|
|
(21), (22) Заявка: 2008124693/09, 16.06.2008
(24) Дата начала отсчета срока действия патента:
16.06.2008
(43) Дата публикации заявки: 27.12.2009
(46) Опубликовано: 20.06.2010
(56) Список документов, цитированных в отчете о поиске:
RU 2231906 A, 27.06.2004. RU 57060 U1, 27.09.2006. US 5391971 A, 25.05.1993.
Адрес для переписки:
620078, г.Екатеринбург, ул. Студенческая, 51, Т.Г. Соловьевой
|
(72) Автор(ы):
Лузгин Владислав Игоревич (RU), Петров Александр Юрьевич (RU), Черных Илья Викторович (RU), Шипицын Виктор Васильевич (RU), Лопатин Иван Евгеньевич (RU)
(73) Патентообладатель(и):
Закрытое акционерное общество “РЭЛТЕК” (RU)
|
(54) МНОГОФАЗНОЕ ПРЕОБРАЗОВАТЕЛЬНОЕ УСТРОЙСТВО ДЛЯ ИНДУКЦИОННОГО НАГРЕВА
(57) Реферат:
Предлагаемое изобретение относится к преобразовательной технике и может быть использовано в установках для индукционного нагрева и плавки металла. Технический результат заключается в одновременном генерировании высокочастотного и низкочастотного многофазного электромагнитных полей и упрощении. Основная схема многофазного двухчастотного преобразовательного устройства содержит источник постоянного напряжения, первый и второй фильтровые дроссели, а также три цепи, каждая из которых образована управляемым вентилем, последовательно с которым соединена одна из обмоток нагрузки-индуктора, зашунтированная конденсатором, при этом к первому выводу источника постоянного напряжения подсоединен первый вывод первого фильтрового дросселя, второй вывод которого соединен с тремя первыми выводами трех управляемых вентилей, при этом вторые выводы трех обмоток нагрузки-индуктора, зашунтированных конденсаторами, соединены между собой и подсоединены к первому выводу второго фильтрового дросселя, второй вывод которого соединен с вторым полюсом источника постоянного напряжения, при этом нагрузка-индуктор выполнена из трех обмоток, две из которых включены согласно последовательно, а все три управляемых вентиля включены в прямом направлении по отношению к полярности источника постоянного напряжения. Каждая обмотка нагрузки-индуктора с шунтирующим конденсатором настроена на высокую частоту двухчастотного поля нагрузочного контура. Параллельно каждой обмотке нагрузки-индуктора включен последовательный контур из емкости и индуктивности, собственная частота которого равна низкой частоте двухчастотного поля нагрузочного контура. Высокочастотная и низкочастотная многофазная составляющие электромагнитного поля в нагрузочном контуре формируются путем специального алгоритма управления управляемыми вентилями, когда каждый управляемый вентиль неоднократно включается и выключается и формирует пачки высокочастотных импульсов, сдвинутых по фазе. 1 з.п. ф-лы, 2 ил.
Предлагаемое изобретение относится к преобразовательной технике и может быть использовано в установках для индукционного нагрева и плавки металла.
Известны преобразовательные устройства, применяемые для различных целей, параллельного типа, когда нагрузка и коммутирующий конденсатор соединяются параллельно, и последовательного типа, когда нагрузка и коммутирующий конденсатор соединяются последовательно (Л1, Чиженко И.М. и др. Основы преобразовательной техники. Учебн. пособие для специальности «Промышленная электроника». – М.: Высшая школа, 1974). Эти преобразователи являются аналогами предлагаемому изобретению.
Известно также, что при индукционном нагреве и плавке металла с увеличением массы металла увеличивается мощность преобразовательных устройств и снижается их выходная частота (Л.2, Тиристорные преобразователи повышенной частоты для электротехнологических установок. Е.И.Беркович и др. – 2-е изд. перераб. и доп.- Л.: Энергоатомиздат (Ленингр. отделение, 1983), при этом в диапазоне 500÷1000 Гц наиболее часто применяется параллельный инвертор, как наиболее экономичный на этих частотах, остальные же преобразовательные устройства в этом диапазоне частот имеют повышенную массу и габариты. Поэтому в качестве прототипа выбран наиболее часто применяемый мостовой параллельный инвертор тока (Приложение 1, Л.2. стр.16, рис.2.1).
Известно, что интенсивность индукционного нагрева возрастает с увеличением частоты электромагнитного поля (Л.3, Шамов A.M., Бодажков В.А. Проектирование и эксплуатация высокочастотных установок. Изд. 2-е, доп. и перераб. Л.: Машиностроение (Ленингр. отделение), 1974, 280 с). Известно также, что в одночастотном электромагнитном поле расплавленный металл в нагрузке-индукторе под действием электромагнитных сил движется в нижней части индуктора около стенок снизу вверх, а около оси индуктора сверху вниз, в верхней же части индуктора металл около стенок индуктора движется сверху вниз, а по оси индуктора снизу вверх, т.е. создается два контура циркуляции. В результате этого движения происходит перемешивание жидкого металла, что улучшает его качество. Однако при двух контурах циркуляции перемешивание металла не эффективно. Для повышения эффективности электромагнитного перемешивания необходимо многофазное низкочастотное электромагнитное поле, а для повышения эффективности индукционного нагрева необходимо высокочастотное электромагнитное поле (Л.3). В Л.4 предлагается использовать два генератора – один высокочастотный для интенсивного индукционного нагрева, а второй – низкочастотный трехфазный – для интенсивного электромагнитного перемешивания (Л.4. Вайнберг A.M. Индукционные плавильные печи. – М.: Энергия, 1967). Однако это увеличивает установленную мощность нагревательного оборудования и требует в течение электротехнологического процесса переключений в силовых цепях.
Таким образом, аналоги и прототип имеют недостаток, который заключается в том, что они не могут генерировать единовременно высокочастотное электромагнитное поле и многофазное низкочастотное электромагнитное поле, либо рекомендуют для этого применение двух генераторов, т.е. они не обеспечивают достижение заявленного технического результата, заключающегося в одновременном генерировании высокочастотного и низкочастотного многофазного электромагнитных полей и упрощении.
Предлагаемое изобретение решает задачу создания многофазного двухчастотного преобразовательного устройства для индукционного нагрева, осуществление которой позволяет достичь заявленный технический результат, заключающийся в возможности одновременного генерирования высокочастотного и низкочастотного многофазного электромагнитных полей и упрощении.
Сущность предлагаемого изобретения заключается в том, что в устройство, содержащее источник постоянного напряжения, два фильтровых дросселя, управляемый вентиль и нагрузку-индуктор, зашунтированную конденсатором, при этом с первым полюсом источника постоянного напряжения соединен первый вывод первого фильтрового дросселя, второй вывод которого соединен с первым выводом управляемого вентиля, второй вывод которого соединен с первыми выводами нагрузки-индуктора и конденсатора, вторые выводы которых соединены между собой, при этом нагрузка-индуктор выполнена из трех обмоток, расположенных по длине индуктора, а также введены еще две аналогичные цепи, состоящие каждая из управляемого вентиля и последовательно соединенной с ней обмоткой нагрузки-индуктора, зашунтированной конденсатором, при этом все три цепи соединены параллельно между собой и подключены между вторым выводом первого фильтрового дросселя и первым выводом второго фильтрового дросселя, при этом второй вывод второго фильтрового дросселя соединен с вторым полюсом источника постоянного напряжения, а все три управляемых вентиля включены в прямом направлении по отношению к полярности источника постоянного напряжения.
Заявленный технический результат – одновременное генерирование высокочастотного и низкочастотного многофазного электромагнитных полей и упрощение – достигается следующим образом. Наличие трех управляемых вентилей, обеспечивающих питание трех обмоток нагрузки-индуктора, позволяет, применяя предложенный алгоритм управления управляемыми вентилями, который описан ниже, получить в обмотках нагрузки-индуктора токи с высокочастотной и низкочастотной составляющими, при этом низкочастотная составляющая токов формирует в трех обмотках нагрузки-индуктора многофазную систему без дополнительных генераторов.
Таким образом, заявленное многофазное двухчастотное преобразовательное устройство обеспечивает достижение заявленного технического результата – одновременное генерирование высокочастотного и многофазного низкочастотного электромагнитных полей и упрощение.
В ряде случаев для усиления многофазной низкочастотной составляющей тока обмоток нагрузки-индуктора, т.е. для усиления электромагнитного перемешивания жидкого металла, целесообразно подсоединять последовательный контур, состоящий из индуктивности и емкости, параллельно каждой из трех обмоток нагрузки-индуктора, при этом собственная частота этого дополнительного контура выбирается равной частоте, низкочастотной составляющей тока обмоток нагрузки-индуктора.
Таким образом, в предложенных вариантах многофазных двухчастотных преобразовательных устройств достигается заявленный технический результат – одновременное генерированное высокочастотного и низкочастотного многофазного электромагнитных полей и упрощение.
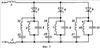
На фиг.1 и 2 приведены варианты предложенных преобразовательных устройств.
Преобразовательное устройство, приведенное на фиг.1, содержит источник постоянного напряжения, первый 1 и второй 2 фильтровые дроссели, первый 3, второй 6 и третий 9 управляемые вентили, первую 4, вторую 7 и третью 10 обмотки нагрузки-индуктора, а также первый 5, второй 8 и третий 11 конденсаторы, при этом к первому полюсу источника постоянного напряжения подсоединен первый вывод первого фильтрового дросселя 1, второй вывод которого соединен с первыми выводами первого 3, второго 6 и третьего 9 управляемых вентилей, при этом второй вывод первого 3 управляемого вентиля соединен с первыми выводами первой 4 обмотки нагрузки-индуктора и первого 5 конденсатора, второй вывод второго 6 управляемого вентиля соединен с первыми выводами второй 7 обмотки нагрузки-индуктора и второго 8 конденсатора, а второй вывод третьего 9 управляемого вентиля соединен с первыми выводами третьей 10 обмотки нагрузки-индуктора и третьего 11 конденсатора, при этом вторые выводы первой 4, второй 7 и третьей 10 обмоток нагрузки-индуктора, а также вторые выводы первого 5, второго 8 и третьего 11 конденсаторов соединены между собой и подсоединены к первому выводу второго 2 фильтрового дросселя, второй вывод которого подсоединен к второму полюсу источника постоянного напряжения, при этом первая 4 и вторая 7 обмотки нагрузки-индуктора имеют общий вывод и включены согласно последовательно между собой, а управляемые вентили 3, 6 и 9 включены в прямом направлении по отношению к полярности источника постоянного напряжения.
Преобразовательное устройство работает следующим образом. В установившемся режиме через первый 1 и второй 2 фильтровые дроссели протекает постоянный ток. При отпирании первого управляемого вентиля 3 постоянный ток протекает по контуру

при этом конденсатор 5 заряжается до напряжения, показанного на фиг 1 знаками «+», «-». Затем отпирается третий управляемый вентиль 9 и постоянный ток протекает по контуру

при этом в контуре 3-9-11-5-3 к первому управляемому вентилю 3 прикладывается отрицательное напряжение, которое обеспечивает запирание первого управляемого вентиля 3, и ток через него прекращается, при этом третий конденсатор 11 заряжается до напряжения, показанного на фиг.1 знаками «+», «-», а первый конденсатор 5 перезаряжается в контуре 5 – 4 – 5 до напряжения, показанного на фиг.1 знаками «(-)», (+)». После этого вновь отпирается первый управляемый вентиль 3, а третий управляемый вентиль 9 запирается, затем снова отпирается третий управляемый вентиль 9, и так несколько раз. Затем снова отпирается первый управляемый вентиль 3, но после этого отпирается второй управляемый вентиль 6 и постоянный ток протекает по 7 контуру

при этом в контуре 3-6-8-5-3 к первому управляемому вентилю 3 прикладывается отрицательное напряжение, которое обеспечивает запирание первого управляемого вентиля 3, и ток через него прекращается, при этом второй конденсатор 8 заряжается до напряжения, полярность которого показана на фиг.1 знаками «+», «-», а первый конденсатор 5 перезаряжается в контуре 5-4-5 до напряжения, полярность которого показана на фиг.1 знаками «(-)», «(+)». Затем снова отпирается первый управляемый вентиль 3 и так несколько раз. После этого первый управляемый вентиль 3 прекращает работу, а второй управляемый вентиль 6 начинает работать попеременно с третьим управляемым вентилем 9. После нескольких срабатываний второй управляемый вентиль 6 прекращает работу, а третий управляемый вентиль 9 попеременно работает с первым управляемым вентилем 3. При этом все процессы повторяются и аналогичны описанным. Число высокочастотных импульсов в пачке, длительность пачки и паузы определяются соотношением частот низкочастотной и высокочастотной составляющих тока нагрузки и одинаковы в каждой обмотке нагрузки индуктора. При этом частота fв высокочастотной составляющей тока каждой обмотки нагрузки-индуктора определяется временем протекания импульса постоянного тока через одну обмотку и обеспечивает эффективный нагрев металла, а частота fн низкочастотной составляющей тока в каждой обмотке нагрузки-индуктора определяется по формуле

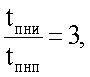
где n – число высокочастотных импульсов в каждом периоде низкой частоты, которая и обеспечивает электромагнитное перемешивание металла, при этом каждый низкочастотный период состоит из пачки высокочастотных импульсов tпни, определяющей низкочастотный импульс, и пачки высокочастотных импульсов tпнп определяющей низкочастотную паузу тока в каждой обмотке нагрузки-индуктора, при этом оптимальным является соотношение

т.к. в этом случае наиболее эффективно формируется многофазное низкочастотное электромагнитное поле, что обеспечивает превращение двух циркуляционных потоков жидкого металла в верхней и нижней частях индуктора в один циркуляционный поток по всей длине индуктора. Число n может составлять 3, 6, 9 и т.д. Так, для n=9 последовательность работы управляемых вентилей будет следующей: 3,9-3,9-3,9-3,6-3,6-3,6-6,9-6,9-6,9-3,9-3,9-3,9 и т.д., где 3,9 означает, что попеременно отпираются вентили 3 и 9; 3,6 означает, что попеременно отпираются вентили 3 и 6; 6,9 означает, что попеременно отпираются вентили 6 и 9.
В заключение необходимо отметить, что для обеспечения работы рассмотренного преобразовательного устройства оно должно иметь пусковое устройство, которое бы обеспечивало установившийся постоянный ток через фильтровые дроссели 1 и 2 и которое для упрощения не показано на фиг.1.
Преобразовательное устройство, приведенное на фиг.2, кроме элементов, приведенных на фиг.1, содержит первый 12, второй 14 и третий 16 дроссели, а также четвертый 13, пятый 15 и шестой 17 конденсаторы, при этом к первым выводам первой 4, второй 7 и третьей 10 обмоток нагрузки-конденсатора подсоединены первые выводы соответственно первого 12, второго 14 и третьего 16 дросселей, вторые выводы которых соединены с первыми выводами соответственно четвертого 13, пятого 15 и шестого 17 конденсаторов, вторые выводы которых подсоединены к вторым выводам соответственно первой 4, второй 7 и третьей 10 обмоток нагрузки-индуктора. Собственная частота последовательных контуров, образованных вышеперечисленными дросселями и конденсаторами соответственно 12, 13, 14, 15 и 16, 17, выбирается равной частоте fн низкочастотного электромагнитного поля.
Преобразовательное устройство работает следующим образом.
Алгоритм работы первого 3, второго 6 и четвертого 9 управляемых вентилей остается прежним, как это описано выше для устройства, приведенного на фиг.1. Этот алгоритм, как показано выше, обеспечивает формирование низкочастотного электромагнитного поля, которое вызывает последовательный резонанс в последовательных колебательных контурах 12, 13; 14, 15 и 16, 17, при этом формально резонансный ток протекает по контурам: первый контур второй контур третий контур 
Фактически же конденсаторы 5, 8 и 11 выбираются из условия формирования высокочастотных импульсов, т.е. они относительно малы. Поэтому сопротивления

относительно велики и резонансный низкочастотный ток фактически протекает по контурам: первый контур 13-12-4-13; второй контур 15-14-7-15; третий контур 17-16-10-17, т.е. по обмоткам нагрузки-индуктора первой 4, второй 7 и третьей 10, а следовательно, этот низкочастотный резонансный ток усиливает низкочастотное многофазное электромагнитное поле и электромагнитную силу для электромагнитного перемешивания жидкого металла в нагрузке-индукторе, что усиливает одноконтурную циркуляцию этого жидкого металла и повышает его качество.
В заключение необходимо добавить, что преобразовательное устройство должно иметь пусковое устройство, а управляемые вентили могут быть зашунтированы защитными демпфирующими цепями, состоящими из резисторов, диодов, конденсаторов, варисторов.
Формула изобретения
1. Многофазное преобразовательное двухчастотное устройство для индукционного нагрева, содержащее источник постоянного напряжения, первый и второй фильтровые дроссели, первый управляемый вентиль, первую обмотку нагрузки-индуктора и первый конденсатор, при этом с первым полюсом источника постоянного напряжения соединен первый вывод первого фильтрового дросселя, второй вывод которого соединен с первым выводом первого управляемого вентиля, второй вывод которого соединен с соединенными между собой первыми выводами первой обмотки нагрузки-индуктора и первого конденсатора, при этом вторые выводы первой обмотки нагрузки-индуктора и первого конденсатора соединены между собой, отличающееся тем, что дополнительно введены второй и третий управляемые вентили, второй и третий конденсаторы, а нагрузка-индуктор выполнена из трех обмоток, расположенных по длине индуктора, при этом к первому выводу первого управляемого вентиля подсоединены соединенные между собой первые выводы второго и третьего управляемых вентилей, при этом второй вывод второго управляемого вентиля соединен с соединенными между собой первыми выводами второй обмотки нагрузки-индуктора и второго конденсатора, второй вывод третьего управляемого вентиля соединен с соединенными между собой первыми выводами третьей обмотки нагрузки-индуктора и третьего конденсатора, при этом вторые выводы второй обмотки нагрузки-индуктора и второго конденсатора, а также третьей обмотки нагрузки-индуктора и третьего конденсатора соединены со вторыми выводами первой обмотки нагрузки-индуктора и первого конденсатора и подсоединены к первому выводу второго фильтрового дросселя, второй вывод которого соединен со вторым полюсом источника постоянного напряжения, при этом первая и вторая обмотки нагрузки-индуктора имеют общий вывод и включены согласно последовательно между собой, а управляемые вентили включены в прямом направлении по отношению к полярности источника постоянного напряжения.
2. Многофазное преобразовательное двухчастотное устройство по п.1, отличающееся тем, что дополнительно введены первый, второй и третий дроссели, а также четвертый, пятый и шестой конденсаторы, при этом к первым выводам первой, второй и третьей обмоток нагрузки-индуктора подсоединены первые выводы соответственно первого, второго и третьего дросселей, вторые выводы которых соединены с первыми выводами соответственно четвертого, пятого и шестого конденсаторов, вторые выводы которых подсоединены ко вторым выводам соответственно первой, второй и третьей обмоток нагрузки-индуктора.
РИСУНКИ
|
|