Патент на изобретение №2168151
|
||||||||||||||||||||||||||
(54) ДИСТАНЦИОННЫЙ СПОСОБ ИЗМЕРЕНИЯ ТОЛЩИНЫ ПЛЕНОК
(57) Реферат: Изобретение относится к измерительной технике и может быть использовано для оперативного экспресс-контроля толщины пленок нефтепродуктов в очистных сооружениях, на внутренних водоемах, акваториях портов и т.п. Способ включает облучение поверхности оптическим излучением, перестройку длины волны излучения, регистрацию отраженного от поверхности сигнала с последующим анализом зависимости интенсивности отраженного сигнала от длины волны, характеризующей толщину пленки, зависимость интенсивности отраженного сигнала от длины волны аппроксимируют синусоидой, вычисляют параметры этой аппроксимации и определяют толщину пленки по периоду аппроксимирующей синусоиды. Технический результат – возможность измерения толщины тонких пленок, когда число экстремумов в зависимости интенсивности отраженного излучения от длины волны становится меньше двух. 2 ил. Изобретение относится к измерительной технике и может быть использовано, в частности, для оперативного экспресс-контроля толщины пленок нефтепродуктов в очистных сооружениях, на внутренних водоемах, акваториях портов и т.п. Известны способы измерения толщины пленки на поверхности материала [1,2] , заключающиеся в том, что на поверхность пленки направляют оптическое излучение, перестраивают длину волны излучения падающего на поверхность пленки, регистрируют отраженный от поверхности сигнал, измеряют зависимость интенсивности отраженного сигнала от длины волны и определяют толщину пленки по результатам вычисления расстояния между экстремумами или числа экстремумов на кривой зависимости интенсивности отраженного сигнала от длины волны в диапазоне перестройки. Недостатком этих способов является невозможность измерения толщины тонких пленок, когда число экстремумов в зависимости интенсивности отраженного излучения от длины волны становится меньше двух. Избежать этого недостатка можно тем, что согласно способу измерения толщины пленки на поверхности материала, включающему облучение поверхности оптическим излучением, перестройку длины волны излучения, регистрацию отраженного от поверхности сигнала с последующим анализом зависимости интенсивности отраженного сигнала от длины волны излучения, для измерения толщины пленки используют аппроксимацию зависимости интенсивности отраженного сигнала от длины волны синусоидой, вычисляют параметры этой аппроксимации и определяют толщину пленки по периоду аппроксимирующей синусоиды. Наличие отличительного признака указывает на соответствие критерию “новизна”. Указанный отличительный признак неизвестен в научно-технической и патентной литературе, и поэтому предложенное техническое решение соответствует критерию “изобретательский уровень”. На фиг. 1 схематично изображено устройство, реализующее предлагаемый способ. Устройство содержит перестраиваемый по длине волны источник излучения 1, фотоприемник 2, блок 3 вычисления зависимости интенсивности отраженного сигнала от длины волны излучения, блок 4 вычисления толщины пленки на поверхности материала 5. Устройство работает следующим образом. Оптическое излучение источника 1 отражается поверхностью 5, интенсивность отраженного излучения регистрируется фотоприемником 2, сигнал с фотоприемника поступает в блок 3 вычисления зависимости интенсивности отраженного сигнала от длины волны излучения. Затем в блоке 4 вычисленную зависимость интенсивности отраженного сигнала I( ) от длины волны излучения аппроксимируют функцией Ia( ) следующего вида:Ia( ) = A( ,d)sin[f( ,d)+ ]+Bгде A( ,d) – – амплитуда аппроксимирующей синусоиды,В – постоянная составляющая отраженного сигнала, – фаза аппроксимирующей синусоиды,![]() ![]() n – показатель преломления материала пленки, k – показатель поглощения материала пленки, d – толщина пленки, – длина волны излучения.
Вид аппроксимирующей функции Ia( ) показан на фиг. 2, где ( min, max) – диапазон перестройки длины волны излучения источника.
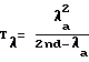
Для узкого диапазона перестройки ( max– min a, где a – средняя длина волны излучения по диапазону перестройки) период аппроксимирующей синусоиды (1) можно вычислить по следующей формуле:![]() Параметры аппроксимирующей функции (постоянная составляющая B, амплитуда A0, фаза и период синусоиды T ) находят, минимизируя в многомерном пространстве параметров отклонение синусоиды от измеренной зависимости интенсивности отраженного сигнала от длины волны излучения. Показатели преломления и поглощения материала пленки считаются известными. Найденный период аппроксимирующей синусоиды T используется в блоке 4 для вычисления толщины пленки d на поверхности материала.
В известных способах измерения толщины пленок на поверхности материала [1,2] толщина пленки определяется по расстоянию между экстремумами или числу экстремумов на кривой зависимости интенсивности отраженного сигнала от длины волны в диапазоне перестройки. Поэтому эти способы не могут быть использованы для измерения толщины тонких пленок, для которых зависимость интенсивности отраженного сигнала от длины волны излучения либо вообще не имеет экстремумов, либо имеет только один экстремум (максимум или минимум). Предлагаемый способ свободен от этого недостатка.
Толщину пленки по предлагаемому способу можно восстановить с высокой точностью аппроксимируя полученную зависимость интенсивности отраженного сигнала от длины волны излучения синусоидой как при наличии экстремумов, так и без экстремумов.
Заявляемое изобретение направлено, в частности, на решение задачи оперативного экспресс-контроля толщины пленок нефтепродуктов, что особенно важно в очистных сооружениях при контроле степени очистки воды.
Измерительное устройство может быть собрано на предприятиях РФ из компонентов и узлов, изготавливаемых в РФ, и соответствует критерию “промышленная применимость”.
Источники информации1. Устройство для автоматического измерения толщины пленки. Патент 3-57407. Япония. 1993 г. Кл. G 01 B 11/06. (РЖ Изобретения стран мира, 1993, вып. 82, N3, с.45). 2. United States Patent. Method of measuring film thickness. Patent Number: 4645349. Date of Patent: Feb. 24, 1987. Int. Cl. G 01 B 11/06. Формула изобретения
РИСУНКИ
MM4A Досрочное прекращение действия патента Российской Федерации на изобретение из-за неуплаты в установленный срок пошлины за поддержание патента в силе
Дата прекращения действия патента: 05.08.2002
Номер и год публикации бюллетеня: 10-2004
Извещение опубликовано: 10.04.2004
|
||||||||||||||||||||||||||

) от длины волны излучения аппроксимируют функцией Ia(
]+B

