|
|
(21), (22) Заявка: 2007121503/04, 31.10.2005
(24) Дата начала отсчета срока действия патента:
31.10.2005
(30) Конвенционный приоритет:
09.11.2004 EP 04105620.1
(43) Дата публикации заявки: 20.12.2008
(46) Опубликовано: 10.08.2010
(56) Список документов, цитированных в отчете о поиске:
US 3928493, 23.12.1975. J.Org.Chem., v.40, n.l5, 1975, p.2215-2220. ANALES DE QUIMICA, v.70, 1974, p.908-913. RU 2002133210/04, 20.09.2004.
(85) Дата перевода заявки PCT на национальную фазу:
09.06.2007
(86) Заявка PCT:
EP 2005/055646 20051031
(87) Публикация PCT:
WO 2006/051047 20060518
Адрес для переписки:
101000, Москва, М.Златоустинский пер., 10, кв.15, “ЕВРОМАРКПАТ”, пат.пов. И.А.Веселицкой, рег. 11
|
(72) Автор(ы):
НЕСФАДБА Петер (CH), БЕНКХОФФ Иоганнес (CH), БЮНЬОН Люсьенна (CH), ПОВЕЛЛЬ Карин (DE), ЙЮНГ Туня (DE)
(73) Патентообладатель(и):
ЦИБА СПЕШИАЛТИ КЕМИКЭЛЗ ХОЛДИНГ ИНК. (CH)
|
(54) N-ЗАМЕЩЕННЫЕ ИМИДЫ КАК ИНИЦИАТОРЫ ПОЛИМЕРИЗАЦИИ
(57) Реферат:
Изобретение относится к новым N-замещенным имидам формул I и II
и 
где n означает 1; m означает 1; R1 и R2, R4 и R5 совместно со смежной группой -CO-N-CO- образуют 5- или 6-членное моноциклическое кольцо, необязательно насыщенное и возможно замещенное С1-18алкилом, конденсированную кольцевую систему, которая в дополнение к моноциклическому сердцевинному кольцу, определенному выше, содержит одно или два С6ароматических или С6алифатических кольца; R3 означает NR12R13, где R12 и R13 независимо друг от друга означают С1-18алкил, C5-12циклоалкил, каждый из которых может быть замещен С1-4алкилом; R6 означает С6-10арил, C1-18алкил, С6-10ар-С1-С18алкил, С5-С12циклоалкил, каждый из которых необязательно замещен С1-С4алкилом; R7 означает C1-С18алкил, С6-С10арил, С6-С10ар-С1-С18алкил, С5-С12циклоалкил, каждый из которых необязательно замещен С1-С4алкилом, которые используют в качестве инициаторов радикальной термической полимеризации (ТРИ) в отвердителе для покрытий, отверждаемых свободнорадикальной полимеризацией. 5 н. и 3 з.п. ф-лы.
Изобретение относится к новым N-замещенным имидам и способным полимеризоваться композициям, включающим эти N-замещенные имиды. Объектом изобретения является, кроме того, применение N-замещенных имидов в качестве инициаторов полимеризации.
Свободнорадикальная полимеризация относится к самым важным методам построения относительно длинной углеродной цепи. Ее используют в технологическом процессе получения имеющих важное техническое значение полимеров, таких как полистирол, ПВХ, поли(мет)акрилаты, ПАН и другие полимеры. За техническими подробностями можно обратиться ко все еще актуальной стандартной работе G.Odian, Principles of Polymerization, McGraw-Hill, New York, 1991.
Процессы свободнорадикальной полимеризации начинают с использованием инициаторов. Инициаторы, которые заняли прочное место в технологическом процессе, представляют собой азосоединения, диалкилпероксиды, диацилпероксиды, гидропероксиды, термолабильные С-С-димеры, оксилительно-восстановительные системы и фотоинициаторы. Можно сослаться на работу “Handbook of Free Radical Initiators” (E.T.Denisov, T.G.Denisova, T.S.Pokidova, J.Wiley & Sons, Inc. Hoboken, New Jersey, 2003).
Несмотря на их широкое применение, эти инициаторы обладают различными недостатками. Так, например, пероксиды крайне легко воспламеняются и поддерживают горение. Вещества других классов являются потенциально взрывоопасными, вследствие чего их применение, хранение и транспортировка сопряжены с дорогостоящими мерами предосторожности. Некоторые инициаторы образуют токсичные продукты, такие как, например, АИБН (азобисизобутиронитрил).
Следовательно, в общем существует потребность в технически эффективных инициаторах, которые можно использовать в технологическом процессе и которые обладают удовлетворительным профилем безопасности для процессов свободнорадикальной полимеризации.
J.D.Druliner в журнале J.Phys.Org.Chem. 8, 316-324 (1995) описывает полимеризацию акрилатов и метакрилатов для получения гомополимеров и блок-сополимеров, инициируемую N-алкоксифталимидами и сукцинимидами.
В US 2872450 описано получение эфиров тио- и дитиокарбоновых кислот реакцией циклических оксимидов и хлорангидридов эфиров тио- или дитиокарбоновых кислот и их применение в качестве фунгицидов.
В US 6667376 описаны соединения общей формулы R1-S-C(=S)-O-NR2R3, используемые в качестве средств регулирования свободнорадикальной полимеризации живого типа.
Было установлено, что некоторые имиды дикарбоновых кислот особенно приемлемы как инициаторы полимеризации, если их эстерифицируют тиоацил- или иминорадикалами.
Объектом изобретения являются соединения формул I и II
и 
в которых n обозначает 1 или 2;
m обозначает 1 или 2;
R1 и R2 каждый независимо друг от друга обозначает водородный атом, С1-С18алкил, С1-С18алкенил, С6-С14арил, аралкил, С5-С12циклоалкил, каждый из которых может быть замещен атомом галогена, С1-С4алкилом, гидроксилом, C1-С6алкокси, карбонилом, C1-С6алкоксикарбонилом, или R1 и R2 совместно со смежной группой -CO-N-CO- могут образовывать моноциклическое, бициклическое или полициклическое кольцо, причем указанное кольцо содержит до 50 неводородных атомов и указанное кольцо может включать больше одного структурного элемента 
R3, если n обозначает 1, обозначает С1-С18алкил, С1-С18алкенил, С6-С14арил, аралкил, С5-С12циклоалкил, каждый из которых может быть замещен атомом галогена, С1-С4алкилом, гидроксилом, C1-С6алкокси, карбонилом, C1-С6алкоксикарбонилом, или R3 обозначает OR10 или SR11, NR12R13, где R10 обозначает С1-С18алкил, С6-С14арил, аралкил, С5-С12циклоалкил, каждый из которых может быть замещен атомом галогена, С1-С4алкилом, гидроксилом, C1-С6алкокси, карбонилом, C1-С6алкоксикарбонилом; R11 обозначает С1-С18алкил, С6-С14арил, аралкил, С5-С12циклоалкил, каждый из которых может быть замещен атомом галогена, С1-С4алкилом, гидроксилом, C1-С6алкокси, карбонилом, C1-С6алкоксикарбонилом, а R12 и R13 независимо друг от друга обозначают водородный атом, С1-С18алкил, С6-С14арил, аралкил, С5-С12циклоалкил, каждый из которых может быть замещен атомом галогена, С1-С4алкилом, гидроксилом, C1-С6алкокси, карбонилом, C1-С6алкоксикарбонилом, или R12 и R13 образуют совместно с атомом N, к которому они присоединяются, 5- или 6-членное кольцо, необязательно прерываемое -NH-, -N(C1-C8алкилом)-, -О- и/или атомами S,
R3, если n обозначает 2, обозначает С2-С12алкилен, С2-С12алкенилен, C6-С14арилен, ксилилен при условии, что исключаются следующие соединения, описанные в US 2872450 как фунгициды:
R4 и R5 каждый независимо друг от друга обозначает водородный атом, С1-С18алкил, С1-С18алкенил, С6-С14арил, аралкил, С5-С12циклоалкил, каждый из которых может быть замещен атомом галогена, C1-С4алкилом, гидроксилом, C1-С6алкокси, карбонилом, C1-С6алкоксикарбонилом, или R4 и R5 совместно со смежной группой -CO-N-CO- могут образовывать моноциклическое, бициклическое или полициклическое кольцо, причем указанное кольцо содержит до 50 неводородных атомов и указанное кольцо может включать больше одного структурного элемента 
R6, если n обозначает 1, обозначает водородный атом, С1-С18алкил, С1-С18алкенил, С6-С14арил, аралкил, С5-С12циклоалкил, каждый из которых может быть замещен атомом галогена, C1-С4алкилом, гидроксилом, С1-С6алкокси, карбонилом, C1-С6алкоксикарбонилом, или R6 обозначает NR14R15, где R14 и R15 независимо друг от друга обозначают водородный атом, С1-С18алкил, С6-С14арил, аралкил, С5-С12циклоалкил, каждый из которых может быть замещен атомом галогена, C1-С4алкилом, гидроксилом, C1-С6алкокси, карбонилом, C1-С6алкоксикарбонилом, или R14 и R15 образуют совместно с атомом N, к которому они присоединяются, 5-или 6-членное кольцо, необязательно прерываемое -NH-, -N(C1-С6алкилом)-, -О- и/или атомами S,
R6, если n обозначает 2, обозначает C2-С12алкилен, C1-С12залкенилен, C6-С14арилен, ксилилен;
R7 обозначает водородный атом, С1-С18алкил, С6-С14арил, аралкил, C5-С12циклоалкил, каждый из которых может быть замещен атомом галогена, C1-С4алкилом, гидроксилом, C1-С6алкокси, карбонилом, С1-С6алкоксикарбонилом, или R7 и R14 или R7 и R15 образуют совместно с атомом N, присоединенным к R7, 5- или 6-членное кольцо, необязательно прерываемое -NH-, -N(С1-С8алкилом)-, -О- и/или атомами S.
Определения
Понятие “С1-С18алкил” охватывает, например, C1-С6алкил, в частности метил, этил, н-пропил или изопропил, или н-, втор- или трет-бутил, или прямоцепочечный или разветвленный пентил или гексил, или С7-С18алкил, например прямоцепочечный или разветвленный гептил, октил, изооктил, нонил, трет-нонил, децил или ундецил, или прямоцепочечный C11-С18алкил, который совместно с радикалом -(С=O)- образует С14-С20-алканоил, содержащий четное число атомов С, например лауроил (С12), миристоил (С14), пальмитоил (С16) или стеароил (С18).
Понятием “С1-С18алкенил” обозначают ненасыщенную, линейную или разветвленную углеводородную группу, как указанную выше под названием алкил, с одним или несколькими углерод-углеродными двойными связями, такую как винильная группа.
Понятием “С2-С12алкилен” обозначают двухвалентную группу, дериватизированную из прямоцепочечного или разветвленного углеводорода, содержащего от 1 до 12 углеродных атомов. Примеры алкиленовых групп могут включать этилен, пропилен, 2,2-диметилпропилен, тетраметилен, гексаметилен, октаметилен, декаметилен и додекаметилен.
Понятием “С6-С14арил” обозначают необязательно замещенное бензольное кольцо или необязательно замещенное бензольное кольцо, конденсированное с одним или несколькими необязательно замещенными бензольными кольцами с образованием кольцевой системы. Предпочтительные арильные группы представляют собой фенил, 2-нафтил, тетрагидронафтил, 1-нафтил, бифенил, инданил, антрацил, фенантрил, а также их замещенные производные. Примерами заместителей являются С1-С18алкил, C6-С14арил, аралкил, С5-С12циклоалкил, атом галогена, ОН, С1-С18алкокси, С1-С18алкилтио, карбокси, С1-С18алкоксикарбонил, карбамоил (C(O)NH2), С1-С18алкилкарбамоил, ди-С1-С18алкилкарбамоил, ацил, нитро, амино-, С1-С18алкиламино- или ди-С1-С18алкиламиногруппа, -СН2-Х-СН2-, где Х обозначает О, NH, N(С1-С18алкил).
Понятием “C6-С14арилен” обозначают необязательно замещенный бензольный кольцевой дирадикал или дирадикал бензольной кольцевой системы, содержащий необязательно замещенное бензольное кольцо, конденсированное с одним или несколькими необязательно замещенными бензольными кольцами. Примеры соответствуют приведенным выше арильным группам.
Понятие “аралкил” охватывает радикал RaRb, где Ra обозначает алкиленовую (двухвалентную алкильную) группу, a Rb обозначает арильную группу, как указанную выше. Предпочтительны С7-С8аралкильные группы, такие как 2-фенилэтил и бензил.
Понятие “С5-С12циклоалкил” охватывает одновалентный алициклический насыщенный углеводородный радикал, содержащий три или большее число углеродных атомов, образующих кольцо. Хотя циклоалкильные соединения могут содержать до 12 углеродных атомов, обычно они содержат от трех до семи углеродных атомов в кольце. Примеры этого последнего включают, в частности, циклопропил, циклобутил, циклопентил, циклогексил и циклогептил.
Понятие “моноциклическое кольцо” охватывает от 5- до 9-членной кольцевые системы, такие как, например, диоксопирролидин, диоксопиперидин, диоксоморфолин, диоксотиоморфолин и производное, дериватизированное из тригидроксиизоциануровой кислоты. Моноциклическая кольцевая система в предпочтительном варианте представляет собой остаток формулы , в которой А обозначает незамещенный этилен или пропилен, этилен или пропилен, замещенный С1-С18алкилом, С6-С14арилом, аралкилом, С5-С12циклоалкилом, атомом галогена, ОН, С1-С18алкокси, С1-С18алкилтио, карбокси, С1-С18алкоксикарбонилом, карбамоилом (C(O)NH2), С1-С18алкилкарбамоилом, ди-С1-С18алкилкарбамоилом, ацилом, нитро, амино-, С1-С18алкиламино- или изо-С1-С18алкиламиногруппой, -СН2-Х-СН2-, где Х обозначает О, NH, N(С1-С18алкил); или -N(OH)-CO-N(OH)-.
Моноциклическое кольцо, дериватизированное из тригидроксиизоциануровой кислоты, представляет собой, например

Понятием “ацил” обозначают группу RaC(O)-, где Ra обозначает С1-С18алкил, С5-С12циклоалкил или гетероциклил, как он представлен в настоящем описании. Примеры “гетероциклических” остатков включают, в частности, тетрагидрофуран, пиран, 1,4-диоксан, 1,3-диоксан, пиперидин, пирролидин, морфолин, тетрагидротиопиран, тетрагидротиофен.
Понятием “бициклическое кольцо” обозначают от 5- до 12-членной конденсированные кольцевые системы.
Понятием “конденсированная кольцевая система” обозначают систему, включающую, в дополнение к моноциклическому сердцевинному кольцу, представленному выше, одно или несколько ароматических колец или одно или несколько алифатических колец.
Ароматическое кольцо, а также алифатическое кольцо могут включать только углеродные атомы или могут включать углеродные атомы и один или несколько гетероатомов, включая атомы азота, кислорода и серы. Ароматическое кольцо в предпочтительном варианте представляет собой бензольное кольцо, образующее диоксодигидроизоиндольные кольца, или нафтеновое кольцо, образующее диоксобензоизохинолиновые кольца. Алифатическое кольцо представляет собой, например, С3-С7циклоалкиленовое кольцо, оксирановое кольцо, циклогексенильное кольцо или норборненовое кольцо, или бицикло[2.2.2]октан или бицикло[3.2.1]октан. Ароматическое кольцо (кольца) может быть необязательно замещенным С1-С18алкилом, C6-С14арилом, аралкилом, C5-С12циклоалкилом, атомом галогена, ОН, С1-С18алкокси, С1-С18алкилтио, карбокси, С1-С18алкоксикарбонилом, карбамоилом (C(O)NH2), С1-С18алкилкарбамоилом, ди-С1-С18алкилкарбамоилом, ацилом, нитро, амино-, С1-С18алкиламино- или ди-С1-С18алкиламиногруппой, -СН2-Х-СН2-, где Х обозначает О, NH, N(С1-С18алкил).
Бициклическая кольцевая система в предпочтительном варианте представляет собой остаток формулы в которой А обозначает фенилен, циклогексилен, циклогексенилен, 1,8-нафтилен, пиридинилен или в которой А обозначает этилен или пропилен или замещенный этиленом или пропиленом С1-С4алкил, или этенилен или пропенилен или замещенный этениленом или пропениленом С1-С4алкил.
Понятием “полициклическая кольцевая система” обозначают кольцевые системы, включающие больше двух связанных циклических соединений. Полициклическая кольцевая система, как она представлена в настоящем описании, может быть ароматической или неароматической или может быть составленной из отдельных ароматических и неароматических остатков. Примером является адамантан или 1,3,5,7-тетра-аза-адамантан (уротропин), кубан, твистан.
Полициклические кольцевые системы представляют собой также соединения формул I’ и II’
 ,
в которых R3, R6 и R7 имеют указанные выше значения.
Другими примерами полициклических остатков могут быть: 
дериватизированный из имида 1,8-нафталиндикарбоновой кислоты 
дериватизированный из диимида нафталин-1,4,5,8-тетракарбоновой кислоты 
дериватизированный из диимида 3,4,9,10-перилентетракарбоновой кислоты 
дериватизированный из диимида бицикло[2.2.2]окт-7-ен-2,3,5,6-тетракарбоновой кислоты 
дериватизированный из имида 5-норборнен-2,3-дикарбоновой кислоты.
Понятие “неводородные атомы” охватывает атомы С и гетероатомы наподобие атомов N, S, О и Р.
Когда R12 и R13 или R14 и R15, или R7 и R14, или R7 и R15 совместно с атомом азота, к которому они присоединяются, образуют 5- или 6-членное кольцо, которое, кроме того, может прерываться -NH-, -N(C1-C8алкилом)-, -O- и/или атомами S, это кольцо представляет собой, например, насыщенное или ненасыщенное кольцо, например азиридин, пиперазин, пиррол, тиофен, пирролидин, оксазол, пиридин, 1,3-диазин, 1,2-диазин, пиперидин или морфолин; преимущественно образуются морфолинильные, пиперидильные или пиперазинильные кольца.
Предпочтения
Предпочтительны соединения формулы I и II, в которой R1 и R2, а также R3 и R4 совместно со смежной группой -CO-N-СО- образуют моноциклическое, бициклическое или полициклическое кольцо с получением соединений формул
, ,
в которых А обозначает незамещенный этилен или пропилен, этилен или пропилен, замещенный С1-С18алкилом, С6-С14арилом, аралкилом, C5-С12циклоалкилом, атомом галогена, ОН, С10-С18алкокси, С1-С18алкилтио, карбокси, С1-С18алкоксикарбонилом, карбамоилом (C(O)NH2), С1-С18алкилкарбамоилом, ди-С1-С18алкилкарбамоилом, ацилом, нитро, амино-, С1-С18алкиламино- или ди-С1-С18алкиламиногруппой, или А обозначает этенилен или пропенилен или замещенный этениленом или пропениленом С1-С4алкил, или А обозначает -СН2-Х-СН2-, где Х обозначает О, NH, N(С1-С18алкил); или -N(OH)-CO-N(OH)-; или А совместно со смежной группой -CO-N-CO- могут образовывать бициклическое или полициклическое кольцо, причем указанное кольцо содержит до 20 неводородных атомов и упомянутое кольцо может включать больше одного структурного элемента

R12 и R13 независимо друг от друга обозначают водородный атом, С1-С18алкил, циклогексил, фенил, бензил или R12 и R13 образуют совместно с атомом N, к которому они присоединяются, 5- или 6-членное кольцо, необязательно прерываемое -NH-, -N(С1-С8алкилом)-, -О- и/или атомами S; А’ обозначает незамещенный этилен или пропилен, этилен или пропилен, замещенный С1-С18алкилом, С6-С14арилом, аралкилом, С5-С12циклоалкилом, атомом галогена, ОН, С1-С18алкокси, С1-С18алкилтио, карбокси, С1-С18алкоксикарбонилом, карбамоилом (C(O)NH2), С1-С18алкилкарбамоилом, ди-С1-С18алкилкарбамоилом, ацилом, нитро, амино-, С1-С18алкиламино- или ди-С1-С18алкиламиногруппой, или
А’ обозначает этенилен или пропенилен или замещенный этениленом или пропениленом С1-С4алкил; или А’ обозначает -СН2-Х-СН2-, где Х обозначает О, NH, N(С1-С18алкил); или -N(OH)-CO-N(OH)-; или А’ совместно со смежной группой -CO-N-CO- могут образовывать бициклическое или полициклическое кольцо, причем указанное кольцо содержит до 20 неводородных атомов и упомянутое кольцо может включать больше одного структурного элемента 
R6 обозначает водородный атом, С1-С18алкил, циклогексил, фенил, бензил, NR14R15, где R14 и R15 независимо друг от друга обозначают водородный атом, С1-С18алкил, циклогексил, фенил или R14 и R15 образуют совместно с атомом N, к которому они присоединяются, 5- или 6-членное кольцо, необязательно прерываемое -NH-, -N(С1-С18алкил)-, -О- и/или атомами S,
R7 обозначает водородный атом, С1-С18алкил, циклогексил, фенил или R7 и R14 или R7 и R15 образуют совместно с атомом N, присоединенным к R7, 5- или 6-членное кольцо, необязательно прерываемое -NH-, -N(С1-С8алкилом)-, -О- и/или атомами S.
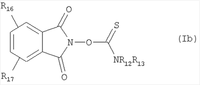
Соединения формулы I и II, в которых R1 и R2, а также R3 и R4 совместно со смежной группой -CO-N-CO- образуют бициклическое кольцо, в результате чего получают соединения формул Ib и IIb
, 
в которых R12 и R13 каждый независимо друг от друга обозначает водородный атом или С1-С8алкил или циклогексил, или R12 и R13 образуют совместно с атомом N, к которому они присоединяются, 5- или 6-членное кольцо, необязательно прерываемое -NH-, -N(С1-С18алкилом)- и/или атомами -О-;
R16 и R17 каждый независимо друг от друга обозначает водородный атом, С1-С8алкил, циклогексил, бензил, фенил, атом галогена, ОН, С1-С8алкокси, С1-С8алкилтио, карбокси, С1-С8алкоксикарбонил, карбамоил (C(O)NH2), С1-С8алкилкарбамоил, ди-С1-С8алкилкарбамоил, С1-С8ацил, нитро, амино-, С1-С8алкиламино- или ди-С1-С8алкиламиногруппу;
R7 обозначает С1-С8алкил, циклогексил, бензил, фенил;
R6 обозначает С1-С8алкил, циклогексил, бензил, фенил;
R18 и R19 каждый независимо друг от друга обозначает водородный атом, С1-С8алкил, циклогексил, бензил, фенил, атом галогена, ОН, С1-С8алкокси, С1-С8алкилтио, карбокси, С1-С8алкоксикарбонил, карбамоил (C(O)NH2), С1-С8алкилкарбамоил, ди-С1-С8алкилкарбамоил, С1-С8ацил, нитро, амино-, С1-С8алкиламино- или ди-С1-С8алкиламиногруппу.
Получение соединений
Вышеописанные соединения формулы (I) или (II) могут быть получены по методам, которые известны.
Соединения формулы (I) могут быть получены так, как изложено в US 2872450, реакцией циклических оксимидов и хлорангидридов эфиров тиокарбоновых кислот в соответствии со следующей схемой:

Последующий путь получения заключается в реакции тиофосгена с N-гидроксиимидом с получением хлорангидрида тиокарбоновой кислоты, который в дальнейшем вводят в реакцию с амином или спиртом в соответствии со следующей схемой:

Соединения формулы (II) могут быть получены реакцией N-гидроксиимида или его соли с имидохлоридом в соответствии со следующей схемой:

Имидохлорид может быть получен так, как изложено в журнале J.C.S. Perkin II, 1318 (1980).
Вышеуказанные пути получения являются только примерами, могут оказаться возможными другие пути.
Приемлемые дикарбоновые кислоты включают, например, янтарную кислоту, С1-С18алкилянтарную кислоту, С2-С18алкенилянтарную кислоту, малеиновую кислоту, диметилмалеиновую кислоту, глутаровую кислоту, тиогликолевую кислоту, имидодиуксусную кислоту, лимонную кислоту, 5-норборнен-2,3-дикарбоновую кислоту, 3,6-эпокси-1,2,3,6-тетрагидрофталевую кислоту, фталевую кислоту, замещенную фталевую кислоту (атомом галогена, COOR, нитро и т.д., как указано выше), гомофталевую кислоту, тетрагидрофталевую кислоту, гексагидрофталевую кислоту, 1,8-нафталиндикарбоновую кислоту, пиридин-2,3-дикарбоновую кислоту, нафталин-1,4,5,8-тетракарбоновую кислоту, 3,4,9,10-перилентетракарбоновую кислоту, бицикло[2.2.2]окт-7-ен-2,3,5,6-тетракарбоновую кислоту.
Применение
N-Замещенные имиды можно использовать в отвердителе для покрытий в качестве инициаторов полимеризации, преимущественно в качестве термических инициаторов радикальной полимеризации (ТРИ), которые отверждают свободнорадикальной полимеризацией.
Материал покрытия может представлять собой термически отверждаемую композицию для нанесения покрытия, двояко (термически и УФ-излучением) отверждаемую композицию для нанесения покрытия или двойную (термически отверждаемую) композицию для нанесения покрытия, включающую по меньшей мере вторые сшиваемые смолы. Термическое отверждение проводят с использованием БИК-отверждения или ИК-отверждения или конвекционного нагрева. Возможно также применение микроволнового нагрева.
Двояко отверждаемая композиция включает, в дополнение к термическому инициатору, фотоинициатор. Двоякое отверждение проводят с использованием БИК-отверждения или ИК-отверждения с последующим УФ-отверждением или наоборот.
Объектом изобретения является, кроме того, термически отверждаемая композиция для нанесения покрытия, включающая
а) по меньшей мере этиленовоненасыщенное соединение;
б) термический инициатор, эффективный для возможности ИК-отверждения или БИК-отверждения или для возможности микроволнового отверждения, или для возможности ультразвукового отверждения, или для возможности отверждения конвекционным нагревом этиленовоненасыщенного соединения, при котором термический инициатор представляет собой N-замещенный имид формулы (I) и/или (II).
Объектом изобретения является, кроме того, двойная отверждаемая композиция для нанесения покрытия, включающая
а) по меньшей мере этиленовоненасыщенное соединение и второе термически сшиваемое соединение;
б) термический инициатор, эффективный для возможности ИК-отверждения или БИК-отверждения или для возможности микроволнового отверждения, или для возможности ультразвукового отверждения, или для возможности отверждения конвекционным нагревом этиленовоненасыщенного соединения, при котором термический инициатор представляет собой N-замещенный имид формулы (I) и/или (II).
Объектом изобретения является, кроме того, двояко (термически и УФ-облучением) отверждаемая композиция для нанесения покрытия, включающая
а) по меньшей мере этиленовоненасыщенное соединение;
б) термический инициатор, эффективный для возможности ИК-отверждения или БИК-отверждения или для возможности микроволнового отверждения, или для возможности ультразвукового отверждения, или для возможности отверждения конвекционным нагревом этиленовоненасыщенного соединения, в которой термический инициатор представляет собой N-замещенный имид формулы (I) и/или (II);
в) фотоинициатор, эффективный для возможности УФ-отверждения этиленовоненасыщенного соединения.
Определения
Термическое отверждение
Термическим отверждением называют воздействие конвекционным нагревом или ИК- или БИК-излучением, или микроволновым излучением, или ультразвуковой обработкой, после того как смесь наносят на подложку. В случае порошкообразных материалов покрытий адгезионный порошкообразный материал покрытия вначале плавят, предпочтительно конвекционным нагревом, с получением поверхностного слоя. Приемлемые температуры для инициирования и завершения свободнорадикальной полимеризации составляют от 60 до 180°С.
БИК-отверждение
БИК-излучение, используемое в способе в соответствии с изобретением, представляет собой коротковолновое инфракрасное излучение в диапазоне длин волн от примерно 750 до примерно 1500 нм, предпочтительно от 750 до 1200 нм. Источники излучения для ИК-радиации включают, например, обычные источники радиации БИК, которые технически доступны (например, на фирме Adphos).
ИК-отверждение
ИК-излучение, используемое в способе в соответствии с изобретением, представляет собой средневолновую радиацию в диапазоне длин волн от примерно 1500 до примерно 3000 нм и/или инфракрасную радиацию более длинными волнами в диапазоне длин волн больше 3000 нм.
Источники ИК-излучения этого типа технически доступны (например, на фирме Heraeus).
Микроволновое отверждение
Микроволновое излучение, используемое в этом способе в соответствии с изобретением, представляет собой электромагнитную радиацию в диапазоне длин волн от примерно 1 мм до 30 см.
Ультразвуковое отверждение
Ультразвуковая обработка, используемая в этом способе в соответствии с изобретением, представляет собой звук с частотой выше 20 кГц.
УФ-отверждение
Стадию фотохимического отверждения обычно осуществляют с использованием излучения с длинами волн от примерно 200 до примерно 600 нм, преимущественно от 200 до 450 нм. В качестве источников излучения при этом используют большое число источников самых разнообразных типов. Приемлемы как точечные источники, так и плосковидные прожекторы (ковровые ламповые облучатели). Примерами служат угольные дуговые лампы, ксеноновые дуговые лампы, ртутные лампы среднего, высокого и низкого давления, необязательно легированные галогенидами металлов (металлогалогенидные лампы), паросветные лампы с микроволновым возбуждением, эксимерные лампы, суперактиничные люминесцентные лампы, люминесцентные лампы, аргоновые лампы накаливания, электронные импульсные лампы, фотопрожекторы заливающего света, пучки электронов и рентгеновские лучи, генерируемые с помощью синхротронов или лазерной плазмы.
Двоякое отверждение
Способные к двоякому отверждению системы включают этиленовоненасыщенные мономеры, которые могут быть полимеризованы УФ-облучением или которые могут быть полимеризованы с термической индукцией посредством ИК- или БИК-излучения или микроволнового излучения, или ультразвуковой обработкой, или конвекционным нагревом. В системе двоякого отверждения за термическим отверждением в предпочтительном варианте следует УФ-отверждение. Однако при этом также возможно, чтобы за УФ-отверждением следовало термическое отверждение.
Двойное отверждение
Способные к двойному отверждению системы включают этиленовоненасыщенные мономеры, которые могут быть полимеризованы с термической индукцией посредством ИК- или БИК-излучения или микроволнового излучения, или ультразвуковой обработкой, или конвекционным нагревом. Более того, содержится по меньшей мере еще одно термически сшиваемое соединение. Это второе соединение в предпочтительном варианте отверждают посредством реакции полиолизоцианата с образованием полиуретана.
Определение этиленовоненасыщенного соединения
Приемлемые соединения с олефиновыми двойными связями представляют собой все соединения, которые могут быть сшиты свободнорадикальной полимеризацией по двойным связям. Этиленовоненасыщенным соединением может быть мономер, олигомер или форполимер, их смесь или их сополимер.
Мономеры, приемлемые для свободнорадикальной полимеризации, представляют собой, например, этиленовоненасыщенные способные полимеризоваться мономеры, выбранные из группы, включающей (мет)акрилаты, алкены, сопряженные диены, стиролы, акролеин, винилацетат, винилпирролидон, винилимидазол, малеиновый ангидрид, фумаровый ангидрид, (мет)акриловую кислоту, производные (мет)акриловой кислоты, такие как эфиры и амиды, винилгалогениды и винилиденгалогениды. Предпочтительны соединения, содержащие (мет)акрилоильные, винильные и/или малеинатные группы. Особенно предпочтительны (мет)акрилаты.
Соединения, которые содержат способные к свободнорадикальной полимеризации двойные связи в форме предпочтительных (мет)акрилоильных групп, могут быть получены в соответствии с обычными методами. Их можно осуществлять, например, путем переэтерификации смол с функциональными ОН-группами, таких как сложные полиэфиры, полиакрилаты, полиуретаны, простые полиэфиры и эпоксидные смолы с функциональными ОН-группами, алифатические сложные эфиры (мет)акриловой кислоты; эстерификации представленных смол с функциональными ОН-группами (мет)акриловой кислотой; взаимодействия представленных смол с функциональными ОН-группами с (мет)акрилатами с изоцианатными функциональными группами; взаимодействия смол с кислотными функциональными группами, таких как сложные полиэфиры, полиакрилаты, полиуретаны, с (мет)акрилатами с эпоксидными функциональными группами; взаимодействия смол с эпоксидными функциональными группами, таких как сложные полиэфиры, полиакрилаты, эпоксидные смолы, с (мет)акриловой кислотой. Эти методы получения, представленные в качестве примера, описаны в литературе и специалисту в данной области техники известны.
Примеры форполимеров или олигомеров включают сополимеры (мет)акриловой кислоты с (мет)акрилоильными функциональными группами, полиуретан(мет)акрилаты, полиэфир(мет)акрилаты, ненасыщенные сложные полиэфиры, (мет)акрилаты простых полиэфиров, силикон(мет)акрилаты и (мет)акрилаты эпоксидных смол, обладающие среднечисленными молекулярными массами от, например, 500 до 10000, предпочтительно от 500 до 5000.
Форполимеры с (мет)акрилоильными функциональными группами можно использовать в сочетании с реакционноспособными разбавителями, т.е. способными к свободнорадикальной полимеризации низкомолекулярными соединениями с молекулярной массой меньше 500 г/моль. Реакционноспособные разбавители могут быть моно-, ди- или полиненасыщенными. Примерами мононенасыщенных реакционноспособных разбавителей являются (мет)акриловая кислота и ее сложные эфиры, малеиновая кислота и ее сложные эфиры, винилацетат, виниловый эфир, замещенные винилмочевины, стирол, винилтолуол. Примерами диненасыщенных реакционноспособных разбавителей являются ди(мет)акрилаты, такие как алкиленгликольди(мет)акрилат, полиэтиленгликольди(мет)акрилат, 1,3-бутандиолди(мет)акрилат, винил(мет)акрилат, аллил(мет)акрилат, дивинилбензол, дипропиленгликольди(мет)акрилат, гександиолди(мет)акрилат. Примерами полиненасыщенных реакционноспособных разбавителей являются глицеринтри(мет)акрилат, триметилолпропантри(мет)акрилат, пентаэритриттри(мет)акрилат, пентаэритриттетра(мет)акрилат. Реакционноспособные разбавители можно использовать самостоятельно или в смеси.
Приемлемые соли акриловой кислоты или метакриловой кислоты представляют собой, в частности, соли (С1-С4алкил)4аммония или (C1-С4алкил)3NH, например тетраметиламмониевую, тетраэтиламмониевую, триметиламмониевую или триэтиламмониевую соль, триметил-2-гидроксиэтиламмониевую или триэтил-2-гидроксиэтиламмониевую соль, диметил-2-гидроксиэтиламмониевую или диэтил-2-гидроксиэтиламмониевую соль.
Этиленовоненасыщенные соединения могут включать, в дополнение к олефиновым двойным связям, одну или несколько дополнительных одинаковых или разных функциональных групп. Примеры функциональных групп включают гидроксильные, изоцианатные (необязательно блокированные), N-метилольные группы, остатки N-метилольных простых эфиров, остатки сложных эфиров, карбаматные, эпоксидные, аминовые (необязательно блокированные), ацетоацетильные, алкоксисилильные и карбоксильные группы.
Примерами являются полиуретановые смолы с (мет)акрилоильными группами и глицеринмоно- и ди(мет)акрилат, триметилолпропанмоно- и ди(мет)акрилат и пентаэритриттри(мет)акрилат.
Добавки
Вышеописанные композиции могут дополнительно включать обычные добавки, которые в качестве альтернативы могут быть также введены после полимеризации. Такие добавки можно вводить в небольших количествах, например поглотители УФ-лучей или светостабилизаторы, в частности соединения, выбранные из группы, включающей гидроксифенилбензотриазолы, гидроксифенилбензофеноны, оксамиды и гидроксифенил-сим-триазины. Особенно приемлемые светостабилизаторы представляют собой те, которые выбраны из группы, включающей N-алкокси-ЗАСС соединения, такие как Tinuvin 123, или из пространственно-затрудненных аминовых ЗАСС соединений 2-(2-гидроксифенил)-1,3,5-триазинового или 2-гидроксифенил-2Н-бензотриазольного типа. Примеры светостабилизаторов 2-(2-гидроксифенил)-1,3,5-триазинового типа известны из патентной литературы, например из US 4619956, ЕР-А-434608, US 5198498, US 5322868, US 5369140, US 5298067, WO-94/18278, EP-A-704437, GB-A-2297091 или WO-96/28431. Хорошо зарекомендовавшими себя светостабилизаторами для покрытий являются 3,3,5,5-полизамещенные производные морфолин-2-она, как изложено в US 6140326.
Эти композиции могут дополнительно включать другие обычные добавки, такие как выравниватели, модификаторы реологических свойств, такие как тонкодисперсная порошкообразная кремниевая кислота, слоистые силикаты, производные мочевины; сгустители, например, на основе частично сшитых полимеров с карбоксильными функциональными группами или полиуретанов; пеногасители, смачивающие агенты, агенты, предотвращающие возникновение кратеров, содействующие дегазации вещества, например бензоин, антиоксиданты.
Эти композиции далее могут включать добавки для повышения стабильности при хранении, такие как ингибиторы полимеризации на нитроксильной основе, например продукт Irgastab UV10 и 2,2,6,6-тетраметил-4-гидроксипиперидин-1-оксил (4-гидрокси-ТЕМПО); или пространственно высоко затрудненные нитроксильные радикалы или хинонметиды, такие как описанные в европейской заявке на патент ЕO04104248.2, поданной 3 сентября 2004 г.
В дополнение к N-замещенным имидам можно использовать любой термический инициатор, известный в данной области техники. В предпочтительном варианте дополнительные термические инициаторы представляют собой пероксиды, такие как диалкилпероксиды, дикуменилпероксид, пероксокарбоновые кислоты и т.д., и азоинициаторы, как это изложено в US 5922473.
Материалы покрытия могут представлять собой не содержащие пигментов материалы покрытия, например прозрачные материалы покрытия или содержащие пигменты материалы покрытия.
Материалы покрытия могут включать наполнители и/или прозрачные, цветные и/или придающие особые эффекты пигменты, и/или растворимые красители. Примеры неорганических или органических придающих окраску пигментов включают диоксид титана, тонкоизмельченный диоксид титана, пигменты из оксида железа, углеродную сажу, азопигменты, фталоцианиновые пигменты, хинакридоновые или пирролопирроловые пигменты. Примеры придающих особые эффекты пигментов включают металлические пигменты, например из алюминия, меди или других металлов; интерференционные пигменты, такие как покрытые оксидами металлов металлические пигменты, например покрытый диоксидом титана или покрытый смешанным оксидом алюминий, слюда с покрытием, такая как покрытая диоксидом титана слюда, и придающие особые эффекты графитовые пигменты. Примеры приемлемых наполнителей включают диоксид кремния, алюмосиликат, сульфат бария, карбонат кальция и тальк.
В системах двоякого отверждения в дополнение к термическому инициатору радикальной полимеризации необходим фотоинициатор. Приемлемые фотоинициаторы специалистам в данной области техники известны. Так, например, фотоинициаторами, обычно используемыми в областях графического искусства, являются -гидроксикетоны и -аминокетоны, фенилглиоксалаты или фосфиноксиды.
Особенно предпочтительны, например, следующие технически доступные фотоинициаторы:
Darocur 1173: 2-гидрокси-2-метил-1-фенил-1-пропанон (ГМФП) и олигомерный ГМФП,
Irgacure 184: 1-гидроксициклогексилфенилкетон,
Irgacure 2959: 2-гидрокси-1 -[4-(2-гидроксиэтокси)фенил]-2-метил-1-пропанон,
Irgacure 369: 2-бензил-2-(диметиламино)-1-[4-(4-морфолинил)фенил]-1-бутанон,
Irgacure 1300: Irgacure 369 + Irgacure 651 (бензилдиметилкеталь),
Irgacure 379: 2-(4-метилбензил)-2-(диметиламино)-1-[4-(4-морфолинил)фенил]-1-бутанон,
Irgacure 127: 2-гидрокси-1-{4-[4-(2-гидрокси-2-метилпропионил)бензил] фенил}-2-метилпропан-1 -он,
Irgacure 754: 1-метил-2-[2-(2-оксо-2-фенилацетокси)пропокси]этиловый эфир оксофенилуксусной кислоты,
Irgacure 819: бис-(2,4,6-триметилбензоил)фенилфосфиноксид,
Irgacur 250: 4-изобутилфенил-4′-метилфенилиодонийгексафторфосфат,
Darocur ITX: 2-изопропилтиоксантон и 4-изопропилтиоксантон,
Darocur EDB: этил-4-диметиламинобензоат,
Darocur EHA: 2-этилгексил-4-диметиламинобензоат и смеси вышеуказанных фотоинициаторов.
В целесообразном варианте способные фотополимеризоваться композиции включают фотоинициатор в количестве от 0,05 до 15 мас.%, предпочтительно от 0,1 до 8 мас.%, в пересчете на композицию.
В системах двойного отверждения содержится по меньшей мере одно из других способных к термическому сшиванию соединений, эти системы выбирают из следующих веществ:
1. Материалы защитных покрытий на основе сшиваемых в холодном или горячем состоянии алкидных, акрилатных, сложных полиэфирных, эпоксидных или меламиновых смол или смесей таких смол, необязательно с добавлением катализатора отверждения.
2. Двухкомпонентные полиуретановые материалы защитных покрытий на основе содержащих гидроксильные группы акрилатных, сложных полиэфирных или простых полиэфирных смол и алифатических или ароматических изоцианатов, изоциануратов или полиизоцианатов.
3. Двухкомпонентные полиуретановые материалы защитных покрытий на основе содержащих тиоловые группы акрилатных, сложных полиэфирных или простых полиэфирных смол и алифатических или ароматических изоцианатов, изоциануратов или полиизоцианатов.
4. Однокомпонентные полиуретановые материалы защитных покрытий на основе блокированных изоцианатов, изоциануратов или полиизоцианатов, которые деблокируют во время горячей сушки; при необходимости возможно также добавление меламиновых смол.
5. Однокомпонентные полиуретановые материалы защитных покрытий на основе алифатических или ароматических уретанов или полиуретанов и содержащих гидроксильные группы акрилатных, сложных полиэфирных или простых полиэфирных смол.
6. Однокомпонентные полиуретановые материалы защитных покрытий на основе алифатических или ароматических уретанакрилатов или полиуретанакрилатов, обладающих в уретановой структуре свободными аминогруппами, и меламиновых смол или простых полиэфирных смол, необязательно с добавлением катализатора отверждения.
7. Двухкомпонентные материалы защитных покрытий на основе (поли)кетиминов и алифатических или ароматических изоцианатов, изоциануратов или полиизоцианатов.
8. Двухкомпонентные материалы защитных покрытий на основе (поли)кетиминов и ненасыщенной акрилатной смолы или полиацетоацетатной смолы или метилметакриламидогликолятного эфира.
9. Двухкомпонентные материалы защитных покрытий на основе содержащих карбоксильные или аминогруппы полиакрилатов и полиэпоксидов.
10. Двухкомпонентные материалы защитных покрытий на основе содержащих ангидридные группы акрилатных смол и полигидрокси- или полиаминового компонента.
11. Двухкомпонентные материалы защитных покрытий на основе акрилатсодержащих ангидридов и полиэпоксидов.
12. Двухкомпонентные материалы защитных покрытий на основе (поли)оксазолинов и содержащих ангидридные группы акрилатных смол или ненасыщенных акрилатных смол, или алифатических или ароматических изоцианатов, изоциануратов или полиизоцианатов.
13. Двухкомпонентные материалы защитных покрытий на основе ненасыщенных (поли)акрилатов и (поли)малонатов.
14. Термопластичные полиакрилатные материалы защитных покрытий на основе термопластичных акрилатных смол или внешне сшивающих акрилатных смол в сочетании с этерифицированными меламиновыми смолами.
15. Системы материалов защитных покрытий, преимущественно прозрачных покрытий, на основе блокированных малонатами изоцианатов с меламиновыми смолами (например, гексаметоксиметилмеламином) в качестве сшивающих агентов (катализируемых кислотами).
16. УФ-отверждаемые системы на основе олигомерных уретанакрилатов и/или ацилатакрилатов, необязательно с добавлением других олигомеров или мономеров.
17. Системы двойного отверждения, которые вначале отверждают термически, а затем УФ-облучением или наоборот, причем компоненты композиции материала защитного покрытия содержат двойные связи, которые можно заставить взаимодействовать УФ-облучением и фотоинициаторами и/или отверждаться пучками электронов.
Приготовленные материалы покрытия по изобретению могут представлять собой обычные материалы покрытия, содержащие органические растворители, водные материалы покрытия, по существу или полностью свободные от растворителей, и свободные от воды жидкие материалы покрытия (100%-ные системы), по существу или полностью свободные от растворителей и свободные от воды твердые материалы покрытия (порошкообразные материалы покрытия) или по существу или полностью свободные от растворителей суспензии порошкообразных материалов покрытий (суспензии порошков).
Неограничивающими примерами приемлемых подложек являются, например, древесина, текстильные материалы, бумага, керамика, стекло, стекловолокна, пластмассы, такие как сложный полиэфир, полиэтилентерефталат, полиолефины и ацетат целлюлозы, преимущественно в форме пленок, а также металлы, такие как Al, Cu, Ni, Fe, Zn, Mg и Со, и GaAs, Si или SiO2.
Композиция для нанесения покрытия может также представлять собой композицию краски. Таким образом, подложку окрашивают композицией краски с получением на подложке слоя краски.
Предлагаемые по изобретению композиции можно использовать для различных целей, например как печатные краски, такие как краски для трафаретной печати, краски для флексографской печати и краски для офсетной печати, в качестве прозрачных покрытий, наружных смоляных слоев в качестве окрашенных покрытий, в качестве белых покрытий, например, для древесины или металла, в качестве порошкообразных материалов покрытий, в качестве красок, помимо прочего для бумаги, воды, металла или пластика, как отверждаемые дневным светом материалы покрытий для маркировки зданий и дорог, для процессов фотокопирования, для голографических регистрирующих материалов, для процессов регистрации изображений или для изготовления печатных плат, которые можно проявлять с использованием, например, органических растворителей или водно-щелочных сред, при изготовлении фотошаблонов для трафаретной печати, как материалы для пломбирования зубов, как клеи, как чувствительные к давлению клеи, как смолы для послойного формования, как фоторесисты, например гальваноресисты, кислотоупорные копировальные или перманентные резисты, как жидкие и сухие слои, как фотоструктурируемые диэлектрики и как трафареты, препятствующие проникновению припоя, для электронных схем, как резисты при изготовлении цветных светофильтров для трафаретной печатной формы любого типа или для изготовления структур в процессах получения плазменных дисплеев и электролюминесцентных дисплеев, для изготовления фототиристоров, оптических дифракционных решеток (дифракционных решеток), для изготовления трехмерных объектов отверждением в массе (УФ-отверждением в прозрачных формах) или в процессе стереоскопической фотографии, как изложено, например, в US 4575330, для изготовления композитных материалов (например, стирольные сложные полиэфиры, которые могут включать стеклянные волокна и/или другие волокна и другие вспомогательные материалы) и других толстослойных материалов, для получения наружных смоляных слоев с целью покрытия или герметизиции электронных деталей или получения покрытий для оптических волокон. Эти композиции приемлемы также при изготовлении оптических линз, например контактных линз и линз Френеля, и при изготовлении медицинских приборов, вспомогательных принадлежностей или имплантатов.
Эти композиции приемлемы также для приготовления гелей, обладающих термотропными свойствами. Такие гели описаны, например, в DE 19700064 и ЕР 678534.
Более того, эти композиции можно использовать в сухих пленочных красках так, как изложено, например, в Paint & Coatings Industry, April 1997, 72, или Plastics World, Volume 54, 7, page 48(5).
Получение покрытия
Компоненты композиции и необязательно дополнительные добавки равномерно наносят на подложку с помощью известных методов нанесения покрытия, например как покрытие, получаемое по способу центрифугирования, окунания, как покрытие, наносимое с помощью ракли, как покрытие, наносимое наливом, с помощью кисти или напылением, преимущественно по методу электростатического распыления, и как покрытие, наносимое обратным валиком, а также наносимое с помощью электрофореза. Наносимое количество (толщина покрытия) и природа подложки (слоеная подложка) зависят от целевой области применения. Диапазон толщин покрытия обычно включает значения от 0,1 мкм до 1 мм для наружных смоляных слоев и больше 1 мм для композитов.
Кроме того, объектом изобретения является способ отверждения термически отверждаемой композиции для нанесения покрытия, включающей соединения формулы I или II в качестве термических инициаторов и с использованием ИК-отверждения или БИК-отверждения или конвекционного нагрева.
Объектом изобретения является, кроме того, способ отверждения композиции для нанесения покрытия, который включает
а) нанесение на подложку слоя покрытия, благодаря чему композиция для нанесения покрытия представляет собой смесь по меньшей мере этиленовоненасыщенного соединения и инициатора формулы I или II, как это определено выше;
б) термическое отверждение нанесенного слоя покрытия.
Объектом изобретения является, кроме того, способ двоякого отверждения композиции для нанесения покрытия, который включает
а) нанесение на подложку слоя покрытия, благодаря чему композиция для нанесения покрытия представляет собой смесь по меньшей мере этиленовоненасыщенного соединения и инициатора формулы I или II, как это определено выше, и фотоинициатора, как указанный выше;
б) термическое отверждение и УФ-отверждение нанесенного слоя покрытия.
Объектом изобретения является, кроме того, способ двойного отверждения композиции для нанесения покрытия, который включает
а) нанесение на подложку слоя покрытия, благодаря чему композиция для нанесения покрытия представляет собой смесь по меньшей мере этиленовоненасыщенного соединения и второго термически сшиваемого соединения и инициатора формулы I или II, как это определено выше;
б) термическое отверждение нанесенного слоя покрытия.
Примеры
Пример 1
Получение 1,3-диоксо-1,3-дигидроизоиндол-2-илового эфира N-метилбензимидной кислоты

а) Получение натриевой соли N-гидроксифталимида
118 г (0,723 моля) N-гидроксифталимида суспендируют в 700 мл абсолютного этанола. В эту суспензию по каплям с перемешиванием добавляют раствор 16,65 г (0,723 моля) натрия в 400 мл абсолютного этанола. Полученную красную суспензию перемешивают в течение 19 ч при комнатной температуре. Полученное таким образом красное твердое вещество отфильтровывают под вакуумом, промывают 100 мл абс. этанола и сушат под вакуумом с получением 133 г красного твердого продукта.
б) получение указанного в заглавии соединения
Натриевую соль N-гидроксифталимида (46,25 г, 0,25 моля) растворяют в сухом ДМФ (220 мл), в приготовленную суспензию при комнатной температуре медленно с перемешиванием добавляют 38,8 г (0,25 моля) N-метилбензимидоилхлорида (получен в соответствии с J.C.S. Perkin II, 1324 (1980)). Реакционную смесь перемешивают при комнатной температуре в течение 19 ч и затем выливают в 1,5 л воды. Образовавшийся таким образом осадок отфильтровывают под вакуумом и сушат под вакуумом с получением 66,06 г сырого продукта, который затем растворяют в 250 мл ацетонитрила. После фильтрования в форме бесцветных кристаллов получают 58,7 г 1,3-диоксо-1,3-дигидроизоиндол-2-илового эфира N-метилбензимидной кислоты, tпл 174-176°С.
Для C16H12N2O3 (280,29) рассч./обнаруж. (%): С 68,56/68,54, Н 4,32/4,49, N 9,99/10,00.
Пример 2
Получение 1,3-диоксо-1,3-дигидроизоиндол-2-илового эфира N-этилбензимидной кислоты

аналогично примеру 1, бесцветные кристаллы, выход 73%, tпл 124-126°C.
Для C17H14N2O3 (294,31) рассч./обнаруж. (%): С 69,38/69,10, Н 4,79/4,63, N 9,52/9,44.
Пример 3
Получение 1,3-диоксо-1,3-дигидроизоиндол-2-илового эфира N-бутилбензимидной кислоты

аналогично примеру 1, бесцветные кристаллы, выход 83%, tпл 42-45°C.
Для C18H18N2O3 (322,37) рассч./обнаруж. (%): С 70,79/70,71, Н 5,63/5,64, N 8,69/8,68.
Пример 4
Получение 2,5-диоксопирролидин-1-илового эфира N-метилбензимидной кислоты 
1,7 г (0,03 моля) метилата натрия вводят в раствор 3,45 г (0,03 моля) N-гидроксисукцинимида в 25 мл метанола. Реакционную смесь перемешивают в течение одного часа, концентрируют под вакуумом и остаток растворяют в 15 мл ДМФ. С перемешиванием добавляют 4,6 г (0,03 моля) метилбензимидоилхлорида. Реакционную смесь перемешивают при комнатной температуре в течение 12 ч и затем выливают в 120 мл воды. Образовавшийся таким образом осадок отфильтровывают под вакуумом и сушат под вакуумом с получением 3,8 г сырого продукта, который далее растворяют и перекристаллизовывают в 9 мл толуола с получением в форме бесцветных кристаллов 3,05 г 2,5-диоксопирролидин-1-илового эфира N-метилбензимидной кислоты; tпл 119-120°С.
Для C12H12N2O3 (232,24) рассч./обнаруж. (%): С 62,06/61,85, Н 5,21/5,22, N 12,06/12,00.
Пример 5
Получение O-(1,3-диоксо-1,3-дигидроизоиндол-2-илового)эфира диметилтиокарбаминовой кислоты 
97,9 г (0,6 моля) N-гидроксифталимида вводят в 400 мл пиридина. Затем добавляют 76 г (0,615 моля) диметилтиокарбамоилхлорида. Реакционную смесь перемешивают при комнатной температуре в течение 21 ч и затем выливают в 4 л смеси воды со льдом. Образовавшийся таким образом осадок отфильтровывают под вакуумом и сушат под вакуумом с получением 145 г сырого продукта, который затем растворяют и перекристаллизовывают в дихлорметане/гексане с получением 127 г O-(1,3-диоксо-1,3-дигидроизоиндол-2-илового) эфира диметилтиокарбаминовой кислоты; рассч./обнаруж. (%): С 52,79/52,68, Н 4,03/4,14, N 11,19/11,14.
Пример 6
Получение O-(1,3-диоксобензоизохинолин-2-илового) эфира диметилтиокарбаминовой кислоты 
Получают аналогично примеру 5 с использованием N-гидрокси-1,8-нафталимида,
бесцветные кристаллы, выход 33%, tпл 185-190°С.
1Н-ЯМР (CDCl3, 300 МГц, част./млн): 8,67 (d, J=7,5 Гц, 2 ArH), 8,28 (d, J=7,5 Гц, 2 ArH), 7,82 (t, J=7,5 Гц, 4 ArH), 3,51 (s, 2×СН3).
Пример 7
Получение O-(2,5-диоксопирролидин-1-илового) эфира диметилтиокарбаминовой кислоты 
Получают бесцветные кристаллы, выход 68,5%, tпл 148-151°С. рассч./обнаруж. С7Н10N2BO3S (202,23), (%): С 41,57/41,61, Н 4,98/4,91, N13,85/13,76.
Пример 8
Получение O-(1,3-диоксооктагидроизоиндол-2-илового) эфира диметилтиокарбаминовой кислоты 
В раствор 25,38 г (0,15 моля) N-гидроксигексагидрофталимида (получен так, как изложено в Chem. Pharm. Bull., 16 (1968), 622) и 0,5 г 4-диметиламинопиридина в 100 мл пиридина вводят 18,54 г (0,15 моля) диметилтиокарбамоилхлорида. Смесь перемешивают при комнатной температуре течение 3 ч и затем выливают в 1000 мл смеси воды со льдом. Осадок отфильтровывают и перекристаллизовывают из 120 мл этанола с получением 28,38 г белых кристаллов, tпл 124-126°С.
Полученный МС для C11H16O3S (256,33), обнаруж.: [М+1]+=257,1.
Пример 9
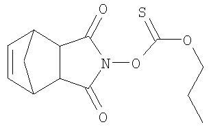
Получение N-(N’,N’-диметилтионокарбамоилокси)-5-норборнен-2,3-дикарбоксимида

Это соединение получают аналогично примеру 8, исходя из 26,9 г (0,15 моля) N-гидрокси-5-норборнен-2,3-дикарбоксимида (получен так, как изложено в Bull.Soc.Chim.Fr. (1976), 833). Выход 36,3 г бесцветных кристаллов после перекристаллизации из дихлорметана/ацетонитрила, tпл 215-218°С.
Данные элементного анализа для C12H14H2O3S, рассч./обнаруж. (%): С 54,12/54.18, Н 5,30/5,37, N 10,52/10,52.
Пример 10
Получение O-(3,4-диметил-2,5-диоксо-2,5-дигидропиррол-1-илового) эфира диметилтиокарбаминовой кислоты 
Это соединение получают аналогично примеру 8, исходя из 21,17 г (0,15 моля) N-гидрокси-3,4-диметил-2,5-диоксо-2,5-дигидропиррола (получен так, как изложено в J.Chem.Soc. (1955), 631). Выход 23,50 г после перекристаллизации из этанола, tпл 135-138°С.
Полученный МС для C9H12N2O3S (228,27), обнаруж.: [М+1]+=229,1.
Пример 11
Получение O-(1,3-диоксо-1,3-дигидроизоиндол-2-илового) эфира диизопропилтиокарбаминовои кислоты 
Это соединение получают аналогично примеру 8, исходя из 32,35 г (0,18 моля) диизопропилтиокарбамоилхлорида (получен так, как изложено в Chem.Ber., 101, (1968), 113) и N-гидроксифталимида. Выход 21,44 г белых кристаллов после перекристаллизации из гексана, tпл 73-75°С.
1Н-ЯМР (300 МГц, CDCl3): 7,94-7,89 (m, 2 ArH), 7,82-7,78 (m, 2 ArH), 5,29-5,26 (m, 1H), 3,89-3,86 (m, 1H), 1,59 (d, 6H), 1,32 (d, 6H).
Пример 12
Получение O-(1,3-диоксо-1,3-дигидроизоиндол-2-илового) эфира дициклогексилтиокарбаминовой кислоты 
Это соединение получают аналогично примеру 8, исходя из 24,94 г (0,096 моля) дициклогексилтиокарбамоилхлорида (получен так, как изложено в Chem.Ber., 101 (1968), 113) и N-гидроксифталимида. Выход 9,65 г белых кристаллов после перекристаллизации из гексана, tпл 148-150°С.
AP-CI (бутан) МС для C21H26N2O3S (386,51), обнаруж.: [M+1]+=386,87.
Примеры применения
Отверждение при облучении в БИК
Композиция для трафаретной печати
| мас.% |
Продукт |
Описание |
Поставщик |
| 89 |
Ebecryl 604 |
80%-ный эпоксидиакрилат бисфенола А в HDDA |
фирма UCB |
| 10 |
Sartomer SR344 |
Диакрилат полиэтиленгликоля (400) |
Cray Valley |
| 1 |
Ebecryl 350 |
Силикондиакрилат |
фирма UCB |
Компоненты перемешивают до гомогенности.
Образцы для испытаний
Соединение примера 5 и примера 7.
С использованием растворяющей установки с зубчатым колесом 1,00 г испытываемого соединения в течение 30 мин растворяют в 50,00 г композиции для трафаретной печати.
Условия нанесения и отверждения
С использованием щелевой машины для нанесения покрытия (WFT 90 мкм) материал покрытия наносят на стальные пластины.
Отверждение с помощью ламп (например, фирмы Adphos) с излучением в БИК при основной эмиссии в пределах от 750 до 1500 нм при 65%-ной выходной мощности, расстоянии до подложки 3 см и линейной скорости 3 м/мин.
Методы испытаний
Твердость по маятниковому прибору (Koenig) в соответствии со стандартом DIN EN ISO 1522
Определение адгезии по методу с решетчатым надрезом в соответствии со стандартом DIN 53151
Результаты
| Образец |
Твердость по маятниковому прибору [с] |
Адгезия по методу с решетчатым надрезом |
| Прим.5 |
207,2 |
1 |
| Прим. 7 |
207,2 |
0 |
Отверждение в сушильном шкафу
| мас. част. |
 |
| 44,5 |
Ebecryl 284 фирмы UCB Chemicals (88 част.алифатического уретанакрилата/12 част.гександиолдиакрилата) |
| 32,2 |
Roskydal UA VP LS 2308 (алиф.уретан три/тетраакрилат), фирма Bayer |
| 10 |
Триметилолпропилтриакриалат (ТМПТА) |
| 10 |
Трипропиленгликольдиакриалат (ТПГДА) |
| 0,5 |
Glide 100 (добавка для текучести фирмы Tego Chemicals) |
| 0.4 г |
соединения из соединений примера 5, 10, 11 или 12 |
(см. таблицу ниже) с использованием устройства с магнитной мешалкой в течение 30 мин растворяют в 20,00 г композиции для трафаретной печати. Смесь наносят на белый алюминиевый койлкоутинг. Образец выдерживают в сушильном шкафу при 160°С в течение 30 мин и получают не дающее отлипа сухое покрытие толщиной приблизительно 25 мкм. Спустя 45 мин после отверждения определяют твердость по маятниковому прибору в соответствии с Koenig (стандарт DIN 53157).
| Пример |
Твердость по маятниковому прибору [с] |
| 5 |
126 |
| 10 |
133 |
| 11 |
137 |
| 12 |
137 |
Стабильность при хранении
Композиция для трафаретной печати
| мас.% |
Продукт |
Описание |
Поставщик |
| 59,5 |
Ebecryl 4858 |
Алифатический уретанакрилат |
фирма UCB |
| 22,5 |
HDDA |
Реакционноспособный разбавитель |
фирма UCB |
| 13 |
ТПГДА |
Реакционноспособный разбавитель |
фирма UCB |
| 0,5 |
Byk 300 |
Поверхностно-активная силиконовая добавка |
фирма Byk Chemie |
Компоненты перемешивают до гомогенности.
Образцы для испытаний
Соединения примеров 5, 7, 9, 10 и 12
С использованием устройства с магнитной мешалкой 1,00 г в течение 30 мин растворяют в 50,00 г композиции для трафаретной печати.
Методы испытаний
Определение вязкости в вискозиметре с конусом и пластиной фирмы ICI при 20°С.
Стабильность при хранении: первоначально вязкость определяют после получения образца. Образцы разделяют и хранят в закрытых контейнерах при 40°С. После периодов в 4 недели и 12 недель вязкость определяют вновь. Для сравнения обрабатывают и соответственно испытывают такую же композицию для трафаретной печати.
Результаты
| Образец |
Вязкость [мПа с] |
 |
| Начальное значение |
4 недели при 40°С |
12 недель при 40°С |
| Композиция для трафаретной печати |
300 |
280 |
230 |
| Прим.5 |
340 |
310 |
260 |
| Прим.7 |
360 |
320 |
260 |
| Прим.9 |
240 |
280 |
280 |
| Прим.10 |
250 |
240 |
320 |
| Прим.12 |
250 |
260 |
140 |
Двойное отверждение
0,26 г соединения прим. 5 растворяют в 13,4 г компонента А с использованием устройства с магнитной мешалкой в течение 30 мин. В дальнейшем добавляют компонент Б и тщательно гомогенизируют.
| мас. част. |
Компонент А |
| 11,38 |
Desmophen A 870, фирма Bayer AG (70%-ный полиакрилат с гидроксильными функциональными группами в бутилацетате) |
| 21,23 |
Desmophen VP LS 2089 (75%-ный полиэфирполиол в бутилацетате), фирма Bayer |
| 0,55 |
Byk 306 (добавка для текучести), фирма Byk Chemie |
| 32,03 |
Метанол |
| Компонент Б |
| 32,09 |
Roskydal UA VP LS 2337, фирма Bayer AG (уретанакрилат с изоцианатными функциональными группами) |
Смеси наносят на белый алюминиевый койлкоутинг, сушат на воздухе в течение 5 мин при комнатной температуре и выдерживают в сушильном шкафу при 160°С в течение 30 мин. Получают не дающее отлипа сухое покрытие толщиной приблизительно 40 мкм. Спустя 45 мин после отверждения определяют твердость по маятниковому прибору в соответствии с Koenig (стандарт DIN 53157). Твердость по маятниковому прибору составляет 140 с.
Двоякое отверждение
0,4 г соединения прим.5 и 0,4 г продукта Irgacure 184 с использованием устройства с магнитной мешалкой в течение 30 мин растворяют в 20,00 г композиции для трафаретной печати.
| мас. част. |
 |
| 44,5 |
Ebecryl 284 (88 част.алифатического уретанакрилата/12 част.гександиолдиакрилата) фирмы UCB Chemicals |
| 32,2 |
Roskydal UA VP LS 2308 (алиф. уретантри/тетраакрилат), фирма Bayer AG |
| 10 |
Триметилолпропилтриакрилат (ТМПТА) |
| 10 |
Трипропиленгликольдиакриалат (ТПГДА) |
| 0,5 |
Glide 100 (добавка для текучести фирмы Tego Chemicals) |
Смесь наносят на белый алюминиевый койлкоутинг. Облучение проводят с использованием технологической УФ-установки (2×120 Вт/см) с ртутными лампами среднего давления при скорости ленты 5 м/мин. Образец выдерживают в сушильном шкафу при 160°С в течение 30 мин и получают не дающее отлипа сухое покрытие толщиной приблизительно 25 мкм.
Спустя 45 мин после отверждения определяют твердость по маятниковому прибору в соответствии с Koenig (стандарт DIN 53157). Твердость по маятниковому прибору составляет 146 с.
Формула изобретения
1. Соединения формул I и II
и  в которых n обозначает 1; m обозначает 1; R1 и R2, R4 и R5 совместно со смежной группой -CO-N-CO- образуют 5 или 6-членное моноциклическое кольцо, необязательно насыщенное и возможно замещенное С1-18алкилом, конденсированную кольцевую систему, которая в дополнении к моноциклическому сердцевинному кольцу, определенному выше, содержит одно или два С6ароматических или С6алифатических колец; R3 обозначает NR12R13, где R12 и R13 независимо друг от друга обозначают С1-18алкил, С5-12циклоалкил, каждый из которых может быть замещен С1-4алкилом; R6 обозначает С6-10арил, С1-18алкил, С6-10ар-С1-С18алкил, С5-С12циклоалкил, каждый из которых необязательно замещен С1-С4алкилом; R7 обозначает С1-С18алкил, С6-С10арил, С6-С10ар-C1-С18алкил, C5-С12циклоалкил, каждый из которых необязательно замещен С1-С4алкилом.
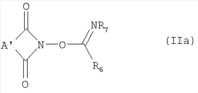
2. Соединения по п.1, у которых (R1, R2) и (R4, R5) совместно со смежной группой -CO-N-CO- образуют моноциклическое, бициклическое кольцо с получением соединений формулы Ia или IIa
, , в которых А обозначает незамещенный этилен или пропилен, этилен или пропилен, замещенный С1-С18алкилом, R12 и R13 независимо друг от друга обозначают С1-С18алкил, циклогексил; А’ обозначает незамещенный этилен или пропилен, этилен или пропилен замещенный С1-С18алкилом; или А’ обозначает этенилен или пропенилен, или этенилен или пропенилен, замещенный С1-С4алкилом; R6 обозначает С1-С18алкил, циклогексил, фенил, бензил; R7 обозначает С1-С18алкил, циклогексил, фенил.
3. Соединения по п.1, у которых (R1, R2) и (R4, R5) совместно со смежной группой -CO-N-CO- образуют бициклическое кольцо с получением соединений формул Ib и IIb
,  в которых R12 и R13 каждый независимо друг от друга обозначает C1-С18алкил или циклогексил, R16 и R17 каждый независимо друг от друга обозначает водородный атом, С1-С8алкил; R7 обозначает С1-С8алкил, циклогексил, бензил, фенил; R6, обозначает С1-С8алкил, циклогексил, бензил, фенил; R18 и R19 каждый независимо друг от друга обозначает водородный атом, С1-С8алкил.
4. Соединения по п.2, у которых А и А’ независимо обозначают этилен или пропилен, или этилен или пропилен, замещенный С1-С4алкилом, или этенилен или пропенилен, или этенилен или пропенилен, замещенный C1-С4алкилом.
5. Термически отверждаемая композиция для нанесения покрытия, включающая а) по меньшей мере одно этиленовоненасыщенное соединение; б) термический инициатор, представляющий собой N-замещенный имид формулы (I) или (II) по п.1, эффективный для возможности ИК-отверждения или БИК-отверждения или для возможности микроволнового отверждения, или для возможности ультразвукового отверждения, или для возможности отверждения конвекционным нагревом этиленовоненасыщенного соединения.
6. Двойная отверждаемая композиция для нанесения покрытия, включающая а) по меньшей мере гидрокси содержащее этиленовоненасыщенное соединение и изоцианатомсодержащее соединение в качестве второго термически сшиваемого соединения; б) термический инициатор, представляющий собой N-замещенный имид формулы (I) или (II) по п.1, эффективный для возможности ИК-отверждения или БИК-отверждения или для возможности микроволнового отверждения, или для возможности ультразвукового отверждения, или для возможности отверждения конвекционным нагревом этиленовоненасыщенного соединения.
7. Двояко отверждаемая композиция для нанесения покрытия, включающая а) по меньшей мере этиленовоненасыщенное соединение; б) термический инициатор, представляющий собой N-замещенный имид формулы (I) или (II) по п.1, эффективный для возможности ИК-отверждения или БИК-отверждения или для возможности микроволнового отверждения, или для возможности ультразвукового отверждения, или для возможности отверждения конвекционным нагревом этиленовоненасыщенного соединения; в) фотоинициатор, эффективный для возможности УФ-отверждения этиленовоненасыщенного соединения.
8. Применение соединений формул (I) и (II) по пп.1-4 в качестве инициаторов радикальной термической полимеризации (ТРИ) в отвердителе для покрытий, отверждаемых свободнорадикальной полимеризацией.
|
|