Патент на изобретение №2392863

Published by on




РОССИЙСКАЯ ФЕДЕРАЦИЯ



ФЕДЕРАЛЬНАЯ СЛУЖБА
ПО ИНТЕЛЛЕКТУАЛЬНОЙ СОБСТВЕННОСТИ,
ПАТЕНТАМ И ТОВАРНЫМ ЗНАКАМ
(19) RU (11) 2392863 (13) C1
(51) МПК

A61B8/08 (2006.01)

(12) ОПИСАНИЕ ИЗОБРЕТЕНИЯ К ПАТЕНТУ

Статус: по данным на 18.08.2010 – действует

(21), (22) Заявка: 2009108960/14, 12.03.2009

(24) Дата начала отсчета срока действия патента:

12.03.2009

(46) Опубликовано: 27.06.2010

(56) Список документов, цитированных в отчете о
поиске:

Адрес для переписки:

119021, Москва, ул. Россолимо, 11а, НИИГБ РАМН, Э.П.Тюриной

(72) Автор(ы):

Аветисов Сергей Эдуардович (RU),
Шеремет Наталия Леонидовна (RU),
Полунин Геннадий Серафимович (RU),
Харлап Сергей Иванович (RU),
Киселева Татьяна Николаевна (RU),
Кравчук Екатерина Александровна (RU)

(73) Патентообладатель(и):

Учреждение Российской академии медицинских наук Научно-исследовательский институт глазных болезней РАМН (НИИГБ РАМН) (RU)

(54) СПОСОБ ОЦЕНКИ ФУНКЦИОНАЛЬНОГО СОСТОЯНИЯ ЗРИТЕЛЬНОГО НЕРВА ПРИ ДРУЗАХ ДИСКА ЗРИТЕЛЬНОГО НЕРВА

(57) Реферат:

Изобретение относится к медицине, а именно к офтальмологии, и предназначено для диагностики и определения объема друз диска зрительного нерва. Проводят трехмерное ультразвуковое сканирование диска зрительного нерва. Определяют суммарный объем друз диска зрительного нерва. При объеме друз менее 0,005 см3 оценивают функциональное состояние зрительного нерва как нормальное или снижение функционального состояния зрительного нерва слабой степени выраженности. При объеме 0,005-0,015 см3 – как снижение функционального состояния зрительного нерва средней степени выраженности. При объеме более 0,015 см3 – как снижение функционального состояния зрительного нерва сильной степени выраженности. Способ позволяет проводить дифференцированную оценку функционального состояния зрительного нерва при ДДЗН с дальнейшей возможностью прогнозирования оптической нейропатии. 4 ил.

Предлагаемое изобретение относится к офтальмологии и предназначено для диагностики и определения объема друз диска зрительного нерва с целью последующего прогнозирования состояния зрительного нерва.

Уровень техники

Друзы диска зрительного нерва (ДДЗН) встречаются с частотой 3,4 – 24 случая на 1000 населения при клиническом и аутопсическом исследовании соответственно. Как правило, образуясь в глубине диска, вначале друзы не определяются офтальмоскопически. С течением времени они увеличиваются в размерах и количестве, вызывая проминенцию и стушеванность границ диска зрительного нерва (ДЗН), затем появляются на поверхности ДЗН в виде округлых телец.

Хотя клинически ДДЗН в большинстве случаев протекают для пациентов бессимптомно или незаметно, друзы являются причиной функциональных нарушений зрительного нерва, развития острой и хронической оптической нейропатии (ОН).

Для диагностики и определения объема ДДЗН способ исследования должен быть максимально безопасным для пациента, неинвазивен и с высокой степенью информативности.

Известен способ диагностики ДДЗН с помощью офтальмоскопии глазного дна. Однако таким методом выявляются только поверхностные ДДЗН. Друзы, располагающиеся в глубине ДЗН, не визуализируются офтальмоскопически.

Известен способ определения ДДЗН с помощью флуоресцентной ангиографии, однако это инвазивный метод диагностики, требует внутривенного введения контрастного препарата. Кроме того, если ДДЗН расположены глубоко в ДЗН, они могут не определяться данным способом исследования (Chan J.W. Optic nerve disoders. – USA, Springer. – 2007. – P.210-213).

6. – P.515-32).

Таким образом, существующие способы диагностики ДДЗН требуют совершенствования, так как недостаточно информативны и не позволяют прогнозировать функциональное состояние зрительного нерва.

Раскрытие изобретения

Задачей изобретения является определение объема ДДЗН для прогнозирования функционального состояния зрительного нерва при друзах диска зрительного нерва.

Техническим результатом предлагаемого изобретения является возможность дифференцированной оценки функционального состояния зрительного нерва при ДДЗН с дальнейшей возможностью прогнозирования оптической нейропатии.

Технический результат достигается за счет оценки функционального состояния зрительного нерва с помощью общего объема ДДЗН, оцениваемого посредством трехмерного ультразвукового цифрового сканирования.

Нами было выполнено УЗ-исследование зрительного нерва в 3D-режиме 37 пациентам (70 глаз) с ДДЗН, что позволило определить объем друз ДЗН. Друзы объемом до 0,005 см3 были выявлены в 47,3% случаев, 0,005-0,015 см3 – в 36,4%, друзы объемом свыше 0,015 см3 – в 16,4%.

Обследование пациентов с ДДЗН, включающее традиционные офтальмологические исследования, а также компьютерную периметрию (периметр Octopus 900), показало, что у 40,7% пациентов ДДЗН не сопровождались функциональными изменениями зрительного нерва (группа А). Однако у 59,3% пациентов были выявлены признаки оптической нейропатии (группа В), главными проявлениями которой явилось изменение поля зрения в виде дугообразных скотом, парацентральных скотом преимущественно в носовом секторе, сужения периферического поля зрения.

Распределение пациентов с различным объемом ДДЗН по группам показано на Фиг.1. Было установлено, что в группе А у пациентов без проявлений ОН преимущественно были друзы малого объема. В группе В с ОН превалировали друзы среднего и большого объемов.

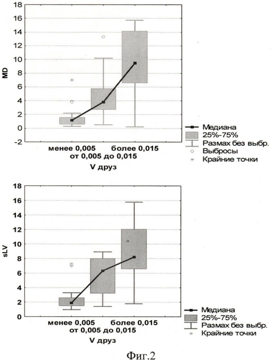
Влияние объема ДДЗН на основные индексы периметрии MD (среднее значение дефекта световой чувствительности) и sLV (показатель локального снижения световой чувствительности) показано на Фиг.2. Было выявлено, что при малом объеме ДДЗН (до 0,005 см3) индексы периметрии MD и sLV соответствуют норме. Однако с ростом объема друз все показатели периметрии значительно увеличиваются, особенно у пациентов с максимальным объемом друз (более 0,015 см3), что свидетельствует о выраженном ухудшении ПЗ.

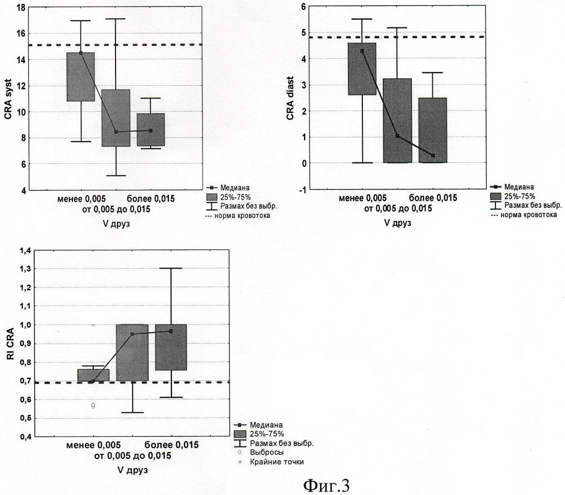
Исследование кровотока в сосудах глаза и орбиты в режиме ЦДК у всех пациентов с друзами позволило определить изменение показателей кровотока в центральной артерии сетчатки (ЦАС) в 75,5% случаев. У пациентов с ОН изменения кровотока в ЦАС наблюдались в 96,8% случаев, в группе без зрительных нарушений – в 45,5%.

Изменение кровотока в задних коротких цилиарных артериях, глазной артерии, ЦВС было статистически незначимо.

Анализ показателей кровотока в ЦАС, показанных на Фиг.3, выявил снижение максимальной систолической скорости кровотока относительно нормального показателя, отмеченного красной пунктирной чертой, и уменьшение конечной диастолической скорости кровотока даже у пациентов с малым объемом друз. Тем не менее, у пациентов со средним и большим объемом друз (более 0,005 см3) отклонение от нормы показателей кровотока было более выраженным. Было выявлено увеличение индекса резистентности по сравнению с нормой и его рост в соответствии с ростом объема друз. Таким образом, была выявлена связь между ростом объема друз и изменениями показателей кровотока в ЦАС. На это же указывает и полученный коэффициент гамма корреляции.

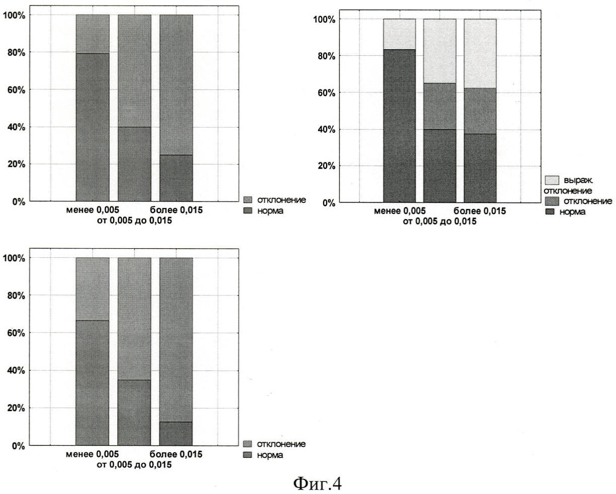
Мы изучили процентное распределение пациентов по показателю кровотока в зависимости от объема друз ДЗН (Фиг.4). Далее на графиках более темная часть столбца показывает процент пациентов, у которых показатель кровотока в норме, более светлая часть столбца показывает процент пациентов, у которых наблюдается отклонение от нормы. По графику можно определить, что с ростом объема друз процент пациентов с отклонением от нормы максимальной систолической и конечной диастолической скорости кровотока увеличивается. При средних и малых объемах друз резко увеличивается процент пациентов с выраженными отклонениями от нормы, когда диастолическая скорость кровотока равна 0 (CRA diast=0).

Таким образом, была установлена зависимость функциональных изменений зрительного нерва от объема ДДЗН. Предлагаемый способ оценки функционального состояния зрительного нерва при ДДЗН вполне эффективен и безопасен для пациента и может быть использован в повседневной офтальмологической практике.

Осуществление изобретения

Способ осуществляют следующим образом.

Ультразвуковое цифровое сканирование зрительного нерва в 3D-режиме осуществляется транспальпебрально с применением объемного многочастотного датчика 5-12 МГц.

Определение объема ДДЗН осуществляется при получении трехмерного ультразвукового изображения путем электронного суммирования серии последовательных акустических сечений.

Определение объема ДДЗН можно использовать для прогнозирования функционального состояния зрительного нерва.

Пример 1. Пациент Б., 1974 года рождения. С помощью ультразвукового сканирования зрительного нерва обоих глаз в 3D-режиме выявлены ДДЗН объемом до 0,005 см3. Острота зрения: OD=1,0, OS=1,0. Показатели статической периметрии соответствуют норме: индексы периметрии для правого глаза MD=0,5 (норма от -2,0 до 2,0), sLV=0,9 (норма до 2,5); для левого глаза MD=0,7, sLV=0,5. Показатели кровотока глаз находятся в переделах нормальных значений. Таким образом, у пациента с малым объемом ДДЗН отмечается нормальное функциональное состояние зрительного нерва.

Пример 2. Пациент С, 1984 года рождения. При обследовании в 2006 году с помощью ультразвукового сканирования зрительного нерва в 3D-режиме выявлены ДДЗН правого глаза объемом 0,02 см3, левого глаза 0,004 см3. Острота зрения: OD=1,0, OS=1,0. Показатели статической периметрии были выше нормы: для правого глаза MD=5,2, sLV=7,8; для левого глаза в пределах нормы MD=2,2, sLV=2,8. Снижение скорости кровотока в ЦАС отмечалось в обоих глазах, более выраженное на правом глазу, с умеренными признаками ишемии.

Таким образом, у пациента на одном глазу с большим объемом ДДЗН (более 0,015 см3) отмечается снижение функционального состояния зрительного нерва сильной степени выраженности. На другом глазу с малым объемом ДДЗН (до 0,005 см3) отмечается снижение функционального состояния зрительного нерва слабой степени выраженности.

При обследовании в 2008 году ДДЗН правого глаза не увеличились, объем 0,02 см3; объем ДДЗН левого глаза возрос до 0,01. Показатели статической периметрии также ухудшились, более на левом глазу: для правого глаза MD=5,8, sLV=8,2; для левого глаза MD=3,4, sLV=4,4. Показатели кровотока в ЦАС ухудшились на левом глазу, что, по-видимому, связано с ростом объема ДДЗН.

Таким образом, у пациента с ростом объема ДДЗН отмечается ухудшение функциональных показателей зрительного нерва и кровотока. На левом глазу с увеличением ДДЗН до среднего объема (до 0,005-0,015 см3) отмечается снижение функционального состояния зрительного нерва средней степени выраженности.

Таким образом, предлагаемый способ посредством трехмерного ультразвукового цифрового сканирования зрительного нерва позволяет оценить объем ДДЗН, величина которых служит прогностическим признаком функционального состояния зрительного нерва.

Формула изобретения

Способ оценки функционального состояния зрительного нерва при друзах зрительного нерва, включающий ультразвуковое исследование диска зрительного нерва, отличающийся тем, что проводят трехмерное ультразвуковое сканирование и определяют суммарный объем друз и при объеме менее 0,005 см3 оценивают функциональное состояние зрительного нерва как нормальное или снижение функционального состояния зрительного нерва слабой степени выраженности, при объеме 0,005-0,015 см3 – как снижение функционального состояния зрительного нерва средней степени выраженности, а более 0,015 см3 – как снижение функционального состояния зрительного нерва сильной степени выраженности.

РИСУНКИ

Categories: BD_2392000-2392999