|
|
(21), (22) Заявка: 2009111185/03, 26.03.2009
(24) Дата начала отсчета срока действия патента:
26.03.2009
(30) Конвенционный приоритет:
27.03.2008 US 61/040,042 12.01.2009 US 12/352,369
(46) Опубликовано: 27.07.2010
(56) Список документов, цитированных в отчете о поиске:
US 5331156 А, 19.07.1994. SU 1260904 А1, 30.09.1986. SU 1702795 А1, 27.05.1995. RU 2315180 С2, 20.01.2008. RU 2318200 С2, 27.02.2008. US 5266800 А, 30.11.1993.
Адрес для переписки:
129090, Москва, ул.Б.Спасская, 25, стр.3, ООО “Юридическая фирма Городисский и Партнеры”, пат.пов. А.В.Мицу, рег. 364
|
(72) Автор(ы):
ЦЗО Юсян (Джулиан) (CA), МАЛЛИНС Оливер К. (US), ГАО Цзинлинь (CA), КХАРРАТ Абдел М. (CA), ИНДО Кентаро (CA), ДЮБО Франсуа (FR), О’КИФ Майкл (AU), БЕТАНКУР Сорая С. (US), ДОНГ Ченгли (US)
(73) Патентообладатель(и):
ШЛЮМБЕРГЕР ТЕКНОЛОДЖИ Б.В. (NL)
|
(54) СПОСОБЫ И УСТРОЙСТВО ДЛЯ АНАЛИЗА СКВАЖИННЫХ АСФАЛЬТЕНОВЫХ ГРАДИЕНТОВ И ИХ ПРИМЕНЕНИЕ
(57) Реферат:
Изобретение относится к способу и устройству для описания нефтяного флюида, извлекаемого из углеводородоносной геологической формации. Изобретение имеет применение в приложениях по моделированию пласта-коллектора. Техническим результатом является обеспечение точного определения разделения и/или неравновесного распределения углеводорода в интересующем пласте-коллекторе. Способ и система для описания асфальтеновых градиентов интересующего пласта-коллектора и анализа свойств интересующего пласта-коллектора на основании таких асфальтеновых градиентов. Анализ использует корреляцию, которая связывает концентрацию нерастворимого асфальтена с данными спектрофотометрических измерений, измеренных на глубине. 2 н. и 18 з.п. ф-лы, 4 ил.
Перекрестные ссылки на зависимые заявки
Эта заявка испрашивает приоритет по предварительной заявке на патент США 61/040,042, поданной 27 марта 2008 года и которая включена сюда по ссылке.
Область техники изобретения
Настоящее изобретение относится к способам и устройству для описания нефтяного флюида, извлекаемого из углеводородоносной геологической формации. Изобретение имеет применение в приложениях по моделированию пласт-коллектора, однако не ограничено только этим.
Описание уровня техники
Нефть состоит из сложной смеси углеводородов различных молекулярных весов и других органических соединений. Точный молекулярный состав нефти сильно отличается от формации к формации. Пропорция углеводородов в смеси сильно различается и лежит в диапазоне от 97 процентов по весу в легких нефтях до 50 процентов в тяжелых нефтях и битумах. Углеводороды в нефти являются большей частью алканами (линейными или разветвленными), циклоалканами, ароматическими углеводородами или более сложными химическими веществами, такими как асфальтены. Другие органические соединения в нефти обычно содержат углекислый газ (CO2), азот, кислород, серу и следовые количества металлов, таких как железо, никель, медь и ванадий.
Алканы, также известные как парафины, являются насыщенными углеводородами с прямыми или разветвленными цепочками, которые содержат только углерод и водород, и имеют общую формулу CnH2n+2. Они обычно имеют от 5 до 40 атомов углерода на молекулу, однако следовые количества более коротких или длинных молекул могут присутствовать в смеси. Алканы включают в себя метан (CH4), этан (C2H6), пропан (C3H8), изобутан (iC4H10), н-бутан (nC4H10), изопентан (iC5H12), н-пентан (nC5H12), гексан(C6H14), гептан (C7H16), октан (C8H18), нонан (C9H20), декан (C10H22), ундекан (C11H24), додекан (C12H26), тридекан (C13H28), тетрадекан (C14H30), пентадекан (C15H32), гексадекан (C16H34).
Циклоалканы, известные также как нафтены, являются насыщенными углеводородами, которые имеют одно или более углеродных колец, к которым присоединяются атомы водорода согласно формуле CnH2n. Циклоалканы имеют похожие свойства, что и алканы, но имеют более высокие точки кипения. Циклоалканы включают в себя циклопропан (C3H6), циклобутан (C4H8), циклопентан (C5H10), циклогексан (C6H10), циклогептан (C7H14) и так далее. Ароматические углеводороды являются ненасыщенными углеводородами, которые имеют одно или более плоских колец из атомов углерода, называемых бензольными кольцами, к которым подсоединены атомы водорода согласно формуле CnHn. Они горят коптящим пламенем, и многие из них имеют сладкий запах. Некоторые из них являются канцерогенными. Ароматические углеводороды включают в себя бензол (C6H6) и производные от бензола, а также полиароматические углеводороды.
Асфальтены состоят преимущественно из углерода, водорода, азота, кислорода и серы, а также следовых количеств ванадия и никеля. Отношение C:H является приблизительно 1:1,2 в зависимости от источника асфальтена. Известно, что асфальтены имеют распределение молекулярных масс в диапазоне от 400 до 1500 грамм/моль с максимумом около 750 грамм/моль. Химическая структура асфальтена трудно установима из-за его сложной природы, но изучается с помощью существующих техник. Бесспорно то, что асфальтен состоит в основном из полиароматического углерода, т.е. поликонденсированных ароматических бензольных оснований с кислородом, азотом и серой, в комбинации с малыми количествами множества тяжелых металлов, в частности ванадия и никеля, которые встречаются в виде порфириновых структур. Сегодня асфальтены широко известны как растворимые, химически измененные фрагменты керогена, который мигрирует из исходной породы во время катагенеза нефти. Асфальтены рассеяны в пласт-коллекторе нефтяного флюида в виде наноагрегатов. Тяжелые нефти и нефтеносные пески содержат асфальтены в гораздо большей пропорции, чем средние нефти АНИ (Американский Нефтяной Институт) или легкие нефти. Конденсаты практически лишены асфальтенов.
Компьютерное моделирование и методики моделирования были разработаны для оценки свойств и/или поведения нефтяного флюида в интересующем пласт-коллекторе. Обычно такие методики используют модель уравнения состояния (УС), которая представляет фазовое поведение нефтяного флюида в пласт-коллекторе. Как только модель УС определена, она может быть использована для вычисления широкого набора свойств нефтяного флюида пласт-коллекторе, таких как газовый фактор (ГФ) или конденсатно-газовый фактор (КГФ), плотность каждой фазы, волюметрические факторы и сжимаемость, теплоемкость и давление насыщения (точка кипения или точка росы). Таким образом, модель УС может быть решена для получения давления насыщения при заданной температуре. Более того, ГФ, КГФ, плотности фаз и волюметрические факторы являются побочными продуктами модели УС. Транспортные свойства, такие как теплоемкость или вязкость, могут быть выведены из свойств, полученных их модели УС, таких как состав флюида.
Более того, модель УС может быть расширена с помощью других техник оценки пласт-коллектора для композиционного моделирования поведения при протекании и выходе нефтяного флюида пласт-коллектора, как это хорошо известно в данной области техники. Например, композиционные моделирования могут быть полезными при изучении (1) истощения непостоянного нефтяного или газконденсатного пласт-коллектора, где состав и свойства фаз значительно различаются при давлении ниже давлений точки кипения или росы, (2) нагнетания газа (сухого или обогащенного) в пласт-коллектор черной нефти для мобилизации нефти путем выпаривания в более подвижную газовую фазу или путем конденсации путем прямой (одноконтактной) или динамической (многоконтактной) смешиваемости, и (3) нагнетания СО2 в нефтяной пласт-коллектор для мобилизации нефти путем смешиваемого вытеснения и путем уменьшения вязкости нефти и разбухания нефти.
Несколько десятилетий назад предполагалась однородность флюида в углеводородном пласт-коллекторе. Однако сейчас все более растет понимание того, что флюиды в пласт-коллекторе часто бывают разнородными или разделенными. Разделенный пласт-коллектор состоит из двух или более отделений, которые могут не иметь гидравлического соединения. Были определены два типа разделения, а именно вертикальное и горизонтальное разделение. Вертикальное разделение обычно возникает в результате расслоения или стратиграфических изменений в пласт-коллекторе, в то время как горизонтальное разделение является результатом возникновения сбросов.
Молекулярная и тепловая диффузия, естественная конвекция, биоразложение, адсорбция и внешние потоки также ведут к неравновесному распределению углеводородов в пласт-коллекторе.
Разделение пласт-коллектора, как и неравновесное распределение углеводородов, может значительно затруднить добычу и создать разницу между экономически пригодным месторождением и экономически непригодным месторождением. Методики, помогающие оператору точно описать отделы пласт-коллектора и их распределение, а также неравновесное распределение углеводорода, могут увеличить понимание таких пласт-коллекторов и значительно повысить добычу.
Измерения скважинного анализа флюида (САФ) обеспечивает полезный инструмент для определения композиционных градиентов в скважинных условиях в режиме реального времени. Примером скважинного каротажного инструмента, подходящего для отбора проб флюида для композиционного анализа данных, является модульный динамический пластоиспытатель (МДП) (поставляемый компанией Schlumberger Technology Corporation of Sugar Land, Texas, USA). Инструмент МДП обеспечивает управляемый канал гидравлической коммуникации между флюидом пласт-коллектора и скважиной и позволяет извлечение малых количеств флюида формации в виде проб, которые контактируют с породой пласт-коллектора (формации). Такой скважинный отбор проб флюида является преимущественным, поскольку отбор проб в скважине является более точным. Более конкретно, в случае, если давление пробы больше давления насыщения, то флюид будет в одной фазе, гарантируя, что будет проанализирован оригинальный состав. Для давлений ниже давления насыщения измерение свойств жидкой фазы в нефтяной зоне и сопутствующим газом на ней даст более точную пробу по сравнению с пробой, рекомбинированной на поверхности. На самом деле может быть трудно сохранить образец в состоянии, в котором он находился в скважине, когда он извлечен на поверхность. Исторически сложилось, что образцы флюида, собранные скважинными каротажными инструментами, извлекались на поверхность для лабораторного анализа. Однако последние разработки в области МДП инструментов сделали возможным прямое измерение свойств флюида в скважине во время выкачивания или отбора проб, что используется здесь как “скважинный анализ флюида”. Подробности МДП инструмента и его возможностей для скважинного анализа флюида могут быть получены по ссылке на патенты США  3,859,851; 4,994,671; 5,167,149; 5,201,220; 5,266,800 и 5,331,156, каждый из них включен сюда по ссылке.
Скважинный анализ флюида является выгодным, поскольку информация предоставляется в режиме реального времени, по сравнению с лабораторным анализом, который может длиться несколько дней, или анализ на буровой площадке, который может вызвать нежелательные фазовые переходы, а также потерю ключевых компонентов. Однако градиенты составов и свойств (например, составы CO2, C1, C2, C3-C5 и C6+ и газовый фактор (ГФ)), измеренные с помощью таких МДП инструментов, могут не предоставлять информацию, которая может быть использована для точного определения разделения и/или неравновесного распределения углеводорода в интересующем пласт-коллекторе.
Сущность изобретения
Вследствие этого задачей изобретения является обеспечение способов и устройств для скважинного анализа флюида, которые способны точно определить разделение и/или неравновесное распределение углеводорода в интересующем пласт-коллекторе.
Существует еще одна задача изобретения – обеспечение способов и устройства для скважинного анализа, который прогнозирует содержание асфальтена относительно глубины, и использование таких прогнозов для сравнения со связанными с ней скважинными измерениями для точного определения разделения и/или неравновесного распределения углеводорода в интересующем пласт-коллекторе.
Существует еще одна задача изобретения – обеспечение способов и устройства для интерпретации скважинного анализа флюида для оценки скважинных асфальтеновых компонентов относительно глубины с использованием методики уравнения состояния (УС) и для определения разделения и/или неравновесия в пласт-коллекторе на основании таких оценок.
В соответствии с задачами изобретения инструмент для скважинного анализа флюида используется для выполнения композиционных измерений в одной точке измерения (референсной точке) и, возможно, в других точках измерения внутри скважины, пересекающей интересующий пласт-коллектор. Композиционный и асфальтеновый градиенты относительно глубины могут быть прогнозируемы с помощью уравнений состояния (УС), которые принимают во внимание, например, влияние сил гравитации, химические силы и тепловую диффузию. УС могут использовать хорошо известный способ испарения для предсказания содержания асфальтена в живой нефти в скважинных условиях на глубине. Предсказанное содержание асфальтена может затем быть связано с предсказанием спектрофотометрических измерений, выполненных инструментом САФ на заданной глубине с помощью корреляции между такими значениями. Спрогнозированные и полученные спектрофотометрические измерения на заданной глубине могут затем быть сравнены друг с другом для определения свойств пласт-коллектора (таких как разделение и неравновесие, и соединенность слоев или равновесие).
Дополнительные задачи и преимущества изобретения станут понятны специалистам в данной области техники после обращения к подробному описанию, сопровождаемому предоставленными чертежами.
Краткое описание чертежей
Фиг.1 является схематической диаграммой примерной системы анализа нефтяного пласт-коллектора, в которой воплощено настоящее изобретение.
Фиг.2 является блок-схемой операций для выведения и хранения корреляций между весовыми долями содержания асфальтена и данными спектрофотометрических измерений.
Фиг.3А и Фиг.3В совместно являются блок-схемой операций анализа данных, которые включают в себя скважинный анализ флюида, который прогнозирует содержание асфальтена относительно глубины. Такие предсказания и корреляции, сгенерированные операциями на фиг.2, используются для предсказания данных спектрофотометрических измерений относительно глубины. Сравнение предсказанных данных спектрофотометрических измерений и данных спектрофотометрических измерений, измеренных с помощью скважинного анализа флюида на соответствующей глубине, используется для точного определения разделения и/или неравновесного распределения углеводорода в интересующем пласт-коллекторе.
Фиг.4 является графиком композиционных градиентов, вычисленных с помощью решения уравнений композиционных градиентов на основании референсной точки на глубине 7924,80 метра (26000 футов).
Подробное описание изобретения
Как здесь используется, термин “мертвая нефть” означает нефтяной флюид при достаточно низком давлении, который не содержит растворенного газа, или относительно густой нефтяной флюид или мазут, который потерял свои летучие компоненты.
Как здесь используется, термин “живая нефть” означает нефтяной флюид, содержащий растворенный газ в растворе, который может быть высвобожден из раствора при обычных условиях.
Фиг.1 иллюстрирует примерную систему 1 анализа нефтяного пласт-коллектора, в которой воплощено настоящее изобретение. Система 1 включает в себя скважинный инструмент 10, подвешенный в скважине 12 на нижнем конце обычного многожильного кабеля 15, который намотан обычным способом на подходящую лебедку (не показана) на поверхности формации. Кабель 15 электрически подсоединен к электронной системе 18 управления на поверхности формации. Инструмент 10 включает в себя удлиненный корпус 19, который заключает в себя скважинную часть системы 16 управления инструментом. Удлиненный корпус 19 также несет избирательно выдвигающийся узел 20 приема флюида и избирательно выдвигающийся якорный элемент 21 инструмента, которые расположены с противоположных сторон удлиненного корпуса 19. Узел 20 приема флюида оснащен для избирательного уплотнения или изоляции выбранных частей стенки скважины 12 так, что устанавливается гидравлическое соединение с прилегающей земной формацией 14. В инструмент 10 также включено средство для определения скважинного давления и температуры (не показаны) и модуль 25 анализа флюида, через который протекает полученный флюид. Флюид затем может быть вытеснен через канал (не показан) или он может быть передан в одну или более камер 22 и 23 для сбора флюида, которые могут принимать и удерживать флюиды, полученные из формации. Управление узлом приема флюида, модулем анализа флюида и каналом к камерам сбора осуществляется с помощью электронных систем 16 и 18 управления. Специалисты в данной области техники оценят, что расположенная на поверхности электронная система 18 управления включает в себя функциональность обработки данных (например, один или более микропроцессоров, ассоциированную память и другое оборудование и/или программное обеспечение) для осуществления описанного здесь изобретения. Электрическая система 18 управления может быть также реализована с помощью распределенной системы обработки данных, в которой данные, измеренные с помощью инструмента 10, передаются (предпочтительно в режиме реального времени) по линии связи (обычно спутниковой связи) на удаленное местоположение для анализа данных, как здесь описано. Анализ данных может выполняться на рабочей станции или другой подходящей системе обработки данных (такой как компьютерный кластер или вычислительная сеть).
Подробный скважинный и лабораторный анализы сырой нефти показывают видимое соответствие между асфальтеновыми градиентами относительно глубины и разделением и/или неравновесным распределением углеводорода в пласт-коллекторе. Однако инструмент САФ на фиг.1 (так же как и другие современные инструменты САФ) не измеряет содержание асфальтена напрямую, но вместо этого измеряют концентрацию легких долей (например, метана (CH4) и этана (C2H6)), а также группы алканов C3-C5 и скопление гексана и более тяжелых алкановых компонентов (C6+). Такие измерения основаны на спектрофотометрических измерениях (т.е. спектре поглощения пробы скважинного флюида).
В соответствии с настоящим изобретением устройство на фиг.1 используется для выполнения композиционных измерений на одной измерительной станции (референсной точке) и возможно на других измерительных станциях внутри скважины, пересекающей интересующий пласт-коллектор. Композиционные и асфальтеновые градиенты относительно глубины могут быть прогнозируемы с помощью уравнений состояния (УС), которые принимают во внимание, например, влияние сил гравитации, химические силы и тепловую диффузию. УС могут применять хорошо известный способ испарения для предсказания содержания асфальтена в живой нефти в скважинных условиях на глубине. Предсказанное содержание асфальтена может затем быть связано с предсказаниями спектрофотометрических измерений, выполненных инструментом САФ на фиг.1 на заданной глубине с помощью корреляции между такими значениями. Предсказанные и полученные спектрофотометрические измерения на заданной глубине могут затем быть сравнены друг с другом для определения разделения и неравновесности пласт-коллектора.
Для кратко изложенного выше способа необходим механизм корреляции, который связывает содержание асфальтена при скважинных условиях с результатами связанных с ними спектрофотометрических измерений.
Фиг.2 иллюстрирует примерный способ для получения и хранения такого механизма корреляции. Операции начинаются на этапе 51 предоставлением пробы «мертвой нефти». На необязательном этапе 53 проба может быть подвержена вакуумной дистилляции (также называемой «отгонкой») для удаления легких долей из пробы «мертвой нефти». На этапе 55 проба разжижается в n-гептане для осаждения тяжелых долей (включающих в себя нерастворимый в n-гептане асфальтен). На этапе 57 раствор n-гептана фильтруется для извлечения тяжелых долей, осажденных на этапе 55. На этапе 59 нерастворимый в n-гептане асфальтен извлекается из тяжелых долей, отфильтрованных на этапе 57, предпочтительно с помощью экстрактора Сокслета. На этапе 61 нерастворимый в n-гептане асфальтен, извлеченный на этапе 59 (или его часть), взвешивается. На этапе 63 нерастворимый в n-гептане асфальтен, извлеченный на этапе 59 (или его часть), растворяется в подходящем растворителе (предпочтительно в толуоле) и весовая доля в растворе нерастворимого в n-гептане асфальтена записывается. На этапе 65 раствор этапа 63 подвергается спектрофотометрии, которая измеряет спектр поглощения раствора. На этапе 67 весовая доля нерастворимого в n-гептане асфальтена, записанная на этапе 63, ассоциируется с результатами спектрофотометрических измерений этапа 65 как часть одной или более записей в базе данных. На этапе 69 операции определяют, есть ли еще пробы для обработки. В предпочтительном варианте осуществления процесс осуществляется с несколькими пробами из разных географических областей мира. Если есть дополнительные пробы для обработки, то операция возвращается на этап 51 для обработки следующей пробы. Иначе, операции продолжаются с этапа 71 для выведения корреляции между содержанием весовой доли нерастворимого в n-гептане асфальтена и ассоциированных с ними данных спектрофотометрических измерений, как части базы данных, записанной на этапе 67. Корреляция может быть получена с помощью нейронной сети, обученной с помощью содержания весовых долей нерастворимого в n-гептане асфальтена и ассоциированных данными спектрофотометрических измерений, хранящихся в базе данных. В качестве альтернативы, корреляция может быть получена путем регрессивного анализа или другой подходящей обработкой. Также предполагается, что молевая доля может быть использована для расчета содержания нерастворимого в n-гептане асфальтена как части корреляции между содержанием нерастворимого в n-гептане асфальтена и связанными с ними результатами спектрофотометрических измерений.
Также следует отметить, что n-C6 и n-C5 могут быть использованы для осаждения асфальтена. В таком случает операции получают корреляцию между весовой долей содержания нерастворимого в n-C6 асфальтена и связанными с ними результатами спектрофотометрических измерений, указаны ниже по тексту.
Подробности примеров, которые соответствуют способу на фиг.2 для получения и хранения такой корреляции между содержанием нерастворимого в n-гептане асфальтена и результатами спектрофотометрических измерений, указаны ниже по тексту.
Обратимся теперь к фиг.3A и фиг.3B, на которых изображен примерный способ для определения разделения или неравновесности пласт-коллектора в соответствии с настоящим изобретением.
Операции начинаются с этапа 101 применением инструмента САФ на фиг.1 для получения пробы флюида формации при давлении и температуре пласт-коллектора (проба «живой нефти») на измерительной станции в скважине (например, референсной точке). Проба обрабатывается модулем 25 анализа флюида. В предпочтительном варианте осуществления модуль 25 анализа флюида выполняет спектрофотометрические измерения, которые измеряют спектр поглощения пробы и переводят такие спектрофотометрические измерения в концентрацию нескольких алкановых компонентов и групп в интересующих флюидах. В иллюстративном варианте осуществления модуль 25 анализа флюида обеспечивает измерения концентрации (например, весовые проценты) углекислого газа (CO2), метана (CH4), этана (C3H6), C3-C5 алкановой группы, включающей в себя пропан, бутан, пентан, и скопление гексана и более тяжелых алкановых компонентов (C6+). Инструмент 10 также предпочтительно обеспечивает средство для измерения температуры пробы флюида (и, таким образом, температуру пласт-коллектора на станции), давление пробы флюида (и, таким образом, давление пласт-коллектора на станции), плотность живого флюида пробы флюида, газовый фактор (ГФ) пробы флюида, АНИ тяжесть пробы флюида и объемный фактор формации (ОФФ) пробы флюида.
На этапе 103 осуществляется процесс распределения для описания композиционных компонентов пробы, проанализированной на этапе 101. Подробности примерных операций распределения, проводящихся на этапе 103, описаны подробно в заявке на патент США 12/209,050, поданной 11.09.2008, которая включена сюда по ссылке.
На этапе 105 результаты процесса распределения на этапе 103 используются в соединении с уравнениями состояния (УС) и расчетами испарения для предсказания композиционных и асфальтеновых градиентов относительно глубины, которые принимают во внимание, например, влияние сил гравитации, химические силы и тепловую диффузию. Вычисления испарения обеспечивают предсказание содержания асфальтена в живой нефти при скважинных условиях на глубине.
УС этапа 105 включают в себя систему уравнений, которые представляют фазовое поведение композиционных компонентов флюида пласт-коллектора. Такие уравнения могут принимать различные формы. Например, они могут любым одним из хорошо известных кубических УС. Такие кубические УС включают в себя УС Ван-дер-Ваальса (1873), УС Редлиха-Вонга (1949), УС Соаве-Редлиха-Вонга (1972), УС Пенга-Робинсона (1976), УС Стрижека-Вера-Пенга-Робинсона (1986) и УС Патела-Тежа (1982). Параметры объемного сдвига могут быть использованы как часть кубических УС для улучшения прогнозов плотности жидкости, что является хорошо известным. Правила смешивания (такое, как правило смешивания Ван-дер-Ваальса) могут быть также использованы как часть кубических УС. УС жидкостной теории статических взаимосвязей могут также быть использованы, что является хорошо известным в данной области техники.
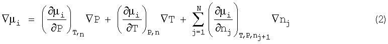
УС этапа 105 расширены для предсказания композиционных и асфальтеновых градиентов относительно глубины, которые принимают во внимание, например, влияние сил гравитации, химические силы и тепловую диффузию. Для вычисления композиционных градиентов относительно глубины в углеводородном пласт-коллекторе часто предполагается, что все компоненты имеют нулевое перемещение массы, т.е. неподвижное состояние при отсутствии конвекции. Для удовлетворения этого предположения применяется баланс действующих сил или уравнения потока. В следующем примере принимаются во внимание три действующие силы: химический потенциал, гравитация и тепловой градиент. В качестве примера скважины применена модель с одним вертикальным измерением. Система уравнений неподвижного состояния для смеси с N-компонентами выражается следующим образом. Асфальтеновый градиент обеспечивается асфальтеновым композиционным компонентом как часть следующего уравнения.

где i, vi, Mi, g, p и T являются химическим потенциалом, порционным молярным объемом и молекулярным весом компонента i, ускорение силы тяжести, плотность и температура соответственно, nj является молярным числом компонента j. FTj является потоком тепловой диффузией компонента i.
Поскольку химический потенциал является функцией от давления, температур и молярного числа, то он может быть представлен как:

Гидростатическое равновесие задано как:

В соответствии с термодинамическими отношениями порционный молярный объем и энтропия могут быть выражены как:

Таким образом, изменение химического потенциала может быть записано как:

Подставляя уравнение (5) в уравнение (2), в итоге получаем:

Поток тепловой диффузии компонента i (FTj) может быть посчитан с помощью различных моделей тепловой диффузии. Примером служит выражение Хааса, как описано в Haase, “Thermodynamics of Irreversible Processes,” Addison-Wesley, Chapter 4, 1969, включенном сюда по ссылке во всей своей полноте.
УС этапа 105 также использует вычисления испарения, которые решают для фугитивности компонентов, формирующих равновесие. Подробности подходящих вычислений испарения описаны Ли в “Rapid Flash Calculations for Compositional Simulation,” SPE Reservoir Evaluation and Engineering, October 2006.
На этапе 107, инструмент САФ на фиг.1 используется для получения пробы флюида формации при давлении и температуре пласт-коллектора (проба живой нефти) на другой станции измерений в скважине и выполняется скважинный анализ флюида этой пробы, как описано выше со ссылкой на этап 101. В предпочтительном варианте осуществления модуль 25 анализа флюида выполняет спектрофотометрические измерения, которые измеряют спектр поглощения пробы и переводят такие спектрофотометрические измерения в концентрацию нескольких алкановых компонентов и групп в интересующих флюидах. Инструмент 10 также предпочтительно обеспечивает средство для измерения температуры пробы флюида (и, таким образом, температуру пласт-коллектора на станции), давление пробы флюида (и, таким образом, давление пласт-коллектора на станции), плотность «живого флюида» пробы флюида, газовый фактор (ГФ) пробы флюида, тяжесть пробы флюида (АНИ) и фактор объема формации (ФОФ) пробы флюида.
Необязательно, на этапе 109 УС этапа 105 корректируется на основании сравнения композиционного анализа инструмента САФ на этапе 107 и прогнозов композиционного градиента относительно глубины, выведенных из УС на этапе 105. В случае, если УС было скорректировано, предсказания композиционных и асфальтеновых градиентов этапа 105 могут быть пересчитаны из скорректированного УС. Корректировка УС этапа 105 обычно включает в себя корректировку параметров объемной трансляции, параметров двоичного взаимодействия и/или критических свойств компонентов УС. Пример корректировки УС описан в Reyadh A. Almehaideb et al., “EOS tuning to model full field crude oil properties using multiple well fluid PVT analysis,” Journal of Petroleum Science and Engineering, Volume 26, Issues 1-4, pgs., включенном сюда в качестве ссылки во всей своей полноте.
На этапе 111 предсказанная весовая доля для нерастворимого в n-гептане асфальтена выводится из композиционных прогнозов этапа 105 или 109 путем решения уравнения (6). В качестве альтернативы, предсказанные весовые доли для нерастворимого в n-C6 или n-C5 асфальтена могут быть выведены из композиционных прогнозов этапа 105 или 109.
На этапе 113 корреляция этапа 71 на фиг.2 применяется для предсказания данных спектрофотометрических измерений для предсказанных весовых долей нерастворимого в n-гептане асфальтена, выведенных на этапе 111.
На этапе 115 предсказанные данные спектрофотометрических измерений, выведенные на этапе 113, сравниваются данными спектрофотометрических измерений, сгенерированных с помощью инструмента САФ на этапе 107.
На этапе 119, операции проверяют, превышает ли разность от сравнения на этапе 115 заранее определенный порог Tc. Если так, то операции продолжаются с этапа 121, сообщая оператору, что может существовать разделение слоев между двумя станциями измерений. Также возможно сообщать пользователю, что пласт-коллектор может быть неравновесным. Если на этапе 119 разность от сравнения на этапе 115 не превосходит заранее определенный порог Tc, операции продолжаются с этапа 123, на котором проверяется, является ли разность от сравнения на этапе 115 меньшей, чем заранее определенный порог (Te). Если так, то операции продолжаются с этапа 125, сообщая оператору, что слои между двумя станциями измерений соединены. Также возможно сообщать пользователю, что пласт-коллектор может находиться в равновесии.
Следует отметить, что этапы 101-125 могут быть повторены для множества пар станций внутри скважины, обеспечивая анализ разделения пласт-коллектора для множества слоев пласт-коллектора, если требуется.
Пример анализа, обеспечиваемого настоящим изобретением проиллюстрирован на фиг.4, который показывает график композиционных градиентов, посчитанных путем решения уравнений композиционных градиентов на основании референсной точки на глубине 7924,80 метра (26000 футов). Можно видеть, что данные САФ следуют за предсказанным содержанием асфальтена выше 7924,80 метров (26000 футов), но ниже этой глубины отклонение данных САФ от предсказанного содержания асфальтена является заметным.
Приложение А
Проба:
Десять проб «мертвой нефти» по 100 мл каждая из разных географических регионов были выбраны для экспериментов. Содержание асфальтена находилось в диапазоне от 0,1 до 20 весовых процентов, и тяжесть АНИ находилась в диапазоне от 10 до 40.
Оборудование и химикаты:
Спектрофотометр Varian Cary 5000 для цветных измерений
Ротационный выпариватель
Многоступенчатый выпариватель
Нагревательная плита
Mettler Toledo Balance, модель AG285
Колбонагреватель
Устройство для вакуумной фильтрации с модифицированным держателем миллипорового фильтра
Поршневой насос прямого вытеснения
Круглодонные колбы (250 мл), размер 24/40 конденсатор, размер 24/40
Экстрактор Сокслета, верхний размер 34/45, нижний размер 24/40
Уменьшительный адаптер, с размера 34/45 до размера 24/40
Пипетка для переноса
Фильтр, диаметр 90 мм, 0,45 мкм, слоистый Fluoropore
Емкости для проб с азотом, 22 мл
n-гептана, качества Высоко Эффективной Жидкостной Хроматографии (ВЭЖХ) (остаток после выпаривания менее чем 5 промилле)
Дихлорметан (ДХМ), качества ВЭЖХ (остаток после выпаривания менее чем 5 промилле)
Процедура А:
Полезно измерить цвет раствора n-гептана и знать точную степень разжижения. Для предотвращения неопределенности, связанной с выпариванием n-гептана, необходимо измерить раствор n-гептана перед фильтрацией. Масса измеряется до и после фильтрации. Пошаговая процедура описана ниже. Эта процедура применяется к каждой из 10 различных проб нефти.
1. Взвесить примерно 10 грамм пробы с точностью до 0,0001 грамма в стеклянную колбу объемом 500 мл с пробкой. Вязкие пробы (АНИ тяжесть менее 20) и воскообразные пробы должны быть нагреты до 60°C в течение одного часа и затем перемешаны.
2. Добавить n-гептан в объемной пропорции точно 40:1.
3. Смешивать интенсивно в течение 10 минут с закрытой пробкой и затем дать смеси отстояться в течение 24 часов.
4. Отфильтровать смесь для извлечения осажденного асфальтена с использованием 0,45 микронной фильтровальной бумаги, следуя следующим процедурам:
a. Сформировать фильтровальную бумагу в форме крышки с использованием модифицированного держателя миллипорового фильтра. Взвесить фильтровальную бумагу.
b. Настроить устройство вакуумной фильтрации.
c. Увлажнить фильтровальную бумагу горячим n-гептаном перед созданием вакуума. Отфильтровать пробу, пока горячая, промывая стороны фильтровальной бумаги после каждого добавления пробы с горячим n-гептаном.
d. Ополоснуть колбу три раза, чтобы гарантировать максимальное перемещение асфальтенов в фильтр.
e. Закрыть колбу и отставить в сторону. Она будет использована для дихлорметановой экстракции, поскольку на стенках могут иметься асфальтеновые отложения.
f. Переместить фильтрат в стеклянную бутылку емкостью 500 мл. Промыть вакуумную колбу горячим n-гептаном и затем ДХМ, переливая смывки в бутылку с пробой. Фильтрат можно выкинуть.
g. Сложить фильтр убедившись, что асфальтены не будут потеряны. Если необходимо, то второй взвешенный фильтр может быть использован для заворачивания первого фильтра.
h. Закрепить с помощью чистого металлического зажима для бумаги и расклинить в экстракторе Сокслета так, чтобы жидкость покрывала фильтр в конце каждого цикла.
i. Наполнить новую колбу емкостью 250 мл примерно 100 мл свежего n-гептана.
j. Промывать фильтры в течение двух часов (минимум 6 циклов) или до тех пор, пока растворитель в верхней секции экстрактора Сокслета будет прозрачным, что наступить позднее. Убедиться, что температура n-гептана вблизи точки в цикле является, по меньшей мере, 75°C, так что воск и нефть смоются с асфальтенового фильтра.
k. После завершения промывки слить весь n-гептан из экстрактора Сокслета в колбу, оставить фильтр с асфальтеном в экстракторе Сокслета.
1. Добавить 100 мл ДХМ в первую круглодонную колбу, которая была отставлена после фильтрации.
m. Разместить колбу под экстрактором Сокслета и экстрагировать до тех пор, пока раствор в верхней части не станет прозрачным.
5. Взвесить экстрагированный асфальтен.
6. Растворить экстрагированный асфальтен в подходящем количестве толуола (от 1 до 10 мл) и записать весовой процент асфальтена.
7. Выполнить цветовое измерение с помощью спектрофотометра над раствором асфальтена/толуола.
8. Сохранить в базе данных связь между весовым процентом афальтена (записанном на шаге 6) и результатами цветового измерения на шаге 7.
9. Необязательно повторить вышеописанную процедуру с использованием n-C6 для осаждения асфальтена.
10. Необязательно повторить вышеописанную процедуру с использованием n-C5 для осаждения асфальтена.
Процедура B:
1. Из десяти проб мертвой нефти выбрать три пробы, одну легкой, одну средней и одну тяжелой нефти.
2. Для каждой пробы выполнить следующее:
3. Взвесить примерно 10 грамм пробы с точностью до 0,0001 грамма в отгонную колбу.
4. Отгонять согласно следующей процедуре: Установить температуру водяной ванны ротационного выпаривателя равной 80°C. Прокачать через пробу азот для устранения контакта с кислородом. Взвесить примерно от 2 до 3 грамм в 250 мл круглодонную колбу с точностью до 4-5 знаков после десятичной точки. Закрепить колбу в выпаривателе. Медленно открыть вакуумный клапан для создания вакуума. Отгонять пробу на протяжении минимум 90 минут. Дать колбе остыть до комнатной температуры и затем взвесить. Отгонять пробу еще 15 минут и затем охладить и взвесить. Отгонка может считаться завершенной, когда вес пробы меняется менее чем на 1% после 15-минутной отгонки. Процент отгонки рассчитывается как (масса отогнанной нефти)/(масса не отогнанной нефти) × 100.
5. Растворить отогнанную пробу в 40-кратном (по объему) количестве n-гептан.
6. Перемешивать согласно процедуре осаждения асфальтена, затем дать отстояться.
7. Отфильтровать для экстрагирования осажденного асфальтена согласно пункту 4 Процедуры А, как описано выше.
8. Взвесить экстрагированный асфальтен.
9. Растворить экстрагированный асфальтен в подходящем количестве толуола (от 1 до 10 мл) и записать весовой процент асфальтена.
10. Выполнить цветовое измерение с помощью спектрофотометра над раствором асфальтена/толуола.
11. Сохранить в базе данных связь между весовым процентом асфальтена (записанном на шаге 9) и результатами цветового измерения на шаге 10.
12. Необязательно повторить вышеописанную процедуру с использованием n-C6 для осаждения асфальтена.
13. Необязательно повторить вышеописанную процедуру с использованием n-C5 для осаждения асфальтена.
После установления базы данных цветовых измерений и весовых процентов содержания асфальтена генерируется корреляция между окрашиванием и весовым процентом содержания асфальтена.
Были описаны и проиллюстрированы предпочтительные варианты осуществления способов и устройства для анализа асфальтеновых градиентов и их применение. Несмотря на то что были описаны конкретные варианты осуществления изобретения, это не означает, что изобретение ограниченно ими, но предполагается, что изобретение имеет настолько широкий объем, насколько позволит уровень данной области техники и что спецификация должна читаться с учетом этого. Таким образом, несмотря на то что были раскрыты конкретные способы обработки данных и системы, следует понимать, что другие подходящие способы обработки данных и системы могут быть использованы подобным образом. Также, несмотря на то что были раскрыты конкретные модели уравнений состояния и применения таких УС для предсказания свойств пласт-коллектора флюида, следует понимать, что другие уравнения состояния и их применения могут также быть использованы. Также специалистам в данной области техники следует понимать, что еще и другие модификации представленного изобретения могут быть сделаны без отклонения от его объема, как это заявлено в формуле изобретения.
Формула изобретения
1. Способ описания интересующего пласта-коллектора, содержащий этапы, на которых: a) получают первую пробу флюида пласта-коллектора на первой скважинной станции измерения в скважине, которая пересекает интересующий пласт-коллектор; b) выполняют скважинный анализ флюида первой пробы пласта-коллектора для описания композиционных компонент первой пробы пласта-коллектора; c) прогнозируют композиционные компоненты относительно глубины с использованием результатов скважинного анализа флюида на этапе (b); d) получают вторую пробу флюида пласта-коллектора со второй скважинной станции измерения в скважине; e) выполняют спектрофотометрию на второй пробе флюида пласта-коллектора для получения данных спектрофотометрических измерений, относящихся ко второй пробе флюида пласта-коллектора; f) выводят спрогнозированные данные спектрофотометрических измерений для флюида пласта-коллектора на второй скважинной станции измерений на основании концентраций асфальтена композиционных компонентов относительно глубины, спрогнозированных на этапе (с), и корреляцию между концентрацией асфальтена и данных спектрофотометрических измерений; g) сравнивают данные спектрофотометрических измерений на этапе (е) и спрогнозированные данные спектрофотометрических измерений на этапе (f); и h) генерируют пользовательский вывод, который описывает интересующий пласт-коллектор на основании сравнения на этапе (g).
2. Способ по п.1, дополнительно содержащий повторение этапов (a)-(g) на множестве пар скважинных станций измерений для генерации пользовательского вывода, который описывает интересующий пласт-коллектор на основании сравнения на этапе (g) для множества пар скважинных станций измерений.
3. Способ по по.1, в котором прогнозирование на этапе (с) включает в себя этап, на котором выполняют процесс распределения, который описывает композиционные компоненты соответствующей пробы.
4. Способ по п.1, в котором прогнозирование на этапе (с) использует уравнения состояния и вычисления испарений для прогнозирования композиционных и асфальтеновых градиентов относительно глубины.
5. Способ по п.1, в котором корреляция связывает концентрацию нерастворимого асфальтена с данными спектрофотометрических измерений.
6. Способ по п.5, в котором корреляция выводится из записей базы данных, которые связывают концентрацию нерастворимого асфальтена с данными спектрофотометрических измерений.
7. Способ по п.6, в котором записи базы данных получаются путем выполнения этапов, на которых экстрагируют нерастворимый асфальтен из некоторого количества различных проб «мертвой нефти», растворяют экстрагированный нерастворимый асфальтен для каждой пробы в толуоле, записывают концентрации нерастворимого асфальтена в получившихся растворах, выполняют спектрофотометрию упомянутых растворов, и связывают записанные концентрации нерастворимого асфальтена с результатами соответствующих спектрофотометрических измерений.
8. Способ по п.5, в котором нерастворимый асфальтен выбирается из группы, включающей в себя нерастворимый в п-гептане асфальтен, нерастворимый в п-гексане асфальтен, нерастворимый в п-пентане асфальтен.
9. Способ по п.1, в котором вывод относится, по меньшей мере, к одному из разделения и неравновесности пласта-коллектора.
10. Способ по п.1, в котором вывод относится, по меньшей мере, к одному из соединения слоев и равновесности пласта-коллектора.
11. Система для описания интересующего пласта-коллектора, содержащая: (a) скважинное инструментальное средство для получения, по меньшей мере, первой и второй пробы флюида пласта-коллектора на первой и второй скважинных станциях измерения соответственно, в скважине, пересекающей интересующий пласт-коллектор, при этом инструмент содержит средство для выполнения скважинного анализа первой и второй пробы пласта-коллектора для описания композиционных компонентов первой и второй пробы пласта-коллектора, при этом инструмент выполняет спектрофотометрию для первой и второй пробы пласта-коллектора для получения данных спектрофотометрических измерений, относящихся первой и второй пробе флюида пласта-коллектора; (b) средство для прогнозирования композиционных компонент относительно глубины с использованием результатов скважинного анализа флюида, относящихся к первой пробе флюида пласта-коллектора; (c) средство для получения спрогнозированных данных спектрофотометрических измерений для флюида пласта-коллектора во второй скважинной станции измерения на основании концентрации асфальтена композиционных компонентов относительно глубины с помощью средства (b) и корреляции между концентрацией асфальтена и данных измерения; (d) средство для сравнения данных спектрофотометрических измерений, сгенерированных инструментальным средством (а) как часть анализа второй пробы флюида пласта-коллектора и спрогнозированных данных спектрофотометрических измерений с помощью средства (с); и (е) средство для генерации пользовательского вывода, который описывает интересующий пласт-коллектор на основании сравнения, выполненного средством (d).
12. Система по п.11, в которой средство (а)-(е) оперируют на множестве пар скважинных станций измерения для генерации пользовательского вывода, который описывает интересующий пласт-коллектор на основании сравнения, выполняемого средством (d), для множества пар скважинных станций измерения.
13. Система по п.11, в которой средство прогнозирования (b) включает в себя процесс распределения, который описывает композиционные компоненты соответствующей пробы.
14. Система по п.11, в которой средство прогнозирования (b) использует уравнения состояния и вычисления испарений для предсказания композиционных и асфальтеновых градиентов относительно глубины.
15. Система по п.11, в которой корреляция связывает концентрацию нерастворимого асфальтена с данными спектрофотометрических измерений.
16. Система по п.15, в которой корреляция выводится из записей базы данных, которые связывают концентрацию нерастворимого асфальтена с данными спектрофотометрических измерений.
17. Система по по.16, в которой записи базы данных получаются путем выполнения этапов, на которых экстрагируют нерастворимый асфальтен из некоторого количества различных проб мертвой нефти, растворяют экстрагированный нерастворимый асфальтен для каждой проб в толуоле, записывают концентрации нерастворимого асфальтена в получившихся растворах, выполняют спектрофотометрию упомянутых растворов, и связывают записанные концентрации нерастворимого асфальтена с результатами соответствующих спектрофотометрических измерений.
18. Система по п.15, в которой нерастворимый асфальтен выбирается из группы, включающей в себя нерастворимый в n-гептане асфальтен, нерастворимый в n-гексане асфальтен, нерастворимый в n-пентане асфальтен.
19. Система по п.11, в которой вывод относится, по меньшей мере, к одному из разделения и неравновесности пласта-коллектора.
20. Система по п.11, в которой вывод относится, по меньшей мере, к одному из соединения слоев и равновесности пласта-коллектора.
РИСУНКИ
|
|