|
|
(21), (22) Заявка: 2008119880/04, 19.05.2008
(24) Дата начала отсчета срока действия патента:
19.05.2008
(43) Дата публикации заявки: 27.11.2009
(46) Опубликовано: 10.08.2010
(56) Список документов, цитированных в отчете о поиске:
Андрейчиков Ю.С., Милютин А.В., Крылова И.В. и др. Синтез и биологическая активность гетериламидов ароилпировиноградных и 5-арилпразол-3-карбоновых кислот. Химико-Фармацевтический журнал, 1990, 7, с.33-35. SU 625392 А1, 23.07.1981. SU 620085 А1, 27.12.2006. RU 94037753 А1, 20.08.1996.
Адрес для переписки:
614081, г.Пермь, ул. Полевая, 2, ГОУ ВПО ПГФА Росздрава, патентный отдел
|
(72) Автор(ы):
Пулина Наталья Алексеевна (RU), Юшков Владимир Викторович (RU), Собин Фёдор Владимирович (RU), Одегова Татьяна Федоровна (RU), Яценко Константин Вячеславович (RU), Федоренко Елена Николаевна (RU)
(73) Патентообладатель(и):
Государственное образовательное учреждение высшего профессионального образования “Пермская государственная фармацевтическая академия Федерального агентства по здравоохранению и социальному развитию” (ГОУ ВПО ПГФА Росздрава) (RU)
|
(54) N-(2-БЕНЗОТИАЗОЛИЛ)АМИД 2-ГИДРОКСИ-4-ОКСО-4-(4-ХЛОРФЕНИЛ)-2-БУТЕНОВОЙ КИСЛОТЫ, ОБЛАДАЮЩИЙ ПРОТИВОМИКРОБНОЙ И ПРОТИВОВОСПАЛИТЕЛЬНОЙ АКТИВНОСТЬЮ
(57) Реферат:
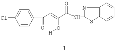
Изобретение относится к N-(2-бензотиазолил)амиду 2-гидрокси-4-оксо-4-(4-хлорфенил)-2-бутеновой кислоты формулы

обладающему противомикробной и противовоспалительной активностью наряду с низкой токсичностью. Соединение может найти применение для лечения заболеваний, связанных с патогенными микроорганизмами и воспалением. 2 табл.
Изобретение относится к области органической химии, к новым биологически активным веществам класса N-гетериламидов 4-арил-2,4-диоксобутановых кислот, а именно к N-(2-бензотиазолил)амиду 2-гидрокси-4-оксо-4-(4-хлорфенил)-2-бутеновой кислоты (1) формулы

7. – С.33-35]

Структурный аналог 2 не обладает противовоспалительной активностью. Данные по противомикробной активности структурного аналога 2 в литературе отсутствуют.
Эталонами сравнения выбраны следующие:
1) противомикробный препарат хлоргексидин [1,6-ди-(4-хлорфенилгуанидо)-гексан] (3), широко применяемый в лечебной практике и являющийся аналогом по действию [Машковский М.Д. Лекарственные средства. – 15-е изд., перераб., испр. и доп. – М.: ООО «Издательство Новая волна», 2005. – С.935-936];
2) противовоспалительный препарат диклофенак (натриевая соль 2-[(2,6-дихлорфенил)амино]фенилуксусной кислоты) (4), широко применяемый в лечебной практике и являющийся аналогом по действию [Машковский М.Д. Лекарственные средства. – 15-е изд., перераб., испр. и доп. – М.: ООО «Издательство Новая волна», 2005. – С.170].
Задачей изобретения является поиск в ряду N-гетериламидов 4-арил-2,4-диоксобутановых кислот веществ с выраженным противомикробным и противовоспалительным действием и низкой токсичностью.
Поставленная задача достигается получением N-(2-бензотиазолил)амида 2-гидрокси-4-оксо-4-(4-хлорфенил)-2-бутеновой кислоты (1), обладающего противомикробной и противовоспалительной активностью.
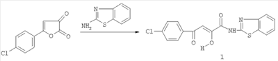
Заявляемое соединение 1 синтезируют взаимодействием 5-(4-хлорфенил)-2,3-дигидрофуран-2,3-диона с 2-аминобензотиазолом при эквимолярном соотношении реагентов в среде безводного хлороформа при комнатной температуре с последующим выделением целевого продукта известными методами по схеме

Пример 1 получения соединения 1. К раствору 2,09 г (0,01 моль) 5-(4-хлорфенил)-2,3-дигидрофуран-2,3-диона в 30 мл безводного хлороформа прибавляют раствор 1,50 г (0,01 моль) 2-аминобензотиазола в 20 мл безводного хлороформа, выдерживают при комнатной температуре 24 часа. Реакционную смесь охлаждают до 0°С, выпавший осадок отфильтровывают, перекристаллизовывают из толуола и высушивают. Выход 3,4 г (95%). Т.пл. 210-212°С. Найдено, %: С 57.08; Н 3.12; N 7.92. C17H11ClN2O3S. Вычислено, %: С 56.91; Н 3.09; N 7.81.
ИК-спектр (Specord М80, вазелиновое масло, v, см-1): 3280 (NH), 1710 (CONH), 1640, 1610 (С4=O, С=С, C=N). Спектр ЯМР 1Н (Bruker DRX 500, ДМСО-d6, ГМДС, , м.д.): 7.22 с (1H, СН), 7.33-7.99 м (10Н, С6Н5, С6Н4) NH).
Заявляемое соединение 1 представляет собой желтое кристаллическое вещество, растворимое в толуоле, диоксане, диметилсульфоксиде, нерастворимое в воде и алканах.
Определение бактериостатической активности проводили методом двукратных серийных разведений в жидкой питательной среде [Руководство по экспериментальному (доклиническому) изучению новых фармакологических веществ / Фисенко В.П. (ред.). – М.: ИИА Ремедиум, 2000. – С.264-273]. Для всех исследуемых соединений были определены МПК в отношении фармакопейных штаммов: S.aureus АТСС 6538-Р и E.coli АТСС 25922. Результаты испытаний представлены в таблице 1. Посевы производили в мясопептонный бульон, рН 7,0, с различной концентрацией испытуемых соединений. Культуры выращивали в пробирках на скошенной агаризированной среде (мясопептонный агар). Для определения противомикробной активности использовалась 18-20-часовая культура. Для приготовления рабочей взвеси микробов производили смыв выросшей культуры изотоническим раствором натрия хлорида и устанавливали плотность микробной взвеси по стандарту мутности 5 единиц. Далее из полученной микробной взвеси (500 млн. м.т./мл) готовили рабочий раствор бактерий с концентрацией 5 млн. м.т./мл. Данную взвесь микробов вносили в количестве 0,1 мл в пробирки с серийными разведениями изучаемого препарата. Таким образом, микробная нагрузка при определении ПМА составила 250000 м.т./мл. Изучаемое соединение в количестве 0,05 г растворяли в 5 мл диметилформамида; 1 мл полученного разведения 1:100 соединяли с 4 мл мясопептонного бульона (1:500). Далее готовили ряд серийных разведений соединения с двукратно уменьшающей концентрацией. Учет результатов производили через 18-20 часов выдержки контрольных и опытных пробирок в термостате при температуре 37°С. Минимальную подавляющую концентрацию (МПК) устанавливали по отсутствию признаков роста на питательной среде: последняя пробирка с задержкой роста (прозрачный бульон) соответствует МПК препарата в отношении данного штамма. Бактериостатический эффект исследуемых соединений сравнивали с действием хлоргексидина.
Противовоспалительная активность изучена в опытах на 30 белых беспородных крысах обоего пола массой 220-260 г. Соединение 1 вводили перорально в дозе 50 мг/кг в виде взвеси в 2% крахмальном растворе за час до моделирования острого каррагенинового воспаления. Каррагениновый отек вызывали субплантарной инъекцией 0.1 мл 1% раствора флогогена в заднюю лапу крысы. О противовоспалительной активности судили по изменению выраженности воспаления в динамике, которое регистрировали онкометрически через 1, 3 и 5 часов после моделирования воспаления [Методические рекомендации по экспериментальному изучению нестероидных противовоспалительных веществ/ Фармакологический комитет МЗ СССР, протокол 22 от 11 ноября 1982. – Москва, 1982. – 47 с.]. Контрольным животным вводили эквиобъемное количество 2% крахмального раствора. Препаратом сравнения служил диклофенак в дозе 10 мг/кг. Результаты обработаны статистически с помощью программы Excel 2003 и представлены в таблице 2.
Острую токсичность (ЛД50 4. – С.497-502]. Установлено, что ЛД50 соединения 1 составляет 5800 мг/кг. Согласно классификации токсичности препаратов соединение 1 относится к классу практически нетоксичных веществ [Измеров И.Ф., Саноцкий И.В., Сидоров К.К. Параметры токсикометрии промышленных ядов. – М.: Медицина, 1977. – С.196-197]. Оно в 1,45 раз менее токсично, чем хлоргексидин, и 7,44 раза менее токсично, чем диклофенак.
| Таблица 1 |
| Противомикробная активность и острая токсичность соединения 1 |
| Соединение |
ЛД50, мг/кг |
МПК, мкг/мл |
МПК/ЛД50 |
| St.aureus |
Е.coli |
St.aureus |
Е.coli |
| 1 |
5800 |
2,0 |
3,9 |
0,0003 |
0,0007 |
| Хлоргексидин |
4000 |
125 |
125 |
0,0313 |
0,0313 |
Как видно из таблицы 1, соединение 1 превышает по противомикробной активности хлоргексидин по отношению к золотистому стафилококку в 62,5 раза и к кишечной палочке – в 32 раза. Отношение МПК (мкг/мл) к токсичности ЛД50 (мг/кг) у соединения 1 составляет для стафилококка 0,0003 и для кишечной палочки 0,0007, в то время как у хлоргексидина эти показатели значительно уступают.
| Таблица 2 |
| Противовоспалительная активность и острая токсичность соединения 1 |
| Соединение |
Доза, мг/кг |
ЛД50, мг/кг |
% торможения каррагенинового отека |
| 1 час |
3 часа |
5 часов |
| Контроль |
– |
– |
0,0±0,0 |
0,0±0,0 |
0,0±0,0 |
| 1 |
50 |
5800 |
39,7±2,1**1 |
64,2±3,2***1 |
56,4±3,3***1 |
 |
*2 |
*2 |
| Диклофенак |
10 |
780 |
40,2±4,8 |
65,6±4,3***1 |
60,1±4,7***1 |
| *=р<0,05, **=р<0,01, ***=p<0,001. |
| 1 – по сравнению с контролем; 2 – по сравнению с диклофенаком. |
Как видно из таблицы 2, соединение 1 проявило выраженную противовоспалительную активность в течение всего периода наблюдения, а на пике воспаления оно практически не уступает диклофенаку. Необходимо отметить, что эффективная доза диклофенака составляет 0,013 от его ЛД50, а у заявляемого соединения 0,008 от его ЛД50, что свидетельствует об определенных преимуществах соединения 1 перед диклофенаком в плане его безопасности и эффективности.
Таким образом, N-(2-бензотиазолил)амид 2-гидрокси-4-оксо-4-(4-хлорфенил)-2-бутеновой кислоты (1) проявляет более высокую противомикробную и противовоспалительную активность по сравнению со структурным аналогом и эталонами сравнения, а также является практически нетоксичным, что делает возможным использование его для создания новых лекарственных средств, обладающих противомикробной и противовоспалительной активностью.
Литература
7. – С.33-35.
2. Машковский М.Д. Лекарственные средства.- 15-е изд., перераб., испр. и доп. – М.: ООО «Издательство Новая волна», 2005. – С.170, 935-936.
3. Руководство по экспериментальному (доклиническому) изучению новых фармакологических веществ / Фисенко В.П. (ред.). – М.: ИИА Ремедиум. – 2000. – С.264-273.
4. Методические рекомендации по экспериментальному изучению нестероидных противовоспалительных веществ / Фармакологический комитет МЗ СССР, протокол 22 от 11 ноября 1982. – Москва, 1982. – 47 с.
4. – С.497-502.
6. Измеров И.Ф., Саноцкий И.В., Сидоров К.К. Параметры токсикометрии промышленных ядов. – М.: Медицина, 1977. – С.196-197.
Формула изобретения
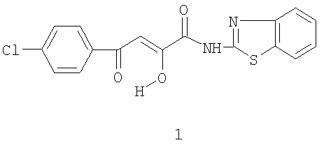
N-(2-Бензотиазолил)амид 2-гидрокси-4-оксо-4-(4-хлорфенил)-2-бутеновой кислоты формулы
 обладающий противомикробной и противовоспалительной активностью.
|
|