|
(21), (22) Заявка: 2007112299/09, 06.01.2006
(24) Дата начала отсчета срока действия патента:
06.01.2006
(30) Конвенционный приоритет:
06.01.2005 US 60/642,212 07.02.2005 US 60/650,903
(43) Дата публикации заявки: 20.02.2009
(46) Опубликовано: 10.08.2010
(56) Список документов, цитированных в отчете о поиске:
RU 2235437 C2, 27.08.2004. WO 2004051872 A2, 17.06.2004. US 2004037224 A1, 26.02.2004. «HARQ Retransmission and Failure Indication for improved Outer loop power control», Ericsson, 3GPP TSG RAN WG3 Meeting #45, 15-19 ноября 2004.
(85) Дата перевода заявки PCT на национальную фазу:
06.08.2007
(86) Заявка PCT:
KR 2006/000058 20060106
(87) Публикация PCT:
WO 2006/073279 20060713
Адрес для переписки:
125009, Москва, а/я 332, ЗАО “Инэврика”, О.Н.Майорову
|
(72) Автор(ы):
ЧХОН Сон Дук (KR), ЛИ Ён-Дэ (KR)
(73) Патентообладатель(и):
Эл Джи Электроникс Инк. (KR)
|
(54) УЛУЧШЕНИЯ СИСТЕМЫ ВЫСОКОСКОРОСТНОЙ ПАКЕТНОЙ ПЕРЕДАЧИ ДАННЫХ ПО ВОСХОДЯЩЕЙ ЛИНИИ СВЯЗИ
(57) Реферат:
Изобретение относится к системам беспроводной связи. Предложены усовершенствования системы высокоскоростной пакетной передачи данных по восходящей линии связи «HSUPA». В числе трех основных аспектов изобретения: предоставление отчета на запрос об оптимальной скорости передачи, обеспечение передачи сигналов для доставки с уменьшенной задержкой и предоставление формата блоков протокольных данных «МАС-е PDU» для управляющей информации, передача сигналов для доставки с уменьшенной задержкой может рассматриваться как основное улучшение, в то время как два других аспекта могут рассматриваться как дополнительные улучшения. 4 н. и 12 з.п. ф-лы, 6 ил.
[1] Настоящее изобретение относится к системе беспроводной (радио) связи, в частности к введению улучшений в систему высокоскоростной пакетной передачи данных по восходящей линии связи «HSUPA».
Известный уровень техники
[2] Универсальная мобильная телекоммуникационная система «UMTS» представляет собой систему подвижной связи третьего поколения, выделившуюся из глобальной системы мобильной связи (GSM), являющейся европейским стандартом. Универсальная мобильная телекоммуникационная система «UMTS» предназначена для предоставления улучшенных услуг мобильной связи на основе базовой сети GSM и технологии широкополосного множественного доступа с кодовым разделением каналов «W-CDMA».
[3] На фиг.1 показан пример базовой структуры сети универсальной мобильной телекоммуникационной системы 100 «UMTS». Как показано на фиг.1, универсальная мобильная телекоммуникационная система «UMTS» в общих чертах делится на терминал 110 (мобильную станцию, пользовательское оборудование/устройство «UE» и т.д.), сеть наземного радиодоступа в универсальной мобильной телекоммуникационной системе – универсальная наземная сеть 120 радиодоступа «UTRAN» и базовую сеть 130 «CN». Универсальная наземная сеть 120 радиодоступа «UTRAN» включает в себя одну или несколько подсистем радиосети «RNS» (подсистемы 121, 122). Каждая из подсистем радиосети «RNS» включает в себя один контроллер радиосети «RNC» (контроллеры 123, 124) и одну или несколько базовых станций («Узлов В» 125, 126), которыми управляют контроллеры 123, 124 радиосети «RNC». Для каждой из базовых станций «Узел В» существует одна или несколько ячеек.
[4] Контроллеры 123, 124 радиосети «RNC» назначают радиоресурсы и управляют радиоресурсами, а также действуют в качестве точки доступа по отношению к базовой сети 130. Базовые станции 125, 126 действуют в качестве точек доступа к универсальной наземной сети 120 радиодоступа «UTRAN» для терминала 110. Контроллеры 123, 124 радиосети «RNC» выполняют назначение радиоресурсов и управление ими, а также работают в качестве точек доступа по отношению к базовой сети 130.
[5] Между компонентами сети существуют различные интерфейсы, которые позволяют устанавливать связь между этими компонентами с целью обмена данными.
[6] На фиг.2 представлена архитектура (структура) протокола радиоинтерфейса между терминалом 110 и универсальной наземной сетью 120 радиодоступа «UTRAN», основанная на технологии сети беспроводного доступа 3GPP. Здесь протокол радиоинтерфейса имеет горизонтальные уровни, включающие в себя физический уровень, уровень канала передачи данных и сетевой уровень, а также вертикальные плоскости, включая плоскость пользователя, предназначенную для передачи информационных данных (трафика), и плоскость управления – для передачи управляющих сигналов. Плоскость пользователя представляет собой область, в которой передается информация пользователя (например, голосовые данные, пакетные данные с использованием Интернет-протокола «IP» и т.п.). Плоскость управления представляет собой область, в которой передается управляющая информация (например, интерфейс сети, поддерживание и управление вызовами и т.п.).
[7] Кроме того, на фиг.2, уровни протокола можно разделить на первый уровень (L1), второй уровень (L2) и третий уровень (L3) на основе трех нижних уровней модели взаимных соединений открытой системы (OSI), хорошо известной в системах связи.
[8] Первый уровень (L1) представляет собой физический уровень «PHY», поставляющий услуги по передаче информации на вышерасположенные уровни с помощью различных технологий радиопередачи. Первый уровень (LI) соединен с уровнем управления доступом к среде «MAC», который располагается над ним, с помощью транспортного канала, через который данные передаются между уровнем управления доступом к среде «MAC» и физическим уровнем. Кроме того, между разными физическими уровнями (а именно, между соответствующими физическими уровнями передающей стороны и принимающей стороны) данные передаются через физические каналы (физические каналы связи).
[9] Уровень управления доступом к среде «MAC» выполняет отображение между логическими и транспортными каналами и предоставляет услуги по перераспределению параметров уровня управления доступом к среде «MAC» с целью распределения и перераспределения радиоресурсов (ресурсов беспроводной связи).
[10] Уровень управления доступом к среде «MAC» второго уровня (L2) соединен с вышерасположенным уровнем, называемым уровнем управления радиоканалом «RLC», через логический канал, предусмотрены различные логические каналы в зависимости от типа передаваемой информации. В частности, уровень управления доступом к среде «MAC» поставляет услуги на вышерасположенный уровень (уровень управления радиоканалом «RLC») через логический канал. Уровень управления радиоканалом «RLC» второго уровня (L2) может поддерживать надежную передачу данных и выполнять функции сегментации и конкатенации (последовательного соединения) множества блоков служебных данных уровня управления радиоканалом «RLC SDU», доставленных с вышерасположенного уровня.
[11] Уровень протокола сходимости пакетных данных «PDCP» расположен на вышерасположенном уровне по отношению к уровню управления радиоканалом «RLC» и позволяет эффективно передавать данные через радиоинтерфейс с относительно малой шириной полосы пропускания с использованием сетевого протокола.
[12] Уровень управления радиоресурсами «RRC», расположенный в нижней части третьего уровня (L3), определяется в плоскости управления и управляет транспортными каналами в отношении конфигурирования, повторного конфигурирования и освобождения радиоканалов «RB».
[13] Обслуживание радиоканала относится к услуге, которую второй уровень (L2) предоставляет для передачи данных между терминалом 110 «UE» и универсальной наземной сетью 120 радиодоступа «UTRAN», чтобы гарантировать заданное качество услуг для терминала «UE» и универсальной наземной сети радиодоступа «UTRAN». В общем случае создание радиоканала «RB» означает регламентирование характеристик уровней протокола и каналов, необходимых для предоставления конкретных услуг, а также соответствующую настройку основных параметров и методов эксплуатации.
[14] Из числа радиоканалов «RB» отдельный радиоканал, используемый для обмена сообщениями уровней управления радиоресурсами «RRC» – «RRC-сообщения» или сообщениями серверов сетевого доступа – «NAS-сообщения» между терминалом «UE» и универсальной наземной сетью радиодоступа «UTRAN», называется каналом сигнализации «SRB». Когда канал сигнализации «SRB» создается между конкретным терминалом «UE» и универсальной наземной сетью радиодоступа «UTRAN», между ними создается соединение уровней управления радиоресурсами, далее – «RRC-соединение». Терминал «UE», имеющий «RRC-соединение», считается находящимся в состоянии «RRC-соединения», а терминал «UE», не имеющий «RRC-соединения», считается находящимся в состоянии ожидания. Когда терминал «UE» находится в состоянии «RRC-соединения», контроллер радиосети «RNC» определяет ячейку, в которой находится терминал «UE» (т.е. контроллер радиосети «RNC» определяет местонахождение терминала «UE» в блоках ячеек) и управляет данным терминалом «UE».
[15] Уровень управления доступом к среде «MAC» второго уровня обеспечивает поставку услуг на вышерасположенный уровень – уровень управления радиоканалом «RLC» через логический канал. Уровень управления доступом к среде «MAC» делится на подуровни нескольких типов, например подуровень управления доступом к среде выделенного канала – «MAC-d» (далее, подуровень управления выделенным каналом «MAC-d») и подуровень управления доступом к среде обмена данными расширенного выделенного канала (далее, подуровень управления расширенным выделенным каналом «МАС-е»), в зависимости от типа транспортного канала, которым производится управление.
[16] Структура выделенного канала «DCH» и расширенного выделенного канала «E-DCH», соответствующая известному уровню техники, иллюстрируется фиг.3. Как показано на чертеже, выделенный канал «DCH» 14 и расширенный выделенный канал «E-DCH» 16 представляют собой выделенные транспортные каналы, используемые одним мобильным терминалом. В частности, расширенный выделенный канал «E-DCH» 16 используется для передачи данных в универсальную наземную сеть радиодоступа «UTRAN» 6 при более высокой скорости по сравнению с выделенным каналом «DCH» 14. Для передачи данных по расширенному выделенному каналу «E-DCH» 16 на высокой скорости могут применяться различные технологии, например, гибридный автоматический запрос на повтор «HARQ» (гибридный ARQ), «АМС» – адаптивные модуляция и кодирование, а также планирование, управляемое базовой станцией «Узлом В», и т.п..
[17] Для расширенного выделенного канала «E-DCH» 16 базовая станция 12 «Узел В» передает по нисходящему каналу на мобильный терминал 2 управляющую информацию, чтобы управлять передачей данных по расширенному выделенному каналу «E-DCH» с мобильного терминала. Управляющая информация нисходящего канала, может включать в себя ответную информацию «ACK/NACK» (подтверждение приема / отсутствие подтверждения приема) для процесса гибридного автоматического запроса на повтор «HARQ», информацию о качестве канала «CQI» для технологии адаптивной модуляции и кодирования «АМС», информацию о скорости передачи данных по расширенному выделенному каналу «E-DCH», информацию о времени начала передачи по расширенному выделенному каналу «E-DCH» и информацию о периоде передачи, информацию о размере транспортного блока для планирования, управляемого базовой станцией «Узлом В», и т.п.
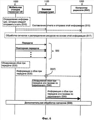
[18] Кроме того, терминал передает на базовую станцию «Узел В» управляющую информацию восходящего канала. Управляющая информация восходящего канала для управляемого базовой станцией «Узлом В» планирования может включать в себя информацию с запросом скорости передачи по расширенному выделенному каналу «E-DCH», информацию о состоянии буфера терминала «UE» и информацию о состоянии питания терминала «UE» и т.п.. Управляющая информация восходящего канала и управляющая информация нисходящего канала для расширенного выделенного канала «E-DCH» 16 передаются через физический управляющий канал, например «E-DPCCH» – расширенный выделенный физический управляющий канал.
[19] Для расширенного выделенного канала «E-DCH» 16 поток 18 подуровня управления выделенным каналом «MAC-d» определен между подуровнем управления выделенным каналом «MAC-d» 24 и подуровнем управления расширенным выделенным каналом «МАС-е» 26. В этом случае выделенный логический канал отображается в поток подуровня управления выделенным каналом «MAC-d», поток подуровня управления выделенным каналом «MAC-d» отображается на расширенный выделенный канал «E-DCH» 16, транспортный канал и расширенный выделенный канал «E-DCH» 16 отображаются на физический канал 20 «E-DPDCH» – расширенный выделенный физический информационный канал. Кроме того, выделенный логический канал может напрямую отображаться также на выделенный канал «DCH» 14, являющийся транспортным каналом, а выделенный канал «DCH 14 отображается на физический канал 22 «DPDCH» – выделенный физический информационный канал.
[20] Подуровень управления выделенным каналом «MAC-d» 24, как показано на фиг.3, управляет выделенным каналом «DCH»14 – выделенным транспортным каналом конкретного терминала. Подуровень управления расширенным выделенным каналом «МАС-е» 26 управляет расширенным выделенным каналом «E-DCH» 16 – транспортным каналом, используемым для высокоскоростной передачи данных по восходящему каналу.
[21] Подуровень управления выделенным каналом «MAC-d» передающей стороны генерирует блок протокольных данных подуровня управления выделенным каналом, далее, блок протокольных данных «MAC-d PDU» из блока служебных данных подуровня управления выделенным каналом, далее, блок служебных данных «MAC-d SDU», принимаемого с вышерасположенного уровня, т.е. с уровня управления радиоканалом «RLC». В альтернативном случае подуровень управления выделенным каналом «MAC-d» принимающей стороны восстанавливает блок служебных данных «MAC-d SDU» из блока протокольных данных «MAC-d PDU», принятого с нижерасположенного уровня, и передает его на вышерасположенный уровень. Подуровень управления выделенным каналом «MAC-d» может передавать блок протокольных данных «MAC-d PDU» на подуровень управления расширенным выделенным каналом «МАС-е» через поток подуровня управления выделенным каналом «MAC-d» или передавать блок протокольных данных «MAC-d PDU» на физический уровень через выделенный канал «DCH». Кроме того, подуровень управления выделенным каналом «MAC-d» принимающей стороны восстанавливает блок служебных данных «MAC-d SDU», используя заголовок подуровня управления выделенным каналом «MAC-d», содержащийся в блоке протокольных данных «MAC-d PDU», и затем передает блок протокольных данных «MAC-d PDU» на вышерасположенный уровень.
[22] Подуровень управления расширенным выделенным каналом «МАС-е» передающей стороны генерирует блок протокольных данных подуровня управления расширенным выделенным каналом, далее, блок протокольных данных «МАС-е PDU» из блока протокольных данных «MAC-d PDU», сгенерированного из блока служебных данных подуровня управления расширенным выделенным каналом, далее, блок служебных данных «МАС-е SDU», принятого с подуровня управления выделенным каналом «MAC-d». В альтернативном случае подуровень управления расширенным выделенным каналом «МАС-е» принимающей стороны восстанавливает блок служебных данных «МАС-е SDU» из блока протокольных данных «МАС-е PDU», принятого с физического уровня, и передает его на вышерасположенный уровень. В этом случае подуровень управления расширенным выделенным каналом «МАС-е» передает блок протокольных данных «МАС-е PDU» на физический уровень через расширенный выделенный канал «E-DCH». Кроме того, подуровень управления расширенным выделенным каналом «МАС-е» принимающей стороны восстанавливает блок служебных данных «МАС-е SDU», используя заголовок подуровня управления расширенным выделенным каналом «МАС-е», содержащийся в блоке протокольных данных «MAC-d PDU», и передает его на вышерасположенный уровень.
[23] Известная модель протокола расширенного выделенного канала «E-DCH» иллюстрируется на фиг.4. Как показано на чертеже, подуровень управления расширенным выделенным каналом «МАС-е», поддерживающий расширенный выделенный канал «E-DCH», находится на самой нижней позиции подуровня управления выделенным каналом «MAC-d» универсальной наземной сети 26 радиодоступа «UTRAN» и терминала «UE» 28. Подуровень управления расширенным выделенным каналом «МАС-е» 30 универсальной наземной сети 26 радиодоступа «UTRAN» расположен в базовой станции «Узел В». Подуровень управления расширенным выделенным каналом «МАС-е» 32 находится в каждом терминале 28. В отличие от этого подуровень управления выделенным каналом «MAC-d» 34 универсальной наземной сети радиодоступа «UTRAN» 26 расположен в обслуживающем контроллере радиосети «SRNC» и предназначен для управления соответствующим терминалом 28. Каждый терминал 28 содержит подуровень управления выделенным каналом «MAC-d» 36.
[24] Качество обслуживания «QoS» текущих потоков, отображаемых на расширенный выделенный канал «E-DCH» терминала «UE», поддерживается обслуживающей базовой станцией «Узел В» и терминалом «UE». В дополнение к этим механизмам при незапланированной передаче данных для потоков подуровня управления выделенным каналом «MAC-d» / логических каналов (FFS) также поддерживаются обслуживание с гарантированной битовой скоростью передачи данных. Поток, в котором используется незапланированная передача данных, определяется обслуживающим контроллером радиосети «SRNC» и предлагаются терминалом «UE» и базовой станцией «Узел В». Терминал «UE» может передавать данные, принадлежащие такому потоку, без первоначального приема какой-либо плановой поддержки.
[25] На терминал «UE» из обслуживающего контроллера радиосети «SRNC» может быть предоставлена следующая информация, связанная с качеством обслуживания «QoS», что позволяет выбрать комбинацию расширенных транспортных форматов «E-TFC» в зависимости от качества обслуживания «QoS», мультиплексируя логические каналы в блоках протокольных данных «МАС-е PDU», и процесс гибридного автоматического запроса на повтор «HARQ»:
[26] – приоритет логического канала для каждого логического канала (как в версии «Rel-5»);
[27] – отображение между логическими каналами и потоками подуровня управления выделенным каналом «MAC-d» (как в версии «Rel-5»);
[28] -> допустимые комбинации потоков подуровня управления выделенным каналом «MAC-d» в одном блоке протокольных данных «МАС-е PDU»;
[29] -> профиль (совокупность параметров) гибридного автоматического запроса на повтор «HARQ» по каждому потоку подуровня управления выделенным каналом «MAC-d». Один профиль гибридного автоматического запроса на повтор «HARQ» состоит из атрибута смещения мощности и атрибута максимального количества передач данных. Атрибут смещения мощности используется при выборе комбинации расширенных транспортных форматов «E-TFC» для регулирования рабочей точки вероятности ошибок по битам сообщения «BLER» для передачи данных. Атрибут максимального количества передач используется при работе процесса гибридного автоматического запроса на повтор «HARQ» для регулирования максимальной задержки доставки данных и показатель статистической ошибки рабочей точки вероятности ошибок по битам сообщения «BLER» для потоков подуровня управления выделенным каналом «MAC-d».
[30] Следующие связанные с качеством обслуживания «QoS» параметры могут быть предоставлены обслуживающим контроллером радиосети «SRNC» на базовую станцию «Узел В», чтобы обеспечить планирование и резервирование ресурсов:
[31] – смещение мощности или комбинация расширенных транспортных форматов «E-TFC» (FFS), соответствующие гарантированной побитовой скорости передачи данных (только для потоков подуровня подуровень управления выделенным каналом «MAC-d» / логических каналов, по которым предоставляются услуги с гарантированной побитовой скоростью передачи данных). В случае запланированной передачи этот параметр используется, чтобы выделить разрешение терминалам «UE». В случае незапланированной передачи этот параметр используется для резервирования объема ресурсов для базовой станции «Узел В». Необходимость дополнительных механизмов для оптимизации оборудования базовой станции «Узел В» обуславливается комбинацией комбинация расширенных транспортных форматов «E-TFC» (FFS) (например, терминал «UE» может заранее сообщить базовой станции «Узел В», что предстоит незапланированная передача).
[32] Терминал «UE» учитывает следующие правила:
[33] – выбор комбинации расширенных транспортных форматов «Е-TFC» основан на приоритетах логических каналов подобно тому, как это делается в версии «Release 99», т.е. терминал «UE» должен максимизировать передачу данных с более высоким приоритетом;
[34] – терминал UE в одном и том же блоке блок протокольных данных «МАС-е PDU» должен соблюдать допустимые комбинации потоков подуровня подуровень управления выделенным каналом «MAC-d»;
[35] – смещение мощности расширенного выделенного физического информационного канала(ов) «E-DPDCH» относительно выделенного физического управляющего канала «DPCCH», связанное с блоком протокольных данных «МАС-е PDU», включающего блоки протокольных данных «MAC-d PDU», поступающих от одного или нескольких потоков подуровня управления выделенным каналом «MAC-d» устанавливается следующим образом:
[36] – терминал «UE» выбирает смещение мощности из совокупности параметров гибридного автоматического запроса на повтор «HARQ», связанное с потоками подуровня управления выделенным каналом «MAC-d», с логическим каналом с наивысшим приоритетом в блоках протокольных данных «МАС-е PDU»;
[37] После обсуждения различных проблем, описанных выше со ссылкой на фиг.1-4, изобретатели осознали, что улучшение системы высокоскоростной пакетной передачи данных по восходящей линии связи «HSUPA» является весьма желательным.
Сущность изобретения
Техническая проблема
[38] Один из аспектов настоящего изобретения предусматривает устранение недостатков известных технических решений. В частности, в известных технических решениях сеть (т.е. базовая станция и контроллер радиосети, «Узел В» и контроллер радиосети «RNC», универсальная наземная сеть радиодоступа «UTRAN» и т.д.) не предоставляет достаточной информации для оптимальной работы, в частности, в режиме высокоскоростной пакетной передачи данных по восходящей линии связи «HSUPA». С учетом указанного соображения в настоящем изобретении предложены соответствующие усовершенствования системы высокоскоростной пакетной передачи данных по восходящей линии связи «HSUPA». В частности, предусмотрена улучшенная передача сигналов для доставки данных с меньшей задержкой, и отчет на запрос об оптимальной скорости, так же как формат блока протокольных данных «МАС-е PDU» для управляющей информации, которые могут решить проблемы известных технических решений.
Описание чертежей
[39] Прилагаемые чертежи, включенные в описание для лучшего понимания изобретения и составляющие часть данного описания, иллюстрируют вариант(ы) осуществления настоящего изобретения и вместе с описанием служат для описания принципов изобретения. На чертежах:
[40] Фиг.1 иллюстрирует общую структуру универсальной мобильной телекоммуникационной системы «UMTS».
[41] На рис.2 изображена структура протокола интерфейса радиосвязи (беспроводной связи) между терминалом «UE» и универсальной наземной сетью радиодоступа «UTRAN», на основе сети радиодоступа третьего поколения 3GPP.
[42] Фиг.3 иллюстрирует структуру выделенного канала «DCH» и расширенного выделенного канала «E-DCH»
[43] Фиг.4 иллюстрирует модель протокола известного расширенного выделенного канала «E-DCH».
[44] Фиг.5 иллюстрирует пример задержек доставки блоков протокольных данных «PDU» для процессов гибридного автоматического запроса на повтор «HARQ».
[45] На фиг.6 представлены типовые процедуры, связанные с усовершенствованиями в системе высокоскоростной пакетной передачи данных по восходящей линии связи «HSUPA» в соответствии с настоящим изобретением.
Описание предпочтительных вариантов осуществления изобретения
[46] Настоящее изобретение описано на примере использования его в с универсальной мобильной телекоммуникационной системе «UMTS». Однако настоящее изобретение может быть адаптировано и применено в системах связи, работающих в рамках других стандартов связи, т.к. концепции и положения настоящего изобретения могут применяться к различным схемам связи, которые работают аналогичным способом, на основе общих методов. Не ограничивающие варианты осуществления настоящего изобретения ниже объясняются со ссылкой на прилагаемые чертежи.
[47] Усовершенствования системы высокоскоростной пакетной передачи данных по восходящей линии связи «HSUPA» могут рассматриваться в следующем аспекте: обеспечение передачи сигналов для доставки с меньшей задержкой, со ссылкой на фиг.5 и 6, будет приведено ниже при объяснении особенностей настоящего изобретения.
[48] Передача сигналов для доставки с меньшей задержкой (фиг.6. действия S20-S50)
[49] Чтобы достигнуть максимальной пропускной способности, следует минимизировать ненужные задержки на протяжении всей работы системы высокоскоростной пакетной передачи данных по восходящей линии связи «HSUPA». Элементы задержки в высокоскоростной пакетной передаче данных по восходящей линии связи «HSUPA» могут состоять из планирования на терминале «UE», повторной передачи гибридного автоматического запроса на повтор «HARQ», задержки интерфейса «lub» между контроллером радиосети «RNC» и базовой станцией и переупорядочивания на обслуживающем контроллере радиосети «SRNC».
[50] Далее рассматриваются задержка переупорядочивания и описывается процедура передачи сигналов, предназначенные для предотвращения ненужного ожидания в очереди на переупорядочивание.
[51] В наихудшем случае задержка в гибридном автоматическом запросе на повтор «HARQ» может быть достаточно большой. С одной стороны, следует избежать нечеткости в переупорядочивании блоков протокольных данных «МАС-е PDU» и в то же время следует учесть все возможные задержки, чтобы предотвратить нежелательный отказ в приеме блоков протокольных данных «PDU».
[52] Однако, если очевидно, что нет необходимости ждать предыдущие блоки протокольных данных «PDU», связанные с отдельным блоком протокольных данных «PDU», операция переупорядочивания очереди немедленно выполняется и данный блок протокольных данных «PDU» доставляется на вышерасположенный уровень. Это происходит потому, что излишняя задержка может, в конечном счете, привести к отказу в приеме блока протокольных данных «PDU» на вышерасположенных уровнях или вызвать нежелательно длинную затяжку времени при выполнении подтверждений приема (подтверждение приема «АСК» или отсутствие подтверждения приема «NACK») для блоков протокольных данных «AM PDU», что может повлиять на общую пропускную способность.
[53] К сожалению, из-за того, что в известных технических решениях мало используется передача сигналов на обслуживающий контроллер радиосети «SRNC», указанных эффектов, вызываемых задержкой, нельзя избежать.
[54] Фиг.5 иллюстрирует пример задержек доставки блоков протокольных данных «PDU». Только ради объяснения предполагается, что для терминала «UE» имеется 5 процессов гибридного автоматического запроса на повтор «HARQ». Реальное число процессов зависит от различных условий, связанных со средой канала связи.
[55] Процессы гибридного автоматического запроса на повтор «HARQ» с 1 по 4 соответственно начинают новую передачу в интервалы времени передачи «TTI» с 0 по 3, тогда как процесс 5 гибридного автоматического запроса на повтор «HARQ» начинает новую передачу в интервале времени передачи «TTI» 9. Предполагается, что блок протокольных данных «МАС-е PDU» 5 правильно принимается в интервале времени передачи «TTI» 14, а для блоков протокольных данных «МАС-е PDU» с 1 по 4 максимальное число повторных передач без удачного приема на базовой станции «Узле В» достигается в интервалы времени передачи «TTI» с 20 по 23.
[56] Для простоты дополнительно предполагается, что блоки протокольных данных «МАС-е PDU» с 1 до 5 содержат блоки протокольных данных уровней управления доступом к среде из одного и того же логического канала, далее блоки протокольных данных «MAC-es PDU». При этом предположении естественно предположить, что все блоки протокольных данных «MAC-es PDU», включенные в блоки протокольных данных «МАС-е PDU» с 1 по 4, предшествуют всем блокам протокольных данных «MAC-es PDU», включенным в блок протокольных данных «МАС-е PDU» 5.
[57] В этом примере в интервале времени передачи «TTI» 24 логическая схема базовой станции «Узла В» может определить, что блоки протокольных данных «MAC-es PDU» в блоке протокольных данных «МАС-е PDU» 5 не должны ожидать блоков протокольных данных «MAC-es PDU» из блоков протокольных данных «МАС-е PDU» 1-4 (т.е. предыдущих блоков протокольных данных «MAC-es PDU»). Это происходит потому, что передача всех предшествующих блоков протокольных данных «МАС-е PDU» закончилась неудачей. Даже если блоки протокольных данных «МАС-е PDU» 1-4 содержат блоки протокольных данных «MAC-es PDU» из других логических каналов, трудно себе представить, что блоки протокольных данных «MAC-es PDU», предшествующие блокам протокольных данных «MAC-es PDU» в блоке протокольных данных «МАС-е PDU» 5, будут приняты в интервале времени передачи «TTI», который идет позже интервала 24, если только не допустить, что модуль установки порядкового номера передачи «TSN» работает в обратную сторону.
[58] Из базовой станции «Узла В» в обслуживающий контроллер радиосети «SRNC» не передается никаких сигналов, за исключением количества повторных передач для принятого блока протокольных данных «PDU» и первоначального интервала времени передачи «TTI» передачи блока протокольных данных «PDU» для операции переупорядочивания. Другими словами, «Узел В» не сообщает обслуживающему контроллеру радиосети «SRNC» ничего о том, какой процесс успешно декодировал блок протокольных данных «МАС-е PDU», а какой процесс не достиг успеха при максимальном числе повторных передач, или в какой интервал времени передачи «TTI» случилась последняя неудачная повторная передача, и т.д.
[59] Следовательно, в приведенном выше примере блоки протокольных данных «MAC-es PDU» в блоке протокольных данных «МАС-е PDU» 5 должны ожидать в очереди переупорядочивания обслуживающего контроллера радиосети «SRNC» более длительное время, чем это действительно нужно, т.к. очередь переупорядочивания обслуживающего контроллера радиосети «SRNC» не содержит информации о том, имеется ли возможность, что предыдущие блоки протокольных данных «MAC-es PDU» могут быть приняты в будущем или нет.
[60] Фактически, для обслуживающего контроллера радиосети «SRNC» его работа в текущей спецификации 3GPP описана нестрого. В таком случае использовать ли технологию с таймером, технологию с окном или иную технологию зависит от исполнения. Но проблема, описанная здесь, заключается в том, что без информации, предоставляемой обслуживающим контроллером радиосети «SRNC», логически целесообразная или эффективная работа, минимизирующая задержки и повышающая пропускную способность, будет ограничена.
[61] Соответственно, в настоящем изобретении рассмотрены эти проблемы и предложено два возможных решения. Одно из них заключается в выдаче сигналов с терминала «UE» на обслуживающий контроллер радиосети «SRNC», а другое – в выдаче сигналов с базовой станции «Узла В» на обслуживающий контроллер радиосети «SRNC».
[62] а) От терминал а UE на обслуживающий контроллер радиосети «SRNC»
[63] В данном способе терминал «UE» предоставляет обслуживающему контроллеру радиосети «SRNC» информацию, показывающую, какой номер порядковый номер передачи «TSN» обслуживающий контроллер радиосети «SRNC» может ожидать или от ожидания какого порядкового номера передачи «TSN» обслуживающий контроллер радиосети «SRNC» должен отказаться. В частности, когда передача блока протокольных данных «МАС-е PDU» оканчивается неудачей даже после выполнения допустимого числа повторных передач, терминал «UE» информирует обслуживающий контроллер радиосети «SRNC» о порядковых номерах передачи «TSN» блоков протокольных данных «MAC-es PDU», содержащихся в неудачно переданном блоке протокольных данных «МАС-е PDU». Или после обнаружения ошибки передачи терминал «UE» включает наименьший порядковый номер передачи «TSN» из тех, которые обслуживающий контроллер радиосети «SRNC» может ждать.
[64] Такая информация о порядковом номере передачи «TSN» может быть включена как часть управляющей информации блока протокольных данных «МАС-е PDU» и передается из базовой станции «Узла В» в обслуживающий контроллер радиосети «SRNC».
[65] Однако недостаток данного решения заключается в том, что в нем берется другой интервал времени передачи «TTI» для информирования обслуживающего контроллера радиосети «SRNC», даже если требуется использовать блок протокольных данных «МАС-е PDU», содержащий только управляющую информацию.
[66] b) От базовой станции «Узел В» к обслуживающему контроллеру радиосети «SRNC»
[67] При таком подходе процесс гибридного автоматического запроса на повтор «HARQ» базовой станции «Узел В» предоставляет обслуживающему контроллеру радиосети «SRNC» больше информации, связанной с работой гибридного автоматического запроса на повтор «HARQ». Например, в приведенном выше на фиг.7 примере, если базовая станция «Узел В» информирует обслуживающий контроллер радиосети «SRNC» о состоянии приема для каждого процесса (гибридного автоматического запроса на повтор «HARQ»), обслуживающий контроллер радиосети «SRNC» может оптимизировать операцию переупорядочивания.
[68] В частности, когда блок протокольных данных «МАС-е PDU» принят правильно, базовая станция «Узел В» информирует обслуживающий контроллер радиосети «SRNC» об идентификаторе процесса (гибридного автоматического запроса на повтор «HARQ»), который использовался для приема блока протокольных данных «МАС-е PDU» или блока протокольных данных «MAC-es PDU». Когда базовая станция «Узел В» обнаруживает, что прием блока протокольных данных «МАС-е PDU» закончился неудачей, остановлен или запущен, она также уведомляет обслуживающий контроллер радиосети «SRNC» об идентификаторе процесса (гибридного автоматического запроса на повтор «HARQ»), к которому это относится.
[69] При использовании всей указанной информации об идентификаторе процесса (гибридного автоматического запроса на повтор «HARQ») и информации об его состоянии, полученной из базовой станции «Узел В», обслуживающий контроллер радиосети «SRNC» способен определить, следует ли ожидать в очереди переупорядочивания для отдельного принятого блока протокольных данных «MAC-es PDU» для предыдущих блоков протокольных данных «MAC-es PDU». В итоге, это ведет к уменьшению ожидания в обслуживающем контроллере радиосети «SRNC».
[70] Кроме того, указанный способ, заключающийся в том, чтобы каждый раз сообщать обслуживающему контроллеру радиосети «SRNC» информацию о процессе (гибридного автоматического запроса на повтор «HARQ»), может привести к большей нагрузке на интерфейс «lub» между контроллером радиосети «RNC» и базовой станцией. Но эту проблему можно решить, если базовая станция «Узел В» проанализирует успешно принятый блок протокольных данных «МАС-е PDU» и использует состояние гибридного автоматического запроса на повтор «HARQ», базовая станция «Узел В» может напрямую информировать обслуживающий контроллер радиосети «SRNC» в отношении того, что контроллер, обслуживающий контроллер радиосети «SRNC», может ждать и что ему ждать нет необходимости. Это не только более простое решение, оно снижает нагрузку на интерфейс «Iub» между контроллером радиосети «RNC» и базовой станцией.
[71] Однако здесь имеется проблема, связанная с тем, как обеспечить надежное декодирование расширенного выделенного физического управляющего канала «E-DPCCH».
[72] После неудачного декодирования загрузки расширенного выделенного канала «E-DCH» и при условиях, указанных ниже, обслуживающий «Узел В» (базовая станция) должен послать на обслуживающий контроллер радиосети «SRNC» индикатор сбоя процесса гибридного автоматического запроса на повтор «HARQ». «Узлы В», не участвующие в обслуживании, не должны посылать индикатор сбоя процесса гибридного автоматического запроса на повтор «HARQ».
[73] Обслуживающий «Узел В» должен посылать индикатор сбоя процесса гибридного автоматического запроса на повтор «HARQ» при следующих условиях:
[74] Процесс гибридного автоматического запроса на повтор «HARQ» до сих пор не был успешно декодирован, и индикатор новых данных «NDI» принят для того же самого процесса гибридного автоматического запроса на повтор «HARQ», а число повторных передач гибридного автоматического запроса на повтор «HARQ», которые уже выполнены, определенно больше, чем наименьшее из максимальных значений повторных передач гибридного автоматического запроса на повтор «HARQ» для потоков подуровня управления выделенным каналом «MAC-d».
[75] Процесс гибридного автоматического запроса на повтор «HARQ» до сих пор не был успешно декодирован, и максимальное число повторных передач для потока подуровня управления выделенным каналом «MAC-d» с наивысшим максимальным числом повторных передач процесса гибридный автоматический запрос на повтор «HARQ», действительным для подключения терминала «UE», имело место или должно произойти в случае, когда гибридный автоматический запрос на повтор «HARQ», связанный с многочастотной передачей сигналов по расширенному выделенному физическому управляющему каналу «E-DPCCH», не может быть декодирован.
[76] Индикатор сбоя процесса гибридного автоматического запроса на повтор «HARQ» следует посылать с использованием транспортного канала, по которому передается поток подуровня управления выделенным каналом «MAC-d», имеющий наивысший приоритет. Если имеется более одного потока подуровня управления выделенным каналом «MAC-d» с наивысшим приоритетом, то «Узел В» (базовая станция) должен использовать только один из этих транспортных каналов, связанных с этими потоками подуровня управления выделенным каналом «MAC-d».
[77] Для реализации различных особенностей, описанных выше, в настоящем изобретении могут использоваться различные типы аппаратных средств и/или программных компонентов (модулей). Например, различные аппаратные модули могут содержать различные микросхемы и компоненты, необходимые для выполнения действий указанного выше способа. Кроме того, различные программные модули (выполняемые процессорами и другими аппаратными средствами) могут содержать различные прикладные программы и протоколы, необходимые для выполнения действий способа в соответствии с настоящим изобретением.
[78] Таким образом, в настоящем изобретении предлагается способ передачи сигналов между базовой станцией и контроллером радиосети, включающий в себя следующие действия: обнаружение, как минимум, одного сбоя передачи по радиоканалу на основе количества повторных передач по радиоканалу, которые имели место; и предоставление контроллеру радиосети информации, относящейся к обнаруженному сбою передачи по радиоканалу с целью последующей обработки сигналов.
[79] Здесь предоставленная информация может содержать индикатор сбоя передачи по радиоканалу. Указанные обнаружение и представление информации могут выполняться базовой станцией. Базовой станцией может быть «Узел В» – беспроводная базовая станция. Сетевым контроллером может быть контроллер радиосети. Радиопередача может быть связана с гибридным автоматическим запросом на повторную пересылку «НАRQ». Действие по обнаружению может содержать дополнительно – сравнение числа повторных передач по радиоканалу с пороговым значением. Пороговым значением может быть максимальное число допустимых повторных передач. Если максимальное число (повторных передач) больше порогового значения, то далее может выполняться этап информирования. Дополнительная обработка сигналов может заключаться в уменьшении задержки передачи данных.
[80] Предоставленная информация сообщает сетевому контроллеру, какой процесс гибридного автоматического запроса на повтор «HARQ» успешно декодировал блок протокольных данных «МАС-е PDU», в каком процессе гибридного автоматического запроса на повтор «HARQ» произошел сбой при максимальном числе повторных передач и/или в какой временной интервал передачи выполнена последняя неудачная повторная передача. Этап предоставления информации может дополнительно включать: отправку индикатора сбоя гибридного автоматического запроса на повтор «HARQ» сетевому контроллеру в случае, когда процесс гибридного автоматического запроса на повтор «HARQ» до сих пор не был успешно декодирован, получен индикатор новых данных для того же процесса (гибридного автоматического запроса на повтор «HARQ») и количество повторных передач гибридного автоматического запроса на повтор «HARQ», которые уже произошли, определенно больше наименьшего из максимальных значений количества повторных передач гибридного автоматического запроса на повтор «HARQ» для потоков подуровня управления выделенным каналом «MAC-d» или когда процесс гибридного автоматического запроса на повтор «HARQ» не был удачно декодирован и максимальное число повторных передач для потока подуровня управления выделенным каналом «MAC-d» с наибольшим максимальным числом повторных передач гибридного автоматического запроса на повтор «HARQ», действительное для подключения терминала «UE», выполнено или должно быть выполнено в случае, когда гибридный автоматический запрос на повтор «HARQ», связанный с многочастотной передачей сигналов по расширенному выделенному физическому управляющему каналу «E-DPCCH», не может быть декодирован.
[81] Индикатор сбоя гибридного автоматического запроса на повтор «HARQ» может быть отправлен с использованием транспортного канала, по которому передается поток подуровня управления выделенным каналом «MAC-d», имеющий наивысший приоритет. Если имеется более одного потока подуровня управления выделенным каналом «MAC-d» с наивысшим приоритетом, то выбирается и используется только один из этих транспортных каналов, связанных с этими потоками подуровней управления выделенным каналом «MAC-d».
[82] Таким образом, в настоящем изобретении предлагается способ передачи сигналов между базовой станцией и сетевым контроллером, включающий в себя следующие действия: прием индикатора сбоя передачи по радиоканалу, на основе, по меньшей мере, одного сбоя передачи по радиоканалу, который была обнаружен на основе количества повторных передач по радиоканалу, которые имели место, и выполнение дополнительной обработки сигналов в соответствии с принятым индикатором сбоя передачи по радиоканалу.
[83] Кроме того, в настоящем изобретении предлагается способ улучшенной передачи сигналов высокоскоростной пакетной передачи данных по восходящей линии связи в системе связи с пользовательским оборудованием и сетевым контроллером, причем данный способ включает в себя следующие действия: предоставление сетевому контроллеру информации, касающейся сбоев в передаче по радиоканалу, на основе числа обнаруженных повторных передач по радиоканалу, которые имели место; предотвращение на основе полученной информации нежелательного отказа в приеме блока протокольных данных, чтобы таким образом увеличить пропускную способность канала передачи данных посредством минимизации задержек, обусловленных планированием на терминале пользователя, выполнением повторных передач гибридного автоматического запроса на повтор «HARQ», выполнением передачи сигналов через интерфейс «lub» между контроллером радиосети «RNC» и базовой станцией и/или выполнением переупорядочивания на сетевом контроллере.
[84] В данном описании рассмотрены различные иллюстративные варианты осуществления настоящего изобретения. Область действия настоящей формулы изобретения охватывает различные модификации и эквивалентные решения иллюстративных вариантов осуществления настоящего изобретения, рассмотренных в данном описании. Таким образом, изложенная ниже формула изобретения предусматривает разумно расширенную интерпретацию, благодаря которой она охватывает модификации, эквивалентные структуры и технические детали, которые соответствуют духу и области действия охваченного ею настоящего изобретения.
Формула изобретения
1. Способ передачи сигналов между базовой станцией и сетевым контроллером, выполняемый базовой станцией, включающий в себя: прием блоков данных от мобильной станции «UE» для декодирования; отслеживание количества раз, когда блоки данных были приняты и безуспешно декодированы; и предоставление контроллеру сети информации о сбое, касающейся обнаруженного сбоя передачи по радиоканалу, на основе количества повторных передач блока данных, которые имели место, при этом информация о сбое предоставляется, когда достигнуто максимальное количество повторных передач блока данных.
2. Способ по п.1, в котором предоставленная информация о сбое содержит индикатор сбоя передачи по радиоканалу.
3. Способ по п.1, в котором базовой станцией является беспроводная базовая станция «Узел В».
4. Способ по п.1, в котором сетевым контроллером является контроллер радиосети «RNC».
5. Способ по п.1, в котором передача по радиоканалу связана с гибридным автоматическим запросом на повтор «HARQ».
6. Способ по п.1, в котором отслеживание количества раз, когда блок данных был принят и безуспешно декодирован, содержит сравнение количества повторных передач по радиоканалу с заранее определенным пороговым значением, представляющим максимальное количество повторных передач для пакета данных от мобильной станции «UE» на базовую станцию.
7. Способ по п.6, дополнительно содержащий отказ от приема блока данных, когда количество раз, когда блок данных был повторно передан от мобильной станции «UE» на базовую станцию, превышает заранее определенное пороговое значение, связанное с указанным блоком данных.
8. Способ по п.6, в котором информация о сбое, направленная контроллеру сети, содержит информацию о процессе гибридного автоматического запроса на повтор «HARQ», который успешно декодировал блок протокольных данных «МАС-е PDU», и о процессе гибридного автоматического запроса на повтор «HARQ», который имел сбой, с максимальным количеством повторных передач и/или о временном интервале передачи, во время которого имела место последняя неудачная повторная передача.
9. Способ по п.5, в котором операция по предоставлению информации о сбое включает в себя: отправку индикатора сбоя гибридного автоматического запроса на повтор «HARQ» сетевому контроллеру в случае, если процесс гибридного автоматического запроса на повтор «HARQ» до сих пор не был успешно декодирован, и получен индикатор, обозначающий передачу новых данных для того же самого процесса, гибридного автоматического запроса на повтор «HARQ», и количество повторных передач гибридного автоматического запроса на повтор «HARQ», которые уже имели место, больше наименьшего из максимальных значений количества повторных передач гибридного автоматического запроса на повтор «HARQ» для потоков подуровня управления выделенным каналом «MAC-d», или процесс гибридного автоматического запроса на повтор «HARQ» до сих пор не был успешно декодирован и максимальное количество повторных передач для потока подуровня управления выделенным каналом «MAC-d» с наибольшим максимальным значением повторных передач гибридного автоматического запроса на повтор «HARQ», действительным для подключения терминала «UE», имело место или должно иметь место в случае, когда гибридный автоматический запрос на повтор «HARQ», связанный с многочастотной передачей сигналов по расширенному выделенному физическому управляющему каналу «E-DPCCH», не может быть декодирован.
10. Способ по п.9, в котором индикатор сбоя процесса гибридного автоматического запроса на повтор «HARQ» отправляется с использованием транспортного канала, по которому передается поток подуровня управления выделенным каналом «MAC-d», имеющий наивысший приоритет.
11. Способ по п.10, в котором, если имеется более одного потока подуровня управления выделенным каналом «MAC-d» с наивысшим приоритетом, то выбирается и используется только один из этих транспортных каналов, связанных с этими потоками подуровня управления выделенным каналом «MAC-d».
12. Базовая станция, приспособленная для обмена сигналами с контроллером сети «RNC», когда передаются блоки данных от мобильной станции, при этом базовая станция сконфигурирована, чтобы выполнять операции способа по любому из пп.1-11.
13. Способ передачи сигналов между базовой станцией и сетевым контроллером, выполняемый сетевым контроллером, включающий в себя: прием для обработки блоков данных от мобильной станции «UE», прием от базовой станции информации о сбое, касающейся обнаруженного сбоя передачи по радиоканалу на основе количества повторных передач блока данных по радиоканалу, которые имели место, между мобильной станцией «UE» и базовой станцией, при этом информация о сбое предоставляется, когда достигнуто максимальное количество повторных передач блока данных.
14. Способ по п.13. в котором контроллер сети в ответ на прием информации о сбое продолжает обрабатывать блоки данных, которые были успешно декодированы базовой станцией, не ожидая приема блока данных, который был повторно передан на базовую станцию для декодирования сверх заранее заданного порогового значения.
15. Способ по п.13, в котором задержка обработки в сетевом контроллере уменьшается, благодаря обнаружению сетевым контроллером заблаговременно, чтобы не предполагать принимать отвергнутый пакет данных, на основе полученной информации о сбое.
16. Сетевой контроллер, приспособленный для обмена сигналами с базовой станцией, когда передаются блоки данных от мобильной станции «UE», при этом указанный сетевой контроллер сконфигурирован, чтобы выполнять операции способа в соответствии с любым из пп.3-15.
РИСУНКИ
|