|
|
(21), (22) Заявка: 2008129503/04, 17.07.2008
(24) Дата начала отсчета срока действия патента:
17.07.2008
(43) Дата публикации заявки: 27.01.2010
(46) Опубликовано: 10.08.2010
(56) Список документов, цитированных в отчете о поиске:
Пулина Н.А., Залесов В.В., Юшков В.В., Мокин П.А., Собин Ф.В. и др. Вопросы биологической, медицинской и фармацевтической химии, 2, 2008, с.13-16. RU 2008100347 А, 09.01.2008.
Адрес для переписки:
614081, г.Пермь, ул. Полевая, 2, ГОУ ВПО ПГФА Росздрава, патентный отдел
|
(72) Автор(ы):
Пулина Наталья Алексеевна (RU), Юшков Владимир Викторович (RU), Собин Фёдор Владимирович (RU), Яценко Константин Вячеславович (RU), Залесов Владимир Васильевич (RU)
(73) Патентообладатель(и):
Государственное образовательное учреждение высшего профессионального образования “Пермская государственная фармацевтическая академия Федерального агентства по здравоохранению и социальному развитию” (ГОУ ВПО ПГФА Росздрава) (RU)
|
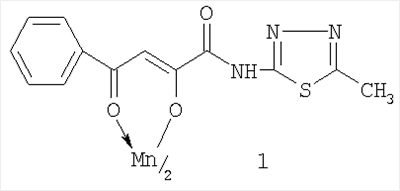
(54) БИС{3-ФЕНИЛ-1-[2-(5-МЕТИЛ-1,3,4-ТИАДИАЗОЛИЛ)]КАРБОКСАМИДО-1,3-ПРОПАНДИОНАТО}МАРГАНЕЦ, ОБЛАДАЮЩИЙ ПРОТИВОВОСПАЛИТЕЛЬНОЙ И АНАЛЬГЕТИЧЕСКОЙ АКТИВНОСТЬЮ
(57) Реферат:
Изобретение относится к области органической химии, а именно к новым биологически активным веществам класса комплексных соединений N-гетериламидов 4-арил-2,4-диоксобутановых кислот. Предложен бис{3-фенил-1-[2-(5-метил-1,3,4-тиадиазолил)]карбоксамидо-1,3-пропандионато}марганец, обладающий противовоспалительной и анальгетической активностью, формулы:

Технический результат: получение соединения с высоким выходом, обладающего выраженной противовоспалительной и анальгетической активностью, а также низкой токсичностью. 1 табл.
Изобретение относится к области органической химии, к новым биологически активным веществам класса комплексных соединений N-гетериламидов 4-арил-2,4-диоксобутановых кислот, а именно к бис{3-фенил-1-[2-(5-метил-1,3,4-тиадиазолил)]карбоксамидо-1,3-пропандионато}марганцу [1] формулы:

2. – С.13-16] формулы:

Структурный аналог 2 не обладает противовоспалительным действием и оказывает слабое анальгетическое действие, недостаточное для практического здравоохранения. Эталоном сравнения выбраны:
1) противовоспалительный препарат диклофенак (натриевая соль 2-[(2,6-дихлорфенил)амино]-фенилуксусной кислоты) [3], широко применяемый в лечебной практике и являющийся аналогом по действию [Машковский М.Д. Лекарственные средства. – 15-е изд., перераб., испр. и доп. – М.: ООО «Издательство Новая волна», 2005, с.170];
2) анальгетический препарат метамизол натрия (1-фенил-2,3-диметил-4-метиламинопиразолон-5-N-метансульфонат натрия) [4], широко применяемый в лечебной практике и являющийся аналогом по действию [Машковский М.Д. Лекарственные средства. – 15-е изд., перераб., испр. и доп. – М.: ООО «Издательство Новая волна», 2005, с.159-160].
Задачей изобретения является поиск в ряду комплексных соединений гетериламидов 4-арил-2,4-диоксобутановых кислот веществ с выраженной противовоспалительной и анальгетической активностью при низкой токсичности.
Поставленная задача достигается получением бис{3-фенил-1-[2-(5-Метил-1,3,4-тиадиазолил)]карбоксамидо-1,3-пропандионато}марганца (1), обладающего противовоспалительной и анальгетической активностью, а также низкой токсичностью.
Заявляемое соединение 1 синтезируют взаимодействием N-[2-(5-метил-1,3,4-тиадиазолил)]амида 2-гидрокси-4-оксо-4-фенил-2-бутеновой кислоты (2) с дихлоридом марганца при соотношении реагентов 2:1 в среде диоксан – спирт этиловый (1:0,5), при нагревании с последующим выделением целевого продукта известными методами по схеме:

Пример 1 получения соединения 1. К раствору 5.79 г (0,02 моль) N-[2-(5-метил-1,3,4-тиадиазолил)]амида 2-гидрокси-4-оксо-4-фенил-2-бутеновой кислоты в 40 мл диоксана прибавляют раствор 1.98 г (0,01 моль) MnCl2·4H2O в 20 мл спирта этилового и нагревают до температуры кипения. Реакционную смесь охлаждают до 0°С, выпавший осадок отфильтровывают, промывают горячим толуолом и высушивают. Выход 5,93 г (94%). Т.пл. 240-242°С. Найдено, %: С 49.52; Н 3.24; N 13.28. C26H20N6O6S2Mn. Вычислено, %: С 49.45; Н 3.19; N 13.31.
ИК спектр (Specord M80, вазелиновое масло, , см-1): 3245 (NHCO), 1700 (CONH), 1630, 1600, 1580 (C=O, C=C, C=N).
Заявляемое соединение 1 представляет собой желтое кристаллическое вещество, растворимое в диметилсульфоксиде и диметилформамиде, нерастворимое в хлороформе, гексане и воде.
Противовоспалительная активность изучена в опытах на 30 белых беспородных крысах обоего пола массой 220-260 г. Соединение 1 вводили перорально в дозе 50 мг/кг в виде взвеси в 2% крахмальном растворе за час до моделирования острого каррагенинового воспаления. Каррагениновый отек вызывали субплантарной инъекцией 0.1 мл 1% раствора флогогена в заднюю лапу крысы. О противовоспалительной активности судили по изменению выраженности воспаления в динамике, которое регистрировали онкометрически через 1, 3 и 5 часов после моделирования воспаления [Методические рекомендации по экспериментальному изучению нестероидных противовоспалительных веществ / Фармакологический комитет МЗ СССР, протокол 22 от 11 ноября 1982. – Москва, 1982. – 47 с]. Контрольным животным вводили эквиобъемное количество 2% крахмального раствора. Препаратом сравнения служил диклофенак в дозе 10 мг/кг. Результаты обработаны статистически с помощью программы MS Excel, 2003 и представлены в таблице.
Анальгетическая активность соединения 1 изучена на 12 белых беспородных мышах самцах массой 18-20 г по методу термического раздражения [В.В.Гацура. Методы первичных фармакологических исследований биологически активных веществ. – М.: Медицина, 1974. – 39 с.]. Исследуемое соединение 1 вводили в дозе 50 мг/кг перорально в виде взвеси в 2% крахмальном растворе за 30 минут до помещения животных на горячую пластинку. Показателем болевой чувствительности служила длительность пребывания мышей на пластинке до наступления оборонительного рефлекса – облизывания лапок. Контрольным животным вводили эквиобъемное количество 2% крахмального раствора. Препаратом сравнения служил метамизол натрия в дозе 50 мг/кг. Результаты обработаны статистически с помощью программы MS Excel, 2003 и представлены в таблице.
Острую токсичность (ЛД50 4. – С.497-502].
Установлено, что ЛД50 соединения 1 составляет 4800 мг/кг. Согласно классификации токсичности препаратов соединение 1 относится к классу малотоксичных веществ [Измеров И.Ф., Саноцкий И.В., Сидоров К.К. Параметры токсикометрии промышленных ядов. – М.: Медицина, 1977. – С.196-197]. Оно в 6,4 раза менее токсично, чем диклофенак, и в 1,5 раза менее токсично, чем метамизол натрия.

Как видно из таблицы, соединение 1 проявило выраженную противовоспалительную активность в течение всего периода наблюдения и на пике воспаления оно активнее диклофенака. Необходимо отметить, что эффективная доза диклофенака составляет 0,13 от его ЛД50, а у заявляемого соединения – 0,010 от его ЛД50, что свидетельствует об определенных преимуществах соединения 1 перед диклофенаком по его безопасности и эффективности.
В ходе проведенных исследований (см. табл.) установлено, что соединение 1 проявляет также выраженную анальгетическую активность на всех сроках наблюдения. Так, через 30 минут после введения оно уже превышает действие метамизола натрия, а через 60 минут его активность увеличивается и превышает препарат сравнения в 1,5 раза. С учетом значений острой токсичности терапевтическая эффективность и безопасность соединения 1 значительно выше препарата сравнения.
Таким образом, бис {3-фенил-1-[2-(5-метил-1,3,4-тиадиазолил)] карбоксамидо-1,3-пропандионато}марганец (1) проявляет более высокую противовоспалительную и анальгетическую активность по сравнению со структурным аналогом и эталонами сравнения, а также является малотоксичным, что делает возможным использование его для создания новых лекарственных средств, обладающих противовоспалительной и анальгетичсской активностью.
ЛИТЕРАТУРА
2. – С.13-16.
2. Машковский М.Д. Лекарственные средства.- 15-е изд., персраб., испр. и доп. – М.: ООО «Издательство Новая волна», 2005. – с.159-160, 170.
3. Методические рекомендации по экспериментальному изучению нестероидных противовоспалительных веществ / Фармакологический комитет МЗ СССР, протокол 22 от 11 ноября 1982. – Москва, 1982. – 47 с.
4. В.В.Гацура. Методы первичных фармакологических исследований биологически активных веществ. – М.: Медицина, 1974. – 39 с.
4. – С.497-502.
6. Измеров И.Ф., Саноцкий И.В., Сидоров К.К. Параметры токсикометрии промышленных ядов. – М.: Медицина, 1977. – С.196-197.
Формула изобретения
Бис{3-фенил-1-[2-(5-метил-1,3,4-тиадиазолил)]карбоксамидо-1,3-пропандионато} марганец формулы:
 обладающий противовоспалительной и анальгетической активностью.
|
|