|
(21), (22) Заявка: 2009105962/09, 19.02.2009
(24) Дата начала отсчета срока действия патента:
19.02.2009
(46) Опубликовано: 20.07.2010
(56) Список документов, цитированных в отчете о поиске:
RU 2282209 С1, 20.08.2006. RU 2237965 С2, 10.10.2004. RU 2249850 С2, 10.04.2005. RU 2045129 С1, 27.09.1995. WO 98/56184 A1, 10.12.1998. ЕР 0075681 A2, 06.04.1983.
Адрес для переписки:
662972, Красноярский край, ЗАТО Железногорск, г. Железногорск, ул. Ленина, 52, ОАО “ИСС”, Начальнику УИО, Р.П. Туркеничу
|
(72) Автор(ы):
Кузовников Александр Витальевич (RU), Сомов Виктор Григорьевич (RU)
(73) Патентообладатель(и):
Открытое акционерное общество “Информационные спутниковые системы” имени академика М.Ф. Решетнёва” (RU)
|
(54) СПОСОБ ЦИФРОВОЙ ФИЛЬТРАЦИИ СИГНАЛОВ
(57) Реферат:
Изобретение относится к радиотехнике, радиолокации, радионавигации и может быть использовано в системах, где требуется проводить цифровую обработку сигналов с неизвестной структурой на фоне шума. Достигаемый технический результат – значительный выигрыш в помехоустойчивости. Способ цифровой фильтрации с использованием адаптивной, сглаживающей полиномиальной и вейвлет-фильтрации характеризуется тем, что обработку входного сигнала проводят одновременно всеми перечисленными методами, при этом качество фильтрации различными алгоритмами оценивают путем вычисления коэффициента корреляции между всеми парами отфильтрованных сигналов по принципу “каждый с каждым”, формируют выходной сигнал yвых, который представляет собой среднее значение между двумя выходными сигналами, коэффициент корреляции между которыми выше и его используют для корректировки алгоритмов фильтрации составных фильтров на последующем этапе фильтрации. 2 ил.
Изобретение относится к радиотехнике, радиолокации, радионавигации, радиомониторингу и может быть использовано в радиотехнических системах, где требуется проводить цифровую обработку сигналов с неизвестной структурой на фоне шума.
В настоящее время известны различные способы и устройства (см. патенты и заявки на изобретения Российской Федерации 2282209, 95101521, 2001122784) цифровой фильтрации. Предлагаемые способы и устройства цифровой фильтрации основаны на:
– фильтрации входного процесса в двумерной масштабно-временной области с помощью операций непрерывного вейвлет-преобразования;
– оптимальной обработке заранее известных сигналов на фоне шума;
– адаптивных методах фильтрации.
Известно устройство оптимальной фильтрации сложных сигналов на фоне шума. Заявленное изобретение относится к радиотехнике, радиолокации и навигации и представляет собой оптимальный фильтр, в котором все вычисляемые произведения входного сигнала с опорным находятся в заданном диапазоне значений, определяемом входным отношением сигнал/шум [Заявка на изобретение RU 95101521 A1, H03H 17/00, Устройство оптимальной фильтрации сложных сигналов, опубликована 27.11.1996].
Недостатком данного способа является возможность оптимальной фильтрации заранее известных сигналов на фоне шума. При этом не решается задача фильтрации сигнала с неизвестной структурой.
Также известен способ цифровой адаптивной фильтрации радиосигналов на основе совместного использования М цифровых фильтров, тип каждого из которых оптимален по критерию максимума апостериорной плотности вероятности для фильтрации одного из базовых сигналов. В предлагаемом способе цифровой адаптивной фильтрации используют тренировочный процесс для оптимального обнаружения элемента структуры объекта зондирования. При осуществлении фильтрации М фильтрами проводят задание порогов принятия решений, вычисление вероятностей различных гипотез относительно типа входного сигнала, вычисление отношений вероятностей и их сравнение с порогами, определение наиболее вероятной гипотезы о типе входного сигнала. При этом проводят оценку амплитуды входного сигнала, отвечающего различным гипотезам, причем количество задаваемых порогов принятия решений определяется числом гипотез [заявка на изобретение RU 2001122784 А, Н03Н 21/00, А61В 8/00, Способ цифровой адаптивной фильтрации сигналов и устройство для его выполнения, опубликованная 10.07.2003].
Недостатком данного способа является возможность цифровой адаптивной фильтрации одного из базовых сигналов. При этом не решается задача фильтрации сигнала с неизвестной структурой (произвольным типом модуляции).
Анализ источников информации патентной и научно-технической литературы показал, что наиболее близким является способ двухуровневой фильтрации сигналов, согласно которому сначала проводят предварительную фильтрацию принятого входного сигнала в масштабно-временной области путем вычисления прямого вейвлет-преобразования принятого входного сигнала, вычисления прямого вейвлет-преобразования копии излученного сигнала, формирования двумерной фильтрующей функции в масштабно-временной плоскости, после чего проводят согласованную фильтрацию от обратного вейвлет-преобразования.
Достигаемым техническим результатом применения предварительной фильтрации является значительный выигрыш (более 6 дБ) в помехоустойчивости по сравнению с классической согласованной фильтрацией или корреляционным приемником [патент RU 2282209 C1, G01S 7/36, G01S 15/00, Способ и устройство обнаружения сложных широкополосных частотно-модулированных сигналов с фильтрацией в масштабно-временной области, опубликованный 20.08.2006], который выбран в качестве прототипа.
Тем не менее, указанный способ позволяет проводить фильтрацию только сложных широкополосных частотно-модулированных сигналов, при этом использование данного способа для фильтрации сигналов с неизвестной структурой (произвольным типом модуляции) не представляется возможным.
Задачей настоящего изобретения является повышение отношения сигнал/шум входного сигнала с априорно неизвестными структурными параметрами. Эту задачу решают предлагаемым способом цифровой фильтрации, который одновременно использует:
– адаптивные алгоритмы фильтрации с линейным предсказанием;
– сглаживающие полиномиальные алгоритмы фильтрации;
– алгоритмы пакетной вейвлет-фильтрации.
Выбор фильтров различного типа обусловлен постановкой задачи исследования, согласно которой фильтрацию проводят при априорной неопределенности параметров входного сигнала. Различные алгоритмы фильтрации по разному обрабатывают входной сигнал, совместное использование перечисленных алгоритмов фильтрации позволяет создать комплексный алгоритм цифровой фильтрации.
Выбор адаптивного фильтра с линейным предсказанием обусловлен тем, что данный алгоритм фильтрации не требует априорной информации об исследуемом сигнале. Для фильтрации входного сигнала применяют авторегрессионный метод линейного предсказания, который сводится к решению рекуррентного уравнения, по которому из ряда предшествующих точек сигнала вычисляется ряд последующих точек.
Принцип работы сглаживающих полиномиальных фильтров основан на том, что при фильтрации данные разбиваются на кадры, которые аппроксимируют полиномами, коэффициенты которых подбирают по критерию минимума среднего квадрата отклонения.
Еще одним из методов фильтрации сигнала с априорно неопределенными параметрами при низком отношением сигнал/шум является метод, основанный на использовании алгоритмов вейвлет-анализа. В алгоритме Маллата быстрого вейвлет-преобразования (БВП) при переходе с масштабного уровня m на уровень m+1 функцию аппроксимирующих коэффициентов cm,k разделяют на низкочастотную (cm+1,k) и высокочастотную (dm+1,k) части спектрального диапазона, и при дальнейшем увеличении масштабных уровней аналогичному разложению последовательно подвергают только низкочастотные функции (аппроксимирующие), как показано на фиг.1 слева. В пакетном алгоритме БВП операцию последовательного частотного расщепления применяют как для низкочастотных, так и для высокочастотных (детализирующих) коэффициентов. В результате возникает древо разложения вейвлет-коэффициентов быстрого вейвлет-преобразования, пример которого (в предельной форме расщепления на всех уровнях) показан на фиг.1 справа.
При таком расщеплении вейвлеты каждого последующего уровня образуют из вейвлета предыдущего уровня разделением на два новых вейвлета:
 
где:
hn – коэффициенты низкочастотного фильтра для текущего уровня декомпозиции;
gn – коэффициенты высокочастотного фильтра для текущего уровня декомпозиции;
t – анализируемый временной интервал;
n – шаг разложения.
Новые вейвлеты также локализованы в пространстве, но на вдвое более широком интервале. Полный набор вейвлетных функций разложения называют вейвлет-пакетом. Мерой оптимальности служит концентрация числа вейвлет-коэффициентов для реконструкции сигнала с заданной точностью. Оценка информативности набора коэффициентов выполняется по энтропии, под которой понимают величину:

где s является сигналом, a sn является значениями сигнала s.
Любое усреднение коэффициентов увеличивает энтропию. При анализе древа вычисляют энтропию узлов и его разделенных частей c и d (см. фиг.1). Если при разделении узла энтропия не уменьшается, то дальнейшее ветвление с этого узла не имеет смысла.
Сам процесс фильтрации сигналов с использованием вышеизложенного алгоритма заключается в том, что производят ограничение древа до определенного уровня декомпозиции и отсечку ветвей с локальными особенностями сигналов, например с шумами.
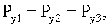
Принцип работы предлагаемого способа цифровой фильтрации показан на фиг.2. Согласно приведенной на фиг.2 схеме входной сигнал xвх(t) одновременно поступает на все составные фильтры. Так как параметры сигнала, поступающего на вход приемника, априорно неизвестны, следовательно, качество фильтрации различными методами оценить сложно, поэтому принимают решение о том, что все сигналы равновероятно отфильтрованы с одинаковым качеством, то есть:

где:
Py1 – вероятность того, что первый фильтр лучше отфильтровал входной сигнал;
Py2 – вероятность того, что второй фильтр лучше отфильтровал входной сигнал;
Py3 – вероятность того, что третий фильтр лучше отфильтровал входной сигнал.
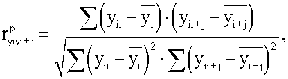
После фильтрации различными методами вычисляют коэффициент корреляции между всеми выходными сигналами yi(t) составных фильтров по принципу “каждый с каждым”, согласно соотношению Браве-Пирсона данный коэффициент относится к параметрическим коэффициентам и для практических расчетов вычисляется по формуле:

где:
yii – значения отсчетов сигнала с выхода одного из фильтров;
– среднее значение по всем отсчетам сигнала на выходе одного из фильтров;
yii+j – значения отсчетов сигнала с выхода другого фильтра;
– среднее значение по всем отсчетам сигнала на выходе другого фильтра.
После проведенных расчетов в решающем устройстве принимают решение о том, что между двумя выходными сигналами yi, yi+j коэффициент корреляции выше, чем между любыми другими парами сигналов yi+k, yi+h.
Для сигналов yi и yi+j на выходе фильтров, между которыми коэффициент корреляции выше, принимают решение о том, что вероятность более качественной фильтрации у данной пары фильтров выше, чем между другими парами фильтров. Например, если коэффициент корреляции между первым и вторым фильтром больше чем между первым и третьим , вторым и третьим , то Py1=Py2>Py3.
Для дальнейшей обработки сигнала рассчитывают выходной сигнал yвых, который представляет собой среднее значение между двумя выходными сигналами, коэффициент корреляции между которыми выше, вычисление увых производят согласно следующему соотношению:

где:
yii, yii+j – значения отсчетов сигналов с выходов фильтров, коэффициент корреляции между которыми выше.
После того как рассчитан выходной сигнал yвых, данный сигнал используют для автоматической корректировки алгоритмов фильтрации всех составных фильтров. Данный сигнал становится опорным при дальнейшей фильтрации входного сигнала. На каждом очередном этапе фильтрации опорный сигнал yвых корректируют, подстраивая тем самым составные фильтры и оптимизируя процесс цифровой фильтрации входного сигнала с неизвестной структурой.
Предложенный способ цифровой фильтрации входного сигнала с неизвестной структурой является универсальным, поскольку позволяет системе автоматически подстраиваться под входной сигнал.
Достигаемым техническим результатом является повышение отношения сигнал/шум входного сигнала с неизвестной структурой. Данный результат достигают за счет применения нескольких независимых алгоритмов фильтрации, при этом качество фильтрации оценивают путем вычисления коэффициента корреляции между всеми парами сигналов (по принципу “каждый с каждым”) отфильтрованными разными методами. При этом полученный выходной сигнал yвых на каждом этапе фильтрации используют в качестве опорного для корректировки алгоритмов фильтрации составных фильтров на последующем этапе фильтрации, организованный таким образом итерационный процесс продолжают в течение всего времени фильтрации входного сигнала с неизвестной структурой.
Формула изобретения
Способ цифровой фильтрации сигнала с использованием адаптивной, сглаживающей полиномиальной и вейвлет фильтрации, отличающийся тем, что обработку входного сигнала проводят одновременно всеми перечисленными методами, при этом качество фильтрации различными алгоритмами оценивают путем вычисления коэффициента корреляции между всеми парами отфильтрованных сигналов по принципу “каждый с каждым”, после чего формируют выходной сигнал yвых, который представляет собой среднее значение двух выходных сигналов, коэффициент корреляции между которыми выше, выходной сигнал yвых на каждом этапе фильтрации используют в качестве опорного для корректировки алгоритмов фильтрации составных фильтров на последующем этапе фильтрации, причем организованный таким образом итерационный процесс продолжают в течение всего времени фильтрации входного сигнала с неизвестной структурой.
РИСУНКИ
|