|
|
(21), (22) Заявка: 2008151443/09, 24.12.2008
(24) Дата начала отсчета срока действия патента:
24.12.2008
(46) Опубликовано: 10.08.2010
(56) Список документов, цитированных в отчете о поиске:
RU 2223528 С2, 10.02.2004. RU 2115150 C1, 10.07.1998. RU 2055387 C1, 27.02.1996. SU 1742786 A1, 23.06.1992. SU 1836658 A3, 23.08.1993. GB 1092105 A, 22.11.1967. US 4758943 A, 19.07.1988. FR 2688075 A1, 03.09.1993. JP 56002001 A, 10.01.1981.
Адрес для переписки:
141070, Московская обл., г. Королев, ул. Ленина, 4а, ОАО “РКК “Энергия” им. С.П. Королева”, отдел интеллектуальной собственности
|
(72) Автор(ы):
Леденев Геннадий Яковлевич (RU), Бичуцкий Александр Яковлевич (RU), Башлыков Дмитрий Юрьевич (RU), Зборовский Владимир Викторович (RU), Петров Сергей Александрович (RU)
(73) Патентообладатель(и):
Открытое акционерное общество “Ракетно-космическая корпорация “Энергия” имени С.П. Королева” (RU)
|
(54) РЕЛЕЙНЫЙ РЕГУЛЯТОР
(57) Реферат:
Изобретение относится к автоматике и может быть использовано в системах управления различными инерционными объектами, например, поворотными платформами, промышленными роботами, летательными аппаратами. Техническим результатом является повышение быстродействия и снижение энергозатраты в переходных режимах. Релейный регулятор содержит первое и второе сравнивающие устройства, первый и второй интеграторы, первый и второй релейные элементы, сумматор и формирователь релейного сигнала, устройство формирования оптимального смещения линий переключения регулятора, которое включает в себя усилитель, с первого по четвертый интеграторы, с первого по седьмой ключи, с первого по шестой компараторы, сумматор, блок умножения. Закон формирования выходного сигнала определяется параметрами усилителя – коэффициентом усиления и величиной ограничения, уровнем выходного сигнала второго релейного элемента и уровнем ограничения второго интегратора, а также уровнем сигнала смещения, формируемым блоком умножения. 1 з.п. ф-лы, 3 ил.
Изобретение относится к автоматике и может быть использовано в системах управления различными инерционными объектами, например поворотными платформами, промышленными роботами, летательными аппаратами.
Известен релейный регулятор [1], содержащий последовательно соединенные шину сигнала позиционного отклонения, первое сравнивающее устройство, усилитель с ограничением, сумматор и первый интегратор, охваченные отрицательной обратной связью с выхода первого интегратора на инвертирующий вход первого сравнивающего устройства, а также первый релейный элемент и формирователь релейного сигнала с задержкой на выключение.
Недостаток этого релейного регулятора состоит в том, что он не обеспечивает заданное быстродействие. Кроме того, динамические ошибки, возникающие в переходном и установившемся режимах при воздействии на объект управления возмущений, велики.
Наиболее близким техническим решением к предлагаемому является релейный регулятор [2], содержащий последовательно соединенные шину сигнала позиционного отклонения, первое сравнивающее устройство, усилитель с ограничением, сумматор, интегратор, второе сравнивающее устройство, первый релейный элемент и формирователь релейного сигнала с задержкой на выключение и последовательно соединенные второй релейный элемент и второй интегратор с ограничением, выход которого подключен к инвертирующему входу второго сравнивающего устройства, при этом выход интегратора соединен с инвертирующим входом первого сравнивающего устройства, выход первого релейного элемента соединен с инвертирующим входом сумматора, выход второго сравнивающего устройства соединен с входом второго релейного элемента, шина сигнала скорости изменения позиционного отклонения соединена со вторым неинвертирующим входом сумматора.
Недостаток этого регулятора состоит в том, что он не обеспечивает требуемого быстродействия и заданных энергозатрат (расходов рабочего тела) в переходных режимах.
Задача изобретения – повышение быстродействия и снижение энергозатрат в переходных режимах.
Эта задача решается тем, что в релейный регулятор, содержащий последовательно соединенные шину сигнала позиционного отклонения, первое сравнивающее устройство, усилитель с ограничением, сумматор, интегратор, второе сравнивающее устройство, первый релейный элемент и формирователь релейного сигнала с задержкой на выключение и последовательно соединенные второй релейный элемент и второй интегратор с ограничением, выход которого подключен к инвертирующему входу второго сравнивающего устройства, при этом выход интегратора соединен с инвертирующим входом первого сравнивающего устройства, выход первого релейного элемента соединен с инвертирующим входом сумматора, выход второго сравнивающего устройства соединен с входом второго релейного элемента, шина сигнала скорости изменения позиционного отклонения соединена со вторым неинвертирующим входом сумматора, дополнительно введено устройство формирования оптимального смещения линий переключения регулятора, первый вход которого соединен с выходом формирователя релейного сигнала с задержкой на выключение, второй вход соединен с шиной сигнала скорости изменения позиционного отклонения, третий вход соединен с выходом интегратора, а выход устройства формирования оптимального смещения линий переключения регулятора соединен со вторым неинвертирующим входом второго сравнивающего устройства.
Устройство формирования оптимального смещения линий переключения регулятора содержит сравнивающее устройство, с первого по четвертый интеграторы, с первого по седьмой ключи, с первого по шестой компараторы, первый, второй и третий сумматоры, усилитель, апериодическое звено, первый и второй элементы И, первый и второй элементы ИЛИ и блок умножения, при этом, соединены последовательно сравнивающее устройство, усилитель, первый сумматор, первый интегратор и второй сумматор, также соединены последовательно первый ключ и второй интегратор, второй ключ, третий интегратор и третий ключ, четвертый ключ, четвертый интегратор и пятый ключ, выход второго сумматора соединен с входом пятого и шестого компараторов, с первым входом блока умножения и инвертирующим входом сравнивающего устройства, вход которого соединен со вторым входом устройства формирования оптимального смещения линий переключения регулятора, первый вход которого соединен с входами первого и второго компаратора, выход которого соединен с первым входом первого элемента ИЛИ и входами управления второго и третьего ключей, выход первого компаратора соединен со вторым входом первого элемента ИЛИ и входами управления четвертого и пятого ключей, инверсный выход первого элемента ИЛИ соединен с входом управления первого ключа, выход сравнивающего устройства соединен с сигнальными входами первого, второго и четвертого ключей и входом апериодического звена, выход которого подключен ко второму входу второго сумматора, выход второго интегратора соединен со вторым входом первого сумматора и первым входом третьего сумматора, выход третьего ключа соединен с третьим входом первого сумматора, выход третьего интегратора соединен с сигнальным входом шестого ключа, выход которого подключен ко второму входу третьего сумматора, выход пятого ключа соединен с четвертым входом первого сумматора, выход четвертого интегратора соединен с сигнальным входом седьмого ключа, выход которого соединен с третьим входом третьего сумматора, выход которого соединен с вторым входом блока умножения, третий вход устройства формирования оптимального смещения линий переключения регулятора соединен с входами третьего и четвертого компараторов, выходы которых подключены к первым входам первого и второго элементов И соответственно, вторые входы которых соединены с выходами пятого и шестого компараторов соответственно, выход первого элемента И соединен с входом управления седьмого ключа и первым входом второго элемента ИЛИ, выход второго элемента И соединен с входом управления шестого ключа и вторым входом второго элемента ИЛИ, выход которого подключен к третьему входу блока умножения, выход которого соединен с выходом устройства формирования оптимального смещения линий переключения регулятора.
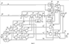
На фиг.1 приведена блок – схема релейного регулятора, на фиг.2 приведена блок – схема устройства формирования оптимального смещения линий переключения регулятора, на фиг.3 приведены фазовые траектории системы.
На схеме фиг.1: 1 – первое сравнивающее устройство, 2 – усилитель с ограничением, 3 – сумматор, 4 – интегратор, 5 – первый релейный элемент, 6 – формирователь релейного сигнала с запаздыванием на выключение, 7 – второе сравнивающее устройство, 8 – второй релейный элемент, 9 – второй интегратор с ограничением, 10 – шина сигнала позиционного отклонения, 11 – шина сигнала скорости изменения позиционного отклонения, 12 – объект управления (в состав регулятора не входит; он показан для полноты описания технического результата от применения заявленного устройства), 13 – устройство формирования оптимального смещения линий переключения регулятора, 42, 43 и 44 первый, второй и третий входы устройства формирования оптимального смещения линий переключения регулятора, 45 – выход устройства формирования оптимального смещения линий переключения регулятора.
На схеме фиг.2: 14 – сравнивающее устройство, 15 – усилитель, 16, 18 и 33 – первый, второй и третий сумматоры соответственно. 17, 30, 31 и 32 – первый, второй, третий и четвертый интеграторы соответственно, 19 – апериодическое звено, 20, 21, 34, 35, 36 и 37 – первый, второй, третий, четвертый, пятый и шестой компараторы соответственно, 22 и 40 – первый и второй элементы ИЛИ соответственно, 23, 24, 25, 26, 27, 28 и 29 – первый, второй, третий, четвертый, пятый, шестой и седьмой ключи соответственно, 38 и 39 – первый и второй элементы И соответственно, 41 – блок умножения, 42, 43 и 44 первый, второй и третий входы устройства формирования оптимального смещения линий переключения регулятора, 45 – выход устройства формирования оптимального смещения линий переключения регулятора.
На фиг.3: L1, L2, L3, LH 1, LH 2, LH 3 – линии переключения, N, NH – фазовые траектории, A, a1, а2 а6 – изображающие точки фазовой траектории.
В релейном регуляторе (фиг.1) последовательно соединены шина сигнала позиционного отклонения 10, первое сравнивающее устройство 1, усилитель с ограничением 2, сумматор 3, интегратор 4, второе сравнивающее устройство 7, первый релейный элемент 5 и формирователь релейного сигнала с задержкой на выключение 6. Также последовательно соединены второй релейный элемент 8 и второй интегратор с ограничением 9, выход которого подключен к инвертирующему входу второго сравнивающего устройства 7, выход интегратора 4 соединен с инвертирующим входом первого сравнивающего устройства 1, выход первого релейного элемента 5 соединен с инвертирующим входом сумматора 3, выход второго сравнивающего устройства 7 соединен с входом второго релейного элемента 8, шина сигнала скорости изменения позиционного отклонения 11 соединена со вторым неинвертирующим входом сумматора 3. Первый вход 42 устройства формирования оптимального смещения линий переключения регулятора 13 соединен с выходом формирователя релейного сигнала с задержкой на выключение 6, второй вход 43 этого устройства 13 соединен с шиной сигнала скорости изменения позиционного отклонения 11, третий вход 44 устройства 13 соединен с выходом интегратора 4, а выход устройства 13 соединен со вторым неинвертирующим входом второго сравнивающего устройства 7.
На фиг.2 соединены последовательно сравнивающее устройство 14, усилитель 15, первый сумматор 16, первый интегратор 17 и второй сумматор 18. Также соединены последовательно первый ключ 23 и второй интегратор 30, второй ключ 24, третий интегратор 31 и третий ключ 25, а также четвертый ключ 26, четвертый интегратор 32 и пятый ключ 27, выход второго сумматора 18 соединен с входом пятого 36 и шестого 37 компараторов, с первым входом блока умножения 41 и инвертирующим входом сравнивающего устройства 14, вход которого соединен со вторым входом 43 устройства формирования оптимального смещения линий переключения регулятора, первый вход 42 соединен с входами первого 20 и второго 21 компаратора, выход которого соединен с первым входом первого элемента ИЛИ 22 и входами управления второго 24 и третьего 25 ключей, выход первого компаратора 20 соединен со вторым входом первого элемента ИЛИ 22 и входами управления четвертого 26 и пятого 27 ключей, инверсный выход первого элемента ИЛИ 22 соединен с входом управления первого ключа 23, выход сравнивающего устройства 14 соединен с сигнальными входами первого 23, второго 24 и четвертого 26 ключей и входом апериодического звена 19, выход которого подключен ко второму входу второго сумматора 18, выход второго интегратора 30 соединен со вторым входом первого сумматора 16 и первым входом третьего сумматора 33, выход третьего ключа 25 соединен с третьим входом первого сумматора 16, выход третьего интегратора 31 соединен с сигнальным входом шестого ключа 28, выход которого подключен ко второму входу третьего сумматора 33, выход пятого ключа 27 соединен с четвертым входом первого сумматора 16, выход четвертого интегратора 32 соединен с сигнальным входом седьмого ключа 29, выход которого соединен с третьим входом третьего сумматора 33, выход которого соединен с вторым входом блока умножения 41, третий вход 44 устройства формирования оптимального смещения линий переключения регулятора соединен с входами третьего 34 и четвертого 35 компараторов, выходы которых подключены к первым входам первого 38 и второго 39 элементов И соответственно, вторые входы которых соединены с выходами пятого 36 и шестого 37 компараторов соответственно, выход первого элемента И 38 соединен с входом управления седьмого ключа 29 и первым входом второго элемента ИЛИ 40, выход второго элемента И 39 соединен с входом управления шестого ключа 28 и вторым входом второго элемента ИЛИ 40, выход которого подключен к третьему входу блока умножения 41, выход которого соединен с выходом 45 устройства формирования оптимального смещения линий переключения регулятора.
Рассмотрим работу релейного регулятора на примере управления ориентацией космического аппарата. Пусть на вход релейного регулятора поступают сигнал Х (шина 10) углового (позиционного) отклонения космического аппарата и сигнал Y (шина 11) скорости изменения углового отклонения (угловой скорости). Задача релейного регулятора – так формировать сигнал My (выходной сигнал формирователя релейного сигнала с задержкой па выключение 6), чтобы свести сигналы Х и Y в область устойчивого состояния В Х (-h, +h), Y (-b, b), где значения ±h определяют зону нечувствительности релейного регулятора, значения ±b определяют допустимые значения угловой скорости в установившемся состоянии (зону нечувствительности релейного регулятора по угловой скорости).
Релейный регулятор в системе управления описывается следующими соотношениями


где MУ, МВ – управляющий и возмущающий моменты соответственно.
Далее по тексту: Ui(i=1, 2, ) – переменные состояния релейного регулятора (выходные сигналы функциональных блоков с позиционным обозначением i).


где Ui m – фиксированные значения переменных Ui (m – любой индекс). Здесь и далее по тексту: Кi – коэффициенты передачи переменных Ui.
В частности, U2 + и U2 – значения уровней ограничения усилителя 2. Указанные значения определяют положение линий выключения L3 и LH 3 на фазовой плоскости фиг.3. Значение К2 определяет наклон линий выключения L2 и LH 2.




Здесь и далее по тексту: hi, b, – параметры регулятора.





(что означает преобразование релейного сигнала U5 длительностью t5 в релейный сигнал U6 длительностью t6).
Применительно к воздействию на объект управления 12 сигнал U6 является управляющим моментом My. Законы формирования выходного сигнала My релейного регулятора, позволяющие привести в область устойчивого состояния В координаты Х и Y, определяются выражениями (3-13).
Остановимся на характеристиках некоторых элементов блок-схемы. Интегратор с ограничением 9 имеет выходной сигнал U9, ограниченный величиной ±h2 (|h2+h1|=h соответствует зоне нечувствительности релейного регулятора). Уровень срабатывания первого релейного элемента 5±h1 выбирается значительно меньше величины ±h, что позволяет значительно снизить динамические ошибки при действии возмущающих моментов. Уровень выходного сигнала второго релейного элемента 8 выбирается равным ±b (соответствует допустимому значению угловой скорости в установившемся состоянии).
Рассмотрим работу релейного регулятора, предполагая вначале, что выходной сигнал устройства формирования оптимального смещения линий переключения регулятора 13 U13=0. Пусть сигнал Х увеличивается от нуля со скоростью Y4 первого интегратора 4 равен сигналу X, что обеспечивается структурой контура, образованного первым сравнивающим устройством 1, усилителем с ограничением 2, сумматором 3 и первым интегратором 4, а выходной сигнал U7 второго сравнивающего устройства 7 равен нулю, так как выходной сигнал U8 второго релейного элемента 8 обеспечивает точное слежение выходного сигнала U9 второго интегратора 9 за выходным сигналом U4 первого интегратора 4 в соответствии с равенствами


где U0 соответствует U7=0.
В рассматриваемом случае в соответствии с (15) сигнал U7=0 и первый релейный элемент 5 выключен, то есть условия (15) соответствуют режиму установившегося состояния, для которого координаты X, Y В.
Пусть теперь сигнал Х увеличивается от нуля со скоростью Y>b. В этом случае условия (15) не выполняются, сигнал U7 0 и при достижении сигналом U7 значения h1 включается первый релейный элемент 5, формируя выходной сигнал U5, который поступает на второй инвертирующий вход сумматора 3 и вход формирователя 6, выходной сигнал My которого является выходным сигналом регулятора и используется для включения исполнительных двигателей. Формирователь 6 представляет собой релейный элемент с задержкой на выключение: срабатывание формирователя 6 происходит одновременно со срабатыванием первого релейного элемента 5, а выключение – через время после выключения первого релейного элемента 5. С момента срабатывания первого релейного элемента 5 в контуре первое сравнивающее устройство 1, усилитель 2, сумматор 3, первый интегратор 4, второе сравнивающее устройство 7, первый релейный элемент 5 возникает “скользящий режим” [3], для которого характерно переключение первого релейного элемента 5 с частотой fp, определяемой скоростью изменения сигнала Х (угловой скоростью Y). Если fp.>1/ , то выходной сигнал My регулятора непрерывен. Если fp.<1/ , то выходной сигнал My регулятора – релейно-импульсный, частоты fp и длительности . Включение формирователя 6 обеспечивает приведение координат X, Y в область устойчивого состояния В. Выбором наклона и ограничения выходной характеристики усилителя 2 достигаются требуемые параметры линий переключения релейного регулятора, аналогичные параметрам известного решения [2].
Уравнения линий переключения (фиг.3) имеют вид:


 
Рассмотрим работу релейного регулятора при U13 0. Пусть, например, U13=UK. В этом случае релейный регулятор будет формировать сигнал My таким образом, чтобы свести к нулю сигнал U7. Тогда сигнал Х будет равен -UK, что соответствует смещению оси Y и всех линий переключения на фазовой плоскости фиг.3 на величину -UK.
Рассмотрим работу устройства формирования оптимального смещения линий переключения регулятора 13 (фиг.2). На входы устройства 13 поступают сигнал скорости изменения позиционного отклонения Y, выходной сигнал интегратора 4 U4 и выходной сигнал формирователя релейного сигнала My. Первый 20 и второй 21 компараторы формируют соответственно выходные сигналы U– и U+, характеризующие включение двигателя, создающего отрицательный или положительный момент управления. Выходной сигнал первого элемента ИЛИ 22 характеризует отсутствие управляющего момента (My=0). При =1 открыт первый ключ 23, при U+=1 открыты второй 24 и третий 25 ключи, при U–=1 открыты четвертый 26 и пятый 27 ключи. Запишем в операторной форме основные соотношения в соответствии с фиг.2.






где Z – выходной сигнал второго сумматора 18, S – выходной сигнал сравнивающего устройства 14, R – выходной сигнал первого сумматора 16, Yn – выходной сигнал первого интегратора 17, К – коэффициент передачи усилителя 15, B – выходной сигнал второго интегратора 30, y + – выходной сигнал третьего интегратора 31, y – – выходной сигнал четвертого интегратора 32, YS и Т – выходной сигнал и постоянная времени апериодического звена 19, К0 – коэффициент передачи второго 30, третьего 31 и четвертого 32 интеграторов, р d/dt – оператор, Bi – значение B на момент времени ti, при котором =0, + yj – значение сигнала + у на момент времени tj, при котором U+=1, – yk – значение сигнала у – на момент времени tk, при котором U–=1.
В качестве объекта управления рассматриваем космический аппарат, для которого характерно при включении релейного исполнительного двигателя системы управления ориентацией изменение угловой скорости с постоянным угловым ускорением y=const. При отсутствии управляющего воздействия (My=0) на аппарат может действовать постоянный возмущающий момент МB, который создает угловое ускорение B=const. Из (19)-(24) имеем:

Выражение (25) можно представить в виде

Так как то  или р2Y=р3Y 0. С учетом сказанного и (26) установившееся значение сигнала Z=Y. В результате сигнал S=Y-Z=0, сигнал YS=0, сигнал R= , Yn=Y, Иначе говоря, на выходах второго 30, третьего 31 и четвертого 32 интеграторов мы имеем сигналы, определяющие соответственно угловое ускорение B от возмущающего момента, угловое ускорение + у при включении двигателя My=U+=1 и угловое ускорение – y при включении двигателя My=U–=1.
На вход 44 устройства формирования оптимального смещения линий переключения регулятора 13 подается сигнал позиционного отклонения U4 с выхода интегратора 4 (фиг.1). Этот сигнал поступает на входы третьего 34 и четвертого 35 компараторов, которые срабатывают соответственно при U4=h и U4=-h. Сигнал Z с выхода второго сумматора 18 поступает на вход пятого 36 и шестого 37 компараторов, которые срабатывают соответственно при Z=-b, Z=b. В соответствии со схемой фиг.2 выходной сигнал M1 первого элемента И 38, выходной сигнал М2 второго элемента И 39 и выходной сигнал М второго элемента ИЛИ 40 будут равны



Рассмотрим формирование выходного сигнала U13 блоком умножения 41. На вход блока умножения 41 поступают сигналы с выхода третьего сумматора 33, Z с выхода второго сумматора 18 и М с выхода второго элемента ИЛИ 40. В соответствии со схемой фиг.2 сигнал равен

Если M1=0 или М2=0, закрыты соответственно седьмой 29 или шестой 28 ключи. Если M1=1 или M2=1, открыты соответственно седьмой 29 или шестой 28 ключи.
Пусть блок умножения 41 формирует выходной сигнал U13 в соответствии с выражением

Рассмотрим работу релейного регулятора в этом случае. В соответствии со схемой фиг.1 сигнал смещения U13 формируется при нахождении изображающей точки А (фиг.3) во втором или четвертом квадрантах, а при нахождении изображающей точки в первом или в третьем квадрантах сигнал U13=0. Как следует из приведенного выше описания, сигнал U13 производит смещение линий переключения в направлении оси Х на величину – U13. Если изображающая точка А при своем движении по фазовой траектории пересекает линии N (NH), например, в точке a1 с координатами (X1, Y1), то в этой точке выходной сигнал устройства формирования оптимального смещения линий переключения регулятора 13 U13=-X1. Линии N и NH имеют вид


Смещение линий переключения на величину X1 означает, что при движении изображающей точки во втором или четвертом квадрантах включение исполнительного двигателя будет происходить на линии N или NH, а не на линии L1 или линии LH 1, как это происходит в известном регуляторе [2]. При включении двигателя в точке a1 (фиг.3) сигнал U13 будет изменяться в соответствии с (31), что приводит к непрерывному включению двигателя и изображающая точка будет двигаться по траектории N в область устойчивого состояния В. Траектория N (NH) является траекторией оптимального движения по быстродействию изображающей точки в область устойчивого состояния В. Устройство формирования оптимального смещения линий переключения регулятора 13 обеспечивает выход изображающей точки на оптимальную траекторию N (NH). В известном регуляторе [2] движение изображающей точки А в область устойчивого состояния происходит по траектории

Предлагаемый релейный регулятор обеспечивает движение изображающей точки из положения А в область устойчивого состояния В по траектории

Оценим эффективность предлагаемого релейного регулятора. Определим вначале время переходного процесса ТП – время движения изображающей точки А в область устойчивого состояния В для предлагаемого и известного [2] регулятора. Пусть | |=| + y|=| – у|=0,2°/с, B=-0,05°/c, K2=0,5 с-1. |U2 –|=|U2 +|=4°/с, h1=0,1°. Пусть координата Y точки А равна YA=5°/с и точка А движется по траектории А а a1 при включенном двигателе, который создает угловое ускорение + у. Уравнение фазовой траектории А а a1 имеет вид

где Х0 и Y0 координаты точки а (0,1°, 5°/с), = + у+ в=-0,25°/с2. Координаты точки a1 (X1, Y1) определяются решением уравнений (32) и (36). Координаты точки a1 X1=31,5°, Y1=3°/c, координаты точки а2 Х2=18°, Y2=4°/с.
При достижении изображающей точкой положения а2 дальнейшее ее движение (в системе с известным регулятором) происходит по линии L3 до положения а3, где пересекаются линии L2 и L3. В этой точке выключается управление My=U+=1 (My=0) и в виду малости величины h1 практически в этой точке происходит включение управления My=U–=1, при этом формируется угловое ускорение = – y+ B=0,15°/с2. дальнейшее движение изображающей точки по траектории а3 а4. Уравнение траектории имеет вид (36) при условии

где Х3, Y3 координаты точки а3. Координаты точки а4 Х4, Y4 могут быть получены решением уравнений (33), (36) при условии (37). Эти координаты равны Х4=-6,8°, Y4=3,4°/с.
В соответствии с изложенным дальнейшее движение изображающей точки по траектории а4 a5, затем по траектории а5 а6 и далее по траектории а6 В. Координаты точек a5 X5, Y5 и a6 X6, Y6 равны

Как было сказано выше, траектория движения изображающей точки предлагаемого релейного регулятора имеет вид (35), а известного регулятора имеет вид (34). Время T1 движения изображающей точки по траектории А a1 a0 определим в виде
 
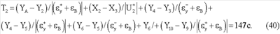
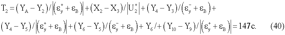
Определим время Т2 движения изображающей точки А в область устойчивого состояния В для известного регулятора [2]. Движение изображающей точки А происходит по траектории (34) и время Т2 можно определить в виде


Таким образом, время T1 движения изображающей точки А в область устойчивого состояния В в системе с предлагаемым регулятором равно 40 с, время Т2 движения изображающей точки А в область устойчивого состояния В в системе с известным регулятором [2] равно 147 с.
Оценим расходы рабочего тела Q переходного процесса с использованием предлагаемого и известного регуляторов. Расход рабочего тела Q можно определить в виде Q=q Т, где q – расход рабочего тела в течение одной секунды при включенном двигателе.
Расход рабочего тела Q1 в системе с предлагаемым регулятором и расход рабочего тела Q2 в системе с известным регулятором будут равны

Сравним Q1 и Q2. Q2/Q1=Т2/T1=147/40=3,7
Таким образом, расход рабочего тела Q2 в системе с известным регулятором равен в 3,7 раза выше, чем расход рабочего тела Q1 в системе с предлагаемым регулятором.
Предлагаемая совокупность признаков в рассмотренных авторами решениях не встречалась для решения поставленной задачи и не следует явным образом из уровня техники, что позволяет сделать вывод о соответствии технического решения критериям “новизна” и “изобретательский уровень” В качестве элементов для реализации устройства могут быть использованы стандартные элементы: усилители, интеграторы, релейные элементы, сравнивающие устройства, сумматоры, элементы И, элементы ИЛИ, ключи, множительные устройства.
Литература
1. RU. Патент 2115150, кл. G05В 11/14, 13/02, 11/01, 1998.
2. RU. Патент 2223528, кл. G05В 11/14, 2004 (прототип).
3. Уткин В.И. Скользящие режимы и их применение в системах с переменной структурой. М.: Наука, 1981, с.33-240.
Формула изобретения
1. Релейный регулятор, содержащий последовательно соединенные шину сигнала позиционного отклонения, первое сравнивающее устройство, усилитель с ограничением, сумматор, интегратор, второе сравнивающее устройство, первый релейный элемент и формирователь релейного сигнала с задержкой на выключение и последовательно соединенные второй релейный элемент и второй интегратор с ограничением, выход которого подключен к инвертирующему входу второго сравнивающего устройства, при этом, выход интегратора соединен с инвертирующим входом первого сравнивающего устройства, выход первого релейного элемента соединен с инвертирующим входом сумматора, выход второго сравнивающего устройства соединен с входом второго релейного элемента, шина сигнала скорости изменения позиционного отклонения соединена со вторым неинвертирующим входом сумматора, отличающийся тем, что в него дополнительно введено устройство формирования оптимального смещения линий переключения регулятора, первый вход которого соединен с выходом формирователя релейного сигнала с задержкой на выключение, второй вход соединен с шиной сигнала скорости изменения позиционного отклонения, третий вход соединен с выходом интегратора, а выход устройства формирования оптимального смещения линий переключения регулятора соединен со вторым неинвертирующим входом второго сравнивающего устройства.
2. Релейный регулятор по п.1, отличающийся тем, что устройство формирования оптимального смещения линий переключения регулятора содержит сравнивающее устройство, с первого по четвертый интеграторы, с первого по седьмой ключи, с первого по шестой компараторы, первый, второй и третий сумматоры, усилитель, апериодическое звено, первый и второй элементы И, первый и второй элементы ИЛИ и блок умножения, при этом соединены последовательно сравнивающее устройство, усилитель, первый сумматор, первый интегратор и второй сумматор, также соединены последовательно первый ключ и второй интегратор, второй ключ, третий интегратор и третий ключ, четвертый ключ, четвертый интегратор и пятый ключ, выход второго сумматора соединен с входом пятого и шестого компараторов, с первым входом блока умножения и инвертирующим входом сравнивающего устройства, вход которого соединен со вторым входом устройства формирования оптимального смещения линий переключения регулятора, первый вход которого соединен с входами первого и второго компаратора, выход которого соединен с первым входом первого элемента ИЛИ и входами управления второго и третьего ключей, выход первого компаратора соединен со вторым входом первого элемента ИЛИ и входами управления четвертого и пятого ключей, инверсный выход первого элемента ИЛИ соединен с входом управления первого ключа, выход сравнивающего устройства соединен с сигнальными входами первого, второго и четвертого ключей и входом апериодического звена, выход которого подключен ко второму входу второго сумматора, выход второго интегратора соединен со вторым входом первого сумматора и первым входом третьего сумматора, выход третьего ключа соединен с третьим входом первого сумматора, выход третьего интегратора соединен с сигнальным входом шестого ключа, выход которого подключен ко второму входу третьего сумматора, выход пятого ключа соединен с четвертым входом первого сумматора, выход четвертого интегратора соединен с сигнальным входом седьмого ключа, выход которого соединен с третьим входом третьего сумматора, выход которого соединен с вторым входом блока умножения, третий вход устройства формирования оптимального смещения линий переключения регулятора соединен с входами третьего и четвертого компараторов, выходы которых подключены к первым входам первого и второго элементов И соответственно, вторые входы которых соединены с выходами пятого и шестого компараторов соответственно, выход первого элемента И соединен с входом управления седьмого ключа и первым входом второго элемента ИЛИ, выход второго элемента И соединен с входом управления шестого ключа и вторым входом второго элемента ИЛИ, выход которого подключен к третьему входу блока умножения, выход которого соединен с выходом устройства формирования оптимального смещения линий переключения регулятора.
РИСУНКИ
|
|