|
(21), (22) Заявка: 2009121801/14, 09.06.2009
(24) Дата начала отсчета срока действия патента:
09.06.2009
(46) Опубликовано: 20.08.2010
(56) Список документов, цитированных в отчете о поиске:
RU 2177348 С, 27.12.2001. RU 93025260 А, 10.06.1996. RU 2140225 С, 27.10.1999. WO 93/15657 А, 13.08.1993. ЛИНДЕНБРАТЕН Л.Д., КОРОЛЮК И.П. Медицинская радиология и рентгенология. – М.: Медицина, 1993, с.344-353.
Адрес для переписки:
410002, г.Саратов, ул. Чернышевского, 148, СарНИИТО, для А.И. Тома
|
(72) Автор(ы):
Тома Александр Ильич (RU), Караваев Анатолий Сергеевич (RU), Норкин Алексей Игоревич (RU), Усиков Владимир Дмитриевич (RU)
(73) Патентообладатель(и):
Федеральное государственное учреждение “Саратовский научно-исследовательский институт травматологии и ортопедии Федерального агентства по высокотехнологичной медицинской помощи” (RU)
|
(54) СПОСОБ ОЦЕНКИ ДЕФИЦИТА ПРОСВЕТА ПОЗВОНОЧНОГО КАНАЛА
(57) Реферат:
Изобретение относится к медицине и может быть использовано в травматологии, ортопедии, нейрохирургии, вертебрологии и рентгенологии для оценки дефицита просвета позвоночного канала. Из серии снимков выбирают два снимка аксиального сечения в неповрежденной зоне и в зоне с наиболее выраженным дефицитом просвета позвоночного канала. На каждом из этих снимков проводят дополнительные построения. По оси симметрии позвонка и далее на равном расстоянии друг от друга, проводят прямые, параллельные оси симметрии позвонка, пересекая этими линиями контур позвоночного канала с каждой стороны. На каждом из двух выбранных изображений определяют длины отрезков построенных прямых, ограниченных контуром позвоночного канала. После чего определяют дефицит просвета позвоночного канала. Способ позволяет определить дефицит просвета позвоночного канала и объем хирургического вмешательства. 1 з.п. ф-лы, 3 ил.
Изобретение относится к медицине и может быть использовано в травматологии, ортопедии, нейрохирургии, вертебрологии и рентгенологии для оценки дефицита просвета позвоночного канала.
Известен способ оценки пространства позвоночного канала, в котором определяют площадь межпозвонкового отверстия и площадь соответствующего ему спинномозгового корешка, вычисляют отношение площади межпозвонкового отверстия к площади спинномозгового корешка – индекс резервного пространства при магнитно-резонансном томографическом исследовании [патент RU на изобретение 2177348 «Способ диагностики стеноза поясничного межпозвонкового отверстия»].
Недостатком этого способа является то, что при выраженных дегенеративных и рубцово-спаечных процессах не всегда удается дифференцировать ткань нервного корешка и, как следствие этого, расчет индекса резервного пространства невозможен.
Известен также способ оценки степени патологий позвоночного канала [Я.Ю.Попелянский с соавт. Канально-корпоральные индексы и стеноз позвоночного канала. Съезд невропатологов УССР, Тез. доклад. – Харьков, 1976 г.], в котором определяют на уровне 3-го поясничного позвонка фронтально-канально-радикальный индекс – отношение фронтального диаметра канала к сумме фронтальных размеров корней правой и левой дужек позвонка, а также сагиттальный канально-корпоральный индекс – отношение сагиттального диаметра позвоночного канала к сагиттальному размеру тела позвонка.
Недостатком данного способа является то, что в этом случае определяются лишь косвенные признаки компрессионного синдрома, на основании которых нельзя определять тактику хирургического лечения больного.
Известен также способ оценки позвоночного канала, в котором после клинического осмотра пациента делают рентгенологический снимок позвоночного столба. На прямом снимке осуществляют дополнительные построения и определяют величину Дельта, которая представляет собой отрезок между расчетным центром тяжести тела и проекцией центра позвонка на основную горизонтальную плоскость тела. По полученным значениям величины Дельта судят о наличии компрессионного синдрома [патент RU на изобретение 2152754 «Способ рентгенологического исследования позвоночника»].
Известны также способы оценки значимых параметров позвоночника, основанные на обработке (расчерчивании) рентгенограмм и измерении по ним параметров позвоночника в нейтральном положении и в положении максимального сгибания и разгибания [патент RU на изобретение 2243721; а также работы И.З.Нейман – представителя организации-заявителя данной заявки – СарНИИТО, опубликованные в 1969 г. с опытом организации-заявителя по данному вопросу на тот период и ссылки на которые см. в патенте 2243721, 2 абзац].
Недостатком данного способа является то, что данная методика позволяет оценить лишь функциональное состояние позвоночника, но не оценивает параметры пространства позвоночного канала.
Известно также, что в большинстве случаев сужение позвоночного канала определяют по степени деформации дурального мешка при проведении миелографии, магнито-резонансной томографии, компьютерной томографии. Важное значение имеет величина сагиттального размера позвоночного канала или дурального мешка [статья «Хирургические вмешательства при стенозе поясничного отдела позвоночника», опубликованная на сайте
С точки зрения авторов данной статьи имеет значение уменьшение не только размера, но и площади позвоночного канала. Площадь позвоночного канала рассчитывают по формуле: S=A×B/2, где А – фронтальный размер позвоночного канала (наименьшее расстояние между внутренними краями основания дужек позвонка); В – сагиттальный размер позвоночного канала (расстояние между задней поверхностью тела позвонка и линией, проведенной через вершины позвоночных суставов).
Недостатком данного способа является то, что данный способ предназначен для расчета степени стеноза позвоночного канала при циркулярном стенозе позвоночного канала, а при передних формах деформации позвоночного канала при внедрении костных отломков в позвоночный канал или при грыжевом выпячивании погрешность расчетов по данному способу будет высокой.
Известен также способ диагностики стеноза поясничного межпозвонкового отверстия [заявка RU на изобретение 93025260]. Новизной этого способа является измерение линейных параметров позвоночно-двигательного сегмента и межпозвонкового отверстия у больных поясничным остеохондрозом и определение разработанных коэффициентов межпозвонкового отверстия для получения сведений о степени сужения межпозвонкового отверстия и определения показаний для хирургической коррекции последнего.
Все вышеуказанные способы требуют выполнения сложных рентгенологических укладок, большого количества снимков, что в значительной степени повышает необоснованную лучевую нагрузку на пациента.
Известны также способы оценки повреждений позвоночника и содержимого позвоночного канала, опирающиеся на классификацию Denis, разработанную F.Denis (1982-1984) и McAfee с соавт. (1983). «После 1983 г. многие авторы существенно дополнили и доработали данную классификацию, что позволило с успехом применять ее при лечении различных повреждений позвоночника [Louis R., 1977, 1983, 1991; Mc Afee, 1983; Mageri et al., 1994; Willen J. et al., 1992; Wolter D., 1985, 1992; Roy-Camille, 1979]» – [Усиков В.Д. Руководство по транспедикулярному остеосинтезу позвоночника. Часть I. Повреждения позвоночника и спинного мозга. – СПб.: Гиппократ, 2006. – С.9-11, информационный материал прилагается].
По мнению авторов названного «Руководства» при всех своих достоинствах данные способы оценки на основе классификации имеют и недостатки. Это прежде всего определение сужения просвета позвоночного канала на уровне травмы на величину 1/3, 2/3 и более. При современных методах топической диагностики повреждений позвоночника (рентгеновская КГ, МРТ, методы исследования с контрастированием) определение посттравматического дефицита просвета позвоночного канала можно и нужно делать более точно [Магнитная резонансная томография позвоночника и спинного мозга / Холин А.В., Макаров А.Ю., Мазуркевич Е.А. – СПб., 1995 – 131 с.].
4. – С.18-23]. В основу классификации положен нейроортопедический принцип, определяющий обязательность комплексной оценки показателей, характеризующих повреждения костно-связочных структур позвоночника по Denis, и критериев, используемых в оценке повреждений спинного мозга и его образований. Собственные изменения и дополнения в данной классификации касаются выделения лишь основных типов повреждений позвоночника и точности измерения посттравматической деформации поврежденных ПДС и дефицита просвета позвоночного канала на уровне травмы.
Недостатком данного способа и многих других, в том числе ранее описанных, является отсутствие достаточной точности и математического обоснования для оперативной коррекции на уровне поврежденного сегмента позвоночника.
Задачей заявляемого изобретения является повышение точности в оценке пространства позвоночного канала, а именно дефицита его просвета, при простоте осуществления способа.
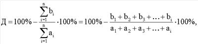
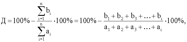
Сущность заявляемого способа оценки дефицита просвета позвоночного канала характеризуется тем, что проводят компьютерно-томографические исследования на уровне поврежденного сегмента позвоночника, из полученных томограмм аксиальных срезов позвоночника выбирают томограммы с наиболее выраженной деформацией позвоночного канала и без нее, проводят на выбранных томограммах дополнительные построения в виде параллельных линий на равном расстоянии друг от друга, начиная от линии симметрии позвонка в обе стороны до кривой, оконтуривающей на томограмме позвоночный канал в плоскости его аксиального сечения, на каждой из соответствующих томограмм фиксируют точки пересечения линий с оконтуривающей кривой и определяют соответствующие величины протяженностей отрезков линий внутри контуров, причем число отрезков – нечетное: 5, 7, 9 , затем суммируют полученные величины значений протяженностей отрезков на каждой из выбранных томограмм – как с деформацией bi, так и без нее ai, – определяют дефицит просвета позвоночного канала в процентах исходя из формулы:

где Д – дефицит просвета позвоночного канала;
ai – протяженность отрезка линии внутри контура на томограммах без деформации позвоночного канала;
bi – протяженность отрезка линии внутри контура на томограммах с деформацией позвоночного канала;
i – номер отрезка от 1 до n;
n=5, 7, 9 – количество отрезков;
– сумма значений протяженностей отрезков линий внутри контура на томограммах без деформации позвоночного канала;
– сумма значений протяженностей отрезков линий внутри контура на томограммах с деформацией позвоночного канала.
Кроме того, в способе оценки дефицита просвета позвоночного канала с вышеописанными признаками при множественных повреждениях позвоночника проводят исследования на уровне каждого из поврежденных сегментов с последующей обработкой данных на каждом из уровней соответственно вышеизложенному.
Технический результат
Поскольку в настоящее время в мире наличие компьютерных томографов (КТ) далеко не соответствует числу медицинских учреждений, с одной стороны, с другой стороны, существующий в настоящее время медицинский стандарт не включает в число обязательных требований обработки компьютерных томограмм получение значения размеров дефицита просвета позвоночного канала, причем и теми учреждениями, где делают компьютерные снимки для получения ряда важных параметров, то точный размер дефицита просвета позвоночного пространства получается будто не обязательным для обработки томограмм врачами-рентгенолагами на их этапе. Спинальный больной далее попадает на следующие этапы диагностики без важного для него показателя. Хирургам, занимающимся лечением таких больных независимо от профиля лечебного учреждения, необходимо точно определять такие пространственные параметры позвоночного канала, как дефицит его просвета. На практике не всегда лечащий врач может присутствовать при компьютерно-томографическом исследовании. Часто больной попадает к нему уже с готовыми снимками. Врачу при изучении данных снимков приходится принимать решение в пользу того или иного метода лечения. Детальное изучение таких пространственных параметров, как дефицит просвета позвоночного канала, в значительной степени и порой кардинально может повлиять на выбор наиболее верного метода лечения. Кроме того, при выполнении хирургического лечения наличие данных о дефиците просвета позвоночного канала позволяет правильно определить объем хирургического вмешательства. В подобных часто встречающихся ситуациях при наличии снимков КТ, но не обработанных в достаточной мере по требованиям сегодняшнего дня с нахождением изменившихся параметров пространства позвоночного канала, данный способ с физико-техническими добавлениями заявляемого способа позволит за 5-10 минут получить важный показатель – размер дефицита просвета позвоночного канала.
Способ поясняется с помощью фигур, на которых представлены иллюстрации проведения вспомогательных построений.
На Фиг.1 – схематическое изображение результатов проведения вспомогательных построений для применения формулы (1). (а) – для изображения аксиального среза позвоночника на уровне, не подверженном патологическим изменениям. (б) – для изображения аксиального среза позвоночника на уровне с наиболее выраженным дефицитом просвета позвоночного канала. На схеме отмечены: ось симметрии позвонка – крупный пунктир, построенные отрезки вспомогательных линий, параллельных оси симметрии позвонка, заключенные внутри контура позвоночного канала – мелкий пунктир.
На Фиг.2 – оценка площади фигуры сложной формы с помощью метода прямоугольников. (а) – введенная ось абсцисс х перпендикулярно оси симметрии позвонка, разделяя изображение открытой части позвоночного канала в произвольном месте на 2 части, С и D. Ось симметрии позвонка на чертеже обозначена крупным пунктиром. Площадь всей фигуры вычисляют как сумму площадей ее частей: С и D. (б) – оценка площади методом прямоугольников. Площадь С разбивается на N прямоугольников одинаковой ширины h высотой . оценивают согласно формуле (6). (в) – оценку площади производят аналогично по формуле (8).
Способ осуществления заявляемого изобретения.
Поскольку часто не существует границы – четкого контура между образовавшейся патологией и стенкой позвоночного канала – и их граница выглядит общим размытым пятном, то не представляется возможным определить размеры дефекта или размеры занятого патологией пространства. В таких случаях целесообразно прибегнуть к косвенному измерению искомой величины, а именно сначала определить в процентах значимый размер – площадь оставшегося, не занятого патологией пространства, затем вычесть данную величину из 100% (100% соответствуют свободному пространству позвоночного канала без патологии) и получить величину дефицита просвета позвоночного канала в процентах:

Для практической реализации предложенного способа количественной оценки дефицита просвета позвоночного канала сначала из полученных с помощью компьютерной томографии снимков аксиального сечения позвоночника выбирают два, причем те изображения, которые содержат контур позвоночного канала на уровне, не подверженном патологическим изменениям, и контур позвоночного канала на уровне с наиболее выраженным для обследуемого больного дефицитом просвета позвоночного канала. Затем для каждого из этих снимков проводят дополнительные построения. По оси симметрии позвонка и далее на равном расстоянии h друг от друга проводят прямые, параллельные оси симметрии позвонка, пересекая этими линиями контур позвоночного канала. Величина h зависит от масштаба изображения, ее выбирают таким образом, чтобы контур позвоночного канала пересекали N построенных указанным образом прямых. Достаточно выбирать N равным 5, 7, 9 и т.д. – чем больше выбранное нечетное число делений, тем точнее результат.
Определяют протяженности отрезков построенных прямых, ограниченных контуром позвоночного канала для каждого из двух выбранных изображений.
Указанные построения, сделанные для изображения аксиального сечения позвоночного канала на уровне, не подверженном патологическим изменениям, схематически представлены на Фиг.1, где протяженности отрезков прямых, ограниченных контуром позвоночного канала обозначены как ai. Аналогичные построения, выполненные для изображения позвоночного канала на уровне, подверженном патологическим изменениям, приведены на Фиг.1б, где протяженности отрезков прямых, ограниченных контуром открытой части позвоночного канала, обозначены как bi.
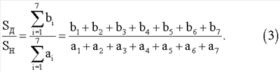
Для количественной оценки соотношения площади открытой части позвоночного канала, имеющего дефицит просвета, и площади позвоночного канала, не имеющего патологических изменений, вычисляют сумму протяженностей отрезков ai и bi построенных прямых и оценивают соотношение площадей как:

Например, для случая, представленного на Фиг.1, где N=7 и формула (2) будет иметь вид:

Иллюстрируем целесообразность применения предложенной формулы (2) для количественной оценки отношения площади открытой части позвоночного канала при наиболее выраженном дефиците просвета и площади канала на уровне, не подверженном патологическим изменениям.
Оценивают площадь открытой части позвоночного канала SД для изображения аксиального сечения позвонка, сделанного на уровне с наиболее выраженным дефицитом просвета позвоночного канала. Приспосабливают («привязывают») к этому изображению систему координат так, чтобы ось абсцисс х прошла перпендикулярно оси симметрии позвонка и разделила в произвольном месте открытую часть позвоночного канала на 2 части: С и D, имеющих площади и соответственно, причем по построению:

Построенные отрезки bi окажутся рассеченными осью абсцисс х на две части, по построению:

Для каждой из этих двух частей, С и D, введем оси ординат bC и bD соответственно, коллинеарные оси симметрии позвонка. Направления введенных осей ординат выбирают так, как указано на Фиг.2а.
Оценивают площадь фигуры С – – Фиг.2б. По определению интеграла функции интеграл представляет собой площадь под графиком функции, поэтому:

На практике такое интегрирование может быть осуществлено численно с помощью метода прямоугольников, сущность которого заключается в разбиении площади под графиком интегрируемой функции на прямоугольники и вычислении их суммарной площади.
Для применения метода прямоугольников разбивают фигуру С на N прямоугольников одинаковой ширины h так, как показано на Фиг.2б. Как видно из Фиг.2б, в этом случае высота i-го прямоугольника будет составлять . Величину интеграла (6) или, другими словами, площадь фигуры С, согласно методу прямоугольников можно оценить как сумму площадей N таких прямоугольников:

Величина, полученная с помощью метода прямоугольников, как и с помощью любого другого численного метода интегрирования, является оценкой площади фигуры.
Проводя аналогичные выкладки для оценки площади фигуры D (Фиг.2в), получим:

Из формулы (4) получают оценку площади открытой части позвоночного канала SД, используя (7) и (8), получают:

Учитывая (5) из формулы (9), получают:

Аналогично можно оценить площадь позвоночного канала, не подверженного патологии:

Выражают в процентах отношение площадей:

Оценивают дефицит просвета позвоночного канала, вычисляя величину в процентах площади пространства, занятого патологией, по формуле:

Таким образом, показан физико-технический смысл предложенной формулы (1). Точность оценки дефицита просвета позвоночного канала возрастает с увеличением числа N.
Пример.
В лечебное учреждение был доставлен в экстренном порядке больной М. 44 лет с диагнозом: «Закрытая неосложненная травма поясничного отдела позвоночника с компрессионно-оскольчатым переломом тела LI позвонка с внедрением костного отломка в позвоночный канал со сдавливанием дурального мешка». На представленных КТ-снимках оценка пространственных значений позвоночного канала произведена не была. В связи с чем для определения объема хирургического вмешательства на представленных томограммах была произведена оценка позвоночного канала в соответствии с предлагаемым способом. Для этого из серии снимков были выбраны два снимка аксиального сечения в неповрежденной зоне и в зоне с наиболее выраженным дефицитом просвета позвоночного канала. Затем на каждом из этих снимков проведены дополнительные построения. По оси симметрии позвонка и далее, на равном расстоянии друг от друга (3 мм) проведены прямые, параллельные оси симметрии позвонка, пересекая этими линиями контур позвоночного канала по 3 с каждой стороны. Затем на каждом из двух выбранных изображений определены длины отрезков построенных прямых, ограниченных контуром позвоночного канала (Фиг.3). По предлагаемому в данной заявке итоговому математическому выражению определили дефицит просвета позвоночного канала:

При таком дефиците просвета позвоночного канала устранение его возможно только открытым хирургическим способом, а именно удалением костного фрагмента из позвоночного канала, что и рекомендовано в результате оценки дефицита просвета позвоночного канала.
Формула изобретения
1. Способ оценки дефицита просвета позвоночного канала, характеризующийся тем, что проводят компьютерно-томографические исследования на уровне поврежденного сегмента позвоночника, из полученных томограмм аксиальных срезов позвоночника выбирают томограммы с наиболее выраженной деформацией позвоночного канала и без нее, проводят на выбранных томограммах дополнительные построения в виде параллельных линий на равном расстоянии друг от друга, начиная от линии симметрии позвонка в обе стороны до кривой, оконтуривающей на томограмме позвоночный канал в плоскости его аксиального сечения, на каждой из соответствующих томограмм фиксируют точки пересечения линий с оконтуривающей кривой и определяют соответствующие величины протяженностей отрезков линий внутри контуров, причем число отрезков – нечетное: 5, 7, 9 , затем суммируют полученные величины значений протяженностей отрезков на каждой из выбранных томограмм как с деформацией bi, так и без нее аi, определяют дефицит просвета позвоночного канала в процентах, исходя из формулы
 где Д – дефицит просвета позвоночного канала; ai – протяженность отрезка линии внутри контура на томограммах без деформации позвоночного канала; bi – протяженность отрезка линии внутри контура на томограммах с деформацией позвоночного канала; I – номер отрезка от 1 до n; n=5, 7, 9 – количество отрезков;
– сумма значений протяженностей отрезков линий внутри контура на томограммах без деформации позвоночного канала;
– сумма значений протяженностей отрезков линий внутри контура на томограммах с деформацией позвоночного канала.
2. Способ оценки дефицита просвета позвоночного канала по п.1, характеризующийся тем, что при множественных повреждениях позвоночника проводят исследования на уровне каждого из поврежденных сегментов с последующей обработкой данных на каждом из уровней соответственно п.1.
РИСУНКИ
|