|
|
(21), (22) Заявка: 2008143944/04, 10.11.2008
(24) Дата начала отсчета срока действия патента:
10.11.2008
(46) Опубликовано: 10.08.2010
(56) Список документов, цитированных в отчете о поиске:
Yun-Hi Kim et al. «High-purity-blue and high-efficiency electroluminescent devices based on anthracene». Advanced Functional Materials, 2005, 15, p.1799-1805. WO 9921935 A1, 06.05.1999. JP 9157358 A, 17.06.1997. ПОНОМАРЕНКО C.A. и др. Синтез битиофенсиланового дендримера первой генерации. Известия Академии наук, серия Химическая, 2005, 3, с.673-679.
Адрес для переписки:
117393, Москва, ул. Профсоюзная, 70, ИСПМ им. Н.С. Ениколопова РАН, патентный отдел
|
(72) Автор(ы):
Пономаренко Сергей Анатольевич (RU), Борщёв Олег Валентинович (RU), Лупоносов Юрий Николаевич (RU), Музафаров Азиз Мансурович (RU), Сурин Николай Михайлович (RU)
(73) Патентообладатель(и):
Учреждение Российской академии наук Институт синтетических полимерных материалов им. Н.С. Ениколопова РАН (ИСПМ РАН) (RU)
|
(54) РАЗВЕТВЛЕННЫЕ ОЛИГОАРИЛСИЛАНЫ И СПОСОБ ИХ ПОЛУЧЕНИЯ
(57) Реферат:
Изобретение относится к новым разветвленным олигоарилсиланам и способу их получения. Техническая задача – получение разветвленных олигоарилсиланов, содержащих не менее 5 функциональных арилсилановых звеньев и обладающих набором свойств для их использования в качестве люминесцентных материалов. Предложены развлетвленные олигоарилсиланы общей формулы (I) где R означает заместитель из ряда: линейные или разветвленные С1-С20 алкильные группы; линейные или разветвленные С1-С20 алкильные группы, разделенные по крайней мере одним атомом кислорода; линейные или разветвленные С1-С20 алкильные группы, разделенные по крайней мере одним атомом серы; разветвленные С3-С20 алкильные группы, разделенные по крайней мере одним атомом кремния; С2-С20 алкенильные группы; Ar означает одинаковые или различные ариленовые или гетероариленовые радикалы, выбранные из ряда: замещенный или незамещенный тиенил-2,5-диил, замещенный или незамещенный фенил-1,4-диил, замещенный или незамещенный 1,3-оксазол-2,5-диил, замещенный флуорен-4,4 -диил, замещенный циклопентадитиофен-2,7-диил; Q означает радикал из вышеуказанного ряда для Ar; X означает по крайней мере один радикал, выбранный из вышеуказанного ряда для Ar и/или радикал из ряда: 2,1,3-бензотиодиазол-4,7-диил, антрацен-9,10-диил, 1,3,4-оксадиазол-2,5-диил, 1-фенил-2-пиразолин-3,5-диил, перилен-3,10-диил; L равно 1, или 3, или 7, предпочтительно 1 или 3; n – целое число из ряда от 2 до 4; m – целое число из ряда от 1 до 3; k – целое число из ряда от 1 до 3. Способ получения разветвленных олигоарилсиланов заключается в том, что соединение общей формулы (III) 
где Y означает остаток борной кислоты или ее эфира или Br или I, взаимодействует в условиях реакции Сузуки с реагентом общей формулы (IV) , где А означает Br или I, при условии, что Y означает остаток борной кислоты или ее эфира; или остаток борной кислоты или ее эфира, при условии, что Y означает Br или I. Техническим результатом является получение новых соединений, отличающихся высокой эффективностью люминесценции, эффективным внутримолекулярным переносом энергии с одних фрагментов молекулы на другие и повышенной термостабильностью. 2 н. и 22 з.п. ф-лы, 12 ил., 1 табл.
Изобретение относится к области химической технологии кремнийорганических соединений и может найти промышленное применение при получении новых функциональных материалов, обладающих люминесцентными свойствами. Более конкретно, изобретение относится к новым разветвленным олигоарилсиланам и способу их получения.
Под разветвленными олигоарилсиланами в рамках данного изобретения мы понимаем такие олигоарилсиланы, которые представляют собой высокоупорядоченные пространственно сверхразветвленные полностью ациклические образования (фиг. 1, 2). В данном изобретении такие молекулы получают постадийно. Для этого сначала получают “ветви”, которые называются монодендронами и содержат одну функциональную группу в фокальной точке (фиг.3). Полученные монодендроны присоединяют к дифункциональному ариленовому или гетероариленовому центру с образованием олигоарилсиланов. При этом исходные монодендроны могут быть получены как конвергентным, так и дивергентным методом.
В отличие от классических полимеров, разветвленные олигоарилсиланы, в рамках данного изобретения, являются индивидуальными соединениями, что позволяет их выделять с чистотой, доступной для низкомолекулярных соединений. Это особенно важно для органической электроники и фотоники. Специфическая трехмерная архитектура таких макромолекул придает им также ряд ценных свойств, таких как хорошая растворимость и пленкообразование, в сочетании с возможностью регулировать их оптические и электрические характеристики за счет направленного молекулярного дизайна.
Под арилсиланами в данном изобретении понимаются соединения, имеющие непосредственную связь кремний-арил или кремний-гетероарил. Известны линейные и разветвленные арилсиланы, а также линейные и разветвленные полимеры на их основе с арилсилановыми фрагментами в основной цепи или в качестве боковых заместителей.
Разветвленные олигоарилсиланы, описываемые в рамках данного изобретения, близки по строению к органическим дендримерам. Органические светоизлучающие дендримеры и устройства на их основе известны, например, из Европейского патента EP 1027398 B1, 2004, в Патентах США US 6558818 B1, 2003 и US 6720093 B2, 2004. Используемые дендримеры могут содержать и силиконовые фрагменты, и гетероариленовые. Однако синтез дендримеров трудоемкий и затратный процесс.
Наиболее близким по строению к заявляемым разветвленным олигоарилсиланам является олигоарилсилан А, имеющий следующую структурную формулу (Adv. Funct. Mater. 2005. 15. 1799-1805.):

которая может быть представлена в виде общей формулы (А-1):
.
Разветвленный олигоарилсилан A, в отличие от заявленных олигоарилсиланов, содержит четыре фенильных фрагмента, присоединенных к атому кремния. Известно, что синтез четырехзамещенных арилсиланов затруднен. В рамках данного изобретения заявляются молекулы, содержащие трехзамещенные арилсиланы, что значительно упрощает получение таких молекул. Кроме того, заявляемые соединения, в отличие от известных, содержат концевые группы R, которые существенно улучшают растворимость олигоарилсиланов.
Задачей заявляемого изобретения является получение нового технического результата, заключающегося в синтезе новых разветвленных олигоарилсиланов, содержащих как минимум пять функциональных арилсилановых звеньев, обладающих набором свойств для их использования в качестве люминесцентных материалов для органической электроники и фотоники. В качестве таких свойств в рамках данного изобретения выступают высокая эффективность люминесценции, эффективный внутримолекулярный перенос энергии с одних фрагментов молекулы на другие и повышенная термостабильность.
Кроме того, задачей изобретения является разработка нового способа получения заявленных разветвленных олигоарилсиланов, позволяющего получить продукты заданного строения высокой чистоты и пригодного к применению в промышленных условиях.
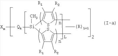
Задача решается тем, что получены разветвленные олигоарилсиланы общей формулы (I)

где R означает заместитель из ряда: линейные или разветвленные C1-C20 алкильные группы; линейные или разветвленные C1-C20 алкильные группы, разделенные по крайней мере одним атомом кислорода; линейные или разветвленные C1-C20 алкильные группы, разделенные по крайней мере одним атомом серы; разветвленные C3-C20 алкильные группы, разделенные по крайней мере одним атомом кремния; C2-C20 алкенильные группы,
Ar означает одинаковые или различные ариленовые или гетероариленовые радикалы, выбранные из ряда: замещенный или незамещенный тиенил-2,5-диил общей формулы (II-а)

замещенный или незамещенный фенил-1,4-диил общей формулы (II-б)

замещенный или незамещенный 1,3-оксазол-2,5-диил общей формулы (II-в)

замещенный флуорен-4,4 -диил общей формулы (II-г)

замещенный циклопентадитиофен-2,7-диил общей формулы (II-д)

где R1, R2, R3, R4, R5, независимо друг от друга означают H или заместитель из вышеуказанного ряда для R; R6, R7, R8, R9 означает заместитель из вышеуказанного ряда для R,
Q означает радикал из вышеуказанного ряда для Ar,
X означает по крайней мере один радикал, выбранный из вышеуказанного ряда для Ar и/или радикал из ряда: 2,1,3-бензотиодиазол-4,7-диил общей формулы (II-е), 
антрацен-9,10-диил формулы (II-ж)

1,3,4-оксадиазол-2,5-диил общей формулы (II-з)

1-фенил-2-пиразолин-3,5-диил общей формулы (II-и)

перилен-3,10-диил общей формулы (II-к)
.
L равно 1 или 3 или 7, предпочтительно 1 или 3;
n означает целое число из ряда от 2 до 4;
m означает целое число из ряда от 1 до 3;
k означает целое число из ряда от 1 до 3.
При этом фрагмент Xm(Qk)2 является внутренней частью молекулы и длина этого фрагмента определяется значениями m и k; а внешняя часть молекулы состоит из двух блоков, содержащих L повторяющихся фрагментов

которые оканчиваются фрагментами R, число которых равно (L+1). Следует отметить, что атомы кремния являются точками разрыва сопряжения (Organometallics 2007, 26, 5165-5173.) как между внутренней и внешней частями молекулы, так и между отдельными фрагментами, из которых состоит внешняя часть молекулы. При этом длина сопряжения олигоарилсиланового фрагмента во внутренней части молекулы больше длины сопряжения любого из олигоарилсилановых фрагментов во внешней части молекулы, что обеспечивает эффективный перенос энергии с внешней на внутреннюю часть молекулы. Для осуществления такого эффективного переноса энергии необходимо, чтобы спектр люминесценции олигоарилсилановых фрагментов внешней части молекулы хорошо перекрывался со спектром поглощения олигоарилсиланового фрагмента внутренней части.
Положения, отмеченные в формулах (II-а)-(II-к) знаком * (звездочка), являются точками соединения, в которых структурные фрагменты (II-а)-(II-к) связаны друг с другом в форме линейных сопряженных олигомерных цепей Arn (или Xm или Qk) или концами цепей Arn (или Qk), связанных с атомами кремния в точках ветвления, или концами цепей Arn, связанных с концевыми заместителями R.
Схематичное изображение разветвленных олигоарилсиланов представлено на фиг.1, где овалом обозначена внутренняя часть молекулы, а треугольниками – внешняя. Возможное пространственное расположение структурных фрагментов олигоарилсиланов общей формулы (I) соответствует представленному на фиг.2, где точками ветвления являются атомы кремния, которые соединены между собой фрагментами Arn и Xm(Qk)2
На фиг.2 представлено схематическое изображение разветвленных олигоарилсиланов различных генераций. При этом разветвленному олигоарилсилану первой генерации (G=1) в формуле (I) соответствует L=1; разветвленному олигоарилсилану второй генерации (G=2) в формуле (I) соответствует L=3; разветвленному олигоарилсилану третьей генерации (G=3) в формуле (I) соответствует L=7.
Предпочтительными примерами R являются линейные или разветвленные C1-C20 алкильные группы, например метил, этил, н-пропил, изопропил, н-бутил, m-бутил, изобутил, вторбутил, н-пентил, 1-метилбутил, 2-метилбутил, 3-метилбутил, 1-этилпропил, 1,1-диметилпропил, 2,2-диметилпропил, н-гексил, н-гептил, н-октил, 2-этилгексил, н-нонил, н-децил, н-ундецил, н-додецил; C2-C20 алкенильные группы, например 4-бутен-1-ил, 5-пентен-1-ил, 6-гексен-1-ил, 8-октен-1-ил, 11-ундецен-1-ил. Наиболее предпочтительные примеры R: этил, н-гексил, н-октил, 2-этилгексил.
Предпочтительными примерами Ar являются: незамещенный тиенил-2,5-диил общей формулы (II-а), где R1=R2=Н; замещенный тиенил-2,5-диил общей формулы (II-а), где R1=Н, в частности 3-метилтиенил-2,5-диил, 3-этилтиенил-2,5-диил, 3-пропилтиенил-2,5-диил, 3-бутилтиенил-2,5-диил, 3-пентилтиенил-2,5-диил, 3-гексилтиенил-2,5-диил, 3-(2-этилгексил)тиенил-2,5-диил; незамещенный фенил-1,4-диил общей формулы (II-б), где R3=R4=Н; замещенный фенил-1,4-диил общей формулы (II-б), где R3=Н, в частности (2,5-диметил)фенил-1,4-диил, (2,5-диэтил)фенил-1,4-диил, (2,5-дипропил)фенил-1,4-диил, (2,5-дибутил)фенил-1,4-диил, (2,5-дипенил)фенил-1,4-диил, (2,5-дигексил)фенил-1,4-диил, 2,5-бис(2-этилгексил)фенил-1,4-диил, (2,5-диметокси)фенил-1,4-диил, (2,5-диэтокси)фенил-1,4- диил, (2,5-дипроокси)фенил-1,4-диил, (2,5-диизопроокси)фенил-1,4-диил, (2,5-дибутокси)фенил-1,4-диил, (2,5-дипентилокси)фенил-1,4-диил, (2,5-дигексилокси)фенил-1,4-диил, 2,5-бис(2-этилгексилокси)фенил-1,4-диил. Наиболее предпочтительные примеры Ar: незамещенный тиенил-2,5-диил и незамещенный фенил-1,4-диил.
В контексте данного изобретения под Arn понимается любое сочетание из n звеньев одинаковых или различных Ar, выбранных из вышеприведенного ряда. Предпочтительными примерами такого сочетания являются n одинаковых незамещенных тиенил-2,5-диильных фрагментов, соединенных друг с другом в положениях 2 и 5, например 2,2 -битиенил-2,5 -диил (II-а-1), 2,2 :5 ,2 -тертиенил-2,5 -диил (II-a-2):  
Другим предпочтительным примером такого сочетания являются комбинация различных незамещенных тиенильных фрагментов, соединенных друг с другом в положениях 2 и 5, и различных 2,5-замещенных фенил-1,4-диильных фрагментов, соединенных друг с другом в положениях 1 и 4 таким образом, что их общее количество равно n, например фрагменты, представленные формулами (II-1)-(II-12):
   
При этом n=2 соответствует формула (II-1), n=3 соответствует любая из формул (II-2)-(II-4).
В контексте данного изобретения под Qk понимается любое сочетание из k звеньев одинаковых или различных Q, выбранных из вышеприведенного ряда. Предпочтительными примерами такого сочетания являются незамещенный тиенил-2,5-диил (II-а-3), незамещенный фенил-1,4-диил (II-б-1), k одинаковых незамещенных тиенил-2,5-диильных фрагментов, соединенных друг с другом в положениях 2 и 5, например 2,2 -битиенил-2,5 -диил (II-а-1), 2,2 :5 ,2 -тертиенил-2,5 -диил (II-а-2):
   
В контексте данного изобретения под Xm понимается любое сочетание из m звеньев одинаковых или различных X, выбранных из вышеприведенного ряда.
Предпочтительными примерами таких звеньев являются незамещенный фенил-1,4-диил (II-б-1), замещенный фенил-1,4-диил (II-б-2), незамещенный тиенил-2,5-диил (II-а-3), антрацен-9,10-диил (II-д), 1,3,4-оксадиазол-2,5-диил (II-е).
В контексте данного изобретения под Xm(Qk)2 понимается любое сочетание из m звеньев одинаковых или различных X и k звеньев одинаковых или различных Q, выбранных из вышеприведенных рядов. Предпочтительными примерами сочетания таких звеньев являются: 1,4-фениленбис(2,2 -битиен-5 ,5-диил) (II-5), 2,5-диметил-1,4-фениленбис(2,2 -битиен-5 ,5-диил) (II-6), антрацен-9,10-диилбис(фенилен-1,4-диил) (II-7), антрацен-9,10-диилбис(тиен-2,5-диил) (II-8), 2,2 -[1,4-фениленбис(1,3-оксазол-2,5-диилфенилен-4,1-диил (II-9):
 
 

Положения, отмеченные в формулах (II-а-1)-(II-а-3) и (II-1)-(II-9) знаком * (звездочка), являются точками соединения, в которых структурные фрагменты (II-а)-(II-к) связаны друг с другом в форме линейных сопряженных олигомерных цепей Arn, Xm Qk или концами цепей Arn или Xm(Qk)2, связанных с атомами кремния в точках ветвления или с концевыми заместителями R.
Представленные значения R, Ar, Arn, Q, Qk, X, Xm являются частными случаями и не исчерпывают все возможные значения и все возможные сочетания n, m, k значений Ar, Q, X между собой.
В частности, в формуле (I) Ar может означать тиенил-2,5-диил, выбранный из ряда соединений формулы (II-а), тогда общая формула имеет следующий вид:

где X, Q, R, R1, R2, L, n, m, k имеют вышеуказанные значения.
В частности, в формуле (I) X может означать фенил-1,4-диил, выбранный из ряда (II-б), с условием, что Q означает тиенил-2,5-диил, выбранный из ряда соединений формулы (II-а), m равно 1, k равно 2, тогда общая формула имеет следующий вид:

где Ar, R, R1, R2, R3, R4, L, n имеют вышеуказанные значения.
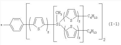
В этом случае, например, при Ar=незамещенный тиенил-2,5-диил, R=C6H13R1=R2=R3=R4=Н, L=1, n=2 разветвленный олигоарилсилан первой генерации с концевыми гексильными группами (фиг.4) может быть представлен формулой (I-1):

В частности, в формуле (I) X может означать антрацен-9,10-диил (II-д), с условием, что Q означает фенил-1,4-диил, выбранный из ряда соединений формулы (II-б), m равно 1, k равно 1, тогда общая формула имеет следующий вид:

где Ar, R, R3, R4, L и n имеют вышеуказанные значения.
В этом случае, например, при Ar=незамещенный тиенил-2,5-диил, R=C6H13R3=R4=Н, L=1, n=2 разветвленный олигоарилсилан первой генерации с концевыми гексильными группами (фиг.5) может быть представлен формулой (I-2):

В частности, в формуле (I) n может быть равно 2, общая формула имеет следующий вид:

где R, Ar, X, Q, L, k и m имеют вышеуказанные значения.
Частными случаями формулы (I-г) являются также дендример I-1 (при X=фенил-1,4-диил (II-б), Q=Ar=тиенил-2,5-диил (II-а), R=C6H13, R1=R2=R3=R4=Н, L=1, m=1, k=2) и дендример I-2 (при X=антрацен-9,10-диил (II-д), Q=фенил-1,4-диил (II-б), Аг=тиенил-2,5-диил (II-а), R=C6H13, R1=R2=R3=R4=Н, L=1, k=m=1).
В частности, для разветвленных олигоарилсиланов первой генерации L равно 1, и для них формула (I) принимает следующий вид:

где R, Ar, X, Q, k, n и m имеют вышеуказанные значения.
Частными случаями формулы (I-ж) являются также дендример I-1 (при X=фенил-1,4-диил (II-б), Q=Ar=тиенил-2,5-диил (II-а), R=C6H13, R1=R2=R3=R4=Н, m=1, k=n=2) и дендример 1-2 (при X=антрацен-9,10-диил (II-д), Q=фенил-1,4-диил (II-б), Ar=тиенил-2,5-диил (II-а), R=C6H13, R1=R2=R3=R4=Н, k=m=1, n=2).
В частности, для разветвленных олигоарилсиланов второй генерации L равно 3, и для них формула (I) принимает следующий вид:

где R, Ar, X, Q, k, n и m имеют вышеуказанные значения.
В этом случае (например, при X=фенил-1,4-диил (II-б), Q=Аг=тиенил-2,5-диил (II-а), R=C6H13, R1=R2=R3=R4=Н, m=1, k=n=2) разветвленный олигоарилсилан второй генерации с концевыми гексильными группами (фиг.6) может быть представлен формулой (I-3):

Заявленные разветвленные олигоарилсиланы содержат одинаковые или различные арил- или гетероарилсилановые группировки, обладающие эффективной люминесценцией. Это может быть проиллюстрировано спектрами поглощения и люминесценции их разбавленных растворов (см, например, фиг.7, 8). Оптические характеристики ряда разветвленных олигоарилсиланов представлены в таблице. Как видно из приведенных спектральных данных, заявленные разветвленные олигоарилсиланы обладают широким спектром поглощения, характеризующимся двумя максимумами, высоким квантовым выходом люминесценции и эффективным внутримолекулярным переносом энергии. Под высоким квантовым выходом в рамках данного изобретения понимается квантовый выход люминесценции в разбавленном растворе не менее 30%, преимущественно не менее 50%. Под эффективным внутримолекулярным переносом энергии понимается эффективность не менее 70%, преимущественно не менее 90%. Приведенные данные являются только примерами и ни в коей мере не ограничивают характеристик заявленных разветвленных олигоарилсиланов.
Отличительной особенностью заявленных олигоарилсиланов является их высокая термическая устойчивость, определяемая в рамках данного изобретения как температура 1% потери массы при нагревании вещества в аргоне. Данная температура для различных частных случаев составляет не менее 200°С, предпочтительно не менее 400°С. Данные термогравиметрического анализа (ТГА), иллюстрирующие высокую термостабильность заявленных олигоарилсиланов на примере соединений I-1, I-2 и I-3, приведены на фиг.12.
Задача решается также тем, что разработан способ получения разветвленных олигоарилсиланов общей формулы (I), заключающийся в том, что соединение общей формулы (III)

где Y означает остаток борной кислоты или ее эфира, или Br, или I,
R, Ar, Q, n, k и L имеют вышеуказанные значения,
взаимодействуют в условиях реакции Сузуки с реагентом общей формулы (IV)

где А означает
Br или I, при условии, что Y означает остаток борной кислоты или ее эфира,
или
остаток борной кислоты или ее эфира, при условии, что Y означает Br или I.
X, m имеют вышеуказанные значения.
Под реакцией Сузуки подразумевается взаимодействие арил- или гетероарилгалогенида с арил- или гетероарилборорганическим соединением (Suzuki, Chem. Rev. 1995. V.95. Р.2457-2483) в присутствие основания и катализатора, содержащего металл VIII подгруппы. Как известно, для данной реакции в качестве основания могут выступать любые доступные основания, такие как гидроксиды, например NaOH, KOH, LiOH, Ba(OH)2, Ca(OH)2; алкоксиды, например NaOEt, KOEt, LiOEt, NaOMe, KOMe, LiOMe; соли щелочных металлов угольной кислоты, например карбонаты, гидрокарбонаты, ацетаты, цитраты, ацетилацетонаты, глицинаты натрия, калия, лития или карбонаты других металлов, например Cs2CO3, Tl2CO3; фосфаты, например фосфаты натрия, калия, лития. Предпочтительным основанием является карбонат натрия. Основания используются в виде водных растворов или суспензий в органических растворителях, таких как толуол, диоксан, этанол, диметилформамид или в их смесях. Предпочтительны водные растворы основания. Также в реакции Сузуки в качестве катализаторов могут использоваться любые подходящие соединения, содержащие металлы VIII подгруппы таблицы Менделеева. Предпочтительными металлами являются Pd, Ni, Pt. Наиболее предпочтительным металлом является Pd. Катализатор или катализаторы предпочтительно используются в количестве от 0,01 мол. % до 10 мол. %. Наиболее предпочтительное количество катализаторов от 0,5 мол. % до 5 мол. % по отношению к молярному количеству соединения с меньшей молярной массой, вступающего в реакцию. Наиболее доступными катализаторами являются комплексы металлов VIII подгруппы. В частности, стабильные на воздухе комплексы палладия (0), комплексы палладия, восстанавливающиеся непосредственно в реакционном сосуде металлоорганическими соединениями (алкил литиевыми или магнийорганическими соединениями) или фосфинами до палладия (0), такие как комплексы палладия (2) с трифенилфосфином или другими фосфинами. Например, PdCl(PPh3)2, PdBr2(PPh3)2, Pd(OAc)2 или их смеси с трифенилфосфином. Предпочтительно использовать коммерчески доступный Pd(PPh3)4 с или без добавления дополнительных фосфинов. В качестве фосфинов предпочтительно использовать PPh3, PEtPh2, PMePh2, PEt2Ph, PEt3. Наиболее предпочтителен трифенилфосфин.
Общая схема процесса может быть представлена следующим образом:

где A, X, Y, Q, Ar, R, n, m, k и L имеют вышеуказанные значения.
В частности, Y в соединении формулы (III) может означать остаток циклического эфира борной кислоты – 4,4,5,5-тетраметил-1,3,2-диоксаборолан общей формулы (V)

тогда разветвленный олигоарилсилан получают по следующей общей схеме:

где A, X, Q, Ar, R, n, m, k и L имеют вышеуказанные значения.
В частности, Ar в соединении формулы (III) может означать тиенил-2,5-диил, выбранный из ряда соединений формулы (II-а), тогда разветвленный олигоарилсилан получают по следующей общей схеме:

где A, X, Y, Q, R, R1, R2, n, m, k и L имеют вышеуказанные значения.
В частности, в соединении формулы (IV) А может означать Br, тогда разветвленный олигоарилсилан получают по следующей общей схеме:

где X, Y, Q, Ar, R, n, m, k и L имеют вышеуказанные значения.
В частности, в соединении формулы (IV) X может означать фенил-1,4-диил выбранный из ряда (II-б), с условием, что радикалы Ar и Q означают тиенил-2,5-диил, выбранный из ряда соединений формулы (II-а), тогда разветвленный олигоарилсилан получают по следующей общей схеме:

где A, Y, R, R1, R2, R3, R4, L, k, n, m имеют вышеуказанные значения.
В частности, в соединении формулы (IV) X может означать антрацен-9,10-диил (II-д), с условием, что радикал Q означает фенил-1,4-диил, выбранный из ряда соединений формулы (II-б), m равно 1, k равно 1, тогда разветвленный олигоарилсилан получают по следующей общей схеме:

где A, Y, Ar, R, R3, R4, L, n имеют вышеуказанные значения.
В частности, n в соединении формулы (III) может быть равно 2, тогда разветвленный олигоарилсилан получают по следующей общей схеме:

где A, X, Y, Q, Ar, R, L, k и m имеют вышеуказанные значения.
В частности, L в соединении формулы (III) может быть равно 1, тогда разветвленный олигоарилсилан получают по следующей общей схеме:

где A, X, Y, Q, Ar, R, n, k и m имеют вышеуказанные значения.
В частности L в соединении формулы (III) может быть равно 3, тогда разветвленный олигоарилсилан получают по следующей общей схеме:

где А, X, Y, Q, Ar, R, n, k и m имеют вышеуказанные значения.
Вышеописанные взаимодействия можно проводить в органических растворителях или смесях растворителей, не взаимодействующих с реагирующими агентами. Например, реакцию можно проводить в среде органического растворителя, выбранного из ряда эфиров: тетрагидрофуран, диоксан, диметиловый эфир этиленгликоля, диэтиловый эфир этиленгликоля, диметиловый эфир диэтиленгликоля; или из ряда ароматических соединений: бензол, толуол, ксилол, или из ряда алканов: пентан, гексан, гептан, или из ряда спиртов: метанол, этанол, изопропанол, бутанол, или из ряда апротонных полярных растворителей: диметилформамид, диметилсульфоксид. Смесь из двух или более растворителей также может быть использована. Наиболее предпочтительные растворители – толуол, тетрагидрофуран, этанол, диметилформамид или их смесь. При этом взаимодействие исходных компонентов может проходить при температуре в пределах от +20°C до +200°C при стехиометрическом мольном соотношении функциональных групп исходных компонентов либо избытка одного из них. Предпочтительно взаимодействие проводят при температуре в пределах от +40°C до +150°C. Наиболее предпочтительно взаимодействие проводят при температуре в пределах от +60°C до +120°C.
После окончания реакции продукт выделяют по известным методикам. Например, добавляют воду и органический растворитель. Органическую фазу отделяют, промывают водой до нейтральной реакции и высушивают, после чего растворитель упаривают. В качестве органического растворителя может быть использован любой не смешивающийся или ограниченно смешивающийся с водой растворитель, например, выбранный из ряда эфиров: диэтиловый эфир, метилтретбутиловый эфир, или выбранный из ряда ароматических соединений: бензол, толуол, ксилол, или выбранный из ряда хлорорганиченских соединений: дихлорметан, хлороформ, четыреххлористый углерод, хлорбензол. Также для выделения могут использоваться смеси органических растворителей. Выделение продукта можно производить и без применения органических растворителей, например, отгонкой растворителей из реакционной смеси, отделением продукта от водного слоя фильтрованием, центрифугированием или любым другим известным методом.
Очистку сырого продукта проводят любым известным методом, например препаративной хроматографией в адсорбционном или эксклюзивном режиме, перекристаллизацией, дробным осаждением, дробным растворением или их любой комбинацией.
Чистоту и строение синтезированных соединений подтверждают совокупностью данных физико-химического анализа, хорошо известных специалистам, таких как хроматографические, спектроскопические, масс-спектроскопические, элементного анализа. Наиболее предпочтительным подтверждением чистоты и структуры разветвленных олигоарилсиланов являются ЯМР-спектры на ядрах 1H, 13C и 29Si, а также ГПХ. Кривые ГПХ разветвленных олигоарилсиланов соответствуют узкому монодисперсному распределению по молекулярному весу (см., например, фиг.9-11).
На фиг.1 представлено схематическое изображение разветвленных олигоарилсиланов.
На фиг.2 представлено схематическое изображение разветвленных олигоарилсиланов различных генераций G (G=1, 2 или 3 для разветвленных олигоарилсиланов первой, второй и третьей генераций соответственно).
На фиг.3 представлено схематическое изображение соединений общей формулы (III) различных генераций G (G=1, 2 или 3 для соединений (III) первой, второй и третьей генераций соответственно).
На фиг.4 представлено схематическое изображение структурной формулы разветвленного олигоарилсилана первой генерации I-1.
На фиг.5 представлено схематическое изображение структурной формулы разветвленного олигоарилсилана первой генерации I-2.
На фиг.6 представлено схематическое изображение структурной формулы разветвленного олигоарилсилана второй генерации I-3.
На фиг.7 представлены спектры поглощения (а) и люминесценции (б) разбавленного раствора олигоарилсилана I-1 в ТГФ.
На фиг.8 представлены спектры поглощения (а) и люминесценции (б) разбавленного раствора олигоарилсилана I-2 в ТГФ.
На фиг.9 представлена ГПХ кривая чистого соединения I-1.
На фиг.10 представлена ГПХ кривая чистого соединения I-2.
На фиг.11 представлена ГПХ кривая чистого соединения I-3.
На фиг.12 представлена ТГА кривые соединений I-1, I-2 и I-3.
В таблице приведены оптические свойства некоторых разветвленных олигоарилсиланов в разбавленных растворах, в том числе максимумы спектров поглощения и люминесценции, квантовый выход люминесценции, характеризующий ее эффективность.
Изобретение может быть проиллюстрировано нижеприведенными примерами. При этом использовали коммерчески доступные реагенты и растворители. Исходные реагенты 5-бром-2,2 -битиофен и 5-гексил-2,2 -битиофен получали по известным методикам (S.Gronowitz, A.-B.-Hornfeldt, Thiophenes, Elsevier Academic press, 2004, pp.755). Другие исходные соединения получали согласно нижеприведенным примерам. Все реакции проводили в безводных растворителях в атмосфере аргона.
Синтез исходных реагентов
Пример 1. Синтез (4-бромфенил)дихлорметилсилана (VI)

К раствору 40.00 г (0.17 моль) 1,4-дибромбензола в 800 мл ТГФ прибавили 67.82 мл (0.17 моль) 2.5 М раствора н-бутиллития в гексане при температуре -50°С. Реакционную смесь перемешивали в течение двух часов, после чего добавили раствор эфирного комплекса бромида магния, свежеприготовленного из 4.56 г (0.19 моль) магния и 34.08 г (0.181 моль) дибромэтана и 120 мл диэтилового эфира. Полученный таким образом реактив Гриньяра прибавили к раствору 150 мл (1.36 ммоль) метилтрихлорсилана в 150 мл ТГФ при температуре -20°С. После фильтрования под аргоном и перегонки в вакууме (Ткип=57°С/0.12 мбар) получили 18.41 г (40% от теоретически возможного) соединения VI. 1H ЯМР (CDCl3): 1,02 (с, 3H); 7,59 (д, 1H, L=1,8 Гц).
Пример 2. Синтез метил-(2,2 -битиен-5-ил)дихлорсилана (VII)

Раствор 26.30 г (0.107 моль) 5-бром-2,2 -битиофена в 270 мл сухого ТГФ добавили к суспензии 2.71 г (0.113 моль) магния в 10 мл ТГФ. Полученный реагент Гриньяра добавили к раствору 160.36 г (1.073 моль) метилтрихлорсилана при температуре ниже -50°C. Реакционную смесь перемешивали в течение четырех часов. Осадок отфильтровали, растворитель отогнали. Продукт очищали перегонкой в вакууме (Ткип=110°C/0.11 мбар). Выход: 21.00 г (70% от теоретически возможного). 1Н ЯМР (CDCl3, , м.д., J/Гц): 1.07 (с, 3H), 7.04 (дд, 1H, J1 3.7 Гц, J2=4.9 Гц), 7.23-7.30 (перекрывающиеся сигналы, 4Н), 7.43 (д, 1H,.J=3.7 Гц). 13C ЯМР ( в CDCl3): 6.71, 124.97, 125.00, 125.66, 128.02, 131.49, 138.08, 138.14, 145.98. 29Si ЯМР ( in CDCl3): 11.24.
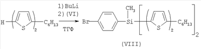
Пример 3. Синтез (4-бромфенил)[бис(5 -гексил-2,2 -битиенил-5-ил)]метилсилана (VIII)

К раствору 4.58 г (18.3 ммоль) 5-гексил-2,2 -битиофена в ТГФ добавили 7.17 мл (18 ммоль) 2.5 М раствора н-бутиллития в гексане при температуре -78°C.После чего добавили 2.42 г (9 ммоль) соединения VI. Через 15 минут перемешивания реакционной смеси при охлаждении реакционный выход составил 76% (по данным ГПХ). После стандартного выделения реакции и очистки методом колоночной хроматографии выход хроматографически чистого продукта составил 4.65 г (74% от теоретически возможного). 1Н ЯМР (250 МГц, в CDCl3, ТМС/м.д.): 0.82-0.93 (перекрывающиеся сигналы, 9H), 1.25-1.45 (перекрывающиеся сигналы, 12H), 1.66 (м, 4Н, М=5, J=7.3 Гц), 2.77 (т, 4Н,.J=7.3 Гц), 6.66 (дд, 2Н, J1=3.7 Гц, J2=1.2 Гц), 6.99 (д, 2Н, J=3.7 Гц), 7.18 (дд, 4Н, J1=4.9 Гц, J2=1.2 Гц), 7.50 (дд, 4Н, J1=12.8 Гц, J2=4.2 Гц).
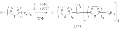
Пример 4. Синтез 2,2 -битиен-5-ил[бис(5 -гексил-2,2 -битиен-5-ил)]метилсилана (IX)

Соединение IX получали аналогично методике синтеза соединения VIII из 15.04 г (57.2 ммоль) 5-гексил-2,2 -битиофена, 23.55 мл 2.5 М раствора н-бутиллития (57.2 ммоль) в гексане, 7.99 г (28.6 ммоль) соединения VII и 400 мл ТГФ. Через 30 минут перемешивания реакционной смеси реакционный выход составил 98% (по данным ГПХ). После выделения и очистки было получено 18.20 г (90% от теоретически возможного) хроматографически чистого соединения IX. 1Н ЯМР (ДМСО-CCl4, , м.д., J/Гц): 0.88 (т, 6Н, J=6.7 Гц), 0.92 (с, 3Н), 1.24-1.40 (перекрывающиеся сигналы, 12Н), 1.64 (м, 4Н, М=5, J=7.3 Гц), 2.76 (т, 4Н, J=7.3 Гц), 6.69 (д, 2Н, J=3.05 Гц), 7.01 (д, 1H, J=3.05 Гц), 7.03 (д, 2Н, J=3.7 Гц), 7.21 (д, 2Н, J=3.7 Гц), 7.26 (д, 1Н, J=3.7 Гц), 7.29 (д, 2Н, J=3.7 Гц), 7.31 (д, 2Н, J=3.7 Гц), 7.37 (д, 1Н, J=3.7 Гц). 13С ЯМР ( в CDCl3): -0.16, 14.07, 22.56, 28.72, 30.15, 31.52, 31.55, 123.96, 124.26, 124.35, 124.79, 124.82, 125.12, 127.83, 132.96, 134.05, 134.30, 136.97, 137.78, 137.81, 144.47, 145.17, 145.94. 29Si ЯМР ( in CDCl3): -25.27. Найдено для C37H42S6Si (%): С 62.59; Н 5.89; S 27.17; Si 3.69. Вычислено (%): С 62.84; Н 5.99; S 27.20; Si 3.97.
Пример 5. Синтез [[2,2 -битиен-5-ил(метил)силандиил]бис(2,2,-битиене-5 ,5-диил)]бис[бис(5 -гексил-2,2 -битиен-5-ил)(метил)силана] (X)

Соединение X получали аналогично методике синтеза соединения IX из 16.20 г (22.90 ммоль) соединения IX, 9.16 мл 2.5 М раствора н-бутиллития (22.90 ммоль) в гексане, 3.20 г (11.45 ммоль) соединения VII и 450 мл ТГФ. Через 60 минут перемешивания реакционной смеси реакционный выход составил 90% (по данным ГПХ). После выделения и очистки было получено 15.00 г (81% от теоретически возможного) хроматографически чистого соединения X. 1Н ЯМР ( в ДМСО-CCl4, ТМС/м.д.): 0.87 (т, 12Н, J=6.7 Гц), 0.91 (с, 6Н), 0.94 (с, 3Н), 1.22-1.39 (перекрывающиеся сигналы, 24Н), 1.63 (м, 8 Н, М=5,.J=7.3 Гц), 2.75 (т, 8Н, J=7.3 Гц), 6.68 (д, 4Н, J=3.7 Гц), 7.00 (д, 1Н, J=3.7 Гц), 7.03 (д, 4Н, J=3.7 Гц), 7.20 (д, 4Н, J=3.7 Гц), 7.24 (д, 1H, J=3.7 Гц), 7.28 (д, 4Н, J=3.7 Гц), 7.30-7.35 (перекрывающиеся сигналы, 6Н), 7.35-7.40 (перекрывающиеся сигналы, 5Н). 13С ЯМР (S в CDCl3): -0.24, -0.19, 14.07, 22.55, 28.71, 30.14, 31.50, 31.54, 123.97, 124.34, 124.81, 125.15, 125.67, 125.69, 127.82, 132.87, 133.61, 134.26, 134.28, 134.74, 136.90, 137.82, 137.88, 137.91, 143.91, 144.12, 145.18, 145.92. 29SiЯМР ( in CDCl3): -25.23, -25.08. Найдено для C83H90S14Si3 (%): С 61.39; Н 5.64; S 27.60; Si 5.08. Вычислено (%): С 61.51; Н 5.60; S 27.70; Si 5.20.
Пример 6. Синтез бис(5 -гексил-2,2 -битиен-5-ил)(метил)[4-(4,4,5,5-тетраметил-1,3,2-диоксиборолан-2-ил)фенил]силан (III-1)

К раствору 1.63 г. соединения VIII в 60 мл ТГФ прикапали 1.41 мл 1.6 М раствора BuLi в гексане, поддерживая температуру ниже -90°С. Затем прибавляется 0.48 мл 2-изопропокси-4,4,5,5-тетраметил-1,3,2-диоксиборолан. Температура поднимается до комнатной и добавляется 200 мл дистиллированной воды, 300 мл диэтилового эфира и 2 мл 1N раствора HCl. После стандартного выделения реакции и очистки методом колоночной хроматографии выход хроматографически чистого продукта составил 1.39 г (82% от теоретически возможного). 1H ЯМР (250 МГц, в CDCl3, ТМС/м.д.): 0.82-0.93 (перекрывающиеся сигналы, 9Н), 1.25-1.45 (перекрывающиеся сигналы, 24 Н), 1.66 (м, 4Н, М=5, J=7.3 Гц), 2.77 (т, 4Н, J=7.3 Гц), 6.66 (д, 2Н, J=3.7 Гц), 6.99 (д, 2Н, J=3.1 Гц), 7.18 (дд, 4Н, J1 6.1 Гц, J2=3.1 Гц), 7.64 (д, 2Н, J=7.9 Гц), 7.82 (д, 2Н, J=7.9 Гц).
Пример 7. Синтез бис(5 -гексил-2,2,-битиен-5-ил)(метил)[5 -(4,4,5,5-тетраметил-1,3,2-диоксиборолан-2-ил)-2,2 -битиен-5-ил]силан (III-2)

Соединение III-2 получали аналогично методике синтеза соединения III-1 из 2.00 г (2.8 ммоль) соединения IX, 1.77 мл 1.6 М раствора н-бутиллития (2.80 ммоль) в гексане, 0.58 мл (2.8 ммоль) 2-изопропокси-4,4,5,5-тетраметил-1,3,2-диоксиборолана и 75 мл ТГФ. После выделения и очистки было получено 2.32 г хроматографически чистого соединения III-2. MS m/z 833 (М+, вычислено 833.18). 1Н ЯМР ( в ДМСО-CCl4, ТМС/м.д.): 0.87 (6Н, т, J=6.7 Гц), 0.93 (3Н, с), 1.23-1.38 (24Н, перекрывающиеся пики), 1.62 (4Н, м, М=5, J=7.3), 2.76 (4Н, т, J=7.7 Гц), 6.72 (2Н, д, J=3.1 Гц), 7.07 (2Н, д, J=3.7 Гц), 7.24 (2Н, д, J=3.7 Гц), 7.31 (2Н, д, J=3.7 Гц), 7.35 (2Н, т, J=3.1 Гц), 7.43 (2Н, т, J=3.1 Гц). 13С ЯМР (125 МГц, CDCl3): -0.18, 14.07, 22.56, 24.76, 28.72, 30.16, 31.52, 31.55, 84.17, 123.99, 124.35, 124.82, 125.51, 125.80, 132.85, 134.29, 134.85, 137.84, 137.90, 143.61, 144.24, 145.20, 145.95. Найдено для C43H53BO2S6Si (%): С 62.00; Н 6.40; S 23.04; Si 3.17. Вычислено: С, 61.99; Н 6.41; S 23.09; Si 3.37.
Пример 8. Синтез [{метил[5 -(4,4,5,5-тетраметил-1,3,2-диоксиборолан-2-ил)-2,2 -битиен-5-ил]силандиил}бис(2,2 -битиене-5 ,5-диил)]бис[бис(5 -гексил-2,2,-битиен-5-ил)(метил)силана] (III-3)

Соединение III-3 получали аналогично методике синтеза соединения III-1 из 1.1 г (0.7 ммоль) соединения X, 0.41 мл 1.6 М раствора н-бутиллития (0.7 ммоль) в гексане, 0.14 мл (0.7 ммоль) 2-изопропокси-4,4,5,5-тетраметил-1,3,2-диоксиборолана и 35 мл ТГФ. После выделения и очистки было получено 1.14 г хроматографически чистого соединения III-3. 1Н ЯМР ( в ДМСО-CCl4, ТМС/м.д.): 0.87 (т, 12Н, J=6.7 Гц), 0.91 (с, 6Н), 0.94 (с, 3Н), 1.22-1.39 (перекрывающиеся сигналы, 24Н), 1.62 (м, 8Н, М=5, J=7.3 Гц), 2.75 (т, 8Н, J=7.3 Гц), 6.69 (4Н, д, J=3.1 Гц), 7.03 (4Н, д, J=3.7 Гц), 7.20 (4Н, д, J=3.1 Гц), 7.28 (4Н, д, J=3.7 Гц), 7.30-7.35 (перекрывающиеся сигналы, 6Н), 7.39 (4Н, д, J=3.7 Гц), 7.43 (1H, д, J=3.7 Гц).
Синтез разветвленных олигоарилсиланов.
Общая методика синтеза разветвленных олигоарилсиланов: к раствору 1.0 ммоль соединения III в толуоле прибавляют 0.45 ммоль соединения IV, 0.05 ммоль катализатора, содержащего металлы VIII подгруппы таблицы Менделеева, и 3.0 ммоль основания. Перемешивают в течение нескольких часов при температуре 80°С-120°С. После окончания реакции продукт выделяют по известным методикам. Продукт очищают методом колоночной хроматографии на силикагеле.
Пример 9. Синтез разветвленного олигоарилсилана (I-1)

Разветвленный олигоарилсилан I-1 получали по общей методике синтеза из 1.12 г соединения III-2, 0.15 г 1,4-дибромфенола, 0.077 г катализатора Pd(PPh3)4, 2 мл 2М раствора Na2CO3 в воде и 20 мл толуола. После выделения и очистки было получено 0.46 г (50% от теоретически возможного) чистого разветвленного олигоарилсилана (I-1). 1Н ЯМР (250 МГц, в ДМСО-CCl4, ТМС/м.д.):: 0.88 (т, 12Н, J=6.7 Гц), 0.93 (с, 6Н), 1.25-1.45 (перекрывающиеся сигналы, 24 Н), 1.63 (м, 8Н, М=5, J=7.3 Гц), 2.76 (т, 8Н, J=7.3 Гц), 6.70 (д, 4Н, J=3.7 Гц), 7.05 (д, 4Н, J=3.7 Гц), 7.23 (д, 4Н, J=3.1 Гц), 7.28 (д, 2Н, J=3.7 Гц), 7.31 (д, 4Н, J=3.7 Гц), 7.36 (дд, 4Н, J1=7.3 Гц, J2=3.7 Гц), 7.43 (д, 2Н, J=3.7 Гц), 7.63 (с, 4Н).
Пример 10. Синтез разветвленного олигоарилсилана (I-2)

Разветвленный олигоарилсилан I-2 получали по общей методике синтеза из 1.23 г соединения III-1, 0.23 г 9,10-дибромантрацен, 0.096 г катализатора Pd(PPh3)4, 2,5 мл 2М раствора Na2CO3 в воде и 30 мл толуола. После выделения и очистки было получено 0.937 г (97% от теоретически возможного) чистого разветвленного олигоарилсилана (I-2). 1Н ЯМР (250 МГц, в CDCl3, ТМС/м.д.): 0.88 (т, 12Н, J=6.7 Гц), 1.03 (с, 6Н), 1.25-1.45 (перекрывающиеся сигналы, 24 Н), 1.63 (м, 8Н, М=5, J=7.3 Гц), 2.78 (т, 8Н, J=7.3 Гц), 6.69 (д, 4Н, J=3.7 Гц), 7.06 (д, 4Н, J=3.7 Гц), 7.24 (д, 4Н, J=3.7 Гц), 7.28-7.37 (перекрывающиеся сигналы, 8Н), 7.51 (д, 4Н, J=7.9 Гц), 7.69 (д, 2Н, J=3.1), 7.72 (д, 2Н, J=3.1 Гц), 7.87 (д, 4Н, J=7.9 Гц).
Пример 11. Синтез разветвленного олигоарилсилана (I-3)

Разветвленный олигоарилсилан I-3 получали по общей методике синтеза из 1.05 г соединения III-3, 0.057 г 1,4-дибромфенола, 0.035 г катализатора Pd(PPh3)4, 1 мл 2М раствора Na2CO3 в воде и 15 мл толуола. После выделения и очистки было получено 0.343 г (43% от теоретически возможного) чистого разветвленного олигоарилсилана (I-3). 1Н ЯМР ( в ДМСО-CCl4, ТМС/м.д.): 0.89 (т, 24Н, J=6.7 Гц), 0.92 (с, 18Н), 0.94 (с, 6Н), 1.22-1.45 (перекрывающиеся сигналы, 48Н), 1.66 (м, 16 Н, М=5, J=7.3 Гц), 2.77 (т, 16Н, J=7.3 Гц), 6.62 (8Н, д, J=3.7 Гц), 6.97 (8Н, д, J=3.7 Гц), 7.14 (8Н, д, J=3.7 Гц), 7.19 (2Н, д, J=3.7 Гц), 7.22-7.35 (перекрывающиеся сигналы, 30Н), 7.57 (4Н, с).
| Таблица |
| Разветвленные олигоарилсиланы и способ их получения |
| Олигоарилсилан |
Растворитель |
Максимум спектра поглощения, нм |
Максимум спектра люминесценции, нм |
Q,% |
Е,% |
| 1-1 |
ТГФ |
334/404 |
456/485 |
55 |
99±1 |
| 1-2 |
ТГФ |
261/333/375/396 |
418/431 |
81 |
75±5 |
| 1-3 |
ТГФ |
334/404 |
456/485 |
55 |
90±2 |
| Примечание: Q – квантовый выход люминесценции, Е – эффективность внутримолекулярного переноса энергии. |
Формула изобретения
1. Разветвленные олигоарилсиланы общей формулы (I),
 где R означает заместитель из ряда: линейные или разветвленные С1-С20 алкильные группы; линейные или разветвленные С1-С20 алкильные группы, разделенные по крайней мере одним атомом кислорода; линейные или разветвленные С1-С20 алкильные группы, разделенные по крайней мере одним атомом серы; разветвленные С3-С20 алкильные группы, разделенные по крайней мере одним атомом кремния; С2-С20 алкенильные группы, Ar означает одинаковые или различные ариленовые или гетероариленовые радикалы, выбранные из ряда: замещенный или незамещенный тиенил-2,5-диил общей формулы (II-а)
 замещенный или незамещенный фенил-1,4-диил общей формулы (II-б),
 замещенный или незамещенный 1,3-оксазол-2,5-диил общей формулы (II-в)  замещенный флуорен-4,4 -диил общей формулы (II-г)
 замещенный циклопентадитиофен-2,7-диил общей формулы (II-д)
 где R1, R2, R3, R4, R5 независимо друг от друга означают Н или заместитель из вышеуказанного ряда для R; R6, R7, R8, R9 означает заместитель из вышеуказанного ряда для R, Q означает радикал из вышеуказанного ряда для Ar, X означает по крайней мере один радикал, выбранный из вышеуказанного ряда для Ar и/или радикал из ряда: 2,1,3-бензотиодиазол-4,7-диил общей формулы (II-е)
 антрацен-9,10-диил формулы (II-ж)
 1,3,4-оксадиазол-2,5-диил общей формулы (II-з)
 1-фенил-2-пиразолин-3,5-диил общей формулы (II-и)  перилен-3,10-диил общей формулы (II-к)
. L равно 1 или 3 или 7, предпочтительно 1 или 3; n означает целое число из ряда от 2 до 4, m означает целое число из ряда от 1 до 3, k означает целое число из ряда от 1 до 3.
2. Разветвленные олигоарилсиланы по п.1, отличающиеся тем, что Ar означает тиенил-2,5-диил, выбранный из ряда соединений формулы (II-а).
3. Разветвленные олигоарилсиланы по п.1, отличающиеся тем, что X означает фенил-1,4-диил, выбранный из ряда (II-б), с условием, что Q означает тиенил-2,5-диил, выбранный из ряда соединений формулы (II-а), m равно 1, k равно 2.
4. Разветвленные олигоарилсиланы по п.1, отличающиеся тем, что X означает антрацен-9,10-диил (II-д), с условием, что Q означает фенил-1,4-диил, выбранный из ряда соединений формулы (II-б), m равно 1, к равно 1.
5. Разветвленные олигоарилсиланы по любому из пп.1-4, отличающиеся тем, что n равно 2.
6. Разветвленные олигоарилсиланы по любому из пп.1-4, отличающиеся тем, что L равно 1.
7. Разветвленные олигоарилсиланы по любому из пп.1-4, отличающиеся тем, что L равно 3.
8. Разветвленные олигоарилсиланы по любому из пп.1-4, отличающиеся тем, что они имеют квантовый выход люминесценции не менее 30%, преимущественно не менее 50%.
9. Разветвленные олигоарилсиланы по любому из пп.1-4, отличающиеся тем, что они обладают внутримолекулярным переносом энергии с эффективностью не менее 70%, преимущественно не менее 90%.
10. Разветвленные олигоарилсиланы по любому из пп.1-4, отличающиеся тем, что они термостабильны до температуры не менее 200°С, предпочтительно не менее 400°С.
11. Способ получения разветвленных олигоарилсиланов по любому из пп.1-10, заключающийся в том, что соединения общей формулы (III)
 где Y означает остаток борной кислоты или ее эфира или Br или I, R, Ar, Q, n, k и L имеют вышеуказанные значения, взаимодействуют в условиях реакции Сузуки с реагентом общей формулы (IV)
, где А означает: Br или I, при условии, что Y означает остаток борной кислоты или ее эфира, или остаток борной кислоты или ее эфира, при условии, что Y означает Br или I; Х и m имеют вышеуказанные значения.
12. Способ по п.11, отличающийся тем, что эфиром борной кислоты является эфир, выбранный из ряда: 4,4,5,5-тетраметил-1,3,2-диоксаборолан общей формулы (V-a)  1,3,2-диоксаборолан общей формулы (V-б)
 1,2,3-диоксаборинан общей формулы (V-в)
 5,5-диметил-1,2,3-диоксаборинан общей формулы (V-г)

13. Способ по п.11, отличающийся тем, что в соединении формулы (III) Ar означает тиенил-2,5-диил, выбранный из ряда соединений формулы (II-а).
14. Способ по п.11, отличающийся тем, что А в соединении формулы (IV) означает Br.
15. Способ по п.11, отличающийся тем, что X в соединении формулы (IV) означает фенил-1,4-диил, выбранный из ряда (II-б), с условием, что радикалы Ar и Q означают тиенил-2,5-диил, выбранный из ряда соединений формулы (II-а).
16. Способ по п.11, отличающийся тем, что X в соединении формулы (IV) означает антрацен-9,10-диил (II-д), с условием, что радикал Q означает фенил-1,4-диил, выбранный из ряда соединений формулы (II-б), m равно 1, k равно 1.
17. Способ по любому из пп.11-16, отличающийся тем, что в соединении формулы (III) n равно 2.
18. Способ по любому из пп.11-16, отличающийся тем, что в соединении формулы (III) L равно 1.
19. Способ по любому из пп.11-16, отличающийся тем, что в соединении формулы (III) L равно 3.
20. Способ по любому из пп.11-16, отличающийся тем, что взаимодействие компонентов осуществляют при температуре от 20 до 200°С, предпочтительно при температуре от 60 до 120°С.
21. Способ по любому из пп.11-16, отличающийся тем, что взаимодействие компонентов проводят в среде органического растворителя, выбранного из ряда толуол, тетрагидрофуран, этанол, диметилформамид или их смесей.
22. Способ по любому из пп.11-16, отличающийся тем, что полученные разветвленные олигоарилсиланы имеют квантовый выход люминесценции не менее 30%, преимущественно не менее 50%.
23. Способ по любому из пп.11-16, отличающийся тем, что полученные разветвленные олигоарилсиланы обладают внутримолекулярным переносом энергии с эффективностью не менее 70%, преимущественно не менее 90%.
24. Способ по любому из пп.11-16, отличающийся тем, что полученные разветвленные олигоарилсиланы термостабильны до температуры не менее 200°С, предпочтительно не менее 400°С.
РИСУНКИ
|
|