|
|
(21), (22) Заявка: 2008123619/03, 10.06.2008
(24) Дата начала отсчета срока действия патента:
10.06.2008
(43) Дата публикации заявки: 20.12.2009
(46) Опубликовано: 10.08.2010
(56) Список документов, цитированных в отчете о поиске:
RU 2299322 C1, 20.05.2007. RU 2225507 C1, 10.03.2004. RU 2220282 C1, 27.12.2003. RU 2157888 C1, 20.10.2000. RU 69143 U1, 10.12.2007. RU 66420 U1, 10.09.2007. SU 1553661 A1, 30.03.1990. SU 1437495 A1, 15.11.1988. SU 1620622 A1, 15.01.1991. US 5535632 A, 16.07.1996. EP 0615112 A1, 14.09.1994. US 5394339 A, 28.02.1995. ИСАКОВИЧ Р.Я. и др.Автоматизация производственных процессов нефтяной и газовой промышленности. – М.: Недра, 1983, с.314-334.
Адрес для переписки:
625003, г.Тюмень, ул. Военная, 44, ОАО “Нефтемаш”, Н.М. Милютиной
|
(72) Автор(ы):
Милютин Леонид Степанович (RU), Котлов Валерий Витальевич (RU), Демьянов Валерий Митрофанович (RU), Гебель Тамара Алексеевна (RU)
(73) Патентообладатель(и):
Открытое акционерное общество “Нефтемаш” (RU)
|
(54) СПОСОБ ОПРЕДЕЛЕНИЯ ОБВОДНЕННОСТИ ПРОДУКЦИИ НЕФТЯНЫХ СКВАЖИН “ОХН++”
(57) Реферат:
Изобретение относится к нефтедобыче и может быть использовано для оперативного учета дебитов продукции нефтяных и газоконденсатных скважин в системах герметизированного сбора. Способ определения обводненности жидкости в продукции нефтяных скважин заключается в том, что представительную пробу жидкости, содержащейся в вертикальном цилиндрическом сосуде, доводят отстоем, обработкой химреагентами и нагревом до состояния, по крайней мере, неполного расслоения на нефть и воду. Измеряют высоту столба жидкости, гидростатическое давление, а затем в процессе опорожнения этого сосуда производят непрерывные измерения гидростатического давления и высоты столба жидкости. Плотности воды и нефти в составе жидкости определяют как частное от деления разности максимального и текущего перепадов гидростатического давления и соответствующей разности высот столба жидкости в начале и конце опорожнения. Накапливают массив данных. Строят график зависимости плотности сливаемой жидкости от высоты столба жидкости или времени опорожнения. Выбирают в пределах верхнего и нижнего горизонтальных линейных участков плотности соответственно воды и нефти. По выбранным значениям плотностей воды и нефти определяют массовую обводненность продукции скважины. Техническим результатом является упрощение алгоритма определения плотностей воды и нефти в составе продукции скважины, повышение точности измерения высокой и низкой обводненности продукции скважины. 2 з.п. ф-лы, 3 ил.
Изобретение относится к нефтедобыче и может быть использовано для оперативного учета дебитов продукции нефтяных и газоконденсатных скважин в системах герметизированного сбора.
Известен способ определения обводненности жидкости в продукции нефтяных скважин, согласно которому измерительную емкость после «продувки» наполняют продукцией скважины в течение предварительно назначенного с учетом максимальной производительности устройства времени, по истечении назначенного времени поступление продукции скважины в измерительную емкость прекращают, частично отсепарированную продукцию скважины, содержащуюся в резервуаре уровнемера измерительной емкости, обрабатывают химреагентами и нагревают, выдерживают до состояния расслоения на нефть и воду, затем измеряют высоту столба жидкости, гидростатическое давление и температуру, производят расчет производительности по жидкости, а затем по взаиморасположению линий раздела сред жидкость – газ и вода – нефть судят об объемном значении обводненности, а массовое соотношение вода-нефть определяют, применяя значения плотностей воды и нефти, измеренных в резервуаре уровнемера при сливе расслоенной продукции скважины, при этом плотность воды определяют до полного ухода воды из резервуара уровнемера при его опорожнении путем деления разности гидростатических давлений столба жидкости в резервуаре уровнемера до и после ухода части водяного столба на разность соответствующих уровней этого столба жидкости, а плотность нефти определяют после полного ухода воды из резервуара уровнемера при его опорожнении после возобновления поступления продукции скважины в измерительную емкость путем деления значения гидростатического давления, оставшегося на момент замера столба жидкости, на его высоту [RU патент на изобретение 2299322, Е21В 47/10].
Недостатками этого способа являются многоступенчатость и необходимость контролируемого полноценного расслоения продукции скважины на нефть и воду.
Задача предлагаемого технического решения – упростить алгоритм определения плотностей воды и нефти в составе продукции скважины и сделать возможным измерения как очень высокой, так и очень низкой обводненности продукции скважины.
Это достигается тем, что в способе определения обводненности жидкости в продукции нефтяных скважин, заключающемся в том, что представительную пробу жидкости, содержащейся в вертикальном цилиндрическом сосуде, доводят отстоем, обработкой химреагентами и нагревом до состояния, по крайней мере, неполного расслоения на нефть и воду, измеряют высоту столба жидкости, гидростатическое давление, а затем в процессе опорожнения этого сосуда производят непрерывные измерения гидростатического давления и высоты столба жидкости, плотность воды определяют как частное от деления разности максимального и текущего перепадов гидростатического давления и соответствующей разности высот столба жидкости, дополнительно определяют плотность нефти, определяют массовую обводненность продукции скважины, согласно изобретению плотности воды и нефти в составе жидкости определяют как частное от деления разности максимального и текущего перепадов гидростатического давления и соответствующей разности высот столба жидкости в начале и конце опорожнения, накапливают массив данных, строят график зависимости плотности сливаемой жидкости от высоты столба жидкости или времени опорожнения, выбирают в пределах верхнего и нижнего горизонтальных линейных участков плотности соответственно воды и нефти, а массовую обводненность продукции скважины определяют по выбранным значениям плотностей воды и нефти.
В случаях, когда обводненность продукции скважины велика, и точность измерения плотности нефти низкая, после наполнения вертикального цилиндрического сосуда на основе применения лабораторных значений плотности нефти и воды производят предварительную оценку обводненности, из сосуда сливают только воду, измеряют ее плотность, снова наполняют сосуд продукцией скважины, многократно повторяют эту операцию накопления нефти до приемлемого уровня, а затем измеряют плотность нефти.
В случаях, когда обводненность продукции скважины мала и точность измерения плотности воды низкая, применяют лабораторное значение плотности воды.
Получение плотности воды и нефти в составе жидкости как частное от деления разности максимального и текущего перепадов гидростатического давления и соответствующей разности высот столба жидкости в начале и конце опорожнения позволяет избежать промежуточных процедур и упростить алгоритм определения плотностей воды и нефти в составе продукции скважины.
Выбор значений плотности воды и нефти из массива полученных данных в начале и конце опорожнения при условии, что их значения расположены на прямолинейных горизонтальных участках графика зависимости плотности сливаемой жидкости от высоты столба жидкости или времени опорожнения, дает возможность по наличию прямолинейных горизонтальных участков графика подтвердить факт по крайней мере, неполного расслоения жидкости на чистую нефть и чистую воду.
Накопление нефти до приемлемого уровня в случаях, когда обводненность продукции скважины велика, путем многократного повторения циклов «неполный слив – наполнение» позволяет повысить и точность измерения плотности нефти.
Применение лабораторных значений плотности воды в случаях, когда обводненность продукции скважины мала, позволяет определять обводненность продукции скважины с достаточной точностью, поскольку вода практически не растворяет нефть и ее лабораторное значение плотности отличается от измеренного незначительно.
На чертежах изображено одно из возможных устройств, реализующих предложенный способ.
На фиг.1 изображена схема устройства, реализующего предложенный способ, на фиг.2 – вид сверху на нижний лоток газового сепаратора, на фиг.3 – график зависимости плотности сливаемой жидкости от высоты столба жидкости или от времени.
Устройство содержит газовый сепаратор 1, измерительную емкость 2, двухуровневый уровнемер 3, резервуар 4 уровнемера 3, систему подогрева 5 содержимого резервуара 4 уровнемера 3, запорный клапан 6 с электроприводом, дозатор подачи химреагентов 7 в резервуар 4 двухуровневого уровнемера 3, указатель перепада давлений 8 резервуара 4 уровнемера 3, указатель перепада давлений 9 измерительной емкости, нижний датчик (мембрана) 10 указателя перепада давлений измерительной емкости 2, верхний датчик (мембрана) 11 указателя перепада давлений измерительной емкости 2, датчик температуры 12 резервуара 4 уровнемера 3, датчик температуры 13 измерительной емкости 2, датчик избыточного давления 14, переключатель потока 15, плоское днище 16 измерительной емкости 2, сливную жидкостную линию 17, клапан обратный 18, вход 19 из скважины в газовый сепаратор 1, выход 20 в коллектор, газопровод 21, нижний сепарационный лоток 22, патрубок отбора потока 23 системы приоритетного минимума подачи, барьер 24 системы приоритетного минимума подачи, воронку 25 системы приоритетного минимума подачи, трубу 26 системы приоритетного минимума подачи, 27 – поверхность раздела нефть – газ, 28 – поверхность раздела нефть – вода при полном расслоении скважинной жидкости на нефть и воду, 29 – переходная водонефтяная зона при неполном расслоении скважинной жидкости на нефть и воду, 30 – участок, соответствующий переходной водонефтяной зоне 29 при неполном расслоении скважинной жидкости на нефть и воду, 31 – интерполяционные продолжения прямолинейных отрезков графиков зависимости гидростатического давления от высоты столба жидкости или от времени.
Система приоритетного минимума подачи, состоящая из патрубка отбора потока 23, барьера 24 и трубы 26 с расположенной сверху воронкой 25, при любых дебитах обеспечивает гарантированное поступление определенного количества продукции скважины на дно измерительной емкости 2 в зону, где происходит переток продукции скважины в резервуар 4 уровнемера 3. Элементы системы приоритетного минимума подачи имеют расчетную ограниченную пропускную способность и организованы так, что избыток потока переливается через барьер 24 и воронку 25 и движется согласно общей схеме сепарации. При этом, если производительность скважины близка к нижнему пределу измерений устройства, то практически весь поток проходит через систему приоритетного минимума подачи, но когда производительность скважины велика, то, напротив, большая часть потока движется согласно общей схеме сепарации.
С некоторым снижением точности устройство может работать и при отсутствии указателя перепада давлений 8 резервуара 4 уровнемера 3.
Способ реализуется, например, следующим образом.
В принцип работы устройства заложен гидростатический метод измерения массы, основанный на зависимости гидростатического давления Р столба жидкости высотой Н от плотности жидкости 

где g – ускорение свободного падения.
Перед началом процедуры замера производят «продувку» системы сепаратор – измерительная емкость – резервуар уровнемера, при этом переключатель потока 15 и открытый запорный клапан 6 обеспечивают свободное истечение продукции скважины через систему емкостей в коллектор.
В начале процедуры замера переключатель потока 15 ставят в положение “наполнение”, и продукция скважины через газовый сепаратор 1 поступает в измерительную емкость 2. При этом переключателем потока 15 газопровод 21 соединен с коллектором 20, а сливная жидкостная линия 17 перекрыта. Одновременно с наполнением измерительной емкости 2 резервуар 4 уровнемера 3 нагревают системой подогрева 5 (например, горячей жидкостью) и в поток жидкости, идущий в этот резервуар снизу, при помощи дозатора подачи химреагентов 7 вводят деэмульгатор и пеногаситель. В момент соприкосновения поднимающейся поверхности частично отсепарированной продукции скважины с верхним датчиком (мембраной) 11 указателя перепада давлений 9 переключатель потока 15 ставят в положение “слив”, открывая жидкостную 17 и закрывая газовую 21 линии, и закрывают запорный клапан 6.
Плотность частично отсепарированной жидкости в измерительной емкости равна

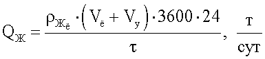
Дебит скважины по жидкости определяется по следующей формуле:

где Vё – объем измерительной ёмкости 2 в интервале от нижнего 10 до верхнего 11 датчиков указателя перепада давлений 9 (определяется при появлении сигнала от верхнего датчика 11);
Vу – объем резервуара уровнемера в интервале от нижнего 10 до верхнего 11 датчиков указателя перепада давлений 9 (определяется при появлении сигнала от верхнего датчика 11);
– время наполнения измерительной ёмкости 2 в интервале от нижнего 10 до верхнего 11 датчиков указателя перепада давлений 9.
После закрытия запорного клапана 6 (положение “отстой”) наполнение резервуара 4 уровнемера 3 прекращается, и продукция скважины начинает отстаиваться в резервуаре 4 уровнемера 3 до состояния полного отсутствия пузырькового газа, оседания пены и, по крайней мере, неполного расслоения жидкости на нефть и воду. Отстой продолжают, по крайней мере, до момента прекращения изменений показаний положения раздела сред жидкость – газ 27 уровнемера 3, который регистрирует одновременно положение поверхностей раздела сред жидкость – газ 27 и нефть – вода 28, или, если расслоение происходит быстро, – до появления поверхности раздела нефть – вода 28.
Определяют плотность жидкости в резервуаре 4 уровнемера 3

Затем переключатель потока 15 ставят в положение “слив”, когда вход из скважины 19 соединен с газовым сепаратором 1, а сливная жидкостная линия 17 соединена с коллектором 20, при этом газопровод 21 перекрыт.В таком положении жидкость начинает вытесняться из измерительной емкости 2.
В процессе вытеснения газом объема Vё жидкости фиксируется время вытеснения г и среднее значение избыточного давления Р и температуры газа t°.
Дебит скважины по газу определяется, например, по следующему алгоритму:

где P – среднее значение избыточного давления газа в измерительной емкости 2, измеренного датчиком 14;
t° – температура газа, С°;
K – коэффициент сжимаемости.
При этом одновременно открывают запорный клапан 6 и с максимально доступной частотой производят измерения уровней жидкости Hi, а также соответствующие им гидростатические давления Pi, производят расчет мгновенных плотностей воды и нефти в составе истекающей из резервуара жидкости по формуле

накапливают массив данных и строят график зависимости плотности сливаемой жидкости от высоты столба жидкости или от времени.
Далее в пределах верхнего и нижнего прямолинейных участков выбирают плотности соответственно воды и нефти и рассчитывают массовую обводненность:
.
В случае, когда слив происходит при открытом запорном клапане 6, формула дебита скважины по газу приобретает вид
.
Дебит скважины по нефти: .
Дебит скважины по воде: Qв=Qж-Qн т/сут.
В период, когда запорный клапан 6 закрыт и происходит отстой продукции скважины в резервуаре 4 уровнемера 3, измерение дебита по жидкости производят, применяя следующую формулу:

В случаях, когда обводненность продукции скважины велика и точность измерения плотности нефти низкая, после наполнения вертикального цилиндрического сосуда на основе применения лабораторных значений плотности нефти и воды производят предварительную оценку обводненности, из сосуда сливают только воду, измеряют ее плотность, снова наполняют сосуд продукцией скважины, многократно повторяют эту операцию накопления нефти до приемлемого уровня, а затем измеряют плотность нефти.
В случаях, когда обводненность продукции скважины мала и точность измерения плотности воды низкая, применяют лабораторное значение плотности воды, при этом точность измерения плотностей воды и нефти в составе жидкости в значительной степени определяется погрешностью контроллера измерительной установки, а также формой и размерами вертикального цилиндрического сосуда.
Предлагаемый способ за счет сокращения количества промежуточных манипуляций с массивом данных позволяет достаточно эффективно упростить алгоритм и понизить требования к контроллеру измерительной установки. Кроме того, он делает возможным измерение как очень высокой, так и очень низкой обводненности.
Формула изобретения
1. Способ определения обводненности жидкости в продукции нефтяных скважин, заключающийся в том, что представительную пробу жидкости, содержащейся в вертикальном цилиндрическом сосуде, доводят отстоем, обработкой химреагентами и нагревом до состояния, по крайней мере, неполного расслоения на нефть и воду, измеряют высоту столба жидкости, гидростатическое давление, а затем в процессе опорожнения этого сосуда производят непрерывные измерения гидростатического давления и высоты столба жидкости, плотность воды определяют как частное от деления разности максимального и текущего перепадов гидростатического давления и соответствующей разности высот столба жидкости, дополнительно определяют плотность нефти, определяют массовую обводненность продукции скважины, отличающийся тем, что плотности воды и нефти в составе жидкости определяют как частное от деления разности максимального и текущего перепадов гидростатического давления и соответствующей разности высот столба жидкости в начале и конце опорожнения, накапливают массив данных, строят график зависимости плотности сливаемой жидкости от высоты столба жидкости или времени опорожнения, выбирают в пределах верхнего и нижнего горизонтальных линейных участков плотности соответственно воды и нефти, а массовую обводненность продукции скважины определяют по выбранным значениям плотностей воды и нефти.
2. Способ по п.1, отличающийся тем, что в случаях, когда обводненность продукции скважины велика и точность измерения плотности нефти низкая, после наполнения вертикального цилиндрического сосуда на основе применения лабораторных значений плотности нефти и воды производят предварительную оценку обводненности, из сосуда сливают только воду, измеряют ее плотность, снова наполняют сосуд продукцией скважины, многократно повторяют эту операцию накопления нефти до приемлемого уровня, а затем измеряют плотность нефти.
3. Способ по п.1, отличающийся тем, что в случаях, когда обводненность продукции скважины мала и точность измерения плотности воды низкая, применяют лабораторное значение плотности воды.
РИСУНКИ
|
|