|
|
(21), (22) Заявка: 2007123251/04, 12.12.2005
(24) Дата начала отсчета срока действия патента:
12.12.2005
(30) Конвенционный приоритет:
21.12.2004 US 60/637,854
(43) Дата публикации заявки: 27.01.2009
(46) Опубликовано: 10.08.2010
(56) Список документов, цитированных в отчете о поиске:
US 20030060498 A1, 27.03.2003. US 2003158175 A1, 23.08.2003. US 5637624 A, 10.06.1997. RU 2142951 C1, 20.12.1999.
(85) Дата перевода заявки PCT на национальную фазу:
23.07.2007
(86) Заявка PCT:
EP 2005/013291 20051212
(87) Публикация PCT:
WO 2006/066746 20060629
Адрес для переписки:
191186, Санкт-Петербург, а/я 230, “АРС-ПАТЕНТ”, пат.пов. И.И.Липатовой, рег. 554
|
(72) Автор(ы):
КРАУСС Ненси Элизабет (US), ЖАО Шу-Хай (US)
(73) Патентообладатель(и):
Ф. ХОФФМАНН-ЛЯ РОШ АГ (CH)
|
(54) ПРОИЗВОДНЫЕ ХРОМАНА И ИХ ПРИМЕНЕНИЕ В КАЧЕСТВЕ ЛИГАНДОВ 5-НТ РЕЦЕПТОРА
(57) Реферат:
Изобретение относится к новым производным хромана формулы I:

или их фармацевтически приемлемым солям, где: m равно от 0 до 1;
p равно 2; q равно 2; Ar представляет собой фенил, возможно замещенный атомом галогена; каждый R1 независимо представляет собой галоген; R2 представляет собой

n равно от 1 до 2; R3 и R4 каждый независимо представляет собой водород или C1-12-алкил; R5 и R6 каждый независимо представляет собой водород или С1-12-алкил; R7 и R8 каждый независимо представляет собой водород или C1-12-алкил, либо один из R7 и R8 представляет собой водород, а другой представляет собой 5-или 6-членный гетероциклил, содержащий один атом азота, либо R7 и R8 вместе с атомом азота, к которому они присоединены, могут образовать группу амидинил, группу мочевина, группу гуанидинил или пирролидиновое кольцо, которое возможно замещено аминогруппой. Также предложены фармацевтические композиции, обладающие действием модулятора рецептора 5-НТ6 или 5-HT2a или обоих рецепторов,содержащие соединения формулы I, и способы применения соединений формулы I. 4 н. и 18 з.п. ф-лы, 1 табл.
Текст описания приведен в факсимильном виде.                                                       
Формула изобретения
1. Соединение формулы I:
 или его фармацевтически приемлемая соль, где m равно от 0 до 1; р равно 2; q равно 2; Ar представляет собой фенил, возможно замещенный атомом галогена; каждый R1 независимо представляет собой галоген;
; R2 представляет собой n равно от 1 до 2; R3 и R4 каждый независимо представляет собой водород или С1-12-алкил; R5 и R6 каждый независимо представляет собой водород или С1-12-алкил; и R7 и R8 каждый независимо представляет собой водород или С1-12-алкил, либо один из R7 и R8 представляет собой водород, а другой представляет собой 5-или 6-членный гетероциклил, содержащий один атом азота, либо R7 и R8 вместе с атомом азота, к которому они присоединены, могут образовать группу амидинил, группу мочевина, группу гуанидинил или пирролидиновое кольцо, которое возможно замещено аминогруппой.
2. Соединение по п.1, где n равно 1.
3. Соединение по п.2, где R5 и R6 представляют собой водород.
4. Соединение по п.3, где R7 и R8 представляют собой водород.
5. Соединение по п.3, где один из R7 и R8 представляет собой водород, а другой представляет собой С1-12-алкил.
6. Соединение по п.3, где один из R7 и R8 представляет собой водород, а другой представляет собой пирролидинил.
7. Соединение по п.3, где R7 и R8 вместе с атомом азота, к которому они присоединены, образуют группу амидинил.
8. Соединение по п.3, где R7 и R8 вместе с атомом азота, к которому они присоединены, образуют группу гуанидинил.
9. Соединение по п.3, где R7 и R8 вместе с атомом азота, к которому они присоединены, образуют группу мочевина.
10. Соединение по п.1, где n равно 2.
11. Соединение по п.10, где R5 и R6 представляют собой водород.
12. Соединение по п.11, где R7 и R8 представляют собой водород.
13. Соединение по п.11, где один из R7 и R8 представляет собой водород, а другой представляет собой С1-12-алкил.
14. Соединение по п.11, где один из R7 и R8 представляет собой водород, а другой представляет собой возможно замещенный пирролидинил.
15. Соединение по п.11, где R7 и R8 вместе с атомом азота, к которому они присоединены, образуют группу амидинил.
16. Соединение по п.11, где R7 и R8 вместе с атомом азота, к которому они присоединены, образуют группу гуанидинил.
17. Соединение по п.1, где указанное соединение имеет формулу II:
, где m, Ar, R1 и R2 являются такими, как указано в п.1.
18. Соединение по п.1, где указанное соединение имеет формулу III:
; где s равно от 0 до 1; каждый R9 независимо представляет собой галогено; и n, R5, R6, R7 и R8 являются такими, как указано в п.1.
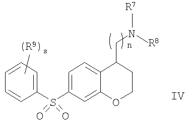
19. Соединение по п.1, где указанное соединение имеет формулу IV:
; где n равно 1 или 2; s равно 0 или 1; R9 представляет собой галогено; и R7 и R8 каждый независимо представляет собой водород или C1-12-алкил, либо R7 и R8 вместе с атомом азота, к которому они присоединены, могут образовать группу амидинил или группу гуанидинил.
20. Фармацевтическая композиция, обладающая действием модулятора рецептора 5-НТ6 или 5-HT2a или обоих рецепторов, содержащая эффективное количество соединения по любому из пп.1-19 в смеси с фармацевтически приемлемым носителем.
21. Применение соединения по любому из пп.1-19 для изготовления лекарственного средства, полезного для лечения болезненного состояния центральной нервной системы, выбранного из психозов, шизофрении, маниакальных депрессий, неврологических расстройств, расстройств памяти, синдрома дефицита внимания, болезни Паркинсона, бокового амиотрофического склероза, болезни Альцгеймера, нарушений питания и болезни Гентингтона.
22. Применение соединения по любому из пп.1-19 для изготовления лекарственного средства, полезного для лечения расстройства желудочно-кишечного тракта.
РИСУНКИ
|
|