого катализатора. Рабочие условия следующие: температура: 450-550°С, давление = 0,1-0,3 МПа (1-3 бар), концентрация кислорода = 0,1-20% и газовая объемная скорость (GHSV)=3000÷6000 ч-1. В частности, обработку начинают при пропускании одного азота, к которому постепенно добавляют равный поток воздуха (примерно через 1 час), затем поток азота постепенно уменьшают до нуля (примерно через 1 час). Обработку продолжают в течение от 5 до 10 часов. В конце регенеративной обработки реактор промывают потоком азота, и можно снова начинать реакцию гидродеоксидирования.
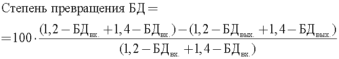
ГИДРОДЕОКСИДИРОВАНИЕ БЕНЗОЛДИОЛОВ: РАСЧЕТ СТЕПЕНИ ПРЕВРАЩЕНИЯ И СЕЛЕКТИВНОСТИ
Характеристики катализатора оценивают путем расчета степени превращения бензолдиолов и селективности по фенолу согласно следующим формулам:


где:
БД – бензолдиолы
1,2-БД – концентрация 1,2-бензолдиола
1,4-БД = концентрация 1,4-бензолдиола
вх. = на входе
вых. = на выходе
Примеры 21-32
Приведенные примеры были проведены в соответствии с методикой, описанной выше.
Принятые рабочие условия и характеристики катализатора указаны в следующих таблицах.
Пример 21
| Катализатор |
| Тип катализатора |
BiVNbMo |
| Получение катализатора (см.) |
Пример 2 |
| Рабочие условия |
| Температура реакции °С |
400 |
| Давление, МПа (бар) |
2,5 (25) |
| Растворитель питающего потока БД |
вода |
| 1,2-БД в растворе БД (мас.%) |
19,5 |
| 1,4-БД в растворе БД (мас.%) |
9,8 |
| Соотношение Н2/БД (мольное соотношение) |
21,2 |
Массовая объемная скорость WHSV (ч-1) ( ) |
2,0 |
| Характеристики катализатора |
Время пребывания (ч) ( ) |
5 |
156 |
Степень превращения бензолдиолов (%) ( ) |
100,0 |
98,1 |
Селективность по отношению к фенолу (%) ( ) |
94,0 |
91,1 |
Примечания: БД = бензолдиолы в целом 1,2-БД = 1,2-бензолдиол (пирокатехин) 1,4-БД = 1,4-бензолдиол (гидрохинон)
=массовая объемная скорость WHSV по отношению к питающему потоку бензолдиолов
, = время пребывания в потоке, рабочее время в часах от начала проведения испытаний ( ) или от момента последней регенерации, проведенной в данном реакторе ( )
= степень превращения по отношению к сумме 1,2-БД+1,4-БД
= селективность в отношении общего количества прореагировавших БД. |
Пример 22
Пример 23
Пример 24
| Катализатор |
| Тип катализатора |
BiVO4 |
| Получение катализатора (см.) |
Пример 1 |
| Рабочие условия |
| Температура реакции, °С |
450 |
| Давление, МПа (бар) |
2,5 (25) |
| Растворитель питающего потока БД |
вода |
| 1,2-БД в растворе БД (мас.%) |
19,3 |
| Соотношение Н2/БД (мольное соотношение) |
28,0 |
Массовая объемная скорость WHSV (ч-1) ( ) |
1,3 |
| Характеристики катализатора |
Время пребывания, (ч) ( ) |
5 |
71 |
Степень превращения бензолдиолов (%) ( ) |
100 |
96,8 |
Селективность по отношению к фенолу (%) ( ) |
93,0 |
98,7 |
| Примечания: см. примечания к Примеру 21 |
Пример 25
| Катализатор |
| Тип катализатора |
CuWO4 |
| Получение катализатора (см.) |
Пример 5 |
| Рабочие условия |
| Температура реакции °С |
450 |
| Давление, МПа (бар) |
2,5 (25) |
| Растворитель питающего потока БД |
вода |
| 1,2-БД в растворе БД (мас.%) |
19,0 |
| 1,4-БД в растворе БД (мас.%) |
9,7 |
| Соотношение Н2/БД (мольное соотношение) |
21,5 |
Массовая объемная скорость WHSV (ч-1) ( ) |
0,5 |
| Характеристики катализатора |
Время пребывания (ч) ( ) |
1 |
71 |
Степень превращения бензолдиолов (%) ( ) |
84,3 |
66,9 |
Селективность по отношению к фенолу (%) ( ) |
82,3 |
90,7 |
| Примечания: см. примечания к примеру 21 |
Пример 26
| Катализатор |
| Тип катализатора |
CuWO4 |
| Получение катализатора (см.) |
Пример 5 |
| Рабочие условия |
| Температура реакции °С |
450 |
| Давление, МПа (бар) |
2,5 (25) |
| Растворитель питающего потока БД |
вода |
| 1,2-БД в растворе БД (мас.%) |
19,0 |
| 1,4-БД в растворе БД (мас.%) |
9,7 |
| Соотношение Н2/БД (мольное соотношение) |
11,0 |
Массовая объемная скорость WHSV (ч-1) ( ) |
0,5 |
| Характеристики катализатора |
Время пребывания, (ч) ( ) |
1 |
Степень превращения бензолдиолов (%) ( ) |
87,3 |
Селективность по отношению к фенолу (%) ( ) |
91,2 |
| Примечания: см. примечания к примеру 21 |
Пример 27
Пример 28
Пример 29
| Катализатор |
| Тип катализатора |
CuWO4+Се |
| Получение катализатора (см.) |
Пример 6 |
| Рабочие условия |
| Температура реакции °С |
450 |
| Давление, МПа (бар) |
2,5 (25) |
| Растворитель питающего потока БД |
вода |
| 1,2-БД в растворе БД (мас.%) |
19,7 |
| 1,4-БД в растворе БД (мас.%) |
10,0 |
| Соотношение Н2/БД (мольное соотношение) |
21,0 |
Массовая объемная скорость WHSV (ч-1) ( ) |
0,5 |
| Характеристики катализатора |
Время пребывания (ч) ( ) |
1 |
45 |
Степень превращения бензолдиолов (%) ( ) |
98,5 |
96,3 |
Селективность по отношению к фенолу (%) ( ) |
85,1 |
81,5 |
| Примечания: см. примечания к примеру 21 |
Пример 30
Пример 31 (сравнительный)
Этот пример показывает, что типичный катализатор окисления при рабочих условиях, используемых в данном процессе, имеет значительно худшие характеристики, чем характеристики, полученные с катализаторами, являющимися объектом данного изобретения.
Пример 32 (сравнительный)
| Катализатор |
| Тип катализатора |
СuО – Аl2O3 |
| Получение катализатора (см.) |
Пример 9 |
| Рабочие условия |
| Температура реакции °С |
350 |
| Давление, МПа (бар) |
2,5 (25) |
| Растворитель питающего потока БД |
вода |
| 1,2-БД в растворе БД (мас.%) |
18,6 |
| 1,4-БД в растворе БД (мас.%) |
9,4 |
| Соотношение Н2/БД (мольное соотношение) |
22,2 |
Массовая объемная скорость WHSV (ч-1) ( ) |
0,5 |
| Характеристики катализатора |
Время пребывания (ч) ( ) |
25 |
144 |
Степень превращения бензолдиолов (%) ( ) |
99,9 |
82,5 |
Селективность по отношению к фенолу (%) ( ) |
48,8 |
46,1 |
| Примечания: см. примечания к примеру 21 |
Этот пример показывает, что типичный катализатор гидрогенизации при рабочих условиях, используемых в данном процессе, имеет значительно худшие характеристики, чем характеристики, полученные с катализаторами, являющимися объектом данного изобретения.
Формула изобретения
1. Способ получения фенола путем гидродеоксидирования полигидроксилированных производных бензола в присутствии катализатора на основе многокомпонентных оксидов металлов, отличающийся тем, что указанные оксиды включают по меньшей мере одну активную фазу оксида, которая соответствует структуре шеелита, и материалы с кристаллической структурой, не являющейся шеелитом, или аморфной структурой, где кристаллическую структуру шеелита выбирают из следующих составов: Bi(1 -x/3)V(1-x)wNb(1-x)(1 -w)MoO4; Cu(1-z)ZnzW(1-y)MoyO4, где каждый из w, x, у и z составляет от 0 до 1, и где материалы с кристаллической структурой, не являющейся шеелитом, или аморфной структурой выбирают из оксида церия или смеси оксид церия-оксид циркония.
2. Способ по п.1, в котором селективное гидродеоксидирование проводят путем проведения реакции полигидроксилированных производных бензола с водородом в паровой фазе при температуре 250-500°С, при давлении 0,1-10 МПа (1-100 бар) и массовой объемной скорости (WHSV), рассчитанной по отношению к подаваемым полигидроксилированным производным бензола, 0,1-10 ч-1.
3. Способ по п.2, в котором гидродеоксидирование проводят при температуре от 300 до 450°С.
4. Способ по п.2, в котором гидродеоксидирование проводят при давлении от 0,3 до 5 МПа (от 3 до 50 бар).
5. Способ по п.2, в котором гидродеоксидирование проводят при объемной скорости от 0,5 до 5 ч-1.
6. Способ по п.2, в котором гидродеоксидирование проводят в адиабатическом реакторе с неподвижным слоем катализатора путем подачи в реактор раствора бензолдиолов в воде с концентрацией 5-60 мас.% совместно с потоком водорода в таком количестве, что соотношение общего количества молей водорода и бензолдиолов находится от 2:1 до 50:1.
7. Способ по п.6, в котором раствор бензолдиолов в воде имеет концентрацию 10-40 мас.%, а соотношение между общим количеством молей водорода и бензолдиолов находится от 5:1 до 30:1.
8. Способ по п.2, в котором гидродеоксидирование проводят в двух или более адиабатических реакторах с неподвижным слоем катализатора, соединенных последовательно, путем разделения как подаваемого водного потока, так и подаваемого водорода на отдельные реакторы.
9. Способ по п.1, в котором гидродеоксидирование проводят в присутствии катализатора на основе многокомпонентных оксидов металлов, содержащего по меньшей мере один металл, выбранный из меди, ванадия, висмута, молибдена, ниобия, железа, вольфрама, цинка, никеля и их сочетаний, возможно содержащего сурьму и/или фосфор.
10. Способ по п.9, в котором катализатор нанесен на носитель или сформован с использованием связующих.
11. Способ по п.9, в котором катализатор содержит активные фазы оксидов в кристаллической форме.
12. Способ получения фенола путем селективного гидроксилирования бензола в присутствии катализатора на основе многокомпонентных оксидов металлов, отличающийся тем, что указанные оксиды включают по меньшей мере одну активную фазу оксида, которая соответствует структуре шеелита, и материалы с кристаллической структурой, не являющейся шеелитом, или аморфной структурой, в котором кристаллическая структура шеелита выбрана из следующих составов: Вi(1-x/3)V(1-x)wNb(1-x)(1-w)MoO4; Cu(1-z)ZnzW(1-y)MoyO4, где каждый из w, x, у и z составляет от 0 до 1, и где материалы с кристаллической структурой, не являющейся шеелитом, или аморфной структурой выбирают из оксида церия или смеси оксид церия-оксид циркония, а также отличающийся тем, что способ осуществляют путем подачи кислорода или других агентов-окислителей, выбранных из воздуха и N2O, в пониженных количествах по сравнению со стехиометрическим количеством в расчете на вступающий в реакцию бензол или вообще не подавая их, при этом недостающий для стехиометрии кислород обеспечивает катализатор, и тем, что катализатор содержит активные фазы оксида в кристаллической форме.
13. Способ по п.12, в котором на последующей стадии катализатор регенерируют до его первоначального состояния с помощью кислорода или другого соединения-окислителя, выбранного из воздуха и N2O.
14. Способ по п.13, в котором стадии реакции и повторного окисления осуществляют циклически.
15. Способ по п.12, в котором селективное гидроксилирование бензола проводят в реакторе, работающем при температурах от 150 до 700°С, при давлении от 0,01 до 10 МПа (от 0,1 до 100 бар) и массовой объемной скорости (WHSV), рассчитанной по отношению к всей подаваемой смеси, от 0,01 до 1000 ч-1.
16. Способ по п.15, в котором селективное гидроксилирование бензола проводят при температуре от 200 до 600°С.
17. Способ по п.16, в котором селективное гидроксилирование бензола проводят при температурах от 250 до 550°С.
18. Способ по п.15, в котором селективное гидроксилирование бензола проводят при давлении от 0,1 до 3 МПа (от 1 до 30 бар).
19. Способ по п.15, в котором селективное гидроксилирование бензола проводят при объемных скоростях от 1 до 100 ч-1.
20. Способ по п.19, в котором селективное гидроксилирование бензола проводят при объемных скоростях от 2 до 50 ч-1.
21. Способ по п.12, в котором селективное гидроксилирование бензола проводят в нескольких реакторах, по меньшей мере один из которых предназначен для регенерации катализатора, работающих либо посредством физического переноса катализатора из реактора, предназначенного для проведения реакции, в реактор, предназначенный для проведения регенерации, либо посредством переключения потоков между реактором, предназначенным для проведения реакции, и реактором, предназначенным для проведения регенерации.
22. Способ по п.12, в котором селективное гидроксилирование бензола проводят в одном или более чем одном реакторе с псевдоожиженным слоем.
23. Способ по п.12, в котором катализатор нанесен на носитель или сформован с использованием связующих.
РИСУНКИ
|
|