Патент на изобретение №2392922
|
||||||||||||||||||||||||||||||||||||||||||||||||||||||||||||||||||||||||||||||||||||||||||||||||||||||||||||||||||||||||||||||||||||||||||||||||||||||||||||||||||||||||||||||||||||||||||||||||||||||||||||||||||||||||||||||||||||||||||||||||||||||||||||||||||||||||||||||||||||||||||||||||||||||||||||||||||||||||||||||||||||||||||||
(54) АНТИПЕРСПИРАНТНЫЕ ИЛИ ДЕЗОДОРАНТНЫЕ КОМПОЗИЦИИ
(57) Реферат:
Изобретение относится к медицине, в частности к косметике. Безводная антиперспирантная или дезодорантная композиция включает антиперспирантное активное вещество, несмешивающуюся с водой жидкость-носитель, гелеобразователь, ингибитор расслоения. Расслоение антиперспирантного активного вещества, суспендированного в безводных композициях, в которых используются эфирные масла или нелетучие силиконовые масла, имеющие показатель преломления, по меньшей мере, 1,5, предпочтительно вместе с жирным спиртом, желированные с помощью волокнообразующего амидного гелеобразователя, может быть устранено включением ингибитора расслоения, особенно арилен-алкиленового блок-сополимера, такого как триблок-сополимер, например стирол/этилен-бутилен/стирольного сополимера или стирол/бутиленового сополимера. Изобретение обеспечивает получение стиков с уменьшенным расслоением между верхом и низом антиперспирантного стика. 4 н. и 48 з.п. ф-лы, 3 табл.
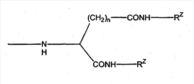
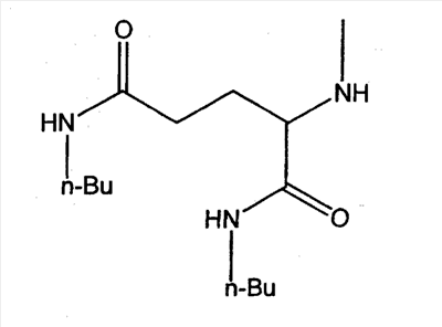
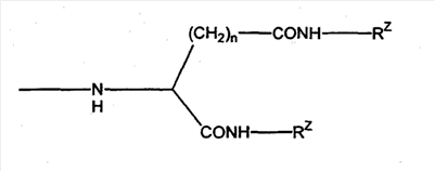
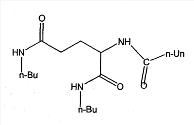
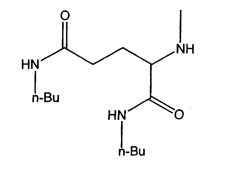
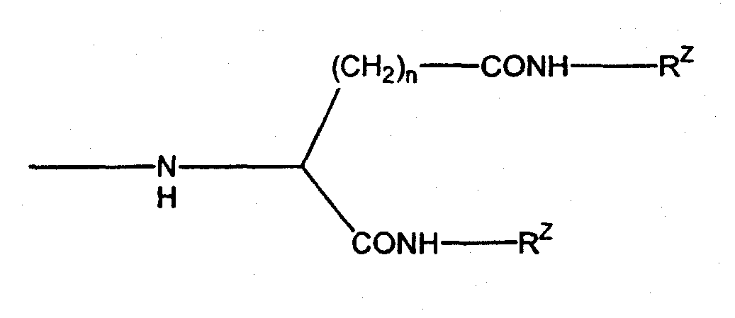
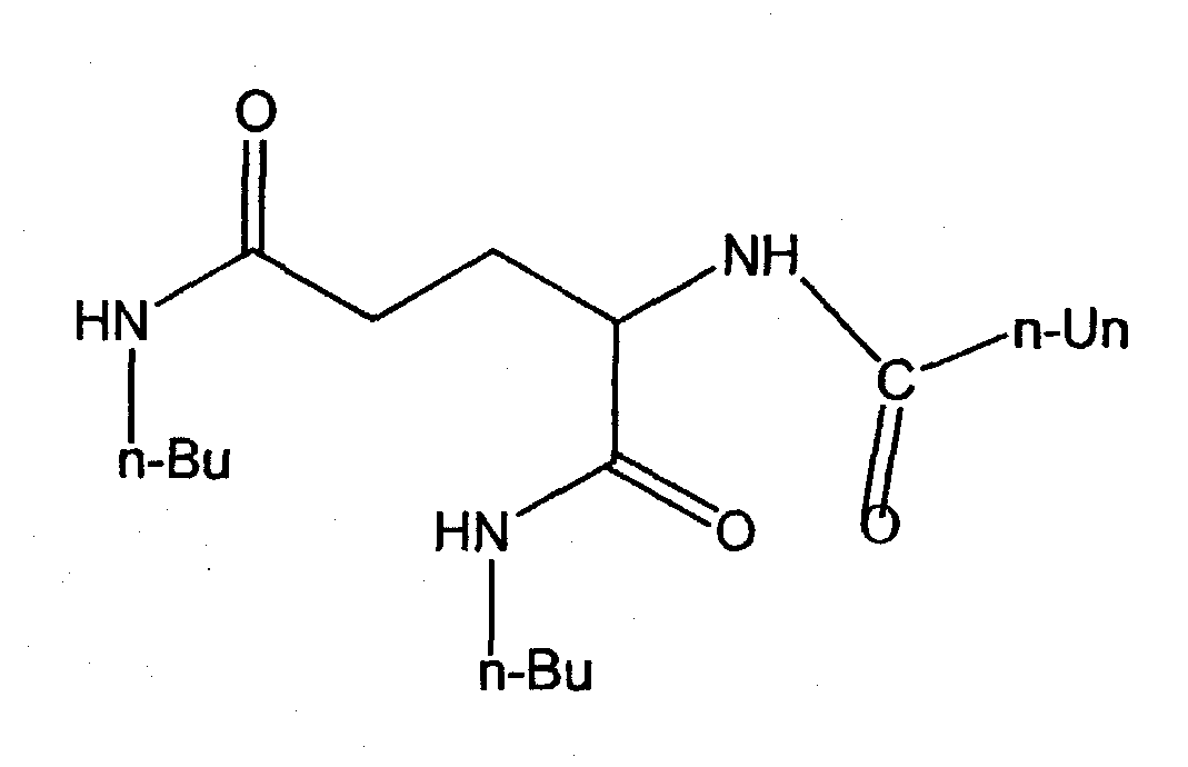
ОБЛАСТЬ ТЕХНИКИ, К КОТОРОЙ ОТНОСИТСЯ ИЗОБРЕТЕНИЕ Настоящее изобретение относится к антиперспирантным или дезодорантным композициям, в особенности к композициям, включающим суспендированные частицы антиперспирантного активного вещества, их получению и применению. УРОВЕНЬ ТЕХНИКИ Антиперспирантные композиции широко используются во многих странах мира для контроля над локализованным потоотделением и таким образом для предотвращения появления влажных пятен, которые во многих обществах рассматриваются как неприглядные, например, в аксиллярных областях (подмышки) и реже для ног или других закрытых областей тела. В таких композициях обычно используется вяжущая соль металла, чаще всего соли алюминия или алюминия/циркония. Такие соли не только способны к блокированию пор, чтобы подавить и уменьшить потовыделение, но обладают также противомикробным действием, причем значительная часть солей обычно остается на поверхности кожи между порами. Контролируя потоотделение с помощью указанных солей, пользователь может одновременно уменьшить или устранить неприятный запах, возникающий в локальных зонах. Соответственно, если присутствует недостаточное количество активного антиперспиранта, для того чтобы композиция функционировала как эффективный антиперспирант, активное вещество обычно оказывает действие в качестве дезодоранта. Антиперспирантные композиции, включающие эффективные концентрации указанных вяжущих солей, были сделаны или предложены в диапазоне различных форм, для местного применения, наносимых с помощью бесконтактных аппликаторов, включающих гидронасосные или брызгающие спреи и аэрозоли, или с помощью контактных аппликаторов, включающих шариковые жидкостные аппликаторы, диспенсеры, в которых крем или гель вытесняется через узкую прорезь или апертуру и стики, в которых твердое тело оснащено широкой апертурой, часто подъемником, соединенным с механизмом для продвижения подъемника. Значительная часть указанных композиций дополнительно включает жидкость-носитель для антиперспирантного активного материала. Жидкость может быть несмешивающейся с водой, и в таком случае антиперспирант может присутствовать в форме частиц, суспендированных в несмешивающейся с водой жидкости. Если требуется, жидкость-носитель может также быть сгущена или отверждена, чтобы образовать либо крем, либо устойчивое твердое тело. Безводные кремы иногда называют мягкими твердыми телами, потому что в отличие от устойчивых твердых частиц они могут быть вытеснены под низким давлением через узкие прорези или апертуры. В одном классе продуктов, особенно близких по сущности к настоящему изобретению, жидкость-носитель структурирована или желирована с целью получения твердого тела, которое обычно производится в форме стика, причем стик обычно, но не всегда, помещается в распределительный контейнер. Одним из свойств потребительских товаров, на которые потребители обращают особенное внимание, является внешний вид продукта после нанесения, а также его сенсорные признаки. Кроме того, часто внимание обращается на продукт до нанесения. Многие обычные антиперспирантные продукты в виде стика или в мягкой твердой форме, которые представлены на рынке, являются непрозрачными, белыми по виду в упаковке аппликатора, а некоторые из них также остаются белыми после нанесения на кожу. За прошедшие 10 – 15 лет производители антиперспирантных композиций стремились предложить альтернативные композиции или, по меньшей мере, опубликовать такие композиции в патенте или другой литературе, что решит ту или иную проблему, связанную с отказом от белых продуктов, будь они белыми в упаковке или после нанесения на кожу. Vu et al. в US 5384117 был раскрыт принцип выравнивания показателя преломления суспендированных частиц активной соли антиперспиранта в жидкости-носителе до значения приблизительно 0,02 единиц с целью достижения относительной мутности эмульсии меньше чем 800 ЕМФ. Чтобы сгустить или отвердить жидкость-носитель, он предложил использовать в качестве структурирующего агента (гелеобразователя) полимер и использовал в приведенных примерах сополимер полиэтилен-винилацетат вместе с антиперспирантом на основе хлоргидрата алюминия. Указанный структурирующий агент имел показатель преломления, весьма близкий к показателю преломления других компонентов. Выбранное антиперспирантное активное вещество, приведенное в примере, хлоргидрат алюминия, имеет сравнительно низкий показатель преломления, таким образом Vu не обеспечил подходящее руководство относительно того, как достигнуть достаточной прозрачности для композиций по его полному диапазону и, особенно, для композиций, содержащих активное вещество с более высоким показателем преломления, как, например, активное вещество на основе алюминия-циркония. В сравнении с Vu желательно использовать альтернативные структурирующие агенты, чтобы не нужно было выравнивать показатель преломления жидкости-носителя и суспендированного твердого вещества. Если бы для того, чтобы отвердить композицию, в которой используется жидкость-носитель с высоким показателем преломления, подходящая для активного вещества на основе алюминий-циркония, использовался сополимер полиэтилен-винилацетат, он не достиг бы прозрачного продукта, потому что будет слишком большое неравенство между показателями преломления жидкости-носителя и структурирующего агента. Vu и другие не рассматривает никаких проблем, являющихся результатом выбора класса гелеобразователя, что он не упоминает, или эффекта распределения размера частиц суспендированного материала и, соответственно, не раскрывает или даже не предполагает настоящее изобретение. Unilever в WO 03/059308 ранее раскрыл, что даже если используется выравнивание показателя преломления частиц антиперспирантного активного вещества и гелеобразной жидкости-носителя, в которой они суспендированы, все еще не может быть никакой гарантии прозрачности. WO 03/059308 раскрывает, что распределение размера частиц суспендированного антиперспирантного активного вещества может повлиять на прозрачность композиции, в которой они суспендированы, причем композиция предпочтительно включает жидкость-носитель, по меньшей мере 50 мас.% которой включает нелетучее силиконовое масло и алкил-ариловое эфирное масло и которая отверждена с помощью неполимерного волокнообразующего структурирующего агента. В тексте раскрыто, что оптимально выбирать твердый антиперспирант, в котором менее чем 50 мас.% частиц имеют диаметр не более 10 мкм. Дальнейшие исследования в области безводных антиперспирантных стиков, содержащих в своем составе антиперспирант с высоким содержанием сравнительно больших частиц, могут сталкиваться с другими проблемами, заключающимися в частичном расслоении при использовании крайне предпочтительного класса гелеобразователей. Один из классов неполимерных структурирующих агентов, которые предпочтительно используют, чтобы получить безводные антиперспирантные стики и, в частности, безводные прозрачные стики, включает волокнообразующие амидные гелеобразователи, однако указанные гелеобразователи обычно имеют высокую температуру растворения в гидрофобных жидкостях, которые используются в композициях безводных антиперспирантов, и в особенности в силиконовых маслах и арилсодержащих эфирных маслах, то есть в типах масел, которые дают жидкость-носитель с высоким показателем преломления для достижения прозрачности в пределах широкого диапазона антиперспирантных активных веществ. В производстве безводных антиперспирантных стиков смесь гелеобразователя и жидкости-носителя переводят в жидкое состояние путем нагревания смеси, до тех пор пока гелеобразователь не расплавится/растворится, причем частицы антиперспирантного активного вещества добавляют в смесь обычно после растворения гелеобразователя, а затем жидкой смесью заполняют форму или чаще непосредственно дозирующий контейнер, где смесь охлаждается ниже температуры отверждения. Жидкая смешанная композиция обычно разбрызгивается гомогенно в технологической емкости или в распределительном трубопроводе, будучи смешанной или другим способом подвергнутой сдвиговой подаче, но, попав в контейнер, состав становится неподвижным, поэтому больше не практично расслаивать или смешивать композиции. Авторы настоящего изобретения нашли, что при температуре отверждения безводные композиции, переведенные в состояние геля с помощью волокнообразующего амидного гелеобразователя, чувствительны к расслоению, таким образом, при условиях отверждения существует значительное снижение температуры по сравнению с температурой, при которой композиции перемещают. Соответственно, так как температура композиции в технологической емкости должна поддерживаться выше температуры сдвигового отверждения, чтобы избежать преждевременного отверждения, более интенсивное снижение температуры происходит в контейнере после заполнения, чтобы достигнуть температуры неподвижного отверждения. Сравнительно крупные частицы имеют большую тенденцию оседать в неподвижных жидких средах, чем меньшие по размеру частицы, так что последствие использования антиперспирантных частиц большого размера (предпочтительных для увеличения прозрачности) с комбинацией выбранной жидкости-носителя и гелеобразователя состоит в том, что есть определенный риск расслоения до того, как композиция затвердеет, или вязкость суспендирующей жидкости-носителя увеличится до такой степени, что осаждение частиц замедлится, чтобы предотвратить нежелательное оседание. Применение гелеобразователей на основе амидов N-ацил-аминокислот для отверждения маслосодержащих композиций ранее было раскрыто в US 3969087, а также соответствующие антиперспирантные композиции раскрыты в US 2002/0159961, US 2004/0229984, WO 2004/098552 и WO 2004/098553. Антиперспирантные композиции, в которых масляная фаза отверждена выбранными дипептидными гелеобразователями, описаны в WO 03/059306 и WO 03/059307. Антиперспирантные композиции, в которых масляная фаза отверждена выбранными бис-амидными гелеобразователями и в особенности гелеобразователями, являющимися производными 1,2, или 1,3-(бис)-амидоциклогексана, описаны в US 6410003. Композиции, где масляная фаза желируется амидными производными двух и трехосновных карбоновых кислот, описаны в US 5840288 и US 6190673B1. Ни в одном из этих описаний не рассматривается ни расслоение частиц при использовании сравнительно больших частиц антиперспиранта, ни любые способы повышения качества или преодоления расслоения. Соответственно, объектом настоящего изобретения является выявление способов снижения или преодоления осаждения частиц антиперспиранта в жидкости-носителе, включающей силиконовое и/или арилсодержащее эфирное масло, которая желируется волокнообразующим амидным гелеобразователем. СУЩНОСТЬ ИЗОБРЕТЕНИЯ В соответствии с первым аспектом настоящего изобретения представлена композиция по п.1 формула изобретения, представленной далее. В соответствии со вторым аспектом настоящего изобретения представлен способ получения антиперспирантной композиции по п.44 формулы изобретения. В соответствии с третьим аспектом настоящего изобретения представлен способ уменьшения осаждения в антиперспирантной композиции в соответствии с п.46 формулы изобретения. Здесь термин Нелетучее силиконовое масло имеет давление пара меньше чем 1 Па при 25°C. На основании выбора волокнообразующего амидного гелеобразователя часто можно получить безводный антиперспирантный стик только с низкой концентрацией гелеобразователя для указанной жидкости-носителя, но, как показано выше, такие композиции могут понести ущерб от расслоения частиц. В результате растворения ингибитора расслоения, обычно арилен/алкиленового блоксополимера, в жидкой композиции, включающей жидкость-носитель, частицы антиперспирантного активного вещества и растворенный волокнообразующий амидный гелеобразователь, перед тем как композицией заполняется дозирующий контейнер или форма, ингибитор задерживает осаждение частиц антиперспирантной соли, пока композиция находится в контейнере или форме и охлаждается ниже ее температуры неподвижного отверждения, причем непрактично использовать внешнее смешивание или прикладывать усилие сдвига внутри контейнера или формы. Вследствие замедления осаждения степень избирательного осаждения крупных частиц снижается и вследствие этого уменьшается расслоение. Это выгодно тем, что эффективность антиперспирантного продукта не сильно изменяется в процессе использования продукта. Относительное содержание ингибитора и гелеобразователя имеет критическое значение, указанное отношение должно быть равным, по меньшей мере, 1:1. В качестве второго преимущества, добавление ингибитора расслоения, особенно блоксополимера, как показано выше, позволяет разработчику композиций получить прозрачные композиции, доступные с использованием антиперспирантной активной соли, предпочтительно имеющей только маленькую или пониженную долю частиц, имеющих диаметр ниже 10 мкм, вместе с волокнообразующим амидным гелеобразователем и снизить разделение антиперспирантной активной соли, которое в другом случае произошло бы. Другими словами, разработчик композиций может объединить способность к достижению прозрачности с уменьшенным отделением частиц, используя выбранный гелеобразователь. ПОДРОБНОЕ ОПИСАНИЕ ИЗОБРЕТЕНИЯ, ВКЛЮЧАЮЩЕЕ ПРЕДПОЧТИТЕЛЬНЫЕ ВАРИАНТЫ ЕГО ВЫПОЛНЕНИЯ Настоящее изобретение относится к антиперспирантным композициям, способу их получения и средствам уменьшения осаждения суспендированных частиц активного вещества с использованием предпочтительного класса гелеобразователя для указанной жидкости-носителя. Здесь, гелеобразователь включает, по меньшей мере, один волокнообразующий амидный гелеобразователь. Такие гелеобразователи предпочтительно выбраны из амидов N-ацил-аминокислот, циклических дипептидов, 1,2 или 1,3-(бис)-амидоциклогексанов и амидных производных 1,2 или 1,3 ди- или 1,2,3 трикарбоновых кислот, которые иногда упоминаются в дальнейшем как гелеобразователи (1), (2), (3) или (4) соответственно. Амиды N-ацил-аминокислот предпочтительно выбраны из общей формулы (1а) [гелеобразователь (1а)] и/или (1b) [гелеобразователь (1b)], раскрытой в дальнейшем и особенно предпочтительно включающей, по меньшей мере, один гелеобразователь, который удовлетворяет формуле (1a). Амид N-ацил-аминокислоты, который отвечает общей формуле (1a), иногда упоминается здесь как гелеобразователь (1a). Общая формула (1a) представляет собой Ах-СО-Rх, где Ах представляет собой остаток амида аминокислоты, а Rх представляет собой разветвленную алкильную группу, содержащую от 4 до 12 атомов углерода, а иногда 7-10 атомов углерода. Во многих случаях, остаток амида аминокислоты Ах может быть представлен общей формулой (2) где n обозначает целое число 1 или 2, а Rz обозначает алкильную группу, которая может быть линейной или разветвленной, включая от 1 до 10, а особенно от 3 до 5 атомов углерода, из которых обе Rz группы могут быть одинаковыми или различными. Соответственно, аминокислота, от которой происходит указанный амидный остаток Ах, является глутаминовой или аспарагиновой кислотой. В некоторых особенно предпочтительных вариантах осуществления, каждый Rz представляет собой бутильную группу, особенно н-бутильную группу, предпочтительно в производном глутаминовой кислоты, какой остаток представлен формулой (3) В формуле (1) Rx предпочтительно обозначает алкильную группу, включающую либо один, либо два, а возможно и три боковые цепи, предпочтительно одну боковую цепь. Желательно, любая боковая цепь в Rx включает от 1 до 4 атомов углерода, такие как метил, этил, пропил или бутил, а часто от 1 до 3 атомов углерода, из которых этил является наиболее предпочтительным. Алкильный скелет предпочтительно содержит от 4 до 8 атомов углерода и часто от 4 до 7 атомов углерода, или особенно 7 или 8 атомов углерода. Положение боковой цепи по алкильному скелету выбирается на усмотрение производителя, причем наиболее предпочтительным является положение 2. Особо предпочтительной группой с разветвленной цепью Rx является 1-этилпентил, так что результирующей ацильной группой является 2-этилгексаноил. Другие группы с разветвленной цепью Rx включают 1-метилбутил, изобутил и 1-бутилгептил. Особо предпочтительно использовать гелеобразователь (1a), в котором Rx соответствует одной или более разветвленных алкильных вышеперечисленных групп, а амидный остаток является производным дибутиламида глутаминовой кислоты. Удобный и крайне предпочтительный пример гелеобразователя (1a) доступен из Ajinomoto как GA-01тм. Хотя предпочтительно использовать, по меньшей мере, один амид N-ацил-аминокислоты в соответствии с формулой (1a), также предпочтительно использовать его вместе с другим амидом N-ацил-аминокислоты, таким как те, которые удовлетворяют общей формуле (1b), иногда упоминаемым здесь как гелеобразователь (1b). В некоторых вариантах осуществления, гелеобразователь (1a) желательно используется вместе со вторым амидным волокнообразующим структурирующим агентом, гелеобразователем (1b). Амиды N-ацил-аминокислот, соответствующие гелеобразователю (1b), описаны в патенте US 3969087. Список многих из упомянутых амидов и общего метода их получения описан в указанном доступном описании в колонке 1, строке 63 до колонки 4, строки 47, определенные амидные производные упомянуты в Примере 1 в колонке 6-8, причем такие заимствования из текста включены сюда в качестве ссылки. Здесь, гелеобразователь (1b) отвечает формуле (1b) AY-CO-RY, в которой AY представляет собой остаток амида аминокислоты, а RY является линейной алкильной группой, включающей от 9 до 21 атомов углерода. Наиболее предпочтительно AY представляет собой амид аминокислоты в соответствии с формулой (5) в которой n означает целое число 1 или 2, а Rz представляет собой алкильную группу, которая может быть линейной или разветвленной и включать от 1 до 10, а предпочтительно от 3 до 5 атомов углерода, причем каждая из указанных Rz групп может быть такой же или различной. Соответственно, аминокислота, производным которой является указанный амидный остаток AY, является аспарагиновой или глутаминовой кислотой. В некоторых наиболее предпочтительных вариантах осуществления, каждый Rz представляет собой бутильную группу, особенно н-бутильную группу, и предпочтительно является производной глутаминовой кислоты. Это аналогично представлено в формуле (3), приведенной выше для остатка Ax. В формуле (1b) RY часто содержит от 9 до 15 линейных атомов углерода, из которых одна группа предпочтительно включает ундецил. Ди-н-бутиламид N-лауроил-L-глутаминовой кислоты формулы (6) (n-Un = ундецил), приведенная в Примере 14 из ‘087, является особенно предпочтительным амидным структурирующим агентом для применения в композициях настоящего изобретения и коммерчески доступен из Ajinomoto под торговой маркой GP-1. Второй класс амидных гелеобразователей (2), подходящий для применения в настоящем изобретении, включает структурирующие агенты, которые отвечают следующей общей формуле (7): в которой один из R1 и R2 представляют собой алкильную, алкилэфирную группу, а другой является алкильной или алкарильной группой. Примеры указанных амидов описаны в двух статьях Hanabusa et al., названых соответственно Cyclo(dipeptide)s as low molecular-mass Gelling Agents to harden Organic Fluids, J. Chem Soc. Commun., 1994 pp1401/2, и Low Molecular Weight Gelators for Organic Fluids: Gelation using a Family of Cyclo(dipeptide)s, в Journal of Colloid and Interface Science 224, 231-244 (2000), причем описания амидных структурных агентов включены сюда в качестве ссылки. Однако особенно предпочтительно использовать здесь подкласс циклодипептидов, не раскрытых явно Hanabusa, причем указанный подкласс отвечает общей формуле (8): в котором RА представляет собой карбоциклическую или гетероциклическую группу, содержащую не более чем 2 кольца. Такие вещества иногда упоминаются здесь как DOPA-производные. В DOPA-производных RА может включать два конденсированных кольца, но предпочтительно включает одно шестичленное кольцо, карбоциклическое или гетероциклическое, или кольцо с внутренним мостиком. Когда RА является карбоциклом, он может быть либо насыщенным, либо ненасыщенным, предпочтительно ненасыщенным или ароматическим. Когда RА является гетероциклом, он предпочтительно насыщенный. Хотя циклическая группа в RА может быть незамещенной, она предпочтительно замещена, по меньшей мере, одним алкильным заместителем, который предпочтительно содержит не более чем 16 атомов углерода. В некоторых наиболее предпочтительных вариантах осуществления алкильный заместитель имеет наибольшую длину цепи до 4 атомов углерода и в определенном варианте полное количество углерода до 5 атомов углерода. Алкильный заместитель может быть линейным или разветвленным. Предпочтительные примеры включают метил, этил, пропил, изопропил, бутил, изобутил или третбутил или изопентил. В ряду наиболее подходящих производных DOPA RА содержит два или более алкильных заместителей и особенно такие, которые выбраны из вышеупомянутого списка предпочтительных примеров. Алкильные заместители могут быть такими, как два или более метильных заместителя, или могут быть комбинацией различных заместителей, например, метила и изопропила. Когда RА насыщенный, заместители могут находиться на одном и том же атоме углерода в кольце, например две метильные группы, или на различных атомах углерода. В нескольких наиболее желательных производных два алкильных заместителя находятся в мета- или пара-положении относительно друг друга, например мета-метильные группы или пара-метильная и изопропиловая группы. В других производных кольцо может включать метиленовый мостик, который предпочтительно аналогично образует шестичленное кольцо. В некоторых подходящих DOPA-производных один алкильный заместитель может быть в орто- или пара-положении относительно остатка DOPA, как в 4-метил-фенил-. В таких или других DOPA-производных связь с остатком DOPA находится в мета-положении к одному или предпочтительно двум метильным заместителям. Когда RA является гетероциклом, гетероциклическим атомом является соответственно азот. Предпочтительно гетероциклический атом может находиться в пара-положении к DOPA-остатку. Кроме того, во множестве желательных производных гетероатом находится в орто-положении, по меньшей мере, к одной алкильной группе, лучше в насыщенном кольце, а предпочтительно в орто- положении к 4 метильным группам. RA группа наиболее вероятно является остатком соответствующего спирта, который может реагировать с DOPA, чтобы образовать эфирную связь. Таким образом, желательные примеры RA включают остатки 4-алкилфенола, например 4-нонилфенола, и 2,6-диалкил- или 2,2,6,6-тетраалкил-4-пиперидинола, например 2,2,6,6-тетраметил-4-пиперидинола. В некоторых предпочтительных DOPA-производных кольцо в RA является карбоциклическим и замещено, по меньшей мере, двумя алкильными группами, из которых, по меньшей мере, одна является метильной, а другая или одна из других является изопропильной. Примеры таких предпочтительных остатков RA включают ментол, изопинокамфенол и 3,5-диалкилциклогексанол, например 3,5-диметилциклогексанол. Наиболее предпочтительно остатки RA включают тимол. Все же другие включают DOPA-производные карвеола и карвакрола. DOPA-производные, используемые в настоящем изобретении, могут быть смесью соединений в пределах приведенных общих формул или могут быть отдельным соединением. DOPA-производные могут быть получены в результате взаимодействия соответствующего спирта с DOPA в форме кислоты (DOPAA), или возможно с хлорангидридом, или возможно ангидридом или эфиром, включающим остаток DOPA. DOPAA может быть получен в результате циклизации аспартама. DOPAA может реагировать с соответствующим спиртом формулы RAОН, предпочтительно в молярном отношении к DOPAA, по меньшей мере, 2:1 в диметилсульфоксиде, в отношении от 6:1 до 12:1, в присутствии катализатора, например карбонилдиимидазола, в количестве предпочтительно от 0,5 до 2 молей катализатора на моль DOPA-кислоты. Реакция надлежащим образом может быть выполнена при температуре от 40 до 60°C. Указанные волокнообразующие амидные гелеобразователи (2) и их получение подробно описаны в WO 03/059307, и приведенные там способы, которые являются релевантными по отношению к соединениям или их получению, включены сюда в качестве ссылки. Третий класс волокнообразующих амидных гелеобразователей (3) включает диамидо- и триамидо-замещенный циклогексан. Специфические подклассы таких соединений включают 1,2- или 1,3-замещенные циклогексановые соединения и 1,3,5-триамидо-замещенный циклогексан, в котором амидная группа предпочтительно отвечает общей формуле -(CH2)V-CO-NH-R111 и -(CH2)V-NH-CO-R111, в которой R111 представляет собой алкильную группу от 5 до 27 атомов углерода, а v является целым числом, от ноля до единицы. Когда кольцо циклогексана замещено двумя амидными заместителями, указанные заместители предпочтительно соответствуют формуле -(CH2)V-NH-CO-R111 и наиболее предпочтительно находятся в 1,2 или 1,3 положениях относительно друг друга вокруг ядра циклогексана. Когда они находятся в относительных положениях 1,3, v предпочтительно представляет собой 1. Когда указанные два заместителя находятся в относительных положениях 1,2, v предпочтительно является нулем. Когда кольцо циклогексана замещают три амидные группы, то все указанные группы соответствуют формуле -(CH2)V-CO-NH-R111. R111 может быть линейной или разветвленной. Предпочтительно число атомов углерода в R111 выбрано в интервале от 8 до 20. Например, ундецил, додецил, 2-этилгексил, октадецил или диметилоктил. Указанные волокнообразующие амидные гелеобразователи (3) и их получение подробно описаны в US 6410003, и приведенные там способы, которые являются релевантными по отношению к соединениям или их получению, включены сюда в качестве ссылки. Четвертый подкласс амидных структурирующих агентов, подходящий для применения в данном изобретении, гелеобразователь (4), включает амидные производные 1,2 или 1,3 двух- и 1,2,3 трехосновных карбоновых кислот, то есть карбоксильные амидные производные от смежных алифатических атомов углерода или алифатических атомов углерода, отделенных одним углеродом. Такие гелеобразователи описаны в US 5840288, и более конкретно в колонке 12, строки 37 до колонки 14, строки 20, или в US 6190673B1, более конкретно в колонке 1, строки 47 до колонки 2, строки 38 и колонки 3, строки 47 до колонки 5, строки 23. Общие способы их получения описаны в US 5840288 в колонке 12, строках 37-39 или в US 6190673B1, в колонке 5, строках 28-43. Конкретные подходящие гелеобразователи (4) перечислены в колонке 13, строке 62 до колонки 14, строки 7 в US 5840288 и в Таблице 1 в колонке 13 из US 6190673B1. Предпочтительная для получения амидных производных карбоновая кислота включает янтарную кислоту и алифатические кислоты, содержащие три вицинальные карбоксильные группы, такие как 1-пропентриовая кислота. Каждый амидный заместитель предпочтительно содержит алкильную, особенно линейную алкильную группу от 3 до 12 атомов углерода. Особо предпочтительным гелеобразователем (4) является 2-додецил-N,N’-дибутилсукцинамид или 1-пропен-l,2,3-триоктиламид или 2-гидрокси-1,2,3-пропантрибутиламид. Такие отрывки включены сюда как ссылки. В другом варианте, триамидные гелеобразователи могут отвечать общей формуле CH[(CH2)XCONRYRZ]3, в которой каждый x, RY и RZ могут быть одинаковыми или разными, при этом x является числом от 0 до 3, RY является углеводородом, содержащим 1-3 атома углерода, а RZ является углеводородом, содержащим от 6 до 24 атомов углерода. Указанные триамидные гелеобразователи описаны в WO 2005/082839. Массовое содержание волокнообразующих амидных гелеобразователей и особенно гелеобразователей (1) к (4) в композиции обычно выбирается из диапазона от 0,6 до 10%, в зависимости от присущей гелеобразователям желирующей способности. Диапазон от 0,5 до 2% гелеобразователя является особенно подходящим для гелеобразователя (2). Предпочтительно используется, по меньшей мере, 2% гелеобразователя (1), (3) или (4), особенно, по меньшей мере, 2,5 мас.% и наиболее предпочтительно, по меньшей мере, 3 мас.%. Во многих композициях, массовое содержание волокнообразующего амидного гелеобразователя составляет до 8%, а в некоторых предпочтительных композициях до 6 % от массы в композиции. Гелеобразователь может быть выбран из одного класса гелеобразователей или может включать смесь гелеобразователей из двух или более классов. Содержание амидных гелеобразователей, таких как гелеобразователи (1)-(4), в композиции может также быть подобрано относительно несмешивающейся с водой фазы (жидкость-носитель или смесь жидкостей-носителей), которые структурируются (желируются). Содержание по массе указанных гелеобразователей обычно выбирается из диапазона от 1 до 15 мас.% к жидкости-носителю и обычно составляет, по меньшей мере, 2 мас.% в указанной фазе. Когда используется гелеобразователь (1), (3) и/или (4), крайне желательно, чтобы указанный гелеобразователь составлял, по меньшей мере, 3 мас.% жидкости-носителя. Его содержание по массе в жидкости-носителе во многих предпочтительных вариантах осуществления составляет не более 12%. В некоторых предпочтительных вариантах осуществления, содержание по массе амидного гелеобразователя (гелеобразователей) в жидкости-носителе составляет, по меньшей мере, 6%. В некоторых предпочтительных вариантах осуществления, содержание по массе амидного гелеобразователя (гелеобразователей) в жидкости-носителе составляет не более 10%. Особо предпочтительно использовать гелеобразователь (1) или комбинацию гелеобразователей в пределах гелеобразователя (1) как амидного гелеобразователя или как, по меньшей мере, половины смеси с одним или более гелеобразователей из других классов, например гелеобразователей (2) или (3). Однако, если необходимо, производители стика могут использовать любую смесь гелеобразователей (1), (2), (3) и (4), какую желают, при условии, что полные содержания по массе волокнообразующего амидного гелеобразователя находятся в соответствии с предшествующими раскрытиями. Особо предпочтительно использовать смесь, по меньшей мере, одного гелеобразователя из каждой из групп (1a) и (1b). Отношение массы гелеобразователя (1a) к массе гелеобразователя (1b) часто выбирается в интервале от 4,5:1 до 1:0, целесообразно от 4,5:1 до 1:4,5, а обычно от 3:1 до 1:3. Во многих случаях массовое отношение не выше чем 2:1, а в таких же или других случаях массовое отношение составляет, по меньшей мере, 1:2. Подходящее массовое отношение может быть в интервале от 1,1:1 до 1:1,1. Предпочтительно использовать достаточное количество гелеобразователя или смеси гелеобразователей для того, чтобы из окончательной композиции при температуре окружающей среды (22°C) получить стик (твердый, не полутвердый), который в стандартном тесте с использованием пенетрометра протыкается Ингибитор расслоения В настоящем изобретении используется вещество, которое снижает скорость, с которой материал в виде частиц, антиперспирантное активное вещество, осаждается в неподвижной гидрофобной жидкости-носителе при повышенной температуре, а особенно в температурном диапазоне между температурой отверждения композиции при условиях действия усилия сдвига по сравнению с условиями неподвижности. Это происходит в процессе охлаждения между указанными двумя температурами плюс дополнительное температурное различие между температурой сдвигового отверждения и температурой заполнения, таким образом частицы оседают, и, следовательно, происходит расслоение. Будет понятно, что при обычных процессах заполнения, обычно в дозирующий контейнер, а иногда в форму, когда происходит заполнение, композиция все еще представляет собой жидкость, обычно охлажденную до температуры от 3 до 10°C выше температуры сдвигового отверждения, например на 5 или 6°C выше. Пока композиция остается в технологической емкости или подается через питающий трубопровод, миксеры, насосы и турбулизаторы продолжают перемешивать и/или сдвигать композицию, тем самым сохраняя даже распределение твердых частиц по всей жидкости-носителю, однако контейнер не содержит механизма для перемешивания или сдвига, во время того, пока композиция охлаждается до тех пор, пока она не затвердела или, по меньшей мере, не охладилась достаточно для того, чтобы носитель стал настолько вязким, чтобы задержать осаждение частиц. Различие между температурой заполнения и температурой неподвижного отверждения может быть большим, часто, по меньшей мере, 15°C и может даже находиться в области от 20 до 30°C. В настоящем изобретении в качестве ингибитора расслоения предпочтительно выбран арилен/алкиленовый блоксополимер. Блоксополимер содержит два противоположных и очевидно несовместимых сегмента, таких как, в частности, один относительно труднорастворимый в масле и один относительно легкорастворимый в масле сегмент. Это можно достичь, включая в сополимер как арилполимерный блок (A), чтобы иметь трудно/нерастворимый сегмент и полиалкиленовый блок (B), чтобы иметь легко/растворимый сегмент. Каждый блок обычно включает, по меньшей мере, 50 или, по меньшей мере, 100 мономерных единиц. Такие сополимеры имеют тенденцию давать трехмерную сеть, которая простирается через жидкость-носитель, посредством физических межмолекулярных связей, возможно с формированием относительно нерастворимых субмикроскопических частиц отдельного блока, иначе называемых доменами. Сополимеры могут быть линейными. Арильный мономер, полимеризированный, чтобы сформировать один сегмент (A), обычно включает стирол, хотя альтернативные мономеры, включающие два или более конденсированных кольца, могут также использоваться. Полиалкиленовый сегмент (B) может быть получен из бутадиена, изопрена, этилена/бутилена и этилена/пропилена. Диблок-сополимеры имеют форму A-B, а триблок-сополимеры предпочтительно имеют форму А-В-А. Диблок- и триблок-сополимеры могут использоваться по отдельности, или может использоваться их смесь. В настоящем изобретении, ингибитор осаждения наиболее предпочтительно является триблок-сополимером полистирол:полиэтилен/бутилен:полистирол (SEBS) или полистирол:полиэтилен/пропилен:полистирол (SEPS), необязательно в смеси с соответствующим диблок-сополимером, то есть SEB или SEP, в зависимости от обстоятельств. Содержание по массе полистирола в блок-сополимере находится обычно в области 13-32 мас.%, а наиболее желательно в области 27-31 мас.%. В сополимерах SEBS, необязательно, содержание по массе двух блоков полистирола подобна или равна. При использовании смеси триблок- и диблок-сополимеров массовое отношение предпочтительно находится в диапазоне от 75:25 до 25:75. Крайне оптимально использовать блок-сополимеры, которые имеют среднюю молекулярную массу, как например, у полимера Kraton G-1650 Ингибитор расслоения, особенно блок-сополимер, может быть введен в композицию в форме твердого вещества, особенно когда желательно образовать прозрачную или наподобие геля композицию в гидрофобной несмешивающейся с водой жидкости. Ингибитор расслоения, особенно блок-сополимер, по желанию включается в композицию в количестве, по меньшей мере, от 3 %, а особо предпочтительно, по меньшей мере, от 4 %, и обычно не более чем 12 мас.% композиции. В некоторых желательных композициях его доля по массе находится часто в диапазоне от 7 до 10 %. Ингибитор расслоения соответственно используется в массовом отношении к волокнообразующему амидному гелеобразователю от 1:1 до 4:1, предпочтительно, по меньшей мере, 1,25:1, особо предпочтительно, по меньшей мере, 2:1. Во многих оптимальных вариантах осуществления, массовое отношение ингибитора расслоения к амидному гелеобразователю составляет до 3:1, например от 1,25:1 до 3:1. Когда амидный гелеобразователь представляет собой гелеобразователь (1), отдельно или вместе с гелеобразователем (2), может быть достигнут привлекательный баланс между эффективностью и стоимостью при массовом отношении ингибитора расслоения к амидному гелеобразователю от 1,4 до 2:1. Также может быть удобно соединить осаждающий агент с жидкостью-носителем, и полезно, что агент включен в массовом отношении к жидкости-носителю в диапазоне от 1:5 до 1:12, особенно от 1:5 до 1:8. Желательно, масса блок-сополимера плюс амида N-ацил-аминокислоты выбрана из диапазона от 5 до 20% композиции, предпочтительно от 10 до 16%. В некоторых выбранных вариантах осуществления, массовое отношение блок-сополимера плюс амида N-ацил-аминокислоты к жидкости-носителю выбрано из диапазона от 1:4 до 1:6. Жидкость-носитель Здесь в композициях, жидкость-носитель включает нелетучее силиконовое масло и/или ароматическое эфирное масло. Особенно предпочтительно, чтобы, по меньшей мере, 50 % и особенно, по меньшей мере, 75 % жидкости-носителя были нелетучим силиконовым маслом или ароматическим эфирным маслом, имеющим показатель преломления, по меньшей мере, 1,50, и предпочтительно ароматическим эфирным маслом. Для указанного нелетучего силиконового масла и/или ароматического эфирного масла и их доли в жидкости-носителе желательно иметь достаточно высокий показатель преломления (RI), чтобы позволить всей жидкости-носителю, которая может включать долю других несмешивающихся с водой масел с более низким значением RI, достигать RI, по меньшей мере, 1,50, предпочтительно, по меньшей мере, 1,51, особенно, в некоторых вариантах осуществления, по меньшей мере, 1,52, и наиболее предпочтительно, по меньшей мере, 1,53. Смесь масел-носителей на практике выбирают в свете показателя преломления антиперспирантного активного вещества. Смеси масел с более высокими показателями преломления особенно пригодны для использования с алюмо-циркониевыми хлоргидратами (и их комплексами). На практике предпочтительные силиконовые или эфирные масла имеют RI не выше чем 1,57. Выбор масел со сравнительно высоким RI, таким как, по меньшей мере, 1,52 и особенно, по меньшей мере, 1,53, дает возможность более легко получить прозрачные композиции для различных типов антиперспирантных активных веществ. Термин Подкласс особенно предпочтительных ароматических эфиров отвечает общей формуле R1-CО2-X1-Y-R2 или R1-CО2-X2-R2, в которых R1 представляет собой фенил (как ранее), R2 также представляет собой фенильную группу, X1 представляет собой алкиленовую группу, содержащую от 2 до 4 атомов углерода, включающую, по меньшей мере, одну боковую алкильную группу, Y представляет собой связь, или соединяющую группу в виде простого или сложного эфира, а X2 представляет собой линейную алкиленовую группу, содержащую от 2 до 4 атомов углерода. Масла в этом подклассе особо пригодны для составления прозрачных композиций из-за их сравнительно высокого показателя преломления, обычно имеющего значение в пределах диапазона от 1,52 или 1,53 до 1,57. Здесь особо предпочтительно использовать алкиленовую группу X1, имеющую боковую алкильную группу, такую как метил или этил, чтобы улучшить другие физические свойства эфирного масла, такие как внешний вид или сенсорные свойства. Особо желательно, чтобы алкиленовая группа X1 являлась изопропиленовой, то есть -CH(Ме)-CH2-. Когда Y представляет собой связь, алкиленовая группа связана непосредственно с ароматической группой R2. Предпочтительно Y представляет собой соединяющую группу в виде простого или сложного эфира. В некоторых крайне предпочтительных вариантах осуществления X и Y вместе представляют собой -CH(Ме)-CH2-O- или -CH(Ме)-CH2-O2C-, особенно -CH(Ме)-CH2-O-. X2 является линейной полиметиленовой группой, предпочтительно диметиленовой. Одно особо предпочтительное для использования эфирное масло включает 2-фенилэтилбензоат. Жидкость-носитель, используемая в данном изобретении, оптимально может включать нелетучее силиконовое масло (нелетучий силоксан), такое как, например, линейный ди- или трифенилметилсилоксан, содержащий предпочтительно от 1 до 1.5 фенильных групп на один атом кремния. Альтернативно, нелетучее силиконовое масло может быть арилзамещенным силоксаном, который соответствует общей формуле RJRA в которой n представляет собой среднее число от 0 до 2 RJ, RK и RL, которые могут быть одинаковыми или разными, и каждая представляет собой RM группу формулы -CH2-C(Ph)(RB)-RN-Ph в которой RB представляет собой H или -CH3, а R5 представляет собой алкиленовую группу, содержащую от 0 до 3 атомов углерода, необязательно разветвленную, причем не более чем один из RJ RK, и RL может дополнительно представлять собой RC, а именно гидрированный остаток замещенной винильной группы, отличной от RM или остатка алифатического спирта, циклоалифатического спирта или аралкильного спирта, и RA представляет собой C1-C4 алкильную группу при условии, что, по меньшей мере, 60 % всех атомов углерода заместителей RA, RM и RC присутствуют в ароматических группах. Указанные силиконовые масла могут быть получены путем каталитической реакции исходного вещества, в котором RK представляет собой водород, с олефином, имеющим ароматический заместитель. В предпочтительных примерах указанных силиконовых масел RM представляет собой дифенилэтильную группу, и такое масло можно получить в результате реакции соответствующего исходного вещества с дифенилэтиленом. Другие подходящие нелетучие силиконовые масла включают ди- или три- метилфенилсилоксаны, такие как метилфенилтрисилоксаны (коммерчески доступные как DC704 Массовая доля жидкости-носителя в композиции часто выбирается в диапазоне, по меньшей мере, 40%, во многих предпочтительных композициях вплоть до 80%, причем удобный диапазон составляет от 40 до 70%. В дополнение к вышеупомянутым маслам, имеющим высокий показатель преломления, остаток жидкости-носителя может включать одно или более дополнительных масел. Указанные масла являются аналогично несмешивающимися с водой, имеют точку плавления ниже 20°C и смешиваются с силиконовыми и эфирными маслами с высоким показателем преломления, но имеют показатель преломления ниже 1,50 (при 25°C). Один особо желательный класс дополнительных масел включает несмешивающиеся с водой алифатические спирты, которые являются жидкостью при 20°C и имеют точку кипения выше чем 100°C. Они включают спирты с разветвленной цепью, по меньшей мере, из 10 атомов углерода и во многих случаях до 30 атомов углерода, особенно 15 – 25, таких как изостеариловый спирт, гексилдеканол и октилдодеканол. Другие подходящие несмешивающиеся с водой спирты включают линейные спирты со средней длиной цепи, обычно содержащей от 9 до 13 атомов углерода, например деканол или додеканол. Другим подходящим спиртом является бензиловый спирт. Указанные спирты могут быть полезными в процессе получения раствора амидных гелеобразователей в несмешивающейся с водой жидкости-носителе при изготовлении структурированных гелей. Такие спирты могут часто составлять, по меньшей мере, 5 % от массы композиции, обычно не более чем 15-20%, а во многих вариантах осуществления от 7,5 до 12,5%. При выражении в зависимости от фракции жидкости-носителя композиции указанные спирты предпочтительно составляют от 10% или 15% от массы несмешивающейся с водой смеси жидкости-носителя, а многие предпочтительные смеси включают до 25% или 30% от смеси носителя. В некоторых крайне предпочтительных композициях доля таких алифатических спиртов в указанной смеси составляет от 15 до 22 мас.%. Однако алифатические спирты, которые являются твердыми при 20°C, обычно линейные спирты, такие как стеариловый спирт, предпочтительно отсутствуют или присутствуют в количестве, не большем чем 3% (предпочтительно не больше чем 1%) от общей массы композиции, как показано выше, так как они приводят к непрозрачным композициям и видимым белым отложениям, когда композицию местно наносят на кожу. Жидкость-носитель предпочтительно содержит не более чем 10 мас.% (в расчете на смесь жидкости-носителя) дополнительной жидкости-носителя, кроме вышеупомянутого класса жирных спиртов, особенно не более чем 5%, а если требуется, то указанные другие дополнительные жидкости могут отсутствовать. Другие дополнительные масла-носители могут включать несмешивающиеся с водой эфирные масла, имеющие показатель преломления ниже 1,50, такие как алкилбензоаты, например C12-15 алкилбензоаты, включая коммерчески доступные масла от Finetex под маркой Finsolv, например Finsolv TN Следует признать, что доля любого дополнительного масла выбрана в связи с долей эфирного масла и/или нелетучего силиконового масла, имеющих RI, по меньшей мере, 1,50 и предпочтительно, по меньшей мере, 1.57, чтобы получить приемлемый сравнительный показатель преломления с суспендированными частицами антиперспирантного активного вещества, и предпочтительно в пределах от 0,001 до 0,005 единиц. Антиперспирантные активные вещества Антиперспирантные активные вещества включают в настоящую композицию в количестве 1-35%, а особенно от 5 или 10% до 30% от массы композиции. Обычно считается, что основная польза от включения до 5% антиперспирантного активного вещества в состав стика заключается в снижении запаха тела, и тогда как доля антиперспирантного активного вещества возрастает, то в той же степени увеличивается и эффективность контроля потоотделения указанной композиции. Антиперспирантное активное вещество для использования в данном изобретении выбрано из вяжущих активных солей, включающих, в частности, соли алюминия, циркония и смешанные соли алюминия/циркония, включая как неорганические соли, так и соли с органическими анионами и комплексы. Предпочтительно вяжущие соли включают галогениды алюминия, циркония и алюминия/циркония, а также галогидратные соли, такие как хлорогидраты. Галогидраты алюминия обычно определяются общей формулой Al2(ОН)xQy·wH2O, в которой Q представляет собой хлор, бром или йод, x является переменным числом от 2 до 5, причем x + y = 6, в то время как wH2O обозначает переменное количество гидратации. Особо эффективные галогидраты алюминия, известные как активированные хлоргидраты алюминия, описаны в EP-A-6739 (Unilever NV et al.), содержание описания которых включено сюда в качестве ссылки и включает повышенную долю разновидностей полимеров Линии 3, по меньшей мере, 20%. Указанные активированные хлоргидраты алюминия могут быть получены способом, в котором массовая концентрация соединений алюминия в растворе контролируется в рамках указанных пределов (желательно ниже, а предпочтительно значительно ниже 30-40%), и одновременно температура указанного раствора контролируется в рамках указанного диапазона повышенных температур, в то время как формируются полимерные алюминиевые разновидности, при этом условия сушки строго контролируются, как описано в EP-A-6739. Различные коммерчески доступные антиперспирантные активные вещества заявлены их изготовителями как активированные, или обеспечивающие повышенную активность, и можно полагать, что они удовлетворяют термину “активированный”, когда используются в данном изобретении. Активные вещества на основе циркония могут обычно выражаться общей эмпирической формулой ZrO(ОН)2n-nzBz·wH2О, в которой z является переменной в диапазоне от 0,9 до 2,0, причем значение 2n-nz равно нулю или положительно, n означает валентность B, а B выбрано из группы, состоящей из хлорида, другого галогенида, сульфамата, сульфата и их смесей. Возможная гидратация до переменной степени представлена wH2О. Предпочтительно, чтобы B представляло хлорид, а переменная z лежала в диапазоне от 1,5 до 1,87. Практически такие соли циркония обычно используются не самостоятельно, а в качестве компонента комбинированного антиперспиранта на основе алюминия и циркония. Вышеупомянутые соли алюминия и циркония могут иметь скоординированную и/или связанную воду в различных количествах и/или могут присутствовать как разновидности полимеров, смеси или комплексы. В частности, гидроксисоли циркония часто представляют диапазон солей, имеющих различные количества гидроксильных групп. Хлоргидрат алюминия циркония может являться особенно предпочтительным. Могут использоваться антиперспирантные комплексы, основанные на вышеупомянутых вяжущих солях алюминия и/или циркония. В комплексе часто используется соединение с карбоксильной группой, которым предпочтительно является аминокислота. Примеры подходящих аминокислот включают dl-триптофан, dl- Очень желательно использовать комплексы комбинации галогидратов алюминия и хлоргидратов циркония вместе с аминокислотами, такими как глицин, которые раскрыты в US-A-3792068 (Luedders et al.). Некоторые из указанных комплексов Al/Zr обычно в литературе называются ZAG. Активные вещества ZAG обычно содержат алюминий, цирконий и хлорид с отношением Al/Zr в диапазоне от 2 до 10, предпочтительно 2-6, отношение Al/Cl от 2,1 до 0,9, и переменное количество глицина, или активированный вариант этого. Активные вещества указанного предпочтительного типа (включая активированный вариант (AZAG)) доступны из B G Giulini, Reheis, Summit and Westwood, хотя с отличающимся распределением размера частиц. Следовательно, такие активные вещества стали бы подходящими для применения в настоящем изобретении, если бы их производство было соответственно адаптировано, чтобы согласно настоящему изобретению удовлетворять критерию размера частиц, или же просеянного, или отделенного другим способом продукта, чтобы достичь желательного распределения частиц. Доля твердой соли антиперспиранта в суспензии композиции обычно включает массу любой гидратной воды и любого комплексообразующего агента, который может также присутствовать в твердом активном веществе. Частицы антиперспиранта, используемые в настоящем изобретении, обычно имеют показатель преломления (RI), по меньшей мере, 1,49 и не выше чем 1,57. Активные вещества, которые активированы, обычно имеют показатель преломления, по меньшей мере, 1,50. Активные вещества, которые являются свободными от циркония, обычно имеют RI от 1,49 до 1,54, в зависимости от их формулы и, по меньшей мере, частично от их содержания остаточной воды. Аналогично, активные вещества, которые содержат цирконий, обычно имеют RI от 1,52 до 1,57. Количество воды антиперспирантного активного вещества можно изменить гидратацией после того, как было получено высушенное активное вещество, или сушкой до промежуточного количества воды, при этом показатель преломления имеет тенденцию обратно пропорционально изменяться в зависимости от содержания воды. Активные вещества можно также обработать небольшим количеством спирта, таким как алифатический спирт, с длиной цепи от C2 до C4, например этанол, чтобы изменить RI активного вещества. Здесь, значения RI антиперспирантного активного вещества и суспендированного антиперспирантного активного вещества совпадают в пределах 0,01. Здесь, значения RI и различия между ними соответствуют температуре 22°C, если иначе не определено. Предпочтительно, различие между показателями преломления составляет меньше чем 0,005. Это может быть достигнуто путем изменения пропорций жидкостей, составляющих носитель, при этом его конечный RI является суммой средних значений RI компонентов носителя, и/или путем изменения RI антиперспирантного активного вещества, как показано выше. При многих обстоятельствах, подбор RI компонентов композиций настоящего изобретения не идеален. На практике могут возникнуть небольшие изменения, например из-за изменений в температуре или между различными партиями компонентов. Таким образом, такое различие RI в композициях изобретения в данном изобретении, находящихся на хранении или используемых дома, составляет часто, по меньшей мере, 0,0005, а иногда, по меньшей мере, 0,001. Полезно выбирать частицы антиперспирантного активного вещества в соответствии с критериями, описанными в данном изобретении, и особенно с все более и более предпочтительными критериями, в результате чего может быть сохранены достоинства прозрачных композиций, даже если вышеупомянутые RI не соответствуют точно. Антиперспирантное активное вещество, используемое в данном изобретении, включает мелкие частицы, из которых предпочтительно не более чем 60 мас.%, желательно не более чем 50 мас.%, имеют диаметр меньше 10 мкм. Предпочтительно менее чем 40 мас.% и наиболее предпочтительно между 40 и 25 мас.% частиц имеют размер меньше 10 мкм. Практически, предпочтительные антиперспирантные активные вещества содержат, по меньшей мере, 1% и часто, по меньшей мере, 5% по массе частиц в интервале от 1 до менее 10 мкм. Вообще, по меньшей мере, 90 мас.% антиперспирантного активного вещества имеют размер частиц меньше 100 мкм, во многих случаях, по меньшей мере, 95 мас.%, а в некоторых предпочтительных композициях, по меньшей мере, 99 мас.% меньше 100 мкм. Во многих вариантах осуществления изобретения, активное вещество имеет среднее значение размера частиц от 9 до 50 мкм и особенно, по меньшей мере, от 10 или 12 до 40 мкм. Желательно выбрать среднемассовое значение антиперспирантного активного вещества в связи с предпочтительными ограничениями на долю частиц диаметром меньше 10 мкм, как показано выше. Будет понятно, что материалы, просто имеющие указанный средний размер частиц, являются менее подходящими, чем те, что также удовлетворяют соответствующему приведенному выше критерию максимальной массовой доли частиц меньше 10 мкм, чтобы оптимизировать прозрачность продукта, но, конечно, также достичь усовершенствования относительно расслоения антиперспиранта. Дальнейшее повышение прозрачности продукта достижимо при использовании активного вещества, в котором до 25 мас.% частиц имеют диаметр меньше 10 мкм, но уменьшение доли указанных очень мелких частиц усугубляет проблемы расслоения. Очень желательно уравновесить два эффекта, используя активное вещество, содержащее от 25 и 40 мас.% частиц меньше 10 мкм. Мелкость, грубость и распределение размера частиц произведенных антиперспирантных активных веществ могут измениться существенно, в зависимости от способа и условий их изготовления, включая тип используемой сушки, и любых последующих стадий обработки, таких как измельчение и/или сортировка. Активные вещества, имеющие соответствующее распределение размера частиц, чтобы удовлетворять вышеупомянутому критерию выбора, могут быть произведены при надлежащем контроле над традиционными методами сушки и измельчения способами, известными специалистам, квалифицированным в области получения антиперспирантных активных веществ, чтобы уменьшить долю произведенных частиц с диаметром меньше 10 мкм. Методы могут включать контроль размера капли в распылительной сушке. Если продукт произведен, например, способом распылительной сушки или лиофильной сушки, при которых избыточную долю имеют частицы диаметром меньше 10 мкм, указанная доля может быть понижена в аппарате стандартного типа. Кроме того, очень желательно использовать антиперспирантное активное вещество, которое является свободным или по существу свободным от полых частиц. В данном контексте, «по существу свободным» указывает на содержание полых сфер, меньшее чем 10 мас.% и предпочтительно меньшее чем 5 мас.%. Некоторые способы сушки, например распылительная сушка, могут давать материалы, которые содержат большую долю полых сфер, чем указанная. Измельчение дисперсного материала, например, с помощью шаровой или фрикционной мельницы может уменьшить долю полых сфер в материале антиперспиранта. Продукты с не более чем несколькими полыми частицами, как полагают, не оказывают существенного эффекта на RI продукта, то есть любой эффект является малозначимым. Необязательные компоненты Необязательные компоненты включают смывающие агенты, часто присутствующие в количестве до 10 мас.%, чтобы способствовать удалению композиции с кожи или одежды. Указанные смывающие агенты обычно представляют собой неионные поверхностно-активные вещества, такие как простые или сложные эфиры, молекула которых включает алкильную часть C8-C22 и гидрофильную часть, которая может включать полиоксиалкиленовую группу (РОЕ или РОР) и/или многоатомный спирт. Композиции, описанные в данном изобретении, могут включать одну или более косметическую добавку, не в форме частиц традиционно используемую для косметических твердых дезодорантов. Такие косметические добавки могут включать дезодорантные активные вещества в количестве до 2%, улучшающие кожу агенты, такие как аллантоин или липиды, например в количестве до 5%; красители; охлаждающие кожу агенты, такие как ментол и производные ментола, часто в количестве до 2%, при этом все указанные проценты являются массовыми. Обычно используемой добавкой являются духи, которые обычно присутствуют в концентрации от 0 до 4% и во многих композициях от 0,25 до 2% от массы композиции. Другой класс необязательных компонентов может включать добавки, способствующие суспендированию частиц или наполнители, хотя обычно в количестве не больше чем 5 мас.%. Такие вспомогательные добавки или наполнители, которые могут включать силикаты, глины или тальк, выбраны так, чтобы иметь показатель преломления, который точно соответствует показателю преломления смеси жидкости-носителя, так чтобы максимальное различие RI между материалом в виде частиц или компонентами носителя композиции было в пределах диапазона или предпочтительного диапазона различий между RI, упомянутого выше. Преимущества изобретения Настоящее изобретение позволяет изготовителю получить стики безводной суспензии антиперспиранта, имеющие уменьшенное расслоение антиперспиранта между верхом и основанием стика при использовании гелеобразователя, такого как волокнообразующий амидный гелеобразователь, имеющий более высокую температуру отверждения в условиях действия усилия сдвига на жидкую композицию, содержащую растворенный гелеобразователь и суспендированное антиперспирантное активное вещество, что происходит в технологической емкости, а затем при температуре неподвижного отверждения. Это применяется предпочтительно в отношении композиций, имеющих жидкость-носитель, составленную так, чтобы соответствовать показателю преломления жидкости-носителя и суспендированного антиперспирантного активного вещества в пределах 0,001, например, используя жидкости-носители и антиперспирантные активные вещества, описанные в данном изобретении. Указанный результат сниженного расслоения применяется предпочтительно в отношении антиперспирантного активного вещества, имеющего средний размер частиц, по меньшей мере, 9 или 10 мкм, например не более 80 мкм и особенно не более 50 мкм, или же в интервале от 10 до 50 мкм, предпочтительно от 12 до 35 мкм. Выгодно, если указанное антиперспирантное активное вещество также имеет не большую, чем ограниченная, долю частиц меньше 10 мкм в диаметре, такую как менее чем 50 мас.%. Получение композиций Композиции согласно настоящему изобретению могут быть получены способом согласно п.44 формулы изобретения, приведенному в данном изобретении. Возможно, удобно измерить RI образца из партии антиперспирантного активного вещества, которое будет использоваться, перед выполнением подготовки, потому что могут быть некоторые различия между партиями. Особенно желательно задержать введение антиперспирантного активного вещества, пока гелеобразователь и ингибитор расслоения не были растворены и особенно пока итоговая композиция не охладится до промежуточной температуры между температурой, при которой амидный гелеобразователь растворен, и температурой сдвигового отверждения готовой композиции. В том случае, когда композиция очень схожа с предыдущей композицией, температура сдвигового отверждения последней может быть взята в приближении. Желательно, антиперспирантное активное вещество вводят, чтобы образовать композицию, которая находится при температуре от 5 до 15°C, часто от 5 до 10°C, выше температуры сдвигового отверждения. Выдерживая температуру, при которой антиперспирантное активное вещество включено в жидкость-носитель, может быть уменьшена или устранена потеря воды из активного вещества. Желательно ввести композицию в дозирующий контейнер или форму при температуре от 3 до 10°C выше температуры сдвигового отверждения композиции. Форма продукта Стики, произведенные согласно настоящему изобретению, прозрачны, степень прохождения света зависит, по меньшей мере, частично от степени точности, с которой подобраны показатели преломления (RI) компонентов, и от уровня контроля размера частиц антиперспиранта. Прозрачные композиции возможны в отношении композиций изобретения, потому что выбранный структурирующий агент образует волокнистую структуру в пределах гидрофобной жидкости-носителя, которая не заметна для человеческого глаза, и показатели RI жидкости-носителя и суспендированного антиперспирантного активного вещества были соответствующе подобраны. Крайне желательно использовать соответствие RI, как обозначено выше, чтобы позволять готовой композиции пропускать, по меньшей мере, 1% света (измеренный в соответствии с тестом iv, Прозрачность композиции – тест прохождения света, описанный в US 6652843 колонка 20) и особенно, по меньшей мере, 5% прохождения. Механические свойства и упаковка продукта Композиции настоящего изобретения представляют собой структурированные жидкости и твердые по виду. Композиция настоящего изобретения будет обычно продаваться как продукт, включающий контейнер с количеством композиции там, где контейнер имеет прорезь для подачи композиции, и механизм для продвижения композиции в контейнере к подающей прорези. Обычные контейнеры принимают форму цилиндра овального поперечного сечения с подающей прорезью на одном конце цилиндра. Композиция настоящего изобретения может быть достаточно твердой, такой, что не является, очевидно, непрочной при давлении руки и подходящей для использования как продукт в виде стика, в котором некоторое количество композиции в форме стика приспособлено в пределах контейнерного цилиндра, имеющего открытый конец, из которого часть конца стика композиции выпущена для использования. Противоположный конец цилиндра обычно закрывается. Обычно контейнер будет иметь крышку на своем открытом конце и составляющую часть, которая иногда упоминается как подъемная платформа или поршень, подогнанный внутри цилиндра и способный к относительному осевому движению по нему. Стик композиции помещен в цилиндре между поршнем и открытым концом цилиндра. Поршень используется, чтобы перемещать стик композиции по цилиндру. Поршень и стик композиции могут быть перемещены аксиально по баррелю ручным давлением на нижнюю сторону поршня, используя палец или стержень, вставленный в цилиндр. Другая возможность состоит в том, что стержень, прикрепленный к поршню, выступает через щель или щели в цилиндре и используется, чтобы перемещать поршень и стержень. Предпочтительно контейнер также включает транспортный механизм для перемещения поршня, включающий винтовой стержень, который проходит аксиально в стик через соответствующую винтовую апертуру в поршне, и на цилиндре установлен механизм для вращения стержня. Оптимально стержень вращается посредством ручного колеса, установленного на цилиндре в его закрытом конце, то есть конце, противоположном подающему отверстию. Составляющие детали таких контейнеров часто изготавливаются из термопластических материалов, например полипропилена или полиэтилена. Описания подходящих контейнеров, некоторые из которых включают новые свойства, найдены в патентах US 4865231, US 5000356 и US 5573341. Далее в изобретении предлагается безводная антиперспирантная или дезодорантная композиция (композиция EPB), которая включает: а) от 1 до 35 мас.% антиперспирантного активного вещества, включающего частицы вяжущей соли алюминия и/или циркония, имеющей показатель преломления от 1,49 до 1,57 при 22°C, и из которых предпочтительно менее чем 60 мас.% частиц имеют диаметр не более 10 мкм; b) от 30 до 90 мас.% несмешивающейся с водой жидкости-носителя, в которой суспендировано указанное антиперспирантное активное вещество, включая 2-этилфенилбензоат и; c) волокнообразующий амидный гелеобразователь для указанной жидкости-носителя. В композициях EPB амидный гелеобразователь может быть выбран в соответствии с предшествующим описанием для композиций, дополнительно содержащих вышеупомянутый ингибитор расслоения. Аналогично, жидкость-носитель может дополнительно включать одно или более вышеупомянутых нелетучих силиконовых масел и других эфирных масел с показателем преломления, по меньшей мере, 1,50 и/или дополнительные масла-носители, чтобы образовать жидкость-носитель в соответствии с ее описанием, приведенным для композиций, содержащих ингибитор расслоения. Аналогично композиции EPB могут включать один или более необязательных компонентов, как описано выше, для композиций, содержащих ингибитор расслоения. Композиции EPB могут быть произведены способом, описанным выше, исключая ингибитор расслоения. ПРИМЕРЫ После подробного описания настоящего изобретения, конкретные варианты осуществления будут теперь описаны более полно только посредством примера. Квалифицированный специалист в состоянии изменить те примеры, чтобы создать схожие композиции, основанные на его простом общем знании, которые включают альтернативные или дополнительные элементы в соответствие с предшествующим подробным описанием. В настоящих Примерах используемые компоненты были следующими: Масла-носители Масло 1: 2-фенилэтилбензоат (Finsolv SUN от Finetex) Масло 2: 2-пропанол, 1-феноксибензоат (типовое масло от Degussa) Масло 3: метилфенилтрисилоксан (DC704 от Dow Corning) Дополнительные масла-носители Масло 4: изостеариловый спирт (Prisorine 3515 от Uniqema) Гелеобразователи Гель 1 GP-1: ди-н-бутиламид N-лауроил-L-глутаминовой кислоты (Ajinomoto) Гель 2 GA-01: ди-н-бутиламид N-(2-этилгексаноил)-L-глутаминовой кислоты (Ajinomoto) Гель 3: Циклодипептид на основе аспартама, являющийся производным тимола (полученный согласно примеру 1.2 из WO03/059307) Гель 4: цис/транс-1,2-ди(2-этилгексанамидо)циклогексан (полученный согласно примеру 1 из US 6410003). Ингибитор расслоения SI 1: Блок-сополимер стирол-этилен/бутилен-стирол (Kraton G1650E от Kraton Polymers) SI 2: Блок-сополимер стирол-бутадиен (Kraton D1102 от Kraton Polymers) Антиперспирантное активное вещество AP 1: Активированный Al/Zr пентахлоргидрекс глициновый комплекс, RI 1,531, D50 13,1 мкм, 39% < 10 мкм, небольшое количество [малозначимо] пустых частиц (AP5G-LR (Проба A) от B K Giulini) AP 2: Активированный Al/Zr пентахлоргидрекс глициновый комплекс, RI 1,531, D50 31,9 мкм, 12,5% < 10 мкм, небольшое количество [малозначимо] пустых частиц (AP5G-LR (Проба B) от B K Giulini) AP 3 AACH: Активированный хлоргидрат алюминия, RI 1,530, D50 17,4 мкм, 25,4% < 10 мкм, несколько [малозначимо] пустых частиц (A418 Пример и сравнительные композиции были получены следующим способом, за исключением как обозначено в дальнейшем. На предварительных стадиях, показатель преломления жидкости-носителя и антиперспирантного активного вещества либо измерен с использованием обычного аппарата/способа при 22°C, либо вычислен из данных, приведенных в техническом паспорте продукта для коммерческих жидких продуктов, и соответствующие пропорции компонентов жидкости-носителя вычислены (среднее значение показателей RI индивидуальных компонентов), чтобы достичь RI соответствие в пределах 0,0006 единиц. Стадия 1 – дисперсия ингибитора расслоения (блок-сополимера) в эфирном масле и/или нелетучем силиконовом масле при 15 мас.% была получена при нагревании смеси указанных двух компонентов при 120-125°C и перемешивании смеси при той же температуре до тех пор, пока не замечали, что твердое вещество полностью диспергировалось в жидкости, а затем позволили дисперсии охладиться за ночь до окружающей температуры в лаборатории (приблизительно 22°C); Стадия 2 – частицы антиперспирантного активного вещества были введены с мягким перемешиванием в смесь стадии 1, после чего под вакуумом был удален воздух; Стадия 3 – гелеобразователь или смесь гелеобразователей были растворены в дополнительном масле-носителе при нагревании до приблизительно 120°C и перемешивании, после чего раствору дали охладиться до 110 – 105°C; Стадия 4 – смесь стадии 2 была нагрета приблизительно до 80- 85°C на масляной бане с относительно мягким перемешиванием, чтобы избежать повторного включения воздуха; Стадия 5 – раствор стадии 3 был добавлен к смеси стадии 4 и тщательно перемешан в течение 2 минут при температуре приблизительно 85-87°C; Стадия 6 – при постоянном перемешивании отдушка была введена в смесь стадии 5 и охлаждена до приблизительно 75°C. Тесты указали, что температура отверждения составов была приблизительно 70°C при преобладании расслаивающих условий. Стадия 7 – готовую композицию (приблизительно 45 г) залили при приблизительно 75°C в перевернутый обычный распределительный контейнер до глубины приблизительно 6 см от круглой выемки формующей машины до подъемника (поршня) – обычно так называемый процесс заполнения до основания. Затем были вставлены шпиндель и колесо с накаткой. Стадия 8 – заполненному контейнеру позволили охладиться до температуры окружающей среды в лаборатории, оставив в перевернутом виде. Стадия 9 – была оценена прозрачность композиций, были взяты образцы композиции и проанализированы на предмет содержания антиперспирантного активного вещества методом, приведенным ниже. Тесты показали, что температура отверждения составов была приблизительно 55°C при неподвижных условиях. В Сравнениях D и F и Примерах 7 и 9 Ингибитор Расслоения был растворен в маслах в стадии 2. Температура заливки (стадия 7) для СравF и Прим9 была 79°C, а не 75°C, потому что температура расслаивающего отверждения была около 74/75°C. Когда стики охладились до окружающей температуры, их коэффициент пропускания света был зрительно оценен опытным химиком-косметиком. Все сравнения и примеры, как оценили, были прозрачны. В стадии 9, было определено распределение антиперспирантного активного вещества в стике сверху донизу при измерении содержания антиперспирантного активного вещества в образцах состава стика, извлеченных соответственно из купола (созданного формующей машиной) в пределах 5 мм его вершины или в пределах 5 мм его точки контакта с подъемником/поршнем (основание). Образцы были приблизительно 5-5,5 см индивидуально. Содержание антиперспирантного активного вещества каждого образца было измерено с использованием Metrohm 716 DMS Titrino Chloride Analysis Rig с авто-титратором. Взвешенный образец 0,5 г был взят из соответственно купола или основания стика и помещен в 250 мл мензурку. Затем был добавлен этанол (40 мл), после чего мензурку встряхивали, чтобы разбить образец. Затем в мензурку была добавлена азотная кислота (10 мл), после чего мензурку встряхивали еще раз. Затем конечная смесь была нагрета на электрической плитке под тягой при 60°C в течение 10 минут, чтобы растворить антиперспирантное активное вещество. Мензурка была снята с электрической плитки, и в нее была добавлена дистиллированная вода до отметки 200 мл. Масса образца была введена в машину прежде, чем электрод и мешалка/устройство авто-титратора были погружены в мензурку. Автотитрование было выполнено машиной, которая вычислила и показала (в распечатке) пропорцию хлорида в образце. Содержание хлорида в каждом антиперспирантном активном веществе было уже определено тем же самым методом, используя тот же самый аппарат. Сравнивая пропорцию хлорида в антиперспирантном активном веществе, используемого в композиции с пропорцией хлорида, измеренной в соответствующих образцах, взятых из стика, была вычислена пропорция антиперспирантного активного вещества в каждом образце. Различие между массовыми долями антиперспиранта в куполе (вершина) и у основания распределительного контейнера приведено в Таблицах 1-3 ниже как “Диапазон”. Чем больше Диапазон, тем сильнее расслоение в стике.
Из Таблиц 1-3, сравнивая композицию Примера с соответствующей композицией Сравнения или композициями, может быть замечено, что добавление ингибитора расслоения существенно уменьшало степень расслоения. Таким образом, сравнение СравA с Примерами 1-3 показало значительно уменьшенный Диапазон для Примеров, даже при том, что Диапазон в Сравнении был 3,16 % (потому что средний размер частицы антиперспирантного активного вещества (АР1) имел тенденцию быть довольно маленьким). Когда использовалось антиперспирантное активное вещество с большим средним размером частиц, AP2, Таблицы показывают, что степень расслоения была существенно больше, например, при сравнении Сравнения A и B. Однако, сравнивая СравB и СравC с Примерами 4-6, очевидно, что существенное уменьшение расслоения было достигнуто. Кроме того, сравнивая СравC с Примером 4, может быть замечено, что существенное увеличение эффективности ингибитора расслоения произошло, когда отношение ингибитора расслоения к гелеобразователю было увеличено с приблизительно 0,88:1 до 1,18:1. В Таблицах 1 и 2 показано, что особенно выгодно использовать смесь гелеобразователей (1a) и (1b) в качестве гелеобразователя для композиции. В Таблицах также показано, что особенно выгодно использовать эфирное масло, имеющее высокий показатель преломления, как описано в данном изобретении, как у основной жидкости-носителя.
Формула изобретения
1. Безводная антиперспирантная или дезодорантная композиция, включающая: 2. Композиция по п.1, в которой жидкость-носитель включает масло или смесь масел, имеющее показатель преломления не более 1,57. 3. Композиция по п.1, отличающаяся тем, что, по меньшей мере, 50 мас.% жидкости-носителя является нелетучим силиконовым маслом или ароматическим эфирным маслом, имеющим показатель преломления, по меньшей мере, 1,52 и предпочтительно, по меньшей мере, 1,53. 4. Композиция по п.1, в которой, по меньшей мере, 75 мас.% жидкости-носителя является ароматическим эфирным маслом. 5. Композиция по любому из предыдущих пунктов, в которой ароматическое эфирное масло соответствует общей формуле 6. Композиция по п.5, в которой Х1 или Х2 представляют диметиленовую группу. 7. Композиция по п.5, в которой X1 представляет собой -СН(Ме)-СН2-. 8. Композиция по п.7, в которой Y представляет собой соединяющую группу в виде простого или сложного эфира. 9. Композиция по пп.1-3, в которой нелетучее силиконовое масло включает арилзамещенный силоксан, который соответствует общей формуле 10. Композиция по пп.1-3, в которой нелетучее силиконовое масло включает метилфенилтрисилоксан. 11. Композиция по п.1, в которой амидный гелеобразователь включает амид N-ацил-аминокислоты. 12. Композиция по п.11, в которой амид N-ацил-аминокислоты включает ди-н-бутиламид N-лауроил-L-глутаминовой кислоты и/или ди-н-бутиламид N-(2-этилгексаноил)-L-глутаминовой кислоты. 13. Композиция по п.1, в которой амидный гелеобразователь включает циклодипептид. 14. Композиция по п.1, в которой амидный гелеобразователь включает 1,2-или 1,3-(бис)амидоциклогексан. 15. Композиция по п.1, в которой амидный гелеобразователь включает амидное производное ди- или трикарбоновой кислоты. 16. Композиция по любому из пп.11-15, в которой содержание волокнообразующего амидного гелеобразователя в композиции находится в интервале от 0,6 до 10 мас.%. 17. Композиция по п.16, которая содержит, по меньшей мере, 2 мас.% амида N-ацил-аминокислоты и предпочтительно, по меньшей мере, 3 мас.%. 18. Композиция по любому из пп.11-15, в которой содержание волокнообразующего гелеобразователя составляет от 2 до 15 мас.% жидкости-носителя. 19. Композиция по п.18, в которой содержание волокнообразующего гелеобразователя составляет от 6 до 10 мас.% жидкости-носителя. 20. Композиция по п.1, в которой ингибитор расслоения является алкилен-ариленовым блок-сополимером. 21. Композиция по п.20, в которой алкилен-ариленовый блок-сополимер включает ди- или три- блок-сополимер. 22. Композиция по п.20, в которой алкилен-ариленовый блок-сополимер включает стирольный блок-сополимер. 23. Композиция по п.22, в которой стирольный блок-сополимер включает бутилен-стирольный, этилен-стирольный или пропилен-стирольный блок-сополимер. 24. Композиция по п.22, в которой стирольный блок-сополимер включает этилен/бутилен-стирольный блок-сополимер. 25. Композиция по п.22, в которой стирольный блок-сополимер включает стирол-этилен/бутилен-стирольный триблок-сополимер, необязательно вместе с этилен/бутилен-стирольным диблок-сополимером. 26. Композиция по любому из пп.22-25, в которой массовое содержание стирола в сополимере составляет от 27 до 31%. 27. Композиция по любому из пп.20-25, в которой ингибитор расслоения присутствует в массовом отношении к волокнообразующему амидному гелеобразователю не более 4:1. 28. Композиция по п.27, в которой ингибитор расслоения присутствует в массовом отношении к волокнообразующему амидному гелеобразователю от 1:1 до 3:1. 29. Композиция по любому из пп.20-25, в которой ингибитор расслоения присутствует в количестве, выбранном в интервале от 3 до 12% и предпочтительно от 7 до 10% от массы композиции. 30. Композиция по любому из пп.11-15 или 20-25, в которой масса ингибитора расслоения плюс волокнообразующего амидного гелеобразователя выбрана в интервале от 5 до 20% от массы композиции, предпочтительно от 10 до 16%. 31. Композиция по п.30, в которой массовое отношение ингибитора расслоения плюс амидного гелеобразователя к жидкости-носителю выбрано в интервале от 1:4 до 1:6. 32. Композиция по п.1, в которой антиперспирантное активное вещество включает хлоргидрат алюминия и/или циркония или их комплекс. 33. Композиция по п.32, в которой антиперспирантное активное вещество включает активированный хлоргидрат алюминия. 34. Композиция по п.32, в которой антиперспирантное активное вещество включает алюмоциркониевый хлоргидрат, необязательно в комплексе с аминокислотой. 35. Композиция по п.34, в которой антиперспирантное активное вещество включает алюмоциркониевый хлоргидрат-глициновый комплекс. 36. Композиция по любому из пп.31-35, в которой от 25 до 40 мас.% частиц антиперспирантного активного вещества имеет диаметр менее 10 мкм. 37. Композиция по любому из пп.31-35, в которой антиперспирантное активное вещество имеет среднемассовый размер частиц от 9 до 50 мкм, предпочтительно от 12 до 35 мкм. 38. Композиция по п.1, в которой жидкость-носитель имеет показатель преломления, который соответствует показателю преломления антиперспирантного активного вещества в пределах 0,005 единиц. 39. Композиция по п.38, в которой показатель преломления жидкости-носителя соответствует показателю преломления антиперспирантного активного вещества в пределах от 0,001 до 0,005 единиц. 40. Композиция по п.1, в которой жидкость-носитель дополнительно включает алифатический одноатомный спирт, имеющий температуру кипения выше 100°С. 41. Композиция по п.40, в которой алифатический одноатомный спирт является изостеариловым спиртом. 42. Композиция по п.40 или 41, в которой содержание алифатического одноатомного спирта составляет от 5 до 15% от массы композиции. 43. Композиция по п.40 или 41, в которой содержание алифатического одноатомного спирта составляет от 15 до 20% от массы жидкости-носителя. 44. Композиция по п.1, в которой, по меньшей мере, 50 мас.% жидкости-носителя является нелетучим силиконовым маслом или ароматическим эфирным маслом, имеющим показатель преломления, по меньшей мере, 1,53, ароматическое эфирное масло соответствует общей формуле 45. Способ получения безводной антиперспирантной композиции по любому из предыдущих пунктов, который включает стадии растворения амидного гелеобразователя и ингибитора расслоения в жидкости-носителе, имеющей показатель преломления, по меньшей мере, 1,50 при 22°С, который соответствует показателю преломления антиперспирантного активного вещества в пределах 0,01 единиц, и включающей нелетучее силиконовое масло и/или ароматическое эфирное масло, при повышенной температуре; 46. Способ по п.45, в котором антиперспирантное активное вещество смешивают с жидкостью-носителем после растворения амидного гелеобразователя в температурном интервале между температурой, при которой растворяют амидный гелеобразователь, и температурой, при которой заполняют распределительный контейнер или форму. 47. Способ уменьшения осаждения в процессе получения твердой безводной антиперспирантной композиции, включающий стадии растворения амидного гелеобразователя в жидкости-носителе, имеющей показатель преломления, по меньшей мере, 1,50 при 22°С, который соответствует показателю преломления антиперспирантного активного вещества в пределах 0,01 единиц, и включающей нелетучее силиконовое масло и/или ароматическое эфирное масло, при повышенной температуре; 48. Способ по п.47, в котором ингибитор расслоения является арилен-алкиленовым блок-сополимером. 49. Безводная антиперспирантная или дезодорантная композиция, которая включает: 50. Композиция по п.49, которая включает масло, отличное от 2-этилфенилбензоата, охарактеризованное в любом из пп.1-10 или пп.40-43, и предпочтительно в меньшей массовой пропорции, чем 2-этилфенилбензоат. 51. Композиция по п.49 или 50, которая содержит волокнообразующий амидный гелеобразователь, охарактеризованный в любом из пп.11-19. 52. Композиция по п.49 или 50, в которой антиперспирантное активное вещество охарактеризовано в любом из пп.32-39.
|
||||||||||||||||||||||||||||||||||||||||||||||||||||||||||||||||||||||||||||||||||||||||||||||||||||||||||||||||||||||||||||||||||||||||||||||||||||||||||||||||||||||||||||||||||||||||||||||||||||||||||||||||||||||||||||||||||||||||||||||||||||||||||||||||||||||||||||||||||||||||||||||||||||||||||||||||||||||||||||||||||||||||||||

волокнообразующий амидный гелеобразователь
обозначает мономерный или димерный гелеобразователь, включающий, по меньшей мере, одну амидную связь, имеющий молекулярную массу ниже 1500, и который превращает в гель несмешивающееся с водой масло (где смесь D5 [пентациклодиметикона] и изостеарилового спирта в массовом соотношении 50/50 является наиболее типичным маслом) при концентрации в диапазоне 1-15 мас.%, образуя сеть тонких первичных нитей или волокон, простирающихся по всему объему гелеобразного масла. «Тонких» означает, что первичные нити или волокна не могут быть обнаружены невооруженным глазом и обычно имеют диаметр при рассматривании в электронном микроскопе не более чем 0,5 мкм, а во многих случаях не больше чем 0,2 мкм. Первичные нити или волокна, вероятно, имеют многочисленные разветвления или взаимные связи и могут соединяться или переплетаться, формируя более толстую нить.





20 мм. В стандартном тесте, проводимом при 22°C, чистая игла (2.5g, Seta Wax Penetration needle
с углом острия 9° 10’+/-15
2Si-О-[-SiRKRA-О]n-SiRLRA
-фенилаланин, dl-валин, dl-метионин и