Патент на изобретение №2168328
|
||||||||||||||||||||||||||
(54) КОМПОЗИЦИЯ ДЛЯ ОКРАШИВАНИЯ КЕРАТИНОВЫХ ВОЛОКОН, СПОСОБ ИХ ОКРАШИВАНИЯ, УПАКОВКА НАБОРА ДЛЯ ОКРАШИВАНИЯ КЕРАТИНОВЫХ ВОЛОКОН
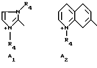
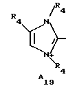
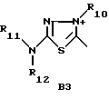
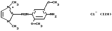
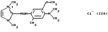
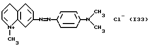
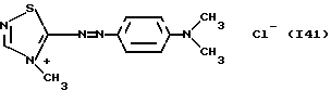
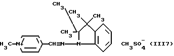
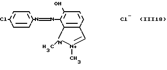
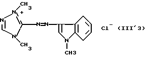
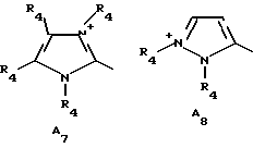
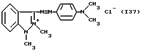
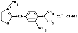
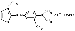
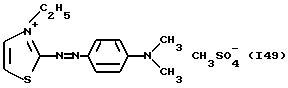
(57) Реферат: Изобретением является композиция для окрашивания кератиновых волокон, в частности волос, содержащая в подходящей для окрашивания среде один прямой катионный краситель и один прямой бензольный нитрокраситель, а также способ их окрашивания с использованием этой композиции и упаковка набора для окрашивания кератиновых волокон. Изобретение позволяет получить интенсивные окраски с низкой избирательностью и высокой стойкостью к атмосферным факторам, к мытью и перманентной обработке. 3 с. и 26 з.п. ф-лы, 1 табл. Предметом изобретения является композиция для окрашивания кератиновых волокон и, в частности кератиновых волокон человека, таких как волосы, содержащая в подходящей для окрашивания среде по меньшей мере один соответствующим образом подобранный прямой катионный краситель и по меньшей мере один прямой бензольный нитрокраситель, а также способ окрашивания с использованием этой композиции. Известно окрашивание кератиновых волос и, в частности, человеческих волос красящими композициями, содержащими прямые красители и, в частности, бензольные прямые нитрокрасители. Однако прямые красители обладают тем недостатком, что когда они вводятся в красящие композиции, то дают окраски, имеющие недостаточную стойкость, в частности, по отношению к шампуням. Заявителю удалось открыть, что возможно получить новые красящие составы, способные давать интенсивные окраски с низкой избирательностью и высокой стойкостью по отношению к различным агрессивным воздействиям, которым могут подвергаться волосы, используя в сочетании по меньшей мере один соответствующим образом подобранный прямой катионный краситель и по меньшей мере один бензольный нитрокраситель. Это открытие лежит в основе настоящего изобретения. Первым предметом изобретения является таким образом готовая к применению композиция для окрашивания кератиновых волокон и, в частности, кератиновых волокон человека, таких как волосы, отличающаяся тем, что она содержит в подходящей для окрашивания среде: – по меньше мере один прямой катионный краситель, выбранный из: а) соединений следующей формулы (I): ![]() в которой D представляет собой атом азота или группу -CH, R1 и R2, одинаковые или разные, представляют собой атом водорода; алкил C1-C4, который может быть замещен группой -CN, -OH или NH2; или образуют с атомом углерода бензольного цикла гетероцикл, содержащий в некоторых случаях кислород или азот, который может быть замещен одним или несколькими алкилами C1-C4; 4′-аминофенил, R3 и R’3, одинаковые или разные, представляют собой атом водорода или галогена, выбранного из хлора, брома, иода и фтора, циано, алкокси C1-C4 или ацетилокси, X– представляет собой анион, предпочтительно выбранный из хлорида, метилсульфата и ацетата, А представляет собой группу, выбранную из следующих структур A1-A19: ![]() ![]() ![]() ![]() ![]() ![]() ![]() ![]() ![]() ![]() в которых R4 представляет собой алкил C1-C4, который может быть замещен гидроксильной группой, а R5 представляет собой алкокси C1-C4, при условии, что, когда D представляет собой -CH, A представляет собой A4 или A13, а R3 не является алкокси, тогда R1 и R2 не обозначают одновременно атом водорода; б) соединении следующей формулы (II): ![]() в которой R6 представляет собой атом водорода или алкил C1-C4, R7 представляет собой атом водорода, алкил, который может быть замещен группой -CN или аминогруппой, 4′-аминофенил или образует с R6 гетероцикл, в некоторых случаях кислород и/или азотсодержащий, который может быть замещен алкилом C1-C4, R8 и R9, одинаковые или разные, представляют собой атом водорода, атом галогена, такого как бром, хлор, иод или фтор, алкил C1-C4 или алкокси C1-C4, группу -CN, X– представляет собой анион, предпочтительно выбранный из хлорида, метилсульфата и ацетата. В представляет собой группу, выбранную из следующих структур B1-B6: ![]() ![]() ![]() ![]() в которых R10 представляет собой алкил C1-C4, R11 и R12, одинаковые или разные, представляют собой атом водорода или алкил C1-C4; в) соединений следующих формул (III) и (III’): ![]() ![]() в которых R13 представляет собой атом водорода, алкокси C1-C4 атом галогена, такого как бром, хлор, иод или фтор, или аминогруппу, R14 представляет собой атом водорода, алкил C1– C4 или образует с атомом углерода бензольного цикла гетероцикл, содержащий в некоторых случаях кислород и/или замещенный одним или несколькими алкилами C1-C4, R15 представляет собой атом водорода или галогена, такого как бром, хлор, иод или фтор, R16 и R17, одинаковые или разные, представляют собой атом водорода или алкил C1-C4, D1 и D2, одинаковые или разные, представляют собой атом азота или группу -CH; m = 0 или 1, при условии, что когда R13 представляет собой незамещенную аминогруппу, тогда D1 и D2 представляют собой одновременно группу -CH, a m = 0, X– представляет собой анион, предпочтительно выбранный из хлорида, метилсульфата и ацетата, E представляет собой группу, выбранную из следующих структур E1-E8: ![]() ![]() ![]() ![]() в которых R’ представляет собой алкил C1-C4; когда m = 0, a D1 представляет собой атом азота, тогда E может также обозначать следующую структуру E9: ![]() в которой R’ обозначает алкил и C1-C4, – и по меньшей мере один прямой бензольный нитрокраситель. Готовая к применению красящая композиция по изобретению позволяет получить интенсивные ароматические окраски с низкой избирательностью и высокой стойкостью одновременно по отношению к атмосферным факторам, таким как свет и непогода, и по отношению к выделению пота и различным обрабатывающим операциям, которым могут подвергаться волосы (мытье, перманентная деформация). Предметом изобретения является также способ окрашивания кератиновых волокон с использованием этой готовой к применению красящей композиции. Прямые катионные красители формул (I), (II), (III) и (III’), которые могут использоваться в готовых к применению красящих композициях по изобретению, являются известными соединениями и списаны, например, в заявках на патенты WO 95/01772, WO 95/15144 и EP-A-0714954. Среди прямых катионных красителей формулы (I), которые могут использоваться в готовых к применению красящих композициях по изобретению, можно, в частности, привести соединения, отвечающие следующим структурам (I1) – (I52): ![]() ![]() ![]() ![]() ![]() ![]() ![]() ![]() ![]() ![]() ![]() ![]() ![]() ![]() ![]() ![]() ![]() ![]() ![]() ![]() ![]() ![]() ![]() ![]() ![]() ![]() ![]() ![]() ![]() ![]() ![]() ![]() ![]() ![]() ![]() ![]() ![]() ![]() ![]() ![]() ![]() ![]() ![]() ![]() ![]() ![]() ![]() ![]() ![]() ![]() ![]() ![]() Среди описанных выше структур (I1)-(I52) особое предпочтение отдается соединениям, отвечающим структурам (I1), (I2), (I14) и (I31). Среди прямых катионных красителей формулы (II), которые могут использоваться в готовых к применению красящих композициях по изобретению, можно, в частности, привести соединения, отвечающие следующим структурам (II1) – (II12): ![]() ![]() ![]() ![]() ![]() ![]() ![]() ![]() ![]() ![]() ![]() ![]() Среди прямых катионных красителей формулы (III), которые могут использоваться в готовых к применению красящих композициях по изобретению, можно, в частности, привести соединения, отвечающие следующим структурам (III1) (III18): ![]() ![]() ![]() ![]() ![]() ![]() ![]() ![]() ![]() ![]() ![]() ![]() ![]() ![]() ![]() ![]() ![]() ![]() Среди особых описанных выше структур (III1) – (III18) особое предпочтение отдают соединениям, отвечающим структурам (III4), (III5) и (III13). Среди прямых катионных красителей формулы (III’), которые могут использоваться в готовой к применению красящей композиции по изобретению, можно, в частности, привести соединения, отвечающие следующим структурам (Ill’1) (III’3): ![]() ![]() ![]() Прямой катионный краситель или красители, используемые по изобретению, составляют предпочтительно около 0,001 – 10 весовых% от общего веса готовой к применению красящей композиции и еще более предпочтительно около 0,05 – 5 весовых% от этого веса. Прямой бензольный нитрокраситель или красители, которые могут использоваться в готовой к применению красящей композиции по изобретению предпочтительно выбирают среди соединений следующей формулы (IV): ![]() в которой R18 представляет собой аминогруппу; аминогруппу, монозамещенную или дизамещенную алкилом C1-C4 моногидроксиалкилом C1-C4, полигидроксиалкилом C2-C4, аминоалкилом C1-C4, моноалкил (C1-C4)аминоалкилом C1-C4, диалкил (C1-C4)аминоалкилом C1-C4, уреидоалкилом C1-C4, арилом, арилом, арильный цикл которого замещен одним или несколькими гидроксильной, карбоксильной, амино- или диалкил (C1-C4) аминогруппами, – R19 представляет собой атом водорода; аминогруппу; гидроксильную группу; алкил C1-C4; алкокси C1-C4; моногидроксиалкил C1-C4; полигидроксиалкил C2-C4; моногидроксиалкокси C1-C4; полигидроксиалкокси C2-C4; аминоалкокси C1-C4; аминогруппу, монозамещенную или дизамещенную алкилом C1-C4, моногидроксиалкилом C1-C4, полигидроксиалкилом C2-C4, аминоалкилом C1-C4, моноалкил (C1-C4) аминоалкилом C1-C4, диалкил (C1-C4) аминоалкилом C1-C4, уреидоалкилом C1-C4, арилом, арилом, арильный цикл которого замещен одной или несколькими гидроксильной, карбоксильной, амино или диалкил (C1-C4) аминогруппами, – R20 представляет собой атом водорода или галогена, алкил C1-C4 или нитрогруппу. Среди бензольных нитрокрасителей указанной выше формулы (IV) можно, в частности, привести: -2-амино-4-метил-5-N-( -гидроксиэтил) аминонитробензол,-4-N-( -уреидоэтил)аминонитробензол,-4-(N-этил-N- -гидроксиэтил)амино-1-N-( -гидроксиэтил) аминонитробензол,-2-N-( -гидроксиэтил)амино-5-метилнитробензол,-5-хлор-3-N-(этил)амино-4-гидроксинитробензол, – 5-амино-3-хлор-4-гидроксинитробензол, -2-N-( -гидроксипропил)амино-5-N, N-бис-( -гидроксиэтил) аминонитробензол,-5-гидрокси-2-N-( -гидроксипропил)аминонитробензол,-1,3-бис-( -гидроксиэтил)амино-4-хлор-6-нитробензол,-2,4-диаминонитробензол, -3,4-диаминонитробензол, -2,5-диаминонитробензол, -3-амино-4-гидроксинитробензол, -4-амино-3-гидроксинитробензол, -5-амино-2-гидроксинитробензол, -2-амино-5-гидроксинитробензол, -4-амино-3-гидроксинитробензол, -5-амино-2-гидроксинитробензол, -2-амино-3-гидроксинитробензол, -2-амино-5-N-( -гидроксиэтил)аминонитробензол,-2-амино-5-N,N-бис-( -гидроксиэтил)аминонитробензол),-2,5-N,N’-( -гидроксиэтил)аминонитробензол,-2-N-( -гидроксиэтил)амино-5-N,N-бис-( -гидроксиэтил)-аминонитробензол,-2-амино-5-N-(метил)аминонитробензол, -2-N-(метил)aмино-5-N,N-бис-( -гидроксиэтил) аминонитробензол,-2-N-(метил)амино-5-(N-метил N-( -гидроксиэтил)аминонитробензол,-2,5-N,N’-( -гидроксиэтил)аминонитробензол,2-N-( -гидроксиэтил)амино-5-гидроксинитробензол,-3-метокси-4-N-( -гидроксиэтил)аминонитробензол,-2-N-(метил)амино-4- -гидроксиэтилоксинитробензол,-2-амино-3-метилнитробензол, -2-N-( -гидроксиэтил)амино-5-аминонитробензол,-2-амино-4-хлор 5-N-( -гидроксиэтил)аминонитробензол,-2-амино-4-метил 5-N-( -гидроксиэтил)аминонитробензол,-2-амино-4-метил 5-N-(метил)аминонитробензол, 2-N-( -гидроксиэтил)амино-5-метоксинитробензол,-2-амино-5- -гидроксиэтилоксинитробензол,-2-N-( -гидроксиэтил)аминонитробензол,-3-aминo-4-N-( -гидроксиэтил)аминонитробензол,-3- -гидроксиэтилокси-4-N-( -гидроксиэтил)аминонитробензол,-2-N-(метил)амино-4- , -дигидроксипропилоксинитробензол,-2-N-( -гидроксиэтил)амино-5- -гидроксиэтилоксинитробензол,-2-N-( -гидроксиэтил)амино-5- , – дигидроксипропилоксинитробензол,-2-гидрокси-4-N-( -гидроксиэтил)аминонитробензол,-2-N-(метил)амино-4-метил-5-аминонитробензол, -2-амино-4-изопропил-5-N-(метил)аминонитробензол, -2-N-(метил)амино-5-(N-метил, N- , -дигидроксипропил) аминонитробензол,-3-N-( -гидроксиэтил) aмино-4-N-( -гидроксиэтил)аминонитробензол,-2-амино-4-метил-5-N-( , -дигидроксипропил)аминонитробензол,-2-амино-4-метил-5-гидроксинитробензол, -2-N-( -гидроксиэтил)aмино-4-N-( -гидроксиэтил)аминонитробензол,-2-амино-5-N-( -аминоэтил)аминонитробензол,-2-N-( -аминоэтил)амино-5-метоксинитробензол,-2-N-(метил)aмино-5-N-( -аминоэтил)аминонитробензол,-2-N-( -aминоэтил)aмино-4-N,N-(диметил)аминонитробензол,-3-амино-4-N-( -аминоэтил)аминонитробензол,-2-aминo-4-метил-5-N-( -аминоэтил)аминонитробензол,-2-N-( -аминоэтил)aмино-5-N,N-бис-( – гидроксиэтиламинонитробензол,-3- -аминоэтилокси-4-аминонитробензол,-2-N-(метил)амино-5-(N- -амино-н-бутил)аминонитробензол,-2-N-( -амино-н-пропил)амино 5-N,N-(диметил)аминонитробензол,-3-метокси-4-N-( -аминоэтил)аминонитробензол,-2-N-( -аминоэтил)амино-5-аминонитробензол,-2-aмино-4-хлоp-5-N-( -аминоэтил) аминонитробензол,-2-N-( -аминоэтил) амино-4-метоксинитробензол,-2-N-( -аминоэтил) аминонитробензол,-2-N-( -аминоэтил)амино-5-N-( -аминоэтил)аминонитробензол,-2-N-( -аминоэтил)амино-4- -гидроксиэтилоксинитробензол,-3- -гидроксиэтилокси-4-N-( -аминоэтил)аминонитробензол,-2-амино-5-аминоэтилоксинитробензол, 3-гидрокси-4-N-( -аминоэтил) аминонитробензол,-2-N-( -аминоэтил)амино-5- -гидроксиэтилоксинитробензол,-2-N-( -аминоэтил)амино-4-гидроксинитробензол,-[гидрокси-2-N-(гидроксиэтил)aмино-3-нитро-6] бензилокси] -2 этиламин и [гидрокси-2 N-( -гидроксипропил)амино-3-нитро-6] бензилокси]-2 этиламин.
Среди бензольных нитрокрасителей указанной выше формулы (IV) особое предпочтение отдают:-2-амино-4-метил 5-N-( -гидроксиэтил)аминонитробензолу,-4-N-( -уреидоэтил) аминонитробензолу,-4-(N-этил-N- -гидроксиэтил)амино-1-N-( – гидроксиэтил)аминонитробензолу,-2-N-( -гидроксиэтил)амино-5-метилнитробензолу,-5-хлор-3-N-(этил)амино-4-гидроксинитробензолу, -5-амино-3-хлор-4-гидроксинитробензолу, -2-N-( -гидроксипропил)амино-5-N,N-бис-( -гидроксиэтил) аминонитробензолу,-5-гидрокси-2-N-( -гидроксипропил)аминонитробензолу,-1,3-бис-( -гидроксиэтил) амино-4-хлор-6-нитробензолу,-3,4-диаминонитробензолу, -2-амино-5-гидроксинитробензолу, -2- амино-3-гидроксинитробензолу, -2-амино-5-N-( -гидроксиэтил)аминонитробензолу,-2-амино-5-N,N-бис-( -гидроксиэтил) аминонитробензолу,-2-N-( -гидроксиэтил)aмино-5-N,N-бис-( -гидроксиэтил) аминонитробензолу,-2-N-( -гидроксиэтил)амино-5-гидроксинитробензолу,-2-N-( -гидроксиэтил) амино-5-аминонитробензолу,-2-N-( -аминоэтил) амино-4-метоксинитробензолу и-2-N-( -аминоэтил)амино-5- -гидроксиэтилоксинитробензолу.
Бензольный нитрокраситель или красители составляют предпочтительно около 0,0005 – 15 весовых% от общего веса готовой к применению красящей композиции по изобретению и еще более предпочтительно около 0,005 – 10 весовых% от этого веса.
Готовая к применению красящая композиция по изобретению может, кроме того, содержать одно или несколько окисляемых оснований и/или одно или несколько краскообразующих веществ. Эти окисляемые основания могут, в частности, быть выбраны из парафенилендиаминов, парааминофенолов, ортофенилендиаминов и гетероциклических оснований, таких как, например, пиридиновые производные, пиримидиновые производные, пиразольные производные и пиразолопиримидиновые производные. Краскообразующие вещества могут быть, в частности, выбраны среди метафенилендиаминов, метааминофенолов, метадифенолов, гетероциклических краскообразующих веществ, таких как, например, индоловые производные, индолиновые производные, производные бензимидазола, производные бензоморфолина, производные сезамола, пиридиновые, пиримидиновые и пиразольные производные и их аддитивные соли с кислотой.
Окисляемое основание или основания, когда они присутствуют, составляют предпочтительно около 0,0005 – 12 весовых% от общего веса красящей композиции по изобретению и еще более предпочтительно около 0,005 – 8 весовых% от этого веса.
Краскообразующее вещество или вещества, когда они присутствуют, составляют предпочтительно около 0,0001 – 10 весовых% от общего веса готовой к применению красящей композиции и еще более предпочтительно около 0,005 – 5 весовых% от этого веса.
Как правило, аддитивные соли с кислотой, которые могут использоваться в рамках красящих композиции по, изобретению (окисляемые основания и краскообразующие вещества), выбирают, в частности, среди хлоргидратов, бромгидратов, сульфатов, тартратов, лактатов и ацетатов.
В случае использования одного или нескольких окисляемых оснований и одного или нескольких краскообразующих веществ, готовая к применению красящая композиция может, кроме того, содержать по меньшей мере один окислитель, выбранный среди перекиси водорода, перекиси мочевины, броматов щелочных металлов, персолей, таких как пербораты и персульфаты, и ферментов, таких как пероксидазы к оксидоредуктазы с двумя электронами.
Среди оксидоредуктаз с 2 электронами, которые могут быть использованы в качестве окислителя в готовой к применению красящей композиции по изобретению, можно, в частности, привести пиранозоксидазы, глюкозоксидазы, глицериноксидазы, лактатоксидазы, пируватоксидазы и уриказы.
По изобретению, особенно предпочтительным является использование уриказ животного, микробиологического или биотехнологического происхождения.
В качестве примера можно, в частности, привести уриказу из печени кабана, уриказу Arthrobacter globiformis, а также уриказу Aspergillus flavus.
Оксидоредуктаза или оксиредуктазы с 2 электронами могут использоваться в чистом кристаллическом виде или с разбавленными в разбавителе, инертном для указанной оксиредуктазы с 2 электронами.
В случае их использования, оксидоредуктаза или оксиредуктазы с 2 электронами составляют предпочтительно около 0,01 – 20 весовых% от общего веса готовой к применению красящей композиции и еще более предпочтительно около 0,1 – 5 весовых% от этого веса.
При использовании по изобретению фермента типа оксидоредуктазы с 2 электронами, готовая к применению красящая композиция может содержать, кроме того, один или несколько доноров для указанного фермента.
По изобретению, под донором подразумевают различные субстраты, участвующие в действии названной оксидоредуктазы или оксидоредуктазы с 2 электронами.
Тип используемого донора (или субстрата) зависит от типа используемой оксидоредуктазы с 2 электронами. Например, в качестве донора для пиранозоксидаз можно привести D-глюкозу, L-сорбозу и D-ксилозу; в качестве донора для глюкозоксидаз можно привести D-глюкозу, в качестве донора для глицериноксидаз можно привести глицерин и дигидроксиацетон; в качестве донора для лактатоксидаз можно привести молочную кислоту и ее соли; в качестве донора для пируватоксидаз можно привести пировиноградную кислоту и ее соли; и наконец, в качестве донора для уриказ можно привести мочевую кислоту и ее соли.
В случае их использования, донор или доноры (или субстраты) составляют предпочтительно около 0,01 – 20 весовых % от общего веса готовой к применению красящей композиции по изобретению и еще более предпочтительно около 0,1 – 5 весовых% от этого веса.
Подходящие для окрашивания среда (основа) готовой к применению красящей композиции по изобретению обычно образована водой или смесью воды и по меньшей мере одного органического растворителя для растворения соединений, которые недостаточно растворимы в воде. В качестве органического растворителя можно, например, привести алканолы C1-C4, такие как этанол и изопропанол, а также ароматические спирты, такие как бензиловый спирт или феноксиэтанол, аналогичные соединения и их смеси.
pH готовой к применению композиции по изобретению обычно составляет около 5-11 и предпочтительно около 6,5 – 10. Он может регулироваться до требуемого значения посредством подкисляющих и подщелачивающих агентов, обычно используемых при окрашивании кератиновых волокон.
Среди подкисляющих агентов можно привести в качестве примера неорганические и органические кислоты, такие как соляная кислота, ортофосфорная кислота, серная кислота, карбоновые кислоты, такие как уксусная кислота, винная кислота, лимонная кислота, молочная кислота, сульфоновые кислоты.
Среди подщелачивающих агентов можно привести в качестве примера аммиак, карбонаты щелочных металлов, алканоламины, такие как моно-, ди- и триэтаноламины, 2-метил-2-амино-1-пропанол, а также их производные, гидроксиды натрия или калия и соединения следующей формулы (V):![]() в которой W является пропиленовым остатком, при необходимости замещенным гидроксильной группой или алкилом 1-C4; R21, R22, R23 и R24, одинаковые или разные, представляют собой атом водорода, алкил C1-C4 или гидроксиалкил C1-C4. Готовая к применению красящая композиция по изобретению может также содержать различные добавки, традиционно используемые в композициях для окрашивания волос, такие как, например, антиоксилаты, катализаторы окрашивания, комплексообразователи, отдушки, буферы, диспергаторы, пленкообразователи, консерванты, матирующие вещества. Естественно, специалист должен выбирать это или эти дополнительные соединения таким образом, чтобы присущие готовой к применению красящей композиции по изобретению свойства не были бы ухудшены или существенно ухудшены предусматриваемой добавкой или добавками. Готовая к применению красящая композиция по изобретению может быть представлена в различных формах, таких как жидкости, кремы, гели, при необходимости герметизированные, или в любой другой форме, подходящей для осуществления окрашивания кератиновых волокон и, в частности, человеческих волос. Если готовая красящая композиция по изобретению содержит по меньшей мере одно окисляемое основание и/или по меньшей мере одно краскообразующее вещество и по меньшей мере один окислитель, она не должна содержать газообразный кислород во избежание преждевременного окисления окислительного красителя или красителей. Предметом изобретения является также способ окрашивания кератиновых волокон и, в частности, кератиновых волокон человека, таких как волосы, с использованием готовой к применение красящей композиции, такой как описанная выше. Согласно этому способу, на волокна наносят по меньшей мере одну готовую к применению красящую композицию, такую как описанная выше, на время, достаточное для проявления требуемой окраски после чего волокна ополаскивают, при необходимости промывают с шампунем, вновь ополаскивают и сушат. Время, необходимое для проявления окраски на кератиновых волокнах, обычно составляет от 3 до 60 минут, точнее от 5 до 40 минут. По особому способу осуществления изобретения, когда красящая композиция по изобретению содержит по меньшей мере одно окисляемое основание и/или по меньшей мере одно краскообразующее вещество, способ включает предварительную стадию, заключающуюся в раздельном хранении, с одной стороны, композиции (А), содержащей в подходящей для окрашивания среде по меньшей мере один прямой катионный краситель, такой как описанный выше, по меньшей мере один прямой бензольный нитрокраситель и по меньшей мере одно окисляемое основание и/или по меньшей мере одно краскообразующее вещество, а с другой стороны, композицию (Б), содержащую в подходящей для окрашивания среде по меньшей мере один окислитель, затем в их смешивании в момент применения перед нанесением этой смеси на кератиновые волокна. Другим предметом изобретения является, устройство с несколькими отделениями или “набор” для окрашивания или любая другая система упаковки с несколькими отделениями, из которых первое отделение содержит композицию (А), такую как описанная выше, а второе отделение содержит композицию (Б), такую как описанная выше. Эти устройства могут быть снабжены средством, позволяющим наносить на волосы требуемую смесь, таким как средства, описанные в патенте Франции 2586913, выданном на имя заявителя. Приводимые ниже примеры предназначены для иллюстрации изобретения без ограничения его объема. ПРИМЕРЫ ПРИМЕРЫ ОКРАШИВАНИЯ 1 И 2 Получали готовые к применению красящие композиции (содержание в граммах), представленные в таблице. Общая основа краски: Этанол – 20,0 Оксиэтиленнонилфенол с 9 моль этиленоксида, выпускаемый под названием IGEPAL NR 9 OR фирмой RHODIA CHIMIE – 8,0 2-Амино-2-метил-1-пропанол достаточное количество – pH 7,5 Каждая из описанных выше готовых к применению красящих композиций наносилась на пряди натуральных седых волос с 90% седины на 30 минут. После этого волосы ополаскивали, промывали с обычным шампунем, затем сушили. Волосы окрашивались в следующие тона. ПРИМЕР – Получаемый тон 1 – Медный 2 – Красного деревак Формула изобретения
по меньшей мере один прямой катионный краситель, выбранный из: а) соединений следующей формулы I ![]() где D представляет собой атом азота или группу -СН; R1 и R2 одинаковые или разные, представляют собой атом водорода; алкил C1-C4, который может быть замещен группой -CN, -ОН или NH2; или образуют с атомом углерода бензольного цикла гетероцикл, содержащий в некоторых случаях кислород или азот, который может быть замещен одним или несколькими алкилами C1-C4; 4′-аминофенил; R3 и R’3 одинаковые или разные, представляют собой атом водорода или галогена, выбранного из хлора, брома, иода и фтора, циано, алкокси C1-C4 или ацетилокси; X– представляет собой анион, предпочтительно выбранный из хлорида, метилсульфата и ацетата; А представляет собой группу, выбранную из следующих структур A1-A19: ![]() ![]() ![]() ![]() ![]() ![]() ![]() ![]() ![]() ![]() где R4 представляет собой алкил C1-C4, который может быть замещен гидроксильной группой; R5 представляет собой алкокси C1-C4, при условии, что, когда D представляет собой -CН, А представляет собой А4 или A13, а R3 не является алкокси, тогда R1 и R2 не обозначают одновременно атом водорода; б) соединений следующей формулы II ![]() где R6 представляет собой атом водорода или алкил C1-C4; R7 представляет собой атом водорода, алкил, который может быть замещен группой -CN или аминогруппой, 4′-аминофенил или образует с R6 гетероцикл, в некоторых случаях кислород и/или азотсодержащий, который может быть замещен алкилом C1-C4; R8 и R9, одинаковые или разные, представляют собой атом водорода, атом галогена, такого как бром, хлор, иод или фтор, алкил C1-C4 или алкокси C1-C4, группу -CN; X– представляет собой анион, предпочтительно выбранный из хлорида, метилсульфата и ацетата; В представляет собой группу, выбранную из следующих структур B1-В6: ![]() ![]() ![]() ![]() где R10 представляет собой алкил C1-C4, R11 и R12, одинаковые или разные, представляют собой атом водорода или алкил C1-C4; в) соединений следующих формул III и III’ ![]() ![]() где R13 представляет собой атом водорода, алкокси C1-C4, атом галогена, такого как бром, хлор, иод или фтор, или аминогруппу; R14 представляет собой атом водорода, алкил C1-C4 или образует с атомом углерода бензольного цикла гетероцикл, содержащий в некоторых случаях кислород и/или замещенный одним или несколькими алкилами C1-C4; R15 представляет собой атом водорода или галогена, такого как бром, хлор, иод или фтор; R16 и R17, одинаковые или разные, представляют собой атом водорода или алкил C1-C4; D1 и D2, одинаковые или разные, представляют собой атом азота или группу -CН; m = 0 или 1, при условии, что когда R13 представляет собой незамещенную аминогруппу, тогда D1 и D2 представляют собой одновременно группу -СН, а m = 0, X– представляет собой анион, предпочтительно выбранный из хлорида, метилсульфата и ацетата; Е представляет собой группу, выбранную из следующих структур E1-E8: ![]() ![]() ![]() ![]() где R’ представляет собой алкил C1-C4; когда m = 0, a D1 представляет собой атом азота, тогда Е может также обозначать следующую структуру E9: ![]() где R’ обозначает алкил или C1-C4, и по меньшей мере один прямой бензольный нитрокраситель. 2. Композиция по п.1, отличающаяся тем, что прямые катионные красители формулы I выбирают среди соединений, отвечающих следующим структурам (I1) – (I52): ![]() ![]() ![]() ![]() ![]() ![]() ![]() ![]() ![]() ![]() ![]() ![]() ![]() ![]() ![]() ![]() ![]() ![]() ![]() ![]() ![]() ![]() ![]() ![]() ![]() ![]() ![]() ![]() ![]() ![]() ![]() ![]() ![]() ![]() ![]() ![]() ![]() ![]() ![]() ![]() ![]() ![]() ![]() ![]() ![]() ![]() ![]() ![]() ![]() ![]() ![]() ![]() 3. Композиция по п.1, отличающаяся тем, что прямые катионные красители формулы II выбраны среди соединений, отвечающих следующим структурам (II1) – (II12): ![]() ![]() ![]() ![]() ![]() ![]() ![]() ![]() ![]() ![]() ![]() ![]() 4. Композиция по п.1, отличающаяся тем, что прямые катионные красители формулы III выбирают среди соединений, отвечающих следующим структурам (III1) – (III18): ![]() ![]() ![]() ![]() ![]() ![]() ![]() ![]() ![]() ![]() ![]() ![]() ![]() ![]() ![]() ![]() ![]() ![]() 5. Композиция по п.1, отличающаяся тем, что прямые катионные красители формулы III’ выбирают среди соединений, отвечающих следующим структурам (III’1) – (III’3): ![]() ![]() ![]() 6. Композиция по одному из пп.1 – 5, отличающаяся тем, что прямой катионный краситель или красители, используемые по изобретению, составляют предпочтительно около 0,001-10 вес.% от общего веса красящей композиции. 7. Композиция по п.6, отличающаяся тем, что прямой катионный краситель или красители составляют 0,05-5 вес.% от общего веса красящей композиции. 8. Композиция по п.1, отличающаяся тем, что прямой бензольный нитрокраситель или красители выбирают среди соединений следующей формулы IV ![]() где R18 представляет собой аминогруппу; аминогруппу, монозамещенную или дизамещенную алкилом C1-C4, моногидроксиалкилом C1-C4, полигидроксиалкилом C2-C4, аминоалкилом C1-C4, моноалкил (C1-C4) аминоалкилом C1-C4, диалкил (C1-C4) аминоалкилом C1-C4, уреидоалкилом C1-C4, арилом, арилом, арильный цикл которого замещен одним или несколькими гидроксильной, карбоксильной, амино- или диалкил (C1-C4) аминогруппами; R19 представляет собой атом водорода; аминогруппу; гидроксильную группу; алкил C1-C4; алкокси C1-C4; моногидроксиалкил C1-C4; полигидроксиалкил C2-C4; моногидроксиалкокси C1-C4; полигидроксиалкокси C2-C4; аминоалкокси C1-C4; аминогруппу, монозамещенную или дизамещенную алкилом C1-C4, моногидроксиалкилом C1-C4, полигидроксиалкилом C2-C4, аминоалкилом C1-C4, моноалкил (C1-C4) аминоалкилом C1-C4, диалкил (C1-C4) аминоалкилом C1-C4, уреидоалкилом C1-C4, арилом, арилом, арильный цикл которого замещен одной или несколькими гидроксильной, карбоксильной, амино или диалкил (C1-C4) аминогруппами; R20 представляет собой атом водорода или галогена, алкил C1-C4 или нитрогруппу. 9. Композиция по п.8, отличающаяся тем, что бензольные нитрокрасители формулы IV выбирают среди: 2-амино-4-метил-5-N-( -гидроксиэтил)аминонитробензола,4-N-( -уреидоэтил)аминонитробензола,4-(N-этил N- -гидроксиэтил)амино-1-N-( -гидроксиэтил)аминонитробензола,2-N-( -гидроксиэтил)амино-5-метилнитробензола,5-хлор-3-N-(этил)амино-4-гидроксинитробензола, 5-aминo-3-xлop-4-гидpoкcинитpoбeнзoла, 2-N-( -гидpoкcипpoпил)амино-5-N,N-бис-( -гидроксиэтил)аминонитробензола,5-гидрокси-2-N-( -гидроксипропил)аминонитробензолa,1,3-бис( -гидроксиэтил)амино-4-хлор-6-нитробензола,2,4-диаминонитробензола, 3,4-диаминонитробензола, 2,5-диаминонитробензола, 3-амино-4-гидроксинитробензола, 4-амино-3-гидроксинитробензола, 5-амино-2-гидроксинитробензола, 2-амино-5-гидроксинитробензола, 4-амино-3-гидроксинитробензола, 5-амино-2-гидроксинитробензола, 2-амино-3-гидроксинитробензола, 2-aмино-5-N-( -гидроксиэтил)аминонитробензола,2-aмино-5-N,N-бис-( -гидроксиэтил)аминонитробензола,2,5-N,N’-( -гидроксиэтил)аминонитробензола,2-N-( -гидроксиэтил)амино-5-N,N-бис-( -гидроксиэтил)-аминонитробензола,2-амино-5-N-(метил)аминонитробензола, 2-N-(метил)амино-5-N,N-бис-( -гидроксиэтил)аминонитробензола,2-N-(метил)амино-5-(N-метил N- -гидроксиэтил)аминонитробензола,2,5-N,N’-( -гидроксиэтил)аминонитробензола,2-N-( -гидроксиэтил)амино-5-гидроксинитробензола,3-метокси-4-N-( -гидроксиэтил)аминонитробензола,2-N-(метил)амино-4- -гидроксиэтилоксинитробензола,2-амино-3-метилнитробензола, 2-N-( -гидроксиэтил)амино-5-аминонитробензола,2-амино-4-хлор 5-N-( -гидроксиэтил)аминонитробензола,2-амино-4-метил 5-N-( -гидроксиэтил)аминонитробензола,2-амино-4-метил 5-N-(метил)аминонитробензола, 2-N-( -гидроксиэтил)амино-5-метоксинитробензола,2-амино-5- -гидроксиэтилоксинитробензола,2-N-( -гидроксиэтил)аминонитробензола,3-амино-4-N-( -гидроксиэтил)аминонитробензола,3- -гидроксиэтилокси-4-N-( -гидроксиэтил)аминонитробензола,2-N-(метил)амино-4- , -дигидроксипропилоксинитробензола,2-N-( -гидpoкcиэтил)амино-5- -гидроксиэтилоксинитробензола,2-N-( -гидроксиэтил)амино-5- , -дигидроксипропилоксинитробензола,2-гидрокси-4-N-( -гидроксиэтил)аминонитробензола,2-N-(метил)амино-4-метил-5-аминонитробензола, 2-амино-4-изопропил-5-N-(метил)аминонитробензола, 2-N-(метил)амино-5-(N-метил, N- , -дигидроксипропил)аминонитробензола,3-N-( -гидроксиэтил)aмино-4-N-( -гидроксиэтил)аминонитробензола,2-амино-4-метил-5-N-( , -дигидроксипропил)аминонитробензола,2-амино-4-метил-5-гидроксинитробензола, 2-N-( -гидроксиэтил)амино-4-N-( -гидроксиэтил)аминонитробензола,2-амино-5-N-( -аминоэтил)аминонитробензола,2-N-( -аминоэтил)амино-5-метоксинитробензола,2-N-(метил)амино-3-N-( -аминоэтил)аминонитробензола,2-N-( -аминоэтил)амино-4-N,N-(диметил)аминонитробензола,3-амино-4-N-( -аминоэтил)аминонитробензола,2-амино-4-метил-5-N-( -аминоэтил)аминонитробензола,2-N-( -аминоэтил)амино-5-N,N-бис-( -гидроксиэтиламинонитробензола,3- -аминоэтилокси-4-аминонитробензола,2-N-(метил)амино-5-(N- -амино-Н-бутил)аминонитробензола,2-N-( -амино-Н-пропил)амино 5-N,N-(диметил)аминонитробензола,3-метокси-4-N-( -аминоэтил)аминонитробензола,2-N-( -аминоэтил)амино-5-аминонитробензола,2-амино-4-хлор-5-N-( -аминоэтил)аминонитробензола,2-N-( -аминоэтил)амино-4-метоксинитробензола,2-N-( -аминоэтил)аминонитробензола,2-N-( -аминоэтил)амино-5-N-( -аминоэтил)аминонитробензола,2-N-( -аминоэтил)амино-4- -гидроксиэтилоксинитробензола,3- -гидроксиэтилокси-4-N-( -аминоэтил)аминонитробензола,2-амино-5-аминоэтилоксинитробензола, 3-гидрокси-4-N-( -аминоэтил)аминонитробензола,2-N-( -аминоэтил)амино-5- -гидроксиэтилоксинитробензола,2-N-( -аминоэтил)амино-4-гидроксинитробензола,[гидрокси-2 N-( -гидроксиэтил)амино-3-нитро-6]бензилокси]-2 этиламина и [гидрокси-2 N-( -гидроксипропил)амино-3-нитро-6]бензилокси]-2 этиламина.
10. Композиция по п.9, отличающаяся тем, что бензольные нитрокрасители формулы (IV) выбирают среди:2-амино-4-метил 5-N-( -гидроксиэтил)аминонитробензола,4-N-( -уреидоэтил)аминонитробензола,4-(N-этил N- -гидроксиэтил)амино-1-N-( -гидроксиэтил)аминонитробензола,2-N-( -гидроксиэтил)амино-5-метилнитробензола,5-хлор-3-N-(этил)амино-4-гидроксинитробензола, 5-амино-3-хлор-4-гидроксинитробензола, 2-N-( -гидроксипропил)амино-5-N,N-бис-( -гидроксиэтил)аминонитробензола,5-гидрокси-2-N-( -гидроксипропил)аминонитробензола,1,3-бис-( -гидроксиэтил)амино-4-хлор-6-нитробензола;3,4-диаминонитробензола, 2-амино-5-гидроксинитробензола, 2-амино-3-гидроксинитробензола, 2-амино-5-N-( -гидроксиэтил)аминонитробензола,2-амино-5-N,N-бис-( -гидроксиэтил)аминонитробензола,2-N-( -гидроксиэтил)амино-5-N,N-бис-( -гидроксиэтил)аминонитробензола,2-N-( -гидроксиэтил)амино-5-гидроксинитробензола,2-N-( -гидроксиэтил)амино-5-аминонитробензола,2-N-( -аминоэтил)амино-4-метоксинитробензола и2-N-( -аминоэтил)амино-5- -гидроксиэтилоксинитробензола.
11. Композиция по п.1, отличающаяся тем, что бензольный нитрокраситель или красители составляют предпочтительно около 0,0005 – 15 вес.% от общего веса красящей композиции.
12. Композиция по п.11, отличающаяся тем, что бензольный нитрокраситель или красители составляют 0,005 – 10 вес.% от общего веса красящей композиции.
13. Композиция по п.1, отличающаяся тем, что она дополнительно содержит одно или несколько окисляемых оснований, которые могут быть, в частности, выбраны из парафенилендиаминов, парааминофенолов, ортофенилендиаминов и гетероциклических оснований, и/или одно или несколько краскообразующих веществ, которые могут быть, в частности, выбраны среди метафенилендиаминов, метааминофенолов, метадифенолов, гетероциклических краскообразующих веществ, таких как, например, индоловые производные, индолиновые производные, производные бензимидазола, производные бензоморфолина, производные сезамола, пиридиновые, пиримидиновые и пиразольные производные и их аддитивные соли с кислотой.
14. Композиция по п.13, отличающаяся тем, что окисляемое основание или основания составляют предпочтительно около 0,0005 – 12 вес.% от общего веса красящей композиции, а краскообразующее вещество или вещества составляют 0,0001 – 10 вес.% от общего веса красящей композиции.
15. Композиция по п.14, отличающаяся тем, что окисляемое основание или основания составляют предпочтительно около 0,005 – 8 вес.% от общего веса красящей композиции, а краскообразующее вещество или вещества составляют 0,005 – 5 вес.% от общего веса красящей композиции.
16. Композиция по п.13, отличающаяся тем, что аддитивные соли с кислотой выбирают среди хлоргидратов, бромгидратов, сульфатов, тартратов, лактатов и ацетатов.
17. Композиция по одному из пп.13 – 16, отличающаяся тем, что она дополнительно содержит по меньшей мере один окислитель.
18. Композиция по п.17, отличающаяся тем, что окислитель выбирают среди перекиси водорода, перекиси мочевины, броматов щелочных металлов, персолей, таких как пербораты и персульфаты, и ферментов.
19. Композиция по п.18, отличающаяся тем, что ферменты выбирают среди пероксидаз и оксидоредуктаз с двумя электронами.
20. Композиция по п. 19, отличающаяся тем, что оксидоредуктазы с 2 электронами выбирают среди пиранозоксидаз, глюкозоксидаз, глицериноксидаз, лактатоксидаз, пируватоксидаз и уриказ.
21. Композиция по п.19 или 20, отличающаяся тем, что оксидоредуктазу с 2 электронами выбирают среди уриказ животного, микробиологического или биотехнологического происхождения.
22. Композиция по одному из пп.19 – 21, отличающаяся тем, что оксидоредуктаза или оксиредуктазы с 2 электронами составляют 0,01 – 20 вес.% от общего веса красящей композиции.
23. Композиция по п.22, отличающаяся тем, что оксидоредуктаза или оксиредуктазы с 2 электронами составляют 0,1 – 5 вес.% от общего веса красящей композиции.
24. Композиция по одному из пп.21-23, отличающаяся тем, что она содержит донор (или субстрат) для названной оксиредуктазы с 2 электронами, выбранный среди мочевой кислоты и ее солей.
25. Композиция по п.1, отличающаяся тем, что подходящая для окрашивания среда образована водой или смесью воды и по меньшей мере одного органического растворителя.
26. Композиция по п.1, отличающаяся тем, что ее рН составляет 5 – 11.
27. Способ окрашивания кератиновых волокон, в частности волос, отличающийся тем, что на волокна наносят по меньшей мере одну красящую композицию по п.1 на время, достаточное для проявления требуемой окраски.
28. Способ по п.27, отличающийся тем, что композицию А, содержащую в подходящей для окрашивания среде по меньшей мере один прямой катионный краситель, по пп.1 – 7, по меньшей мере один прямой бензольный нитрокраситель, по меньшей мере одно окисляемое основание и/или по меньшей мере одно краскообразующее вещество, смешивают в момент применения перед нанесением на кератиновые волокна, композицией Б, содержащей в подходящей для окрашивания среде по меньшей мере один окислитель.
29. Упаковка набора для окрашивания кератиновых волокон, в частности волос, имеющая отделение под композицию А, и отделение под композицию Б, охарактеризованные в п.28.
РИСУНКИ
MM4A – Досрочное прекращение действия патента СССР или патента Российской Федерации на изобретение из-за неуплаты в установленный срок пошлины за поддержание патента в силе
Дата прекращения действия патента: 08.10.2008
Извещение опубликовано: 20.07.2010 БИ: 20/2010
|
||||||||||||||||||||||||||














































































































-гидроксиэтил) аминонитробензол,
-гидроксипропил)амино-5-N, N-бис-(
-амино-н-бутил)аминонитробензол,












































































































