|
|
(21), (22) Заявка: 2008147467/28, 01.12.2008
(24) Дата начала отсчета срока действия патента:
01.12.2008
(46) Опубликовано: 20.06.2010
(56) Список документов, цитированных в отчете о поиске:
RU 2243597 С2, 10.09.2004. RU 2028672 C1, 09.02.1995. SU 1773357 A1, 07.11.1992. JP 55076975 A, 10.06.1980. JP 55159180 A, 11.12.1980.
Адрес для переписки:
656038, Алтайский край, г.Барнаул, ул. Союза Республик, 38, кв.13, В.П. Юровскому
|
(72) Автор(ы):
Юровский Виктор Петрович (RU), Мелкомуков Леонид Леонидович (RU)
(73) Патентообладатель(и):
Общество с ограниченной ответственностью “Лаборатория Акустического Дизайна” (RU)
|
(54) СПОСОБ ФОРМИРОВАНИЯ И ПОДАЧИ ЗВУКОВОГО СИГНАЛА И УСТРОЙСТВО ДЛЯ ЕГО РЕАЛИЗАЦИИ
(57) Реферат:
Способ формирования и подачи звукового сигнала и устройство для его реализации относится к области акустики и может быть использовано для получения звуковых сигналов, аналогичных широкополосным звуковым сигналам с высокой интенсивностью для различных систем сигнализаций. Техническим результатом изобретения является упрощение осуществления, расширение функциональных возможностей и повышение эффективности излучения звукового сигнала, воспринимаемого аналогично широкополосному сигналу. Устройство для формирования и подачи звукового сигнала содержит источник питания 1, запускающий блок 2, импульсный генератор несущей высокой звуковой частоты 3 с диапазоном звуковой частоты 2-10 кГц, генератор импульсов низкой звуковой частоты 4 с диапазоном 200-800 Гц, модулятор 5, усилитель мощности 6 и высокочастотный звуковой излучатель 7. 2 н.п. ф-лы, 2 ил.
Изобретение относится к области акустики, в частности к способам получения звуковых сигналов, и может быть использовано для получения звуковых сигналов, аналогичных широкополосным звуковым сигналам с высокой интенсивностью для различных систем сигнализаций, например охранных.
Известны способы формирования и подачи звукового сигнала, заключающиеся в вырабатывании сигнала звуковой частоты с последующей его подачей на звуковой излучатель для преобразования в звуковой сигнал, воспринимаемый как широкополосный звуковой сигнал, реализуемые с помощью устройств, содержащих источник питания, запускающий блок, импульсный генератор несущей высокой звуковой частоты, усилитель мощности и звуковой излучатель (см. патент РФ 2145446, МПК G10K 11/00, опубл. 10.02.2000 и патент РФ 2243597, МПК G10K 15/04, опубл. 10.09.2004).
Наиболее близким по технической сущности является способ формирования и подачи звукового сигнала, заключающийся в вырабатывании сигнала звуковой частоты с последующей его подачей на звуковой излучатель для преобразования в звуковой сигнал, воспринимаемый как широкополосный звуковой сигнал, реализуемые с помощью устройства, содержащего источник питания, запускающий блок, усилитель мощности, звуковой излучатель и импульсный генератор несущей высокой звуковой частоты, выполненный в виде генератора с постоянным периодом следования прямоугольных импульсов или генератора с изменяющимся периодом следования прямоугольных импульсов, устройство снабжено двумя сдвиговыми регистрами, входы которых соединены с выходом импульсного генератора, а выходы подсоединены на соответствующие входы сумматора, выход которого соединен с входом усилителя мощности (патент РФ 2243597, МПК G10K 15/04, опубл. 10.09.2004).
Общими недостатками известных способов формирования и подачи звукового сигнала и устройств для их реализации являются то, что они предполагают необходимость физического излучения звукового сигнала соответствующей частоты для производства широкополосного звукового сигнала. В результате, в силу объективных трудностей излучения низких звуковых частот, излучающие устройства для получения широкополосных звуковых сигналов оказываются либо малоэффективными с низким качеством сигнала и малым диапазоном частот, либо весьма сложными и громоздкими.
В основу изобретения положена техническая задача создания простого в эксплуатации с расширенными функциональными возможностями и с высокой эффективностью способа подачи звукового сигнала и простого высокоэффективного устройства для его реализации, которое позволяет произвести подачу звукового сигнала, воспринимаемого аналогично широкополосному монотонному или специальному звуковому сигналу с заменой широкополосного излучателя, на высокочастотный.
Поставленная задача для достижения технического результата решается тем, что в способе формирования и подачи звукового сигнала, заключающемся в вырабатывании сигнала звуковой частоты с последующей его подачей на звуковой излучатель для преобразования в звуковой сигнал, воспринимаемый как широкополосный звуковой сигнал, согласно изобретению преобразование в звуковой сигнал осуществляют с помощью высокочастотного звукового излучателя, на который подают высокочастотный несущий звуковой сигнал фиксированной частоты в диапазоне 2-10 кГц, модулированный по амплитуде низкочастотным звуковым сигналом с постоянной или изменяющейся звуковой частотой в диапазоне 200-800 Гц, требуемым для производства монотонного или специального звукового сигнала, аналогичного широкополосному, причем фиксированную частоту высокочастотного несущего звукового сигнала выбирают исходя из максимума амплитудно-частотной характеристики звукового давления, применяемого высокочастотного звукового излучателя.
Устройство для реализации способа содержит источник питания, запускающий блок, импульсный генератор несущей высокой звуковой частоты, усилитель мощности и звуковой излучатель. Устройство дополнительно снабжено модулятором и генератором импульсов низкой звуковой частоты с постоянной или изменяющейся частотой в диапазоне 200-800 Гц с функцией регулирования скважности импульсов, выход которого соединен с одним из двух входов модулятора, выход которого соединен с усилителем мощности, а другой вход соединен с выходом импульсного генератора несущей высокой звуковой частоты, выполненного с диапазоном звуковой частоты 2-10 кГц, причем звуковой излучатель выполнен высокочастотным.
Изобретение иллюстрируется чертежами.
На фиг. 1 приведены временные диаграммы, поясняющие способ формирования и подачи звукового сигнала, а именно: а) временная диаграмма напряжения сигнала несущей высокой звуковой частоты; б) временная диаграмма напряжения модулирующего низкочастотного звукового сигнала со скважностью 2; в) временная диаграмма результирующей последовательности пачек импульсов на выходе модулятора при скважности модулирующего сигнала, равной 2; г) временная диаграмма напряжения модулирующего сигнала со скважностью 3; д) временная диаграмма результирующей последовательности пачек импульсов на выходе модулятора при скважности модулирующего сигнала, равной 3.
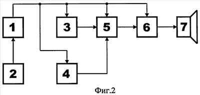
На фиг. 2 приведена функциональная схема устройства для реализации предлагаемого способа.
Предлагаемый способ реализуется следующим образом.
Генератор несущей высокой звуковой частоты вырабатывает непрерывную последовательность импульсов фиксированной несущей частоты из диапазона 2-10 кГц. Конкретно частоту несущего сигнала выбирают исходя из формы амплитудно-частотной характеристики звукового давления, применяемого высокочастотного излучателя. Поскольку реальная амплитудно-частотная характеристика звукового давления излучателя, как правило, имеет существенную неравномерность, достигающую 20 дБ и более, на данной характеристике выбирают частоту, соответствующую максимальной чувствительности применяемого излучателя, которую и используют в качестве несущей. Это позволяет получить максимальный КПД, а следовательно, максимальную эффективность и экономичность работы системы в целом. Форма импульсов несущей частоты может быть различной, однако, в целях получения максимального КПД системы ее выбирают прямоугольной.
Далее полученный сигнал несущей частоты модулируют по амплитуде низкочастотным звуковым сигналом с диапазоном 200-800 Гц постоянной (для производства монотонного звукового сигнала) или изменяемой (для производства специального звукового сигнала, например сигнала сирены) частоты. Глубина модуляции, а также форма модулирующего сигнала может быть различной. Максимальный эффект производства комплексного широкополосного звукового сигнала по предлагаемому способу достигается при условии применения 100% модуляции сигналом прямоугольной формы. В этом случае непрерывная последовательность импульсов несущей частоты преобразуется в последовательность пачек импульсов несущей частоты, повторяющихся с периодом следования импульсов модулирующей низкой частоты (см. фиг.1в). Некоторое уменьшение длины пачки импульсов несущей частоты Тп (см. фиг.1д) практически не влияет на уровень ощущения громкости низкочастотных составляющих производимого комплексного широкополосного сигнала. То есть при увеличении скважности модулирующего сигнала с 2 до 4, соответственно при уменьшении Тп вдвое, уровень ощущения громкости низкочастотных составляющих снижается незначительно при существенно большем снижении уровня ощущения громкости несущей частоты вследствие уменьшения вдвое среднего уровня излучаемой на этой частоте мощности, что позволяет, к тому же, повысить экономичность и надежность системы. Оптимальным был определен звуковой сигнал со скважностью модулирующего сигнала, равной 3 (см. фиг.1д). При осуществлении способа принимается во внимание психофизиологические способности слуха к восприятию высоты звука, основанном на периодичности повторения формы волны звукового стимула и называемом высотой периодичности.
Процесс излучения низкочастотного звукового сигнала в данном случае заменяется излучением пачек импульсов сигнала высокой звуковой частоты в диапазоне, например, 2-10 кГц, частота повторений которых соответствует частоте требуемого низкочастотного сигнала.
В дальнейшем воспринимаемая органами слуха последовательность пачек высокочастотного сигнала слуховым отделом центральной нервной системы разлагается на собственно высокочастотный сигнал и низкочастотный сигнал высоты периодичности, воспринимаемый мозгом как реально приходящий. Дополнительно, в зависимости от формы огибающей пачек несущей частоты, возникает ощущение наличия в звуке высших гармоник сигнала высоты периодичности. В результате у слушателя возникает ощущение восприятия широкополосного сигнала, в спектре которого присутствуют частота сигнала высоты периодичности, ее высшие гармоники, а также несущая частота. При этом субъективное ощущение уровня сигнала высоты периодичности оказывается практически равным уровню сигнала несущей частоты.
Устройство для формирования и подачи звукового сигнала (см фиг.2) содержит источник питания 1, запускающий блок 2, импульсный генератор несущей высокой звуковой частоты 3, генератор импульсов низкой звуковой частоты 4, модулятор 5, усилитель мощности 6 и звуковой излучатель 7, выполненный высокочастотным. Генератор импульсов низкой звуковой частоты 4 имеет диапазон 200-800 Гц с функцией регулирования скважности импульсов, выход которого соединен с одним из двух входов модулятора 5, другой вход которого соединен с выходом импульсного генератора несущей высокой звуковой частоты, выполненного с диапазоном звуковой частоты 2-10 кГц. Выход модулятора 5 соединен со входом усилителя мощности 6, к выходу которого подключен высокочастотный звуковой излучатель 7.
Предлагаемое устройство работает следующим образом.
В исходном состоянии устройство находится в режиме ожидания и звуковой сигнал отсутствует. При срабатывании внешних датчиков либо при ручном включении устройства оператором посредством кнопки запускающий блок 2 подает сигнал разрешения включения на ключевой элемент источника питания 1, в результате чего на электронную схему устройства начинает поступать напряжение энергопитания.
Такая последовательность действий позволяет обеспечить минимальное потребление энергии устройством в режиме ожидания.
Запускаются импульсный генератор несущей высокой звуковой частоты 3 и генератор импульсов низкой звуковой частоты 4. Сигнал несущей частоты с периодом t (см. фиг. 1а) поступает на тактовый вход модулятора 5, а модулирующий сигнал с периодом Т и длительностью импульса Тп (см. фиг. 16г) поступает на управляющий вход модулятора 5. В результате на выходе модулятора 5 вырабатывается последовательность пачек импульсов несущей частоты с периодом Т и длительностью Тп (см. фиг. 1в, д). Сформированную таким образом последовательность пачек импульсов несущей частоты подают на вход усилителя мощности 6, где происходит усиление полученного сигнала до уровня, соответствующего номинальной средней мощности применяемого звукового излучателя 7 для получения максимально громкого звукового сигнала либо до более низкого уровня, достаточного для производства звукового сигнала, необходимого более низкого уровня громкости. Далее усиленную последовательность пачек импульсов несущей звуковой частоты подают на звуковой излучатель 7, в котором происходит преобразование подводимого электрического сигнала в акустический. При прекращении сигнала от внешних датчиков либо при ручном отключении устройства оператором посредством кнопки запускающий блок 2 подает на ключевой элемент источника питания 1 сигнал запрета, энергопитание электронной схемы устройства прекращается и оно переходит в экономичный режим ожидания.
Предлагаемый способ формирования и подачи звукового сигнала прост в осуществлении, позволяет расширить функциональные возможности сигнальных устройств, повысить эффективность излучения звукового сигнала, воспринимаемого аналогично широкополосному монотонному или специальному звуковому сигналу.
Формула изобретения
1. Способ формирования и подачи звукового сигнала, заключающийся в вырабатывании сигнала звуковой частоты с последующей его подачей на звуковой излучатель для преобразования в звуковой сигнал, воспринимаемый как широкополосный звуковой сигнал, отличающийся тем, что преобразование в звуковой сигнал осуществляют с помощью высокочастотного звукового излучателя, на который подают высокочастотный несущий звуковой сигнал фиксированной частоты в диапазоне 2-10 кГц, модулированный по амплитуде низкочастотным звуковым сигналом с постоянной или изменяющейся звуковой частотой в диапазоне 200-800 Гц, требуемым для производства монотонного или специального звукового сигнала, аналогичного широкополосному, причем фиксированную частоту высокочастотного несущего звукового сигнала выбирают, исходя из максимума амплитудно-частотной характеристики звукового давления применяемого высокочастотного звукового излучателя.
2. Устройство для формирования и подачи звукового сигнала, содержащее источник питания, запускающий блок, импульсный генератор несущей высокой звуковой частоты, усилитель мощности и звуковой излучатель, отличающееся тем, что оно дополнительно снабжено модулятором и генератором импульсов низкой звуковой частоты с постоянной или изменяющейся частотой в диапазоне 200-800 Гц с функцией регулирования скважности импульсов, выход которого соединен с одним из двух входов модулятора, выход которого соединен с усилителем мощности, а другой вход соединен с выходом импульсного генератора несущей высокой звуковой частоты, выполненного с диапазоном возможного выбора фиксированной несущей звуковой частоты в пределах 2-10 кГц, причем звуковой излучатель выполнен высокочастотным.
РИСУНКИ
|
|