|
|
(21), (22) Заявка: 2007122408/04, 15.12.2005
(24) Дата начала отсчета срока действия патента:
15.12.2005
(30) Конвенционный приоритет:
21.12.2004 US 60/638,030
(43) Дата публикации заявки: 27.01.2009
(46) Опубликовано: 10.08.2010
(56) Список документов, цитированных в отчете о поиске:
US 2003/060498 A1, 27.03.2003. US 5637593 A, 10.06.1997. US 5322851 A, 21.06.1994. RU 2093507 C1, 20.10.1997.
(85) Дата перевода заявки PCT на национальную фазу:
23.07.2007
(86) Заявка PCT:
EP 2005/013487 20051215
(87) Публикация PCT:
WO 2006/066790 20060629
Адрес для переписки:
191186, Санкт-Петербург, а/я 230, “АРС-ПАТЕНТ”, пат.пов. И.И.Липатовой
|
(72) Автор(ы):
ГРИНХАУС Роберт (US), ХАРРИС III Ральф Нью (US), ХАЙМЕ-ФИГЕЙРА Саул (US), КРЕСС Джеймс М. (US), РЕПКЕ Девид Брюс (US), СТАБЛЕР Расселл Стефен (US)
(73) Патентообладатель(и):
Ф. ХОФФМАНН-ЛЯ РОШ АГ (CH)
|
(54) ПРОИЗВОДНЫЕ ТЕТРАЛИНА И ИНДАНА И ИХ ПРИМЕНЕНИЯ
(57) Реферат:
Описывается соединение формулы I:
;
или его фармацевтически приемлемая соль, где R2 представляет собой (CR3R4)n-NR5R6 и m, р, q, Ar, R1, R3, R4, R5 и R6 являются такими, как определено в формуле изобретения, которые являются селективными антагонистами 5-НТ6 и/или 5-НТ2А. Также описываются фармацевтическая композиция, содержащая это соединение, и применение соединения в изготовлении лекарств для лечения болезненного состояния центральной нервной системы, выбранного из психозов, шизофрении, маниакальных депрессий, неврологических расстройств, нарушений памяти, синдрома дефицита внимания, болезни Паркинсона, бокового амиотрофического склероза, болезни Альцгеймера, нарушений питания и болезни Хантингтона. 3 н. и 24 з.п. ф-лы,1 табл.
Текст описания приведен в факсимильном виде.                                                                                                                                            
Формула изобретения
1. Соединение формулы I:
 или его фармацевтически приемлемая соль, где m равно от 0 до 1; р равно от 1 до 2; q равно 2; Ar представляет собой фенил, возможно замещенный заместителем, выбранным из С1-12-алкокси, галогена, циано, гидрокси и C1-12-алкилсульфонила, или гетероарил, означающий моноциклический или бициклический одновалентный радикал из 5-9 кольцевых атомов, имеющий ароматические кольца, содержащие один, два атома азота, возможно замещенные C1-12-алкилом, галогеном; каждый R1 независимо представляет собой галогено или C1-12-алкокси;
; R2 представляет собой n равно от 1 до 3; R3 и R4 каждый независимо представляет собой водород, либо R3 и R4 вместе могут образовать =O или =NRf, где Rf представляет собой водород; и один из R5 и R6 представляет собой водород или C1-12-алкил, а другой представляет собой: водород; С1-12-алкил; амидинил; аминокарбонил; C1-12-алкиламинокарбонил; ди(С1-12-алкил)аминокарбонил; С1-12-алкилкарбонил; С1-12-алкоксикарбонил; аминокарбонил-С1-12-алкил; С1-12-алкиламинокарбонил-С1-12-алкил; амино-С1-12-алкилкарбонил; C1-12-алкиламино-С1-12-алкилкарбонил; ди(С1-12-алкил)амино-С1-12-алкилкарбонил; С1-12-алкоксикарбонил-С1-12-алкил; имидазолинил; имидазолонил; имидазолилкарбонил; пирролилкарбонил; пирролидинилкарбонил; N-цианоамидинил; С1-12-алкилсульфонил; гидрокси-С1-12-алкилкарбонил; аминосульфонил; гидрокси-С1-12-алкил; либо возможно замещенный C1-12-алкилом гетероарил, означающий моноциклический или бициклический одновалентный радикал из 5-9 кольцевых атомов, имеющий по меньшей мере одно ароматическое кольцо или частично насыщенное, содержащее два кольцевых атома, выбранных из N и S, где остальные кольцевые атомы представляют собой углерод; либо R5 и R6 вместе с атомом азота, к которому они присоединены, могут образовать группу амидинил, (С1-12-алкил)амидинил; три(C1-12-алкил)амидинил, группу N-алкил-N-фенил-гуанидинил или 5-членное кольцо гетероарил, возможно замещенное С1-12-алкилом и которое возможно включает дополнительный гетероатом азота; либо один из R5 и R6 и один из R3 и R4 вместе с атомами, к которым они присоединены, могут образовать 5-членное кольцо, которое включает дополнительный гетероатом N.
2. Соединение по п.1, где R3 и R4 представляют собой водород.
3. Соединение по п.2, где R5 и R6 представляют собой водород.
4. Соединение по п.2, где один из R5 и R6 представляет собой водород, а другой представляет собой С1-12-алкил.
5. Соединение по п.2, где один из R5 и R6 представляет собой водород или C1-12-алкил, а другой представляет собой: водород; С1-12-алкил; амидинил; аминокарбонил; C1-12-алкилкарбонил; С1-12-алкоксикарбонил; аминокарбонил-С1-12-алкил; амино-С1-12-алкилкарбонил; C1-12-алкоксикарбонил-С1-12-алкил; имидазолонил; имидазолилкарбонил; пирролилкарбонил; пирролидинилкарбонил; N-цианоамидинил; C1-12-алкилсульфонил; гидрокси-С1-12-алкилкарбонил; аминосульфонил; гидрокси-С1-12-алкил; или возможно замещенный 5- или 6-членный гетероарил.
6. Соединение по п.2, где один из R5 и R6 представляет собой водород, а другой представляет собой: водород; С1-12-алкил; амидинил; аминокарбонил; C1-12-алкилкарбонил; С1-12-алкоксикарбонил; аминокарбонил-С1-12-алкил; амино-С1-12-алкилкарбонил; C1-12-алкоксикарбонил-С1-12-алкил; С1-12-алкилсульфонил или гидрокси-С1-12-алкилкарбонил.
7. Соединение по п.2, где R5 и R6 вместе с атомом азота, к которому они присоединены, образуют группу амидинил.
8. Соединение по п.1, где R3 и R4 вместе образуют: =NRf, где Rf представляет собой водород, и где R5 и R6 представляют собой водород.
9. Соединение по п.1, где R3 и R4 вместе образуют =O.
10. Соединение по п.1, где один из R5 и R6 и один из R3 и R4 вместе с атомами, к которым они присоединены, образуют кольцо имидазолинил.
11. Соединение по п.2, где Ar представляет собой фенил, возможно замещений заместителем, выбранным из С1-12-алкокси, галогена, циано, гидрокси и С1-12-алкилсульфонила.
12. Соединение по п.2, где Ar представляет собой 5- или 6-членный гетероарил, выбранный из индолила, пирролила, имидазолила, пиразолила, бензимидазолила, каждый из которых возможно замещен С1-12-алкилом, галогеном.
13. Соединение по п.1, где один из R5 и R6 и один из R3 и R4 вместе с атомами, к которым они присоединены, образуют кольцо имидазолинил.
14. Соединение по п.1, где R2 представляет собой амино-С1-3-алкил, С1-12-алкиламино-С1-3-алкил, ди(С1-12-)алкиламино-С1-3-алкил, имидазолиниламино-С1-3-алкил, имидазолинил-С1-3-алкил, гуанидинил-C1-3-алкил, тетрагидропиримидиниламино-С1-3-алкил, амидинил-С1-3-алкил, уре-С1-3-алкил, пиримидинил-амино-С1-3-алкил, имидазолиламино-С1-3-алкил, гуанидинилкарбонил-C1-3-алкил, имидазолониламино-C1-3-алкил, имидазолинилкарбониламино-C1-3-алкил, аминокарбонил-С1-3-алкил, пирролилкарбониламино-С1-3-алкил, амино-С1-12-алкилкарбониламино-С1-3-алкил, С1-12-алкоксикарбонил-С1-12-алкиламино-С1-3-алкил, N-цианогуанидинил-С1-3-алкил, С1-12-алкилкарбониламино-С1-3-алкил, аминокарбонил-С1-12-алкиламино-С1-3-алкил, пирролидинилкарбониламино-С1-3-алкил, С1-12-алкилсульфонамидо-С1-3-алкил, аминосульфонамидо-С1-3-алкил, С1-12-алкоксикарбониламино-С1-3-алкил, гидрокси-С1-12-алкилкарбониламино-С1-3-алкил, гидрокси-С1-12-алкиламино-C1-3-алкил.
15. Соединение по п.1, где R2 представляет собой амино-С1-12-алкил, С1-12-алкиламино-С1-12-алкил, ди(С1-12-)алкиламино-С1-12-алкил, гуанидинил-С1-12-алкил, амидинил-С1-12-алкил, уре-С1-12-алкил, амидинил, гуанидинилкарбонил-С1-12-алкил, аминокарбонил-С1-12-алкил, амино-С1-12-алкилкарбониламино-С1-12-алкил, С1-12-алкилкарбониламино-С1-12-алкил, аминокарбонил-С1-12-алкиламино-С1-12-алкил или С1-12-алкоксикарбониламино-С1-12-алкил.
16. Соединение по п.1, где R2 представляет собой:
; ; ; ; ; ;
; ; ; ; ; ;
; ; ; ; ; ;
; ; ; ; ;
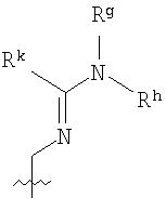
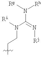
; ; ; ; или  где Rg представляет собой водород, С1-12-алкил, фенил или пиримидинил, Rh, Ri, Rj и Rk независимо в каждом случае представляют собой водород или С1-12-алкил и Rm представляет собой водород, алкил или -NRhRi.
17. Соединение по п.1, где R2 представляет собой:
; ; ; ; или  где Rg, Rh, Ri и Rj каждый независимо представляет собой водород или метил.
18. Соединение по п.1, где R3 и R4 представляют собой водород, R5 представляет собой водород или метил и R6 представляет собой:
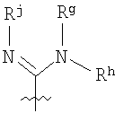
; ; ; ; ; ;
; ; ; ; ;
; ; ; ; или ; где Rg представляет собой водород, С1-12-алкил, фенил или пиримидинил, Rh, Ri, Rj и Rk независимо в каждом случае представляют собой водород или С1-12-алкил и Rm представляет собой водород, алкил или -NRhRi.
19. Соединение по п.1, где R3 и R4 представляют собой водород, R5 представляет собой водород или метил и R6 представляет собой:
; ; ; или ; где Rg, Rh, Ri и Rj каждый независимо представляет собой водород или метил.
20. Соединение по п.1, где указанное соединение имеет формулу II:
; где m, Ar, R1 и R2 являются такими, как изложено в п.1.
21. Соединение по п.1, где указанное соединение имеет формулу IIIa:
; где s равно от 0 до 1; каждый R7 независимо представляет собой галогено, С1-12-алкокси, циано, -S(O)rRa, где r равно 2, R3 представляет собой С1-12-алкил; и m, n, R1, R3, R4, R5 и R6 являются такими, как изложено в п.1.
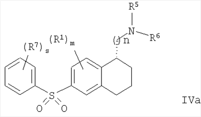
22. Соединение по п.21, где указанное соединение имеет формулу IVa:
; и где m, n, s, R1, R5, R6 и R7 являются такими, как изложено в п.21.
23. Соединение по п.22, где m равно 0 или 1, s равно 0 или 1 и R1 и R7 представляют собой галогено.
24. Соединение по п.23, где один из R5 и R6 представляет собой водород, а другой представляет собой: водород; С1-12-алкил; амидинил; аминокарбонил; С1-12-алкилкарбонил; С1-12-алкоксикарбонил; аминокарбонил-С1-12-алкил; амино-С1-12-алкилкарбонил; С1-12-алкоксикарбонил-С1-12-алкил; С1-12-алкилсульфонил или гидрокси-С1-12-алкилкарбонил.
25. Соединение по п.1, где указанное соединение выбрано из: 2-(5-Бензолсульфонил-индан-1-ил)-этиламина; [2-(5-Бензолсульфонил-индан-1-ил)-этил]-(4,5-дигидро-1Н-имидазол-2-ил)-амина; 1-[2-(5-Бензолсульфонил-индан-1-ил)-этил]-1-метил-1Н-пирролия йодида; [2-(5-Бензолсульфонил-индан-1-ил)-этил]-метиламина; 3-(5-Бензолсульфонил-индан-1-ил)-пропиламина; С-(7-Бензолсульфонил-1,2,3,4-тетрагидро-нафталин-1-ил)-метиламина; N-[2-(7-Бензолсульфонил-1,2,3,4-тетрагидро-нафталин-1-ил)-этил]-гуанидина; С-[7-(4-Фтор-бензолсульфонил)-1,2,3,4-тетрагидро-нафталин-1-ил]-метиламина; (7-Бензолсульфонил-1,2,3,4-тетрагидро-нафталин-1-илметил)-(5,5-диметил-1,4,5,6-тетрагидро-пиримидин-2-ил)-амина; 2-(7-Бензолсульфонил-1,2,3,4-тетрагидро-нафталин-1-ил)-ацетамидина; 2-(7-Бензолсульфонил-1,2,3,4-тетрагидро-нафталин-1-ил)-этиламина; (6-Бензолсульфонил-1,2,3,4-тетрагидро-нафталин-1-илметил)-(4,5-дигидро-1Н-имидазол-2-ил)-амина; N-(7-Бензолсульфонил-1,2,3,4-тетрагидро-нафталин-1-илметил)-N’-метил-N”-фенил-гуанидина; N-(6-Бензолсульфонил-1,2,3,4-тетрагидро-нафталин-1-илметил)-гуанидина; N-(7-Бензолсульфонил-1,2,3,4-тетрагидро-нафталин-1-илметил)-гуанидина; 1-[2-(7-Бензолсульфонил-1,2,3,4-тетрагидро-нафталин-1-ил)-этил]-1Н-имидазола; [2-(7-Бензолсульфонил-1,2,3,4-тетрагидро-нафталин-1-ил)-этил]-пиримидин-2-ил-амина; N’-[2-(7-Бензолсульфонил-1,2,3,4-тетрагидро-нафталин-1-ил)-этил]-N,N-диметил-ацетамидина; 3-(6-Бензолсульфонил-1,2,3,4-тетрагидро-нафталин-1-ил)-пропионамидина; [2-(6-Бензолсульфонил-1,2,3,4-тетрагидро-нафталин-1-ил)-этил]-диметил-амина; С-(6-Бензолсульфонил-1,2,3,4-тетрагидро-нафталин-1-ил)-метиламина; С-[6-(3-Хлор-бензолсульфонил)-1,2,3,4-тетрагидро-нафталин-1-ил]-метиламина; (6-Бензолсульфонил-1,2,3,4-тетрагидро-нафталин-1-илметил)-метил-амина; (6-Бензолсульфонил-1,2,3,4-тетрагидро-нафталин-1-илметил)-пиримидин-2-ил-амина; N-(6-Бензолсульфонил-1,2,3,4-тетрагидро-нафталин-1-илметил)-ацетамидина; 2-(6-Бензолсульфонил-1,2,3,4-тетрагидро-нафталин-1-ил)-этиламина и 2-[6-(2-Фтор-бензолсульфонил)-1,2,3,4-тетрагидро-нафталин-1-ил]-этиламина, [6-(3-Хлор-бензолсульфонил)-1,2,3,4-тетрагидро-нафталин-1-илметил]-метиламина; С-[6-(2-Фтор-бензолсульфонил)-1,2,3,4-тетрагидро-нафталин-1-ил]-метиламина; 1-[2-(6-Бензолсульфонил-1,2,3,4-тетрагидро-нафталин-1-ил)-этил]-1Н-имидазола; 3-[6-(3-Фтор-бензолсульфонил)-1,2,3,4-тетрагидро-нафталин-1-ил]-пропиламина; С-(6-Бензолсульфонил-7-метокси-1,2,3,4-тетрагидро-нафталин-1-ил)-метиламина; (6-Бензолсульфонил-1,2,3,4-тетрагидро-нафталин-1-илметил)-диметил-амина; (6-Бензолсульфонил-7-метокси-1,2,3,4-тетрагидро-нафталин-1-илметил)-метиламина; [2-(6-Бензолсульфонил-1,2,3,4-тетрагидро-нафталин-1-ил)-этил]-диметил-амина; (R)-(6-Бензолсульфонил-1,2,3,4-тетрагидро-нафталин-1-илметил)-метил-амина; (S)-(6-Бензолсульфонил-1,2,3,4-тетрагидро-нафталин-1-илметил)-метил-амина; (6-Бензолсульфонил-1,2,3,4-тетрагидро-нафталин-1-илметил)-мочевины; 2-(6-Бензолсульфонил-7-метокси-1,2,3,4-тетрагидро-нафталин-1-ил)-этиламина; С-[6-(3-Фтор-бензолсульфонил)-1,2,3,4-тетрагидро-нафталин-1-ил]-метиламина; [2-(6-Бензолсульфонил-7-метокси-1,2,3,4-тетрагидро-нафталин-1-ил)-этил]-метиламина; N-[2-(6-Бензолсульфонил-1,2,3,4-тетрагидро-нафталин-1-ил)-ацетил]-гуанидина; [6-(3-Фтор-бензолсульфонил)-1,2,3,4-тетрагидро-нафталин-1-илметил]-метиламина; Этил-[6-(3-фтор-бензолсульфонил)-1,2,3,4-тетрагидро-нафталин-1-илметил]-амина; (R)-С-(6-Бензолсульфонил-1,2,3,4-тетрагидро-нафталин-1-ил)-метиламина; (R)-С-[6-(3-Метокси-бензолсульфонил)-1,2,3,4-тетрагидро-нафталин-1-ил]-метиламина; (R)-[6-(3-Метокси-бензолсульфонил)-1,2,3,4-тетрагидро-нафталин-1-илметил]-метиламина; (R)-С-[6-(3-Фтор-бензолсульфонил)-1,2,3,4-тетрагидро-нафталин-1-ил]-метиламина; (R)-3-(5-Аминометил-5,6,7,8-тетрагидро-нафталин-2-сульфонил)-бензонитрила; (R)-[6-(3-Фтор-бензолсульфонил)-1,2,3,4-тетрагидро-нафталин-1-илметил]-мочевины; (R)-С-[6-(1Н-Индол-3-сульфонил)-1,2,3,4-тетрагидро-нафталин-1-ил]-метиламина; (R)-2-{[6-(3-Фтор-бензолсульфонил)-1,2,3,4-тетрагидро-нафталин-1-илметил]-амино}-3,5-дигидро-имидазол-4-она; (R)-С-(6-Бензолсульфонил-8-фтор-1,2,3,4-тетрагидро-нафталин-1-ил)-метиламина; (R)-N-{2-[6-(3-Фтор-бензолсульфонил)-1,2,3,4-тетрагидро-нафталин-1-ил]-ацетил}-гуанидина; (R)-(6-Бензолсульфонил-1,2,3,4-тетрагидро-нафталин-1-илметил)-мочевины; (R)-С-[6-(1Н-Пиррол-3-сульфонил)-1,2,3,4-тетрагидро-нафталин-1-ил]-метиламина; (R)-(6-Бензолсульфонил-8-фтор-1,2,3,4-тетрагидро-нафталин-1-илметил)-метиламина; (R)-1Н-Имидазол-2-карбоновой кислоты [6-(3-фтор-бензолсульфонил)-1,2,3,4-тетрагидро-нафталин-1-илметил]-амида; (R)-2-(6-Бензолсульфонил-1,2,3,4-тетрагидро-нафталин-1-ил)-ацетамида; (R)-1Н-Пиррол-2-карбоновой кислоты [6-(3-фтор-бензолсульфонил)-1,2,3,4-тетрагидро-нафталин-1-илметил]-амида; (R)-С-(6-Бензолсульфонил-5-фтор-1,2,3,4-тетрагидро-нафталин-1-ил)-метиламина; (R)-С-[6-(3-Метансульфонил-бензолсульфонил)-1,2,3,4-тетрагидро-нафталин-1-ил]-метиламина; (R)-2-Амино-N-[6-(3-фтор-бензолсульфонил)-1,2,3,4-тетрагидро-нафталин-1-илметил]-ацетамида; (R)-С-[6-(1Н-Пиразол-4-сульфонил)-1,2,3,4-тетрагидро-нафталин-1-ил]-метиламина; (R)-С-[6-(6-Фтор-3Н-бензимидазол-4-сульфонил)-1,2,3,4-тетрагидро-нафталин-1-ил]-метиламина; (R)-C-[6-(1-Метил-1Н-имидазол-2-сульфонил)-1,2,3,4-тетрагидро-нафталин-1-ил]-метиламина; (R)-N-[6-(3-Фтор-бензолсульфонил)-1,2,3,4-тетрагидро-нафталин-1-илметил]-2-метиламино-ацетамида; (R)-1-[6-(3-Фтор-бензолсульфонил)-1,2,3,4-тетрагидро-нафталин-1-илметил]-3-метил-мочевины; (R)-{[6-(2-Фтор-бензолсульфонил)-1,2,3,4-тетрагидро-нафталин-1-илметил]-амино}-уксусной кислоты этилового эфира; (R)-Метил-[6-(1Н-пиррол-3-сульфонил)-1,2,3,4-тетрагидро-нафталин-1-илметил]-амина; (R)-N-[6-(2-Фтор-бензолсульфонил)-1,2,3,4-тетрагидро-нафталин-1-илметил]-N’-циано-гуанидина; (R)-N-[6-(1Н-Индол-3-сульфонил)-1,2,3,4-тетрагидро-нафталин-1илметил]-ацетамида; (R)-N-(6-Бензолсульфонил-8-фтор-1,2,3,4-тетрагидро-нафталин-1-илметил)-ацетамида; (R)-2-{[6-(3-Фтор-бензолсульфонил)-1,2,3,4-тетрагидро-нафталин-1-илметил]-амино}-ацетамида; (R)-2-Диметиламино-N-[6-(3-фтор-бензолсульфонил)-1,2,3,4-тетрагидро-нафталин-1-илметил]-ацетамида; (R)-С-[6-(5-Фтор-1Н-индол-3-сульфонил)-1,2,3,4-тетрагидро-нафталин-1-ил]-метиламина; (R)-Пирролидин-2-карбоновой кислоты (6-бензолсульфонил-1,2,3,4-тетрагидро-нафталин-1-илметил)-амида; (R)-2-{[6-(3-Фтор-бензолсульфонил)-1,2,3,4-тетрагидро-нафталин-1-илметил]-амино}-N-метил-ацетамида; (R)-Пирролидин-2-карбоновой кислоты [6-(3-фтор-бензолсульфонил)-1,2,3,4-тетрагидро-нафталин-1-илметил]-амида; (R)-2-{[6-(3-Фтор-бензолсульфонил)-1,2,3,4-тетрагидро-нафталин-1-илметил]-метиламино}-ацетамида; (R)-N-[6-(3-Фтор-бензолсульфонил)-1,2,3,4-тетрагидро-нафталин-1-илметил]-метансульфонамида; (R)-3-[6-(3-Фтор-бензолсульфонил)-1,2,3,4-тетрагидро-нафталин-1-илметил]-1,1-диметил-мочевины; (R)-N-[6-(3-Фтор-бензолсульфонил)-1,2,3,4-тетрагидро-нафталин-1-илметил]-ацетамида; (R)-1-[6-(3-Фтор-бензолсульфонил)-1,2,3,4-тетрагидро-нафталин-1-илметил]-1-метил-мочевины; (R)-[6-(3-Фтор-бензолсульфонил)-1,2,3,4-тетрагидро-нафталин-1-илметил]-карбаминовой кислоты метилового эфира; (R)-Метил-[6-(1-метил-lH-пиррол-3-сульфонил)-1,2,3,4-тетрагидро-нафталин-1-илметил]-амина; (R)-3-(5-Аминометил-5,6,7,8-тетрагидро-нафталин-2-сульфонил)-фенола; (R)-N-[6-(3-Фтор-бензолсульфонил)-1,2,3,4-тетрагидро-нафталин-1-илметил]-2-гидрокси-ацетамида; (R)-N-[6-(3-Фтор-бензолсульфонил)-1,2,3,4-тетрагидро-нафталин-1-илметил]-N-метил-ацетамида; 6-Бензолсульфонил-1,2,3,4-тетрагидро-нафталин-1-карбоновой кислоты амида; (R)-6-Бензолсульфонил-1,2,3,4-тетрагидро-нафталин-1-карбоновой кислоты амида и (R)-2-{[6-(3-Фтор-бензолсульфонил)-1,2,3,4-тетрагидро-нафталин-1-илметил]-амино}-этанола.
26. Фармацевтическая композиция, обладающая активностью селективного антагониста 5-НТ6 и/или 5-НТ2А, содержащая эффективное количество соединения по п.1 в смеси с фармацевтически приемлемым носителем.
27. Применение соединения формулы 1 по любому из пп.1-25 в изготовлении лекарства, полезного для лечения болезненного состояния центральной нервной системы, выбранного из психозов, шизофрении, маниакальных депрессий, неврологических расстройств, нарушений памяти, синдрома дефицита внимания, болезни Паркинсона, бокового амиотрофического склероза, болезни Альцгеймера, нарушений питания и болезни Хантингтона.
РИСУНКИ
|
|