Патент на изобретение №2396299
|
|||||||||||||||||||||||||||||||||||||||||||||||||||||||||||||||||||||||||||||||||||||||||||||||||||||||||||||||||||||||||||||||||||||||||||||||||||||||||||||||||||||||||||||||||||||||||||||||||||||||||||||||||||||||||||||||||||||||||||||||||||||||||||||||||||||||||||||||||||||||||||||||||||||||||||||||||||||||||||||||||||||||||||||||||||||||||||||||||||||||||||||||||||||
(54) КОМПОЗИЦИЯ АНТИКОРРОЗИОННОГО ПОКРЫТИЯ В ВОДНОЙ ДИСПЕРСИИ, СОДЕРЖАЩАЯ ОРГАНИЧЕСКИЙ ТИТАНАТ
(57) Реферат:
Изобретение относится к композиции антикоррозионного покрытия для металлических деталей на основе частиц металла в водной дисперсии, основанной на частицах металла в водной дисперсии, содержащей органический титанат от 0,3 до 24%, частицы металла или смесь частиц металлов от 10 до 40%, связующее на основе силана от 1 до 25%, воду – недостающее количество до 100% при условии, что сумма органического титаната и связующего на основе силана составляет от 5 до 25%. Изобретение также относится к антикоррозионному покрытию металлических деталей, полученному из композиции для покрытия согласно изобретению, а также металлической подложке, на которую наносят это антикоррозионное покрытие путем распыления, пропитки-дренажа или пропитки-центрифугирования, причем слой покрытия затем подвергают термообработке, предпочтительно при температуре от 180°С до 350°С, в течение от 10 до 60 минут в результате подвода тепловой энергии таким путем, как конвекция или инфракрасное излучение, или в течение от 30 секунд до 5 минут путем электромагнитной индукции. Кроме того, изобретение относится к водной композиции C1-C8 тетраалкилтитаната, предназначенной для получения композиции покрытия металлической подложки в водной дисперсии, полученной из водорастворимого органического растворителя, связующего, содержащего силан, имеющий в своей структуре, по меньшей мере, одну функциональную группу, гидролизуемую в гидроксильную группу, и воды, а также к применению для предварительной обработки адгезивов или покрытий, для последующей обработки в качестве уплотнителя на основе металлических частиц, при пассивировании подложек на основе стали, цинка, алюминия или стали, имеющей покрытие на основе цинка, или в добавке для улучшения адгезии покрытий или адгезивов в водной фазе. 5 н. и 19 з.п. ф-лы, 11 табл.
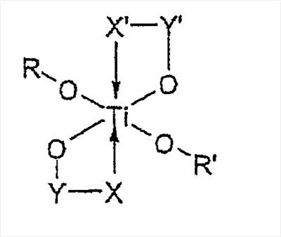
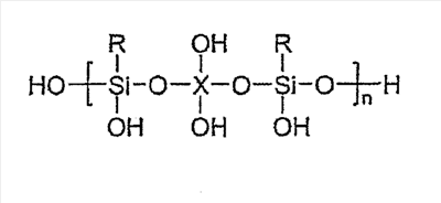
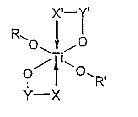
Настоящее изобретение относится к композиции антикоррозионного покрытия для металлических деталей, основанной на частицах металла в водной дисперсии, которая содержит органический титанат или цирконат, совместимый с водной фазой или с органической фазой, необязательно связующее на основе силана и воду. В рамках настоящего изобретения выражения “титанат(ы), совместимый с органической фазой”, и “цирконат(ы), совместимый с органической фазой”, подразумевают всякий органический титанат и цирконат, не совместимый с водой, иначе говоря, не растворимый в водной композиции и который кроме этого является чувствительным к влаге и воде (реакция гидролиза). В рамках настоящего изобретения выражения “титанат(ы), совместимый с водной фазой”, и “цирконат(ы), совместимый с водной фазой”, подразумевают всякий органический титанат и цирконат, совместимый с водой, иначе говоря, растворимый, или эмульгируемый, или диспергируемый в водной композиции. Это обычно органические титанаты и цирконаты, которые были стабилизированы за счет хелатообразования. Их также называют “хелатированный (органический) титанат(ы)” и “хелатированный (органический) цирконат(ы)”. Органические титанаты, так же как и органические цирконаты, совместимые с органической фазой, могут быть использованы в безводных композициях в качестве катализаторов, реагентов для образования сетчатой структуры, средств для обработки поверхности, промоторов адгезии или антикоррозионных добавок. Однако эти органические титанаты, так же как и органические цирконаты, имеют недостаток, так как они очень чувствительны к воде и влаге и быстро гидролизуются. Например, в случае гидролиза тетра-н-бутилтитаната протекают следующие реакции: 1) превращение органического титаната в гидратированный оксид титана Ti(OH)4: Ti(OC4H9)4+4H2O 2) затем образование диоксида титана TiO2: Ti(OH)4 Для того чтобы избежать образования диоксида титана, титанаты и цирконаты, совместимые с органической фазой, должны применяться в силу этого в исключительно безводных условиях. Поэтому для предотвращения гидролиза органического титаната в диоксид титана при контакте с воздухом, влагой или следами воды при получении безводных композиций, содержащих титанат или цирконат, совместимый с органической фазой, следуют очень строгим мерам предосторожностей. Влагостойкость титанатов и цирконатов, совместимых с органической фазой, может быть улучшена путем замещения двух алкоксильных групп хелатообразующими реагентами. Эти хелатообразующие реагенты содержат функциональные группы, включающие атомы кислорода или азота, которые обычно стабилизируют органический титанат или цирконат. Эти органические титанаты или цирконаты в хелатной форме могут также растворяться в воде, предпочтительно в присутствии слабой кислоты, такой как уксусная кислота. Например, в патенте США 4495156 описаны титанаты в водной хелатной форме (TYZOR® AA, который является титанатом, совместимым с органической фазой, TYZOR® LA и TYZOR® TE, которые являются титанатами, совместимыми с водной фазой), обеспечивающие содержащей их композиции повышение адгезии к подложке. Скорость гидролиза органических титанатов и цирконатов зависит от размера и сложности строения алкильной группы (чем больше размер алкильной группы, тем ниже скорость гидролиза). Именно по этой причине органические титанаты и цирконаты в хелатной форме менее чувствительны к гидролизу, чем тетраалкилтитанаты или тетраалкилцирконаты. В патенте США 4224213 описаны композиции покрытий, содержащих алкилсиликат с короткой цепью формулы Si(OR)4, алкилтитанат или алкилцирконат с короткой цепью и частицы цинка. Эта композиция покрытия превращается в сетчатую структуру в результате реакции силиката и титаната с влагой воздуха. Примеры этого патента приводят к выводу, что добавление силиката позволяет улучшить влагостойкость органических титанатов. Эта композиция покрытия является органической композицией, которая не содержит воды. Силикат в отличие от силана не обеспечивает адгезию содержащей его композиции к подложке. В Европейском патенте 0808883 описана предназначенная для нанесения на подложку водная композиция покрытия на основе частиц металла, не содержащего хром. Эту композицию после нанесения на подложку подвергают отвердеванию при нагревании, для того чтобы обеспечить указанной подложке защиту против коррозии. Для того чтобы повысить устойчивость этой подложки с покрытием к коррозии, подложка с уже нанесенным покрытием может необязательно быть покрыта дополнительным слоем, содержащим, например, диоксид кремния. Удивительно, но авторам изобретения удалось ввести в водную композицию органические титанаты и/или органические цирконаты независимо от того, находятся ли они в хелатной или нехелатной форме и совместимы они или не совместимы с водной фазой. Они также обнаружили, что нанесение на металлическую подложку водной композиции покрытия на основе частиц металла, содержащей органические титанаты и/или органические цирконаты, позволяет повысить коррозионную стойкость подложки. Для того чтобы получить существенные антикоррозионные результаты, подложка, покрытая такой композицией, не нуждается ни в каком дополнительном слое антикоррозионного покрытия. Кроме того, получается покрытие, обладающее очень хорошими показателями по гибкости и сопротивлению ударам, что особенно важно в случае антикоррозионного покрытия для болтов. Настоящее изобретение относится к композиции антикоррозионного покрытия металлических деталей на основе частиц металла в водной дисперсии, содержащей следующие составляющие (массовые проценты): – органический титанат и/или цирконат: от 0,3 до 24%; – частицы металла или смесь частиц металлов: от 10 до 40%; – связующее на основе силана: от 1 до 25%; – вода: недостающее количество до 100%; при условии, что сумма органического титаната и/или органического цирконата и связующего на основе силана составляет от 5 до 25%. Предпочтительно, чтобы композиция содержала от 0,5 до 19% по массе от суммарной массы композиции органического титаната и/или цирконата и от 1 до 20% по массе от суммарной массы композиции связующего на основе силана при условии, что сумма органического титаната и/или цирконата и связующего на основе силана составляет от 7 до 20% по массе от суммарной массы композиции. Органические титанаты могут быть выбраны из группы, состоящей из органических титанатов, совместимых с органической фазой, и органических титанатов, совместимых с водной фазой. Предпочтительно, чтобы титанаты, совместимые с органической фазой, являлись C1-C8 тетраалкилтитанатами, которые могут быть представлены следующей формулой (I’): в которой R1, R2, R3 и R4 независимо представляют необязательно замещенный C1-C8 алкильный радикал. Предпочтительно, чтобы C1-C8 тетраалкилтитанат выбирали из группы, содержащей тетраэтилтитанат (TET, Ti(OC2H5)4), тетра-н-бутилтитанат (TnBT, Ti(OC4H9)4) и октиленгликольтитанат (OGT, Ti(O2C8H17)4). Органические титанаты, совместимые с органической фазой, могут также быть органическими титанатами в хелатной форме, не совместимые с водой. В качестве примеров органических титанатов в хелатной форме, не совместимых с водой (совместимых с органической фазой), можно особо упомянуть те, которые производятся фирмой Dupont de Nemours под торговой маркой TYZOR® AA (ацетилацетонат титана) или TYZOR® DC (диизопропоксибисэтилацетоацетатотитанат). Предпочтительно, чтобы титанаты, совместимые с водной фазой, являлись хелатированными титанатами, которые могут быть представлены следующей общей формулой (II’): в которой R и R’ независимо один от другого необязательно представляют C1-C8 алкильный радикал, X и X’ независимо представляют функциональную группу, содержащую атом кислорода или азота, и Y и Y’ независимо представляют углеводородную цепь, имеющую от 1 до 4 углеродных атомов. X и X’ преимущественно представляют аминный или лактатный радикал. Предпочтительно, чтобы органический титанат в хелатной форме, совместимый с водной фазой, выбирали из группы, состоящей из триэтаноламинтитанатов (TYZOR® TE и TEP, выпускаемые фирмой Dupont de Nemours). В качестве примера органических титанатов в хелатной форме, совместимых с водной фазой, можно особо упомянуть те, которые производятся фирмой Dupont de Nemours под торговой маркой TYZOR® TA (алканоламинтитанат в хелатной форме) и TYZOR® LA (хелат титана с молочной кислотой). Органический цирконат может быть выбран из группы, состоящей из цирконатов, совместимых с органической фазой, и цирконатов, совместимых с водной фазой. Предпочтительно, чтобы органические цирконаты, совместимые с органической фазой, являлись C1-C10 тетраалкилцирконатами, которые могут быть представлены следующей формулой (I): в которой R1, R2, R3 и R4 независимо представляют необязательно замещенный C1-С10 алкильный радикал. Предпочтительно, чтобы C1-С10 тетраалкилцирконат выбирали из группы, состоящей из тетра-н-пропилцирконата и тетра-н-бутилцирконата. Органические цирконаты, совместимые с органической фазой, могут также быть органическими цирконатами в хелатной форме, не совместимыми с водой. В качестве примера органического цирконата в хелатной форме, не совместимого с водой (совместимого с органической фазой), можно особо упомянуть те, которые производятся фирмой Dupont de Nemours под торговой маркой TYZOR® ZEC (хелатированный диэтилцитратцирконат). Предпочтительно, чтобы органические цирконаты, совместимые с водной фазой, являлись хелатированными цирконатами, которые могут быть представлены следующей общей формулой (II): в которой R и R’ независимо друг от друга представляют необязательно замещенный C1-С10 алкильный радикал, X и X’ независимо представляют функциональную группу, содержащую атом кислорода или азота, и Y и Y’ независимо представляют углеводородную цепь, имеющую от 1 до 4 углеродных атомов. Предпочтительно, чтобы X и X’ представляли аминный радикал. Предпочтительно, чтобы хелатированный органический цирконат был триэтаноламинцирконатом (TYZOR® TEAZ, выпускаемым фирмой Dupont de Nemours). В качестве примера органического цирконата в хелатной форме, совместимого с водной фазой, можно особо упомянуть те, которые производятся фирмой Dupont de Nemours под торговой маркой TYZOR® LAZ (хелат цирконата и молочной кислоты). Частицы металла композиции покрытия могут быть выбраны из группы, состоящей из металлического пигмента, такого как алюминий, марганец, никель, титан, нержавеющая сталь, цинк, их сплавов, а также их смесей. Предпочтительно, чтобы частицы металла выбирали из цинка и алюминия, а также их сплавов и их смесей или их сплавов с марганцем, магнием, оловом или составом для покрытия Galfan. Предпочтительно, чтобы частицы металла присутствовали в композиции в форме порошка, различных гомогенных или гетерогенных геометрических структур, особенно сферических, чешуйчатых, двояковыпуклых форм и других характерных форм. Предпочтительно, чтобы частицы металла имели размер частиц менее 100 мкм, еще более предпочтительно – меньше 40 мкм. Когда частицы металла являются сплавом или смесью цинка и алюминия, алюминий может необязательно присутствовать в очень малых количествах, например от 1 до 5% от массы частиц металла, тем не менее, при этом обеспечивая покрытие с блестящей поверхностью. Обычно содержание алюминия составляет, по меньшей мере, 10% от массы частиц металла, в результате чего массовое отношение алюминия к цинку составляет около 1:9. С другой стороны в целях экономии содержание алюминия не превышает 50% от суммарной массы цинка и алюминия, так что массовое отношение алюминия к цинку может достигать 1:1. Для того чтобы придавать наилучший вид покрытию, содержание частиц металла в композиции покрытия не должно превышать 40% от суммарно массы композиции и обычно должно составлять, по меньшей мере, 10% по массе, для того чтобы получить покрытие блестящего вида. В металле может содержаться в незначительном количестве один или более растворителей, например диизопропиленгликоль и/или уайт-спирит, особенно когда металл получали в чешуйчатой форме. Частицы металлов, содержащие растворители, обычно применяют в форме паст, которые могут быть использованы непосредственно с другими ингредиентами композиции. Однако в композиции покрытия частицы металлов могут также быть использованы в сухой форме. Предпочтительно, чтобы указанное связующее на основе силана содержало силан, имеющий в своей структуре, по меньшей мере, одну функциональную группу, гидролизуемую в гидроксильную группу, выбираемую из C1-C4, предпочтительно, C1-C2 алкоксильного радикала. Предпочтительно, чтобы силан имел в своей структуре три функциональные группы, гидролизуемые в гидроксильную группу, предпочтительно одинаковые. Силан может дополнительно иметь в своей структуре эпоксидную (оксирановую) функциональную группу, которая способствует образованию сетчатой структуры и адгезии к подложке. Под “функциональной группой, гидролизуемой в гидроксильную группу”, подразумевают любую функциональную группу, способную взаимодействовать с водой с превращением в гидроксильную группу -OH. Силаны в композициях настоящего изобретения служат в качестве связующих. Они также позволяют ванне для нанесения покрытия быть устойчивой против вредной автогенной реакции. По-видимому, силан связывает и пассивирует частицы металла, в результате чего повышается стабильность функционирования ванны для нанесения композиции покрытия. Кроме того, он способствует повышению адгезии покрытия и его устойчивости к коррозии. Предпочтительно, чтобы силан составлял от 3 до 20% по массе от суммарной массы композиции. Предпочтительно, чтобы силан легко диспергировался в водной среде, и предпочтительно, чтобы он был растворим в такой среде. Предпочтительно, чтобы применяемый силан являлся силаном с эпоксидной функциональной группой, выбранный из ди- или триметоксисилана с эпоксидной функциональной группой, а также их смесей, в частности, таких как бета-(3,4-эпоксициклогексил)этил-триметоксисилан, 4-(триметоксисилил)бутан-1,2-эпоксид или гамма-глицидоксипропилтриметоксисилан. Если применяемый органический титанат и/или цирконат является органическим титанатом и/или цирконатом, совместимым с водной фазой, предпочтительно, чтобы силан вводили в таких количествах, чтобы отношения по массе в конечной композиции органического титаната и/или цирконата, совместимого с водной фазой, к силану составляло от 95:5 до 5:95. Антикоррозионная композиция может быть получена путем смешения органической фазы, в частности, содержащей силан и частицы металла, с водной фазой, в частности, содержащей воду и силан. Органический титанат и/или цирконат, совместимый с водной фазой, может быть введен или в водную фазу, или в органическую фазу. Когда органический титанат и/или цирконат, совместимый с водной фазой, вводят в органическую фазу, можно заместить силан, обычно присутствующий в органической фазе, на этот органический титанат и/или цирконат. Предпочтительно, чтобы соотношения по массе, в расчете на сухие вещества, органического титаната и/или цирконата к силану составляли от 1:19 до 2:1, более предпочтительно – от 1:16 до 1:8. Когда органический титанат и/или цирконат, совместимый с водной фазой, вводят в водную фазу, предпочтительно, чтобы он сначала совместно гидролизовался с силаном, обычно присутствующим в водной фазе. Предпочтительно, чтобы массовые соотношения органического титаната и/или цирконата и силана при совместном гидролизе составляли от 0,12 до 0,36, в расчете на сухие вещества. Оптимальные условия для совместного гидролиза получают для массового отношения 0,24 титаната и/или цирконата на 1 силан, при выражении отношений в расчете на сухие вещества. Для того чтобы совместно гидролизовать органический титанат и/или цирконат и силан, органический титанат и/или цирконат вводят в силан при соответствующем соотношении при совместном гидролизе путем добавления от 200 до 500% воды. Очевидно, что длительность реакции совместного гидролиза, иначе говоря, время ожидания, которое следует после добавления воды, например 30 или 90 минут, не оказывает никакого влияния на свойства получаемых согидролизатов. Если вместо совместного гидролиза силана и органического титаната и/или цирконата, совместимого с водной фазой, они гидролизуются раздельно, с точки зрения стабильности продукта достигаются менее удовлетворительные результаты. Добавление органического титаната и/или цирконата, совместимого с водной фазой, в водную фазу антикоррозионной композиции улучшает антикоррозионные свойства этой композиции в большей степени, чем если бы этот титанат и/или цирконат добавили в органическую фазу. Если применяемым органическим титанатом и/или цирконатом является титанат и/или цирконат, совместимый с органической фазой, предпочтительно C1-C8 тетраалкилтитанат и/или цирконат, предпочтительно, чтобы силан вводился в таких количествах, чтобы массовые соотношения в конечной композиции титаната и/или цирконата, совместимого с органической фазой, к силану составляли от 60/40 до 5/95, предпочтительно – от 50/50 до 10/90. Жидкой средой композиции покрытия практически всегда является вода или комбинация воды и органического растворителя. Могут необязательно применяться и другие растворители, но, предпочтительно, только в очень малых количествах. Обычно композиция содержит от 28 до 65% по массе воды от суммарной массы композиции. Согласно предпочтительному варианту осуществления изобретения композиция покрытия дополнительно содержит от 1 до 30% по массе органического растворителя или смеси органических растворителей от суммарной массы композиции. Предпочтительно, чтобы органические растворители выбирали из группы, состоящей из гликолевых растворителей, таких как гликолевые эфиры, в частности диэтиленгликоль, триэтиленгликоль и дипропиленгликоль, ацетатов, пропиленгликоля, полипропиленгликоля, нитропропана, спиртов, кетонов, метилового эфира пропиленгликоля, 2,2,4-триметил-1,3-пентандиол изобутирата (тексанола), уайт-спирита, а также их смесей. Дипропиленгликоль является особенно предпочтительным, в основном по причинам экономии и защиты окружающей среды. Предпочтительно, чтобы количество растворителей было меньше чем 25% по массе и еще более предпочтительно – меньше чем 16% по массе от суммарной массы композиции. При получении металлических частиц чешуйчатой формы в растворителе получающиеся частицы металла могут быть в форме пасты. Она может затем образовывать часть органического растворителя композиции согласно изобретению. Согласно предпочтительному варианту осуществления изобретения композиция покрытия дополнительно содержит от 0,1 до 7% по массе оксида молибдена от суммарной массы композиции. Присутствие оксида молибдена MoO3 в композиции антикоррозионного покрытии позволяет регулировать усиление протекторной защиты от коррозии, вызываемой частицами металла в суспензии композиции. Предпочтительно, чтобы оксид молибдена MoO3 использовали в практически чистой ромбической кристаллической форме с содержанием молибдена больше чем 60% по массе. Предпочтительно, чтобы оксид молибдена MoO3 использовали в антикоррозионных композициях в форме частиц с размером от 5 до 200 мкм. Согласно предпочтительному варианту осуществления изобретения композиция покрытия дополнительно содержит от 0,5 до 10% по массе агента для усиления антикоррозионных свойств композиции, выбранного из группы, состоящей из иттрия, циркония, лантана, церия, празеодима, в форме оксидов или солей. Предпочтительно, чтобы указанным агентом для усиления антикоррозионных свойств композиции был оксид иттрия Y2O3 или хлорид церия. Предпочтительно, чтобы указанный агент для усиления антикоррозионных свойств композиции мог быть объединен с вышеупомянутым оксидом молибдена при массовом отношении 0,25 < агент для усиления антикоррозионных свойств: MoO3<20, предпочтительно – 0,5 < агент для усиления антикоррозионных свойств: MoO3<16, еще более предпочтительно – 0,5 < агент для усиления антикоррозионных свойств: MoO3<14. Согласно предпочтительному варианту осуществления композиция покрытия дополнительно содержит пигментный ингибитор коррозии или пигментные ингибиторы коррозии, такие как три- или полифосфат алюминия, фосфаты, молибдаты, силикаты и бораты цинка, стронций, кальций, барий и их смеси, при содержаниях от 0,2 до 4% по массе от суммарной массы композиции покрытия. Композиция покрытия согласно изобретению может дополнительно содержать загуститель. Предпочтительно, чтобы загуститель выбирали из группы, состоящей из производных целлюлозы, таких как гидроксиметилцеллюлоза, гидроксиэтилцеллюлоза, гидроксипропилцеллюлоза, ацетобутират целлюлозы, ксантановая смола, сочетаемые загустители полиуретана или акриловорго типа, силикаты, такие как необязательно обработанные силикаты магния и/или лития или органофильные глины, а также их смеси. Предпочтительно, чтобы содержание загустителя составляло меньше чем 7% по массе от суммарной массы композиции, предпочтительно – от 0,005 до 7% по массе от суммарной массы композиции. Композиция покрытия согласно изобретению может также содержать смачивающую добавку, предпочтительно при содержании меньше чем 4% по массе, более предпочтительно – от 0,1 до 4% по массе от суммарной массы композиции. Композиция согласно изобретению может также содержать стабилизатор pH, такой как борная кислота, метаборная кислота, тетраборная кислота и оксид бора или соли бора. Композиция может содержать от суммарной массы композиции от 0,1 до 10% по массе, предпочтительно – от 0,2 до 5% по массе и еще более предпочтительно – от 0,4 до 0,8% по массе стабилизатора pH. Композиция может также содержать модификатор pH, обычно выбираемой из оксидов и гидроксидов щелочных металлов, предпочтительно лития и натрия, оксидов и гидроксидов металлов, принадлежащих группам IIA и IIB Периодической таблицы, таких как соединения стронция, кальция, бария, магния и цинка. Модификатором pH может также быть карбонат или нитрат вышеупомянутых металлов. Композиция согласно изобретению может также содержать фосфаты, заменители, содержащие фосфор, такие как феррофосфат (пигмент), неорганические соли в количествах меньше чем 2% по массе от суммарной массы композиции. Предпочтительно, чтобы композиция согласно изобретению не содержала хром(VI). Однако композиция может содержать хром в растворимой или не растворимой форме, такой как, например, металлический хром или хром в степени окисления III. Композиция обладает хорошей стабильностью при хранении, тем самым подтверждая защитную роль силана против нежелательной реакции частиц металла с другими ингредиентами композиции. Силан также способствует стабильности органического титаната. Настоящее изобретение также относится к покрытию, полученному при нанесении композиции покрытия согласно изобретению на подложку, предпочтительно путем распыления, погружения с сушкой или погружения с центрифугированием, причем слой покрытия затем подвергают операции термообработки, предпочтительно при температуре от 180°C до 350°C, в течение от 10 до 60 минут в результате подвода тепловой энергии таким путем, как конвекция или инфракрасное излучение, или в течение от 30 секунд до 5 минут путем электромагнитной индукции. Согласно предпочтительному варианту осуществления антикоррозионное покрытие получают в результате операции нанесения, включающей перед операцией термообработки операцию сушки покрытых металлических деталей путем подвода тепловой энергии таким путем, как конвекция, инфракрасное излучение или электромагнитная индукция, при температуре от 30 до 250°C, предпочтительно – порядка 70°C, при конвекции или инфракрасном излучении в течение от 10 до 30 минут в процессе работы или в течение от 30 секунд до 5 минут электромагнитной индукцией. До нанесения покрытия целесообразно в подавляющем большинстве случаев устранить инородные материалы с поверхности подложки, особенно путем очистки и тщательного обезжиривания. При этих условиях толщина нанесенной таким образом сухой пленки покрытия составляет от 3 мкм (11 г/м2) до 30 мкм (110 г/м2) и предпочтительно – от 4 мкм (15 г/м2) до 12 мкм (45 г/м2), более предпочтительно – от 5 мкм (18 г/м2) до 10 мкм (40 г/м2). Настоящее изобретение также распространяется на металлическую подложку, предпочтительно из стали или стали, покрытой цинком или базовым слоем цинка, нанесенного различными способами, включая механическое осаждение, на чугун и алюминий с антикоррозионным покрытием согласно изобретению, нанесенным с помощью вышеупомянутых композиций. Металлическая подложка может быть предварительно обработана, например, хроматом или фосфатом. Так подложка может быть предварительно обработана для того, чтобы получить, например, фосфатное покрытие для железа в количестве от 0,1 до 1 г/м2 или фосфатное покрытие для цинка в количестве от 1,5 до 4 г/м2. Настоящее изобретение также относится к водной композиции C1-C8 тетраалкилтитаната и/или C1-C8 тетраалкилцирконата, предназначенной для получения композиции покрытия для металлической подложки в водной дисперсии, полученной из водорастворимого органического растворителя, связующего, содержащего силан, имеющий в своей структуре, по меньшей мере, одну функциональную группу, гидролизуемую в гидроксильную группу, C1-C8 тетраалкилтитаната и/или цирконата и воды в следующих соотношениях (массовые проценты): – водорастворимый органический растворитель: от 0 до 20% – связующее на основе силана: от 20 до 50% – C1-C8 тетраалкилтитанат и/или цирконат: от 5 до 25% – вода: от 40 до 70% Иначе говоря, в контексте настоящего изобретения, когда силан присутствует вместе с C1-C8 тетраалкилтитанатом и/или цирконатом, очевидно, что силан в гидролизованной форме до конденсации способен взаимодействовать с вышеупомянутым гидратированным оксидом титана и/или цирконатом с образованием частично стабильной полимерной цепи, содержащей атомы кремния и титана и/или циркония. Силан затем способен стабилизировать C1-C8 тетраалкилтитанат и/или цирконат. Химические реакции можно записать следующим образом: (1) Гидролиз силана: R-Si(OR’)3+3H2O (2) Превращение органического титаната или цирконата в гидратированный оксид титана или циркония: X-(OR”)4+4H2 (3) Взаимодействие между гидратированным оксидом титана или циркония с гидролизованным силаном: 2R-Si(OH)3+X(OH)4 Силан и органический титанат или цирконат таким образом связываются, для того чтобы образовать следующую частично полимерную цепь: X(OH)2·2[R-SiO(OH)2]. Взаимодействие может продолжаться и привести к образованию полимерной цепи следующей формулы (III): формула (III) в которой X представляет Ti или Zr. Предпочтительно, чтобы водорастворимый органический растворитель выбирали из группы, состоящей из гликолевых растворителей, таких как гликолевые эфиры, в частности диэтиленгликоль, триэтиленгликоль и дипропиленгликоль, ацетатов, пропиленгликоля, спиртов, кетонов, эфира пропиленгликоля, а также их смесей. Предпочтительно, чтобы содержавшийся в связующем силан, имеющий в своей структуре, по меньшей мере, одну функциональную группу, гидролизуемую в гидроксильную группу, выбирали из C1-C4, еще более предпочтительно – C1-C2 алкоксильного радикала. Кроме того, предпочтительно, чтобы этот силан имел в своей структуре эпоксидную функциональную группу. Предпочтительно, чтобы указанный силан выбирали из ди- или триметоксисилана с эпоксидной функциональной группой, а также их смесей, в частности гамма-глицидоксипропилтриметоксисилана или бета-(3,4-эпоксициклогексил)этилтриметоксисилана. Предпочтительно, чтобы C1-C8 тетраалкилтитанат выбирали из группы, содержащей тетраэтилтитанат (TET), тетра-н-бутилтитанат (TnBT) и октиленгликольтитанат (OGT), и C1-C8 тетраалкилцирконат выбирали из группы, содержащей тетра-н-пропилцирконат и тетра-н-бутилцирконат. В водной композиции массовое отношение C1-C8 тетраалкилтитаната и/или цирконата к силану составляет максимум от 60/40, предпочтительно – до максимум 50/50, предпочтительно – до максимум 40/60. Водная композиция C1-C8 тетраалкилтитаната и/или C1-C8 тетраалкилцирконата может быть получена смешением связующего на основе силана, указанного титаната или цирконата и, если необходимо, указанного водорастворимого органического растворителя с небольшим количеством воды и затем непрерывным постепенным добавлением при низкой скорости оставшегося количества воды. В этой стабилизированной форме C1-C8 тетраалкилтитанат и/или цирконат может, например, затем быть введен в композицию покрытия для металлической подложки в водной фазе, особенно композицию антикоррозионного покрытия на основе частиц металла в водной дисперсии при ограничении образования диоксида титана. Настоящее изобретение, наконец, относится к применению определенной выше водной композиции C1-C8 тетраалкилтитаната и/или C1-C8 тетраалкилцирконата для предварительной обработки покрытий или адгезивов (полиуретановых, акриловых, резиновых…). Эта композиция может также применяться для последующей обработки в качестве уплотнителя на основе металлических частиц. Эта композиция может также применяться при пассивировании подложек на основе стали, цинка, алюминия или стали, имеющей покрытие на основе цинка. Эта композиция может, наконец, применяться в добавке, для того чтобы улучшать адгезию покрытий или адгезивов (полиуретановых, акриловых, резиновых…) в водной фазе. В приводимых ниже примерах показаны способы, с помощью которых настоящее изобретение может применяться, но которые ни коем образом не ограничивают настоящее изобретение. Приготовление пластин для испытаний: Если не указано иначе, пластинами для испытаний обычно являются пластины из нержавеющей стали с низким содержанием углерода, которые ламинировали на холоде. Они могут быть приготовлены сначала путем погружения в очищающий раствор. Затем пластины могут быть зачищены шкуркой и затем промыты водой и снова погружены в очищающий раствор. После удаления раствора пластины промывают водопроводной водой и сушат. Нанесение покрытия на пластины для испытаний и определение массы покрытия: На чистые детали наносят покрытия обычным способом путем их погружения несколько раз в композицию покрытия, извлечения и удаления избытка композиции при умеренном перемешивании и затем немедленной термообработкой или сушкой при комнатной температуре или предварительным отверждением при умеренной температуре до тех пор, пока покрытие не становится сухим на ощупь и в результате не затвердеет. Массы покрытий (мг/см2) определяют по разности двух взвешиваний до и после нанесения покрытия. Испытание на коррозионную стойкость (ISO 9227) и оценка: Коррозионную стойкость деталей с нанесенным покрытием измеряли с помощью стандартного оценочного солевого испытания (солевой туман) для красок и лаков ISO 9227. В этом испытании детали помещают в камеру с поддерживаемой постоянной температурой, в которой они подвергаются контакту с (туманом) 5% солевым раствором в течение определенных периодов времени, промывают водой и сушат. Степень коррозии деталей, подвергнутых испытанию, может быть выражена в форме процентного содержания красной ржавчины. Пример 1: композиция на основе органического титаната, совместимого с органической фазой
Пример 2: композиция на основе органического титаната, совместимого с органической фазой a) композиция:
b) Результаты испытаний устойчивости к солевому туману
Пример 3: композиция на основе органического титаната, совместимого с органической фазой a) композиция:
b) Результаты испытаний устойчивости к солевому туману
Пример 4: способ получения водной композиции тетрабутилтитаната, органического титаната, совместимого с органической фазой: Следующие реагенты смешивают в указанном порядке: a) 30,00 г DPG (дипропиленгликоль) b) 50,00 г Silane A-187 c) 20,00 г TBT (тетрабутилтитанат) Полученному раствору дают постоять в течение 24 часов. Силан, введенный в DPG до TnBT, взаимодействует с водой, необязательно присутствующей в DPG. Таким образом, предотвращается неконтролируемая реакция органического титаната с водой, необязательно присутствующей в DPG. Добавляют 100,00 г воды (=100,00 мл) в соответствии со следующей методикой: i) добавляют по каплям 0,125 мл воды и затем дают раствору постоять в течение 10 минут; ii) повторяют стадию i) 5 раз; iii) добавляют оставшееся количество воды при скорости 0,25 мл воды/минута/3 импульса, или приблизительно 0,083 мл воды каждые 20 секунд. Получают водную композицию бесцветного органического титаната. Могут появляться мелкие кристаллы; предположительно, кристаллы диоксида кремния. Суммарное время получения водной композиции органического титаната составляет приблизительно 7 часов 30 минут. Водной композиции органического титаната дают постоять в течение, по меньшей мере, 24 часов до того, как быть необязательно введенной в композицию антикоррозионного покрытия. Пример 5: способ получения водной композиции органического титаната, совместимого с органической фазой: Способ осуществляют так же, как и в примере 4, кроме того, что вводимое количество TnBT составляет 30,00 г. Получают водную композицию бесцветного или иногда слегка желтоватого органического титаната. Пример 6: способ получения водной композиции органического титаната, совместимого с органической фазой: Способ осуществляют так же, как и в примере 4, кроме того, что вводимое количество TnBT составляет 40,00 г. Получают водную композицию бесцветного или иногда слегка желтоватого органического титаната. Пример 7: способ получения водной композиции органического титаната, совместимого с органической фазой: Способ осуществляют так же, как и в примере 4, кроме того, что вводимое количество TnBT составляет 40,00 г и вводимое количество Silane A-187 составляет 70,00 г. Получают водную композицию бесцветного или иногда слегка желтоватого органического титаната. Пример 8: коррозионная стойкость композиции покрытия согласно изобретению на основе органического титаната, совместимого с органической фазой: Водную композицию органического титаната, полученного в примере 6, вводят в композицию антикоррозионного покрытия. В приведенной ниже таблице 6 показан состав полученной таким образом композиции и композиции антикоррозионного покрытия прототипа, которая не содержит органический титанат.
Характеристика композиции A приведена ниже в таблице 7.
Сравнивается стойкость двух композиций к солевому туману. Измеренные значения стойкости к солевому туману приведены ниже в таблице 8.
Таким образом, наблюдаются удовлетворительные результаты по устойчивости к солевому туману для композиции покрытия согласно изобретению. Фактически для слоя с плотностью 24 г/м2 можно достичь продолжительности стойкости к солевому туману более чем 1000 часов, в то время как для композиции без органического титаната продолжительность стойкости к солевому туману составляет только 312 часов. Добавление органического титаната позволяет коррозионной стойкости покрытия быть, по меньшей мере, в три раза больше при этих условиях. Пример 9: композиция на основе органического титаната, совместимого с органической фазой: Введение небольших количеств органического титаната (10, 20 или 30 г/кг) позволяет уменьшать вводимое количество силана и оксида молибдена, что позволяет ограничивать расходы при сохранении хороших антикоррозионных результатов. В следующих примерах композиций (таблица 9) количество силана уменьшено до 44% по массе и количество оксида молибдена уменьшено до 20% по массе по сравнению с количествами, обычно вводимыми в композиции антикоррозионных покрытий.
Измеренные значения стойкости к солевому туману приведены ниже в таблице 10.
Пример 10: способ введения хелатированных органических титанатов или цирконатов, совместимых с водной фазой, в водную фазу – совместный гидролиз с силаном: a) титанаты i) получение водной фазы: 10 массовых частей TYZOR® TEP (поставляемого фирмой DuPont de Nemours, 60% сухой экстракт) и 25 массовых частей Silane A-187 смешивают при помощи магнитной мешалки в течение одного часа. Затем быстро добавляют 113 массовых частей воды и перемешивают с помощью магнитной мешалки в течение одного часа. Затем эту смесь вводят в водную композицию, состоящую из 350 массовых частей воды, 8,8 массовых частей силиката натрия, 8,2 массовых частей борной кислоты и 9 массовых частей оксида молибдена. ii) композиция органической фазы: Органическая фаза содержит:
iii) результаты испытаний с солевым туманом: – Ванна согласно изобретению: композиция антикоррозионного покрытия согласно изобретению: смешаны полученные органическая и водная фазы (стадии ii) и i) соответственно). – Контрольная ванна: контрольная композиция: Водная фаза контрольной композиции содержит:
Органическая фаза контрольной композиции имеет такую же композицию, как органическая фаза ванны согласно изобретению (стадия ii). Испытания с солевым туманом проводят после того, как ванны согласно изобретению и контрольную подвергают старению в течение 48 часов. Полученные результаты приведены ниже в таблице 11:
В таблице 11 ясно видно, что введение хелатированного органического титаната, совместимого с водной фазой, гидролизованного совместно с силаном, в композиции покрытия улучшает стойкость к солевому туману образцов, обработанных этими композициями.
Формула изобретения
1. Композиция антикоррозионного покрытия металлических деталей, основанная на частицах металла в водной дисперсии, содержащая следующие составляющие, мас.%:
при условии, что сумма органического титаната и связующего на основе силана составляет от 5 до 25%. 2. Композиция по п.1, отличающаяся тем, что органический титанат выбирают из группы, состоящей из титанатов, совместимых с органической фазой, и титанатов, совместимых с водной фазой. 3. Композиция по п.2, отличающаяся тем, что титанаты, совместимые с органической фазой, являются C1-C8 тетраалкилтитанатами, предпочтительно выбираемые из группы, содержащей тетраэтилтитанат, тетра-н-бутилтитанат и октиленгликольтитанат. 4. Композиция по п.2, отличающаяся тем, что титанаты, совместимые с водной фазой, являются хелатированными органическими титанатами, предпочтительно выбранными из группы, представленной триэтаноламинтитанатами. 5. Композиция по п.1, отличающаяся тем, что частицы металла выбирают из цинка и алюминия, а также их сплавов и их смесей, или их сплавов с марганцем, магнием, оловом или Galfan. 6. Композиция по п.1, отличающаяся тем, что связующее на основе силана содержит силан, имеющий в своей структуре, по меньшей мере, одну функциональную группу, гидролизуемую в гидроксильную группу, выбираемую из C1-C4 алкоксильного радикала. 7. Композиция по п.1, отличающаяся тем, что силан дополнительно имеет в своей структуре эпоксидную функциональную группу. 8. Композиция по п.6, отличающаяся тем, что силан выбирают из ди- или триметоксисилана с эпоксидной функциональной группой, или ди- или триэтоксисилана с эпоксидной функциональной группой, а также их смесей, в частности, таких как гамма-глицидоксипропилтриметоксисилан или бета-(3,4-эпоксициклогексил)этилтриметоксисилан. 9. Композиция по любому из пп.1-8, отличающаяся тем, что дополнительно содержит от 1 до 30% по массе органического растворителя или смеси органических растворителей от суммарной массы композиции. 10. Композиция по любому из пп.1-8, отличающаяся тем, что органический растворитель выбирают из группы, состоящей из гликолевых растворителей, таких как гликолевые эфиры, в частности диэтиленгликоль, триэтиленгликоль и дипропиленгликоль, ацетатов, пропиленгликоля, полипропиленгликоля, нитропропана, спиртов, кетонов, метилового эфира пропиленгликоля, изобутирата 2,2,4-триметил-1,3-пентандиола (тексанола), уайт-спирита, а также их смесей. 11. Композиция по любому из пп.1-8, отличающаяся тем, что дополнительно содержит от 0,1 до 7% по массе оксида молибдена от суммарной массы композиции. 12. Композиция по любому из пп.1-8, отличающаяся тем, что дополнительно содержит от 0,5 до 10% по массе от суммарной массы композиции агента усиления антикоррозионных свойств композиции, выбранного из группы, состоящей из иттрия, циркония, лантана, церия, празеодима, в форме оксидов или солей, предпочтительно оксид иттрия Y2O3, или от 0,2 до 4% по массе от суммарной массы композиции пигментного ингибитора коррозии, такого как трифосфат алюминия. 13. Композиция по любому из пп.1-8, отличающаяся тем, что дополнительно содержит загуститель предпочтительно от 0,005 до 7% по массе от суммарной массы композиции и/или смачивающую добавку предпочтительно от 0,1 до 4% по массе от суммарной массы композиции. 14. Антикоррозионное покрытие металлических деталей, отличающееся тем, что его получают из композиции покрытия по пп.1-13 путем распыления, пропитки-дренажа или пропитки-центрифугирования, причем слой покрытия затем подвергают операции термообработки предпочтительно при температуре от 180 до 350°С, в течение от 10 до 60 мин, в результате подвода тепловой энергии, таким путем как конвекция или инфракрасное излучение, или в течение от 30 сек до 5 мин путем электромагнитной индукции. 15. Антикоррозионное покрытие металлических деталей по п.14, отличающееся тем, что перед операцией термообработки металлические детали с нанесенным покрытием подвергают операции сушки путем подачи тепловой энергии, таким путем как конвекция, инфракрасное излучение или электромагнитная индукция, особенно при температуре от 30 до 250°С путем конвекции, или от 10 до 30 мин в процессе работы, или путем электромагнитной индукции в течение от 30 сек до 5 мин. 16. Антикоррозионное покрытие металлических деталей по п.14 или 15, отличающееся тем, что его наносят на защищаемые металлические детали с толщиной сухой пленки покрытия от 3 мкм (11 г/м2) до 30 мкм (110 г/м2), и предпочтительно от 4 мкм (15 г/м2) до 12 мкм (45 г/м2), более предпочтительно от 5 мкм (18 г/м2) до 10 мкм (40 г/м2). 17. Металлическая подложка предпочтительно из стали или стали, покрытая цинком или базовым слоем цинка, нанесенным различными способами нанесения, включая механическое осаждение, на чугун и алюминий, с нанесенным антикоррозионным покрытием по пп.14-16. 18. Водная композиция C1-C8 тетраалкилтитаната, предназначенная для получения композиции покрытия для металлической подложки в водной дисперсии, полученная из водорастворимого органического растворителя, связующего, содержащего силан, имеющий в своей структуре, по меньшей мере, одну функциональную группу, гидролизуемую в гидроксильную группу, титаната, совместимого с органической фазой, и воды в следующих пропорциях, мас.%:
19. Композиция по п.18, отличающаяся тем, что водорастворимый органический растворитель выбирают из группы, состоящей из гликолевых растворителей, таких как гликолевые эфиры, в частности диэтиленгликоль, триэтиленгликоль и дипропиленгликоль, ацетатов, пропиленгликоля, спиртов, кетонов, метилового эфира пропиленгликоля, а также их смесей. 20. Композиция по п.18, отличающаяся тем, что связующее содержит силан, имеющий в своей структуре, по меньшей мере, одну функциональную группу, гидролизуемую в гидроксильную группу, выбираемую из C1-C4 алкоксильного радикала. 21. Композиция по п.18, отличающаяся тем, что силан дополнительно имеет в своей структуре эпоксидную функциональную группу. 22. Композиция по п.20, отличающаяся тем, что силан выбирают из ди- или триметоксисилана с эпокси-функциональной группой и ди- или триэтоксисилана с эпокси-функциональной группой, а также их смесей, в частности из гамма-глицидоксипропилтриметоксисилана или бета-(3,4-эпоксициклогексил)этилтриметоксисилана. 23. Композиция по любому из пп.18-22, отличающаяся тем, что C1-C8 тетраалкилтитанат предпочтительно выбирают из группы, содержащей тетраэтилтитанат, тетра-н-бутилтитанат и октиленгликольтитанат. 24. Применение композиции по пп.18-23 для предварительной обработки адгезивов или покрытий, для последующей обработки в качестве уплотнителя на основе металлических частиц, при пассивировании подложек на основе стали, цинка, алюминия или стали, имеющей покрытие на основе цинка, или в добавке для улучшения адгезии покрытий или адгезивов в водной фазе.
|
|||||||||||||||||||||||||||||||||||||||||||||||||||||||||||||||||||||||||||||||||||||||||||||||||||||||||||||||||||||||||||||||||||||||||||||||||||||||||||||||||||||||||||||||||||||||||||||||||||||||||||||||||||||||||||||||||||||||||||||||||||||||||||||||||||||||||||||||||||||||||||||||||||||||||||||||||||||||||||||||||||||||||||||||||||||||||||||||||||||||||||||||||||||

Ti(OH)4+4C4H9OH



R-Si(OH)3+3R’OH
-глицидоксипропилтриметоксисилан (фирма Crompton)