|
|
(21), (22) Заявка: 2009121805/14, 09.06.2009
(24) Дата начала отсчета срока действия патента:
09.06.2009
(46) Опубликовано: 20.08.2010
(56) Список документов, цитированных в отчете о поиске:
RU 2177348 С, 27.12.2001. RU 93025260 А, 10.06.1996. RU 2140225 С, 27.10.1999. WO 93/15657 А, 13.08.1993. ЛИНДЕНБРАТЕН Л.Д., КОРОЛКЖ И.П. Медицинская радиология и рентгенология. – М.: Медицина, 1993, с.344-353.
Адрес для переписки:
410002, г.Саратов, ул. Чернышевского, 148, СарНИИТО, для А.И. Тома
|
(72) Автор(ы):
Тома Александр Ильич (RU), Караваев Анатолий Сергеевич (RU), Норкин Алексей Игоревич (RU), Усиков Владимир Дмитриевич (RU)
(73) Патентообладатель(и):
Федеральное государственное учреждение “Саратовский научно-исследовательский институт травматологии и ортопедии Федерального агентства по высокотехнологичной медицинской помощи” (RU)
|
(54) СПОСОБ ОЦЕНКИ ДЕФИЦИТА ОБЪЕМА ПОЗВОНОЧНОГО КАНАЛА НА УРОВНЕ ДЕФЕКТА ПОРАЖЕННОГО СЕГМЕНТА
(57) Реферат:
Изобретение относится к медицине и может быть использовано в травматологии, ортопедии, нейрохирургии и вертебрологии для оценки дефицита объема позвоночного канала на уровне сегмента пораженного сегмента. Проводят компьютерно-томографические исследования в продольном и поперечном направлениях. Полученные в одинаковом масштабе продольное и поперечное сечения позвоночника совмещают до совпадения на полученных изображениях границ дефекта. На них, пересекая контуры дефекта, строят ряд вспомогательных, параллельных друг другу и перпендикулярных оси позвоночника линий на равном расстоянии друг от друга. Измеряют протяженность отрезков линий, заключенных внутри контура дефекта на изображениях в продольном и в поперечном сечениях позвоночника. Выбирают из значений величину максимальной протяженности отрезка и принимают ее за высоту дефекта в продольном сечении. Измеряют протяженность отрезков контура участка позвоночного канала на уровне дефекта в поперечном сечении и строят прямоугольные параллелепипеды. После чего определяют дефицит объема позвоночного канала на уровне его дефекта. Способ позволяет оценить объем дефекта в пространстве позвоночного канала и выбрать соответствующую тактику хирургического лечения. 2 ил.
Изобретение относится к медицине и может быть использовано в травматологии, ортопедии, нейрохирургии, вертебрологии, а также рентгенологии и онкологии для оценки дефицита объема позвоночного канала на уровне пораженного сегмента.
Известен способ оценки степени патологий позвоночного канала [Я.Ю.Попелянский с соавт. «Канально-корпоральные индексы и стеноз позвоночного канала ». Съезд невропатологов УССР, Тез. доклад. – Харьков, 1976 г.], в котором определяют на уровне 3-го поясничного позвонка фронтально-канально-радикальный индекс – отношение фронтального диаметра канала к сумме фронтальных размеров корней правой и левой дужек позвонка, а также сагиттальный канально-корпоральный индекс – отношение сагиттального диаметра позвоночного канала к сагиттальному размеру тела позвонка.
Недостатком данного способа является то, что в этом случае определяются лишь косвенные признаки компрессионного синдрома, на основании которых нельзя определять тактику хирургического лечения больного.
Известен также способ оценки позвоночного канала, в котором после клинического осмотра пациента делают рентгенологический снимок позвоночного столба. На прямом снимке осуществляют дополнительные построения и определяют величину Дельта, которая представляет собой отрезок между расчетным центром тяжести тела и проекцией центра позвонка на основную горизонтальную плоскость тела. По полученным значениям величины Дельта судят о наличии компрессионного синдрома [патент RU на изобретение 2152754 «Способ рентгенологического исследования позвоночника»].
Известны также способы оценки значимых параметров позвоночника, основанные на обработке (расчерчивании) рентгенограмм и измерении по ним параметров позвоночника в нейтральном положении и в положении максимального сгибания и разгибания [патент RU на изобретение 2243721; а также работы И.З.Нейман – представителя организации-заявителя данной заявки – СарНИИТО, опубликованные в 1969 г. с опытом организации-заявителя по данному вопросу на тот период и ссылки на которые см. в патенте 2243721, 2 абзац].
Недостатком данного способа является то, что данная методика позволяет оценить лишь функциональное состояние позвоночника, но не оценивает параметры пространства позвоночного канала.
Недостатком данного способа является то, что данный способ предназначен для расчета степени стеноза позвоночного канала при циркулярном стенозе позвоночного канала, а при передних формах деформации позвоночного канала при внедрении костных отломков в позвоночный канал или при грыжевом выпячивании погрешность расчетов по данному способу будет высокой.
Известен также способ диагностики стеноза поясничного межпозвонкового отверстия [заявка RU на изобретение 93025260]. Новизной этого способа является измерение линейных параметров позвоночно-двигательного сегмента и межпозвонкового отверстия у больных поясничным остеохондрозом и определение разработанных коэффициентов межпозвонкового отверстия для получения сведений о степени сужения межпозвонкового отверстия и определения показаний для хирургической коррекции последнего.
Все вышеуказанные способы требуют выполнения сложных рентгенологических укладок, большого количества снимков, что в значительной степени повышает необоснованную лучевую нагрузку на пациента.
Известны также способы оценки повреждений позвоночника и содержимого позвоночного канала, опирающиеся на классификацию Denis, «разработанную F.Denis (1982-1984) и Mc Afee с соавт. (1983). После 1983 г. многие авторы существенно дополнили и доработали данную классификацию, что позволило с успехом применять ее при лечении различных повреждений позвоночника [Louis R., 1977, 1983, 1991; McAfee, 1983; Magerl et al., 1994; Willen J. et al., 1992; Wolter D., 1985, 1992; Roy-Camille, 1979]» – [Усиков В.Д. «Руководство по транспедикулярному остеосинтезу позвоночника». Часть I. Повреждения позвоночника и спинного мозга. – СПб.: Гиппократ, 2006. – с.9-11, информационный материал прилагается].
По мнению авторов названного «Руководства» при всех своих достоинствах данные способы оценки на основе классификации имеют и недостатки. Это прежде всего определение сужения просвета позвоночного канала на уровне травмы на величину 1/3, 2/3 и более. «При современных методах топической диагностики повреждений позвоночника (рентгеновская КТ, МРТ, методы исследования с контрастированием) определение посттравматического дефицита пространства позвоночного канала можно и нужно делать более точно» – [«Магнитная резонансная томография позвоночника и спинного мозга» / Холин А.В., Макаров А.Ю., Мазуркевич Е.А. – СПб., 1995. – 131 с.].
4. – с.18-23]. В основу классификации положен нейроортопедический принцип, определяющий обязательность комплексной оценки показателей, характеризующих повреждения костно-связочных структур позвоночника по Denis, и критериев, используемых в оценке повреждений спинного мозга и его образований. Собственные изменения и дополнения в данной классификации касаются выделения лишь основных типов повреждений позвоночника и точности измерения посттравматической деформации поврежденных ПДС и дефицита пространства позвоночного канала на уровне травмы.
Недостатком данного способа и других, ранее описанных, является отсутствие достаточной точности и математического обоснования для оперативной коррекции на уровне межпозвонкового отверстия.
Задачей заявляемого изобретения является повышение точности оценки дефицита объема позвоночного канала на уровне дефекта пораженного сегмента.
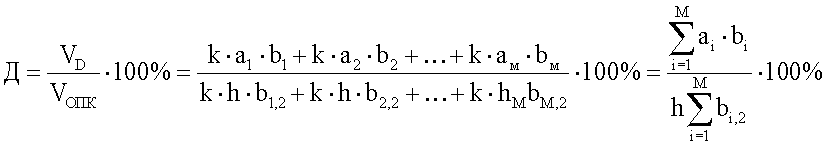
Сущность заявляемого способа оценки дефицита объема позвоночного канала на уровне дефекта пораженного сегмента характеризуется тем, что пациенту проводят компьютерно-томографические исследования в продольном и поперечном направлениях, полученные в одинаковом масштабе продольное и поперечное сечения позвоночника совмещают до совпадения на полученных изображениях границ дефекта, затем на них, пересекая контуры дефекта, строят ряд вспомогательных, параллельных друг другу и перпендикулярных оси позвоночника линий на равном расстоянии друг от друга k, измеряют протяженность отрезков аi этих линий, заключенных внутри контура дефекта на изображении в продольном сечении позвоночника, и протяженность отрезков bi этих линий, заключенных внутри контура дефекта на изображении в поперечном сечении позвоночника, на каждом ai строят прямоугольные параллелепипеды с гранями ai, bi и k, так, чтобы грань bi была расположена перпендикулярно плоскости продольного сечения, выбирают из значений ai величину максимальной протяженности отрезка и принимают ее за высоту h дефекта в продольном сечении, измеряют протяженность отрезков bi,2 контура участка позвоночного канала на уровне дефекта в поперечном сечении и строят прямоугольные параллелепипеды с гранями h, bi,2 и k, определяют дефицит объема позвоночного канала на уровне его дефекта, исходя из формулы:

где VD – объем дефекта в позвоночном канале;
VОПК – объем позвоночного канала на уровне дефекта пораженного сегмента;
k – расстояние между построенными прямыми;
ai – протяженность отрезков, заключенных внутри контуров дефекта на изображениях в продольном сечении;
bi – протяженность отрезков, заключенных внутри контуров дефекта на уровне пораженного сегмента на изображениях в поперечном сечении;
bi2 – протяженность отрезков, заключенных внутри контуров позвоночного канала на уровне дефекта на изображениях в поперечном сечении;
h – высота дефекта в продольном сечении, соответствующая протяженности отрезка ai, заключенного внутри контура дефекта на изображениях в продольном сечении максимальной протяженности;
М – число вспомогательных построенных прямых линий.
Технический результат
Поскольку в настоящее время в мире наличие компьютерных томографов (КТ) далеко не соответствует числу медицинских учреждений с одной стороны, с другой стороны, существующий в настоящее время медицинский стандарт не включает в число обязательных требований обработки компьютерных томограмм получение значения объема дефицита позвоночного канала на уровне дефекта пораженного сегмента, причем и теми учреждениями, где делают компьютерные снимки для получения ряда важных параметров, то точный объем дефекта позвоночного канала получается будто необязательным для обработки томограмм врачами-рентгенолагами на их этапе. Спинальный больной далее попадает на следующие этапы диагностики без важного для него показателя. Хирургам, занимающимся лечением таких больных, независимо от профиля лечебного учреждения, необходимо точно определять такие пространственные параметры позвоночного канала, как объем дефицита позвоночного канала на уровне дефекта пораженного сегмента. На практике не всегда лечащий врач может присутствовать при компьютерно-томографическом исследовании. Часто больной попадает к нему уже с готовыми снимками. Врачу при изучении данных снимков приходится принимать решение в пользу того или иного метода лечения. Детальное изучение таких пространственных параметров в значительной степени и порой кардинально может повлиять на выбор наиболее верного метода лечения. Кроме того, при выполнении хирургического лечения наличие данных об объеме дефекта (патологии) позвоночного канала позволяет правильно определить объем хирургического вмешательства. В подобных, часто встречающихся ситуациях, при наличии снимков КТ, но не обработанных в достаточной мере по требованиям сегодняшнего дня с нахождением изменившихся параметров пространства позвоночного канала, данный способ (с физико-техническими добавлениями заявляемого способа) позволит за 5-10 минут получить важный показатель – объем дефицита позвоночного канала на уровне дефекта пораженного сегмента.
Способ поясняется с помощью чертежей, на которых представлены иллюстрации проведения вспомогательных построений.
На Фиг.1 позициями 1-5 обозначены:
1 – дефект позвоночного канала (костный отломок);
2bi – построение линий в поперечном сечении;
2ai – построение линий в продольном сечении, совмещенном с поперечным сечением;
3bi – отрезок линии bi по контуру дефекта в поперечном сечении;
3ai – отрезок линии ai по контуру дефекта в продольном сечении;
4 – поврежденный позвонок;
5 – позвоночный канал.
На Фиг.2 изображены продольные и аксиальные снимки поврежденного позвонка с построением линий и отрезков на них по контуру дефекта позвоночного канала.
Подробное описание заявляемого способа количественной оценки дефицита объема позвоночного канала на уровне дефекта пораженного сегмента. Предварительным этапом количественной оценки дефицита объема являются следующие действия «материального» характера: снятие томограмм продольного и поперечного сечений позвоночника в одинаковом масштабе. Два этих изображения совмещают таким образом, чтобы границы дефекта совпали. Затем осуществляют дополнительное построение ряда вспомогательных прямых линий (М). Прямые проводят через равные расстояния (k, мм) друг от друга, параллельно друг другу и перпендикулярно оси позвоночника, пересекая контуры дефектов одновременно на обоих совмещенных изображениях. Отрезки, заключенные внутри контуров дефекта на изображениях, имеют длины ai (мм) в продольном сечении и bi (мм) в поперечном для каждой i-й построенной прямой. Для примера, представленного в заявке, М=7 (число прямых). Для каждой, например, из семи построенных прямых, контурами дефекта в позвоночном канале на изображениях продольного и поперечного сечений, соответственно, выделяют отрезки: длиной а1 и b1 для линии i=1, а2 и b2 для линии i=2 и т.д.
После построения указанным образом вспомогательных прямых и измерения длин их отрезков, на каждом ai (мм), строят прямоугольный параллелепипед с гранями ai (мм), bi (мм) и k (мм), так, чтобы грань bi была расположена перпендикулярно плоскости продольного сечения позвоночника. Объем такого параллелепипеда составит: Vi=k·ai·bi.
Объем дефекта в позвоночном канале можно оценить как сумму объемов построенных указанным образом прямоугольных параллелепипедов с гранями ai (мм), bi (мм) и k (мм), т.е. оценка объема дефекта дается как:
,
где VD – объем дефекта в позвоночном канале;
k – расстояние между построенными прямыми;
ai – длина отрезков, заключенных внутри контуров дефекта на изображениях в продольном сечении;
bi – длина отрезков, заключенных внутри контуров дефекта на изображениях в поперечном сечении;
М – число вспомогательных построенных прямых линий.
Выбирают из значений ai величину максимальной протяженности отрезка и принимают ее за высоту h дефекта в продольном сечении, измеряют протяженность отрезков bi,2 контура участка позвоночного канала на уровне дефекта в поперечном сечении и строят параллелепипеды с гранями h, bi,2 и k. Объем позвоночного канала оценивают как:

Строят прямоугольные параллелепипеды с гранями h, bi,2 и k, определяют дефицит объема позвоночного канала на уровне его дефекта, исходя из формулы:

Нужно отметить, что предложенная формула является вычислительно простой оценкой объема дефекта и занимает 5-10 мин рабочего времени врача, например, планирующего операцию хирурга или квалифицированного врача – члена его оперирующей бригады с целью повышения объема информации о возможной тактике и объеме операционного поля, возможной длительности операции и т.д.
Пример
В лечебное учреждение был доставлен в экстренном порядке больной М. 44 лет с диагнозом: «Закрытая неосложненная травма поясничного отдела позвоночника с компрессионно-оскольчатым переломом тела LI позвонка с внедрением костного отломка в позвоночный канал со сдавливанием дурального мешка». На представленных больным М. КТ-снимках оценка пространственных значений позвоночного канала произведена не была. В связи с чем для определения объема хирургического вмешательства на представленных томограммах была произведена оценка позвоночного канала в соответствии с предлагаемым способом. Для этого из серии снимков были выбраны снимки аксиального сечения на уровне дефекта пораженного сегмента. Затем на каждом из снимков продольного сечения провели дополнительные построения. По оси симметрии позвонка и далее, на равном расстоянии друг от друга (3 мм), проведены прямые, параллельные оси симметрии позвонка, пересекая этими линиями контур позвоночного канала по 3 с каждой стороны. Затем на каждом из выбранных изображений в аксиальном сечении определены длины отрезков построенных прямых, ограниченных контуром дефекта позвоночного канала (Фиг.3), и на продольном сечении определили максимальную величину отрезка, которую приняли за высоту h позвоночного канала на уровне дефекта пораженного сегмента. По предлагаемому в данной заявке итоговому математическому выражению определили дефицит объема позвоночного канала на уровне дефекта пораженного сегмента:

При таком дефиците объема позвоночного канала на уровне дефекта пораженного сегмента восстановление объема возможно только открытым хирургическим способом, а именно, удалением костного фрагмента из позвоночного канала, что и было рекомендовано.
Формула изобретения
Способ оценки дефицита объема позвоночного канала на уровне дефекта пораженного сегмента, характеризующийся тем, что пациенту проводят компьютерно-томографические исследования в продольном и поперечном направлениях, полученные в одинаковом масштабе продольное и поперечное сечения позвоночника совмещают до совпадения на полученных изображениях границ дефекта, затем на них, пересекая контуры дефекта, строят ряд вспомогательных, параллельных друг другу и перпендикулярных оси позвоночника линий на равном расстоянии друг от друга k, измеряют протяженность отрезков ai этих линий, заключенных внутри контура дефекта на изображении в продольном сечении позвоночника, и протяженность отрезков bi этих линий, заключенных внутри контура дефекта на изображении в поперечном сечении позвоночника, на каждом аi строят прямоугольные параллелепипеды с гранями аi, bi и k, так, чтобы грань bi была расположена перпендикулярно плоскости продольного сечения, выбирают из значений аi величину максимальной протяженности отрезка и принимают ее за высоту h дефекта в продольном сечении, измеряют протяженность отрезков bi,2 контура участка позвоночного канала на уровне дефекта в поперечном сечении и строят прямоугольные параллелепипеды с гранями h, bi,2 и k, определяют дефицит объема позвоночного канала на уровне его дефекта, исходя из формулы
 где VD – объем дефекта в позвоночном канале; VОПК – объем позвоночного канала на уровне дефекта пораженного сегмента; k – расстояние между построенными прямыми; ai – протяженность отрезков, заключенных внутри контуров дефекта на изображениях в продольном сечении; bi – протяженность отрезков, заключенных внутри контуров дефекта на уровне пораженного сегмента на изображениях в поперечном сечении; bi, 2 – протяженность отрезков, заключенных внутри контуров позвоночного канала на уровне дефекта на изображениях в поперечном сечении; h – высота дефекта в продольном сечении, соответствующая протяженности отрезка аi, заключенного внутри контура дефекта на изображениях в продольном сечении максимальной протяженности; М – число вспомогательных построенных прямых линий.
РИСУНКИ
|
|