|
|
(21), (22) Заявка: 2008139682/04, 06.10.2008
(24) Дата начала отсчета срока действия патента:
06.10.2008
(43) Дата публикации заявки: 20.04.2010
(46) Опубликовано: 10.08.2010
(56) Список документов, цитированных в отчете о поиске:
Chemistry Letters Philip TONG et al “Adsorption of Metal Ions on a New Chelating Ion-Exchange Resin Chemically Derived from Chitosan”, 1991, vol.20, No 9, p.1529. Chemistry Letters Yoshinari BABA et al “Selective Adsorption of Palladium (II), and Mercury (II) on a New Chitosan Derivative Possessing Pyridyl Group”, 1992, vol.21, No.10,p.p.1905-1908. JP 6227813 A, 16.08.1994. Reactive Functional Polymers Yoshinari Baba et al “Synthesis of a chitosan derivative recognizing planar metal ion and its selective adsorption equilibria of copper (II) over iron (III)”, 1998, vol.36, p.167-172. SU 1823878 A3, 23.06.1993.
Адрес для переписки:
620041, г.Екатеринбург, ГСП-147, ул. С. Ковалевской/Академическая, 22/20, ИОС им. И.Я. Постовского УрО РАН, патентный отдел
|
(72) Автор(ы):
Пестов Александр Викторович (RU), Ятлук Юрий Григорьевич (RU)
(73) Патентообладатель(и):
Институт органического синтеза им. И.Я. Постовского Уральского отделения Российской Академии наук (RU)
|
(54) N-2-(2-ПИРИДИЛ)ЭТИЛХИТОЗАН И СПОСОБ ЕГО ПОЛУЧЕНИЯ
(57) Реферат:
Изобретение относится к области органических соединений, а именно к новому N-2-(2-пиридил)этилхитозану и способу его получения. Получают его путем взаимодействия хитозана с водным раствором 2-винилпиридина в присутствии соляной кислоты при мольном соотношении 2-винилпиридин:хитозан:соляная кислота (2-4):1:1. Взаимодействие осуществляют при комнатной температуре до образования геля. Далее нагревают при 68-72°С в течение 24-48 часов. Обрабатывают охлажденную реакционную массу водным раствором соляной кислоты. Осуществляют высаживание и последующую горячую экстракцию водорастворимыми спиртами или кетонами и сушки. Полученный новый продукт N-2-(2-пиридил)этилхитозан обладает высокой сорбционной емкостью. 1 з.п. ф-лы, 1 табл.
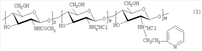
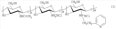
Изобретение относится к области органических высокомолекулярных соединений, а именно к новому 2-(арил)этильному производному полисахаридов – N-2-(2-пиридил)этилхитозану (ПЭХ) и к способу его получения. Это соединение может найти применение в качестве сорбента тяжелых металлов.
N-2-(2-пиридил)этилхитозан формулы I и способ его получения в литературе не описаны.

где Х=0,16; N=0,05-0,36; М=0,48-0,79
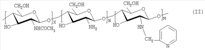
Известен гомолог соединения I – N-(2-пиридил)метилхитозан (ПМХ) формулы II и описан способ его получения (Chemistry Letters 1991, Vol.20, No.9, p.1529; Chemistry Letters 1992, Vol.21, No.10, p.1905; Chemistry Letters 1994, Vol.23, No.12, p.2389; React. Funct. Polym. 1998, Vol.36, p.167-172).

Процесс получения ПМХ осуществляют при взаимодействии хитозана с пиколиновым альдегидом (соотношение 1:(1-4)) и восстановлении образовавшегося N-(2-пиридил)метилиденхитозана цианборгидридом натрия (степени присоединения 0,85-0,9). По аналогичной методике был получен не только N-(2-пиридил)метилхитозан, но и N-(4-пиридил)метилхитозан (Polymer 1998, Vol.39, No 21, р.5121). Процесс получения ПМХ содержит следующие операции (JP 6227813): хитозан растворяют в 2% уксусной кислоте, добавляют пиколиновый альдегид и выдерживают 24 часа при комнатной температуре. Образовавшийся N-(2-пиридил)метилиденхитозан офильтровывают, и влажный продукт подвергают набуханию в диметилсульфоксиде. Для получения сорбента набухший осадок сшивают эпихлоргидрином в течение 24 часов. Сшитый продукт отфильтровывают и выдерживают в 0,1 N растворе ацетата натрия в течение 24 часов при 80°С. Полученное соединение восстанавливают, используя метанольный раствор боргидрида натрия также в течение 24 часов.
Недостатками способа получения ПМХ являются двухстадийность процесса, включающая пиридилметилиденирование хитозана и восстановление полученного продукта, температура процесса до 80°С, время до 96 часов, необходимость использования органических растворителей (метанол, диметилсульфоксид), малоустойчивых и токсичных гидридных восстановителей (цианборгидрид или боргидрид натрия). Полученный продукт используют в качестве хелатирующего ионообменного сорбента и применяют для селективной сорбции ионов меди из раствора, содержащего одновременно ионы меди (II) и железа (III) (Chemistry Letters 1994, Vol.23, No.12, p.2389; React. Funct. Polym. 1998, Vol.36, p.167-172). Достигается емкость по отношению к ионам меди (II) ~1,3 ммоль/г (Polymer 1998, Vol.39, No 21, р.5121).
Для ПМХ исходным сырьем является пиколиновый альдегид, для ПЭХ – винилпиридин. Оба продукта получают из -пиколина, однако одним из методов получения пиколинового альдегида является окисление винилпиридина (полученного из -пиколина), т.е. доступность винилпиридина выше, а стоимость ниже.
Задачей изобретения является получение нового ПЭХ с высокой сорбционной емкостью и разработка простого способа его получения.
Поставленная задача решается путем взаимодействия хитозана с водным раствором 2-винилпиридина в соляной кислоте при мольном соотношении 2-винилпиридин:хитозан=(2-4):1 при комнатной температуре до образования геля, последующего нагревания при 68-72°С в течение 24-48 часов, обработки охлажденной реакционной массы водным раствором соляной кислоты, высаживания и последующей горячей экстракции водорастворимыми спиртами или кетонами.
Использование концентрированного раствора хитозана-геля позволяет получить продукт со степенью присоединения – от 0,57 до 0,94. Способ позволяет использовать хитозан с большой молекулярной массой, поскольку образующийся гель не требует перемешивания. Использование концентрированных растворов сокращает загружаемый объем, что позволяет более эффективно использовать оборудование.
Ниже 68°С степень присоединения существенно снижается, а при температурах больше 72°С – заметно понижается молекулярная масса из-за процессов деструкции полимерной цепи. Проведение модифицирования меньше 24 часов неэффективно, т.к. степень присоединения низкая, а больше 48 часов не проводит к заметному повышению степени присоединения. Данный способ одностадиен, протекает при более низкой температуре за достаточно короткий промежуток времени, позволяет значительно снизить количество используемых органических растворителей как в процессе модифицирования, так и в процессе выделения продукта.
Процесс проводят при нагревании в реакторе, затем продукт экстрагируют горячими водорастворимыми спиртами или кетонами и сушат на воздухе. Состав полученного ПЭХ характеризуют данными элементного анализа, наличие введенных 2-(2-пиридил)этильных групп – ИК-Фурье спектроскопией или ЯМР 1Н спектроскопией раствора.
Для приготовления сорбента полученный ПЭХ растворяют в воде, нейтрализуют щелочью, осадок обрабатывают раствором глутарового альдегида, отфильтровывают и сушат.
Предлагаемое решение иллюстрируется следующими синтетическими примерами.
Пример 1
Смесь 0,33 г (0,002 моль) хитозана, 0,42 мл (0,004 моль) 2-винилпиридина и 1,56 мл (0,002 моль) 4,6% соляной кислоты выдерживают 10 мин до образования гелеобразной массы, затем нагревают при 70°С 24 ч и охлаждают. К полученной смеси добавляют 7,18 мл (0,002 моль) 0,85% соляной кислоты, продукт осаждают ацетоном, подвергают горячей экстракции изопропанолом в течение 24 ч. Продукт сушат при 50°С до постоянного веса.
Найдено, %: С 43,88; Н 6,45; N 7,56; для формулы (C8H13NO5)0,16(C6H11O4N)0,84(C7H7N)0,57(HCl)1,2(H2O)0,5 вычислено, %: С 44,12; Н 6,29; N 7,84.
ИК-спектр (см-1): 3381 as, s (N-H), as, s (O-H) (OH), 2922 s (C-H), 1669 (пиридиновое кольцо), 1660 as (C=O амид I), 1568 s (N-H амид II), 1477 (пиридиновое кольцо), 1435 (C-H), 1372 (C-N амид III), 1150 (C-O-C), (C-C), 1067 (C-O), (C-C), 764 (C-H пиридиновое кольцо), (C-H пиридиновое кольцо).
Спектр ЯМР 1Н (D2O/DCl), м.д.: 2.08 (CH3), 3.26-4.22 (СH2СH2Ру СH2ОН, Н – 2, 3, 4, 5, 6), 4.65 (Н-1 GlcNHAc), 4.94 (H-1 GlcNH2), 5.13 (Н-1 GlcNH(CH2CH2Pу)), 5.29 (Н-1 GlcN(CH2CH2Pу)2), 8.05-8.75 (H Ру). Степень присоединения по аминогруппе согласно данным ЯМР 1Н – 0.57.
Примеры 2-4
Методика последующих опытов соответствует примеру 1. Условия реакции и характеристики полученных продуктов представлены в таблице.
Емкость полученных сорбентов определяют по отношению к ионам меди (II) при рН 6,5 и исходной концентрации металла в растворе 0,025 моль/л. Сорбционные свойства полученного продукта представлены в таблице. Как видно из представленных данных, емкость сорбента составляет 1,38-1,74 ммоль/г, что выше ближайшего аналога по строению ПМХ.
| Таблица 1. |
| Условия получения и характеристики ПЭХ, время 24 ч |
 |
Хитозан, г |
2-Винил-пиридин, мл |
H2O, мл |
Моль, соотн. винилпиридин:хитозан |
Температура, °С |
Выход, г |
Степень присоединенияа |
Значение |
Емкость по отношению к Cu2+ ммоль/г |
| X |
N |
М |
| аналог |
 |
– |
– |
– |
– |
– |
0,85-0,9 |
– |
– |
– |
1,3 |
| 1 |
0,33 |
0,42 |
1,35 |
1:2 |
70 |
0,44 |
0,57 |
0,16 |
0,36 |
0,48 |
1,38 |
| 2 |
0,33 |
0,63 |
1,35 |
1:3 |
70 |
0,48 |
0,87 |
0,16 |
0,11 |
0,73 |
1,67 |
| 3 |
0,33 |
0,84 |
1,35 |
1:4 |
70 |
0,49 |
0,92 |
0,16 |
0,07 |
0,77 |
1,72 |
| 4б |
0,33 |
0,84 |
1,35 |
1:4 |
70 |
70,50 |
0,94 |
0,16 |
0,05 |
0,79 |
1,74 |
| аСтепень присоединения – доля структурных звеньев N-2-(2-пиридил)этил-D-глюкозамина по отношению ко всем звеньям полимерной цепи. |
| бРеакция проводилась 48 часов. |
Формула изобретения
1. N-2-(2-пиридил)этилхитозан формулы I
 где Х=0,16; N=0,05-0,36; М=0,48-0,79.
2. Способ получения продукта по п.1, характеризующийся тем, что осуществляют взаимодействие хитозана с водным раствором 2-винилпиридина в присутствии соляной кислоты при соотношении 2-винилпиридин:хитозан:соляная кислота (2-4):1:1 при комнатной температуре до образования геля, последующее нагревание при 68-72°С в течение 24-48 ч, обработку реакционной массы водным раствором соляной кислоты, высаживание, горячую экстракцию водорастворимыми спиртами или кетонами и сушку.
|
|