|
(21), (22) Заявка: 2008145508/09, 17.04.2007
(24) Дата начала отсчета срока действия патента:
17.04.2007
(30) Конвенционный приоритет:
18.04.2006 US 60/792,765
(46) Опубликовано: 20.07.2010
(56) Список документов, цитированных в отчете о поиске:
WO 03101029 A1, 04.12.2003. US 2004057530 A1, 25.03.2004. RU 2267225 C2, 27.05.2005. EP 0736979 A2, 09.10.1996.
(85) Дата перевода заявки PCT на национальную фазу:
18.11.2008
(86) Заявка PCT:
US 2007/009373 20070417
(87) Публикация PCT:
WO 2007/123904 20071101
Адрес для переписки:
129090, Москва, ул. Б.Спасская, 25, стр.3, ООО “Юридическая фирма Городисский и Партнеры”, пат.пов. Ю.Д.Кузнецову, рег. 595
|
(72) Автор(ы):
ЛИ Инсюэ (US), ШИН Сунг-Хиук (US), ЧЖАН Годун (US), ГРИЕКО Дональд М. (US)
(73) Патентообладатель(и):
ИНТЕРДИДЖИТАЛ ТЕКНОЛОДЖИ КОРПОРЕЙШН (US)
|
(54) СПОСОБ И УСТРОЙСТВО, ПРЕДНАЗНАЧЕННЫЕ ДЛЯ РЕАЛИЗАЦИИ H-ARQ В СИСТЕМЕ БЕСПРОВОДНОЙ СВЯЗИ MIMO
(57) Реферат:
Настоящее изобретение предназначено для реализации гибридного запроса автоматического повторения (H-ARQ) в системе беспроводной связи с множеством входов и множеством выходов (MIMO). Передатчик передает, по меньшей мере, два пакета данных через две или больше антенн. Если, по меньшей мере, один из пакетов данных не передан успешно, передатчик повторно передает пакеты данных, переупорядочивая пакеты данных способом ортогонального расширения. Передатчик может повторно передавать только неуспешно переданный пакет данных вместе с новым пакетом данных, который заменяет успешно переданный пакет данных. Неуспешно переданный пакет данных просто может быть повторен без изменения его формата. Когда повторно передается только неуспешно переданный пакет данных вместе с новым пакетом данных, передачи могут быть объединены для одновременного восстановления повторно переданного пакета данных и нового пакета данных. 2 н. и 6 з.п. ф-лы, 2 ил., 8 табл.
ОБЛАСТЬ ТЕХНИКИ, К КОТОРОЙ ОТНОСИТСЯ ИЗОБРЕТЕНИЕ
Настоящее изобретение относится к системам беспроводной связи. Более конкретно, настоящее изобретение относится к способу и устройству, предназначенным для реализации гибридного запроса автоматического повторения (H-ARQ) в системе беспроводной связи с множеством входов и множеством выходов (MIMO).
УРОВЕНЬ ТЕХНИКИ
H-ARQ представляет собой схему передачи, которая широко используется во многих системах беспроводной связи с целью гарантирования успешной передачи данных. В H-ARQ приемник посылает отклик передатчику, указывающий успешный или неуспешный прием пакета данных, чтобы передатчик повторно передал неуспешно переданный пакет данных.
MIMO является технологией, используемой для увеличения скорости передачи данных и пропускной способности системы. В системе MIMO передатчик и приемник используют множество антенн для передачи и приема таким образом, чтобы одновременно передавать множество потоков данных через множество антенн.
Для систем MIMO были предложены различные схемы передачи H-ARQ. В общепринятой простой схеме периодически повторяющегося H-ARQ для системы MIMO, если первоначальная передача является неудачной, символы просто повторяются в последующей передаче. Таблица 1 показывает передачи сигналов в соответствии с общепринятым простым периодически повторяющимся H-ARQ для системы MIMO 2×2.
| Таблица 1 |
 |
Антенна 1 |
Антенна 2 |
| Первая передача |
х1 |
х2 |
| Вторая передача |
х1 |
х2 |
Для развитой универсальной земной радиосвязи с абонентами (EUTRA) была предложена основанная на пространственно-временном блочном коде (STBC) схема H-ARQ для системы MIMO. Таблица 2 показывает передачи сигналов в соответствии с основанной на STBC H-ARQ для системы MIMO 2×2.
В системе MIMO 2×2 в качестве примерной системы MIMO принимаемый сигнал может быть выражен следующим образом:
Уравнение (1)
в котором t – индекс во времени, yi, где i = 1, 2, – принимаемые сигналы в приемной антенне i, hij, где i, j = 1, 2, – канальные коэффициенты между приемной антенной i и передающей антенной j, xj, где j = 1, 2, – передаваемые сигналы в передающей антенне j, а ni, где i = 1, 2, – шум в приемной антенне i. Предполагается, что канал представляет собой квазистатический канал, так что канальные коэффициенты являются такими же во время повторной передачи неуспешно переданного пакета, и временной индекс в канальных коэффициентах в дальнейшем будет снижаться.
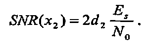
При высоком отношении сигнал-шум (SNR) SNR для двух потоков данных после того, как выявлена линейная минимальная среднеквадратическая ошибка (LMMSE), записывается следующим образом:
Уравнение (2)
и
Уравнение (3)
где Es – энергия символа, N0 – спектральная плотность мощности шума, и
Уравнение (4)
Уравнение (5)
и
Уравнение (6)
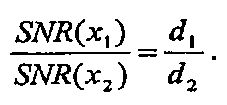
Отношение SNR между двумя потоками данных представляет собой:
Уравнение (7)
Отношение SNR в уравнении (7) или его разновидности используется в качестве критериев в выделении схемы модуляции и кодирования (MCS) для каждого из потоков данных.
Для общепринятой простой периодически повторяющейся передачи H-ARQ принимаемый сигнал в повторной передаче записывается следующим образом:
Уравнение (8)
Объединение уравнения (1) и уравнения (8) приводит к следующему результату:
Уравнение (9)
При высоком SNR отношения SNR для двух потоков данных после выявления LMMSE являются следующими:
Уравнение (10)
и
Уравнение (11)
Эти отношения SNR на 3 дБ выше, чем при первоначальной передаче. Соотношение SNR между двумя потоками данных является таким же, как при первоначальной передаче.
Для основанного на STBC H-ARQ сигнал, принимаемый для повторной передачи, записывается следующим образом:
Уравнение (12)
Объединение уравнения (12) и уравнения (1) приводит к следующему результату:
Уравнение (13)
При высоком SNR отношения SNR после детектора LMMSE для этих двух потоков данных являются следующими:
Уравнение (14)
Сравнивая уравнения (10), (11) и (14), можно заметить, что основанный на STBC H-ARQ увеличивает суммарное SNR по этим двум потокам данных по сравнению с простым периодически повторяющимся H-ARQ, когда перекрестный член |c| 0, что является в общем верным для произвольного канала MIMO.
Однако во многих практических системах, чтобы достигнуть максимальной пропускной способности, предлагаемой каналом MIMO, скоростью передачи данных, выделяемой для каждого пространственного потока данных, управляют отдельно в соответствии с его собственным SNR. Эта схема часто упоминается как регулирование скорости передачи по антеннам (PARC). При первоначальной передаче передатчик (например, узел-В) может выделять более высокую схему модуляции и кодирования (MCS) антенне с более высоким SNR и выделять более низкую MCS антенне с более низким SNR. Поскольку MCS часто поддерживается постоянным для каждой антенны, когда происходит повторная передача, желательно поддерживать после повторных передач постоянное отношение SNR между антеннами. Однако основанная на STBC схема H-ARQ уравнивает SNR по всем потокам данных после объединения пакетов, как показано в уравнении (14). Поэтому основанная на STBC схема H-ARQ не подходит для систем, которые адаптивно изменяют скорость передачи данных для пространственного потока (например, PARC).
РАСКРЫТИЕ ИЗОБРЕТЕНИЯ
Настоящее изобретение относится к способу и устройству, предназначенным для реализации H-ARQ в системе беспроводной связи MIMO. Передатчик передает по меньшей мере два пакета данных через две или больше антенн. Если по меньшей мере один из пакетов данных не передан успешно, передатчик повторно передает пакеты данных, переупорядочивая пакеты данных способом ортогонального расширения. В качестве альтернативы передатчик может повторно передавать только неуспешно переданный пакет данных вместе с новым пакетом данных, заменяя при этом успешно переданный пакет данных. Неуспешно переданный пакет данных может быть просто повторен без изменения его формата. Когда повторно передается только неуспешно переданный пакет данных вместе с новым пакетом данных, передачи могут быть объединены так, чтобы одновременно восстанавливать повторно переданный пакет данных и новый пакет данных.
КРАТКОЕ ОПИСАНИЕ ЧЕРТЕЖЕЙ
Более детальное понимание изобретения можно получить из следующего описания предпочтительного варианта осуществления, приведенного посредством примера, которое лучше можно понять вместе с прилагаемыми чертежами, на которых:
Фиг. 1 – блок-схема передатчика, сконфигурированного в соответствии с настоящим изобретением; и
Фиг. 2 – блок-схема приемника, сконфигурированного в соответствии с настоящим изобретением.
ОСУЩЕСТВЛЕНИЕ ИЗОБРЕТЕНИЯ
Настоящее изобретение может быть реализовано в любом типе систем беспроводной связи, включая, но не ограничиваясь, систему широкополосного множественного доступа с кодовым разделением каналов (WCDMA), с дуплексным разделением по частоте (FDD), с дуплексным разделением во времени (TDD), систему долгосрочного развития (LTE) третьего поколения (3G), систему мультиплексирования с ортогональным частотным разделением каналов (OFDM) или любую другую систему беспроводной связи.
Фиг. 1 и 2 представляют блок-схемы передатчика 100 и приемника 200, сконфигурированные в соответствии с настоящим изобретением. Передатчиком 100 и приемником 200 может быть беспроводный передающий/принимающий блок (WTRU) или базовая станция. Терминология “WTRU” включает в себя пользовательское оборудование (UE), передвижную станцию, неподвижный или передвижной абонентский блок, пейджер, телефон для сотовой связи, персональный цифровой помощник (PDA), компьютер или какой-либо другой тип пользовательского устройства, способный функционировать в беспроводной среде, но не ограничена этим. Терминология “базовая станция” включает в себя узел-В, контроллер пункта связи, точку доступа (АР) или какой-либо другой тип устанавливающего связь устройства, которое способно функционировать в беспроводной среде, но не ограничена этим.
Передатчик 100 включает в себя по меньшей мере две антенны 102, передатчик 104 H-ARQ и контроллер 106. Передатчик 104 H-ARQ передает одновременно по меньшей мере два пакета данных через антенны 102, реализуя механизм H-ARQ. Если по меньшей мере один из пакетов данных не передан успешно, передатчик 104 H-ARQ повторно передает пакеты данных. Контроллер 106 упорядочивает пакеты данных для повторной передачи в соответствии со схемой H-ARQ с ортогональным расширением, модифицированной схемой периодически повторяющегося H-ARQ или модифицированной основанной на STBC схемой H-ARQ в соответствии с настоящим изобретением, которая будет подробно объясняться ниже.
Приемник 200 включает в себя по меньшей мере две антенны 202, приемник 204 H-ARQ и процессор 206 для обработки данных. Приемник 200 может опционально включать в себя объединитель 208 данных. Данные, передаваемые передатчиком 100, принимаются антенной 202. Приемник 204 H-ARQ принимает данные, реализуя механизм H-ARQ. Процессор 206 для обработки данных восстанавливает пакеты данных, передаваемые передатчиком 100. Если передатчик 100 повторно передает неуспешно переданный пакет данных вместе с новым пакетом данных, который заменяет успешно переданный пакет данных, когда по меньшей мере один пакет данных не доставлен успешно в приемник 200 при первоначальной передаче, объединитель 208 данных может объединять повторно переданные данные и первоначально принятые данные после вычитания успешно принятого пакета данных из первоначально принятых данных. Затем процессор 206 для обработки данных одновременно обрабатывает неуспешно переданный пакет данных и новый пакет данных, которые переданы вместе при повторной передаче. В дальнейшем будет подробно объясняться обработка передачи и приема.
Далее поясняется основанная на ортогональном расширении схема H-ARQ в соответствии с настоящим изобретением. Таблица 3 показывает передачи сигналов в соответствии с основанной на ортогональном расширении схемой H-ARQ по настоящему изобретению для примерной системы MIMO 2×2. Следует отметить, что система MIMO 2×2 предоставляется в качестве примера, а не ограничения, и настоящее изобретение можно применять к системе, использующей больше чем две (2) антенны.
| Таблица 3 |
 |
Антенна 1 |
Антенна 2 |
| Первая передача |
х1 |
х2 |
| Вторая передача |
х1 |
-х2 |
Принимаемый сигнал для повторно передаваемого пакета записывается следующим образом:
Уравнение (15)
Объединение уравнения (15) и уравнения (1) приводит к следующему результату:
Уравнение (16)
Приемник LMMSE оценивает х1 и x2 из уравнения (16) следующим образом:
Уравнение (17)
где

При высоком SNR SNR после MMSE (минимальной среднеквадратической ошибки) для этих двух потоков данных является следующим:
Уравнение (18)
и
Уравнение (19)
Суммарное SNR по всем потокам данных является увеличенным по сравнению с общепринятой простой схемой периодически повторяющегося H-ARQ. SNR после повторной передачи показано в уравнениях (18) и (19). Отношение SNR между этими двумя потоками данных является таким же, как в первоначальной передаче, что является желательной характеристикой для активизируемых PARC систем MIMO.
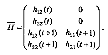
Основанная на ортогональном расширении схема H-ARQ может быть легко расширена больше чем на две антенные системы. Предположим, что вектор символа, подлежащий передаче через N антенн, представляет собой X0 = (x1, x2,… xN). Диаграмма направленности передачи, основанной на ортогональном расширении схемы H-ARQ определяется выражением:
Уравнение (20)
где UN – унитарная матрица N×N. n-й столбец матрицы X передается во время n-й передачи. Таблица 4 показывает передачи сигналов в соответствии с настоящим изобретением для примерной системы MIMO 4×4.
| Таблица 4 |
 |
Антенна 1 |
Антенна 2 |
Антенна 3 |
Антенна 4 |
| Первая передача |
х1 |
х2 |
х3 |
х4 |
| Вторая передача |
х1 |
-х2 |
х3 |
-х4 |
| Третья передача |
х1 |
х2 |
-х3 |
-х4 |
| Четвертая передача |
х1 |
-х2 |
-х3 |
х4 |
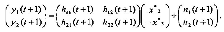
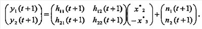
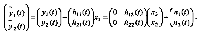
В соответствии с другим вариантом осуществления настоящего изобретения, когда один из переданных пакетов данных успешно не принят, повторно передается только неуспешно переданный пакет данных вместе с новым пакетом данных. Новый пакет данных заменяет успешно переданный пакет данных. Например, в системе MIMO 2×2 пакеты x1 и x2 данных передаются через две антенны, и пакет x1 данных успешно принят, а пакет x2 данных – нет. В общепринятых системах впоследствии повторно передаются оба пакета x1 и x2. В соответствии с настоящим изобретением повторно передается только неуспешно переданный пакет x2, а успешно переданный пакет x1 не передается. Вместо этого вместе с неуспешно переданным пакетом x2 передается новый пакет x3 данных.
Таблица 5 показывает передачи сигналов в соответствии с настоящим изобретением и общепринятой основанной на STBC схемой H-ARQ для примерной системы MIMO 2×2. В общепринятом основанном на STBC H-ARQ оба пакета x1 и x2 повторно передаются в разных форматах, как показано в таблице 5. В соответствии с настоящим изобретением новый пакет x3 данных заменяет успешно принятый пакет x1 общепринятой основанной на STBC системы H-ARQ, а неуспешно переданный пакет x2 данных и новый пакет x3 данных передаются так, как в основанной на STBC схеме H-ARQ, как показано в таблице 5. Предполагается, что в этом случае никакой тип PARC адаптации скорости передачи не используется. Чтобы упростить конструкцию приемника, формат нового пакета x3 может быть идентичным пакету x1 данных во второй передаче (то есть сопряженный и инвертированный). В качестве альтернативы формат для нового пакета x3 данных может отличаться от пакета x1 данных.
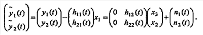
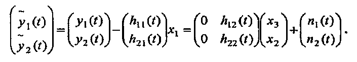
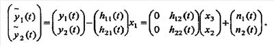
В приемнике, поскольку пакет x1 данных принят успешно, декодированные биты пакета x1 данных восстанавливаются и вычитаются из принятых данных для первой передачи. Затем модифицированные принятые данные объединяются с принимаемыми данными для второй передачи. В повторно переданном пакете данных (то есть в пакете x2 данных) достигается пространственное разнесение. Такое устройство улучшает SNR нового пакета x3 данных, что будет объясняться ниже.
Принимаемый сигнал первой передачи является таким, как в уравнении (1). После вычитания успешно принятого пакета x1 данных из принятых данных он становится следующим:
Уравнение (21)
Пакет x3 добавляется в уравнение (21), чтобы облегчить описание, представленное ниже.
Принимаемый сигнал для второй передачи записывается следующим образом:
Уравнение (22)
Объединение уравнений (21) и (22) приводит к следующему результату:
Уравнение (23)
Уравнение (23) преобразует две системы 2×2 в виртуальную систему 2×4. Чтобы демодулировать пакеты x2 и x3, можно применять общепринятую LMMSE следующим образом:
Уравнение (24)
где

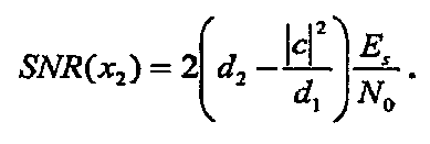
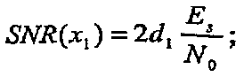
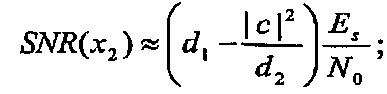
В квазистатическом канале пространственное разнесение достигается на повторно передаваемом пакете x2 данных со сниженной интерференцией благодаря нулевым элементам в матрице, приведенной выше. Предполагая квазистатический канал и понижая временной индекс t, при высоком SNR отношения SNR потоков данных для второй передачи записываются следующим образом:
Уравнение (25)
и
Уравнение (26)
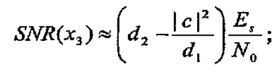
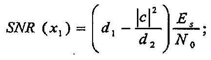
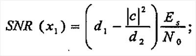
где d1=|h11|2+|h12|2+|h21|2+|h22|2, d2=|h12|2+|h22|2 и c=-h11h12 *-h21h22 *.
Относительно нового пакета x3 данных можно использовать общепринятую методику выявления, при которой пакет x2 выявляется независимо от двух передач, что сопровождается объединением с максимальным соотношением (MRC), и пакет x3 выявляется только с использованием второй передачи. Другими словами, общепринятая методика решает уравнения (21) и (22) по отдельности, затем выполняет объединение. В уравнении (21), поскольку все эффективные канальные коэффициенты, соответствующие x3, равны нулю (0), из уравнения (21) может быть получена только информация относительно x2. С этой методикой выявления отношения SNR являются следующими:
Уравнение (27)
и
Уравнение (28)
где d1 ‘=|h11|2+|h21|2. SNR пакета x2 является идентичным в обоих методах. Однако для x3 достигается лучшее SNR в соответствии с настоящим изобретением при сравнении уравнений (26) и (28) и с учетом того, что d1 > d1 .
Настоящее изобретение может быть расширено на системы с более чем двумя антеннами. Таблицы 6 и 7 демонстрируют примеры расширения до системы с четырьмя антеннами. Таблица 6 показывает общепринятую основанную на STBC схему H-ARQ, а таблица 7 показывает основанную на STBD схему H-ARQ, в которой успешно переданный пакет заменяется новым пакетом, в соответствии с настоящим изобретением.
В качестве альтернативы неуспешно переданный пакет x2 может быть просто повторен, а новый пакет x3 одновременно передан вместе с пакетом x2. Таблица 8 показывает передачи сигналов в соответствии с настоящим изобретением и общепринятой простой схемой периодически повторяющегося H-ARQ для примерной системы MIMO 2×2. В общепринятой простой схеме периодически повторяющегося H-ARQ пространственный поток, который успешно принят, для повторной передачи оставляют пустым. В соответствии с настоящим изобретением вместо пропущенного пакета передается новый пакет x3 данных. Поэтому достигается более высокая спектральная эффективность.
| Таблица 8 |
 |
Антенна 1 |
Антенна 2 |
| Первая передача |
x1 (успех) |
x2 (неудача) |
| Вторая передача (общепринятый простой периодически повторяющийся H-ARQ) |
0 |
x2 |
| Вторая передача (настоящее изобретение) |
x3 |
x2 |
Принимаемый сигнал первой передачи является таким, как в уравнении (1). После вычитания информационных битов успешно принятого пакета x1 данных из первоначально принятых данных он становится следующим:
Уравнение (29)
Принимаемый сигнал для второй передачи записывается в виде следующего выражения:
Уравнение (30)
Объединение уравнений (29) и (30) приводит к уравнению:
Уравнение (31)
Вместо решения уравнений (29) и (30) с последующим объединением настоящее изобретение применяет LMMSE для решения уравнения (31) следующим образом:
Уравнение (32)
где

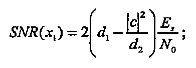
При высоком SNR отношения SNR после MMSE для x2 и x3 являются следующими:
Уравнение (33)
и
Уравнение (34)
где d1=2(|h12|2+|h22|2), d2=|h11|2+|h21|2 и c=h11h12 *+h21h22 *.
Для общепринятого приемника перед объединением данные выявляются по отдельности для каждой передачи. Другими словами, при общепринятом выявлении решение уравнений (29) и (30) выполняется по отдельности, затем объединяется выявленный сигнал. Предполагая, что для решения уравнения (31) используется приемник LMMSE и для объединения выявленного сигнала используется объединение с максимальным соотношением (MRC), объединенный SNR для данных x2 и x3 при высоком SNR может быть записан как:
Уравнение (35)
и
Уравнение (36)
где d1 ‘=2(|h12|2+|h22|2), d2=|h11|2+|h21|2 и c=h11h12 *+h21h22 *.
Посредством сравнивания уравнений (33) и (35) показано, что SNR повторно переданного пакета x2 данных является идентичным и для общепринятой схемы, и для настоящего изобретения. Однако посредством сравнивания уравнений (34) и (36) показано, что SNR нового пакета x3 данных при использовании настоящего изобретения улучшено, поскольку d1 > d1 .
Варианты осуществления
1. Способ реализации H-ARQ в системе беспроводной связи MIMO.
2. Способ по варианту 1 осуществления, содержащий передатчик, передающий в приемник по меньшей мере два пакета данных.
3. Способ по варианту 2 осуществления, содержащий передатчик, повторно передающий в приемник пакеты данных, переупорядочивая пакеты данных способом ортогонального расширения для повторной передачи, если по меньшей мере один из пакетов данных не передан успешно.
4. Способ по любому из вариантов 2-3 осуществления, в котором для передачи пакетов данных выполняется PARC.
5. Способ по любому из вариантов 2-4 осуществления, в котором и передатчик, и приемник включают в себя две (2) антенны и передатчик при первоначальной передаче передает через две антенны символы х1 и x2 данных, а при повторной передаче передает символы х1 и -x2 данных.
6. Способ по любому из вариантов 2-4 осуществления, в котором и передатчик, и приемник включают в себя четыре (4) антенны и передатчик при первоначальной передаче передает через четыре антенны символы х1, x2, x3 и x4 данных, а при первой повторной передаче передает символы х1, -x2, x3 и -x4 данных.
7. Способ по варианту 6 осуществления, в котором при второй повторной передаче передатчик передает символы х1, x2, -x3 и -x4 данных.
8. Способ по варианту 7 осуществления, в котором при третьей повторной передаче передатчик передает символы данных х1, -x2, -x3 и x4.
9. Способ по варианту 2 осуществления, содержащий, если при первоначальной передаче по меньшей мере один из пакетов данных не передан успешно, передатчик, повторно передающий неуспешно переданный пакет данных вместе с новым пакетом данных, который заменяет успешно переданный пакет данных.
10. Способ по варианту 9 осуществления, содержащий приемник, составляющий успешно переданный пакет данных.
11. Способ по варианту 10 осуществления, содержащий приемник, вычитающий успешно переданный пакет данных из первоначально принятых данных.
12. Способ по варианту 11 осуществления, содержащий приемник, объединяющий повторно переданные данные и первоначально принятые данные после вычитания успешно переданного пакета данных.
13. Способ по варианту 12 осуществления, содержащий приемник, выполняющий обработку для получения неуспешно переданного пакета данных при первоначальной передаче и в то же самое время нового пакета данных.
14. Способ по любому из вариантов 9-13 осуществления, в котором неуспешно переданный пакет данных просто повторяется без изменения формата, как при первоначальной передаче.
15. Способ по любому из вариантов 9-13 осуществления, в котором неуспешно переданный пакет данных и новый пакет данных упорядочиваются в соответствии с основанной на STBC схемой H-ARQ.
16. Способ по любому из вариантов 9-15 осуществления, в котором формат для нового пакета данных является идентичным успешно переданному пакету данных.
17. Способ по любому из вариантов 9-15 осуществления, в котором формат для нового пакета данных отличается от успешно переданного пакета данных.
18. Способ по любому из вариантов 9-17 осуществления, в котором для передачи пакетов данных выполняется PARC.
19. Передатчик, предназначенный для реализации H-ARQ в системе беспроводной связи MIMO.
20. Передатчик по варианту 19 осуществления, содержащий по меньшей мере две антенны.
21. Передатчик по варианту 20 осуществления, содержащий передатчик H-ARQ для передачи через антенны по меньшей мере двух пакетов данных одновременно и повторной передачи пакетов данных, если по меньшей мере один из пакетов данных не передан успешно.
22. Передатчик по любому из вариантов 19-21 осуществления, содержащий контроллер для переупорядочивания пакетов данных способом ортогонального расширения для повторной передачи.
23. Передатчик по любому из вариантов 19-22 осуществления, в котором для передачи пакетов данных выполняется PARC.
24. Передатчик по любому из вариантов 19-23 осуществления, в котором и передатчик, и приемник включают в себя две (2) антенны и контроллер при первоначальной передаче передает через две антенны символы х1 и x2 данных, а при повторной передаче передает символы х1 и -x2 данных.
25. Передатчик по любому из вариантов 19-23 осуществления, в котором и передатчик, и приемник включают в себя четыре (4) антенны и контроллер при первоначальной передаче передает через четыре антенны символы х1, x2, x3 и x4 данных, а при первой повторной передаче передает символы х1, -x2, x3 и -x4 данных.
26. Передатчик по варианту 25 осуществления, в котором передатчик при второй повторной передаче передает символы х1, x2, -x3 и -x4 данных.
27. Передатчик по варианту 26 осуществления, в котором передатчик при третьей повторной передаче передает символы х1, -x2, -x3 и x4 данных.
28. Передатчик по варианту 20 осуществления, содержащий передатчик H-ARQ для передачи по меньшей мере двух пакетов данных через антенны и повторной передачи пакетов данных, если при первоначальной передаче по меньшей мере один из пакетов данных не передан успешно.
29. Передатчик по варианту 28 осуществления, содержащий контроллер для управления передатчиком H-ARQ так, чтобы повторно передавался только неуспешно переданный пакет данных вместе с новым пакетом данных, который заменяет успешно переданный пакет данных.
30. Передатчик по любому из вариантов 28-29 осуществления, в котором неуспешно переданный пакет данных просто повторяется без изменения формата.
31. Передатчик по любому из вариантов 28-30 осуществления, в котором формат для нового пакета данных является идентичным успешно переданному пакету данных.
32. Передатчик по любому из вариантов 28-30 осуществления, в котором формат для нового пакета данных отличается от успешно переданного пакета данных.
33. Передатчик по любому из вариантов 28-31 осуществления, в котором для передачи пакетов данных выполняется PARC.
34. Приемник, предназначенный для реализации H-ARQ в системе беспроводной связи MIMO.
35. Приемник по варианту 34 осуществления, содержащий по меньшей мере две антенны.
36. Приемник по варианту 35 осуществления, содержащий приемник H-ARQ для приема данных от передатчика, передатчик, повторно передающий неуспешно переданный пакет данных вместе с новым пакетом данных, который заменяет успешно переданный пакет данных, когда при первоначальной передаче по меньшей мере один пакет данных не доставлен успешно в приемник.
37. Приемник по варианту 36 осуществления, содержащий процессор для обработки данных, предназначенный для восстановления пакетов данных, передаваемых передатчиком.
38. Приемник по варианту 37 осуществления, содержащий объединитель данных для объединения повторно переданных данных и первоначально принятых данных после вычитания успешно принятого пакета данных из первоначально принятых данных, в котором процессор для обработки данных одновременно обрабатывает неуспешно переданный пакет данных и новый пакет данных, которые переданы вместе при повторной передаче.
39. Приемник по любому из вариантов 36-38 осуществления, в котором неуспешно переданный пакет данных просто повторяется без изменения формата.
40. Приемник по любому из вариантов 36-39 осуществления, в котором формат для нового пакета данных является идентичным успешно переданному пакету данных.
41. Приемник по любому из вариантов 36-39 осуществления, в котором формат для нового пакета данных отличается от успешно переданного пакета данных.
Хотя признаки и элементы настоящего изобретения в предпочтительных вариантах осуществления описаны в конкретных комбинациях, каждый признак или элемент можно использовать по одному, без других признаков и элементов предпочтительных вариантов осуществления, или в различных комбинациях с другими признаками и элементами настоящего изобретения или без них. Способы или блок-схемы, представленные в настоящем изобретении, могут быть реализованы в компьютерной программе, программном обеспечении или встроенном программном обеспечении, ощутимо воплощенном в машиночитаемом носителе для выполнения компьютером общего назначения или процессором. Примеры машиночитаемых носителей включают в себя постоянное запоминающее устройство (ПЗУ), оперативное запоминающее устройство (ОЗУ), регистр, кэш-память, полупроводниковые запоминающие устройства, магнитные носители, такие как внутренние жесткие диски и съемные диски, магнитооптические носители и оптические носители, такие как диски CD-ROM (неперезаписываемые компакт-диски), и цифровые многоцелевые диски (DVD).
Подходящие процессоры включают в себя, посредством примера, процессор общего назначения, специализированный процессор, обычный процессор, цифровой процессор сигналов (ЦПС), множество микропроцессоров, один или более микропроцессоров в связи с ядром ЦПС, контроллер, микроконтроллер, интегральные схемы прикладной ориентации (ИСПО), схемы программируемых пользователем вентильных матриц (ППВМ), любой другой тип интегральной схемы (ИС) и/или конечный автомат.
Процессор в связи с программным обеспечением может использоваться для того, чтобы реализовывать радиочастотный приемопередатчик для использования в беспроводном приемопередающем блоке (WTRU), пользовательском оборудовании (UE), терминале, базовой станции, контроллере радиосети (RNC) или любой главной вычислительной машине. Блок WTRU может использоваться вместе с модулями, реализованными в аппаратном обеспечении и/или программном обеспечении, такими как фотокамера, модуль видеокамеры, видеотелефон, устройство громкоговорящей связи, вибрационное устройство, акустическая система, микрофон, телевизионный приемопередатчик, громкоговорящая мобильная трубка, клавиатура, модуль Bluetooth® (технология “Блютус”), блок радиосвязи с частотной модуляцией (ЧМ), устройство отображения с жидкокристаллическим дисплеем (ЖК-дисплеем), устройство отображения на органическом светоизлучающем диоде (OLED), цифровой плеер для воспроизведения музыки, медиаплеер, модуль плеера видеоигр, браузер сети “Интернет” и/или любой модуль беспроводной локальной сети (БЛС).
Формула изобретения
1. Способ реализации гибридного автоматического запроса повторения (Н-ARQ) передачи в системе с множеством входов и множеством выходов (MIMO), причем способ содержит этапы, на которых: передают первый пакет данных и второй пакет данных через множество передающих антенн, принимают отклик H-ARQ, указывающий, что первый пакет данных был успешно передан и второй пакет данных не был успешно передан; и осуществляют повторную передачу второго пакета данных вместе с третьим пакетом данных вместо первого пакета данных.
2. Способ по п.1, в котором третий пакет данных является сопряженным и/или инвертированным.
3. Способ по п.2, в котором второй и третий пакеты данных передаются в соответствии с основанной на пространственно-временном блочном кодировании (STBC) схемой H-ARQ.
4. Способ по п.2, в котором второй пакет данных является сопряженным и/или преобразованным до его повторной передачи.
5. Передатчик для реализации гибридного автоматического запроса на повторение (H-ARQ) передачи в системе с множеством входов и множеством выходов (MIMO), причем передатчик содержит: множество антенн; передатчик H-ARQ, выполненный с возможностью передавать первый пакет данных и второй пакет данных через антенны и повторно передавать пакеты данных, которые не были успешно переданы; и контроллер, выполненный с возможностью управлять передатчиком Н-ARQ так, что при условии, что первый пакет данных был успешно передан и второй пакет данных не был успешно передан, передатчик H-ARQ повторно передает второй пакет данных вместе с третьим пакетом данных вместо первого пакета данных.
6. Передатчик по п.5, в котором третий пакет данных является сопряженным и/или инвертированным.
7. Передатчик по п.5, в котором второй и третий пакеты данных передаются в соответствии с основанной на пространственно-временном блочном кодировании (STBC) схемой H-ARQ.
8. Передатчик по п.5, в котором второй пакет данных является сопряженным и/или преобразованным до его повторной передачи.
РИСУНКИ
|