|
|
(21), (22) Заявка: 2007111908/14, 01.09.2005
(24) Дата начала отсчета срока действия патента:
01.09.2005
(30) Конвенционный приоритет:
02.09.2004 US 60/606,521
(43) Дата публикации заявки: 10.10.2008
(46) Опубликовано: 27.06.2010
(56) Список документов, цитированных в отчете о поиске:
RU 2222815 С2, 27.01.2004. US 20031198978, 26.06.2003. US 6414016, 02.07.2002. АЛЕКСЕЕВА Л.И. и др. Остеоартроз – есть надежда на улучшение качества жизни. Ж.: В мире лекарств, 1999,  2, p.S3-S10.
(85) Дата перевода заявки PCT на национальную фазу:
02.04.2007
(86) Заявка PCT:
JP 2005/016464 20050901
(87) Публикация PCT:
WO 2006/025599 20060309
Адрес для переписки:
103735, Москва, ул. Ильинка, 5/2, ООО “Союзпатент”, пат.пов. И.С.Саломатиной
|
(72) Автор(ы):
УЕНО Риюдзи (US)
(73) Патентообладатель(и):
СУКАМПО АГ (CH)
|
(54) ПРОИЗВОДНЫЕ ПРОСТАГЛАНДИНОВ ДЛЯ ЛЕЧЕНИЯ ЖЕЛУДОЧНО-КИШЕЧНОГО НАРУШЕНИЯ
(57) Реферат:
Изобретение относится к медицине, в частности к гастроэнтерологии, и касается лечения желудочно-кишечных нарушенй. Для этого вводят эффективное количество галогенированного простагландинового соединения и/или его таутомера. Это обеспечивает эффективное лечение у больных любого возраста и пола при отсутствии нарушений электролитного баланса даже при длительном введении, от 1 до 6 месяцев и более. 6 н. и 48 з.п. ф-лы, 8 табл., 14 ил.
Область техники, к которой относится изобретение
Изобретение имеет отношение к способу и композиции для длительного лечения желудочно-кишечных нарушений у людей.
Кроме того, настоящее изобретение имеет отношение к способу и композиции для лечения желудочно-кишечных нарушений как у женщин, так и мужчин.
Настоящее изобретение также имеет отношение к способу и композиции для лечения желудочно-кишечных нарушений у людей в возрасте 65 лет и старше.
Кроме того, настоящее изобретение имеет отношение к способу и композиции для улучшения качества жизни людей с желудочно-кишечными нарушениями.
Предшествующий уровень техники
Запор обычно определяется как редкое и затрудненное отхождение кала. По медицинским оценкам один из каждых 50 человек в США страдает от запоров. Таким образом, это нарушение является одной из основных проблем у жителей США. Наиболее вероятно, что запор поражает женщин чаще, чем мужчин и чаще наблюдается у людей пожилого возраста, демонстрируя экспоненциальный рост заболевания у людей старше 65 лет. Фактическое число случаев запора, по-видимому, превышает число сообщений об этом нарушении, поскольку большое число людей страдают от него в домашних условиях и не обращаются к профессиональной помощи.
Хотя в некоторых случаях запор может быть вызван непроходимостью, наибольшее число нарушений такого рода может быть связано с такими факторами, как питание с недостаточным количеством растворимых и нерастворимых волокон, недостаточная физическая нагрузка, прием лекарственных средств (в особенности, опиумных анальгетиков, антихолинергических антидепрессантов, антигистаминовых препаратов и алкалоидов барвинка), нарушения кишечника, нервно-мышечные нарушения, нарушения обмена веществ, низкое внутрибрюшинное давление или мышечная атония.
Точное количественное определение запора дать трудно, что связано с широким понятием «нормальной» деятельности кишечника, а также многообразием симптомов и признаков, связанных с запором. Следует отметить, что FDA признало необходимость обязательного лечения случаев периодического запора.
Простагландины (далее PGs) относятся к классу органических карбоновых кислот, содержащихся в тканях или органах человека или других млекопитающих и обладающих широкой физиологической активностью. Природные PGs (первичные PGs) с остовом простановой кислоты, изображенным на формуле (А)
( -цепь)

( -цепь)
PGs подразделяются на несколько типов в зависимости от структуры и заместителей в пятичленном кольце, например:
Простагландины серии A (PGAs)

Простагландины серии В (PGBs)

Простагландины серии С (PGCs)

Простагландины серии D (PGDs)

Простагландины серии Е (PGEs)

Простагландины серии F (PGFs)

и т.п. Кроме того, они подразделяются на группу PG1S, содержащую 13,14-двойную связь; PG2s, содержащую 5,6- и 13,14-двойные связи; и PG3s, содержащую 5,6-, 13,14- и 17,18-двойные связи. Известно, что PGs обладают различными фармакологическими и физиологическими активностями, например, такими, как расширение сосудов, включая воспаление, агрегация тромбоцитов, стимуляция мышц матки, стимуляция мышц кишечника, противоязвенный эффект и т.п. Основные простагландины, образующиеся в желудочно-кишечной системе человека (GI) относятся к сериям Е, I и F (Sellin, Gastrointestinal and Liver Disease: Pathophysiology, Diagnosis and Management. (WB Saunders Company, 1998); Robert, Physiology of the Gastrointestinal Tract 1407-1434 (Raven, 1981); Rampton, Prostaglandins: Biology and Chemistry of Prostaglandins and Related Eicosanoids 323-244 (Churchill Livingstone, 1988); Hawkey et al., Gastroenterology, 89: 1162-1188 (1985); Eberhart et al., Gastroenterology, 109: 285-301 (1995)).
В нормальных физиологических условиях эндогеннопродуцируемые простагландины играют важную роль в поддержании функции GI, включающей регуляцию перистальтики кишечника и прохождение содержимого через кишечник, и регуляции консистенции кала (Sellin, Gastrointestinal and Liver Disease: Pathophysiology, Diagnosis and Management. (WB Saunders Company, 1998); Robert, Physiology of Gastrointestinal Tract 1407-1434 (Raven, 1981); Rampton, Prostaglandins: Biology and Chemistry of Prostaglandins and Related Eicosanoids 323-244 (Churchill Livingstone, 1988); Hawkey et al., Gastroenterology, 89: 1162-1188 (1985); Eberhart et al., Gastroenterology, 109: 285-301 (1995); Robert, Adv Prostaglandin Thromboxane Res, 2: 507-520 (1976); Main et al., Postgard Med J, 64 Suppl 1: 3-6 (1988); Sanders, Am J Physiol, 247: G117 (1984); Pairet, et al., Am J Physiol., 250 (3 pt I): G302-G308 (1986); Gaginella, Textbook of Secretory Diarrhea 15-30 (Raven Press, 1990)). Показано, что при приеме в фармакологических дозах как PGE2, так и PGF2 стимулируют прохождение содержимого через кишечник и вызывают диарею (Robert, Physiology of the Gastrointestinal Tract 1407-1434 (Raven, 1981); Rampton, Prostaglandins: Biology and Chemistry of Prostaglandins and Related Eicosanoids 323-344 (Churchill Livingstone, 1988); Robert, Adv Prostaglandin Thromboxane Res, 2: 507-520 (1976)). Кроме того, наиболее широко известным побочным эффектом мизопростола, аналога PGE1, разработанного для лечения язвы желудка и двенадцатиперстной кишки, является диарея (Monk et al., Drugs 33 (1): 1-30 (1997)).
PGE или PGF способны стимулировать деятельность кишечника и вызывать его сокращение, однако они оказывают слабое влияние на способность к концентрированию каловых масс в кишечнике. Таким образом, PGEs или PGFs невозможно использовать в качестве слабительного средства из-за побочных эффектов, связанных с желудочными болями, вызываемыми сокращением кишечника.
Сообщается, что множественные механизмы, включающие модифицированные реакции кишечных нервов, изменение сокращения гладкой мышцы, стимуляцию секреции слизи, стимуляцию клеточного ионного транспорта (в особенности электрогенного транспорта Cl–) и увеличение объема желудочной жидкости, способствуют эффектам простагландинов в GI (Robert, Physiology of the Gastrointestinal Tract 1407-1434 (Raven, 1981); Rampton, Prostaglandins: Biology and Chemistry of Prostaglandins and Related Eicosanoids 323-244 (Churchill Livingstone, 1988); Hawkey et al., Gastroenterology, 89: 1162-1188 (1985); Eberhart et al., Gastroenterology, 109: 285-301 (1995); Robert, Adv Prostaglandin Thromboxane Res, 2: 507-520 (1976); Main et al., Postgrad Med J, 64 Suppl 1: 3-6 (1988); Sanders, Am J Physiol, 247: G117 (1984); Pairet et al., Am J Physiol, 250 (3 pt 1): G302-G308 (1986); Gaginella, Textbook of Secretory Diarrhea 15-30 (Raven Press, 1990); Federal Register Vol.50, No.10 (GPO, 1985); Pierce et. al, Gastroenterology 60 (1): 22-32 (1971); Beubler et al., Gastroenterology, 90: 1972 (1986); Clarke et al., Am J Physiol 259: G62 (1990); Hunt et al., J Vet Pharmacol Ther, 8 (2): 165-173 (1985); Dajani et al., Eur J Pharmacol, 34 (1): 105-113 (1975); Sellin, Gastrointestinal and Liver Disease: Pathophysiology, Diagnosis and Management (WB Saunders Company, 1998)). Также было показано, что простагландины обладают цитопротекторными эффектами (Sellin, Gastrointestinal and Liver Disease: Pathophysiology, Diagnosis and Management (WB Saunders Company, (1998): Robert, Physiology of the Gastrointestinal Tract 1407-1434 (Raven, 1981); Robert, Adv Prostaglandin Thromboxane Res, 2: 507-520 (1976); Wallace et al., Aliment Pharmacol Ther 9: 227-235 (1995)).
US Patent No.5317032, зарегистрированный Ueno et al., описывает слабительные средства на основе аналога простагландина, включающие их бициклические таутомеры, а US Patent No.6416016, зарегистрированный Ueno, описывает бициклические таутомеры аналога простагландина, обладающего выраженной антиконстипационной активностью. Бициклические таутомеры аналога простагландина, замещенные в положении С-16 одним или несколькими атомами галогена, в особенности атомами фтора, могут быть использованы в небольших дозах для ослабления симптомов запора.
В US Patent publication No.2003/0130352, зарегистрированном Ueno et al., описано, что простагландиновое соединение открывает и активирует хлорные каналы, в особенности ClC-каналы, и главным образом, ClC-2-каналы.
US Patent publication No.2003/0119898, зарегистрированный Ueno et al., описывает специальную композицию галогенированного аналога простагландина, предназначенную для лечения и профилактики запоров.
В US Patent publication No.2004/0138308, зарегистрированном Ueno et al., описано, что активатор хлорного канала, в особенности соединение простагландиновой природы, может быть использован для лечения дискомфорта в области живота, а также для лечения функциональных желудочно-кишечных расстройств таких, как синдром раздраженной кишки и функциональная диспепсия.
MiraLax (полиэтиленгликоль 3350, NF-порошок для растворов) представляет собой синтетический полигликоль со средней молекулярной массой 3350 и применяется для лечения периодического запора. Это средство обычно применяют в пределах двух недель. Длительное, частое или чрезмерное использование MiraLax может привести к электролитному дисбалансу и появлению зависимости от слабительных средств (см. вкладыш в упаковке MiraLax ). MiraLax действует как осмотический агент, создающий дисбаланс в просвете кишечника и осмотически втягивающий жидкость. Повышенный уровень жидкости размягчает каловые массы и способствует дефекации.
Также предполагают, что указанные выше активаторы ClC-2-хлорных каналов функционируют путем стимулирования секреции ионов хлора в просвет кишки, в результате чего вода по осмотическому механизму попадает в просвет кишки, что, в свою очередь, способствует дефекации. Учитывая, что специфическое простагландиновое соединение является активатором ионных каналов, и, как полагают, работает в основном по осмотическому механизму аналогично действию MiraLax , можно предположить, что длительному применению указанного простагландинового соединения присущи те же недостатки, что и в случае MiraLax . В связи с этим его применение ограничено практически парой недель, как и при использовании MiraLax .
Zelnorm® (тегасерода малеат) показан для кратковременного лечения женщин, страдающих синдромом раздраженной кишки (IBS), первичным симптомом которого является запор. При проведении двух рандомизированных, плацебо-контролируемых исследований, осуществляемых двойным слепым методом с привлечением 288 добровольцев-мужчин, не было обнаружено значимых отличий в реакциях на прием плацебо и Zelnorm®. He установлены безопасность и эффективность приема Zelnorm® мужчинами с IBS, сопровождающими запором. Кроме того, анализ подгрупп пациентов в возрасте 65 лет и старше не выявил значимого лечебного эффекта Zelnorm® по сравнению с действием плацебо. Другими словами, не установлена эффективность действия Zelnorm® у пациентов в возрасте 65 лет и старше, страдающих хроническим запором неясного происхождения. Более того, при прекращении приема Zelnorm® симптомы могут возвращаться в течение 1 или 2 недель (Инструкция в упаковке Zelnorm®).
Краткое описание изобретения
Несмотря на преобладание осмотического механизма действия, автор изобретения неожиданно обнаружил, что при длительном применении определенных галогенированных простагландиновых соединений у пациентов-людей не происходит перераспределения электролитов.
Автор изобретения также обнаружил, что галогенированные простагландиновые соединения эффективны при длительном лечении, и даже после прекращения длительного лечения указанным соединением в основном не происходит возобновления симптомов.
Автор изобретения также обнаружил, что галогенированные простагландиновые соединения улучшают качество жизни пациентов с желудочно-кишечными нарушениями и одинаково эффективны при лечении как женщин, так и мужчин и даже пациентов в возрасте 65 лет и старше.
То есть настоящее изобретение обеспечивает способ длительного лечения желудочно-кишечных нарушений у человека, включающий введение пациенту эффективного количества простагландинового соединения, представленного формулой (I), и/или его таутомера

где Wi и Ws представляют собой
, или (a)
R3 и R4 представляют собой водород; или один из радикалов представляет собой ОН, а другой – водород;
X1 и Х2 представляют собой водород, низший алкил или галоген, при условии, что, по меньшей мере, один из них представляет собой галоген;
R2 представляет собой водород или алкил;
Y представляет собой насыщенную или ненасыщенную C2-10углеводородную цепь, которая незамещена или замещена оксо, галогеном, алкилом, гидрокси или арилом;
А представляет собой -СН2ОН, -СОСН2ОН, -СООН или их функциональные производные;
R1 представляет собой насыщенный или ненасыщенный, линейно-цепочечный, разветвлено-цепочечный, или циклообразующий низший углеводород, который незамещен или замещен галогеном, оксо, гидрокси, низшим алкилом, низшим алкокси, низшим алканоилокси, низшим циклоалкилом, низшим циклоалкилокси, арилом или арилоксигруппой; низший циклоалкил; низший циклоалкилокси; арил; или арилокси;
связь между С-13 и С14 является двойной или одинарной связью и стерическая конфигурация положения С-15 представляет собой R, S конфигурацию или их смесь.
Настоящее изобретение также обеспечивает способ лечения желудочно-кишечных нарушений у мужчин или у мужчин в возрасте 65 лет или старше, который включает введение пациенту, нуждающемуся в лечении, эффективного количества простагландинового соединения, имеющего формулу (I), и/или его таутомера.
Кроме того, настоящее изобретение обеспечивает способ улучшения качества жизни субъекта с желудочно-кишечными нарушениями, который включает введение пациенту, нуждающемуся в лечении, эффективного количества простагландинового соединения, имеющего формулу (I), и/или его таутомера.
В каждом воплощении способа настоящего изобретения общая суточная доза PG-соединения может предпочтительно составлять 6-96 мкг.
Способ настоящего изобретения может осуществляться путем введения пациенту, нуждающемуся в лечении, фармацевтической композиции, которая включает указанное выше простагландиновое соединение и/или его таутомер. Соответственно в другом аспекте настоящего изобретения обеспечивается фармацевтическая композиция для длительного лечения желудочно-кишечных нарушений у человека, включающая (i) эффективное количество простагландинового соединения, имеющего формулу (I), и/или его таутомера и (ii) фармацевтически приемлемый наполнитель.
Кроме того, настоящее изобретение обеспечивает фармацевтическую композицию для лечения желудочно-кишечного нарушения у пациентов как у мужского, так и женского пола, или у людей в возрасте 65 лет или старше, причем такая композиция включает (i) эффективное количество простагландинового соединения, имеющего формулу (I), и/или его таутомера и (ii) фармацевтически приемлемый наполнитель.
Настоящее изобретение также обеспечивает фармацевтическую композицию для улучшения качества жизни человека с желудочно-кишечными нарушениями, которая включает (i) эффективное количество простагландинового соединения, имеющего формулу (I), и/или его таутомера и (ii) фармацевтически приемлемый наполнитель.
В другом аспекте настоящего изобретения обеспечивается применение простагландинового соединения, имеющего формулу (I), и/или его таутомера для производства фармацевтической композиции, указанной выше.
Краткое описание чертежей
Фигура 1 представляет собой график, демонстрирующий степень тяжести запора во время лечения в течение 6 месяцев.
Фигура 2 представляет собой график, демонстрирующий степень тяжести запора во время лечения в течение 12 месяцев.
Фигура 3 представляет собой график, демонстрирующий оценку вздутия живота во время лечения в течение 6 месяцев
Фигура 4 представляет собой график, демонстрирующий оценку вздутия живота во время лечения в течение 12 месяцев.
Фигура 5 представляет собой график, демонстрирующий оценку дискомфорта в области живота во время лечения в течение 6 месяцев.
Фигура 6 представляет собой график, демонстрирующий оценку дискомфорта в области живота во время лечения в течение 12 месяцев.
Фигура 7 представляет собой график, демонстрирующий влияние на количество дефекаций в неделю.
Фигура 8 представляет собой график, демонстрирующий влияние на вздутие живота.
Фигура 9 представляет собой график, демонстрирующий влияние на дискомфорт в области живота.
Фигура 10 представляет собой график, демонстрирующий влияние на тяжесть запора.
Фигура 11 представляет собой график, демонстрирующий влияние на степень натуживания при дефекации.
Фигура 12 представляет собой график, демонстрирующий влияние на консистенцию стула.
Фигура 13 представляет собой сравнительный график, демонстрирующий влияние на дефекацию у пациентов мужского и женского пола.
Фигура 14 представляет собой график, демонстрирующий влияние возраста пациентов на дефекацию.
Подробное описание изобретения
В настоящем изобретении термин «эффективное количество» может быть определен с учетом возраста, массы тела, состояния пациента, желаемого терапевтического эффекта, способа применения, периода лечения и т.п. В соответствии с настоящим изобретением количество вводимого пациенту простагландинового соединения может составлять 0,001-1000 мкг/кг массы тела, более предпочтительно – 0,01-100 мкг/кг массы тела и наиболее предпочтительно – 0,1-10 мкг/кг массы тела в день. Частота введения может составлять один или несколько приемов в день, предпочтительно два или более приемов в день. Обычное количество препарата, вводимое пациенту, составляет 6-96 мкг в день. В соответствии с описанием и формулой изобретения вводимое количество или дозу устанавливают для пациента с приблизительной массой тела 60 кг.
Используемый в тексте термин «приблизительно», относящийся к единице измерения, может быть определен как +/-30%, предпочтительно +/-20%, особенно предпочтительно +/-10% от значения измеряемой величины. Так, например, общая суточная доза около 6-96 мкг предпочтительно имеет отношение к интервалу 5,4-105,6 мкг. Предпочтительная доза находится в интервале 6-72 мкг. В более предпочтительном воплощении доза препарата находится в интервале 6-60 мкг. Так, например, доза галогенированного соединения может составлять примерно 8-48 мкг.
(i) Простагландиновое соединение, имеющее формулу (I)
В настоящем изобретении применяют простагландиновое соединение, имеющее формулу (I)

где W1 и W2 представляют собой:
, или (a)
R3 и R4 представляют собой водород; или один из радикалов представляет собой ОН, а другой – водород;
X1 и Х2 представляют собой водород, низший алкил или галоген, при условии, что, по меньшей мере, один из них представляет собой галоген;
R2 представляет собой водород или алкил;
Y представляет собой насыщенную или ненасыщенную С2-10углеводородную цепочку, которая незамещена или замещена оксогруппой, галогеном, алкилом, гидрокси или арилом;
А представляет собой -CH2OH, -СОСН2ОН, -СООН или их функциональные производные;
R1 представляет собой насыщенный или ненасыщенный, линейно-цепочечный, разветвленно-цепочечный или циклообразующий низший углеводород, который незамещен или замещен галогеном, оксо, гидрокси, низшим алкилом, низшим алкокси, низшим алканоилокси, низшим циклоалкилом, низшим циклоалкилокси, арилом или арилокси; низший циклоалкил; низший циклоалкилокси; арил; или арилокси;
связь между С-13 и С14 является двойной или одинарной связью и
стерическая конфигурация положения С-15 представляет собой R, S конфигурацию или их смесь.
В указанной выше формуле термин «галоген» включает атомы фтора, хлора, брома и иода. Особенно предпочтительными атомами галогена для заместителей X1 и Х2 являются атомы фтора.
Термин «незамещенный», используемый в определении заместителей R1 и Y, включает, по меньшей мере, одну или несколько двойных связей и/или тройных связей, которые расположены между атомами углерода в основной и/или боковой цепи и которые могут быть отдельными, разделенными и расположенными периодично. В соответствие с принятой номенклатурой ненасыщенная связь между двумя последовательными положениями определяется с помощью указания меньшего номера двух положений, а ненасыщенная связь между двумя удаленными друг от друга положениями определяется с помощью указания обоих положений.
Используемый в описании и формуле изобретения термин «низший» включает группу, содержащую 1-6 углеродных атомов, если нет специальных оговорок.
Термин «кольцо» относится к низшему циклоалкилу, низшему циклоалкилокси, арилу или арилокси.
Термин «низший алкил» относится к линейной или разветвленной цепи насыщенной углеводородной группы, содержащей 1-6 углеродных атомов, и включает, например, метил, этил, пропил, изопропил, бутил, изобутил, трет-бутил, пентил и гексил.
Термин «низший алкокси» относится к группе низший алкил-O-, в которой низший алкил определен так, как было указано выше.
Термин «низший алканоилокси» относится к группе, представленной формулой RCO-O-, в которой RCO- представляет собой ацильную группу, например ацетил, образованную в результате окисления низшей алкильной группы, как указано выше.
Термин «низший циклоалкил» имеет отношение к циклической группе, образованной в результате циклизации указанной выше низшей алкильной группы, но содержащей три или более углеродных атомов, и включает, например, циклопропил, циклобутил, циклопентил и циклогексил.
Термин «низший циклоалкилокси» относится к группе низший циклоалкил-O-, в которой низший циклоалкил определен так, как было указано выше.
Термин «арил» относится к незамещенным или замещенным ароматическим карбоциклическим или гетероциклическим группам (предпочтительно моноциклическим группам), например таким, как фенил, нафтил, толил, ксилил, фурил, тиенил, пирролил, оксазолил, изоксазолил, тиазолил, изотиазолил, имидазолил, пиразолил, фуранил, пиранил, пиридил, пиридазил, пиримидил, пиразил, пирролидинил, имидазолидинил, пиразолидинил, пиперидино, пиперазинил, морфолино, индолил, бензотиенил, хинолил, изохинолил, пурил, хиназолинил, карбазолил, акридинил, фенантридинил, бензимидазолил, бензимидазолонил, бензотиазолил и фенотиазинил. Примерами заместителей могут служить атом галогена и гало(низший)алкил, где атом галогена и низший алкил определены, как было указано выше.
Термин «арилокси» относится к группе, представленной формулой ArO-, в которой Ar является арилом, определение которому было дано выше.
Термин «функциональное производное» А включает соли (предпочтительно фармацевтически приемлемые соли), простые и сложные эфиры и амиды.
Подходящие «фармацевтически приемлемые соли» включают традиционно используемые нетоксичные соли, например соль неорганического основания, такую, как соль щелочного металла (например, натриевую и калиевую соль), соль щелочноземельного металла (например, соль кальция и магния), соль аммония; или соль органического основания, например соль амина (такую, как соль метиламина, соль диметиламина, соль циклогексиламина, соль бензиламина, соль пиперидина, соль этилендиамина, соль этаноламина, соль диэтаноламина, соль триэтаноламина, соль трис(гидроксиметиламино)этана, соль монометил-моноэтаноламина, соль прокаина и соль кофеина), соль основной аминокислоты (такую, как соль аригинина и соль лизина), соль тетраалкиламмония и т.п. Эти соли могут быть получены традиционными способами, например, из соответствующей кислоты и основания или солевым обменом.
Примеры простых эфиров включают алкиловые эфиры, например низшие алкиловые эфиры, такие как метиловый эфир, этиловый эфир, пропиловый эфир, изопропиловый эфир, бутиловый эфир, изобутиловый эфир, трет-бутиловый эфир, пентиловый эфир и 1-циклопропилэтиловый эфир; и средние и высшие алкиловые эфиры, такие как октиловый эфир, диэтилгексиловый эфир, лауриловый эфир и цетиловый эфир; ненасыщенные эфиры, такие как олеиловый эфир и линолениловый эфир; низшие алкениловые эфиры, такие как виниловый эфир, аллиловый эфир; низшие алкиниловые эфиры, такие как этиниловый эфир и пропиниловый эфир; эфиры гидрокси(низший алкил) такие, как гидроксиэтиловый эфир и гидроксиизопропиловый эфир; эфиры низший алкокси(низший алкил), такие как метоксиметиловый эфир и 1-метоксиэтиловый эфир; необязательно замещенные ариловые эфиры, такие как фениловый эфир, тозиловый эфир, трет-бутилфениловый эфир, салициловый эфир, 3,4-диметоксифениловый эфир и бензамидофениловый эфир; и эфиры арил(низший алкил), такие как бензиловый эфир, тритиловый эфир и бензгидриловый эфир.
Примеры сложных эфиров включают алифатические эфиры, например низшие алкиловые эфиры, такие как метиловый эфир, этиловый эфир, пропиловый эфир, изопропиловый эфир, бутиловый эфир, изобутиловый эфир, трет-бутиловый эфир, пентиловый эфир и 1-циклопропилэтиловый сложный эфир; сложные алкениловые эфиры, такие как виниловый эфир и аллиловый эфир; такие сложные алкиниловые эфиры, как этиниловый эфир и пропиниловый эфир; такой сложный эфир гидрокси(низший алкил), как гидроксиэтиловый эфир; сложные эфиры низший алкокси(низший алкил), такие как метоксиметиловый эфир и 1-метоксиэтиловый сложный эфир; а также необязательно замещенные сложные ариловые эфиры, такие как фениловый эфир, толиловый эфир, трет-бутилфениловый эфир, салициловый эфир, 3,4-диметоксифениловый и бензамидофениловый эфир; а также эфир арил(низший алкил), такой как бензиловый эфир, тритиловый эфир и бензгидриловый эфир.
Амидная часть А обозначает группу, представленную формулой -CONR’R , в которой каждый из R’ и R представляет собой водород, низший алкил, арил, алкил- или арилсульфонил, низший алкенил и низший алкинил, и включает, например, низшие алкиламиды, такие как метиламид, этиламид, диметиламид и диэтиламид; такие акриламиды, как анилид и толуидид; а также алкил- или арилсульфонамиды, такие как метилсульфониламид, этилсульфониламид и толилсульфониламид.
Примеры Y включают, например, следующие группы:
-СН2-СН2-СН2-СН2-СН2-СН2-,
-СН2-СН=СН-СН2-СН2-СН2-,
-СН2-СН2-СН2-СН2-CH=СН-,
-СН2-С С-СН2-СН2-СН2-,
-СН2-СН2-СН2-СН2-O-СН2-,
-СН2-СН=СН-СН2-O-СН2-,
-СН2-С С-СН2-O-СН2-,
–СН2–СН2–СН2–СН2–СН2–СН2–СН2,
-СН2-СН=СН-СН2-СН2-СН2-СН2,
-СН2-СН2-СН2-СН2-СН2-СН=СН-,
-СН2-С С-СН2-СН2-СН2-СН2,
-СН2-СН2-СН2-СН2-СН2-СН(СН3)-СН2-,
-СН2-СН2-СН2-СН2-СН(СН3)-СН2-,
–СН2–СН2–СН2–СН2–СН2–СН2–СН2–СН2,
-СН2-СН=СН-СН2-СН2-СН2-СН2-СН2,
-СН2-СН2-СН2-СН2-СН2-СН2-СН=СН-,
-СН2-С С-СН2-СН2-СН2-СН2-СН2-, и
-СН2-СН2-СН2-СН2-СН2-СН2-СН(СН3)-СН2-.
Кроме того, по меньшей мере, один атом углерода в алифатическом углеводородном фрагменте Y необязательно замещен кислородом, азотом или серой.
Предпочтительный А представляет собой -СООН или его фармацевтически приемлемую соль, или сложный эфир.
Предпочтительные радикалы X1 и Х2 могу одновременно представлять собой атомы галогена, и более предпочтительно атомы фтора.
Предпочтительный W1 представляет собой =O.
Предпочтительный W2 представляет собой
или (a),
где оба радикала R3 и R4 являются атомами водорода.
Предпочтительный Y представляет собой незамещенную, насыщенную или ненасыщенную углеводородную цепочку, содержащую 6-8 атомов углерода.
Предпочтительный R1 представляет собой углеводородный остаток, содержащий 1-6 атомов углерода, более предпочтительно 1-4 углеродных атомов. В R1 при одном атоме углерода могут присутствовать одна или две боковые цепочки.
R2 предпочтительно представляет собой водород.
Наиболее предпочтительным воплощением изобретения является простагландиновое соединение, имеющее формулу (I), в которой А представляет собой -СООН; Y представляет собой (CH2)6; W1 представляет собой =O; W2 представляет собой
или (a),
где оба радикала R3 и R4 являются водородом; R2 представляет собой водород; X1 и Х2 представляют собой фтор; а R1 представляет собой (СН2)2СН3 или СН2СН(СН3)СН2СН3.
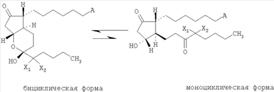
Активное соединение этого изобретения или соединение PG, имеющее формулу (I), существует в виде бициклического соединения в твердом состоянии, но при растворении в растворителе часть соединения образует таутомерную форму. В отсутствие воды соединение, представленное формулой (I), преимущественно находится в виде бициклической структуры. Предполагают, что в водной среде возникает водородная связь между молекулой воды и, например, кетоновой группой в положении С-15, что затрудняет образование бициклического кольца. Кроме того, предполагают, что атомы галогена в положении С-16 способствуют образованию бициклического кольца. Как показано ниже, таутомерия между гидроксигруппой в положении С-11 и кетогруппой в положении С-15 играет особенно важную роль в случае соединений, содержащих 13, 14-одинарную связь и два атома фтора в положении С-16.
Таким образом, настоящее изобретение может включать изомеры галогенированных простагландиновых соединений. Ниже, в качестве примера, показаны моноциклические таутомеры, содержащие кетогруппу в положении С-15 и атомы галогена в положении С-16.

В соответствии с общепринятой номенклатурой простагландинов моноциклическая форма предпочтительного соединения настоящего изобретения может быть названа, как 13,14-дигидро-15-кето-16,16-дифтор-PGE1.
(ii) Фармацевтически приемлемый наполнитель
В соответствии с настоящим изобретением фармацевтическая композиция может быть составлена в любой форме. Поэтому фармацевтически приемлемый наполнитель может быть выбран в зависимости от желаемой формы композиции. В соответствие с изобретением термин «фармацевтически приемлемый наполнитель» означает инертное вещество, которое используется совместно с активным ингредиентом изобретения и подходит для получения желаемой формы.
Так, например, твердая композиция настоящего изобретения для перорального введения может включать таблетки, препараты, гранулы и т.п. В такой твердой композиции один или несколько активных ингредиентов могут быть смешаны, по меньшей мере, с одним инертным разбавителем, например с лактозой, маннитом, глюкозой, гидроксипропилцеллюлозой, микрокристаллической целлюлозой, крахмалом, поливинилпирролидоном, метасиликатом алюмината магния и т.п. В соответствие с обычной практикой композиция помимо инертного разбавителя может содержать добавки, например смазывающее вещество, такое как стеарат магния; дезинтегрирующее вещество, такое как волокнистый глюконат кальция; стабилизатор, такой как циклодекстрин, например , – или -циклодекстрин; этерифицированный циклодекстрин, такой как диметил- -, диметил- -, триметил- – или гидроксипропил- -циклодекстрин; разветвленный циклодекстрин, такой как глюкозил-, мальтозилциклодекстрин; формилированный циклодекстрин; циклодекстрин, содержащий серу; фосфолипид и т.п. При использовании перечисленных выше циклодекстринов иногда может происходить образование соединений включения, повышающее устойчивость продукта. Альтернативно иногда для образования липосомы можно применять фосфолипид, что также способствует повышению стабильности.
При необходимости таблетки или пилюли могут быть покрыты пленкой, растворимой в желудке или кишечнике, такой как сахар, желатин, гидрокспропилцеллюлоза, фталат гидроксипропилметилцеллюлозы. Кроме того, их можно получить в виде капсул с рассасывающимися веществами, например желатинами. Предпочтительно композицию составляют в виде мягкой желатиновой капсулы с жидким содержимым из галогенированного простагландинового соединения и триглицерида со среднецепочечными жирными кислотами. Примеры триглицерида со среднецепочечными жирными кислотами, применяемого в настоящем изобретении, включают триглицерид с насыщенной или ненасыщенной жирной кислотой, содержащей 6-14 углеродных атомов, которая может иметь разветвленное строение. Предпочтительная жирная кислота представляет собой линейную насыщенную жирную кислоту, например капроновую кислоту (С6), каприловую кислоту (С8), каприновую кислоту (С10), лауриновую кислоту (С12) и миристиновую кислоту (С14). Кроме того, можно применять смесь двух или нескольких триглицеридов со среднецепочечными жирными кислотами. Другие подходящие наполнители описаны в опубликованной заявке РСТ WO 01/27099.
Жидкая композиция для перорального применения может быть в форме эмульсии, раствора, суспензии, сиропа или эликсира и включает обычно применяемый инертный разбавитель. Помимо инертного разбавителя, такая композиция может содержать такие добавки, как смазывающие вещества, подсластители, ароматизаторы, консерванты, солюбилизаторы, антиоксиданты и т.п. Добавки можно выбирать из тех, что описаны в любом общем руководстве по фармацевтике. Жидкие композиции могут быть непосредственно помещены в мягкие капсулы. Композиция настоящего изобретения может применяться в виде суппозитория, клизмы и т.п. Они могут быть в форме стерильных водных или неводных растворов, суспензии, эмульсии и т.п. Примеры наполнителей для водного раствора, суспензии или эмульсии могут включать дистиллированную воду, физиологический раствор и раствор Рингера.
Примеры наполнителей для неводного раствора, суспензии или эмульсии могут включать пропиленгликоль, полиэтиленгликоль, триглицерид с жирными кислотами, растительное масло, например оливковое масло, такие спирты, как этанол, полисорбат и т.п. Такая композиция может содержать добавки, например консерванты, увлажнитель, эмульгатор, диспергатор, антиоксиданты и т.п.
В соответствии с настоящим изобретением фармацевтическая композиция может быть предназначена для парентерального или перорального введения, и предпочтительной является композиция для перорального приема. В примере активный ингредиент предпочтительно растворяют в триглицериде со среднецепочечными жирными кислотами и раствором заполняют капсулы.
В соответствии со способом изобретения композицию настоящего изобретения можно вводить системно или локально с помощью средств для перорального или парентерального введения, включающих парентеральное введение с помощью суппозитория, клизм и т.п. Композицию настоящего изобретения можно вводить от одного до нескольких раз в день.
Предпочтительно общая суточная доза простагландинового соединения настоящего изобретения составляет примерно 6-96 мкг, более предпочтительно примерно 6-72 мкг, еще более предпочтительно примерно 6-60 мкг и особенно предпочтительно 8-48 мкг. Доза может изменяться по усмотрению терапевта в зависимости от возраста и массы тела пациента, его состояния, терапевтического эффекта, способа введения, периода лечения и т.п.
Используемый в тексте термин «без существенного электролитного сдвига» означает, что электролитный дисбаланс за время лечения выражен в значительно меньшей степени, чем под действием известного средства, индуцирующего электролитный дисбаланс. Кроме того, термин «без существенного электролитного сдвига» относится к уровню сывороточного электролита у пациента, подвергнутого лечению, который, как должно быть понятно клиницистам, находится в области нормальных клинических значений. Как отмечалось выше, MiraLax , используемый для лечения запора, способен вызывать электролитный дисбаланс, который, помимо прочего, может приводить к опасным кардиологическим проблемам. С другой стороны, как показано в следующем примере, простагландиновое соединение, применяемое в настоящем изобретении, практически не вызывает электролитного сдвига даже при длительном приеме препарата.
Следующие примеры также демонстрируют тот факт, что фармацевтическая композиция настоящего изобретения практически не вызывает возобновления симптомов запора или других нежелательных состояний после прекращения длительного лечения с помощью композиции. Таким образом, вследствие этого композиция настоящего изобретения может быть полезной при длительном лечении.
Более того, оценка качества жизни пациентов, страдающих запорами и IBS, привела к заключению, что представленные соединения улучшали качество жизни пациентов.
В соответствии с настоящим изобретением представленные соединения могут быть полезны при длительном лечении желудочно-кишечных нарушений. Они обладают одинаковой эффективностью при лечении пациентов как мужского, так и женского пола. Кроме того, они полезны при лечении пациента в возрасте 65 лет или старше.
Используемый в тексте термин «желудочно-кишечные нарушения» включает, но не ограничивается перечисленными, острый или хронический запор, функциональные желудочно-кишечные нарушения такие, как синдром раздраженной кишки и функциональная диспепсия, язва желудка, язва толстой и тонкой кишки и дискомфорт в области живота.
Различные типы запора, подлежащие лечению, включают, но не ограничиваются перечисленными, функциональный запор, например релаксирующий запор, спастический запор, ректальный запор и послеоперационная кишечная непроходимость; органический запор, вызванный заболеваниями кишечника и стенозом из-за послеоперационных спаек; а также запор, вызванный действием лекарств, например опиоида.
Помимо облегчения или предотвращения запора, композиция настоящего изобретения может применяться для предотвращения натуживания при дефекации у пациента, страдающего грыжей или сердечно-сосудистыми заболеваниями, или для размягчения кала у пациента с аноректальными заболеваниями. Кроме того, представляемая композиция может применяться для очищения желудочно-кишечного тракта при подготовке к эндоскопическому исследованию или для диагностических или хирургических процедур, таких как колоноскопия, бариевая клизма при рентгеновских исследованиях и внутривенная пиелография, или в случае срочных процедур таких, как экстренное промывание желудочно-кишечного тракта с целью удаления ядов и т.п. Таким образом, изобретение охватывает воплощения, в которых композицию настоящего изобретения применяют для очищения желудочно-кишечного тракта у мужчин или людей в возрасте 65 лет или старше.
Используемый в тексте термин «лечение» включает любые средства контроля, такие как профилактика, уход за больным, снятие симптомов, ослабление симптомов и остановка развития заболевания. Используемый в тексте термин «длительное лечение» относится к введению соединения, по меньшей мере, в течение двух недель. Соединение может приниматься ежедневно в течение всего периода лечения или с интервалом в один или несколько дней.
Описанные ниже детали настоящего изобретения будут сопровождаться отсылкой к экспериментальным примерам, которые, однако, не ограничивают объем настоящего изобретения.
Сведения, подтверждающие возможность осуществления изобретения
Пример 1
Метод
Многоцентровое открытое исследование проводили для оценки безопасности приема 48 мкг соединения А (13,14-дигидро-15-кето-1б,16-дифтор PGE1) (24 мкг соединения A b.i.d.) при ежедневном приеме в течение 24 недель (6 месяцев) или 48 недель (12 месяцев) пациентами, страдающими периодическим запором. Регистрировали пациентов, у которых в прошлом был хронический запор, по меньшей мере, в течение 3 месяцев (менее чем 3 SBMs в неделю) и, по меньшей мере, один сопутствующий симптом, такой как твердый стул, неполное опорожнение, натуживание. После 14-дневного периода вымывания в отсутствие лекарств, пациенты получали 48 мкг соединения А (24 мкг соединения А b.i.d.) перорально в течение 48 недель.
В этом исследовании оценивали следующие параметры.
1. Электролитный баланс
Концентрации ионов натрия, калия, хлора, кальция, магния и фосфора в сыворотке пациентов (n=299) измеряли до начала лечения и через 6, 12, 18, 24, 30, 48 и 50 недель после начала лечения соединением А.
Лабораторные стандартные значения набора электролитов брали из нормальной области значений центральной лаборатории.
2) Тяжесть запора, 3) вздутие живота и 4) дискомфорт в области живота.
Каждый параметр (тяжесть запора, вздутие живота и дискомфорт в области живота) оценивали у пациентов в ходе 6 месячного (n=246) или 12 месячного (n=304) лечения по следующей шкале: 0 (отсутствие), 1 (слабый), 2 (умеренный), 3 (тяжелый) и 4 (очень тяжелый).
Результаты
1. Электролитный баланс
Как следует из Таблицы 1, лечение соединением А не оказывало влияния на концентрации ионов натрия, калия, хлора, кальция, магния и фосфора в сыворотке крови пациентов. Полученные результаты показывают, что соединение А не вызывает существенного сдвига электролитов в ходе длительного введения препарата.
| Таблица 1 |
| Средние результаты химического анализа сыворотки крови |
| Неделя |
Натрий (ммоль/л) |
Калий (ммоль/л) |
Хлорид (ммоль/л) |
Кальций (мг/дл) |
Магний (мг/дл) |
Фосфор (мг/дл) |
| 0 |
141,00 |
4,28 |
103,08 |
9,61 |
2,18 |
3,65 |
| 6 |
142,25 |
4,28 |
103,00 |
9,90 |
2,23 |
3,20 |
| 12 |
139,78 |
4,20 |
103,08 |
9,71 |
2,24 |
3,57 |
| 18 |
141,50 |
4,40 |
105,50 |
9,30 |
2,35 |
3,55 |
| 24 |
139,21 |
4,19 |
102,56 |
9,77 |
2,21 |
3,61 |
| 30 |
136,00 |
4,30 |
100,00 |
9,10 |
2,30 |
2,50 |
| 36 |
138,94 |
4,18 |
102,51 |
9,67 |
2,19 |
3,58 |
| 48 |
139,59 |
4,20 |
102,88 |
9,66 |
2,14 |
3,50 |
| 50 |
139,11 |
4,49 |
102,67 |
9,47 |
2,31 |
3,54 |
| Лабораторный стандарт |
135-148 |
3,5-5,5 |
96-109 |
8,5-10,6 |
1,6-2,6 |
* |
* Женщины: 15-19 лет 2,5-5,3 мг/дл, 20 лет 2,5-4,5 мг/дл |
Мужчины: 15-19 лет 2,5-5,6 мг/дл, 20 лет 2,5-4,5 мг/дл |
2) тяжесть запора (6 и 12 месяцев), 3) вздутие живота (6 и 12 месяцев) и 4) дискомфорт в области живота (6 и 12 месяцев) показаны на фигурах 1-6 соответственно.
Как показано на фигурах 1-6, соединение А эффективно при лечении в течение 6 и 12 месяцев.
Пример 2
Метод
Многоцелевое, двойное слепое, рандомизированное, плацебо-контролируемое исследование проводили для оценки реакции после лечения у части пациентов, после четырех (4) недель активного лечения (общая суточная доза соединения А – 48 мкг) и трех (3) недель рандомизированного периода отмены лечения. Регистрировали пациентов, у которых в прошлом был хронический запор, по меньшей мере, в течение 6 месяцев (менее чем 3 SBMs в неделю) и, по меньшей мере, один сопутствующий симптом, такой как твердый стул, неполное опорожнение, натуживание. После 14-дневного периода вымывания в отсутствие лекарств пациенты получали 48 мкг соединения А (общая суточная доза) перорально в течение 28 дней, а затем 0 или 48 мкг соединения А (общая суточная доза) в течение 21 дня.
В этом исследовании оценивали следующие параметры:
1) количество дефекаций в неделю;
2) вздутие живота;
3) дискомфорт в области живота;
4) тяжесть запора;
5) натуживание;
6) консистенция.
Каждый параметр (вздутие живота, дискомфорт в области живота, тяжесть запора или натуживание) оценивали у пациентов по следующей шкале: 0 (отсутствие), 1 (слабый), 2 (умеренный), 3 (тяжелый) и 4 (очень тяжелый). Консистенцию оценивали по шкале: 0 (очень рыхлая), 1 (рыхлая), 2 (нормальная), 3 (плотная) и 4 (очень плотная, маленькие шарики).
Результаты
1) количество дефекаций в течение недели, 2) вздутие живота, 3) дискомфорт в области живота, 4) тяжесть запора, 5) натуживание и 6) консистенция показаны на фигурах 7-12 соответственно.
Как показано на фигурах 7-12, после прекращения лечения соединением А практически не наблюдалось возобновления симптомов, и эффективность действия соединения А продолжалась даже после прекращения лечения.
Этот результат указывает на то, что при введении соединения А качество жизни пациентов улучшается.
Пример 3
Метод
Пациенты, страдающие синдромом раздраженной кишки (IBS), принимали по 48 мкг соединения А (24 мкг соединения A b.i.d.) в течение 48 недель.
В этом исследовании оценивали следующие параметры:
1) дискомфорт в области живота;
2) вздутие живота;
3) тяжесть запора.
И дискомфорт в области живота, и вздутие живота у пациентов оценивали по шкале: 0 (отсутствие), 1 (слабое), 2 (умеренное), 3 (тяжелое) и 4 (очень тяжелое). Тяжесть запора у пациентов оценивали по шкале: 0 (очень слабая). 1 (слабая), 2 (нормальная), 3 (тяжелая), 4 (очень тяжелая).
Результаты
1) дискомфорт в области живота, 2) вздутие живота и 3) тяжесть запора представлены в таблицах 2-4 соответственно.
Как показано в таблицах 2-4, соединение А эффективно в течение 12-месячного лечения пациентов, страдающих IBS.
| Таблица 2 |
| Анализ дискомфорта в области живота |
| Неделя |
Соединение А Среднее±SD(N) |
Соединение А |
| Среднее±SD(N) Медиана |
| Медиана |
Интервал |
| Интервал |
Значение р* |
| Базовая линия |
1,95±0,850 (183) |
Отклонение от базовой линии |
| 2.00 |
| 0,00-4,00 |
| 12-я неделя |
1,16 ±0,836 (135) |
-0,79±0,993 (135) |
| 1,00 |
-1,00 |
| 0,00-4,00 |
-3,00-2,00 |
 |
<0,001# |
| 18-я неделя |
0,98±0,874 (111) |
-0,97±1,031(111) |
| 1,00 |
-1,00 |
| 0,00-3,00 |
-4,00-3,00 |
 |
<0,001# |
| 24-я неделя |
1,09±0,917 (107) |
-0,82±1,035 (107) |
| 1,00 |
-1,00 |
| 0,00-4,00 |
-4,00-3.00 |
 |
<0,001# |
| 36-я неделя |
0,93±0,799 (57) |
-0,77±0,926 (57) |
| 1.00 |
-1,00 |
| 0,00-3,00 |
-4,00-2,00 |
 |
<0,001# |
| 48-я неделя |
0,87±0,929 (52) |
-0,81±0,908 (52) |
| 1,00 |
-1,00 |
| 0,00-4,00 |
-2,00-2,00 |
 |
<0,001# |
| Окончание лечения |
1,28±1,020 (183) |
-0,66±1,112 (183) |
| 1,00 |
-1,00 |
| 0,00-4,00 |
-4,00-2,00 |
 |
<0,001# |
| Последующее наблюдение |
1,40±0,996 (121) |
-0,55±1,080 (121) |
| 1,00 |
-1,00 |
| 0,00-4,00 |
-4,00-2,00 |
 |
<0,001# |
| * значение р из знаково-рангового критерия Уилкоксона |
| Таблица 3 |
| Анализ вздутия живота |
| Неделя |
Соединение А Среднее±SD(N) |
Соединение А |
| Медиана |
Среднее±SD(N) Медиана |
| Интервал |
Интервал |
 |
Значение р* |
| Базовая линия |
2,23±0,927 (183) |
Отклонение от базовой линии |
| 2,00 |
| 0,00-4,00 |
| 12-я неделя |
1,43±0,919 (135) |
-0,84 ±1,045 (135) |
| 1,00 |
-1,00 |
| 0,00-4,00 |
-3,00-3,00 |
 |
<0,001# |
| 18-я неделя |
1,19±0,837 (111) |
-1,07±1,068 (111) |
| 1,00 |
-1,00 |
| 0,00-3,00 |
-3,00-3,00 |
 |
<0,001# |
| 24-я неделя |
1,26±0,915 (107) |
-0,95±1,102 (107) |
| 1,00 |
-1,00 |
| 0,00-4,00 |
-4,00-3,00 |
 |
<0,001# |
| 36-я неделя |
1,05 ±0,854 (57) |
-1,00±1,134 (57) |
| 1,00 |
-1,00 |
| 0,00-3,00 |
-4,00-2,00 |
 |
<0,001# |
| 48-я неделя |
1,12±0,832 (52) |
-0,94±0,802 (52) |
| 1,00 |
-1,00 |
| 0,00-4,00 |
-3,00-1,00 |
 |
<0,001# |
| Окончание лечения |
1,50±1,005 (183) |
-0,73±1,075 (183) |
| 1,00 |
-1,00 |
| 0,00-4,00 |
-4,00-2,00 |
 |
<0,001# |
| Последующее наблюдение |
1,55±0,957 (121) |
-0,69±1,109 (121) |
| 2,00 |
-1,00 |
| 0,00-4,00 |
-3,00-3,00 |
 |
<0,001# |
| * значение р из знаково-рангового критерия Уилкоксона |
| Таблица 4 |
| Анализ тяжести запора |
| Неделя |
Соединение А |
Соединение А Среднее±SD(N) |
| Среднее±SD(N) Медиана |
Медиана |
| Интервал |
Интервал |
 |
Значение р* |
| Базовая линия |
2,95±0,751(183) |
Изменение базовой линии |
| 3,00 |
| 1,00-4,00 |
| 12-я неделя |
1,76±1,003 (135) |
-1,16±1,099(135) |
| 2,00 |
-1,00 |
| 0,00-4,00 |
-4,00-2,00 |
 |
<0,001# |
| 18-я неделя |
1,33±0,985(111) |
-1,59±1,148 (111) |
| 1,00 |
-2,00 |
| 0,00-4,00 |
-4,00-3,00 |
 |
<0,001# |
| 24-я неделя |
1,50±0,965 (107) |
-1,40±1,036 (107) |
| 1,00 |
-1,00 |
| 0,00-4,00 |
-3,00-2,00 |
 |
<0,001# |
| 36-я неделя |
1,39±0,921(57) |
-1,33±1,123(57) |
| 1,00 |
-1,00 |
| 0,00-4,00 |
-4,00-2,00 |
 |
<0,001# |
| 48-я неделя |
1,37±0,894 (51) |
-1,37±1,095 (51) |
| 1,00 |
-1,00 |
| 0,00-3,00 |
-3,00-1,00 |
 |
<0,001# |
| Окончание лечения |
1,84±1,120 (183) |
-1,11±1,148 (183) |
| 2,00 |
-1,00 |
| 0,00-4,00 |
-4,00-2.00 |
 |
<0,001# |
| Последующее наблюдение |
2,07±0,946 (121) |
-0,88±1,122 (121) |
| 2,00 |
-1,00 |
| 0,00-4,00 |
-4,00-2,00 |
 |
<0,001# |
| * значение р из знаково-рангового критерия Уилкоксона |
Пример 4
Метод
Многоцелевое, параллельно-групповое, двойное слепое, плацебо-контролируемое исследование проводили для сравнения действия соединения А на еженедельное количество спонтанных дефекаций у пациентов мужского и женского пола. Пациенты обоих полов, страдающие периодическим запором, принимали по 48 мкг (общая суточная доза) соединения А (24 мкг соединения A b.i.d.) в течение 4 недель. В ходе лечения у пациентов регистрировали случаи дефекации.
Результаты
Данные по сравнительному влиянию 48 мкг соединения А на еженедельное число спонтанных дефекаций у пациентов мужского и женского пола представлены на фигуре 13.
Как показано на фигуре 13, соединение А обладало значительной эффективностью при применении как мужчинами, так и женщинами. Не было обнаружено значительных различий между эффектами препарата на мужчин и женщин.
Пример 5
Метод
Многоцелевое, параллельно-групповое, двойное слепое, плацебо-контролируемое исследование проводили для сравнения действия соединения А на улучшение (увеличение) еженедельного числа спонтанных дефекаций у пациентов различного возраста, страдающих периодическими запорами. Пациенты принимали по 48 мкг (общая суточная доза) соединения А (24 мкг соединения A b.i.d.) в течение 4 недель. В ходе лечения у пациентов регистрировали случаи дефекации.
Результаты
Результаты представлены на фигуре 14. Как показано на фигуре 14, соединение А обладало значительной эффективностью во всех возрастных группах, даже среди пациентов в возрасте 65 лет и старше.
Пример 6
Метод
48-недельное многоцелевое исследование проводили для оценки безопасности и эффективности приема 48 мкг (общая суточная доза) соединения А пациентами, страдающими периодическими запорами. Регистрировали пациентов, у которых в прошлом был хронический запор, по меньшей мере, в течение 3 месяцев (менее чем 3 SBMs в неделю) и, по меньшей мере, один сопутствующий симптом, такой как твердый стул, неполное опорожнение, натуживание. После 14-дневного периода вымывания в отсутствие лекарств пациенты получали 48 мкг соединения А в сутки (24 мкг соединения A, b.i.d.) в течение 48 дней.
Пациенты заполняли состоящую из 36 пунктов короткую форму (SF-36) итогового медицинского исследования (MOS), т.е. традиционную оценочную форму QOL, при регистрации (базовая линия) и по окончании лечения (48-я неделя). Компоненты формы MOS SF-36 (Med Care 30(6), 473-483, 2000) приведены ниже.
Физический компонент: физическая функция, ролевая физическая компонента, соматическая боль и общее состояние здоровья.
Психический компонент: жизнеспособность, социальная функция, ролевая эмоциональная компонента и психическое здоровье
Каждый из 8 компонентов оценивали в соответствие с руководящими принципами издателя, включающими директивы в отношении использования недостающих переменных. Отклонение от базовой линии в каждом из 8 компонентов в конце лечения (48-я неделя) регистрировали и оценивали с использованием парных t-критериев.
Результаты
Как показано в таблице 5, для оценки каждого из 8 компонентов среднее значение базовой линии составляет 47-52, что свидетельствует о том, что исследуемая популяция была в основном здорова. Среднее отклонение от базовой линии для оценки каждого компонента на 48-ой неделе характеризуется небольшим увеличением, что свидетельствует об улучшении соответствующих категорий. Улучшения, значительно отличающиеся от нулевого значения, наблюдали к 48-ой неделе для физической функции, ролевой физической компоненты, соматической боли, общего состояния здоровья, жизнеспособности, социальной функции и психического здоровья.
Результаты показывают, что соединение А улучшает QOL пациентов.
| Таблица 5 |
| Итоговые результаты SF36 |
 |
Компонент/оценка по шкале |
| Физическая функция |
Ролевая физическая компонента |
Соматическая боль |
Общее состояние здоровья |
Жизнеспособность |
 |
Ролевая эмоциональная компонента |
Психическое здоровье |
| Социальная функция |
 |
| Базовая |
 |
 |
 |
 |
 |
 |
 |
 |
| линия |
 |
 |
 |
 |
 |
 |
 |
 |
| N |
320 |
320 |
319 |
319 |
319 |
320 |
319 |
319 |
| Среднее |
49.04 |
49,75 |
47,53 |
51,52 |
50,61 |
50,12 |
49,52 |
50,60 |
| (std) |
9,817 |
9,457 |
9,765 |
9,069 |
9,940 |
9,778 |
9,973 |
9,829 |
| 48-я неделяа) |
 |
 |
 |
 |
 |
 |
 |
 |
| N |
153 |
153 |
151 |
151 |
151 |
152 |
151 |
151 |
| Среднееb) |
2,48** |
1,95** |
3,38** |
1,47* |
2,89** |
2,22** |
1,22 |
1,97** |
| (Std) |
8,431 |
7.403 |
9,883 |
7,827 |
9,163 |
8,973 |
9,560 |
9,201 |
| a) Значения, представленные на 48 неделе, иллюстрируют отклонение от базовой линии. |
| b) *р<0,05, **р<0,01 (парный Т-критерий) |
Пример 7
Метод
12-недельное, двойной слепое, рандомизированное исследование проводили для оценки безопасности и эффективности перорального применения 16 мкг, 32 мкг и 48 мкг (общая суточная доза) соединения А пациентами с синдромом раздраженной кишки (IBS).
Пациенты отвечали на вопросник IBS QOL в начале лечения, на 4-ой неделе лечения, 12-ой неделе лечения и при завершении лечения, и результаты анкетирования оценивали в соответствии с IBS QOL User’s manual (A Quality of Life Measure for Persons with Irritable Bowel Syndrome (IBS-QOL): User’s Manual and Scoring Diskette for United States Version. Seattle, Washington: University of Washington; 1997). Во всех анализах использовали оценку по шкале, и оценки рассчитывали в соответствии с руководством для пользователя по следующей формуле:
Оценка по шкале = {[Сумма позиций IBS QOL – наименьшая возможная оценка] / возможный интервал исходного отсчета} х 100.
Отклонения от базовой линии на 4-ой неделе, 12-ой неделе и в конце исследования оценивали по отношению к средней обобщенной оценке и средним доменным оценкам (дисфория, нарушение активности, схема тела, беспокойство, связанное с состоянием здоровья, отказ от пищи, социальная реакция, сексуальная реакция и зависимость).
Результаты
В таблицах 6-8 приведен итог среднего отклонения оценок IBS-QOL от базовой линии, проанализированный без LOCF (метод учета данных последнего наблюдения).
Полученные данные показали, что отклонение от базовой линии существенно отличаются от нулевого уровня во всех группах. В общем случае, группа, принимавшая по 16 мкг соединения А, характеризовалась самым выраженным улучшением по отношению к базовой линии во всех группах в каждой специальной области и абсолютно для всех QOL.
| Таблица 6 |
| Итоговое представление отклонения от базовой линии в IBS QOL (16 мкг) |
 |
Компонент/оценка по шкале |
| Общая QOL |
Дисфория |
Нарушение активности |
Схема тела |
Беспокойство о здоровье |
Отказ от пищи |
Социальная реакция |
Сексуальная реакция |
Зависимость |
| Базовая линия |
 |
 |
 |
 |
 |
 |
 |
 |
 |
| N |
51 |
51 |
51 |
51 |
51 |
51 |
51 |
51 |
51 |
| среднее |
55,66 |
53,19 |
65,82 |
41,42 |
37,74 |
46,08 |
63,97 |
64,95 |
67,81 |
| (Std) |
21,165 |
27,333 |
22,544 |
22,877 |
23,113 |
30,016 |
24,546 |
33,913 |
25,367 |
| 4-я неделя |
 |
 |
 |
 |
 |
 |
 |
 |
 |
| N |
45 |
45 |
45 |
45 |
45 |
45 |
45 |
45 |
45 |
| среднее |
14,7** |
17,85** |
10,87** |
10,39** |
22,41** |
13,89** |
11,94** |
13,33** |
10,74** |
| (Std) |
14,842 |
18,483 |
14,899 |
19,867 |
20,241 |
22,332 |
19,439 |
25,057 |
17,463 |
| 12-я неделя |
 |
 |
 |
 |
 |
 |
 |
 |
 |
| N |
42 |
42 |
42 |
42 |
42 |
42 |
42 |
42 |
42 |
| среднее |
18,54** |
23,51** |
13,95** |
22,32** |
23,81** |
15,28** |
14,58** |
16,67** |
15,47** |
| (Std) |
17,698 |
20.949 |
18,392 |
21,701 |
22,129 |
26,792 |
21,548 |
29,62 |
21,897 |
| Конец исследования |
 |
 |
 |
 |
 |
 |
 |
 |
 |
| N |
49 |
49 |
49 |
49 |
49 |
49 |
49 |
49 |
49 |
| Среднее |
16,82** |
21,62** |
11,95** |
20,41** |
21,94** |
13,95** |
13,78** |
14,03** |
14,28** |
| (Std) |
17,145 |
20,451 |
18,349 |
21,491 |
21,562 |
25,762 |
20,57 |
28,495 |
20,692 |
| Таблица 7 |
| Итоговое представление отклонения от базовой линии в IBS QOL (32 мкг) |
 |
Компонент/оценка по шкале |
| Общая QOL |
Дисфория |
Нарушение активности |
Схема тела |
Беспокойство о здоровье |
Отказ от пищи |
Социальная реакция |
Сексуальная реакция |
Зависимость |
| Базовая линия |
 |
 |
 |
 |
 |
 |
 |
 |
 |
| N |
49 |
49 |
49 |
49 |
49 |
49 |
49 |
49 |
49 |
| среднее |
60,14 |
59,69 |
69,82 |
43,37 |
44,38 |
52,21 |
66,84 |
68,62 |
70,23 |
| (Std) |
22,05 |
24,79 |
23,385 |
24,387 |
24,672 |
32,175 |
28,562 |
31,367 |
23,385 |
| 4-я неделя |
 |
 |
 |
 |
 |
 |
 |
 |
 |
| N |
36 |
36 |
36 |
36 |
36 |
36 |
36 |
36 |
36 |
| среднее |
11,25** |
14,58** |
7,04** |
15,28** |
16,9** |
8,33** |
9,9** |
8,68** |
7,64** |
| (Std) |
16,277 |
20,39 |
17,753 |
18,264 |
17,534 |
23,998 |
16,46 |
18,131 |
18,831 |
| 12-я неделя |
 |
 |
 |
 |
 |
 |
 |
 |
 |
| N |
33 |
33 |
33 |
33 |
33 |
33 |
33 |
33 |
33 |
| среднее |
13,08** |
15,25** |
9,42** |
17,99** |
19,44** |
11,36** |
10,8** |
10,98** |
9,09** |
| (Std) |
13,527 |
15,285 |
18,052 |
15,21 |
21,615 |
23,46 |
14,173 |
18,424 |
20,87 |
| Конец исследования |
 |
 |
 |
 |
 |
 |
 |
 |
 |
| N |
44 |
44 |
44 |
44 |
44 |
44 |
44 |
44 |
44 |
| среднее |
12,58** |
14,77** |
8,2** |
17,47** |
17,61** |
10,79** |
11,08** |
10,23** |
10,79** |
| (Std) |
12,621 |
14,429 |
16,726 |
15,344 |
22,317 |
21,906 |
14,32 |
16,894 |
20,139 |
| Таблица 8 |
| Итоговое представление отклонения от базовой линии в IBS QOL (48 мкг) |
 |
Компонент/оценка по шкале |
| Общая QOL |
Дисфория |
Нарушение активности |
Схема тела |
Беспокойство о здоровье |
Отказ от пищи |
Социальная реакция |
Сексуальная реакция |
Зависимость |
| Базовая линия |
 |
 |
 |
 |
 |
 |
 |
 |
 |
| N |
45 |
45 |
45 |
45 |
45 |
45 |
45 |
45 |
45 |
| среднее |
59,85 |
55,81 |
68,25 |
45,69 |
44,07 |
50,37 |
66,81 |
71,94 |
75,18 |
| (Std) |
21,664 |
26,802 |
23,396 |
21,396 |
23,274 |
31,927 |
27,074 |
30,404 |
22,365 |
| 4-я неделя |
 |
 |
 |
 |
 |
 |
 |
 |
 |
| N |
34 |
34 |
34 |
34 |
34 |
34 |
34 |
34 |
34 |
| среднее |
12,43** |
17,28** |
9,14** |
13,24** |
19,61** |
12,01** |
8,82** |
8,46** |
6,87** |
| (Std) |
11,619 |
16,842 |
14,477 |
13,568 |
18,562 |
19,59 |
14,028 |
15,607 |
12,558 |
| 12-я неделя |
 |
 |
 |
 |
 |
 |
 |
 |
 |
| N |
30 |
30 |
30 |
30 |
30 |
30 |
30 |
30 |
30 |
| среднее |
14,8** |
20,83** |
10,95** |
17,08** |
23,33** |
11,3**9 |
14,17** |
5** |
6,95** |
| (Std) |
13,65 |
18,863 |
15,091 |
18,419 |
18,098 |
22,153 |
21,143 |
18,159 |
12,202 |
| Конец исследования |
 |
 |
 |
 |
 |
 |
 |
 |
 |
| N |
43 |
43 |
43 |
43 |
43 |
43 |
43 |
43 |
43 |
| среднее |
11,54** |
16,28** |
7,97** |
14,24** |
17,05** |
8,33** |
12,06** |
3,49** |
6,01** |
| (Std) |
13,002 |
18,62 |
14,387 |
17,43 |
19,067 |
20,002 |
18,72 |
17,535 |
12,244 |
| *Р < 0,05, **Р < 0,01 (парные Т-критерии) |
Формула изобретения
1. Способ длительного лечения желудочно-кишечных расстройств у людей, включающий введение субъекту, нуждающемуся в лечении, эффективного количества простагландинового соединения формулы (I) и/или его таутомера:
 где W1 и W2 представляют собой:
, или ; (a) R3 и R4 представляют собой водород; или один из радикалов представляет собой ОН, а другой – водород; X1 и Х2 представляют собой водород, низший алкил или галоген, при условии, что, по меньшей мере, один из них представляет собой галоген; R2 представляет собой водород или алкил; Y представляет собой насыщенную или ненасыщенную С2-10углеводородную цепочку, которая незамещена или замещена оксо, галогеном, алкилом, гидрокси или арилом; А представляет собой -СН2ОН, -COCH2OH, -СООН или их функциональные производные; R1 представляет собой насыщенный или ненасыщенный, линейно-цепочечный, разветвленно-цепочечный или циклообразующий низший углеводород, который может быть незамещенным или замещенным галогеном, оксо, гидрокси, низшим алкилом, низшим алкокси, низшим алканоилокси, низшим циклоалкилом, низшим циклоалкилокси, арилом или арилокси; низший циклоалкил; низший циклоалкилокси; арил или арилокси; связь между положениями С-13 и С-14 является двойной или одинарной связью и стерическая конфигурация заместителей при положении С-15 представляет собой R, S конфигурацию или их смесь, где простагландиновое соединение водят, по меньшей мере, в течение 4 недель.
2. Способ по п.1, в котором указанное простагландиновое соединение представляет собой моноциклический таутомер формулы (I).
3. Способ по п.1, в котором вводимое количество указанного простагландинового соединения находится в интервале примерно 6-96 мкг в день.
4. Способ по п.1, в котором вводимое количество указанного простагландинового соединения находится в интервале примерно 6-72 мкг в день.
5. Способ по п.1, в котором вводимое количество указанного простагландинового соединения находится в интервале примерно 6-60 мкг в день.
6. Способ по п.1, в котором вводимое количество указанного простагландинового соединения находится в интервале примерно 8-48 мкг в день.
7. Способ по п.1, в котором простагландиновое соединение вводят перорально.
8. Способ по п.7, в котором указанное простагландиновое соединение вводят с масляным растворителем в качестве наполнителя.
9. Способ по п.8, в котором указанный масляный растворитель представляет собой среднецепочечную жирную кислоту.
10. Способ по п.1, в котором А представляет собой -СООН, Y представляет собой (СН2)6; W1 представляет собой =O; W2 представляет собой
или (a), где R3 и R4 представляют собой атомы водорода; R2 представляет собой атом водорода, X1 и Х2 представляют собой атомы фтора, a R1 представляет собой (СН2)3СН3.
11. Способ по п.1, в котором указанное желудочно-кишечное нарушение выбирают из группы, состоящей из запора, синдрома раздраженной кишки и функциональной диспепсии.
12. Способ по п.1, в котором указанное простагландиновое соединение следует вводить, по меньшей мере, в течение 2 месяцев.
13. Способ по п.1, в котором указанное простагландиновое соединение вводят, по меньшей мере, в течение 6 месяцев.
14. Способ по п.1, в котором указанное простагландиновое соединение вводят, по меньшей мере, в течение 1 года.
15. Способ по п.1, в котором указанное простагландиновое соединение вводят постоянно.
16. Способ по п.1, в котором указанный субъект человек представляет собой человека мужского пола.
17. Способ по п.1, в котором указанный субъект человек представляет собой человека в возрасте 65 лет или старше.
18. Способ улучшения качества жизни у человека с желудочно-кишечным нарушением, который включает введение человеку эффективного количества простагландинового соединения, имеющего формулу (I), и/или его таутомера:
 где W1 и W2 представляют собой:
, или ; (a) R3 и R4 представляют собой водород; или один из радикалов представляет собой ОН, а другой – водород; X1 и Х2 представляют собой водород, низший алкил или галоген, при условии, что, по меньшей мере, один из них представляет собой галоген; R2 представляет собой водород или алкил; Y представляет собой насыщенную или ненасыщенную C2-10 углеводородную цепочку, которая незамещена или замещена оксо, галогеном, алкилом, гидрокси или арилом; А представляет собой -CH2OH, -COCH2OH, -СООН или их функциональные производные; R1 представляет собой насыщенный или ненасыщенный, линейно-цепочечный, разветвленно-цепочечный или циклообразующий низший углеводород, который может быть незамещенным или замещенным галогеном, оксо, гидрокси, низшим алкилом, низшим алкокси, низшим алканоилокси, низшим циклоалкилом, низшим циклоалкилокси, арилом или арилокси; низший циклоалкил; низший циклоалкилокси; арил или арилокси; связь между положениями С-13 и С-14 является двойной или одинарной связью и стерическая конфигурация заместителей при положении С-15 представляет собой R, S конфигурацию или их смесь.
19. Композиция для длительного лечения желудочно-кишечных нарушений у человека, которая включает (1) эффективное количество простагландинового соединения, формулы (I), и/или его таутомера:
 где W1 и W2 представляют собой:
, или ; (a) R3 и R4 представляют собой водород; или один из радикалов представляет собой ОН, а другой – водород; X1 и Х2 представляют собой водород, низший алкил или галоген, при условии, что, по меньшей мере, один из них представляет собой галоген; R2 представляет собой водород или алкил; Y представляет собой насыщенную или ненасыщенную С2-10углеводородную цепочку, которая незамещена или замещена оксо, галогеном, алкилом, гидрокси или арилом; А представляет собой -CH2OH, -COCH2OH, -COOH или их функциональные производные; R1 представляет собой насыщенный или ненасыщенный, линейно-цепочечный или разветвленно-цепочечный или циклообразующий низший углеводород, который незамещен или замещен галогеном, оксо, гидрокси, низшим алкилом, низшим алкокси, низшим алканоилокси, низшим циклоалкилом, низшим циклоалкилокси, арилом или арилокси, низший циклоалкил, низший циклоалкилокси, арил или арилокси; связь между положениями С-13 и С-14 является двойной или одинарной связью и стерическая конфигурация заместителей при положении С-15 представляет собой R, S конфигурацию или их смесь, и (2) фармацевтически приемлемый наполнитель, где указанную композицию следует вводить в течение, по меньшей мере, четырех недель.
20. Композиция по п.19, в которой указанное простагландиновое соединение представляет собой моноциклический таутомер.
21. Композиция по п.19, которая составлена так, что пациенту вводят примерно 6-96 мкг в день указанного простагландинового соединения.
22. Композиция по п.19, которая составлена так, пациенту вводят примерно 6-72 мкг в день указанного простагландинового соединения.
23. Композиция по п.19, которая составлена так, что пациенту вводят примерно 6-60 мкг в день указанного простагландинового соединения.
24. Композиция по п.19, которая составлена так, что пациенту вводят примерно 8-48 мкг в день указанного простагландинового соединения.
25. Композиция по п.19, которую следует вводить перорально.
26. Композиция по п.25, в которой фармацевтически приемлемый наполнитель представляет собой масляный растворитель.
27. Композиция по п.26, в которой указанный масляный растворитель представляет собой среднецепочечную жирную кислоту.
28. Композиция по п.19, в которой А представляет собой -СООН; Y представляет собой (СН2)6; W1 представляет собой =О; W2 представляет собой
или (a), где оба радикала R3 и R4 представляют собой атомы водорода; R2 представляет собой атом водорода; X1 и Х2 представляют собой атомы фтора; a R1 представляет собой (СН2)3СН3.
29. Композиция по п.19, в которой указанное желудочно-кишечное нарушение выбирают из группы, состоящей из запора, синдрома раздраженной кишки и функциональной диспепсии.
30. Композиция по п.19, которую следует вводить в течение, по меньшей мере, 2 месяцев.
31. Композиция по п.19, которую следует вводить в течение, по меньшей мере, 6 месяцев.
32. Композиция по п.19, которую следует вводить в течение, по меньшей мере, 1 года.
33. Композиция по п.19, которую следует вводить постоянно.
34. Композиция по п.19, когда указанный субъект человек представляет собой человека мужского или женского рода.
35. Композиция по п.19, когда указанный субъект человек представляет собой человека в возрасте 65 лет или старше.
36. Композиция для улучшения качества жизни человека, страдающего от желудочно-кишечного нарушения, которая включает (1) эффективное количество простагландинового соединения, представленного формулой (I), и/или его таутомера:
 где W1 и W2 представляют собой:
, или ; (a) R3 и R4 представляют собой водород; или один из радикалов представляет собой ОН, а другой – водород; X1 и X2 представляют собой водород, низший алкил или галоген, при условии, что, по меньшей мере, один из них представляет собой галоген; R2 представляет собой водород или алкил; Y представляет собой насыщенную или ненасыщенную С2-10углеводородную цепочку, которая незамещена или замещена оксо, галогеном, алкилом, гидрокси или арилом; А представляет собой -СН2ОН, -COCH2OH, -COOH или их функциональное производное; R1 представляет собой насыщенный или ненасыщенный, линейно-цепочечный или разветвленно-цепочечный или циклообразующий низший углеводород, который незамещен или замещен галогеном, оксо, гидрокси, низшим алкилом, низшим алкокси, низшим алканоилокси, низшим циклоалкилом, низшим циклоалкилокси, арилом или арилокси; низший циклоалкил; низший циклоалкилокси; арил или арилокси; связь между положениями С-13 и С-14 является двойной или одинарной связью и стерическая конфигурация положения при положении С-15 представляет собой R, S конфигурацию или их смесь; и (2) фармацевтически приемлемый наполнитель.
37. Применение простагландинового соединения формулы (I), и/или его таутомера:
 где W1 и W2 представляют собой:
, или ; (a) R3 и R4 представляют собой водород; или один из радикалов представляет собой ОН, а другой – водород; X1 и Х2 представляют собой водород, низший алкил или галоген, при условии, что, по меньшей мере, один из них представляет собой галоген; R2 представляет собой водород или алкил; Y представляет собой насыщенную или ненасыщенную С2-10углеводородную цепочку, которая незамещена или замещена оксо, галогеном, алкилом, гидрокси или арилом; А представляет собой -СН2ОН, -СОСН2ОН, -СООН или их функциональное производное; R1 представляет собой насыщенный или ненасыщенный, линейно-цепочечный или разветвлено-цепочечный или циклообразующий низший углеводород, который незамещен или замещен галогеном, оксо, гидрокси, низшим алкилом, низшим алкокси, низшим алканоилокси, низшим циклоалкилом, низшим циклоалкилокси, арилом или арилокси; низший циклоалкил; низший циклоалкилокси; арил или арилокси; связь между положениями С-13 и С-14 является двойной или одинарной связью и стерическая конфигурация положения при положении С-15 представляет собой R, S конфигурацию или их смесь, для производства фармацевтической композиции, предназначенной для длительного лечения желудочно-кишечных нарушений у человека, где композицию следует вводить пациенту, нуждающемуся в лечении, где указанную композицию следует вводить в течение, по меньшей мере, четырех месяцев.
38. Применение по п.37, при котором указанное простагландиновое соединение представляет собой моноциклический таутомер, имеющий формулу (I).
39. Применение по п.37, при котором композицию составляют так, что пациенту вводят примерно 6-96 мкг в день указанного простагландинового соединения.
40. Применение по п.37, при котором композицию составляют так, что пациенту вводят примерно 6-72 мкг в день указанного простагландинового соединения.
41. Применение по п.37, при котором композицию составляют так, что пациенту вводят примерно 6-60 мкг в день указанного простагландинового соединения.
42. Применение по п.37, при котором композицию составляют так, что пациенту вводят примерно 8-48 мкг в день указанного простагландинового соединения.
43. Применение по п.37, при котором композицию вводят перорально.
44. Применение по п.43, при котором композиция дополнительно включает масляный растворитель в качестве наполнителя.
45. Применение по п.44, при котором указанный масляный растворитель представляет собой среднецепочечную жирную кислоту.
46. Применение по п.37, котором А представляет собой -СООН; Y представляет собой (СН2)6; W1 представляет собой =О; W2 представляет собой
или (a), где оба радикала R3 и R4 представляют собой атомы водорода; R2 представляет собой атом водорода; X1 и Х2 представляют собой атомы фтора; a R1 представляет собой (СН2)3СН3.
47. Применение по п.37, при котором указанное желудочно-кишечное нарушение выбирают из группы, состоящей из запора, синдрома раздраженной кишки и функциональной диспепсии.
48. Применение по п.37, при котором композицию вводят, по меньшей мере, в течение 2 месяцев.
49. Применение по п.37, при котором композицию вводят, по меньшей мере, в течение 6 месяцев.
50. Применение по п.37, при котором композицию вводят, по меньшей мере, в течение 1 года.
51. Применение по п.37, при котором композицию вводят постоянно.
52. Применение по п.37, при котором указанный субъект человек представляет собой человека мужского или женского пола.
53. Применение по п.37, при котором указанный субъект человек представляет собой человека в возрасте 65 лет и старше.
54. Применение простагландинового соединения формулы (I) и/или его таутомера:
 где W1 и W2 представляют собой:
, или ; (a) R3 и R4 представляют собой водород; или один из радикалов представляет собой ОН, а другой – водород; X1 и Х2 представляют собой водород, низший алкил или галоген, при условии, что, по меньшей мере, один из них представляет собой галоген; R2 представляет собой водород или алкил; Y представляет собой насыщенную или ненасыщенную С2-10углеводородную цепочку, которая незамещена или замещена оксо, галогеном, алкилом, гидрокси или арилом; А представляет собой -СН2ОН, -COCH2OH, -COOH или их функциональное производное; R1 представляет собой насыщенный или ненасыщенный, линейно-цепочечный или разветвленно-цепочечный или циклообразующий низший углеводород, который незамещен или замещен галогеном, оксо, гидрокси, низшим алкилом, низшим алкокси, низшим алканоилокси, низшим циклоалкилом, низшим циклоалкилокси, арилом или арилокси; низший циклоалкил; низший циклоалкилокси; арил или арилокси; связь между положениями С-13 и С-14 является двойной или одинарной связью и стерическая конфигурация положения при положении С-15 представляет собой R, S конфигурацию или их смесь, для производства фармацевтической композиции, для улучшения качества жизни человека, страдающего от желудочно-кишечного расстройства, где композицию следует вводить субъекту, нуждающемуся в лечении.
РИСУНКИ
|
|