|
|
(21), (22) Заявка: 2006140068/04, 06.04.2005
(24) Дата начала отсчета срока действия патента:
06.04.2005
(30) Конвенционный приоритет:
15.04.2004 US 60/562,513
(43) Дата публикации заявки: 27.05.2008
(46) Опубликовано: 10.08.2010
(56) Список документов, цитированных в отчете о поиске:
ЕР 1336389 А1, 20.08.2003. RU 2091385 C1, 27.09.1997. RU 2180667 C2, 20.03.2002. RU 2057759 C1, 10.04.1996. US 5942290 A, 24.08.1999.
(85) Дата перевода заявки PCT на национальную фазу:
15.11.2006
(86) Заявка PCT:
EP 2005/051522 20050406
(87) Публикация PCT:
WO 2005/100408 20051027
Адрес для переписки:
101000, Москва, М.Златоустинский пер., 10, кв.15, “ЕВРОМАРКПАТ”, пат.пов. И.А.Веселицкой, рег. 11
|
(72) Автор(ы):
ЗИТЦМАНН Юджин Валентайн (US), ВОСТРАЦКИ Доналд (US), ЯНКАУСКАС Дженнифер (US), ЛОСАПИО Грег (US)
(73) Патентообладатель(и):
ЦИБА СПЕШИАЛТИ КЕМИКЭЛЗ ХОЛДИНГ ИНК. (CH)
|
(54) СПОСОБ ФОТОХИМИЧЕСКОГО ОТВЕРЖДЕНИЯ СВЕТОИЗЛУЧАЮЩИМИ ДИОДАМИ
(57) Реферат:
Настоящее изобретение относится к способу фотохимического отверждения толстослойных этиленовоненасыщенных систем светоизлучающим диодным источником света. Описан способ отверждения этиленовоненасыщенных способных полимеризоваться соединений, для получения покрытий, наружных смоляных слоев или клеев, обладающих толщиной сечения толще чем примерно 0,25 мм, который включает добавление к указанным соединениям по меньшей мере одного ацилфосфиноксидного фотоинициатора и облучение полученной таким образом смеси светом от светоизлучающего диодного источника. Технический результат – хорошее поверхностное отверждение и хорошее отверждение в массе без образования поверхностных морщин в случае толстых сечений. 14 з.п. ф-лы.
Целью настоящего изобретения является разработка способа фотохимического отверждения некоторых толстослойных этиленовоненасыщенных систем светоизлучающим диодным (СИД) источником света.
Светоизлучающие диодные источники света используют, например, для стоматологических целей. Так, в частности, это изложено в заявках US 2002113217, 2002115037 и 2001046652, СА 2332190, JP 2000271155, US  6200134 и 6159005, ЕР 780104, ЕР 780103, US  5316473 и 6007965. Соответствующие описания к заявкам и патентам US включены в настоящее описание в качестве ссылок.
Эффективное отверждение некоторых покрытий толстого сечения, наружных смоляных слоев, композитов и клеев сопряжено с затруднениями технологического порядка. При этом речь идет, например, о толстых сечениях, которые толще примерно 10 мил [т.е. примерно 0,25 мм].
Осуществление предлагаемого способа обеспечивает, что неожиданно, хорошее поверхностное отверждение и хорошее отверждение в массе без образования поверхностных морщин в случаях толстых сечений. Также неожиданно то, что при осуществлении предлагаемого способа толстые сечения отверждаются быстрее, чем тонкие слои. Это особенно неожиданно, поскольку в случаях с обычными источниками света, такими как ультрафиолетовое излучение или излучение в видимой области спектра, действительность свидетельствует об обратном.
Следовательно, объектом изобретения является способ отверждения этиленовоненасыщенных способных полимеризоваться соединений,
который включает
добавление к указанным соединениям по меньшей мере одного ацилфосфиноксидного фотоинициатора
и облучение полученной таким образом смеси светом от светоизлучающего диодного источника.
Целесообразно использовать смеси моноацилфосфиноксидных и бисацилфосфиноксидных фотоинициаторов.
Также целесообразно использовать смеси либо моноацилфосфиноксидных, либо бисацилфосфиноксидных фотоинициаторов с -гидроксикетоновыми фотоинициаторами.
Подобным же образом используют смеси моноацилфосфиноксидных, бисацилфосфиноксидных и -гидроксикетоновых фотоинициаторов.
Предлагаемый способ приемлем, в частности, для толстых покрытий, толстых наружных смоляных слоев, толстых многослойных композитов или толстых клеевых слоев.
Толстые покрытия обладают толщиной больше примерно 10 мил [т.е. примерно 0,25 мм], в частности от больше 10 до примерно 30 мил [т.е. примерно 0,76 мм]. Данные толстые покрытия представляют собой, например, покрытия для металла, пластика или стекла. Эти покрытия представляют собой, например, покрытия на акрилатной основе.
Данные клеи являются толстослойными клеями, например больше примерно 10 мил, в частности от больше примерно 10 мил [т.е. примерно 0,25 мм] до примерно 30 мил [т.е. примерно 0,76 мм]. Этими клеями являются, например, клеи для послойного формования, конструкционные или чувствительные к давлению клеи, такие как, например, чувствительные к давлению термоплавкие клеи.
Упомянутыми клеями могут быть термоплавкие клеи, а также водные или растворные клеи. Так, в частности, приемлемы чувствительные к давлению клеи, например УФ-отверждаемые термоплавкие чувствительные к давлению клеи. Упомянутые клеи включают, например, по меньшей мере один каучуковый компонент, по меньшей мере один полимерный компонент в качестве вещества для повышения клейкости и по меньшей мере один масляный компонент, например в массовом соотношении 30:50:20. Приемлемые вещества для повышения клейкости представляют собой природные или синтетические смолы. Специалисту в данной области техники известны соответствующие подходящие соединения, а также приемлемые масляные компоненты или каучуки.
Наружные смоляные слои также обладают толщиной больше примерно 10 мил [т.е. примерно 0,25 мм], в частности от больше примерно 10 до примерно 30 мил [т.е. примерно 0,76 мм]. Наружные смоляные слои как правило являются белыми, включающими в высокой концентрации TiO2, в частности в пределах от примерно 10 до примерно 25 мас.% в пересчете на всю композицию.
Так, например, толщина данных покрытий, клеевых слоев и наружных смоляных слоев составляет больше примерно 11, 12, 13, 14 или больше примерно 15 мил [больше примерно 0,28, 0,31, 0,325, 0,36 или больше примерно 0,38 мм].
Композиты представляют собой многослойные толстые системы, в частности толщиной больше примерно 25 мил [примерно 0,64 мм], в частности от примерно 25 до примерно 300 мил [примерно 7,6 мм]. Композиты включают, в частности, от примерно 2 до примерно 8 слоев. Композитные материалы представляют собой, например, стирольные сложные полиэфиры, которые могут включать стеклянные волокна и другие вспомогательные материалы. Композитную композицию готовят из самостоятельного матричного материала, например из стеклоткани или, кроме того, например, из растительных волокон (ср. K.-P.Mieck и T.Reussmann в Kunststoffe 85 (1995), 366-370), которые пропитывают фотохимически отверждаемой композицией. Формованные изделия, которые изготавливают из композитных композиций, обладают высокими механическими устойчивостью и прочностью.
Композиты в соответствии с настоящим изобретением используют, например, в лодках, панелях из древесно-стружечных плит или фанеры, покрытых с обеих сторон армированным стекловолокном пластиком, трубах, контейнерах и т.п. Другими примерами композитов являются покрытия из ненасыщенной полиэфирной смолы для молдингов, включающие стеклянные волокна (СП, стеклопластики), например на волокнистых листах и бумажных ламинатах. Бумажные ламинаты могут быть также изготовлены на основе карбамидных или меламиновых смол. Перед изготовлением ламината на подложке (например, на листе) получают покрытие. Дополнительное преимущество состоит в том, что композитная композиция может быть удалена от источника света в частично отвержденном, пластичном состоянии и подвергнута формованию. В дальнейшем проводят полное отверждение.
Данные композиты являются, например, прозрачными.
СИД источники света в соответствии с изобретением работают с низким тепловыделением. Так, например, СИД источники света работают при примерно 390 нм плюс или минус 30 нм, при примерно 250 мВт/см2. СИД источники света работают с низким тепловыделением, например при температуре ниже точек кипения летучих веществ в смоле, в частности ниже точки кипения стирола под атмосферным давлением.
Ацилфосфиноксидные фотоинициаторы описаны, например, в патентах US  4324744, 4737593, 5942290, 5534559, 6020528, 6486228 и 6486226, соответствующее содержание которых включено в настоящее описание в качестве ссылок.
Ацилфосфиноксидные фотоинициаторы представляют собой бисацилфосфиноксиды или моноацилфосфиноксиды.
Бисацилфосфиноксидные фотоинициаторы отвечают формуле I

в которой R50 обозначает С1-С12алкил, циклогексил или фенил, который не замещен или замещен 1-4 атомами галогена или С1-С8алкилами;
R51 и R52 каждый независимо друг от друга обозначает С1-С8алкил или С1-С8алкокси;
R53 обозначает водородный атом или С1-С8алкил; a R54 обозначает водородный атом или метил.
Например, R50 обозначает С2-С10алкил, циклогексил или фенил, который не замещен или замещен 1-4 С1-С4алкилами, Сl или Вr.
Другим вариантом является тот, в котором R50 обозначает С3-С8алкил, циклогексил или фенил, который не замещен или замещен в положениях 2, 3, 4 или 2,5 С1-С4алкилом.
Так, например, R50 обозначает С4-С12алкил или циклогексил, R51 и R52 каждый независимо друг от друга обозначает С1-С8алкил или С1-С8алкокси, а R53 обозначает водородный атом или С1-С8алкил.
Так, например, R51 и R52 обозначают С1-С4алкил или С1-С4алкокси, a R53 обозначает водородный атом или С1-С4алкил. Другим вариантом является тот, в котором R51 и R52 обозначают метил или метокси, а R53 обозначает водородный атом или метил.
Так, например, R51, R52 и R53 обозначают метил.
Другим вариантом является тот, в котором R51, R52 и R53 обозначают метил, а R54 обозначает водородный атом.
Другим вариантом является тот, в котором R50 обозначает С3-С8алкил.
Так, например, R51 и R52 обозначают метокси, R53 и R54 обозначают водородный атом, а R50 обозначает изооктил.
Например, R50 обозначает изобутил.
Например, R50 обозначает фенил.
Данный бисацилфосфиноксидный фотоинициатор представляет собой, например, бис-(2,4,6-триметилбензоил)фенилфосфиноксид (CAS# 162881-26-7) или представляет собой бис-(2,4,6-триметилбензоил)-(2,4-биспентилоксифенил)фосфиноксид.
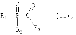
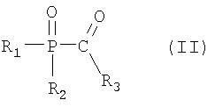
Моноацилфосфиноксидные фотоинициаторы отвечают формуле II

в которой R1 и R2 независимо друг от друга обозначают С1-С12алкил, бензил, фенил, который не замещен или замещен от одного до четырех раз атомом галогена, С1-С8алкилом и/или С1-С8алкокси, или обозначают циклогексил или группу -СОR3, или
R1 обозначает -ОR4;
R3 обозначает фенил, который не замещен или замещен от одного до четырех раз С1-С8алкилом, С1-С8алкокси, С1-С8алкилтио и/или атомом галогена; а R4 обозначает С1-С8алкил, фенил или бензил.
Например, R1 обозначает -OR4.
Например, R2 обозначает фенил, который не замещен или замещен от одного до четырех раз атомом галогена, С1-С8алкилом и/или С1-С8алкокси.
Так, например, R3 обозначает фенил, который не замещен или замещен от одного до четырех раз С1-С8алкилом.
Например, данный моноацилфосфиноксид представляет собой 2,4,6-триметилбензоилэтоксифенилфосфиноксид (CAS# 84434-11-7) или 2,4,6-триметилбензоилдифенилфосфиноксид (CAS# 127090-72-6).
В предлагаемом способе можно использовать дополнительные фотоинициаторы, например -гидроксикетоновые фотоинициаторы формулы III
,
где R11 и R12 независимо друг от друга обозначают водородный атом, С1-С6алкил, фенил, С1-С6алкокси, OSiR16(R17)2 или -O(СН2СН2O)q-С1-С6алкил, или R11 и R12 совместно с углеродным атомом, с которым они связаны, образуют циклогексильное кольцо;
q обозначает число от 1 до 20;
R13 обозначает ОН, С1-С16алкокси или -O(СН2СН2O)q-С1-С6алкил;
R14 обозначает водородный атом, С1-С18алкил, С1-С12гидроксиалкил, С1-С18 алкокси, -OCH2CH2-OR15, -CH=CH2, -С(СН3)=СН2 или обозначает
  
или 
n обозначает число от 2 до 10;
R15 обозначает водородный атом, -СОСН=СН2 или -СОС(СН3)=СН2;
R16 и R17 независимо друг от друга обозначают С1-С8алкил или фенил; а G3 и G4 независимо друг от друга обозначают концевые группы полимерной структуры, предпочтительно водородный атом или метил.
-Гидроксикетоновые фотоинициаторы, которые вызывают интерес, представляют собой те, у которых R11 и R12 независимо друг от друга обозначают водородный атом, С1-С6алкил или фенил, или R11 и R12 совместно с углеродным атомом, с которым они связаны, образуют циклогексильное кольцо, R13 обозначает ОН, а R14 обозначает водородный атом, С1-С12алкил, С1-С12алкокси, -OCH2CH2OR15, -С(СН3)=СН2 или обозначает
  
или
Например, приемлемыми в качестве -гидроксикетоновых фотоинициаторов являются те, у которых R11 и R12 независимо друг от друга обозначают метил или этил или R11 и R12 совместно с углеродным атомом, с которым они связаны, образуют циклогексильное кольцо, R13 обозначает водородный атом, a R14 обозначает водородный атом, С1-С4алкил, С1-С4алкокси или -ОСН2СН2ОН.
Интерес также представляют соединения, у которых R14 обозначает
или 
Например, приемлемые -гидроксикетоновые фотоинициаторы представляют собой
-гидроксициклогексилфенилкетон,
2-гидрокси-2-метил-1-фенилпропанон,
2-гидрокси-2-метил-1-(4-изопропилфенил)пропанон,
2-гидрокси-2-метил-1-(4-додецилфенил)пропанон,
2-гидрокси-1-{4-[4-(2-гидрокси-2-метилпропионил)бензил]фенил}-2-метилпропан-1-он и
2-гидрокси-2-метил-1-[(2-гидроксиэтокси)фенил]пропанон.
Предлагаемый -гидроксикетоновый фотоинициатор представляет собой, например, -гидроксициклогексилфенилкетон или 2-гидрокси-2-метил-1-фенил-1-пропанон.
Прямоцепочечный или разветвленный алкил представляет собой, например, метил, этил, пропил, изопропил, бутил, изобутил, втор-бутил, трет-бутил, пентил, изопентил, изооктил, гексил, гептил, октил, нонил, децил или додецил. Подобным же образом алкокси или алкилтио являются также прямоцепочечными или разветвленными.
Приемлемые фотоинициаторные смеси (ФИ смеси) описаны, например, в US 6020528 и заявке US 60/498848, поданной 29 августа 2003 г., содержание которых включено в настоящее описание в качестве ссылок.
Предлагаемые ФИ (фотоинициаторные) смеси представляют собой, например, смесь бис-(2,4,6-триметилбензоил)фенилфосфиноксида (CAS# 162881-26-7) и 2,4,6,-триметилбензоилэтоксифенилфосфиноксида (CAS# 84434-11-7) в соотношениях масса:массу примерно 1:11, 1:10, 1:9, 1:8 или 1:7.
Другая особенно приемлемая ФИ смесь представляет собой смесь бис-(2,4,6-триметилбензоил)фенилфосфиноксида, 2,4,6,-триметилбензоилэтоксифенилфосфиноксида и 2-гидрокси-2-метил-1-фенил-1-пропанона (CAS# 7473-98-5) в массовых соотношениях, в частности, примерно 3:1:15 или 3:1:16, или 4:1:15, или 4:1:16.
Другая приемлемая ФИ смесь представляет собой смесь бис-(2,4,6-триметилбензоил)фенилфосфиноксида и 2-гидрокси-2-метил-1-фенил-1-пропанона в массовых соотношениях, в частности, примерно 1:3, 1:4 или 1:5.
Предлагаемый ацилфосфиноксидный ФИ или ФИ смесь содержится в отверждаемых облучением композициях в количестве от примерно 0,2 до примерно 10 мас.% в пересчете на массу композиции. Так, например, ФИ или ФИ смесь содержится в количестве от примерно 0,5 до примерно 8%, от примерно 1 до примерно 7% или примерно 2, 3, 4, 5 или 6 мас.% в пересчете на массу отверждаемой облучением композиции.
Другие приемлемые фотоинициаторы в соответствии с настоящим изобретением представляют собой, например, другие моно- или бисацилфосфиноксиды, такие как дифенил-2,4,6-триметилбензоилфосфиноксид и бис-(2,6-диметоксибензоил)-2,4,4-триметилпентилфосфиноксид; -гидроксикетоны, такие как 1-гидроксициклогексилфенилкетон и 2-гидрокси-1-[4-(2-гидроксиэтокси)фенил]-2-метил-1-пропанон; -аминокетоны, такие как 2-метил-1-[4-(метилтио)фенил]-2-(4-морфолинил)-1-пропанон, 2-бензил-2-(диметиламино)-1-[4-(4-морфолинил)фенил]-1-бутанон, 2-(4-метилбензил-2-(диметиламино)-1-[4-(4-морфолинил)фенил]-1-бутанон и 2-бензил-2-(диметиламино)-1-[3,4-диметоксифенил]-1-бутанон; бензофеноны, такие как бензофенон, 2,4,6-триметилбензофенон, 4-метилбензофенон, 2-метилбензофенон, 2-метоксикарбонилбензофенон, 4,4′-бис-(хлорметил)бензофенон, 4-хлорбензофенон, 4-фенилбензофенон, 4,4′-бис-(диметиламино)бензофенон, 4,4′-бис-(диэтиламино)бензофенон, метил-2-бензоилбензоат, 3,3′-диметил-4-метоксибензофенон, 4-(4-метилфенилтио)бензофенон, 2,4,6-триметил-4′-фенилбензофенон и 3-метил-4′-фенилбензофенон; кеталевые соединения, например 2,2-диметокси-1,2-дифенилэтанон, и эфиры мономерной и димерной фенилглиоксиловых кислот, такие как эфир метилфенилглиоксиловой кислоты, 5,5′-оксоди(этиленоксидикарбонилфенил) и 1,2-(бензоилкарбокси)этан.
Другие приемлемые фотоинициаторы в соответствии с настоящим изобретением совместно или без ацилфосфиноксидных фотоинициаторов представляют собой, например, эфиры оксимов, как это изложено в патенте US 6596445, описание к которому включено в настоящее описание в качестве ссылки. Приемлемый эфир оксима как фотоинициатор представляет собой, например,

Другой класс подходящих фотоинициаторов в соответствии с настоящим изобретением совместно или без ацилфосфиноксидных фотоинициаторов составляют, например, фенилглиоксалаты, как это изложено, в частности, в патенте US 6048660, описание к которому включено в настоящее описание в качестве ссылки, например фенилглиоксалаты формулы
в которой Y обозначает С1-С12алкилен, циклогексилен, С2-С40алкилен, прерываемый один или несколько раз циклогексиленом. О, S или NR30, а R30 обозначает водородный атом, С1-С12алкил или фенил, в предпочтительном варианте Y обозначает CH2CH2-O-СН2СН2.
Фотохимически полимеризующиеся смеси могут, в дополнение к фотоинициатору, включать различные добавки. Их примерами являются термоингибиторы, которые предназначены для того, чтобы предотвратить преждевременную полимеризацию, причем примерами служат гидрохинон, производные гидрохинона, п-метоксифенол, бета-нафтол и пространственно затрудненные фенолы, такие как 2,6-ди(трет-бутил)-п-крезол. Срок годности при хранении в темноте может быть увеличен, например, с использованием соединений меди, таких как нафтенат меди, стеарат меди и октоат меди, соединений фосфора, например трифенилфосфина, трибутилфосфина, триэтилфосфита, трифенилфосфита и трибензилфосфита, четвертичных аммониевых соединений, таких как тетраметиламмонийхлорид и триметилбензиламмонийхлорид, или гидроксиламиновых производных, таких как N-диэтилгидроксиламин. С целью изолировать во время полимеризации от атмосферного кислорода можно добавлять парафиновые или аналогичные воскоподобные вещества; они мигрируют к поверхности в начале полимеризации вследствие их низкой растворимости в полимере и образуют прозрачный поверхностный слой, который предотвращает попадание воздуха. Можно также применять кислородный барьерный слой. Светостабилизаторы, которые можно добавлять, представляют собой поглотители УФ-лучей, например хорошо известные технические поглотители УФ-лучей типа гидроксифенилбензотриазола, гидроксифенилбензофенона, оксальамида или гидроксифенил-симм.триазина. Существует возможность для применения таких соединений самостоятельно или их смесей совместно или без использования пространственно затрудненных аминных светостабилизаторов (ЗАСС). Пространственно затрудненные амины являются, например, соединениями на основе 2,2,6,6-тетраметилпиперидина.
Поглотители УФ-лучей и пространственно затрудненные амины представляют собой, в частности:
2-(2-гидроксифенил)-2Н-бензотриазолы, например известные технические гидроксифенил-2Н-бензотриазолы и бензотриазолы, которые описаны в US  3004896, 3055896, 3072585, 3074910, 3189615, 3218332, 3230194, 4127586, 4226763, 4275004, 4278589, 4315848, 4347180, 4383863, 4675352, 4681905 4853471, 5268450, 5278314, 5280124, 5319091, 5410071, 5436349, 5516914, 5554760, 5563242, 5574166, 5607987 5977219 и 6166218, такие как 2-(2-гидрокси-5-метилфенил)-2Н-бензотриазол, 2-(3,5-дитрет-бутил-2-гидроксифенил)-2Н-бензотриазол, 2-(2-гидрокси-5-трет-бутилфенил)-2Н-бензотриазол, 2-(2-гидрокси-5-трет-октилфенил)-2Н-бензотриазол, 5-хлор-2-(3,5-дитрет-бутил-2-гидроксифенил)-2Н-бензотриазол, 5-хлор-2-(3-трет-бутил-2-гидрокси-5-метилфенил)-2Н-бензотриазол, 2-(3-втор-бутил-5-трет-бутил-2-гидроксифенил)-2Н-бензотриазол, 2-(2-гидрокси-4-октилоксифенил)-2Н-бензотриазол, 2-(3,5-дитрет-амил-2-гидроксифенил)-2Н-бензотриазол, 2-(3,5-бис- -куменил-2-гидроксифенил)-2Н-бензотриазол, 2-(3-трет-бутил-2-гидрокси-5-(2-( -гидроксиокта(этиленокси)карбонилэтил)-, фенил)-2Н-бензотриазол, 2-(3-додецил-2-гидрокси-5-метилфенил)-2Н-бензотриазол, 2-(3-трет-бутил-2-гидрокси-5-(2-октилоксикарбонил)этилфенил)-2Н-бензотриазол, додецилированный 2-(2-гидрокси-5-метилфенил)-2Н-бензотриазол, 2-(3-трет-бутил-2-гидрокси-5-(2-октилоксикарбонилэтил)фенил)-5-хлор-2Н-бензотриазол, 2-(3-трет-бутил-5-(2-(2-этилгексилокси)карбонилэтил)-2-гидроксифенил)-5-хлор-2Н-бензотриазол, 2-(3-трет-бутил-2-гидрокси-5-(2-метоксикарбонилэтил)фенил)-5-хлор-2Н-бензотриазол, 2-(3-трет-бутил-2-гидрокси-5-(2-метоксикарбонилэтил)фенил)-2Н-бензотриазол, 2-(3-трет-бутил-5-(2-(2-этилгексилокси)карбонилэтил)-2-гидроксифенил)-2Н-бензотриазол, 2-(3-трет-бутил-2-гидрокси-5-(2-изооктилоксикарбонилэтил)фенил-2Н-бензотриазол, 2,2′-метилен-бис-(4-трет-октил(6-2Н-бензотриазол-2-ил)фенол), 2-(2-гидрокси-3- -куменил-5-трет-октилфенил)-2Н-бензотриазол, 2-(2-гидрокси-3-трет-октил-5- -куменилфенил)-2Н-бензотриазол, 5-фтор-2-(2-гидрокси-3,5-ди- -куменилфенил)-2Н-бензотриазол, 5-хлор-2-(2-гидрокси-3,5-ди- -куменилфенил)-2Н-бензотриазол, 5-хлор-2-(2-гидрокси-3- -куменил-5-трет-октилфенил)-2Н-бензотриазол, 2-(3-трет-бутил-2-гидрокси-5-(2-изооктилоксикарбонилэтил)фенил)-5-хлор-2Н-бензотриазол, 5-трифторметил-2-(2-гидрокси-3-а-куменил-5-трет-октилфенил)-2Н-бензотриазол, 5-трифторметил-2-(2-гидрокси-5-трет-октилфенил)-2Н-бензотриазол, 5-трифторметил-2-(2-гидрокси-3,5-дитрет-октилфенил)-2Н-бензотриазол, метил-3-(5-трифторметил-2Н-бензотриазол-2-ил)-5-трет-бутил-4-гидроксигидроциннамат, 5-бутилсульфонил-2-(2-гидрокси-3- -куменил-5-трет-октилфенил)-2Н-бензотриазол, 5-трифторметил-2-(2-гидрокси-3- -куменил-5-трет-бутилфенил)-2Н-бензотриазол, 5-трифторметил-2-(2-гидрокси-3,5-дитрет-бутилфенил)-2Н-бензотриазол, 5-трифторметил-2-(2-гидрокси-3,5-ди- -куменилфенил)-2Н-бензотриазол, 5-бутилсульфонил-2-(2-гидрокси-3,5-дитрет-бутилфенил)-2Н-бензотриазол и 5-фенилсульфонил-2-(2-гидрокси-3,5-дитрет-бутилфенил)-2Н-бензотриазол;
2-гидроксибензофеноны, например 4-гидрокси-, 4-метокси-, 4-октилокси-, 4-децилокси-, 4-додецилокси-, 4-бензилокси-, 4,2′,4′-тригидрокси- и 2′-гидрокси-4,4′-диметоксипроизводные;
эфиры замещенных и незамещенных бензойных кислот, например 4-трет-бутилфенилсалицилат, фенилсалицилат, октилфенилсалицилат, дибензоилрезорцин, бис-(4-трет-бутилбензоил)резорцин, бензоилрезорцин, 2,4-дитрет-бутилфенил-3,5-дитрет-бутил-4-гидроксибензоат, гексадецил-3,5-дитрет-бутил-4-гидроксибензоат, октадецил-3,5-дитрет-бутил-4-гидроксибензоат, 2-метил-4,6-дитрет-бутилфенил-3,5-дитрет-бутил-4-гидроксибензоат;
акрилаты и малонаты, например этиловый эфир или изооктиловый эфир -циано- , -дифенилакриловой кислоты, метиловый эфир -карбометоксикоричной кислоты, метиловый эфир или бутиловый эфир -циано- -метил-п-метоксикоричной кислоты, метиловый эфир -карбометокси-п-метоксикоричной кислоты, N-( -карбометокси- -циановинил)-2-метилиндолин, продукт Sanduvor® PR25, диметил-п-метоксибензилиденмалонат (CAS# 7443-25-6) и продукт Sanduvor® PR31, ди(1,2,2,6,6-пентаметилпиперидин-4-ил)-п-метоксибензилиденмалонат (CAS #147783-69-5);
пространственно затрудненные аминовые стабилизаторы, например 4-гидрокси-2,2,6,6-тетраметилпиперидин, 1-аллил-4-гидрокси-2,2,6,6-тетраметилпиперидин, 1-бензил-4-гидрокси-2,2,6,6-тетраметилпиперидин, бис-(2,2,6,6-тетраметил-4-пиперидил)себацат, бис-(2,2,6,6-тетраметил-4-пиперидил)сукцинат, бис-(1,2,2,6,6-пентаметил-4-пиперидил)себацат, бис-(1-октилокси-2,2,6,6-тетраметил-4-пиперидил)себацат, бис-(1,2,2,6,6-пентаметил-4-пиперидил)-н-бутил-3,5-дитрет-бутил-4-гидроксибензилмалонат, продукт реакции конденсации 1-(2-гидроксиэтил)-2,2,6,6-тетраметил-4-гидроксипиперидина и янтарной кислоты, линейный или циклический продукты реакции конденсации N,N’-бис-(2,2,6,6-тетраметил-4-пиперидил)гексаметилендиамина и 4-трет-октиламино-2,6-дихлор-1,3,5-триазина, трис-(2,2,6,6-тетраметил-4-пиперидил)нитрилтриацетат, тетракис-(2,2,6,6-тетраметил-4-пиперидил)-1,2,3,4-бутантетракарбоксилат, 1,1′-(1,2-этандиил)-бис-(3,3,5,5-тетраметилпиперазинон), 4-бензоил-2,2,6,6-тетраметилпиперидин, 4-стеарилокси-2,2,6,6-тетраметилпиперидин, бис-(1,2,2,6,6-пентаметилпиперидил)-2-н-бутил-2-(2-гидрокси-3,5-дитрет-бутилбензил)малонат, 3-н-октил-7,7,9,9-тетраметил-1,3,8-триазаспиро[4.5]декан-2,4-дион, бис-(1-октилокси-2,2,6,6-тетраметилпиперидил)себацат, бис-(1-октилокси-2,2,6,6-тетраметилпиперидил)сукцинат, линейные или циклические продукты реакции конденсации N,N’-бис-(2,2,6,6-тетраметил-4-пиперидил)гексаметилендиамина и 4-морфолино-2,6-дихлор-1,3,5-триазина, продукт реакции конденсации 2-хлор-4,6-бис-(4-н-бутиламино-2,2,6,6-тетраметилпиперидил)-1,3,5-триазинаи 1,2-бис-(3-аминопропиламино)этана, продукт реакции конденсации 2-хлор-4,6-ди(4-н-бутиламино-1,2,2,6,6-пентаметилпиперидил)-1,3,5-триазина и 1,2-бис-(3-аминопропиламино)этана, 8-ацетил-3-додецил-7,7,9,9-тетраметил-1,3,8-триазаспиро[4.5]декан-2,4-дион, 3-додецил-1-(2,2,6,6-тетраметил-4-пиперидил)пирролидин-2,5-дион, 3-додецил-1-(1,2,2,6,6-пентаметил-4-пиперидил)пирролидин-2,5-дион, смесь 4-гексадецилокси- и 4-стеарилокси-2,2,6,6-тетраметилпиперидинов, продукт реакции конденсации N,N’-бис-(2,2,6,6-тетраметил-4-пиперидил)гексаметилендиамина и 4-циклогексиламино-2,6-дихлор-1,3,5-триазина, продукт реакции конденсации 1,2-бис-(3-аминопропиламино)этана и 2,4,6-трихлор-1,3,5-триазина, а также 4-бутиламино-2,2,6,6-тетраметилпиперидин (CAS Reg. [136504-96-6]); N-(2,2,6,6-тетраметил-4-пиперидил)-н-додецилсукцинимид, N-(1,2,2,6,6-пентаметил-4-пиперидил)-н-додецилсукцинимид, 2-ундецил-7,7,9,9-тетраметил-1-окса-3,8-диаза-4-оксо-спиро[4.5]декан, а продукт взаимодействия 7,7,9,9-тетраметил-2-циклоундецил-1-окса-3,8-диаза-4-оксоспиро[4,5]декана и эпихлоргидрина, 1,1-бис-(1,2,2,6,6-пентаметил-4-пиперидилоксикарбонил)-2-(4-метоксифенил)этен, N,N’-бис-формил-N,N’-бис-(2,2,6,6-тетраметил-4-пиперидил)гексаметилендиамин, диэфир 4-метоксиметиленмалоновой кислоты и 1,2,2,6,6-пентаметил-4-гидроксипиперидина, поли[метилпропил-3-окси-4-(2,2,6,6-тетраметил-4-пиперидил)]силоксан, продукт взаимодействия сополимера -олефина/ангидрида малеиновой кислоты с 2,2,6,6-тетраметил-4-аминопиперидином или 1,2,2,6,6-пентаметил-4-аминопиперидином;
пространственно затрудненным амином может быть также одно из соединений, описанных в патенте US 5980783; кроме того, пространственно затрудненным амином может быть одно из соединений, описанных в патентах US  6046304 и 6297299, содержание которых включено в настоящее описание в качестве ссылок;
пространственно затрудненные амины, замещенные в N-атоме гидроксизамещенной алкоксигруппой, например такие соединения, как 1-(2-гидрокси-2-метилпропокси)-4-октадеканоилокси-2,2,6,6-тетраметилпиперидин, 1-(2-гидрокси-2-метилпропокси)-4-гексадеканоилокси-2,2,6,6-тетраметилпиперидин, продукт взаимодействия 1-оксил-4-гидрокси-2,2,6,6-тетраметилпиперидина с углеродным радикалом из трет-амилового спирта, 1-(2-гидрокси-2-метилпропокси)-4-гидрокси-2,2,6,6-тетраметилпиперидин, 1-(2-гидрокси-2-метилпропокси)-4-оксо-2,2,6,6-тетраметилпиперидин, бис-(1-(2-гидрокси-2-метилпропокси)-2,2,6,6-тетраметилпиперидин-4-ил)себацат, бис-(1-(2-гидрокси-2-метилпропокси)-2,2,6,6-тетраметилпиперидин-4-ил)адипат, бис-(1-(2-гидрокси-2-метилпропокси)-2,2,6,6-тетраметилпиперидин-4-ил)сукцинат, бис-(1-(2-гидрокси-2-метилпропокси)-2,2,6,6-тетраметилпиперидин-4-ил)глутарат и 2,4-бис-{N-[1-(2-гидрокси-2-метилпропокси)-2,2,6,6-тетраметилпиперидин-4-ил]-N-бутиламино}-6-(2-гидроксиэтиламино)-симм.триазин;
оксамиды, например 4,4′-диоктилоксиоксанилид, 2,2′-диэтоксиоксанилид, 2,2′-диоктилокси-5,5′-дитрет-бутоксанилид, 2,2′-дидодецилокси-5,5′-дитрет-бутоксанилид, 2-этокси-2′-этилоксанилид, N,N’-бис-(3-диметиламинопропил)оксамид, 2-этокси-5-трет-бутил-2′-этоксанилид и его смесь с 2-этокси-2′-этил-5,4′-дитрет-бутоксанилидом, смеси о- и п-метоксидизамещенных оксанилидов и смеси о- и п-этоксидизамещенных оксанилидов;
трис-арил-о-гидроксифенил-симм.триазины. например известные технические трис-арил-о-гидроксифенил-симм.триазины и триазины, которые описаны в US  3843371, 4619956, 4740542, 5096489, 5106891, 5298067, 5300414, 5354794, 5461151, 5476937, 5489503, 5543518, 5556973, 5597854, 5681955, 5726309, 5736597, 5942626, 5959008, 5998116, 6013704, 6060543, 6187919, 6242598 и 6468958, в частности 4,6-бис-(2,4-диметилфенил)-2-(2-гидрокси-4-октилоксифенил)-симм.триазин, продукт Cyasorb® 1164 фирмы Cytec Corp, 4,6-бис-(2,4-диметилфенил)-2-(2,4-дигидроксифенил)-симм.триазин, 2,4-бис-(2,4-дигидроксифенил)-6-(4-хлорфенил)-симм.триазин, 2,4-бис[2-гидрокси-4-(2-гидроксиэтокси)фенил]-6-(4-хлорфенил)-симм.триазин, 2,4-бис[2-гидрокси-4-(2-гидрокси-4-(2-гидроксиэтокси)фенил]-6-(2,4-диметилфенил)-симм.триазин, 2,4-бис[2-гидрокси-4-(2-гидроксиэтокси)фенил]-6-(4-бромфенил)-симм.триазин, 2,4-бис[2-гидрокси-4-(2-ацетоксиэтокси)фенил]-6-(4-хлорфенил)-симм.триазин, 2,4-бис-(2,4-дигидроксифенил)-6-(2,4-диметилфенил)-симм.триазин, 2,4-бис-(4-бифенилил)-6-(2-гидрокси-4-октилоксикарбонилэтилиденоксифенил)-симм.триазин, 2-фенил-4-[2-гидрокси-4-(3-втор-бутилокси-2-гидроксипропилокси)фенил]-6-[2-гидрокси-4-(3-втор-амилокси-2-гидроксипропилокси)фенил]-симм.триазин, 2,4-бис-(2,4-диметилфенил)-6-[2-гидрокси-4-(3-бензилокси-2-гидроксипропилокси)фенил]-симм.триазин, 2,4-бис-(2-гидрокси-4-н-бутилоксифенил)-6-(2,4-ди-н-бутилоксифенил)-симм.триазин, 2,4-бис-(2,4-диметилфенил)-6-[2-гидрокси-4-(3-нонилокси*-2-гидроксипропилокси)-5- -куменилфенил]-симм.триазин (*обозначает смесь октилокси-, нонилокси и децилоксигрупп), метиленбис-{2,4-бис-(2,4-диметилфенил)-6-[2-гидрокси-4-(3-бутилокси-2-гидроксипропокси)фенил]-симм.триазин}, смесь связанных метиленовым мостиком димеров, связанных мостиком в положениях 3:5′, 5:5′ и 3:3′, в соотношении 5:4:1, 2,4,6-трис-(2-гидрокси-4-изооктилоксикарбонилизопропилиденоксифенил)-симм.триазин, 2,4-бис-(2,4-диметилфенил)-6-(2-гидрокси-4-гексилокси-5- -куменилфенил)-симм.триазин, 2-(2,4,6-триметилфенил)-4,6-бис[2-гидрокси-4-(3-бутилокси-2-гидроксипропилокси)фенил]-симм.триазин, 2,4,6-трис[2-гидрокси-4-(3-втор-бутилокси-2-гидроксипропилокси)фенил]-симм.триазин, смесь 4,6-бис-(2,4-диметилфенил)-2-(2-гидрокси-4-(3-додецилокси-2-гидроксипропокси)фенил)-симм.триазина и 4,6-бис-(2,4-диметилфенил)-2-(2-гидрокси-4-(3-тридецилокси-2-гидроксипропокси)фенил)-симм.триазина, продукт Tinuvin® 400 фирмы Ciba Specialty Chemicals Corp., 4,6-бис-(2,4-диметилфенил)-2-(2-гидрокси-4-(3-(2-этилгексилокси)-2-гидроксипропокси)фенил)-симм.триазин и 4,6-дифенил-2-(4-гексилокси-2-гидроксифенил)-симм.триазин.
Для того чтобы ускорить фотохимическую полимеризацию, можно добавлять амины, например триэтаноламин, N-метилдиэтаноламин, этил-п-диметиламинобензоат или кетон Михлера. Действие аминов может быть интенсифицировано добавлением ароматических кетонов бензофенонового типа. Примеры аминов, которые можно использовать в качестве акцепторов кислорода, представляют собой замещенные N,N-диалкиланилины, которые описаны в ЕР-А-339841. Другими ускорителями, соинициаторами и самоокислителями являются тиолы, тиоэфиры, дисульфиды и фосфины, которые описаны, например, в ЕР-А-438123 и GB-A-2180358.
Фотохимическая полимеризация может быть также ускорена добавлением фотохимических сенсибилизаторов, которые сдвигают или расширяют спектральную чувствительность. Ими являются, в частности, ароматические карбонильные соединения, такие как производные бензофенона, производные тиоксантона, производные антрахинона и производные 3-ацилкумарина, а также 3-(ароилметилен)тиазолины и, кроме того, эозиновые, родаминовые и эритрозиновые красители.
Процессу отверждения можно содействовать, в частности, с использованием композиций, которые окрашивают с помощью пигмента (например, диоксида титана), а также добавлением компонента, который в термических условиях образует свободные радикалы, например азосоединения, такого как 2,2′-азобис-(4-метокси-2,4-диметилвалеронитрил), триазен, диазосульфид, пентазадиен, или пероксисоединения, такого как гидропероксид и пероксикарбонат, например трет-бутилгидропероксида, как изложено в US 4753817.
Эти новые композиции могут также включать способный к фотовосстановлению краситель, например ксантеновые, бензоксантеновые, бензотиоксантеновые, тиазиновые, пирониновые, порфириновые или акридиновые красители, и/или тригалометиловое соединение, которое можно расщеплять облучением. Аналогичные композиции описаны, например, в US 5229253.
Другие обычные добавки представляют собой, в зависимости от предусмотренной цели, флуоресцентные отбеливатели, наполнители, пигменты, красители, смачивающие агенты или содействующие розливу материалы. Толстые и окрашенные с помощью пигмента покрытия могут также включать стеклянный бисер или измельченные в порошок стеклянные волокна, как это изложено, например, в US 5013768.
Этиленовоненасыщенные способные полимеризоваться соединения могут включать одну или больше одной олефиновой двойной связи. Ими могут служить низкомолекулярные (мономерные) или высокомолекулярные (олигомерные) соединения.
Типичными примерами мономеров, содержащих одну двойную связь, являются алкил- и гидроксиалкилакрилаты или -метакрилаты, например метил-, этил-, бутил-, 2-этилгексил- и 2-гидроксиэтилакрилат, изоборнилакрилат, метил- и этилметакрилаты. Другими примерами этих мономеров являются акрилонитрил, акриламид, метакриламид, N-замещенные (мет)акриламиды, виниловые сложные эфиры, такие как винилацетат, виниловые простые эфиры, такие как изобутилвиниловый эфир, стирол, алкилстиролы, галостиролы, N-винилпирролидон, винилхлорид и винилиденхлорид.
Примерами мономеров, содержащих больше одной двойной связи, являются этиленгликольдиакрилат, пропиленгликольдиакрилат, неопентилгликольдиакрилат, гексаметиленгликольдиакрилат, диакрилат бисфенола А, 4,4′-бис-(2-акрилоилоксиэтокси)дифенилпропан, триметилолпропантриакрилат, триакрилат и тетраакрилат пентаэритрита, дивиниловый эфир пентаэритрита, винилакрилат, дивинилбензол, дивинилсукцинат, диаллилфталат, триаллилфосфат, триаллилизоцианурат и трис-(2-акрилоилэтил)изоцианурат. Примерами высокомолекулярных (олигомерных) полиненасыщенных соединений служат акрилированные эпоксидные смолы, акрилированные простые полиэфиры, акрилированные полиуретаны и акрилированные сложные полиэфиры. Другими примерами ненасыщенных олигомеров являются ненасыщенные сложные полиэфирные смолы, которые обычно получают из малеиновой кислоты, фталевой кислоты и одного или нескольких диодов и которые обладают молекулярными массами больше примерно 500. Ненасыщенные олигомеры этого типа известны также как форполимеры.
Типичные примеры ненасыщенных соединений представляют собой сложные эфиры этиленовоненасыщенных карбоновых кислот и полиолов, полиэпоксиды и полимеры, содержащие этиленовоненасыщенные группы в цепи или в боковых группах, включая ненасыщенные сложные полиэфиры, полиамиды, полиуретаны и их сополимеры, полибутадиен и бутадиеновые сополимеры, полиизопрен и изопреновые сополимеры, полимеры и сополимеры, содержащие в боковых цепях (мет)акриловые группы, а также смеси одного или больше чем одного такого полимера.
Иллюстрирующими примерами ненасыщенных карбоновых кислот являются акриловая кислота, метакриловая кислота, кротоновая кислота, итаконовая кислота, коричная кислота, ненасыщенные жирные кислоты, такие как линоленовая кислота и олеиновая кислота,
Приемлемые полиолы представляют собой ароматические, алифатические и циклоалифатические полиолы. Ароматические полиолы как правило представляют собой гидрохинон, 4,4′-дигидроксидифенил, 2,2-бис-(4-гидроксифенил)пропан, а также новолаки и крезолы. Полиэпоксиды включают продукты на основе упомянутых полиолов, например на основе ароматических полиолов и эпихлоргидрина. Кроме того, приемлемыми полиолами являются полимеры и сополимеры, которые содержат гидроксильные группы в полимерной цепи или в боковых группах, например поливиниловый спирт и его сополимеры или гидроксиалкилполиметакрилаты, или их сополимеры. Другими приемлемыми полиолами являются олигоэфиры, несущие гидроксильные концевые группы.
Иллюстрирующими примерами алифатических и циклоалифатических полиолов служат алкилендиолы, содержащие, в частности, от 2 до 12 углеродных атомов, включая этиленгликоль, 1,2- и 1,3-пропандиолы, 1,2-, 1,3- и 1,4-бутандиолы, пентандиол, гександиол, октандиол, додекандиол, диэтиленгликоль, триэтиленгликоль, полиэтиленгликоли, обладающие молекулярными массами, например, от 200 до 1500, 1,3-циклопентандиол, 1,2-, 1,3- и 1,4-циклогександиолы, 1,4-дигидроксиметилциклогексан, глицерин, трис-( -гидроксиэтил)амин, триметилолэтан, триметилолпропан, пентаэритрит, дипентаэритрит и сорбит.
Полиолы могут быть частично или полностью эстерифицированы одной или разными ненасыщенными карбоновыми кислотами, причем в этом случае свободные гидроксильные группы неполных эфиров могут быть модифицированы, например этерифицированы, или эстерифицированы другими карбоновыми кислотами.
Иллюстрирующими примерами сложных эфиров являются:
триметилолпропантриакрилат, триметилолэтантриакрилат, триметилолпропантриметакрилат, триметилолэтантриметакрилат, тетраметиленгликольдиметакрилат, триэтиленгликольдиметакрилат, тетраэтиленгликольдиакрилат, диакрилат пентаэритрита, триакрилат пентаэритрита, тетраакрилат пентаэритрита, диакрилат дипентаэритрита, триакрилат дипентаэритрита, тетраакрилат дипентаэритрита, пентаакрилат дипентаэритрита, гексакрилат дипентаэритрита, октакрилат трипентаэритрита, диметакрилат пентаэритрита, триметакрилат пентаэритрита, диметакрилат дипентаэритрита, тетраметакрилат дипентаэритрита, октаметакрилат дипентаэритрита, диитаконат пентаэритрита, триситаконат дипентаэритрита, пентаитаконат дипентаэритрита, гексаитаконат дипентаэритрита, этиленгликольдиакрилат, 1,3-бутандиолдиакрилат, 1,3-бутандиолдиметакрилат, 1,4-бутандиолдиитаконат, триакрилат сорбита, тетраакрилат сорбита, модифицированный пентаэритритом триакрилат, тетраметакрилат сорбита, пентакрилат сорбита, гексакрилат сорбита, олигоэфиракрилаты и метакрилаты, ди- и триакрилаты глицерина, 1,4-циклогександиакрилат, бисакрилаты и бисметакрилаты полиэтиленгликоля, обладающие молекулярными массами от 200 до 1500, и их смеси. Полифункциональные мономеры и олигомеры доступны, например, на фирмах UCB Chemicals, Smyrna, Georgia и Sartomer, Exton, Pennsylvania.
Приемлемые этиленовоненасыщенные способные полимеризоваться соединения представляют собой также амиды идентичных или разных ненасыщенных карбоновых кислот и ароматических, циклоалифатических и алифатических полиаминов, содержащих, например, от 2 до 6, в частности от 2 до 4, аминогрупп. Иллюстративными примерами таких полиаминов являются этилендиамин, 1,2- или 1,3-пропилендиамины, 1,2-, 1,3- и 1,4-бутилендиамины, 1,5-пентилендиамин, 1,6-гексилендиамин, октилендиамин, додецилендиамин, 1,4-диаминоциклогексан, изофорондиамин, фенилендиамин, бисфенилендиамин, бис-( -аминоэтиловый) эфир, диэтилентриамин, триэтилентетрамин, бис-( -аминоэтокси)этан и бис-( -аминопропокси)этан. Другими подходящими полиаминами являются полимеры и сополимеры, которые могут включать дополнительные аминогруппы в боковой цепи, и олигоамиды, содержащие аминовые концевые группы.
Иллюстрацией таких ненасыщенных амидов являются:
метиленбисакриламид, 1,6-гексаметиленбисакриламид, диэтилентриаминтрисметакриламид, бис-(метакриламидопропокси)этан, -метакриламидоэтилметакрилат, N-[( -гидроксиэтокси)этил]акриламид.
Приемлемые ненасыщенные сложные полиэфиры и полиамиды как правило дериватизируют из малеиновой кислоты и диодов или диаминов. Малеиновая кислота может быть частично заменена другими дикарбоновыми кислотами, такими как фумаровая кислота, итаконовая кислота, цитраконовая кислота, мезаконовая кислота и хлормалеиновая кислота. Для регулирования реакционной способности сложного полиэфира и для воздействия на плотность поперечных сшивок и, следовательно, на свойства продукта можно использовать, в дополнение к ненасыщенным дикарбоновым кислотам, разные количества насыщенных дикарбоновых кислот, таких как фталевая кислота, изофталевая кислота, терефталевая кислота, тетрагидрофталевая кислота, янтарная кислота и адипиновая кислота. Ненасыщенные сложные полиэфиры можно использовать совместно с этиленовоненасыщенными сомономерами, такими как стирол. Сложные полиэфиры и полиамиды могут быть также дериватизированы из дикарбоновых кислот и этиленовоненасыщенных диолов или диаминов, преимущественно из соединений с длинными цепями, содержащих, как правило, от 6 до 20 углеродных атомов. Полиуретаны, как правило, представляют собой те, которые дериватизированы из насыщенных или ненасыщенных диизоцианатов и ненасыщенных и насыщенных диолов.
Приемлемые сложные полиэфиракрилаты или акрилированные сложные полиэфиры получают реакцией олигомеров, как правило эпоксидов, уретанов, простых полиэфиров или сложных полиэфиров, с акрилатами, такими как гидроксиэтилакрилат и гидроксипропилакрилат.
Полибутадиен, полиизопрен и их сополимеры известны. Приемлемые сомономеры включают олефины, такие как этилен, пропен, бутен, гексен, (мет)акрилаты, акрилонитрил, стирол и винилхлорид. Полимеры, содержащие в боковой цепи (мет)акрилатные группы, также известны. Они, как правило, могут быть продуктами взаимодействия эпоксидных смол на основе новолака с (мет)акриловой кислотой, гомо- или сополимерами поливинилового спирта или его гидроксиалкильными производными, которые эстерифицируют (мет)акриловой кислотой, или гомо- и сополимерами (мет)акрилатов, которые эстерифицируют гидроксиалкил(мет)акрилатами.
Мономерами являются, например, алкил- и гидроксиалкилакрилаты и метакрилаты, стирол, этиленгликольдиакрилат, пропиленгликольдиакрилат, неопентилгликольдиакрилат, гексаметиленгликольдиакрилат и диакрилат бисфенола А, 4,4′-бис-(2-акрилоилоксиэтокси)дифенилпропан, триметилолпропантриакрилат, триакрилат и тетраакрилат пентаэритрита, в частности акрилаты, стирол, гексаметиленгликоль и диакрилат бисфенола А, 4,4′-бис-(2-акрилоилоксиэтокси)дифенилпропан и триметилолпропантриакрилат.
Олигомерные полиненасыщенные соединения представляют собой, например, сложные полиэфиракрилаты или ненасыщенные сложные полиэфирные смолы, которые получают из малеиновой кислоты, фумаровой кислоты, фталевой кислоты и одного или больше чем одного диола и которые как правило обладают молекулярными массами от примерно 500 до 3000.
Ненасыщенные карбоновые кислоты представляют собой, например, акриловую кислоту и метакриловую кислоту.
Фотохимически полимеризующиеся соединения используют самостоятельно или в любых необходимых смесях. Приемлемы для применения смеси полиол(мет)акрилатов.
К ненасыщенным фотохимически полимеризующимся соединениям могут быть также добавлены связующие вещества. Добавление связующих веществ особенно эффективно, если фотохимически полимеризующиеся соединения представляют собой жидкие или вязкие вещества. Количество связующего вещества может составлять от 5 до 95, например от 10 до 90, в частности от 40 до 90 мас.% в пересчете на всю композицию. Выбор связующего вещества обычно зависит от области применения и, следовательно, целевых свойств, таких как способность композиций формироваться в системах с водным и органическим растворителем, адгезия к подложкам и чувствительность к кислороду.
Приемлемые связующие вещества, как правило, представляют собой полимеры, обладающие молекулярной массой от примерно 5000 до 2000000, например от 10000 до 1000000. Иллюстрирующими примерами являются гомо- и сополимеры акрилатов и метакрилатов, включая сополимеры метилметакрилата/этилакрилата/метакриловой кислоты, полиалкилметакрилаты, полиалкилакрилаты; сложные эфиры и простые эфиры целлюлозы, такие как ацетат целлюлозы, ацетобутират целлюлозы, метилцеллюлоза, этилцеллюлоза;
поливинилбутираль, поливинилформаль, циклизованный каучук, простые полиэфиры, такие как полиэтиленоксид, полипропиленоксид, политетрагидрофуран; полистирол, поликарбонат, полиуретан, хлорированные полиолефины, поливинилхлорид, сополимеры винилхлорида/винилиденхлорида, сополимеры винилиденхлорида с акрилонитрилом, метилметакрилата и винилацетата, поливинилацетат, этилен-винилацетатный сополимер, такие полимеры, как поликапролактам и полигексаметиленадипамид, сложные полиэфиры, такие как полиэтиленгликольтерефталат и полигексаметиленгликольсукцинат.
В смеси с нефотохимически полимеризующимися пленкообразующими компонентами можно также использовать ненасыщенные соединения. Эти компоненты могут быть физически высыхающими полимерами или их растворами в органических растворителях, например нитроцеллюлоза или ацетобутират целлюлозы. Фотохимически полимеризующиеся ненасыщенные мономеры могут быть компонентом отверждаемой свободными радикалами/ионами смеси, такой как смесь, отверждаемая свободными радикалами/катионами. Важное значение имеют также системы, которые подвергаются циклам как термического, так и фотоинициированного отверждения, такие как используемые в покрытиях из порошкового материала, ламинатах, некоторых клеях и при инкапсулировании.
Приемлемы смеси форполимера с полиненасыщенными мономерами, которые дополнительно содержат другой ненасыщенный мономер. Свойства пленки в данном случае определяет в основном форполимер, и его варьированием специалист в данной области техники может повлиять на свойства отвержденной пленки. Полиненасыщенный мономер действует как сшивающий агент, который делает пленку нерастворимой. Мононенасыщенный мономер действует как реакционноспособный разбавитель, с помощью которого вязкость понижают без использования растворителя. Более того от выбора мономера зависят свойства отвержденной композиции, такие как степень отверждения, плотность поперечных сшивок и поверхностные свойства.
Ненасыщенные сложные полиэфирные смолы обычно используют в двухкомпонентных системах совместно с мононенасыщенным мономером, например со стиролом.
В толстых окрашенных с помощью пигмента покрытиях часто используют бинарные богатые электронами/бедные электронами мономерные системы. Так, например, в покрытиях из порошкового материала используют системы винилового эфира/ненасыщенного сложного полиэфира, а в наружных смоляных слоях используют системы стирола/ненасыщенного сложного полиэфира.
Приемлемым способом является тот, в котором этиленовоненасыщенные способные полимеризоваться соединения представляют собой смесь по меньшей мере одного олигомерного соединения и по меньшей мере одного мономера.
Вызывающим интерес способом является тот, в котором этиленовоненасыщенные способные полимеризоваться соединения представляют собой смесь 1) ненасыщенных сложных полиэфиров, преимущественно тех, которые получают из малеиновой кислоты, фумаровой кислоты и/или фталевой кислоты и одного или больше одного диола и которые обладают молекулярными массами от 500 до 3000, и 2) акрилатов, метакрилатов или стирола, или их сочетаний.
Вызывающим интерес способом является также тот, в котором этиленовоненасыщенные способные полимеризоваться соединения представляют собой смесь 1) ненасыщенных сложных полиэфиров и 2) акрилатов или метакрилатов, или их сочетаний.
Другим вызывающим интерес способом является тот, в котором этиленовоненасыщенные способные полимеризоваться соединения представляют собой смесь 1) ненасыщенных сложных полиэфиракрилатов и 2) акрилатов или метакрилатов, или их сочетаний.
Получение покрытий на подложках можно осуществлять нанесением на подложку жидкой композиции, раствора или суспензии. Выбор растворителей и концентрация в принципе зависят от типа композиции и от метода нанесения покрытия. Растворитель должен быть инертным, т.е. он не должен вступать в химическое взаимодействие с компонентами и должен обладать способностью вновь удаляться после нанесения покрытия в процессе сушки. Примерами приемлемых растворителей являются кетоны, простые эфиры и сложные эфиры, такие как метилэтилкетон, изобутилметилкетон, циклопентанон, циклогексанон, N-метилпирролидон, диоксан, тетрагидрофуран, 2-метоксиэтанол, 2-этоксиэтанол, 1-метокси-2-пропанол, 1,2-диметоксиэтан, этилацетат, н-бутилацетат и этил-3-этоксипропионат. Раствор наносят на подложку равномерно с помощью известных методов нанесения покрытия, например как покрытие, получаемое по способу центрифугирования, как покрытие, наносимое окунанием, как покрытие, наносимое с помощью ракли, как покрытие, наносимое наливом, с помощью кисти, напылением, преимущественно по методу электростатического распыления, как покрытие, наносимое обратным валиком. Можно также наносить светочувствительный слой на временную гибкую подложку, а затем покрывать конечную подложку, например плакированную медью схемную плату, переносом слоя посредством ламинирования.
Сущность изобретения далее изложена в следующих примерах. Все части или проценты во всех случаях, если не указано иное, являются массовыми в пересчете на массу всей композиции.
Пример 1 – наружный смоляной слой
Композиция наружного смоляного слоя состоит из ненасыщенного сложного полиэфирного олигомера со стирольным разбавителем, добавляемым для регулирования вязкости. Стирол содержится в количестве 35 мас.% в пересчете на массу всей композиции. Другими компонентами являются рутильный ТiO2, 15 мас.%, и в качестве фотоинициатора бис-(2,4,6-триметилбензоил)фенилфосфин, 2 мас.%. Смесь выливают на стеклянную подложку и отверждают до стеклоподобного твердого состояния. СИД источник обладает узким диапазоном излучения в пределах от 380 до 400 нм, CW мощностью 250 мВт/см2. Расстояние лампы над образцом составляет примерно 12 мм. Толщина пленки равна примерно 20 мил.
Пример 2 – композит
Готовят наполненную стеклом композицию для композита: 2-слойного толщиной 55 мил [1,4 мм], 8-слойного толщиной 274 мил [7 мм], насыщенную ненасыщенной сложной полиэфирной (НПЭФ) смолой, содержащей в качестве фотоинициатора бис-(2,4,6-триметилбензоил)фенилфосфин в количестве 1 мас.% в пересчете на массу всей композиции.
Превосходных поверхностного отверждения и отверждения в массе достигают с помощью СИД источника света, сосредоточенного при 390 нм и 240 мВт/см2.
Пример 3 – толстое покрытие
Акрилатные композиции для нанесения толстого (10 мил [0,25 мм]) покрытия готовят с использованием бифункционального эпоксиакрилата и бис-(2,4,6-триметилбензоил)фенилфосфина в качестве фотоинициатора в количестве 2 мас.% в пересчете на массу всей композиции.
Превосходных поверхностного отверждения и отверждения в массе для каждой композиции достигают с помощью СИД источника света, сосредоточенного при 390 нм и 240 мВт/см2.
Фотоинициатор в примерах с 1 по 3 заменяют смесью бис-(2,4,6-триметилбензоил)фенилфосфиноксида и 2,4,6-триметилбензоилэтоксифенилфосфиноксида (CAS# 84434-11-7) в соотношении масса:массу примерно 1:9 или смесью бис-(2,4,6-триметилбензоил)фенилфосфиноксида, 2,4,6-триметилбензоилэтоксифенилфосфиноксида и 2-гидрокси-2-метил-1-фенил-1-пропанона в массовом соотношении примерно 3,5:1,0:15,5, или смесью бис-(2,4,6-триметилбензоил)фенилфосфиноксида и 2-гидрокси-2-метил-1-фенил-1-пропанона в массовом соотношении примерно 1:4 с достижением превосходных результатов.
Формула изобретения
1. Способ отверждения этиленовоненасыщенных способных полимеризоваться соединений для получения покрытий, наружных смоляных слоев или клеев, обладающих толщиной сечения толще чем примерно 0,25 мм, который включает добавление к указанным соединениям по меньшей мере одного ацилфосфиноксидного фотоинициатора и облучение полученной таким образом смеси светом от светоизлучающего диодного источника.
2. Способ по п.1, в котором ацилфосфиноксидный фотоинициатор представляет собой бисацилфосфиноксидный или моноацилфосфиноксидный фотоинициатор.
3. Способ по п.1, в котором ацилфосфиноксидный фотоинициатор представляет собой по меньшей мере один бисацилфосфиноксидный фотоинициатор формулы I
 в которой R50 обозначает С1-С12алкил, циклогексил или фенил, который не замещен или замещен 1-4 атомами галогена или С1-С8алкилами; R51 и R52 каждый независимо друг от друга обозначает С1-С8алкил или С1-С8алкокси; R53 обозначает водородный атом или С1-С8алкил; а R54 обозначает водородный атом или метил.
4. Способ по п.3, в котором у фотоинициатора формулы I R50 обозначает С2-С10алкил, циклогексил или фенил, который не замещен или замещен 1-4 С1-С4алкилами, Сl или Вr.
5. Способ по п.3, в котором бисацилфосфиноксид представляет собой бис-(2,4,6-триметилбензоил)фенилфосфиноксид (CAS# 162881-26-7) или бис-(2,4,6-триметилбензоил)-(2,4-биспентилоксифенил)фосфиноксид.
6. Способ по п.1, в котором ацилфосфиноксидный фотоинициатор представляет собой по меньшей мере один моноацилфосфиноксидный фотоинициатор формулы II
 в которой R1 и R2 независимо друг от друга обозначают С1-С12алкил, бензил, фенил, который не замещен или замещен от одного до четырех раз атомом галогена, С1-С8алкилом и/или С1-С8алкокси, или обозначают циклогексил или группу -СОR3, или R1 обозначает -OR4; R3 обозначает фенил, который не замещен или замещен от одного до четырех раз С1-С8алкилом, С1-С8алкокси, С1-С8алкилтио и/или атомом галогена; а R4 обозначает С1-С8алкил, фенил или бензил.
7. Способ по п.6, в котором у фотоинициатора формулы II R1 обозначает -OR4.
8. Способ по п.6, в котором моноацилфосфиноксид представляет собой 2,4,6-триметилбензоилэтоксифенилфосфиноксид (CAS# 84434-11-7) или 2,4,6-триметилбензоилдифенилфосфиноксид (CAS# 127090-72-6).
9. Способ по п.1, в котором ацилфосфиновый фотоинициатор выбирают из группы, включающей (I) смесь бис-(2,4,6-триметилбензоил)фенилфосфиноксида и 2,4,6-триметилбензоилэтоксифенилфосфиноксида в соотношениях масса:массу в пределах от примерно 1:11 до примерно 1:7, (II) смесь бис-(2,4,6-триметилбензоил)фенилфосфиноксида, 2,4,6-триметилбензоилэтоксифенилфосфиноксида и 2-гидрокси-2-метил-1-фенил-1-пропанона в соотношении масса:массу:массу в пределах от примерно 2:1:14 до примерно 5:2:17 и (III) смесь бис-(2,4,6-триметилбензоил)фенилфосфиноксида и 2-гидрокси-2-метил-1-фенил-1-пропанона в соотношениях масса:массу в пределах от примерно 1:3 до примерно 1:5.
10. Способ по п.1, включающий добавление в дополнение к ацилфосфиноксидному фотоинициатору, по меньшей мере одного -гидроксикетонового фотоинициатора.
11. Способ по п.10, в котором -гидроксикетоновый фотоинициатор отвечает формуле III
 где R11 и R12 независимо друг от друга обозначают водородный атом, C1-С6алкил, фенил, C1-С6алкокси, OSiR16(R17)2 или -O(CH2CH2O)q-C1-C6алкил, или R11 и R12 совместно с углеродным атомом, с которым они связаны, образуют циклогексильное кольцо; q обозначает число от 1 до 20; R13 обозначает ОН, С1-С16алкокси или O(СН2СН2O)q-С1-С6алкил; R14 обозначает водородный атом, С1-С18алкил, С1-С12гидроксиалкил, С1-C12алкокси, -OCH2CH2-OR15, -CH=CH2, -С(СН3)=СН2 или обозначает
  
или  n обозначает число от 2 до 10; R15 обозначает водородный атом, -СОСН=СН2 или -СОС(СН3)=СН2; R16 и R17 независимо друг от друга обозначают С1-С8алкил или фенил; а G3 и G4 независимо друг от друга обозначают концевые группы полимерной структуры.
12. Способ по п.10, в котором -гидроксикетоновый фотоинициатор выбирают из группы, включающей
-гидроксициклогексилфенилкетон, 2-гидрокси-2-метил-1-фенилпропанон, 2-гидрокси-2-метил-1-(4-изопропилфенил)пропанон, 2-гидрокси-2-метил-1-(4-додецилфенил)пропанон, 2-гидрокси-1-{4-[4-(2-гидрокси-2-метилпропионил)бензил]фенил}-2-метилпропан-1-он и 2-гидрокси-2-метил-1-[(2-гидроксиэтокси)фенил]пропанон.
13. Способ по п.1 для получения покрытий на акрилатной основе, белых наружных смоляных слоев и клеевых слоев толщиной больше примерно 10 мил [0,25 мм], в частности толщиной от больше примерно 10 мил [0,25 мм] до примерно 30 мил [0,75 мм].
14. Способ по п.1 для изготовления композитов толщиной больше примерно 25 мил [0,64 мм], в частности толщиной от больше примерно 25 мил [0,64 мм] до примерно 300 мил [7,6 мм].
15. Способ по п.1, в котором излучаемую мощность светоизлучающего диодного источника сосредотачивают при примерно 390 нм плюс или минус примерно 30 нм.
|
|