Патент на изобретение №2168181
|
||||||||||||||||||||||||||
(54) СПОСОБ РАЗДЕЛЬНОГО ИЗМЕРЕНИЯ ПАРАМЕТРОВ N-ЭЛЕМЕНТНЫХ ДВУХПОЛЮСНИКОВ МНОГОПЛЕЧИМ ТРАНСФОРМАТОРНЫМ МОСТОМ
(57) Реферат: Использование: в измерении на переменном токе параметров n-элементных двухполюсников, схема замещения которых состоит из последовательно включенных участков. Технический результат заключается в повышении точности измерения параметров n-элементного двухполюсника посредством их раздельного отсчета по числам витков в частотно-независимом состоянии равновесия многоплечего трансформаторного моста. Предлагается формировать напряжение питания плеча измерения, изменяющееся с частотой подобно комплексному сопротивлению этого плеча, путем установки чисел витков регулируемых основных плеч отношения, вычисляемых по отсчетам чисел витков двух регулируемых дополнительных плеч отношения. Проводят серии повторных уравновешиваний моста на заданных частотах измерения, а также по активной и реактивной составляющим этого напряжения, установленного при предыдущей серии повторных уравновешиваний, а раздельный отсчет измеряемых параметров проводят по числам витков регулируемых основных плеч отношения. 1 ил. Изобретение относится к электроизмерительной технике, а конкретно к мостовым методам измерения на переменном токе параметров n-элементных двухполюсников, схема замещения которых состоит из последовательно включенных участков. Известен способ раздельного измерения параметров n – элементных двухполюсников мостом переменного тока (см. а.с. N 158627 (СССР), МКИ2 G 01 R 27/02, Б.И. N 22, 1963 г.), по которому мост питают от генератора качающейся частоты. По углу и ширине эллипса, появляющегося при качании частоты на экране осциллографа, включенного по фазочувствительной схеме в измерительную диагональ моста, проводят ряд повторных уравновешиваний моста на заданной частоте регулировками двух параметров. По достижении частотно-независимого состояния равновесия производят раздельный отсчет измеряемых параметров по значениям регулируемых параметров n-элементного плеча сравнения, выполненного по схеме измеряемого двухполюсника. Недостаток этого способа, выбранного в качестве аналога, заключается в низкой точности измерения из-за весьма большого порога чувствительности широкополосного нуль-индикатора, каковым является отмеченный осциллограф для наблюдения за эллипсом при качании частоты. Другой недостаток аналога заключается в существенной ограниченности его функциональных возможностей. Обусловлено это сложным и длительным процессом уравновешивания по n регулируемым параметрам, так как уже при n = 3 нет однозначного соответствия между углом наклона эллипса на экране и знаком отклонения регулируемого по этому эллипсу параметра трехэлементного плеча сравнения. При n > 3 частотно-независимого равновесия моста добиться чрезвычайно трудно. Известен выбранный за прототип способ раздельного измерения параметров n – элементных двухполюсников мостом переменного тока по а.с. N 1599803 (СССР), МКИ5 G 01 R 27/02, Б.И. N 38, 1990 г., состоящий из двух этапов. На первом этапе способа проводят ряд уравновешиваний моста на n/2 заданных частотах, если число n измеряемых параметров четное, и на (n+1)/2 частотах, если n – нечетное число, регулировками двух дополнительных параметров плеча сравнения, отсчитывают значения активной и реактивной составляющих импеданса плеча измерения, вычисляют по ним параметры образцового двухполюсника. На втором этапе способа проводят серии повторных уравновешиваний моста с упомянутым образцовым двухполюсником в плече сравнения регулировками отмеченных двух дополнительных параметров этого плеча на заданных частотах. Перед проведением каждой очередной серии повторных уравновешиваний моста устанавливают значения параметров образцового двухполюсника, которые вычисляют по отсчетам упомянутых двух дополнительных регулируемых параметров, а также по значениям активной и реактивной составляющих импеданса образцового двухполюсника при предыдущих уравновешиваниях. Серии повторных уравновешиваний проводят до получения нулевых показаний избирательного амплитудного нуль-индикатора на заданных частотах измерения при нулевых значениях дополнительных параметров плеча сравнения. Недостаток прототипа заключается в том, что по нему раздельный отсчет измеряемых n параметров осуществляют по значениям основных параметров n регулируемых резисторов и конденсаторов, из которых собран образцовый двухполюсник по схеме замещения объекта измерения. Остаточные параметры этих регулируемых резисторов и конденсаторов, паразитные емкости элементов коммутации, с помощью которых устанавливают вычисленные значения параметров образцового двухполюсника, а также емкости утечки между внутренними узлами схемы образцового двухполюсника и его заземленным экраном являются источниками погрешности измерения, защита от которых моста, реализующего измерения по прототипу, а также учет которых при проведении вычислений весьма усложнены. Указанный недостаток прототипа может значительно ограничить точность измерения параметров n-элементных двухполюсников мостовым методом. Сущность изобретения заключается в повышении точности измерения параметров n-элементного двухполюсника посредством их раздельного отсчета по числам витков в частотно-независимом состоянии равновесия многоплечего трансформаторного моста. Этот технический результат при осуществлении изобретения достигается в известном по а. с. N 1599803 способе раздельного измерения параметров n-элементного двухполюсника с помощью многоплечего трансформаторного моста, содержащем операции уравновешивания при синфазном питании плеч сравнения и измерения регулировками чисел витков двух дополнительных плеч отношения этого моста с углом сходимости по ним, равным 90o, на n/2, если число n измеряемых параметров четное, и на (n+1)/2 частотах, если n – нечетное, с последующим проведением серий повторных уравновешиваний регулировками чисел витков отмеченных двух дополнительных плеч отношения до получения их нулевых значений. Особенность заключается в том, что перед проведением каждой серии повторных уравновешиваний формируют напряжение, изменяющееся с частотой подобно комплексному сопротивлению питаемого им плеча измерения, путем установки чисел витков n регулируемых основных плеч отношения, которые вычисляют по активной и реактивной его составляющим относительно напряжения питания плеча сравнения и по отсчетам чисел витков упомянутых двух регулируемых дополнительных плеч отношения при предыдущей серии повторных уравновешиваний, а раздельный отсчет измеряемых параметров осуществляют по числам витков указанных n регулируемых основных плеч отношения моста. Проведенный заявителями анализ уровня техники, включающий поиск по патентным и научно-техническим источникам информации, содержащим сведения об аналогах заявленного изобретения, позволил установить, что заявители не обнаружили источник, характеризующийся признаками, тождественными всем существенным признакам заявленного изобретения. Определение из перечня выявленных аналогов прототипа, как наиболее близкого по совокупности признаков аналога, позволило установить совокупность существенных по отношению к усматриваемому заявителями техническому результату отличительных признаков в заявленном способе, изложенных в формуле изобретения. Следовательно, заявленное изобретение соответствует условию “новизна”. Для проверки соответствия заявленного изобретения условию “изобретательский уровень” заявители провели дополнительный поиск известных решений, чтобы выявить признаки, совпадающие с отличительными от прототипа признаками заявленного способа. Результаты поиска показали, что заявленное изобретение не вытекает для специалиста явным образом из известного уровня техники, поскольку из уровня техники, определенного заявителями, не выявлено влияние предусматриваемых существенными признаками заявленного изобретения преобразований для достижения технического результата, в частности, заявленным изобретением не предусматриваются следующие преобразования: дополнение известного способа какой-либо известной частью, присоединяемой к нему по известным правилам, для достижения технического результата, в отношении которого установлено влияние именно такого дополнения; создание способа, состоящего из известных частей, выбор которых и связь между которыми осуществляется на основе известных правил, рекомендаций, и достигаемый при этом технический результат обусловлен только известными свойствами частей этого способа и связей между ними. Описываемое изобретение не основано на изменении количественного признака (признаков), представлении таких признаков во взаимосвязи либо изменении ее вида, имеется в виду случай, когда известный факт влияния каждого из указанных признаков на технический результат, новые значения этих признаков или их взаимосвязь могли быть получены исходя из известных зависимостей, закономерностей. Следовательно, заявленный способ соответствует условию “изобретательский уровень”. На чертеже изображена схема многоплечего трансформаторного моста, реализующего заявленный способ в случае измерения параметров двухполюсника, состоящего из последовательно включенных участков и описываемого поэтому комплексным сопротивлением Zx. На чертеже обозначено: 1 – основной трансформатор, снабженный первичной обмоткой wг и шестью вторичными обмотками wП, w1 – w5; 2 – плечо сравнения с образцовой постоянной мерой сопротивления RN, 3 – плечо измерения с измеряемым пятиэлементным двухполюсником, схема которого содержит три последовательно включенных участка с резистором R0x и резисторами R1x, R2x с параллельно им включенными конденсаторами C1x, C2x; 4 – компаратор токов с четырьмя первичными обмотками l1 – l4 и индикаторной обмоткой lи; 5 – формирователь напряжения, составленный из вторичных обмоток w5, w1 основного трансформатора 1, к первой из которых через образцовые резисторы R5, подключены прецизионные операционные усилители ОУ1, ОУ2, цепи обратных связей которых содержат трансформаторы напряжения 6, 7, 8, 9 и образцовые резистор R, конденсатор C, а ко второй из которых и к выходам упомянутых операционных усилителей подключен прецизионный сумматор напряжений 10, выполненный на основе операционного усилителя ОУ3 и четырех образцовых резисторов r; 11- переключатель на два положения: “П” и “В”; 12 – заземленный источник синусоидального напряжения перестраиваемой частоты, подключенный к зажиму 13 первичной обмотки wг основного трансформатора 1; 14 и 15 – зажимы плеча сравнения 2, которыми оно подключено к выходу вторичной обмотки w2 основного трансформатора 1 и ко входу первичной обмотки l2 компаратора 4; 16, 17 – входной, выходной зажимы плеча измерения 3; 18 – выходной зажим сумматора 10; 19 – входной зажим сумматора 10, к которому подключена обмотка w1 основного трансформатора 1; 20, 21 – входные зажимы сумматора 10, подсоединенные к выходам операционных усилителей ОУ1, ОУ2, нагруженных на первичные обмотки m трансформаторов 6, 8; 22 – избирательный амплитудный нуль-индикатор, настраиваемый на заданные частоты измерения. На чертеже также обозначены: w1, p1, q1, p2, q2 – регулируемые основные плечи отношения моста, являющиеся обмотками трансформаторов напряжения 1, 6, 7, 8, 9 в схеме формирователя напряжения 5; l3, l4 – регулируемые дополнительные плечи отношения моста, являющиеся обмотками компаратора токов 4 и имеющие заземленную среднюю точку; w2, w5, m, l1, l2 – нерегулируемые основные плечи отношения моста, являющиеся обмотками трансформаторов 1, 6, 7, 8, 9 и компаратора 4; wп – нерегулируемое вспомогательное плечо отношения моста, являющееся вторичной обмоткой трансформатора 1, используемой для питания ветви с обмоткой l1 компаратора 4 в положении “П” переключателя 11; w3, w4 – нерегулируемые дополнительные плечи отношения моста, являющиеся вторичными обмотками трансформатора l; токи плеч соответственно измерения, сравнения и дополнительных плеч отношения – ток, проходящий через индикатор 22; R3, C4 – образцовые резистор и конденсатор в цепях дополнительных плеч отношения l3, l4.
Трансформаторы напряжения 1, 6, 7, 8, 9, компаратор токов 4 выполнены с тесной индуктивной связью между своими заземленными обмотками и рассматриваются как идеальные, то есть как имеющие пренебрежимо малые активные сопротивления и индуктивности рассеяния обмоток. Для выполнения этого условия напряжения со вторичных обмоток трансформаторов 1, 6, 7, 8, 9 могут сниматься через точные повторители напряжения с пренебрежимо малым выходным сопротивлением, а амплитудный нуль-индикатор 22, подключенный к индикаторной обмотке lи берется с достаточно малым входным сопротивлением. Рассматривается как идеальный и сумматор напряжений 10, то есть как имеющий достаточно большое входное сопротивление по своим входам 19, 20, 21 и пренебрежимо малое выходное сопротивление со стороны зажима 18. Для выполнения этого условия также могут быть использованы точные повторители напряжения в его входных цепях и выходной цепи. В заявке как идеальные рассматриваются меры сопротивления и емкости, поскольку их остаточные параметры в многоплечем трансформаторном мосте легко компенсируются. Рассматриваются как идеальные операционные усилители ОУ1, ОУ2, то есть как имеющие достаточно большие входное сопротивление, коэффициент усиления и достаточно малое выходное сопротивление.
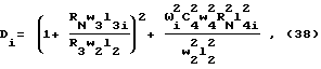
Комплексное сопротивление плеча измерения 3 моста (чертеж)![]() является дробно-рациональной функцией ![]() где коэффициенты перед степенями переменной j имеют видa0 = R0x + R1x + R2x; (3) a1= R0x( 1x+ 2x)+R1x 2x+R2x 1x; (4)a2= R0x 1x 2x; (5)b1= 1x+ 2x; (6)b2= 1x 2x; (7)причем 1x= R1xC1x; (8) 2x= R2xC2x. (9)В положении “В” переключателя 11, как это показано на чертеже, к плечу измерения 3 подводится снимаемое с зажима 18 выходное напряжение формирователя 5, которое выражается как ![]() представляя собой произведение э.д.с. одного витка трансформатора 1 на передаточную функцию формирователя 5, имеющую такой же вид, что и комплексное сопротивление плеча измерения, а именно:![]() где коэффициенты перед степенями переменной j записываются как:A0 = w1 + T(p1+p2); (12) A1= w1( 1+ 2)+p1T 2+p2T 1; (13)A2= w1 1 2; (14)B2= 1 2; (15)B1= 1+ 2; (16)причем T = Rw5/R5m; (17) 1= p1q1CR/m2; (18) 2= p2q2CR/m2. (19)Измерительное состояние моста (чертеж) по заявленному способу является частотно-независимым при нулевых значениях чисел витков регулируемых дополнительных плеч отношения l3, l4 и при питании плеча измерения 3 напряжением формирователя 5. Это состояние описывается уравнением м. д. с. (магнито-движущих сил) обмоток l1, l2 компаратора токов 4: ![]() где токи плеча измерения и сравнения равны соответственно ![]() ![]() По достижении при l3= 0 и l4=0 частотно-независимого равенства (20) производят раздельный отсчет измеряемых параметров двухполюсника 3 по формулам: R0X = (l1RN/l2w2)w1,0; (23) ![]() ![]() ![]() ![]() где w1,0; p1,0; q1,0; p2,0; q2,0 отсчеты чисел витков регулируемых основных плеч отношения моста w1; p1; q1; p2; q2, то есть, в отличие от прототипа, производят отсчет измеряемых параметров по числам витков регулируемых обмоток трансформаторов напряжения с тесной индуктивной связью, что устраняет влияние емкостей элементов коммутации на точность измерения. Передаточная функция формирователя 5 в частотно-независимом состоянии равновесия моста связана с комплексным сопротивлением измеряемого двухполюсника соотношением F(j ) = (l2w2/l1)Zx(j )/RN (28)и, следовательно, зависит от частоты таким же образом, как комплексное сопротивление плеча измерения 3. Приведение моста, реализующего заявленный способ, в частотно-независимое состояние равновесия по амплитуде осуществляют в два этапа. На первом этапе, как и в прототипе, плечо измерения и сравнения питают синфазными напряжениями. Для этого переключатель 11 устанавливают в положение “П” и подводят к плечу измерения 3 снимаемое с обмотки wп трансформатора 1 напряжение ![]() синфазное напряжению питания плеча сравнения 2, снимаемому с обмотки w2 трансформатора 1 и равному ![]() Затем регулировками чисел витков двух дополнительных плеч, отношения l3 и l4 на каждой из l заданных частот (l = n/2, если число n измеряемых параметров четное, и l = (n+1)/2, если n – нечетное) устанавливают нулевое показание нуль-индикатора 22, т.е. устанавливают частотно-зависимые равенства м. д.с. компаратора 4: ![]() где токи на частоте i определяются как![]() ![]() ![]() В выражении (31) не сводимый к нулю из-за влияния высших гармоник на показания нуль-индикатора 22 остаточный ток, протекающий через него, обозначен как . Ток определяется по формуле (22), а напряжение определяется по формуле (29).
По получении на частотах i отсчетов l3i, l4i находят передаточную функцию FП(j ), являющуюся первым приближением к передаточной функции F(j ), определяемой соотношением (28). Для этого на основе равенствFП(j i) = i+j i i, (35)где ![]() ![]() ![]() составляют систему из 2l – уравнений и определяют коэффициенты перед степенями полиномов дробно-рациональной функции F (j ).
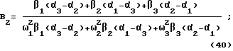
В случае измерения параметров пятиэлементного двухполюсника (чертеж) указанная система имеет вид![]() где значения (см. (36), (37)) 1, 1, 2, 2, 3, 3 соответствуют частотам 1, 2, 3 и отсчетам l3i, l4i на этих частотах. Коэффициенты B2, B1, A2, A1, A0 соответствуют выражению (11).
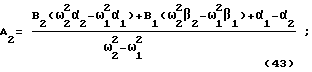
Решения системы (39) следующие:![]() B1= [ 1– 2+B2( 22 2– 21 1)]/( 2– 1); (41)A1= 1– 21 1B2+ 1B1; (42)![]() A0= 1+ 21(A2– 1B2– 1B1). (44)По найденным коэффициентам B2, B1, A1, A2, A0 далее вычисляют числа витков регулируемых основных плеч отношения моста (чертеж) по формулам: w1,0 = A2/B2; (45) p1,0= (A1-A0 1-w1,0 2)/T( 2– 1); (46)p2,0 = [(A0 – w1,0)/T] – p1,0; (47) q1,0= 1m2/CRp1,0; (48)q2,0= 2m2/CRp2,0; (49)где ![]() 2= B1– 1; (51)T = w5R/R5m. (52) Вычисленные в конце первого этапа числа витков регулируемых основных плеч отношения соответствуют значениям параметров измеряемого двухполюсника недостаточно точно, поскольку найдены они на основе равенств м.д.с. (31), содержащих в правой части ток индикаторной обмотки ![]() Для обеспечения высокой точности измерения по заявленному способу, как и по прототипу, проводят второй этап измерения. Второй этап осуществляют следующим образом. Переключатель 11 ставят в положение “В”. Затем устанавливают вычисленные в конце первого этапа числа витков регулируемых основных плеч отношения. Тем самым в отличие от прототипа, по которому и на втором этапе напряжения плеч измерения и сравнения синфазны друг другу, формируют напряжение ![]() в первом приближении изменяющееся от частоты одинаково с комплексным сопротивлением Zx(j ) плеча измерения 3 (см. выражение (28)).
После установки напряжения определяемого передаточной функцией FП(j ), проводят первую серию повторных уравновешиваний на l заданных частотах регулировками чисел витков дополнительных плеч отношения. При этих уравновешиваниях устанавливают уравнения равновесия м.д.с. компаратора 4 на каждой из частот, записываемые как![]() где напряжение определяется по (53), а поправочный коэффициент определяется отсчетами чисел витков l3i, l4i регулируемых дополнительных плеч отношения и записывается как![]() Уравнения равновесия м. д. с. (54) на частотах измерения в отличие от уравнений (31), полученных на первом этапе, не содержат м.д.с. индикаторной обмотки так как мост на втором этапе в первом приближении является частотно-независимым благодаря питанию плеча измерения напряжением формирователя 5, определяемым по формуле (53), то есть изменяющимся с частотой в первом приближении таким же образом, как и комплексное сопротивление Zx(j ) плеча измерения 3. При наличии избирательного нуль-индикатора 22 регулировками дополнительных плеч отношения l3, l4 становится поэтому возможным полное уравновешивание моста, причем отсчитываемые числа витков l3i, l4i на частоте i в отличие от первого этапа мало отличаются от их нулевого значения.
По получении равенств вида (54) проводят уточнение передаточной функции формирователя 5 на основе выраженияFy(j i) = FП(j i)/K(j i). (56)Для определения уточненной передаточной функции составляют равенства Fy(j i) = iy+j i iy; (57)где ![]() ![]() Далее на основе равенств (57) по аналогии с первым этапом составляют систему из 2l уравнений, в которой вместо пар i, i для частот i используют пары iy, iy. Решая эту систему, находят уточненные коэффициенты перед степенями переменной j полинома числителя и полинома знаменателя функции Fy(j ). По этим коэффициентам находят уточненные значения чисел витков регулируемых основных плеч отношения моста (или, что то же самое, формирователя напряжения 5). После нахождения чисел витков основных плеч отношения устанавливают эти числа и тем самым формируют уточненное напряжение формирователя 5, равное![]() Установив напряжение по формуле (60), проводят проверку равновесия моста на l частотах измерения при l3=0 и l4=0. Если при проверке мост (чертеж) уравновешен на каждой из заданных частот, то состояние равновесия является измерительным и производят отсчет измеряемых параметров по формулам (23)-(27), в которых используются уточненные на втором этапе числа витков w1,0; p1,0; q1,0; p2,0; q2,0.
Если хотя бы на одной из частот нуль-индикатор 22 покажет наличие тока индикатора то проводят вторую серию повторных уравновешиваний при сформированном уточненном напряжении формирователя (см. выражение (60)) регулировками дополнительных плеч отношения 3, l4. Используя полученные отсчеты l3i, l4i, на основе выражения, (56) вновь уточняют передаточную функцию формирователя 5, приняв в выражениях (56), (58), (59) в качестве FП(j ) передаточную функцию Fy(j ), найденную после первой серии повторных уравновешиваний.
Определив новую уточненную передаточную функцию, по этой функции Fy(j ) находят уточненные числа витков регулируемых основных плеч отношения. Устанавливают эти числа, тем самым находят уточненное второй раз напряжение формирователя 5, после чего проводят проверку частотно-независимого состояния равновесия моста при нулевых значениях чисел витков дополнительных плеч отношения (то есть при l3=0 и l4=0) и при максимальной чувствительности амплитудного нуль-индикатора 22.
По получении нулевых показаний индикатора 22 мост (чертеж) находится в частотно-независимом состоянии равновесия и, поэтому, осуществляют отсчет измеряемых параметров по числам витков регулируемых основных плеч отношения (см. формулы (23)-(27)).
Таким образом, в мосте (чертеж) путем формирования напряжения питания плеча измерения 3, изменяющегося с частотой подобно комплексному сопротивлению Zx(j ) этого плеча, достигается сущность заявленного способа измерения, заключающаяся в повышении точности посредством, в отличие от прототипа, раздельного отсчета измеряемых параметров по числам витков регулируемых обмоток многоплечего трансформаторного моста в частотно-независимом состоянии его равновесия.
Более высокая точность измерения по сравнению с прототипом достигается также за счет использования “чистой” меры сопротивления, включенной в одноэлементное плечо сравнения, то есть постоянной меры сопротивления, остаточные параметры которой на заданных частотах измерения в многоплечем трансформаторном мосте легко компенсируются.
Число серий повторных уравновешиваний моста (чертеж) невелико, т.к. уже первая из них проводится в состоянии моста, близком к частотно-независимому, и завершается получением точных равенств м.д.с. компаратора токов (см.(54)), находимые на основе которых значения измеряемых параметров быстро приближаются к истинным значениям по мере повторения таких серий.
Каждое из уравновешиваний по двум параметрам на частотах измерения в этих сериях проводится при оптимальных условиях сходимости (линии уравновешивания при l3=var, l4=var являются ортогональными прямыми) и при малых диапазонах изменения чисел витков дополнительных плеч отношения l3, l4 относительно их нулевых значений, т.е. проводится за несколько тактов уравновешивания и легко может быть автоматизировано.
Следовательно, заявленный способ, как и прототип, характеризуется небольшой продолжительностью измерения, а также простотой автоматизации процесса уравновешивания по n параметрам.
Заявленный способ легко реализуется, т.к. трансформаторы напряжения, компаратор токов, избирательный нуль-индикатор, мера сопротивления, используемые при измерении по нему параметров n – элементных двухполюсников являются типовыми элементами и узлами известных (см. книгу Новика А.И. Системы автоматического уравновешивания цифровых экстремальных мостов переменного тока. – Киев. Наукова думка. 1983) многоплечих трансформаторных мостов для автоматического измерения параметров двухполюсников по двухэлементной схеме, а выполнение с помощью ЭВМ необходимых вычислительных операций, в описанной процедуре измерения не представляет затруднений.
Заявленный способ может быть положен в основу измерения параметров n-элементных двухполюсников, являющихся точными схемами замещения многих важных объектов в различных областях науки и народного хозяйства, и позволит строить высокоточные цифровые мосты с новыми функциональными возможностями, существенно расширяющими круг решаемых задач исследования и контроля на переменном токе.
Формула изобретения
РИСУНКИ
MM4A Досрочное прекращение действия патента Российской Федерации на изобретение из-за неуплаты в установленный срок пошлины за поддержание патента в силе
Дата прекращения действия патента: 03.03.2002
Номер и год публикации бюллетеня: 25-2003
Извещение опубликовано: 10.09.2003
|
||||||||||||||||||||||||||

перестраиваемой частоты, подключенный к зажиму 13 первичной обмотки wг основного трансформатора 1; 14 и 15 – зажимы плеча сравнения 2, которыми оно подключено к выходу вторичной обмотки w2 основного трансформатора 1 и ко входу первичной обмотки l2 компаратора 4; 16, 17 – входной, выходной зажимы плеча измерения 3; 18 – выходной зажим сумматора 10; 19 – входной зажим сумматора 10, к которому подключена обмотка w1 основного трансформатора 1; 20, 21 – входные зажимы сумматора 10, подсоединенные к выходам операционных усилителей ОУ1, ОУ2, нагруженных на первичные обмотки m трансформаторов 6, 8; 22 – избирательный амплитудный нуль-индикатор, настраиваемый на заданные частоты измерения. На чертеже также обозначены: w1, p1, q1, p2, q2 – регулируемые основные плечи отношения моста, являющиеся обмотками трансформаторов напряжения 1, 6, 7, 8, 9 в схеме формирователя напряжения 5; l3, l4 – регулируемые дополнительные плечи отношения моста, являющиеся обмотками компаратора токов 4 и имеющие заземленную среднюю точку; w2, w5, m, l1, l2 – нерегулируемые основные плечи отношения моста, являющиеся обмотками трансформаторов 1, 6, 7, 8, 9 и компаратора 4; wп – нерегулируемое вспомогательное плечо отношения моста, являющееся вторичной обмоткой трансформатора 1, используемой для питания ветви с обмоткой l1 компаратора 4 в положении “П” переключателя 11; w3, w4 – нерегулируемые дополнительные плечи отношения моста, являющиеся вторичными обмотками трансформатора l;
токи плеч соответственно измерения, сравнения и дополнительных плеч отношения
– ток, проходящий через индикатор 22; R3, C4 – образцовые резистор и конденсатор в цепях дополнительных плеч отношения l3, l4.
Трансформаторы напряжения 1, 6, 7, 8, 9, компаратор токов 4 выполнены с тесной индуктивной связью между своими заземленными обмотками и рассматриваются как идеальные, то есть как имеющие пренебрежимо малые активные сопротивления и индуктивности рассеяния обмоток. Для выполнения этого условия напряжения со вторичных обмоток трансформаторов 1, 6, 7, 8, 9 могут сниматься через точные повторители напряжения с пренебрежимо малым выходным сопротивлением, а амплитудный нуль-индикатор 22, подключенный к индикаторной обмотке lи берется с достаточно малым входным сопротивлением. Рассматривается как идеальный и сумматор напряжений 10, то есть как имеющий достаточно большое входное сопротивление по своим входам 19, 20, 21 и пренебрежимо малое выходное сопротивление со стороны зажима 18. Для выполнения этого условия также могут быть использованы точные повторители напряжения в его входных цепях и выходной цепи. В заявке как идеальные рассматриваются меры сопротивления и емкости, поскольку их остаточные параметры в многоплечем трансформаторном мосте легко компенсируются. Рассматриваются как идеальные операционные усилители ОУ1, ОУ2, то есть как имеющие достаточно большие входное сопротивление, коэффициент усиления и достаточно малое выходное сопротивление.
Комплексное сопротивление плеча измерения 3 моста (чертеж)

имеют вид
1x+
трансформатора 1 на передаточную функцию формирователя 5, имеющую такой же вид, что и комплексное сопротивление плеча измерения, а именно:










на частоте 


. Ток
определяется по формуле (22), а напряжение
определяется по формуле (29).
По получении на частотах
i+j
i, (35)








определяемого передаточной функцией FП(j
определяется по (53), а поправочный коэффициент определяется отсчетами чисел витков l3i, l4i регулируемых дополнительных плеч отношения и записывается как
так как мост на втором этапе в первом приближении является частотно-независимым благодаря питанию плеча измерения напряжением формирователя 5, определяемым по формуле (53), то есть изменяющимся с частотой в первом приближении таким же образом, как и комплексное сопротивление Zx(j


по формуле (60), проводят проверку равновесия моста на l частотах измерения при l3=0 и l4=0. Если при проверке мост (чертеж) уравновешен на каждой из заданных частот, то состояние равновесия является измерительным и производят отсчет измеряемых параметров по формулам (23)-(27), в которых используются уточненные на втором этапе числа витков w1,0; p1,0; q1,0; p2,0; q2,0.
Если хотя бы на одной из частот нуль-индикатор 22 покажет наличие тока индикатора
то проводят вторую серию повторных уравновешиваний при сформированном уточненном напряжении формирователя (см. выражение (60)) регулировками дополнительных плеч отношения 3, l4. Используя полученные отсчеты l3i, l4i, на основе выражения, (56) вновь уточняют передаточную функцию формирователя 5, приняв в выражениях (56), (58), (59) в качестве FП(j